|
(21), (22) Заявка: 2008144055/12, 05.11.2008
(24) Дата начала отсчета срока действия патента:
05.11.2008
(46) Опубликовано: 20.06.2010
(56) Список документов, цитированных в отчете о поиске:
SU 1831558 A3, 30.07.1993. RU 2178497 С1, 20.01.2002. RU 2203376 C2, 27.04.2003. RU 2178497 C1, 21.09.2000. RU 2203377 C2, 27.04.2003. CN 200985676 Y, 05.12.2007.
Адрес для переписки:
450062, г.Уфа, ул. Космонавтов, 1, ГОУВПО “Уфимский государственный нефтяной технический университет”, патентный отдел
|
(72) Автор(ы):
Новожилов Владислав Анатольевич (RU), Казаченко Игорь Владимирович (RU), Быстров Александр Ильич (RU)
(73) Патентообладатель(и):
Новожилов Владислав Анатольевич (RU), Казаченко Игорь Владимирович (RU), Быстров Александр Ильич (RU)
|
(54) ЗАМОК МАГНИТНЫЙ И СПОСОБ ВКЛЮЧЕНИЯ КОММУТИРУЮЩИХ МАГНИТНЫХ ЭЛЕМЕНТОВ
(57) Реферат:
Изобретение относится к запирающим устройствам, в частности к магнитным кодовым замкам. В магнитном замке сепаратор выполнен подвижным в продольном направлении, подпружиненным с продольно расположенными сверху и снизу пазами под перфокарту, запирающую сверху и перфокарту блокировки неправильного кода – снизу, причем перфокарты имеют отверстия и продольные пазы, а в отверстиях сепаратора расположены подвижные коммутирующие магнитные кодовые элементы и подвижные магнитные некодовые элементы. Способ включения подвижных коммутирующих магнитных кодовых элементов замка включает введение в гнездо под ключ одной из торцевых поверхностей ключа до упора, последующее вращение ручки замка, при этом при совпадении кода ключа с кодом цифрологического магнитного блока происходит экранирование магнитных потоков между неподвижными магнитными элементами и подвижными коммутирующими магнитными кодовыми элементами, при этом происходит взаимодействие градиентов магнитных потоков от соседних расположенных подвижных коммутирующих магнитных кодовых элементов сепаратора, которое осуществляется при дискретном шаге и противоположной ориентации полюсов соседних подвижных коммутирующих магнитных кодовых элементов. Изобретение позволяет повысить надежность конструкции. 2 н. и 2 з.п. ф-лы, 28 ил.
Изобретение относится к запирающим устройствам, в частности к магнитным кодовым замкам.
Известен магнитный кодовый замок, содержащий корпус с полостью и гнездом под ключ-перфокарту, сдвижной подпружиненный сепаратор с подвижными магнитными элементами и упором для управления торцевой поверхностью ключа-перфокарты – при нажатии перфорамки жестко закрепленные в корпусе магнитного блока сверху и снизу сепаратора с отверстиями и продольными пазами с отверстиями и продольными пазами под магнитные элементы, обойму с постоянными магнитами, установленными соосно подвижным и направленными друг к другу одноименными магнитами полюсами, расположенную под сепаратором, гнездо под ключ – между сепаратором и обоймой и ручку управления, кинематически связанную с сепаратором посредством узла блокировки (патент США 2732703, кл.70-211, 1956 г.). Недостатками известного магнитного кодового замка является то, что: 1) при переналадке в случае утраты ключа для замены кода под новый ключ необходим полный разбор кодового механизма, с последующей заменой перфорамок; 2) при приложении импульса силы через стальную пластину, помещенную в гнездо вместо ключа-перфокарты, может произойти поломка (срез) магнитов, блокирующих отверстие верхней перфорамки, что приведет к поломке замка или его открытию.
Известен магнитный кодовый замок, содержащий магнитный блок, имеющий корпус, обойму с неподвижными магнитами, сепаратор с перфорированными кодовыми пластинами и подвижными магнитами, установленными соосно неподвижным и направленными друг к другу одноименными магнитными полюсами, сквозное гнездо под ключ, имеющий кодовые отверстия. Устройство блокировки образовано повижным цилиндрическим роликом, имеющим возможность перемещения в горизонтальном и вертикальном направлениях, взаимодействующим с подпружиненным штоком через ручку управления реверсивным механизмом привода ригелей (патент РФ 2178497 С1, 21.02.2000 г.). Недостатки замка: 1) при переналадке замка в случае утраты ключа необходим полный разбор кодового механизма с последующей заменой перфорамок под новый ключ с измененным кодом или замена магнитного блока; 2) при изготовлении замка необходимо индивидуально кодировать ключ, верхнюю и нижнюю перфорамки магнитного блока, при этом для одного замка необходимо иметь три разные таблицы секретов и штампы, переналаживаемые после каждой вырубки; 3) невозможность двухстороннего управления, что ограничивает его функциональные возможности; 4) наличие механического кода, обеспеченного профилем ключа-перфокарты с помощью бокового ступенчатого выступа и боковой выемкой в гнезде под ключ, для взаимодействия с ключом (для обеспечения управления несколькими замками, имеющими одинаковый магнитный код под универсальный ключ, но разные боковые выступы на ключах – для механического кода не гарантирует надежной защиты, так как удалив боковой выступ с любого ключа с различным механическим кодом, можно изготовить универсальный ключ, подходящий к серии замков и имеющий одинаковый магнитный код); 5) схема поперечного перемещения перфорамок, закрепленных на подпружиненном штоке, образует консоль с крутящим моментом в горизонтальной плоскости, что при длительной эксплуатации и износа штока может привести к несовпадению отверстий перфорамок и сепаратора, снижая надежность системы.
Наиболее близким к предложенному является магнитный замок, а также способ включения коммутирующих элементов, заключающийся во взаимодействии градиентов магнитных потоков от соседних расположенных коммутирующих магнитных элементов сепаратора. Магнитный замок содержит цифрологический магнитный блок, выполненный в виде корпуса с тремя изолированными глухими полостями, размещенными одна под другой и разделенными перегородками, с расположенным в верхней полости сепаратором с подвижными магнитными элементами, жестко закрепленными сверху и снизу двумя перфорамками под магнитные элементы, ключом для размещения в глухом гнезде корпуса и обоймой с неподвижными магнитами, расположенными в полости под гнездом для ключа соосно подвижным магнитам сепаратора, и ручку управления, кинематически связанную с магнитным блоком посредством узла блокировки, образованным подпружиненным штоком и взаимодействующим с ним фрикционным механизмом (патент СССР 1831558, МКИ Е05В 47/100, 31.01.1991 г.). Недостатки замка: при переналадке замка в случае утраты ключа необходим полный разбор кодового механизма с последующей заменой перфорамок под новый ключ с измененным кодом или замена магнитного блока; при изготовлении замка необходимо индивидуально кодировать ключ, верхнюю и нижнюю перфорамки магнитного блока, при этом для одного замка необходимо иметь три разные таблицы секретов и штампы, переналаживаемые после каждой вырубки; невозможность двухстороннего управления, что ограничивает его функциональные возможности; схема поперечного перемещения перфорамок, закрепленных на подпружиненном штоке, образует консоль с крутящим моментом в горизонтальной плоскости, что при длительной эксплуатации и износа штока может привести к несовпадению отверстий перфорамок и сепаратора, снижая надежность системы; однополярное включение магнитов малых энергий при однополюсной ориентации магнитных полюсов по отношению к соседним расположенным магнитам, установленным в горизонтальной плоскости сепаратора и обоймы (при встречном включении одноименными полюсами) (см. патент СССР 1831558, фиг.2) не позволило локализовать (сфокусировать) магнитные потоки по торцевым частям магнитов из-за отсутствия отбора мощностей магнитных потоков (при этом увеличивается диаметр перфораций ключа). Кроме того, при малом шаге расположения подвижных коммутирующих магнитов возникают крутящие моменты между противоположными полюсами близлежащих магнитов – цилиндрические поверхности магнитов разворачиваются, поджимаясь к внутренним стенкам отверстий сепаратора, что может привести к заклиниванию. Надежная работа обеспечивается увеличением шага между коммутирующими магнитами, то есть снижением секретности. Повышение секретности может быть достигнуто введением переменного шага между коммутирующими магнитами и увеличением площади ключа перфокарты, что влечет применение переналаживаемых штампов для изготовления перфорамок и ключей. Возможно применение способа противоположной ориентации полюсов соседних коммутирующих магнитов, но только высоких энергий.
Предложенное изобретение направлено на решение задачи повышения надежности замка, расширения его функциональных возможностей, повышения секретности применения дискретного шага между магнитами, что не потребует переналадки штампов.
Указанная задача решается также тем, что в замке магнитном, содержащем магнитный цифрологический блок, выполненный виде корпуса и включающий обойму с неподвижными магнитными элементами, расположенный сверху и жестко связанный с ней сепаратор с подвижными магнитными элементами, установленными соосно неподвижным и направленными друг к другу одноименными магнитными полюсами, перфорамки с отверстиями и пазами под подвижные магнитные элементы, полость и гнездо для ключа расположены между обоймой и сепаратором, ключ в виде пластины-перфокарты из магнитомягкого материала с отверстиями для взаимодействия с магнитными элементами, ручку управления, кинематически связанную с сепаратором посредством устройства блокировки, содержащим фрикционную муфту, рычаг и подпружиненный шток, жестко связанный с перфорамками, согласно изобретению сепаратор выполнен подвижным в продольном направлении, подпружиненным с продольно расположенными сверху и снизу пазами под перфокарту, запирающую – сверху и перфокарту блокировки неправильного кода – снизу, причем перфорамки имеют отверстия и продольные пазы, причем в отверстиях сепаратора расположены кодовые (некодовые) подвижные магнитные элементы, блокирующие отверстия перфорамки запирающей и упирающиеся в верхнюю крышку, с торцевой части – с внутренней стороны двери цифрологический магнитный блок оснащен крышкой, в которую упираются торцевыми частями сменные перфокарты, причем на верхней крышке сепаратора продольно установлены две пластины с пазами под комбинирующую перфокарту, гнездо под ключ выполнено сквозным, оснащено подвижным упором-стабилизатором положения ключа, имеющего боковой выступ, взаимодействующий при помещении ключа в гнездо с подвижным упором для совмещения центров перфораций ключа с осевыми линиями управляющих магнитов при двухстороннем (с наружной и внутренней сторон двери) управлении, когда ключ помещен в гнездо с противоположных сторон торцевыми поверхностями, причем ключ имеет выступ под упор для одностороннего с наружной стороны двери управления и упор в сквозном гнезде для взаимодействия с ключом.
Кроме того, устройство имеет ручку управления, связанную с сепаратором посредством устройства блокировки, содержащего либо фрикционную муфту, либо кулачок, рычаг, подпружиненный шток и цилиндрический ролик, взаимодействующий с кулачком и имеющий возможность перемещения в горизонтальном и вертикальном каналах в зависимости от разрешающей команды ключа.
Указанная задача решается также тем, что в способе включения коммутирующих магнитных элементов взаимодействие градиентов магнитных потоков сепаратора, согласно изобретению взаимодействие градиентов магнитных потоков осуществляется при дискретном шаге коммутирующих магнитных элементов высоких энергий и с противоположной ориентацией полюсов соседних магнитных элементов.
С целью оптимизации размеров поля коммутирующих элементов и геометрических размеров ключа-перфокарты цифрологического магнитного блока замка была построена математическая модель в виде функции
y=f(x1, x2, x3, x4),
где y – функция, определяющая минимально допустимые расстояния между магнитами;
x1 – варьируемый диаметр перфораций ключа (в мм);
х2 – варьируемая силовая характеристика магнитов, определяющая геометрические размеры магнитов;
x3 – силовая характеристика магнитов (в граммах);
x4 – коэффициент масштабности геометрических размеров;
Более конкретно формула выражается в виде линейной формы

где – коэффициент, отражающий реальный магнитный поток с учетом потерь на взаимодействие с соседними расположенными магнитными полюсами (экспериментально =0,7);
ai – искомые коэффициенты при исследуемых параметрах хi (расчетные значения коэффициентов следующие
ai=0,18; a2=3,64; a3=-0,09; a4=0);
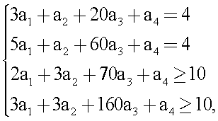
хi – усредненные значения параметров (х1=2,5; х2=3; х3=115; x4=1), соответствующие выбранной минимизируемой функции отклика y при решении основной задачи линейного программирования по следующей системе неравенств:

где первые два уравнения системы для магнитов малых энергий, а вторые два неравенства соответствуют магнитам высоких энергий;
коэффициенты при ai соответствуют характеристикам хi, а свободные члены соответствуют минимально допустимым расстояниям (в мм) между магнитами различных энергий.
Расчетное значение y, соответствующее минимуму выбранной математической модели, получилось равным 7,2 мм (при минимально допустимом расстоянии между магнитами 6,5 мм: гнездо под ключ 2 мм плюс 2 мм изолирующие пластины от механизма и плюс 1,5 мм свободный ход магнитов при коммутации магнитных потоков).
Для минимизации функции y при варьировании перечисленных факторов использованы методы линейного программирования при оптимизации на компьютере с использованием функции «Поиск решения» в MS Excel. Результаты расчета были использованы авторами в разработке оптимальных конструктивных решений.
В патенте, принятом за прототип, не было расчетов, подтверждающих оптимальность выбора конструкции магнитного блока замка, снижающих себестоимость изделия.
Ниже приводится описание функционирования предлагаемого изделия.
На фиг.1 изображен замок в разрезе (вид сбоку); на фиг.2 изображен замок в разрезе (вид сзади); на фиг.3 показан общий вид магнитного блока, вид сбоку.
На фиг.4 изображен магнитный блок, вид сверху.
На фиг.5, 6 изображен магнитный блок при правильном коде, когда сепаратор сдвинут.
На фиг.7 изображен фрагмент магнитного блока без ключа.
На фиг.8 изображен фрагмент магнитного блока с ключом правильного кода.
Кодовый элемент экранирован ключом, некодовый не экранирован. Сепаратор разблокирован. Возможно продольное перемещение.
На фиг.9 изображен фрагмент магнитного блока, когда вместо ключа в гнездо помещена стальная пластина или перфокарта неправильного кода – кодовый элемент открыт, некодовый – заблокирован.
На фиг.10 изображен магнитный блок в продольном разрезе без ключа в закрытом состоянии.
На фиг.11 изображен магнитный блок в продольном разрезе с ключом – в открытом состоянии, когда сепаратор сдвинут.
На фиг.12 – ключ-перфокарта с магнитными и немагнитными заглушками – управление с наружной стороны двери.
На фиг.13 – ключ-перфокарта с магнитными и немагнитными заглушками в положении с внутренней стороны двери.
На фиг.14 – ключ-перфокарта.
На фиг.15 – ключ-перфокарта в разрезе.
На фиг.16 – ключ-перфокарта при одностороннем с наружной стороны двери управлением.
На фиг.17 – ключ-перфокарта в разрезе.
На фиг.18 изображена диаграмма для определения секретности замков с ключом-перфокартой для различного числа комбинаций кода ключа к магнитокодовым замкам механического действия и соответствующая ей таблица зависимостей числа максимальных комбинаций двоичного кода (секретности) от числа перфораций ключа-перфокарты.
На фиг.19 изображена схема взаимодействия градиентов магнитных потоков магнитов малых энергий при разнополярном включении.
На фиг.20 изображена схема взаимодействия градиентов магнитных потоков при параллельном включении одноименными полюсами.
На фиг.21 изображена схема взаимодействия градиентов магнитных потоков магнитов высоких энергии.
На фиг.22 изображен вариант магнитного блока в продольном разрезе с установленной на крышке сепаратора комбинирующей перфокартой со вставленным ключом, в разблокированном состоянии.
На фиг.23 изображен вариант магнитного блока в продольном разрезе, имеющего аналогичный магнитный код (магнитному блоку – на фиг.22), но с комбинирующей перфокартой другого кода со вставленным ключом, в разблокированном состоянии.
На фиг.24 изображен вариант магнитного блока с комбинирующей перфокартой (аналогично фиг.22), но со вставленным в гнездо ключом от варианта магнитного блока (аналогично фиг.23) – в заблокированном состоянии.
На фиг.25 изображен вариант магнитного блока с комбинирующей перфокартой (аналогично фиг.23) со вставленным в гнездо ключом от варианта магнитного блока (аналогично фиг.22) – в заблокированном состоянии.
На фиг.26 изображен вариант магнитного блока с комбинирующей перфокартой, что на фиг.22, но со вставленным в гнездо универсальным ключом в разблокированном состоянии.
На фиг.27 изображен вариант магнитного блока с комбинирующей перфокартой, что на фиг.23, со вставленным в гнездо универсальным ключом – в разблокированном состоянии.
На фиг.28 изображен один из вариантов комбинирующей перфокарты.
Устройство содержит:
1 – цифрологический магнитный блок
2 – обойму
3 – неподвижные магнитные элементы
4 – сдвижной сепаратор
5 – гнездо под ключ-перфокарту
6 – подвижный коммутирующий магнит (кодовый элемент)
7 – подвижный магнит (некодовый элемент)
8 – перфокарту запирающую
9 – перфокарту блокировки неправильного кода
10 – пружины
11 – коромысла
12 – упорный штифт, фиксатор перфокарт сепаратора
13 – упорный штифт, фиксатор положения ключа одностороннего управления
14 – крышку сепаратора
15 – крышку торцевую, съемную фиксатора перфокарт
16 – подвижный упор гнезда под ключ-перфокарту, перемещающуюся в пазу
17 – ключ двухстороннего управления
18 – сердечник ключа
19 – заглушку из магнитомягкой стали
20 – заглушку из немагнитной стали
21 – накладку ключа
22 – ключ одностороннего управления
23 – заглушку из магнитомягкой стали
24 – заглушку из немагнитной стали
25 – накладку ключа
26 – ручку управления
27 – фрикционную муфту
28 – реверсивный механизм управления ригелями
29 – комбинирующую перфокарту
Замок работает следующим образом.
При отсутствии ключа в цифрологическом магнитном блоке магнитные коммутирующие кодовые/некодовые элементы 6, 7 под действием отталкивающих магнитных сил занимают верхнее положение, поджимаясь к крышке 14.
Кодовые коммутирующие магнитные элементы блокируют отверстия запирающей перфокарты 8 сдвижного сепаратора 4 цифрологического магнитного блока. Магнитный блок заблокирован. Замок закрыт.
Для открывания замка в гнездо 5 под ключ одной из торцевых поверхностей – для варианта открывания замка с наружной или внутренней сторон двери вводят ключ 17 до упора (или для одностороннего управления – с наружной стороны двери вводят ключ 22 в гнездо торцевой выемкой до упора меткой сверху) и начинают вращать ручку замка. При совпадении кода ключа с кодом цифрологического магнитного блока 1 происходит экранирование магнитных потоков между неподвижными магнитами обоймы 2 и подвижными коммутирующими магнитами сдвижного сепаратора 4: кодовые коммутирующие магнитные элементы падают вниз, цилиндрические поверхности которых освобождают отверстия запирающей перфокарты 8. Магнитные потоки между магнитами обоймы 2 и некодовыми магнитами сепаратора 4 не перекрываются, цилиндрические поверхности магнитов, входящих в продольные пазы запирающей перфокарты не препятствуют перемещению сдвижного сепаратора 4, в результате сепаратор сдвигается, перестает блокировать фрикционную муфту и тогда крутящий момент передается через ручку управления замком 26 на реверсивный механизм 28 – управления ригелями. Замок отпирается.
При несовпадении кодов ключа и магнитного блока возможны варианты, когда при экранировании магнитных потоков ключом-перфокартой или в случае попытки несанкционированного вскрытия замка с помощью перфокарт-отмычек с ручной установкой кодовых комбинаций с использованием заглушек перфораций из магнитомягкой стали, выставляемых по кодовым таблицам, смоделированным на компьютере, часть кодовых элементов падает вниз сепаратора, освобождая отверстия перфокарты, часть некодовых элементов, падая вниз сепаратора, блокирует отверстия перфокарты. Замок остается закрытым.
Конструкция также предусматривает применение универсального ключа к нескольким замкам, например, для гостиниц, которые имеют одинаковый магнитный код, но разные ключи-перфокарты, где одно из отверстий-перфораций для пропуска магнитного потока к одному из некодовых магнитных элементов сепаратора для блокировки неправильного кода имеет заглушку из магнитомягкой стали, а на крышке сепаратора установлены пластины с продольными пазами для размещения в них комбинирующей перфокарты из магнитомягкой стали, также одно из отверстий которой имеет заглушку из магнитомягкой стали, находящуюся на одной осевой линии с заглушкой на ключе, то есть каждый конкретный ключ и комбинирующая перфокарта оснащены заглушками, лежащими на одних осевых линиях некодовых магнитных элементов каждого конкретного замка, но в разных зонах.
Заглушки комбинирующих перфокарт служат для примагничивания одного из некодовых магнитных элементов, отключая его, чтобы не произошло экранирование магнитного потока между неподвижным магнитом обоймы и некодовым магнитным элементом заглушкой на ключе и блокирование кода на отпирание. Поскольку заглушки на ключах и комбинирующих перфокартах, лежащие на одной оси, расположены в разных зонах для каждого замка – поля сепаратора магнитного блока, каждый конкретный ключ с любого замка, помещенный в гнездо магнитного блока другого замка – для открывания, будет экранировать магнитный поток, управляющий работой некодового магнитного элемента на другом замке не примагниченного к поверхности комбинирующей перфокарты (так как для каждого конкретного замка заглушки расположены в разных зонах сепаратора) – сработает защита на блокировку кода.
Универсальный ключ имеет число перфораций, равное числу некодовых магнитных элементов, и не имеет заглушек на некодовых отверстиях: оси отверстий совпадают с осями некодовых магнитных элементов, а заглушки – экраны кодовых отверстий совпадают с кодом замков, имеющих одинаковый магнитный код. Таким образом, использование универсального ключа позволяет управлять замками с одним магнитным кодом, но с различными комбинационными перфокартами, то есть отверстия ключа, пропуская магнитные потоки, управляющие некодовыми магнитными элементами, не блокируют отверстия перфокарт блокировки неправильного кода – замок открывается.
На фиг.22, 23 изображены магнитные блоки с одинаковым кодом, но с установленными комбинирующими перфокартами разного кода. Некодовые магнитные элементы 7 заблокированы путем примагничивания к неперфорированным (заглушенным) поверхностям комбинирующих перфокарт 29. Неперфорированные поверхности ключей 22 в зонах заблокированных некодовых магнитных элементов не экранируют – замки не блокируются.
На фиг.24, 25 показано, когда в гнездо магнитного блока помещены ключи на замок, фиг.22 – от замка, фиг.23 – на замок, фиг.23 – от замка, фиг.22 – магнитные блоки заблокированы.
На фиг.26, 27 показано, когда на магнитные блоки замков с разными кодовыми комбинациями комбинирующих перфокарт 29 установлен универсальный ключ одинакового кода.
Кодовые механизмы разблокированы – замки открыты.
Применение ключа-перфокарты для одностороннего управления дает высокую секретность до 18·1015 двоичного кода.
Применение ключа-перфокарты двухстороннего управления дает на несколько порядков ниже уровень секретности – до 4 млн комбинаций, но при этом защита объектов, квартир, офисов и т.п. исключает возможность вскрытия двери изнутри помещения при несанкционированном проникновении в помещение через внешние коммуникации (окна, балконы, лоджии).
Таким образом, предложенная конструкция замка обеспечивает надежное запирание, а также экстренную смену кода в случае утраты ключа путем замены перфокарт под новый конкретный ключ с измененным кодом секретности, что удешевит эксплуатационные характеристики изделия и повысит его функциональные возможности.
Формула изобретения
1. Замок магнитный, содержащий магнитный цифрологический блок, выполненный в виде корпуса, включающий обойму с неподвижными магнитными элементами, установленными соосно неподвижным и направленными друг к другу одноименными магнитными полюсами, перфорамки с отверстиями и пазами под подвижные магнитные элементы, полость и гнездо для ключа расположены между обоймой и сепаратором, ключ в виде пластины-перфокарты из магнитомягкого материала с отверстиями для взаимодействия с магнитными элементами, ручку управления, кинематически связанную с сепаратором посредством устройства блокировки, содержащим фрикционную муфту, рычаг и подпружиненный шток, жестко связанный с перфорамками, отличающийся тем, что сепаратор выполнен подвижным в продольном направлении, подпружиненным с продольно расположенными сверху и снизу пазами под перфокарту, запирающую – сверху и перфокарту блокировки неправильного кода – снизу, причем перфокарты имеют отверстия и продольные пазы, а в отверстиях сепаратора расположены подвижные коммутирующие магнитные кодовые элементы и подвижные магнитные некодовые элементы, блокирующие отверстия перфокарты запирающей и упирающиеся в верхнюю крышку, с торцевой части – с внутренней стороны двери цифрологический магнитный блок оснащен крышкой, в которую упираются торцевыми частями сменные перфокарты, причем на верхней крышке сепаратора продольно установлены две пластины с пазами под комбинирующую перфокарту, гнездо под ключ выполнено сквозным, оснащено подвижным упором – стабилизатором положения ключа, имеющего боковой выступ, взаимодействующий при помещении ключа в гнездо с подвижным упором для совмещения центров перфораций ключа с осевыми линиями управляющих магнитов при двухстороннем управлении, когда ключ помещен в гнездо с противоположных сторон торцевыми поверхностями.
2. Устройство по п.1, отличающееся тем, что ключ имеет выступ под упор для одностороннего с наружной стороны двери управления и упор в сквозном гнезде для взаимодействия с ключом.
3. Устройство по п.1, отличающееся тем, что оно содержит ручку управления связанную с сепаратором посредством устройства блокировки, содержащего либо фрикционную муфту, либо кулачок, рычаг, подпружиненный шток и цилиндрический ролик, взаимодействующий с кулачком и имеющий возможность перемещения в горизонтальном и вертикальном каналах в зависимости от разрешающей команды ключа.
4. Способ включения подвижных коммутирующих магнитных кодовых элементов замка, включающий введение в гнездо под ключ одной из торцевых поверхностей ключа до упора, последующее вращение ручки замка, при этом при совпадении кода ключа с кодом цифрологического магнитного блока происходит экранирование магнитных потоков между неподвижными магнитными элементами и подвижными коммутирующими магнитными кодовыми элементами, при этом происходит взаимодействие градиентов магнитных потоков от соседних расположенных подвижных коммутирующих магнитных кодовых элементов сепаратора, которое осуществляется при дискретном шаге и противоположной ориентации полюсов соседних подвижных коммутирующих магнитных кодовых элементов.
РИСУНКИ
|