|
|
(21), (22) Заявка: 2008116016/03, 22.04.2008
(24) Дата начала отсчета срока действия патента:
22.04.2008
(43) Дата публикации заявки: 27.10.2009
(46) Опубликовано: 20.06.2010
(56) Список документов, цитированных в отчете о поиске:
ЛАЛЕТИН Н.В. Основания и фундаменты. – М.: Высшая школа, 1964, с.200-214. SU 576367 A1, 15.10.1977. SU 996642 A1, 15.02.1983. SU 1065547 A1, 07.01.1984. RU 2057232 С1, 27.03.1996. DE 4026111 А1, 20.02.1992.
Адрес для переписки:
170042, г.Тверь, ул. Скворцова-Степанова, 18, кв.66, Е.Н. Хрусталеву
|
(72) Автор(ы):
Хрусталёв Евгений Николаевич (RU), Хрусталёва Татьяна Михайловна (RU), Хрусталёва Ирина Евгеньевна (RU)
(73) Патентообладатель(и):
Хрусталёв Евгений Николаевич (RU), Хрусталёва Татьяна Михайловна (RU), Хрусталёва Ирина Евгеньевна (RU)
|
(54) СПОСОБ СООРУЖЕНИЯ ФУНДАМЕНТА ПОД МАШИНЫ И УСТРОЙСТВО ФУНДАМЕНТА ПОД МАШИНЫ
(57) Реферат:
Группа изобретений относится к строительству, а именно к области массивного и рамного фундаментостроения для производственных машин. Способ сооружения фундамента под машины заключается в заглублении подошвы массивного армированного железобетонного фундамента прямоугольной или призматической в плане формы в грунтовое основание на его высоты, но не менее 1 м, его гидроизоляции от вредного воздействия агрессивных грунтовых вод и расположении центра тяжести машины и центра тяжести площади подошвы фундамента на одной вертикали, при этом опорную поверхность фундамента принимают площадью, рассчитываемой по приведенной зависимости. Опорную поверхность фундамента, прямоугольную в плане, выполняют с подошвой сферической выпуклой формы, при этом по приведенным зависимостям определяют радиус, угол сектора упругого полуконтакта сферы с грунтом, давление структурной прочности грунта на растяжение, критическое давление под центром сферы, причем сферу фундамента заглубляют. Опорную сферическую поверхность предохраняют от смещений с проворотом и от опрокидывания под действием внешней динамической нагрузки путем увеличения краевой горизонтальной опорной части прямоугольного в плане фундамента, выступающей за края сферической опорной центральной поверхности, либо путем анкеровки фундамента к грунту сваями. Также предложено устройство фундамента под машины. Технический результат состоит в повышении несущей способности, увеличении срока службы. 2 н. и 2 з.п. ф-лы, 15 ил.
Группа изобретений относится к области массивного и рамного фундаментостроения, конкретно к фундаментам, возводимым на грунтовых основаниях и работающим под динамической нагрузкой неуравновешенных сил инерции движущихся частей машин.
Известен способ сооружения фундамента под машины, заключающийся в заглублении массивного армированного железобетонного фундамента прямоугольной или призматической балочной формы в грунтовое основание на высоты, но не менее 1 м, при гидроизоляции от вредного воздействия агрессивных грунтовых вод и расположении центра тяжести машины и центра тяжести площади подошвы фундамента на одной вертикали, при этом плоскую опорную поверхность фундамента принимают площадью где Еупр. – модуль упругости грунта; ко – коэффициент формы фундамента в плане, µо – коэффициент Пуассона грунта, Cz – коэффициент упругого равномерного сжатия, при расчетном давлении на грунтовое основание р=Супр.·Syпp., где Syпp. – упругая деформация основания, Супр. – коэффициент упругости грунта, принимаемый равным (Супр.=Cz) коэффициенту упруго равномерного сжатия грунта (Cz), (Супр.=Сф=2Cz) коэффициенту упруго неравномерного сжатия, (Супр.=Сх=0,7Cz) коэффициенту упругого сдвига, F – площадь подошвы фундамента [1].
Существенным недостатком известного способа сооружения фундамента является их установка на плоское подготовленное грунтовое основание плоской опорной поверхностью. При этом плоском контакте фаза упругого контактного взаимодействия оказывается незначительной по интервалу давлений контактного взаимодействия, определяемому с большой погрешностью по графику S=f(p) испытания грунта штампом статическими нагрузками.
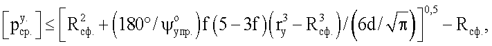
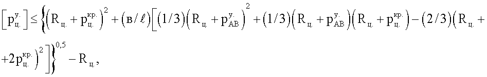
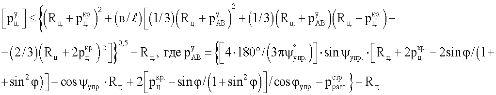
Технологический результат по способу сооружения фундамента под машины, заключающийся в заглублении массивного армированного железобетонного фундамента прямоугольной или призматической балочной в плане формы в грунтовое основание на высоты, но не менее 1 м, при гидроизоляции от вредного воздействия агрессивных грунтовых вод и расположении центра тяжести машины и центра тяжести площади подошвы фундамента на одной вертикали, при этом опорную поверхность фундамента принимают площадью где Еупр. – модуль упругости грунта, ко – коэффициент формы фундамента в плане, µo – коэффициент Пуассона грунта, Cz – коэффициент упругого равномерного сжатия, достигается тем, что опорная поверхность фундамента прямоугольной в плане выполняют с подошвой сферической формы радиусом , где d – диаметр отпечатка заглубленной сферы на поверхности грунта, – угол сектора упругого полуконтакта сферы с грунтом, – давление структурной прочности грунта на растяжение, – угол внутреннего трения и с – удельное сцепление грунта, – критическое давление под центром сферы, среднее допускаемое давление на упругое грунтовое основание рассчитывают как где – радиус эпюры контактных напряжений под центром сферы, f=1-cos упр., при этом сферу фундамента заглубляют на величину S=(d/2)[(1-cos упр.)/sin упр.] при ее осадке где Eо – модуль объемной деформации грунта, при этом опорную сферическую поверхность предохраняют от смещений с проворотом и от опрокидывания под действием внешней динамической нагрузки путем увеличения краевой горизонтальной опорной части прямоугольного в плане фундамента, выступающей за края сферической опорной центральной поверхности, либо путем анкеровки фундамента к грунту сваями. Технологический результат по способу достигается также тем, что опорную поверхность подошвы фундамента призматической балочной формы выполняют выпуклой цилиндрической длиной с возможным полусферическим окончанием, при этом радиус цилиндра принимают равным Rц.=в/(2sin ynp.), в – ширина отпечатка цилиндра, а цилиндр заглубляют на глубину S=(в/2)[(1-cos упр.)/sin упр.] при среднем допускаемом давлении на упругое грунтовое основание цилиндра – среднее давление под обрезанными торцами цилиндра, при осадке грунта Sц=2в·рц. у.(1-µо 2)/( Ео) под цилиндром, где Ео – модуль объемной деформации, а цилиндрическую опорную поверхность погружают в предварительно углубленную цилиндрическую выемку в грунте с радиусом Rц. на глубину S=(в/2)[(1-cos упр.)/sin упр.], причем цилиндрическую опорную поверхность предохраняют от продольного смещения и бокового опрокидывания под действием внешней нагрузки путем увеличения продольной горизонтальной опорной части призматического балочного фундамента, выступающей за края цилиндрической опорной поверхности, либо путем анкеровки фундамента к грунтовому основанию сваями.
Известно устройство фундамента под машины, выполненного в виде жесткой опорной фундаментной плиты или жесткого сплошного призматического блока с выемками, шахтами и отверстиями для размещения и крепления машины и обеспечения удобств при ее обслуживании, фундамент выполнен с плоской опорной поверхностью прямоугольной или балочной формы и изготовлен из армированного железобетона или обожженного кирпича на цементном растворе, а центр тяжести машины и центр тяжести площади подошвы фундамента находятся на одной вертикали, при этом глубина заглубления фундамента в грунтовое основание составляет высоты надземной части и не менее 1 м при гидроизоляции от вредного воздействия агрессивных грунтовых вод, при этом опорная площадь плоской опорной поверхности F={Еупр./[ко·Cz·(1-µo 2)]}2, где Еупр. – модуль упругости грунта, ко – коэффициент формы фундамента в плане, µо – коэффициент Пуассона грунта, Cz – коэффициент упругого равномерного сжатия [1].
Недостатком известного устройства фундамента под машины является его плоская опорная поверхность, характеризующаяся весьма малым диапазоном давления контактного упругого взаимодействия с грунтовым основанием. При этом границы упругого контактного взаимодействия жесткого фундамента различной плоской формы с грунтовыми основаниями приблизительно устанавливаются только по данным штампоопытов.
Технический результат по устройству фундамента под машины, выполненному в виде заглубленной в грунтовое основание на высоты, но не менее 1 м, массивной армированной железобетонной фундаментной плиты прямоугольной или призматической балочной в плане формы при гидроизоляции ее от вредного воздействия агрессивных грунтовых вод и расположении центра тяжести машины и центра тяжести площади подошвы фундамента на одной вертикали, с площадью опорной поверхности, равной F={Еупр./[ко·Cz·(1-µo 2)]}2 где Еупр. – модуль упругости грунта, ко – коэффициент формы фундамента в плане, µо – коэффициент Пуассона грунта, Cz – коэффициент упругого равномерного сжатия, с выемками, шахтами и отверстиями для размещения и крепления машины и обеспечения удобств при ее обслуживании, достигается тем, что прямоугольный в плане фундамент выполнен с опорной фундаментной плитой выпуклой сферической формы с радиусом где d – диаметр отпечатка заглубленной сферы на поверхности углубленного грунта, – угол сектора упругого полуконтакта сферы с грунтом, – давление структурной прочности грунта на растяжение, – угол внутреннего трения и с – удельное сцепление грунта, – критическое давление под центром сферы, при среднем допускаемом давлении на упругое грунтовое основание где – радиус эпюры контактных напряжений под центром сферы, f=1-cos упр., и при заглублении сферы в основание и ее осадке на глубину при этом горизонтальная опорная часть плиты выполнена выступающей за края сферической опорной поверхности, либо оснащенной анкерными сваями. При этом технический результат по предлагаемому устройству достигается тем, что балочный фундамент выполнен в виде единой протяженной цилиндрической без или с концевыми полусферическими опорными поверхностями с радиусом цилиндра Rц=в/(2 sin упр.), где в – ширина отпечатка заглубленного цилиндра, при среднем допускаемом давлении на упругое грунтовое основание 
где – длина цилиндра, 
– среднее давление под торцами цилиндра, и заглублении цилиндра в основание и его осадке на глубину где Ео – модуль объемной деформации грунта, при этом горизонтальная опорная часть призматического балочного фундамента выполнена выступающей за края цилиндрической опорной поверхности либо оснащена анкерными сваями.
Группа изобретений поясняется графическими материалами, где на фиг.1 изображена фундаментная прямоугольная плита двухцилиндрового компрессора со сферической центральной и горизонтальной угловой опорной поверхностью, на фиг.2 – вид А фиг.1 (сверху), на фиг.3 – вид Б фиг.1 (слева), на фиг.4 – фундаментная прямоугольная плита стенового типа под турбогенератор с цилиндрической поверхностью, заканчивающейся по концам полусферической поверхностью, и горизонтальными опорными поверхностями по бокам, на фиг.5 – вид В фиг.4 (сверху), на фиг.6 – вид Г фиг.5 (слева), на фиг.7 – фундаментная прямоугольная плита под горизонтальный поршневой компрессор с цилиндрической опорной поверхностью длиной ; на фиг.8 – вид Д фиг.7 (сверху), на фиг.9 – вид Е фиг.7 (слева), на фиг.10 – расчетная схема краевой и центральной «критической» нагрузки (рц. кр.) при максимально упругом фазовом состоянии грунта; на фиг.12 – схема развития контактных давлений под жестким цилиндром переменного радиуса при постоянной ширине пятна контакта (в=const) и при постоянном радиусе цилиндра (Rц.=const) в упругом фазовом состоянии грунта; на фиг.13 – объемная эпюра упругих контактных давлений по длине жесткого цилиндра и на его торцах в грунтовом основании; на фиг.14 – зависимость среднего давления максимальной упругости в грунте под жестким цилиндром конечной длины ; на фиг.15 – эпюры давлений максимального упругого состояния грунта под жесткой сферой.
Пример 1 реализации способа и устройства. Устройство фундамента под машины выполнено в виде заглубленной в грунтовое основание на высоты, но не менее 1 м массивной армированной железобетонной фундаментной плиты 1 прямоугольной (фиг.1, 2) или квадратной в плане формы при гидроизоляции ее от вредного воздействия агрессивных грунтовых вод и расположении центра тяжести машины 2 и центра тяжести площади подошвы фундамента на одной вертикали с площадью опорной поверхности F={Еупр./[ко·Cz·(1-µо 2)]}2, где Еупр. – модуль упругости грунта, ко – коэффициент формы фундамента в плане, µo – коэффициент Пуассона грунта, Cz – коэффициент упругого равномерного сжатия, с выемками 3, шахтами 4 и отверстиями 5 для размещения и крепления машины 2 и обеспечения удобств при ее обслуживании. При этом прямоугольный в плане фундамент выполнен с опорной фундаментной плитой 1 выпуклой сферической формы 6 (фиг.3, 6) с радиусом где d – диаметр отпечатка заглубленной сферы 6 (фиг.15) на поверхности углубленного грунта, – угол сектора упругого полуконтакта (фиг.15) сферы с грунтом, – давление структурной прочности грунта на растяжение, – угол внутреннего трения и с – удельное сцепление грунта, – критическое давление под центром сферы, при среднем допускаемом давлении (фиг.14) на упругое грунтовое основание 
f=1-cos упр., rу.=Rсф.+рц. кр. – радиус эпюры контактных напряжений под центром сферы 6 и при заглублении сферы 6 в грунт и ее осадке (фиг.15) на глубину при этом горизонтальная опорная часть 7 плиты выполнена выступающей за края сферической опорной поверхности 6, либо оснащенной анкерными сваями 8.
Способ сооружения фундамента под машины реализуется следующим образом. В грунте отрывают на высоты фундамента, но не менее 1 м, шурф прямоугольной или цилиндрической (не показано) в плане формы и углубляют его дно по радиусу сферы где d – диаметр отпечатка сферической поверхности 6 фундаментной плиты 1 (фиг.1) на дне шурфа – угол сектора упругого полуконтакта сферы (фиг.3, 15) с грунтом, – давление структурной прочности грунта на растяжение, – угол внутреннего трения и с – удельное сцепление грунта, – критическое давление под центром сферы, и на подготовленное дно шурфа устанавливают опорной сферической поверхностью 6 фундаментную плиту 1 прямоугольной (фиг.3) или квадратной в плане формы при ее гидроизоляции от вредного воздействия агрессивных грунтовых вод и расположении центра тяжести машины 2 и центра тяжести площади подошвы фундамента на одной вертикали, причем опорную поверхность фундаментной плиты 1 принимают площадью где Еупр. – модуль упругости грунта, ко -коэффициент формы фундамента в плане, µо – коэффициент Пуассона грунта, Cz – коэффициент упругого равномерного сжатия, а среднее допускаемое давление на упругое грунтовое основание рассчитывают как где – радиус эпюры контактных напряжений под центром сферы, f=1-cos упр., при этом сферу заглубляют на величину S=(d/2)[(1-cos упр.)/sin упр.] при ее осадке где Ео – модуль объемной деформации грунта, при этом опорную сферическую поверхность 6 предохраняют от смещений с проворотом и от опрокидывания под действием внешней динамической нагрузки путем увеличения краевой горизонтальной опорной части прямоугольного в плане фундамента, выступающей за края сферической опорной центральной поверхности 6, либо путем анкеровки фундамента к грунту сваями 8 (фиг.4).
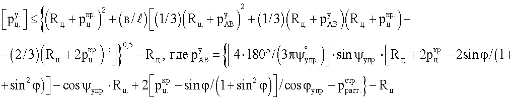
Пример 2 реализации способа и устройства. Устройство фундамента под машины выполнено в виде заглубленной в грунтовое основание на высоты, но не менее 1 м, массивной армированной железобетонной фундаментной плиты 1 прямоугольной (фиг.4, 5) или призматической (фиг.7, 8) балочной в плане формы при гидроизоляции ее от вредного воздействия агрессивных грунтовых вод и расположении центра тяжести машины 2 и центра тяжести площади подошвы фундамента на одной вертикали с площадью опорной поверхности, равной где Еупр. – модуль упругости грунта, ко – коэффициент упругого равномерного сжатия, с выемками 3, шахтами 4 и отверстиями 5 (фиг.4, 5, 7, 8) для размещения и крепления машины 2 и обеспечения удобств при ее обслуживании. При этом прямоугольный в плане балочный фундамент выполнен в виде единой протяженной цилиндрической (фиг.7, 9) без или с концевыми полусферическими (фиг.4, 6) опорными поверхностями 6 с радиусом цилиндра Rц.=в/(2sin упр.), в – ширина отпечатка заглубленного цилиндра, – угол сектора упругого полуконтакта (фиг.10, 12) цилиндра с грунтом, – давление структурной прочности на растяжение, – угол внутреннего трения и с – удельное сцепление грунта, – критическое давление под центром цилиндра (фиг.11) на длине , при среднем допускаемом давлении (фиг.13) на грунтовое основание 
– среднее давление под торцами цилиндра, и заглублении цилиндра в грунт и его осадке на глубину где Ео – модуль объемной деформации грунта, при этом горизонтальная опорная часть 7 призматического балочного фундамента выполнена выступающей за края цилиндрической опорной поверхности 6 либо оснащена анкерными сваями 8 (фиг.9).
Способ сооружения фундамента под машины реализуется следующим образом. В грунте отрывают на высоты фундамента, но не менее 1 м, шурф прямоугольной в плане формы длиной (фиг.7, 8) и углубляют его дно по радиусу цилиндра 6 (фиг.6, 9) Rц.=в/(2·sin упр.), в – ширина отпечатка цилиндра, цилиндр 6 заглубляют на глубину S=(в/2) [(1-cos упр.)/sin упр.] при среднем допускаемом давлении на упругое грунтовое основание (фиг.14) 

– среднее давление под обрезанными торцами цилиндра 6 (фиг.13), при осадке грунта Sц.=2в·рц. у.(1-µо 2)/( Ео) под цилиндром, где Ео – модуль объемной деформации, а цилиндрическую опорную поверхность 6 погружают в предварительно подготовленную цилиндрическую выемку в грунте с радиусом Rц. на глубину S=(в/2)[(1-cos упр.)/sin упр.], причем цилиндрическую опорную поверхность 6 фундамента предохраняют от продольного смещения и бокового опрокидывания под действием внешней динамической нагрузки путем увеличения горизонтальной опорной части 7 (фиг.6) прямоугольного или призматического балочного фундамента, выступающей за края цилиндрической опорной поверхности 6, либо путем анкеровки фундамента к грунтовому основанию сваями 8.
Сферическая или цилиндрическая опорная поверхность заглубленных фундаментов машин существенно увеличивает упругую несущую способность грунта при теоретически установленном угле ( упр.) их полуконтакта для заданных параметров и с грунта.
Предложенные устройства фундаментов машин гарантируют упругое взаимодействие с их грунтовым основанием с существенным увеличением срока службы.
Источники информации
1. Лалетин Н.В. Основания и фундаменты. – М.: Высшая школа, 1964. – С.200-214 (прототип по способу и устройству).
Формула изобретения
1. Способ сооружения фундамента под машины, заключающийся в заглублении подошвы массивного армированного железобетонного фундамента прямоугольной или призматической в плане формы в грунтовое основание на его высоты, но не менее 1 м, его гидроизоляцию от вредного воздействия агрессивных грунтовых вод и расположении центра тяжести машины и центра тяжести площади подошвы фундамента на одной вертикали, при этом опорную поверхность фундамента принимают площадью , где Еупр. – модуль упругости грунта, ко – коэффициент формы фундамента в плане, µo – коэффициент Пуассона грунта, Cz – коэффициент упругого равномерного сжатия, отличающийся тем, что опорную поверхность фундамента прямоугольную в плане выполняют с подошвой сферической выпуклой формы радиусом , где d – диаметр отпечатка заглубленной сферы на поверхности грунта, – угол сектора упругого полуконтакта сферы с грунтом, – давление структурной прочности грунта на растяжение, – угол внутреннего трения и с – удельное сцепление грунта, – критическое давление под центром сферы, при этом сферу фундамента заглубляют на величину S=(d/2)[(1-cos упр.)/sin упр.], причем опорную сферическую поверхность предохраняют от смещений с проворотом и от опрокидывания под действием внешней динамической нагрузки путем увеличения краевой горизонтальной опорной части прямоугольного в плане фундамента, выступающей за края сферической опорной центральной поверхности, либо путем анкеровки фундамента к грунту сваями.
2. Способ по п.1, отличающийся тем, что опорную поверхность подошвы фундамента призматической балочной формы выполняют выпуклой цилиндрической длиной l с возможным полусферическим окончанием, при этом радиус цилиндра принимают равным Rц.=в/(2sin упр.), в – ширина отпечатка цилиндра, цилиндр заглубляют на глубину S=(в/2)[(1-cos упр.)/sin упр.] при среднем допускаемом давлении на упругое грунтовое основание цилиндра
 – среднее давление под обрезанными торцами цилиндра, при осадке грунта Sц.=2в·рц. у.(1-µo 2)/( Eo) под цилиндром, где Ео – модуль объемной деформации, а цилиндрическую опорную поверхность погружают в предварительно подготовленную цилиндрическую выемку в грунте с радиусом Rц. на глубину S=(в/2)[(1-cos упр.)/sin упр.], причем цилиндрическую опорную поверхность фундамента предохраняют от продольного смещения и бокового опрокидывания под действием внешней динамической нагрузки путем увеличения продольной горизонтальной опорной части прямоугольного или призматического балочного фундамента, выступающей за края цилиндрической опорной поверхности, либо путем анкеровки фундамента к грунтовому основанию сваями.
3. Устройство фундамента под машины, выполненное в виде массивной армированной железобетонной фундаментной плиты прямоугольной или призматической в плане формы, заглубленной в грунтовое основание на величину ее высоты, но не менее 1 м, гидроизолированной от вредного воздействия агрессивных грунтовых вод, с возможностью расположения центра тяжести машины и центра тяжести площади подошвы фундамента на одной вертикали, с площадью опорной поверхности, равной F={Eупр./[ко·Cz·(1-µо 2)]}2, где Еупр. – модуль упругости грунта, ко – коэффициент формы фундамента в плане, µo – коэффициент Пуассона грунта, Cz – коэффициент упругого равномерного сжатия, с выемками, шахтами и отверстиями и для размещения и крепления машины и обеспечения удобств при ее обслуживании, отличающееся тем, что прямоугольный в плане фундамент выполнен с опорной фундаментной плитой выпуклой сферической формы с радиусом , где d – диаметр отпечатка заглубленной сферы на поверхности углубленного грунта, – угол сектора упругого полуконтакта сферы с грунтом, – давление структурной прочности грунта на растяжение, – угол внутреннего трения и с – удельное сцепление грунта, – критическое давление под центром сферы, при этом горизонтальная опорная часть плиты выполнена выступающей за края сферической опорной поверхности, либо оснащенной анкерными сваями.
4. Устройство по п.3, отличающееся тем, что балочный фундамент выполнен в виде единой протяженной цилиндрической без или с концевыми полусферическими опорными поверхностями с радиусом цилиндра Rц.=в/(2sin упр.), где в – ширина отпечатка заглубленного цилиндра, – угол сектора упругого полуконтакта цилиндра с грунтом, – давление структурной прочности на растяжение, – угол внутреннего трения и с – удельное сцепление грунта, – критическое давление под центром цилиндра на длине l, при среднем допускаемом давлении на упругое грунтовое основание
 – среднее давление под торцами цилиндра, и заглублении цилиндра в грунт, и его осадке на глубину
где Ео – модуль объемной деформации грунта, при этом горизонтальная опорная часть призматического балочного фундамента выполнена выступающей за края цилиндрической опорной поверхности, либо оснащена анкерными сваями.
РИСУНКИ
|
|