Патент на изобретение №2392325
|
||||||||||||||||||||||||||||||||||||||||||||||||||||||||||||||||||||||||||||||||||||||||||||||||||||||||||||||||||||||||||||||||
(54) ШТАММ AMYCOLATOPSIS FRUCTIFERI SUBSP. RISTOMYCINI – ПРОДУЦЕНТ АНТИБИОТИКА РИСТОМИЦИНА
(57) Реферат:
Штамм Amycolatopsis fructiferi subsp. ristomycini 8765 получен в результате мутантного преобразования свойств штамма Proactinomyces fructiferi var. ristomycini 5339 в результате последовательного трехступенчатого воздействия метилнитрозогуанидина, ультрафиолетовых и гамма-лучей 60Со на исходный штамм и отбора оригинального мутантного штамма с повышенной антибиотической активностью. Полученный штамм отличается от известного по характеру роста на диагностических агаровых средах, по степени усвоения источников углерода (сахароза, крахмал, рамноза, манноза) и по способности образования пигмента и антибиотической активности, которая в 5 раз превосходит активность штамма Proactinomyces fructiferi var. ristomycini 5339 и составляет 2000 мкг/мл. Штамм депонирован в ВКПМ под коллекционным номером ВКПМ – S1085. Изобретение может быть использовано в медицинской промышленности при производстве антибактериального антибиотика ристомицина, эффективного при лечении инфекций, вызываемых грамположительными возбудителями, в том числе метициллинустойчивыми и некоторыми анаэробами. 3 табл.
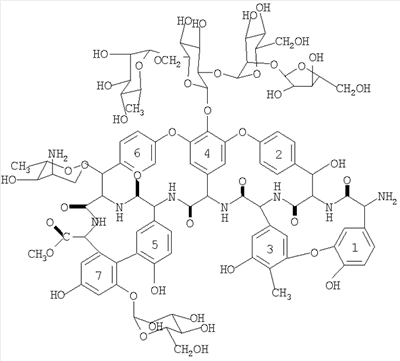
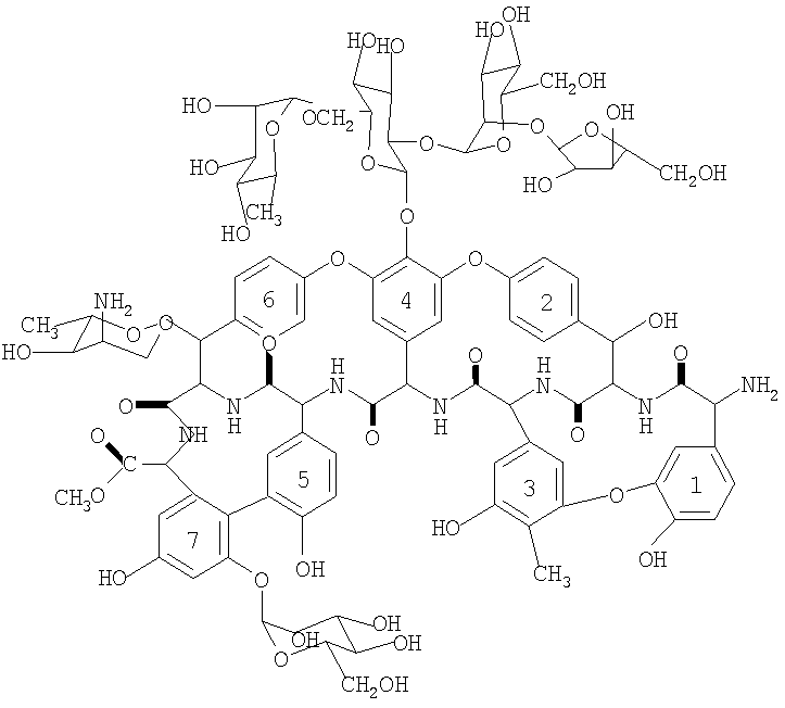
Изобретение относится к медицинской промышленности и касается нового штамма – продуцента антибактериального антибиотика ристомицина из группы полициклических гликопептидов (далбагептидов). Структура антибиотика ристомицина Благодаря уникальной способности подавлять биосинтез пептидогликана клеточной стенки антибиотики этой группы эффективны в отношении многих патогенных грамположительных бактерий. Подобно ванкомицину и тейкопланину, ристомицин обладает мощным бактерицидным действием на стафилококков, энтерококков и пневмококков, в том числе метициллинустойчивых и некоторых анаэробов, вызывающих тяжелые септические заболевания. Ристомицин используется в качестве диагностикума при некоторых заболеваниях кроветворения, а также входит в состав ветеринарных препаратов. Известен штамм Proactinomyces fructiferi var. ristomycini 5339 – продуцент антибиотика ристомицина [1], принятый в качестве прототипа. Недостатком известного штамма является низкий уровень содержания антибиотика в культуральной жидкости (не более 400 мг ристомицина на 1 л культуральной жидкости). Сущность изобретения состоит в том, что получен новый штамм – продуцент ристомицина – в результате многоступенчатого мутагенного воздействия метилнитрозогуанидина, ультрафиолетовых и гамма-лучей 60Со на исходный штамм с последующим отбором мутантов на средах, содержащих стрептомицин и ванкомицин в качестве селективных агентов. Полученный новый штамм депонирован в коллекции культур «ГосНИИгенетика» под номером штамм ВКПМ-S1085. Штамм Amycolatopsis fructiferi subsp. ristomycini ВКПМ-S1085 обладает повышенной продуктивностью ристомицина (2,0 г в 1 л культуральной жидкости) и характеризуется следующими культурально-морфологическими и физиологическими признаками. Культурально-морфологические признаки штамма ВКПМ-S1085 Температура 37°С; длительность выращивания – (7-12) суток. Посев на агаровые среды споровым материалом с (8-10)-дневной культуры, выращенной на гороховом агаре. Цвет определен по таблице Бондарцева и Праузера (таблица 1). Морфологические признаки. Спороносцы прямые, споры продолговатые, поверхность спор гладкая. Гифы вегетативного мицелия септированы. Распадаются на фрагменты (2-3 мкм длины). Физиолого-биохимические свойства. Аэроб растет при (24-37)°С; оптимум роста 37°С, биосинтеза 28°С. Желатину разжижает, молоко пептонизирует. Сахарозу инвертирует. Крахмал не гидролизует. На клетчатке не растет. Восстанавливает нитраты до нитритов. Меланоидные пигменты не образует при росте на среде Треснера с лимоннокислым железом. Использование источников углерода. Хорошо утилизирует глюкозу, глицерин, арабинозу, мальтозу; умеренно – сахарозу, крахмал, маннит, лактозу; слабо – рамнозу, не использует ксилозу. Антагонистические свойства При испытании методом штриха на глюкозо-нитратном агаре Штамм-продуцент ристомицина поясняется следующим примером. Пример 1. Споровым материалом с мицелием культуры Amycolatopsis fructiferi subsp. ristomycini ВКПМ-S1085, выращенной в течение (7-10) суток при 37°С на гороховом агаре, засевают питательную среду (100 мл в колбах Эрленмейера объемом 750 мл) и выращивают при 28°С в течение (18-24) ч на качалке при (220-240) об/мин. Состав посевной среды, %:
Среду стерилизуют в течение 30 мин при давлении 0,6 атм при 120°С. Выросшим мицелием в количестве (3-5) % от объема среды засевают питательную среду (100 мл в колбах Эрленмейера объемом 750 мл) следующего состава, %:
Ферментацию проводят при 28°С в течение (120-144) ч на качалке при (220-240) об/мин. Антибиотическую активность культуральной жидкости определяют методом диффузии в агар с использованием тест-культуры Bacillus subtilis ATCC 6633. Содержание ристомицина в культуральной жидкости к концу ферментации составляет 2000 мкг/мл. Препарат, полученный на основе нового штамма-продуцента путем сорбции на ионно-обменных смолах и многоступенчатой химической очистки [2], по своим физико-химическим показателям, антибактериальной активности и токсичности полностью соответствует стандартному образцу ристомицина. Преимуществом заявленного штамма по сравнению с прототипом является способность к биосинтезу с высокой продуктивностью гликопептидного антибиотика ристомицина. Таким образом, создан новый мутантный штамм Amycolatopsis fructiferi subsp. ristomycini BKПM-S1085, отличающийся от прототипа по характеру роста на диагностических агаровых средах, по степени усвоения иточников углерода (рамноза, сахароза, крахмал, манноза), по способности образования пигмента и антибиотической активности, которая в 5 раз превосходит активность штамма-прототипа и составляет 2000 мкг/мл (Таблицы ЛИТЕРАТУРА 1. Гаврилина Г.В., Рохленко С.Г. Образование ристомицина на синтетических средах. В сб. «Ристомицин и его применение в клинике», Изд-во «Медицина», Москва, 1965, с.7-13.
Заявитель-патентообладатель: ГУ научно-исследовательский институт по изысканию новых антибиотиков им. Г.Ф.Гаузе Российской академии медицинских наук (ГУ НИИНА им. Г.Ф.Гаузе РАМН)
Формула изобретения
Штамм Amycolatopsis fructiferi subsp. ristomycini ВКПМ-S1085 – продуцент антибиотика ристомицина.
|
||||||||||||||||||||||||||||||||||||||||||||||||||||||||||||||||||||||||||||||||||||||||||||||||||||||||||||||||||||||||||||||||


2 Гаузе штамм подавляет рост грамположительных бактерий Staphylococcus aureus, Bacillus subtilis, Bacillus mycoides, Micrococcus luteus, не действует на Escherichia coli и дрожжи Candida albicans. Специфических вирулентных фагов не выявлено, лизиса в процессе ферментации не происходит.