Патент на изобретение №2392310
|
|||||||||||||||||||||||||||||||||||||||||||||||||||||||||||||||||||||||||||||||||||||||||||||||||||||||||||||||||
(54) СРЕДА ОБОГАЩЕНИЯ ДЛЯ ВЫДЕЛЕНИЯ ХОЛЕРНОГО ВИБРИОНА
(57) Реферат:
Изобретение относится к биотехнологии и может быть использовано в медицинской микробиологии. Питательная среда содержит панкреатический перевар пекарских дрожжей, натрий хлористый, калий азотнокислый и дистиллированную воду при заданном содержании компонентов. Изобретение позволяет повысить ростовые качества питательной среды и повысить ее чувствительность. 2 табл.
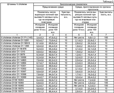
Предлагаемое изобретение относится к области медицинской микробиологии и может быть использовано как питательная среда обогащения для выделения холерного вибриона. Все известные питательные среды в качестве основы содержат белки животного или растительного происхождения, в частности белки сои (см. RU пат. Однако такие среды нестандартны в отношении используемого сырья, которое, кроме того, применяется для питания человека и животных, при этом в основном упомянутые среды имеют низкую чувствительность в виду присутствия дубильных веществ, плохо действующих на рост микроорганизмов. В настоящее время перспективными являются среды, получаемые из дрожжевого сырья, в частности из хлебопекарных дрожжей, которые растут на дешевых субстратах (отходы пищевой и молочной промышленности). Наиболее близкой по технической сущности является среда обогащения для выделения холерных вибрионов (см. RU Пептон ферментативный сухой 3,0-4,0 Хлорид натрия 5,0-6,0 Натрия калия 0,1-0,12 Карбонат натрия 2,5-2,6 Дистиллированная вода 1 л рН 8,4±0,2 Недостатком прототипа является то, что при высеве 6-часовых культур на агаровые пластинки в отношении 28 взятых в работу штаммов V.cholerae (см. табл.2), известная среда по показателю числа выросших колоний имеет значение втрое ниже, чем предложенное. Это обстоятельство подтверждает недостаточность ее ростовых показателей и соответственно невысокую чувствительность. Кроме того, питательной основой известной среды является пептон ферментативный – препарат из нестандартного мясного сырья, что отражается на качестве и стоимости среды. Технической задачей предлагаемого изобретения является повышение ростовых качеств – повышение чувствительности среды обогащения для выделения холерного вибриона, а также снижение ее стоимости. Поставленная задача достигается тем, что в известной среде обогащения для выделения холерного вибриона, содержащей питательную основу, натрий хлористый, калий азотнокислый и дистиллированную воду, питательной основой является панкреатический перевар пекарских дрожжей при следующем соотношении компонентов из расчета на 1 литр: Панкреатический перевар пекарских дрожжей 0,01-0,1% (по аминному азоту) Натрий хлористый 0,4-0,8 г Калий азотнокислый -0,1-0,12 г Дистиллированная вода до 1 литра рН 8,2±0,4 Питательную среду готовят следующим образом. Исходным материалом служит панкреатический перевар пекарских дрожжей (ПППД), представляющий собой белковый гидролизат, который является питательной основой сред для культивирования и выделения холерного вибриона (препарат разработан Ростовским противочумным институтом, подтвержден «Инструкцией по изготовлению и контролю», «Инструкцией по применению»), в настоящее время подготовлены материалы: «Производственный регламент», «Временная фармакопейная статья» для представления в ГИСК им. Тарасовича. В емкость вносят 0,01-0,1% (по аминному азоту) панкреатического перевара пекарских дрожжей, натрия хлористого 0,4-0,8 г и доводят объем до 1 литра холодной дистиллированной водой. Смесь кипятят на плитке 5-10 мин или в паровом стерилизаторе (в режиме текучего пара) в течение 40-60 мин. Затем добавляют 0,1-0,12 г калия азотнокислого. Раствор фильтруют через ватно-марлевый фильтр. Проверяют реакцию среды, если нужно, pH доводят до 8,2±0,4 с помощью 18% раствора соляной кислоты или 20% раствора гидроокиси натрия. Готовую среду разливают в градуированные флаконы по 100 мл и стерилизуют при 110°С 20 мин. Качество готовой предлагаемой питательной среды обогащения для выделения холерного вибриона проверяют в соответствии с требованиями Методических указаний МУ 3.3.2.2124-06 (5). Пример 1. В питательную среду следующего состава (из расчета на 1 литр): панкреатический перевар пекарских дрожжей 0,005% (по аминному азоту), натрий хлористый 2 г, калий азотнокислый 0,05 г добавляли дистиллированную воду до 1 литра, а затем кипятят до полного растворения ингредиентов, фильтруют через вату, устанавливают pH 8,2±0,4 с помощью 18% раствора соляной кислоты или 20% раствора гидроокиси натрия. Готовую среду разливают в градуированные флаконы по 100 мл, стерилизуют в автоклаве при 0,5 атм 20 мин. После охлаждения среды до 37°С во флаконы вносят 100 м.к. штаммов холерного вибриона различных биоваров и серогрупп, подготовленных в соответствии с требованиями МУ 3.3.2.2124-06. После шести часов инкубации при 37°С производили высев бактериологической петлей Таким образом среда данного состава не соответствует требованиям МУ 3.3.2.2124-06, кроме того, наблюдается даже отсутствие роста штаммов V. cholerae cholerae O1 P-1 (145), V.cholerae O139 16077. Пример 2. В питательную среду следующего состава (из расчета на 1 литр): панкреатический перевар пекарских дрожжей 0,01% (по аминному азоту), натрий хлористый 0,4 г, калий азотнокислый 0,1 г добавляют дистиллированную воду до 1 литра, а затем кипятят до полного растворения ингредиентов, фильтруют через вату, устанавливают pH 8,2±0,4 с помощью 18% раствора соляной кислоты или 20% раствора гидроокиси натрия. Готовую среду разливали в градуированные флаконы по 100 мл, стерилизуют в автоклаве при 0,5 атм 20 мин. После охлаждения среды до 37°С во флаконы вносят 100 м.к. штаммов холерного вибриона различных биоваров и серогрупп, подготовленных в соответствии с требованиями МУ 3.3.2.2124-06. После шести часов инкубации при 37°С производят высев бактериологической петлей Следовательно, среда данного состава соответствует требованиям МУ 3.3.2.2124-06, все штаммы дают рост более 10 м.к. Пример 3. В питательную среду следующего состава (из расчета на 1 литр): панкреатический перевар пекарских дрожжей 0,05% (по аминному азоту), натрий хлористый 5 г, калий азотнокислый 0,1 г добавляют дистиллированную воду до 1 литра, а затем кипятят до полного растворения ингредиентов, фильтруют через вату, устанавливают pH 8,2±0,4 с помощью 18% раствора соляной кислоты или 20% раствора гидроокиси натрия. Готовую среду разливают в градуированные флаконы по 100 мл, стерилизуют в автоклаве при 0,5 атм 20 мин. После охлаждения среды до 37°С во флаконы вносят 100 м.к. штаммов холерного вибриона различных биоваров и серогрупп, подготовленных в соответствии с требованиями МУ 3.3.2.2124-06. После шести часов инкубации при 37°С производят высев бактериологической петлей Пример 4. Готовят среду следующего состава (из расчета на 1 литр): Панкреатический перевар пекарских дрожжей 0,1% (по аминному азоту) Натрий хлористый 8 г Калий азотнокислый 0,12 г Добавляют дистиллированную воду до 1 литра, а затем проводят кипячение, фильтрацию, установку pH. Все дальнейшие действия осуществляют по технологии примеров 1, 2, 3. (Результаты представлены в табл.1). Исходя из результатов получили среду, соответствующую требованиям МУ 3.3.2.2124-06, однако количество выросших колоний имеют пограничные значения. Пример 5. Готовят среду следующего состава (из расчета на 1 литр). Панкреатический перевар пекарских дрожжей 0,2% (по аминному азоту) Натрий хлористый 12 г Калий азотнокислый 0,2 г Добавляют дистиллированную воду до 1 литра. После осуществляют кипячение, фильтрацию, установку pH. Дальнейшая технология проводится аналогично примерам 1, 2, 3. Результаты указаны в табл.1, из которой видно, что идет плохой рост колоний, который не соответствует МУ 3.3.2.2124-06. Провели сравнительную оценку биологических показателей предлагаемой среды и среды, приготовленной по прописи прототипа. Оценивали следующие биологические показатели: чувствительность сред; число колоний, выросших при высеве культур после 6 часов инкубации в исследуемых жидких средах на агаровые пластинки. Данные показатели оценивали в отношении 28 штаммов холерного вибриона различных биоваров и серогрупп, включая тест-штаммы V.cholerae cholerae O1 P-1 (145). V.cholerae eltor O1 M-878. V.cholerae non O1 P-9741. Результаты сравнительного изучения предлагаемой среды и среды, приготовленной по прописи прототипа, представлены в табл.2. Анализ результатов, представленных в табл.2, свидетельствует о том, что предлагаемая среда по показателю чувствительности на порядок превосходит известную среду. Четыре из 28 взятых в работу штаммов при внесении посевной дозы 10 м.к. не растут на среде, приготовленной по прописи прототипа. Предлагаемая среда по показателю числа колоний, выросших при высеве 6-часовых культур на агаровые пластинки в отношении всех использованных штаммов V. cholerae в среднем, втрое превосходит прототип. Кроме того, в результате сравнения стоимости материалов идущих на изготовление 1 л известной предлагаемой среды, последняя в три раза дешевле. Таким образом, предлагаемая среда обогащения для выделения холерных вибрионов имеет преимущества по биологическим показателям и по себестоимости.
Формула изобретения
Среда обогащения для выделения холерного вибриона, содержащая питательную основу, натрий хлористый, калий азотнокислый и дистиллированную воду, отличающаяся тем, что в качестве питательной основы она содержит панкреатический перевар пекарских дрожжей при следующем количественном содержании компонентов из расчета на 1 л:
|
|||||||||||||||||||||||||||||||||||||||||||||||||||||||||||||||||||||||||||||||||||||||||||||||||||||||||||||||||

2301256, кл. С12 
