|
|
(21), (22) Заявка: 2006131607/04, 01.09.2006
(24) Дата начала отсчета срока действия патента:
01.09.2006
(30) Конвенционный приоритет:
02.09.2005 EP 05108072.9
(46) Опубликовано: 20.06.2010
(56) Список документов, цитированных в отчете о поиске:
US 6294620 А, 25.09.2001. US 6511752 B1, 28.01.2003. RU 2182614 C1, 20.05.2002. RU 2162096 C2, 20.01.2001.
Адрес для переписки:
129090, Москва, ул. Б.Спасская, 25, стр.3, ООО “Юридическая фирма Городисский и Партнеры”, пат.пов. Е.Е.Назиной
|
(72) Автор(ы):
ЗУТТЕР Йоланда (CH), ХУК Вольф-Рюдигер (CH)
(73) Патентообладатель(и):
ЗИКА ТЕКНОЛОДЖИ АГ (CH)
|
(54) ВОДНАЯ ДВУХКОМПОНЕНТНАЯ ОРГАНОАЛКОКСИСИЛАНОВАЯ КОМПОЗИЦИЯ
(57) Реферат:
Изобретение относится к водной двухкомпонентной композиции промотора адгезии, а также к ее применению в процессе склеивания или герметизации. Кроме того, оно относится к таре, состоящей из двухкомпонентной композиции, а также из упаковки с двумя отделениями. Двухкомпонентная композиция промотора адгезии состоит из первого компонента К1, включающего по меньшей мере один органоалкоксисилан «S» и по меньшей мере один безводный ПАВ «Т», и из второго компонента К2, включающего воду и по меньшей мере одну кислоту, причем кислота присутствует в таком количестве, что после смешения компонентов К1 и К2 полученная смесь имеет кислую реакцию при рН от 3 до 5. Технический результат состоит в упрощении приготовления композиции, улучшении адгезии при сохранении стабильности композиции. 9 н. и 18 з.п. ф-лы, 11 ил., 12 табл.
Область техники
Настоящее изобретение относится к области водных двухкомпонентных органоалкоксисилановых композиций и, в частности, к области водных промоторов адгезии для улучшения адгезии клеев и герметиков.
Уровень техники
Известно, что трудно достичь адгезии клеев и герметиков с определенными основами. Поэтому подобные основы должны подвергаться предварительной обработке. Часто применяемым способом является предобработка праймерами или композициями промоторов адгезии. Применение этих органоалкоксисиланов, часто называемых просто силанами, известно уже давно. Однако такие праймеры или клейкие грунтовки обычно содержат в большом количестве растворитель. По экологическим причинам и требованиям техники безопасности подобные средства предварительной обработки на основе растворителей становятся все более нежелательными. Поэтому стремятся получить в качестве праймеров или составов промотора адгезии водные органоалкоксисилановые композиции.
Органоалкоксисиланы, в частности гидрофобные органоалкоксисиланы, трудно смешиваются с водой. Чаще они образуют две фазы, на поверхности раздела которых видны осадки и хлопья. Однако чтобы быть пригодным для практического использования, промотор адгезии должен быть однородным.
Однако для органоалкоксисиланов естественно реагировать с водой. Алкоксисилановые группы гидролизуются водой в силанолы (Si-OH-группы). Силанолы могут затем конденсироваться в силоксаны (Si-O-Si-группы). Однако такие силоксаны по большей части больше нерастворимы и выпадают в осадок, что ведет к нежелательной мути и осадкам. Поэтому водные органоалкоксисилановые композиции пригодны для хранения лишь в течение очень короткого времени.
В документе US 6511752 B2 раскрывается водный праймер, который был получен из аминотитаната, эпоксисилана, а также воды и который имеет большой срок хранения.
В документе US 6294620 B1 показан водоэмульсионный праймер, который получен при нейтральном pH в двухстадийном процессе с высокооборотным смесителем из нерастворимых в воде этоксисиланов в присутствии эмульгатора.
Однако для получения этого водного праймера указаны узкие границы относительно органоалкоксисилановых композиций, или их получение очень дорого.
Описание изобретения
Поэтому задачей настоящего изобретения является создание водной композиции промотора адгезии, которая имеет широкое применение и может быть получена простым способом.
Неожиданно было обнаружено, что эта проблема решается двухкомпонентной композицией промотора адгезии по пункту 1 формулы изобретения.
Два компонента K1 и K2 по отдельности исключительно стабильны при хранении. Компонент K1 имеет по сравнению с обычными органоалкоксисилановыми композициями заметно меньшую влагопоглощаемость, так что небольшие количества влаги, которые могут быть вызваны, например, плохо закрытой упаковкой или применением упаковок из пластмассы, которые, как известно, не являются водонепроницаемыми, вполне могут быть допустимы.
Годную к употреблению композицию промотора адгезии получают путем простого взбалтывания двух компонентов. Таким образом, двухкомпонентная композиция промотора адгезии представляет собой систему для предварительной обработки, которая безопасна и проста в применении, а также может применяться и приготавливаться неквалифицированными пользователя. Таким образом возможны также тары, состоящие из упаковки для двух компонентов с двумя отделениями, отделенными друг от друга по меньшей мере одной перегородкой, в которую упакованы два компонента водной композиции промотора адгезии и которая представляет надежную и простую систему применения для неспециалиста.
Кроме того, было найдено, что после смешения композиция промотора адгезии может использоваться еще в течение длительного времени, обычно недели, без возникновения проблем с адгезией.
Краткое описание чертежей
Далее посредством чертежей более подробно поясняются примеры осуществления изобретения. Одинаковые элементы на разных фигурах снабжены одинаковыми позициями. Направление сил показано стрелками.
Показано:
фиг.1 – вид в разрезе конструктивной формы P1 с хрупкой перегородкой,
фиг.2 – вид в разрезе конструктивной формы P2 со вспомогательным средством для разрыва, в частности, с приспособлением для разрезания,
фиг.3 – вид в разрезе конструктивной формы P3 с прокладкой,
фиг.4 – вид в разрезе конструктивной формы P4 с выдергивающейся перегородкой,
фиг.5-9 – вид в разрезе предпочтительной конструктивной формы P1,
фиг.10 – вид в разрезе предпочтительной конструктивной формы P2,
фиг.11 – вид в разрезе предпочтительной конструктивной формы P4.
Для упрощения понимания изобретения показаны только существенные элементы. Перемещения и давления указаны стрелками.
Пути для осуществления изобретения
Настоящее изобретение относится к водной двухкомпонентной композиции промотора адгезии, состоящей из первого компонента K1 и второго компонента K2. При этом первый компонент K1 содержит по меньшей мере один органоалкоксисилан S и по меньшей мере один безводный ПАВ T. Второй компонент K2 включает по меньшей мере воду и по меньшей мере одну кислоту. Существенно, чтобы количество кислоты было выбрано так, чтобы после смешения двух компонентов K1 и K2 полученная смесь была кислой. Это означает, что pH такой смеси меньше 7. Предпочтительный pH такой смеси составляет от 3 до 5, в частности от 3,5 до 4,5.
Термин “безводный” в настоящем документе не должен интерпретироваться как “абсолютно не содержащий воды”. Поэтому “безводными” обозначаются также соединения и композиции, которые содержат незначительные следы воды, т.е. которые имеют остаточное содержание воды максимум 1 вес.%, в частности максимум 0,5 вес.%.
Понятием “органоалкоксисилан” или кратко “силан” в настоящем документе обозначаются соединения, у которых, с одной стороны, по меньшей мере одна, а обычно две или три алкоксигруппы напрямую связаны с атомом кремния (через Si-O-связь) и которые, с другой стороны, имеют по меньшей мере один органический остаток, напрямую связанный с атомом кремния (через Si-C-связь), и не имеют связей Si-O-Si. В соответствии с этим понятие “силановая группа” означает содержащую кремний группу, соединенную с органическим остатком органоалкоксисилана. Органоалкоксисиланы, соответственно их силановые группы, имеют особенность гидролизоваться при контакте с влагой. При этом образуются органосиланолы, то есть кремнийорганические соединения, содержащие одну или несколько силаноловых групп (Si-OH-групп), и, при следующих реакциях конденсации, органосилоксаны, то есть кремнийорганические соединения, содержащие одну или несколько силоксановых групп (Si-O-Si-групп).
Такими понятиями, как “аминосилан”, “эпоксисилан”, “алкилсилан”, “(мет)акрилатосилан” и “меркаптосилан”, означаются силаны, которые имеют соответствующие функциональные группы, здесь также аминоалкилалкоксисилан, эпоксиалкилалкоксисилан, алкилалкоксисилан, (мет)акрилатосилан и меркаптоалкилалкоксисилан.
Органоалкоксисиланами S являются, в частности, аминосиланы, эпоксисиланы, меркаптосиланы, (мет)акрилатосиланы и алкилсиланы.
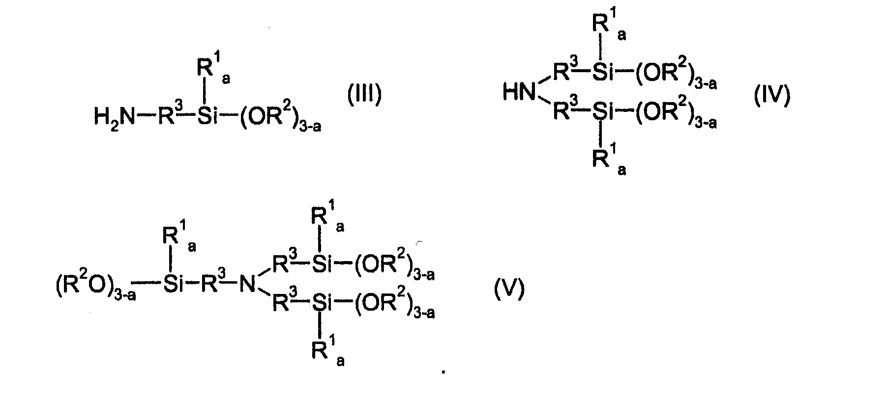
Аминосиланами являются, в частности, аминосиланы формулы (I) или продукты реакции аминосиланов по формуле (I), имеющих по меньшей мере одну вторичную или первичную аминогруппу, с соединением (ARV), которое имеет по меньшей мере одну функциональную группу, которая может реагировать с первичной или вторичной аминогруппой.

Здесь R1 означает алкильную группу с 1-8 атомами C, предпочтительно метильную или этильную группу. Предпочтительно R1 означает метильную группу.
Далее, R2 означает алкильную группу с 1-5 атомами C, предпочтительно метильную группу или этильную группу или изопропиловую группу. Предпочтительно R2 означает метильную группу или этильную группу.
Далее, R3 означает линейную или разветвленную алкиленовую группу с 1-4 атомами C. Предпочтительно R3 означает пропиленовую группу.
Далее, R4 означает H, или линейную или разветвленную алкиленовую группу с 1-10 атомами C, или заместитель формулы (II)

Далее, R означает H или линейную или разветвленную алкиленовую группу с 1-10 атомами C, или линейную или разветвленную алкиленовую группу с 1-10 атомами C с дополнительными гетороатомами, или заместитель формулы (II)

Особенно предпочтительным остатком R5 линейной алкиленовой группы с 1-10 атомами C с другими гетороатомами считается остаток CH2CH2NH2.
Наконец, индекс a имеет значение 0, 1 или 2, в частности 0 или 1. Предпочтительно a означает 0.
Примерами таких аминосиланов формулы (I) являются 3-аминопропилтриметоксисилан, 3-аминопропилдиметоксиметилсилан, 3-амино-2-метилпропилтриметоксисилан, 4-аминобутилтриметоксисилан, 4-аминобутилдиметоксиметилсилан, 4-амино-3-метилбутилтриметоксисилан, 4-амино-3,3-диметилбутилтриметоксисилан, 4-амино-3,3-диметилбутилдиметоксиметилсилан, 2-аминоэтилтриметоксисилан, 2-аминоэтилдиметоксиметилсилан, аминометилтриметоксисилан, аминометилдиметоксиметилсилан, аминометилметоксидиметилсилан, N-метил-3-аминопропилтриметоксисилан, N-этил-3-аминопропилтриметоксисилан, N-бутил-3-аминопропилтриметоксисилан, N-циклогексил-3-аминопропилтриметоксисилан, N-фенил-3-аминопропилтриметоксисилан, N-метил-3-амино-2-метилпропилтриметоксисилан, N-этил-3-амино-2-метилпропилтриметоксисилан, N-этил-3-аминопропилдиметоксиметилсилан, N-фенил-4-аминобутилтриметоксисилан, N-фениламинометилдиметоксиметилсилан, N-циклогексиламинометилдиметоксиметилсилан, N-метиламинометилдиметоксиметилсилан, N-этиламинометилдиметоксиметилсилан, N-пропиламинометилдиметоксиметилсилан, N-бутиламинометилдиметоксиметилсилан; N-(2-аминоэтил)-3-аминопропилтриметоксисилан, бис(триметоксисилилпропил)амин, трис(триметоксисилилпропил)амин, а также их аналоги с этокси- или изопропокси-группами вместо метокси-групп у кремния.
Предпочтительными аминосиланами формулы (I) являются аминосиланы, которые выбраны из группы, включающей аминосиланы формул (III), (IV) и (V).

Наиболее предпочтительными аминосиланами формулы (I) являются аминосиланы 3-аминопропилтриметоксисилан, N-(2-аминоэтил)-3-аминопропилтриметоксисилан, 3-[2-(2-аминоэтиламино)этиламино]пропилтриметоксисилан, бис(триметоксисилилпропил)амин и трис(триметоксисилилпропил)амин.
В одном варианте выполнения аминосилан является продуктом реакции аминосилана формулы (I), как описано выше, который имеет по меньшей мере одну вторичную или первичную аминогруппу, с соединением (ARV), имеющим по меньшей мере одну функциональную группу, которая может реагировать с первичной или вторичной аминогруппой.
Эта функциональная группа, которая может реагировать с первичной или вторичной аминогруппой, предпочтительно является эпоксигруппой. Однако допустимы и другие группы, как, например, изоцианатные группы или активированные двойные связи. Особенно подходящими соединениями с эпоксигруппами являются эпоксисиланы. Предпочтительными соединениями (ARV), которые могут реагировать с аминосиланом формулы (I), по меньшей мере с одной вторичной или первичной аминогруппой, являются эпоксисиланы формулы (VI)

где R1 означает алкильную группу с 1-8 атомами C, предпочтительно метильную или этильную группу. R2′ означает алкильную группу с 1-5 атомами C. Далее, R3′ означает линейную или разветвленную алкиленовую группу с 1-4 атомами C, и a’ означает 0, 1 или 2, в частности, 0 или 1.
R1 означает, в частности, метильную группу. R2 предпочтительно означает метильную группу, или этильную группу, или изопропиловую группу. Особенно предпочтительно R2′ означает метильную группу или этильную группу. R3′ предпочтительно означает пропилен. Индекс a’ предпочтительно означает 0.
Эпоксисиланами являются например, 2-(3,4-эпоксициклогексил)этилтриметоксисилан, 2-(3,4-эпоксициклогексил)этилтриэтоксисилан), 3-глицидилоксипропилтриэтоксисилан и 3-глицидилоксипропилтриметоксисилан.
Предпочтительными эпоксисиланами считаются 3-глицидиооксипропилтриэтоксисилан и 3-глицидилоксипропилтриметоксисилан. Наиболее предпочтительным эпоксисиланом является 3-глицидилоксипропилтриметоксисилан.
Аминосиланами формулы (I), которые применяются для продукта реакции, являются, помимо прочих, N-(2-аминоэтил)-3-аминопропилтриметоксисилан и N-(2-аминоэтил)-3-аминопропилтриэтоксисилан, предпочтительно N-(2-аминоэтил)-3-аминопропилтриметоксисилан, в частности, аминосиланы формулы (III) или (IV), в частности, 3-аминопропилтриметоксисилан, бис(триметоксисилилпропил)амин, 3-аминопропилтриэтоксисилан и бис(триэтоксисилилпропил)амин. Предпочтительны 3-аминопропилтриметоксисилан и бис(триметоксисилилпропил)амин.
В зависимости от стехиометрии аминосилана формулы (I) и аминоактивного соединения (ARV) продукт реакции может дополнительно иметь или не иметь первичные или вторичные аминогруппы.
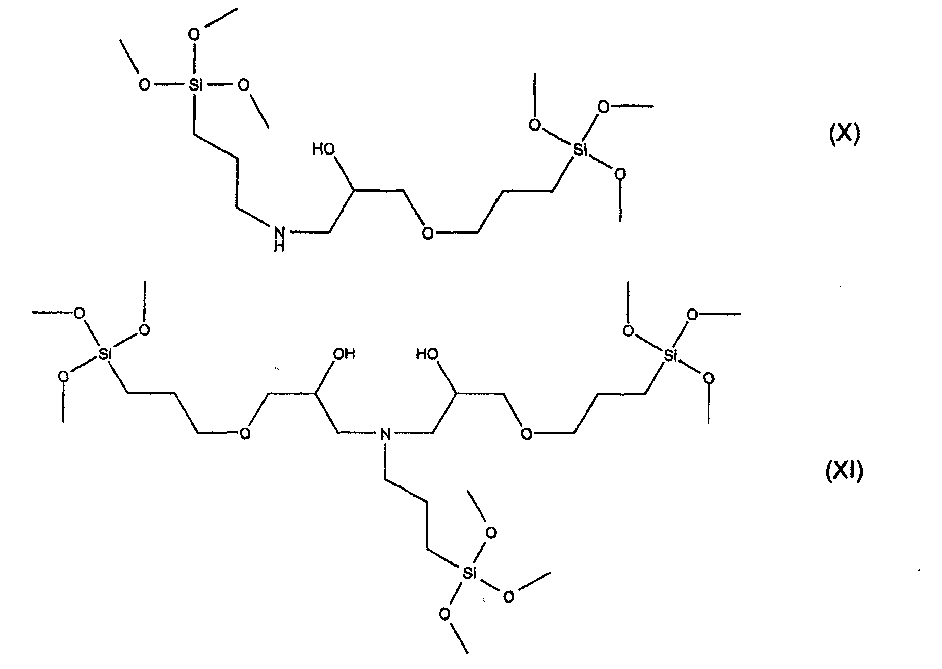
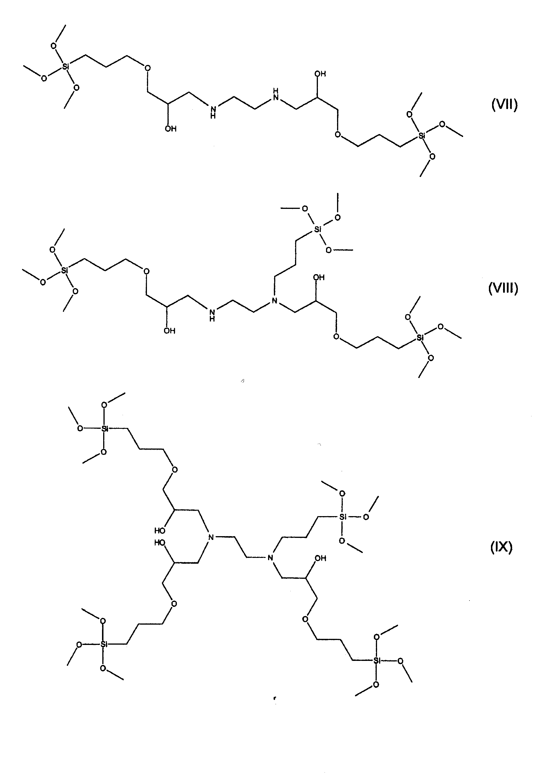
Примерами таких продуктов реакции являются соединения формул (VII), (VIII), (IX), (X), (XI) и (XII).
Соединения формул (VII), (VIII) и (IX) получают реакцией N-(2-аминоэтил)-3-аминопропилтриметоксисилана и 3-глицидилоксипропилтриметоксисилана.

Соединения формул (X) и (XI) получают реакцией 3-аминопропилтриметоксисилана и 3-глицидилоксипропилтриметоксисилана.

Соединения формул (XII) получают реакцией бис(три-метоксисилилпропил)амина и 3-глицидилоксипропилтриметоксисилана.

Примерами аминоактивных соединений (ARV) с активированными двойными связями являются, например, , -ненасыщенные соединения, в частности диэфир малеиновой кислоты, диэфир фумаровой кислоты, диэфир цитраконовой кислоты, эфир акриловой кислоты, эфир метакриловой кислоты, эфир коричной кислоты, диэфир итаконовой кислоты, диэфир винилфосфоновой кислоты, эфир винилсульфоновой кислоты, винилсульфоны, винилнитрилы, 1-нитроэтилены или продукты реакции Кневенагеля, как, например, продукты диэфиров малоновой кислоты и альдегидов, как формальдегид, ацетальдегид или бензальдегид. Такие аминоактивные соединения образуют продукты присоединения по Михаэлю, у которых амин присоединяется к двойной связи. Примерами таких продуктов реакции являются продукты присоединения по Михаэлю 3-аминопропилтриметоксисилана, 3-аминопропилдиметоксиметилсилана, 4-амино-3,3-диметилбутилтриметоксисилана, 4-амино-3,3-диметилбутилдиметоксиметилсилана, аминометилтриметоксисилана или аминометилдиметоксиметилсилана к диметиловому, диэтиловому или дибутиловому эфиру малеиновой кислоты, тетрагидрофурфуриловому, изобумиловому, гексиловому, лауриловому, стеариловому, 2-гидроксиэтиловому или 3-гидроксипропиловому эфиру акриловой кислоты, диметиловому, диэтиловому или дибутиловому эфиру фосфоновой кислоты, акрилонитрилу, 2-пентеннитрилу, фумаронитрилу или -нитростиролу, а также аналоги указанных аминосиланов с этоксигруппами вместо метоксигрупп у кремния. В частности, следует назвать такой продукт присоединения по Михаэлю, как диэтиловый эфир N-(3-триметоксисилилпропил)аминоянтарной кислоты.
Примерами аминоактивных соединений (ARV) с изоцианатными группами являются изоцианатосиланы или полиизоцианаты. В качестве изоцианатосилана следует назвать, в частности, 3-изоцианатопропилтриметоксисилан и 3-изоцианатопропилтриэтоксисилан. В качестве полиизоцианатов следует назвать, например, 2,4- и 2,6-толуилендиизоцианат (TDI) и любые смеси этих изомеров, 4,4′-, 2,4′ -и 2,2′-дифенилметандиизоцианат (MDI) и любые смеси этих и других изомеров, 1,3- и 1,4-фенилендиизоцианат, 2,3,5,6-тетраметил-1,4-диизоцианатoбензол, 1,6-гексаметилендиизоцианат (HDI), 2-метилпентаметилен-1,5-диизоцианат, 2,2,4- и 2,4,4-триметил-1,6-гексаметилендиизоцианат (TMDI), 1,12-додекаметилендиизоцианат, циклогексан-1,3- и -1,4-диизоцианат и любые смеси этих изомеров, 1-изоцианато-3,3,5-триметил-5-изоцианатометилциклогексан (=изофорондиизоцианат или IPDI), пергидро-2,4′- и -4,4′-дифенилметандиизоцианат (HMDI), 1,4-диизоцианато-2,2,6-триметилциклогексан (TMCDI), м- и п-ксилилендиизоцианат (XDI), 1,3-и 1,4-тетраметилксилилендиизоцианат (TMXDI), 1,3- и 1,4-бис-(изоцианатометил)циклогексан, олигомеры вышеуказанных полиизоцианатов, а также смеси вышеуказанных полиизоцианатов. Предпочтительны MDI, TDI, HDI и IPDI, а также их биуреты или изоцианураты.
Если органоалкоксисилан S является эпоксисиланом, следует предпочесть эпоксисиланы, которые описаны выше как аминоактивные соединения (ARV).
Например, в качестве меркаптосилана как органоалкоксисилана S следует назвать 3-меркаптопропилтриметоксисилан и 3-мермеркаптопропилтриэтоксисилан.
Например, в качестве (мет)акрилатосилана как органоалкоксисилана S следует назвать 3-метакрилоксипропилтриметоксисилан и 3-метакрилоксипропилтриэтоксисилан.
Если органоалкоксисилан S является алкилсиланом, следует назвать, в частности, силаны с C1-C6-алкильныими остатками, как, например, метилтриметоксисилан, этилтриметоксисилан и бутилтриметоксисилан.
В качестве ПАВов T могут применяться натуральные или синтетические вещества, которые в растворах понижают поверхностное натяжение воды или других жидкостей. В качестве ПАВов, называемых также смачивателями, могут применяться анионогенные, катионогенные, неионные или амфолитные ПАВы или их смеси.
Примерами анионогенных ПАВов являются ПАВы, имеющие карбоксилатные, сульфатные, фосфатные или сульфонатные группы, как, например, производные аминокислот, сульфаты простых эфиров жирных спиртов, сульфаты жирных спиртов, мыла, алкилфенолэтоксилаты, этоксилаты жирных спиртов, а также алкансульфонаты, олефинсульфонаты или алкилфосфаты.
К неионогенным ПАВам, так называемым н-ПАВам, относятся, например, этоксилаты, как, например, этоксилированные продукты присоединения спиртов, как, например, полиоксиалкиленполиолы, амины, жирные кислоты, амиды жирных кислот, алкилфенолы, этаноламиды, жирные амины, полисилоксаны или сложные эфиры жирных кислот, а также алкил- или алкилфенилполигликолевые простые эфиры, как, например, полигликолевый эфир жирного спирта, или амиды жирных кислот, алкилгликозиды, сложные эфиры сахаров, сложные эфиры сорбитана, полисорбаты или триалкиламиноксид, а также сложные эфиры и амиды поли(мет)акриловых кислот и полиалкиленгликолей или аминополиалкиленгликолей, которые при необходимости могут с одной стороны заканчиваться алкильной группой.
Примерами катионогенных ПАВов являются соединения четвертичного аммония или фосфония, как, например, тетраалкиламмониевые соли, N,N-диалкилимидазолиновые соединения, диметилдистеариламмониевые соединения, или N-алкилпиридиновые соединения, в частности хлорид аммония.
К амфолитическим или амфотерным ПАВам относятся амфотерные электролиты, так называемые амфолиты, как, например, аминокарбоновые кислоты и бетаины.
Такие ПАВы широко распространены в продаже.
Особенно подходящими являются неионогенные ПАВы, в частности алкоксилированные спирты. Особенно подходящими показали себя алкоксилированные неионогенные фтор-содержащие ПАВы, в частности Zonyl® FSO-100, который поставляется в продажу фирмой ABCR, Германия, алкоксилированные спирты или алкоксилированные алкилфенолы, в частности Antarox FM 33, поставляемый в продажу фирмой Rhodia.
Чтобы гарантировать хорошую стабильность при хранении компонента K1, ПАВ должен быть безводным, так как внесение существенных количеств воды через ПАВ может привести к преждевременному гидролизу силанов и тем самым к проблемам с хранением. Для понимания термина “безводный” следует сослаться на приведенное выше определение.
Чтобы обеспечить как можно более высокую стабильность при хранении компонента K1, предпочтительно устанавливать отношение органоалкоксисилана S к ПАВу T в определенном диапазоне. Если отношение S:T больше, чем 5:1, то водочувствительность существенно не улучшается. Если это отношение меньше, чем 1:2, в частности меньше, чем 2:3, то это все большее негативно влияет на адгезию водной композиции для промотора.
Чтобы достичь хорошего и быстрого смешения компонентов K1 и K2, можно применять также более высокие отношения S:T, чем 5:1, в случаях, когда повышение стабильности при хранении компонента K1 не требуется или к ней не стремятся. Тогда возможны отношения органоалкоксисилана S к ПАВу T (S:T) от 20:1 до 1:2.
Предпочтительно отношение органоалкоксисилана S к ПАВу T (S:T) составляет от 5:1 до 1:2.
Оптимальное отношение органоалкоксисилана S к ПАВу T составляет, в частности, для аминосилана в качестве органоалкоксисилана S, от 3:1 до 2:3.
Предпочтительно, чтобы компонент K1 содержал не менее 33 вес.%, в частности не менее 40 вес.% органоалкоксисилана S.
Компонент K1 может содержать дополнительные компоненты. Примерами таких добавок являются растворители, неорганические наполнители, катализаторы и стабилизаторы, красители или пигменты.
Если применяются такие дополнительные составляющие, предпочтительно, чтобы компонент K1 содержал не более 1 вес.%, в частности не более 0,5 вес.% воды.
Предпочтительны компоненты K1, которые состоят в основном только из органоалкоксисилана S и ПАВа T. Под “в основном” здесь понимается, что суммарный вес органоалкоксисилана S и ПАВа T составляет больше 90 вес.%, в частности больше 95%, предпочтительно больше 99 вес.% от веса компонента K1.
Так как именно полярные, в частности водорастворимые, органоалкоксисиланы чувствительны к воде с точки зрения стабильности при хранении, улучшения, достигаемые посредством настоящего изобретения, проявляются в первую очередь для полярных, в частности, водорастворимых органоалкоксисиланов S. Это является причиной того, что очень неполярные органоалкоксисиланы S, как например, высшие алкилалкоксисиланы, как додецилтриметоксисилан или октадецилтриметоксисилан, не являются предпочтительными в качестве органоалкоксисиланов S. Улучшение стабильности при хранении в отношении воды особенно заметно в случае аминосиланов в качестве органоалкоксисиланов S.
Компоненты K1, особенно когда они в качестве органоалкоксисиланов S содержат аминосиланы, заметно менее чувствительны к влиянию воды при хранении. Это проявляется, в частности, тогда, когда вода, в частности, в виде влаги воздуха, может попадать в контакт с компонентом K1. Причинами такого контакта могут быть, например, негерметичные упаковки. Так, на практике может случиться, что, например, оригинальные упаковки не являются герметичными или что складская тара была плохо или неплотно закрыта после того, как ее открыли первый раз, или что она некоторое время стояла полностью открытой в окружающую среду. Наконец, стабильность при хранении компонента K1 можно сильно повысить, если его держат в емкостях из пластмассы. Синтетические материалы, обычно применяемые для пластмассовой тары, как полиэтилен или полипропилен, часто не отличаются достаточной водонепроницаемостью. Поэтому силановые композиции согласно уровню техники хранят не в таре из пластмассы, а в таре из стекла, металлов или композиционных материалов. Поэтому благодаря возможности применения пластмассовой тары для хранения представленных здесь компонентов K1 возникают огромные преимущества в стоимости и весе, а также дополнительная свобода в дизайне и форме упаковки, соответственно тары.
Улучшенная устойчивость при хранении, соответственно меньшая чувствительность к воде при хранении, проявляется, в частности, отсутствием или по крайней мере большой задержкой образования осадков или мути или образования геля без отрицательного воздействия на свойства улучшения адгезии.
Компонент K2 кроме воды содержит по меньшей мере одну кислоту. Кислота может быть органической или неорганической. Органическими кислотами являются, с одной стороны, карбоновые кислоты, в частности карбоновые кислоты, выбранные из группы, включающей муравьиную, уксусную, пропионовую, трифторуксусную, щавелевую, малоновую, янтарную, малеиновую, фумаровую и лимонную кислоты, а также аминокислоты, в частности аспарагиновая кислота и глутаминовая кислота. Предпочтительны кислоты с pKa от 4,0 до 5. Такие кислоты благодаря их pKa обладают отличным буферным действием в оптимальной для настоящего изобретения области pH от 3,5 до 4,5, которое получается при смешении компонентов K1 и K2. Под “pKa” химики понимают, как известно, отрицательный десятичный логарифм константы диссоциации кислоты Ka: pKa=-log10Ka.
В качестве карбоновой кислоты предпочтительна уксусная кислота.
Органическими кислотами, с другой стороны, являются, в частности, такие кислоты, которые содержат атом серы или атом фосфора. Такими органическими кислотами являются, в частности, органические сульфокислоты. Под органической сульфокислотой понимаются соединения, которые имеют органический остаток, содержащий атом углерода, а также по меньшей мере одну функциональную группу -SO3H.
Ароматическая сульфокислота может быть моно- или полициклической, и может иметься одна или несколько сульфокислотных групп. Например, это могут быть 1- или 2-нафталинсульфоновая кислота, 1,5-нафталиндисульфоновая кислота, бензолсульфоновая кислота или алкилбензолсульфоновая кислота.
Предпочтительными ароматическими кислотами являются такие кислоты, которые имеют формулу (XIII)

При этом R означает алкильный остаток с 1-18 атомами C. Предпочтительно R означает метильную или додецильную группу, в частности додецильную группу.
Кроме того, кислота может быть неорганической кислотой. Подходящими неорганическими кислотами показали себя, в частности, кислоты, имеющие атом серы или атом фосфора.
К содержащим атом фосфора кислотам относятся, в частности, фосфорная кислота, фосфористая кислота, фосфоновая кислота, фосфонистая кислота.
К содержащим атом серы кислотам относятся, в частности, серные кислоты, в частности серная кислота, сернистые кислоты, надсерная кислота, дисерная кислота (=пиросерная кислота), пиросернистая кислота, дитионовая кислота, дитионистая кислота, тиосерная кислота или тиосернистая кислота.
Оказалось, что хорошей адгезии к лакам, в частности к автомобильным лакам, можно достичь, если кислота имеет по меньшей мере один атом серы и pKа меньше 2.
Компонент K2 может содержать дополнительные компоненты. Примерами таких добавок являются растворители, неорганические наполнители, катализаторы и стабилизаторы, красители или пигменты.
Весовая доля воды предпочтительно составляет по меньшей мере 60 вес.% от веса компонента K2.
Предпочтительно, если компонент K2 состоит в основном из воды и кислоты, то есть, если количество воды и кислоты вместе составляет больше 90 вес.%, в частности больше 95 вес.%, предпочтительно больше 99 вес.% от веса компонента K2.
Количество кислоты в компоненте следует устанавливать так, чтобы смесь компонентов K1 и K2 была кислой и чтобы ее pH предпочтительно составлял от 3 до 5, в частности от 3,5 до 4,5.
Это следует принимать во внимание, если в компоненте K1 содержится основный компонент, в частности когда компонент K1 содержит аминосилан.
Компоненты K1 и K2 по отдельности друг от друга пригодны для хранения в течение очень длительного времени. Для применения водных композиций промотора адгезии компоненты K1 и K2 смешивают. Существенным преимуществом настоящего изобретения является то, что это смешение может быть произведено очень легко.
Когда компонент K1 добавляют в компонент K2, эти два компонента смешиваются самопроизвольно или после легкого помешивания. Это резко контрастирует со случаями, не согласующимися с изобретением, когда органоалкоксисиланы вводят в компонент K1 без ПАВов. Из-за разницы плотностей основная часть органоалкоксисилана в этом случае оседает на дно, так что образуется двухфазная система, которую можно гомогенизировать лишь путем интенсивного высокооборотного перемешивания или диспергированием. Кроме того, во многих случаях при добавлении или на границе раздела фаз возникают осадки или муть, которые приводят к неоднородному продукту и нежелательны.
Далее, можно было видеть, что из-за применения ПАВа в качестве составляющего компонента K1 нужно использовать меньше кислоты, чтобы достичь хорошей смешиваемости силанового компонента с водным компонентом. Это приводит к менее сильному запаху, обусловленному собственным запахом карбоновой кислоты, по сравнению с аналогичным компонентом без ПАВ.
Смешение компонентов способствует гидролизу органоалкоксисиланов S. Применение смешанных компонентов проводится предпочтительно не сразу после смешения. Выгодно подождать короткое время, обычно от одной до десяти минут, прежде чем наносить смесь на поверхность основы.
Нужно стремиться к тому, чтобы после смешения гидролиз органоалкоксисилана S проходил как можно быстрее, но чтобы конденсация в силоксаны была по возможности замедленной.
Для достижения быстрого гидролиза органоалкоксисиланов S метоксисиланы (R2 или R2′=-CH3) предпочтительнее этоксисиланов (R2 или R2′=-CH2CH3).
В принципе имеются три разных способа достижения приклеивания или герметизации.
В первом способе после смешения компонентов K1 и K2 двухкомпонентной композиции промотора адгезии полученную таким образом смесь наносят на склеиваемую или герметизируемую основу S1. Затем на подсохшую водную композицию промотора адгезии, которая находится на основе S1, наносят клей или герметик. После этого происходит контактирование клея или герметика со второй основой S2.
Во втором способе после смешения компонентов K1 и K2 двухкомпонентной композиции промотора адгезии полученную таким образом смесь наносят на склеиваемую или герметизируемую основу S1. Затем на поверхность второй основы S2 наносят клей или герметик. После этого клей или герметик приводят в контакт с подсохшей водной композицией промотора адгезии, которая находится на основе S1.
В третьем способе после смешения компонентов K1 и K2 двухкомпонентной композиции промотора адгезии полученную таким образом смесь наносят на склеиваемую или герметизируемую основу S1. После подсушивания двухкомпонентной композиции промотора адгезии клей или герметик наносят между поверхностями основ S1 и S2.
Вторая основа S2 может во всех этих трех случаях состоять из того же материала, что и основа S1, или из другого материала.
Подсушивание нанесенной на поверхность основы водной композиции промотора адгезии дает, с одной стороны, возможность испариться большей части воды, имеющейся на поверхности основы, а с другой стороны, органоалкоксисиланы или их силанолы могут сшиться друг с другом или с поверхностью. Обычно время подсушивания составляет примерно от 10 до 15 минут.
Нанесение смешанной водной композиции промотора адгезии проводится путем напыления, окрашивания, наката или погружения. Обычно смешанную водную композицию промотора адгезии наносят с помощью кисти, тряпки или войлока.
Чтобы получить склеенное или уплотненное соединение, при всех этих трех способах после последнего из указанных этапов проводится этап отверждения клея или герметика.
Могут использоваться разные клеи или герметики. В зависимости от применения и места приложения склеенного или герметизированного тела это может быть клей или герметик на основе эпоксидной смолы, на основе изоцианата, (мет)акрилатов или на основе полимеров с концевыми силановыми группами (“STP”), в частности полиуретанов с концевыми силановыми группами или силиконов. При этом речь может идти, например, о клеях или герметиках, отверждающихся при комнатной температуре, о клеях, плавящихся при высокой температуре (так называемые “термоклеи”), о дисперсионных клеях или герметиках или контактных клеях (так называемые клеи, склеивающие при надавливании).
Клей или герметик может быть однокомпонентным или многокомпонентным. Предпочтительно клей или герметик является однокомпонентным.
Наиболее предпочтительно клей является влагоотверждаемым однокомпонентным полиуретановым клеем или герметиком, в частности влагоотверждаемым однокомпонентным полиуретановым клеем, какой имеется в продаже, например, под названием Sikaflex® от компании Sika Schweiz AG.
Полученные таким путем склеенные или герметизированные изделия имеют разнообразную природу. В частности, они относятся к области промышленного производства, предпочтительно они являются транспортным средством, в частности автомобилями. Они могут также быть монтируемыми конструкциями. Такими монтируемыми конструкциями являются, в частности, сборные модульные детали, которые применяются на поточных линиях как модули и, в частности, приклеиваются или вклеиваются. Предпочтительно эти сборные монтируемые детали применяются в автомобилестроении.
Примерами таких монтируемых конструкций являются кабина водителя в грузовиках или локомотивах или раздвижные крыши для автомобилей.
Однако возможно также применение при производстве мебели, для стирки белья, как стиральные машины, для частей зданий, как фасады или лифты.
Компоненты K1 и K2 могут храниться в двух пространственно отделенных друг от друга резервуарах или быть компонентами одной тары.
Подобная тара 6 состоит из упаковки 5, которая имеет два отделения 1,2, отделенных друг от друга по меньшей мере одной перегородкой 3, и водной двухкомпонентной композиции для промотора адгезии, какая была описана выше, причем первый компонент K1 находится в первом отделении, а второй компонент K2 – во втором отделении 2.
Возможные и предпочтительные конструкции отделений, а также перегородок схематически описываются далее.
На фигуре 1 показана одна конструктивная форма P1 тары 6, соответственно применяющейся упаковки 5. В этой конструктивной форме перегородка 3 сделана из хрупкого материала. На фигуре 1a) показан один вариант, в котором первое отделение 1 окружено вторым отделением 2 не полностью, а на фигуре 1b) описан вариант, на котором первое отделение 1 полностью окружено вторым отделением 2. Перегородка 3 между двумя отделениями ломается при приложении давления, благодаря чему два компонента K1 и K2 приходят в контакт друг с другом, могут смешиваться и/или реагировать. Давление создается типично извне под действием силы на наружную стенку 4, 4′ отделений. Это силовое воздействие предпочтительно является ударным воздействием или сгибанием упаковки. Материал перегородки 3 обычно сделан из стекла, алюминия, алюминиевого сплава, из тонкой пластмассы или композитного материала.
Перегородка 3 должна быть сделана такой толщины, чтобы она не ломалась сразу при непреднамеренном силовом воздействии, какое она, например, обычно испытывает в транспорте. Наружная стенка 4, 4′ должна быть выполнена таким образом, чтобы она при приложении давления, которое ведет к поломке перегородки 3, не ломалась или не разрывалась. Наружная стенка 4, 4′ сделана или из металла, или из упругой пластмассы.
На фигуре 2 показана конструктивная форма P2 тары 6, соответственно применяющейся упаковки 5 с приспособлением для разрыва, в частности приспособлением 7 для разрезания. В этой конструктивной форме давление на перегородку 3 прикладывается с помощью приспособления 7 для разрезания. Приспособление 7 для разрезания является подвижным, и будет давить на неподвижную перегородку 3, или также приспособление 7 для разрезания закреплено, а перегородка 3 будет давить на приспособление 7 для разрезания. Из-за давления перегородка разрывается, так что два компонента K1, K2 могут прийти в контакт друг с другом и/или реагировать. Приспособление 7 для разрезания при хранении тары отделено на определенное расстояние от перегородки 3. Приспособление 7 для разрезания и перегородка 3 могут придвигаться друг к другу. Это происходит или путем приложения давления и, тем самым, путем деформации наружной стенки 4, 4′, или с помощью резьбы. Наружная стенка 4, 4′ должна быть выполнена так, чтобы при приложении давления, которое ведет к разрыванию перегородки 3 с помощью приспособления 7 для разрезания, сама не ломалась или не разрывалась. Наружная стенка 4, 4′ сделана или из металлической фольги, или упругого синтетического материала. Вид приспособления для разрезания может в принципе быть сделан очень разным. Так, на фиг. 2a) в качестве приспособления 7 для разрезания показан острый шип, а на фиг. 2b) – шар в качестве вспомогательного средства для разрывания, в частности приспособления 7 для разрезания. Предпочтительно приспособление 7 для разрезания имеет или шипы, или ребра. Такие шипы или ребра облегчают рассечение перегородки 3. Поэтому конструктивная форма согласно фигуре 2a предпочтительна.
На фигуре 3 показана конструктивная форма P3 тары 6, соответственно применяющейся упаковки 5. В этой конструктивной форме перегородка реализована посредством прокладки 3′. Прокладка 3′ в закрытом состоянии отделяет друг от друга в упаковке 5 два отделения 1, 2. Это достигается тем, что в закрытом состоянии прокладка 3′ прижата по меньшей мере двумя стенками 8, 8′ наружной стенки 4, 4′. По меньшей мере одна из стенок 8, 8′ выполнена подвижной под действием внешнего воздействия. Такая подвижность достигается, в частности, благодаря резьбе 9, 9′. При намеренном отрывании стенка 8, 8′ отдаляется от прижатой прокладки 3′, из-за чего та теряет изолирующее действие и открывает проход, так что два компонента K1, K2 могут прийти в контакт друг с другом и/или реагировать. В одном частом варианте этой конструктивной формы при открывании или при встряхивании упаковки прокладка 3′ становится настолько неплотной, что она падает в одно отделение.
Прокладка 3′ сделана из упругого материала, какой обычно применяется для герметизации жидкостей.
На фигуре 3a) показана конструкция с одной резьбой 9, а на фигуре 3b) – имеющая две резьбы 9, 9′. Фигура 3b) предпочтительнее 3a), так как на первом этапе первое отделение может быть наполнено одним компонентом K1 или K2, затем прокладка 3′ может быть завинчена резьбой 9 и тем самым может быть плотно прижата к стенке 8 и только позднее эта часть, которая имеет функцию крышки, может быть навинчена с помощью второй резьбы 9′ на вторую часть упаковки, содержащую другой компонент K2 или K1, и тем самым также может плотно изолировать второе отделение стенкой 8′.
На фигуре 4 показана конструктивная форма P4 тары 6, соответственно применяющейся упаковки 5. В этой конструктивной форме перегородка 3 выполнена выдергивающейся. В этом случае между отделениями имеется тонкая перегородка 3, которую можно выдернуть с помощью внешнего вмешательства, так что два компонента K1, K2 могут прийти в контакт друг с другом и/или реагировать. Место контакта в области, где перегородка соединена с внутренней стенкой отделений 1, 2, имеет, кроме того, точки намеченного разрыва. Для выдергивания подходят, в частности, конструктивные формы, в которых перегородка 3 соединена с разрывающей планкой 16. На фигуре 4a) показан вариант, при котором с внутренними стенками отделений 1, 2 соединена только перегородка 3. Места контакта в области, где перегородка соединяется с внутренней стенкой отделений 1, 2, имеют для этого (так же как и область, где разрывающая планка 16 соединяется с наружной стенкой) точки намеченного разрыва. На фигуре 4b) при выдергивании перегородки одновременно от упаковки отрывается также перекрытие 11, соединенное с разрывающей планкой 16 и перегородкой, так что образуется отверстие 10, через которое могут быть взяты пришедшие в контакт друг с другом два компонента упаковки.
На фигуре 5 показан один предпочтительный вариант исполнения конструктивной формы P1. В этом варианте исполнения первое отделение 1 с компонентом K1 состоит из хрупкой ампулы 3 из стекла или пластмассы. Второе отделение 2 с другим компонентом K2 также состоит из хрупкой стеклянной или пластмассовой ампулы. Две ампулы расположены предпочтительно в виде “трубка в трубке” или, как изображено, в виде “ампула в ампуле”. Размещенные таким образом ампулы вставлены в емкость, наружные стенки 4 которой сделаны из гибкой пластмассы или картона. Далее, эта пластмассовая емкость имеет отверстие 10, которое накрыто пористым перекрытием 20, в частности войлочной полоской или губкой. При активировании упаковки путем сгибания внешних стенок 4 или ударом по внешним стенкам емкости из пластмассы или картона стеклянные ампулы разбиваются, так что компоненты K1, K2 могут смешиваться и/или реагировать. Реакционная смесь пропитывает войлок или губку 20 и может посредством контакта с нею быть нанесена на поверхность. Войлок или губка помогают, кроме того, помешать возможным осколкам, которые могут образоваться из-за расколотых ампул, выйти из упаковки 5, 6. Этот конструкционная форма P1 представляет тем самым одноразовую тару для нанесения двухкомпонентной водной композиции промотора адгезии. Он особенно хорошо подходит для маленьких количеств. В частности, эта упаковка подходит для предварительной обработки стекол транспортных средств, в частности автомобильных стекол.
На фигуре 6 показана следующая предпочтительная форма исполнения конструктивной формы P1. Здесь хрупкая стеклянная или пластмассовая ампула 3, которая содержит компонент K1, закреплена фиксатором 14 в бутыли, которая содержит другой компонент K2. На фигуре 6a) показан вариант исполнения с лежащей ампулой 3. При этом ампула может при необходимости быть разбита с помощью твердого приспособления, например металлическим шпателем, так что компоненты K1, K2 могут смешиваться и/или реагировать, или ампула может быть разбита путем деформации или ударами по бутыли. Твердое приспособление может быть введено через отверстие бутыли. После удаления приспособления бутыль при необходимости закрывают и встряхивают. На фигуре 6b) показан вариант исполнения со стоящей ампулой 3. Ампула выполнена так, что она длиннее, чем высота бутыли, и входит в крышку 12 в фиксатор 14. Крышка 12 имеет резьбу 9 и предпочтительно снабжена защитной прокладкой 13, которая препятствует ошибочному поворачиванию крышки 12. При намеренном активировании защитная прокладка 13 удаляется, и крышка 12 поворачивается, из-за чего основание крышки 12 надвигается на ампулу 3 и разбивает или разрывает ее под давлением, так что компоненты K1, K2 могут смешиваться и/или реагировать. Благодаря затвору крышки обеспечивается, кроме того, то, что бутыль герметично закрыта, и ее можно встряхивать. В обоих вариантах исполнения согласно фигурам 6a и 6b предпочтительно, чтобы после смешения компонентов K1, K2 для нанесения реакционной смеси применялся войлок или тонкая сетка 20, чтобы помешать возможным осколкам, которые могут образоваться из-за расколотых ампул, выйти из упаковки. Предпочтительно, чтобы применялся войлок или губка, так как они пропитываются двухкомпонентной водной композицией промотора адгезии и поэтому очень хорошо подходят для ее нанесения. Войлок или губка обычно соединены с фасонной деталью, которая имеет резьбу и может быть навинчена на бутыль по резьбе 9.
На фигуре 7 показан следующий предпочтительный вариант исполнения конструктивной формы P1. Здесь в отделении 1 находится по меньшей мере один металлический шар в качестве вспомогательного средства 17 для смешения. При встряхивании перегородка 3, имеющаяся между двумя отделениями, разбивается или разрывается шариком 17, так что компоненты K1, K2 могут смешиваться и/или реагировать. При необходимости шарик 17 может быть снабжен шипами или ребрами, чтобы облегчить разрывание перегородки 3. Толщина и тип перегородки 3, а также количество и структуру поверхности применяющихся шариков 17 следует выбирать так, чтобы разрушить перегородку 3 можно было простым встряхиванием тары 6, но не случайно, например, уже при малых колебаниях, какие происходят при транспортировке. Наряду с показанным на фигуре 7a) вариантом с перегородкой 3, которая протянута между внешними стенками 4, 4′ между отделениями, на фигуре 7b) изображена версия показанной на фигуре 6 ампулы 3, которая содержит один компонент.
На фигуре 8 показан следующий предпочтительный вариант исполнения конструктивной формы P1. В этом варианте исполнения компонент K1 упакован в отделении 1, которое образует пузырь 21. На фигуре 8a) пузырь 21 выполнен так, чтобы соединяться своим дном с перегородкой 3, и там находится точка намеченного разрыва. При удалении защитной прокладки 13 крышку 12 можно повернуть по резьбе 9, из-за чего дно крышки 12 надвигается на пузырь. При этом пузырь 21 сдавливается до образования достаточно большого давления, чтобы разорваться в точке намеченного разрыва, так что компоненты K1, K2 могут смешиваться и/или реагировать. Этот вариант исполнения особенно подходит для жидкотекучих компонентов K1, K2. Однако после удаления защитной прокладки 13 можно также отвинтить крышку 12 и раздавить пузырь 1, 2 вручную и выдавить содержащийся в нем компонент. На фигуре 8b) пузырь 21 имеет зажимной затвор 18. При сдавливании стенки прохода между отделениями 1 и 2 она образует перегородку 3, которая в закрытом состоянии отделяет друг от друга два отделения 1, 2. При открывании сначала с помощью резьбы 9 отвинчивается крышка 12. Затем отделяется зажимной затвор 18, благодаря чему открывается проход между отделениями 1 и 2, так что компоненты K1, K2 могут смешиваться и/или реагировать. Этому может еще способствовать выдавливание пузыря 21. В обоих вариантах исполнения пузыри выполнены соединенными со стенкой 8 другого отделения 2 предпочтительно таким образом, что их можно легко удалить, чтобы затем для нанесения композиции промотора адгезии на отверстие 10 можно было закрепить войлок или губку, в частности, с помощью резьбы 9.
На фигуре 9 показан следующий предпочтительный вариант исполнения конструктивной формы P1. Здесь речь идет о бутыли 5 или двухрукавном пакете 5, который имеет два отделения 1, 2, отделенные друг от друга перегородкой 3, расположенной в продольном направлении бутыли или пакета. Внешние стенки 4, 4′ бутыли 5 или пакета 5 сделаны из очень упругого материала, а перегородка 3 или выполнена из твердого материала, или сделана очень малой толщины. При повороте бутыли 5 или двойного пакета 5 по оси перегородка очень сильно вытягивается или испытывает нагрузку, и перегородка 3 разрывается (показано на фигуре 9′), так что компоненты K1, K2 могут смешиваться и/или реагировать. Предпочтительно пакет или бутыль на конце имеют резьбу 9 с плотно закрывающейся крышкой 12. Эта крышка 12 после смешения или встряхивания может быть открыта, и реакционная смесь может наноситься на поверхность. Далее, предпочтительно на эту резьбу 9 может навинчиваться войлок.
На фигуре 10 показан предпочтительный вариант исполнения конструктивной формы P2. Здесь отделение 1 образует часть крышки 12 бутыли 5. При этом на фигурах 10a)-f) показаны различные предпочтительные расположения.
На фигуре 10a) приспособления 7 для разрезания соединены со стенкой 8 или лежат на ней, например, в виде кольца, и направлены на перегородку 3 отделения 1, 2. При удалении защитной прокладки 13 крышка 12 и, тем самым, отделения 1, 2 могут надвигаться путем вращения по резьбе 9′ на приспособление 7 для разрезания. При контакте приспособления 7 для разрезания с перегородкой 3, которая сделана из разрезаемого материала, она будет разрезана, так что компоненты K1, K2 могут смешиваться и/или реагировать. Если приспособление 7 для разрезания расположено не по центру относительно оси вращения крышки 12, как показано на фиг. 10a), при дальнейшем вращении крышки в перегородке 3 образуется криволинейный разрез, так что перегородка может быть откинута или даже вырезана, что для смешения компонентов K1, K2 очень благоприятно.
На фигуре 10b) установлено несколько приспособлений 7 для разрезания, распределенных по отверстию бутыли. Между приспособлениями для разрезания имеются сквозные отверстия для компонента K1, K2 в отделении 1, 2. Обычно этот вариант достигается с помощью сетки или перфорированной перегородки, имеющей направленные к перегородке шипы, которая описается на стенку 8 или соединена с ней. При удалении защитной прокладки 13 крышка 12 и, тем самым, отделение 1, 2, путем вращения по резьбе 9′ надвигаются на приспособление 7 для разрезания. При контакте приспособления 7 для разрезания с перегородкой 3, которая выполнена из способного к разрезанию материала, она разрезается, так что компоненты K1, K2 могут смешиваться и/или реагировать. Наличие нескольких расположенных таким образом приспособлений 7 для разрезания имеет то преимущество, что перегородка 3 перфорируется одновременно в нескольких местах и тем самым она эффективно разрушается.
На фигуре 10c) компонент K1 упакован в разные отделения 1, 1′, 1″ и образует часть крышки 12. Эти отделения 1, 1′, 1″ могут быть наполненными шариками или пакетиками, которые сделаны из способного к разрезанию или разрыванию материала. Далее, в принципе возможно, чтобы эти отделения 1, 1′, 1″ могли содержать различные компоненты K1, K1′, K1″. Таким образом, могли бы быть реализованы, например, трех- или более компонентные композиции промотора адгезии, которые вместе были бы неустойчивы при хранении или же плохо промотировали адгезию. По отверстию бутыли распределено несколько приспособлений 7 для разрезания. Между приспособлениями для разрезания в отделении 1 имеются проходные отверстия для компонента K1. Обычно эта структура достигается с помощью сетки или дырчатой пластинки, имеющей шипы, направленные к перегородке, которая опирается на стенку 8 или соединена с ней. При удалении защитной прокладки 13 крышку 12 и, тем самым, отделение 1 можно придвинуть путем вращения по резьбе 9′ к приспособлению 7 для разрезания. При контакте приспособления 7 для разрезания с перегородкой 3 она будет разрезана или сломана, так что компоненты K1, K2 могут смешиваться и/или реагировать.
На фигуре 10d) компонент K1 хранится в отделении 1, которое сделано из рассекаемой фольги, и образует часть крышки 12. Другое отделение 2 изолировано перегородкой 3′. В обоих отделениях приспособления 7 для разрезания установлены вблизи двух перегородок 3, 3′. При удалении защитной прокладки 13 крышку 12 можно поворачивать по резьбе 9′, благодаря чему приспособления 7 для разрезания надвинутся друг на друга и при этом разрежут перегородки 3, 3′, так что компоненты K1, K2 могут смешиваться и/или реагировать. Этот вариант исполнения обладает тем преимуществом, что оба отделения 1 и 2 могут быть наполнены соответствующими компонентами K1, K2 и герметично храниться отдельно друг от друга.
На фигуре 10e) показан вариант исполнения, на котором отделение 1 образует часть крышки 12′, которая типично соединена по резьбе 9 с бутылью, и при этом крышка имеет откидывающееся защитное перекрытие 19. Под этим защитным перекрытием находится отделение 1. Это отделение сделано из материала, способного деформироваться и разрезаться, например из синтетической пленки, металлической фольги или двухслойной пленки. К внутренней стороне отделения на стороне, обращенной к защитному перекрытию, прикреплено приспособление 7 для разрезания. Эта часть отделения обычно имеет изгиб наружу. При намеренном смешении защитное перекрытие 19 откидывают (показано на фиг. 10e’)) и затем надавливают на изгиб, из-за чего приспособление 7 для разрезания давит на перегородки 3, 3′, так что они разрываются и компоненты K1, K2 могут смешиваться и/или реагировать.
Описанный на фигуре 10f) вариант исполнения очень похож на вариант с фигуры 10e) с перекрытием. Здесь одно отделение 1 является частью крышки 12. Отделение сделано из способного к рассечению материала. Другое отделение 2 герметично закрыто перегородкой 3, которая также сделана из рассекаемого материала. В закрытом состоянии обе стенки 3, 3′, которые ограничивают два отделения 1, 2, расположены очень близко, предпочтительно в контакте друг с другом. При удалении защитной прокладки 13 и повороте крышки 12 по резьбе 9′ крышка вместе с отделением 1, 2, а также приспособлением 7 для разрезания может надвигаться на перегородку 3. При контакте приспособления 7 для разрезания с перегородками 3 перегородки рассекаются, так что компоненты K1, K2 могут смешиваться и/или реагировать. Эта форма исполнения также обладает тем преимуществом, что оба отделения 1 и 2 могут быть наполнены соответствующими компонентами K1, K2 и герметично храниться отдельно друг от друга.
На фигуре 11 показан предпочтительный вариант исполнения конструктивной формы P4. Здесь два отделения 1, 2 отделены друг от друга выдергиваемой перегородкой. На фигуре 11a) эта перегородка 3 соединена, кроме того, со стенкой 8, соответственно 8′ соответствующего отделения 1, 2 и образует тем самым перекрытие 11 отверстия 10. При выдергивании с помощью планки 16 сначала открывается перекрытие 11. Затем перегородка 3 разрывается в точке намеренного разрыва, которая находится там, где перегородка соединяется с внутренней стенкой отделений 1, 2, так что компоненты K1, K2 могут смешиваться и/или реагировать. Затем крышку можно снова навинтить и, например, встряхнуть. Далее, для нанесения на отверстие 10 устанавливается войлок или губки, в частности, навинчивается с помощью резьбы 9.
На фигуре 11b) выдергиваемая перегородка 3 выполнена так, что она имеет внизу отделений 1, 2 разрывающую планку 16. Эта разрывающая планка 16 соединена, кроме того, с перекрытием 11, которое закрывает отверстие 10 бутыли. После удаления крышки 12 перекрытие 11 может быть удалено и затем вытянуто за разрывающую планку 16 или сразу за планку 16, так что перегородка 3 освобождается снизу путем отдирания от внутренних стенок отделений в точке намеренного разрыва, так что компоненты K1, K2 могут смешиваться и/или реагировать. Перегородка может быть получена, например, путем легкого приваривания полосы пленки к внутренней стенке бутыли. Разрывающая планка 16 обычно является остатком этой полосы пленки.
На всех фигурах первый компонент K1 может находиться в первом отделении 1, а второй компонент K2 – во втором отделении 2, или также первый компонент K1 может находиться во втором отделении 2, а второй компонент K2 – в первом отделении 1.
Размер отделений устанавливается предпочтительно так, чтобы по меньшей мере одно отделение 1, 2 имело больший объем, чем объем содержащегося в нем компонента K1, K2. В частности, предпочтительно, чтобы объем, не занятый этим компонентом, соответствовал по меньшей мере объему другого компонента.
Далее, отношение объемов K1/K2 первого компонента K1 ко второму компоненту K2 составляет от 1000/1 до 1/1000, в частности от 200/1 до 10/1 или от 1/200 до 1/10. Предпочтительно, это объемное отношение K1/K2 составляет от 200/1 до 20/1 или от 1/200 до 1/20.
Хотя компонент K1 имеет улучшенную стабильность при хранении, стенки отделений могут быть сделаны из одного или нескольких материалов, которые непроницаемы для диффузии воды в жидком или газообразном состоянии или по меньшей мере настолько герметичны, чтобы не влиять отрицательно на желательную стабильность при хранении. В частности, для этого подходят алюминий или стекло, или композитные материалы. Так, например, компонент 1 хранится в алюминиевом пакете или пакете из синтетического материала, покрытого алюминием. Этот тип отделения имеет то преимущество, что стенка может быть рассечена в любом месте, и поэтому не требуется какое-то точное позиционирование пакета. В частности, такие пакеты подходят для варианта исполнения согласно фигуре 10.
Тара 6 изготавливается путем наполнения отделений 1 и 2 компонентами K1, K2, при необходимости проводится объединение упаковок. Тара имеет очень хорошую стабильность при хранении, обычно по меньшей мере 6 месяцев, в частности по меньшей мере 9 месяцев. Если тара 6 будет применяться для нанесения промотора адгезии, она может быть активирована целенаправленно. Для этого перегородка 3 должна быть удалена или рассечена, так чтобы компоненты K1, K2 могли войти в контакт, смешиваться и/или реагировать. Смешению может способствовать встряхивание. Затем подготовленную таким образом композицию промотора адгезии извлекают из тары 6 и наносят на склеиваемые или герметизируемые поверхности. В зависимости от выбранного типа составляющих компонентов K1 и K2 может оказаться необходимым подождать короткое время между контактированием двух компонентов и нанесением, типично меньше получаса, чтобы достичь оптимального эффекта промотора адгезии. Однако предпочтительно композицию промотора адгезии наносят сразу. Поверхность может состоять из очень разных материалов, в частности, предпочтительны стекло, стеклокерамика, металлы, лаки, а также пластмассы. В известных случаях может быть необходимым, чтобы поверхность перед нанесением промотора адгезии обрабатывалась другими химическими, физическими или физико-химическими методами. Для нанесения на упаковку 6 с отверстием 10 предпочтительно надевается пористое перекрытие 20, в частности войлок или губка. Такое пористое перекрытие 20 обычно закрепляется на фасонную деталь, которая обеспечивает в пограничной зоне соединение с упаковкой. Такое соединение достигается предпочтительно с помощью резьбового соединения посредством резьбы 9. Двухкомпонентную композицию промотора адгезии наносят на толщину слоя менее 1 миллиметр, обычно на толщину слоя менее 100 микрон. Если композиция промотора адгезии содержит наполнители и/или связующее, то толщина слоя составляет предпочтительно от 1 до 100 микрон, в частности от 1 до 20 микрон. Если композиция промотора адгезии не содержит никаких наполнителей и связующих, то предпочтительная толщина слоя составляет от молекулярного монослоя A соединения и до 50 микрон, в частности от 2 нанометров до 10 микрон, в частности от 10 нанометров до 1 микрона.
Список обозначений для ссылок
K1 первый компонент
K2 второй компонент
1 первое отделение
2 второе отделение
3 перегородка
3′ прокладка
4 наружная стенка
4′ наружная стенка
5 упаковка
6 тара
7 приспособление для разрезания
8 стенка
8′ стенка
9 резьба
9′ резьба
10 отверстие
11 перекрытие
12 крышка
13 защитная прокладка
14 фиксатор
15 вспомогательное средство смешения
16 разрывающая планка
17 вспомогательное средство смешения
18 зажимной затвор
19 защитная крышка
20 пористое перекрытие
21 пузырек
Примеры
Таблица 1 Применяемые органоалкоксисиланы |
| Сокращение |
Органоалкоксисилан |
| A1110 |
3-аминопропилтриметоксисилан |
| A1120 |
N-(2-аминоэтил)-3-аминопропилтриметоксисилан |
| A1130 |
3-[2-(2-аминоэтиламино)этиламино]пропилтриметоксисилан |
| A1170 |
бис(триметоксисилилпропил)амин |
| Dy1122 |
бис(триэтоксисилилпропил)амин |
| A187 |
3-глицидилоксипропилтриметоксисилан |
| GLYEO |
3-глицидилоксипропилтриэтоксисилан |
| A189 |
3-меркаптопропилтриметоксисилан |
| A174 |
3-метакрилоксипропилтриметоксисилан |
| MTMS |
метилтриметоксисилан |
Далее получали продукт реакции RP1 из 3-глицидилоксипропилтриметоксисилана и N-(2-аминоэтил)-3-аминопропилтриметоксисилана, тем, что 1 моль A1120 смешивали с 3 молями A187. Непосредственно после смешения выход мог быть проконтролирован посредством ИК. Хотя характерные для эпоксидной группы полосы при примерно 910 см-1 сразу после смешения еще обнаруживались, они быстро исчезали.
Таблица 2 Применяемые ПАВы |
| Сокращение |
ПАВ |
Поставщик |
| “сурфинол” |
Surfinol® 61 |
Air Products |
| “сопрофор” |
Soprophor BSU |
Rhodia, Германия |
| “FM33” |
Antarox FM33 |
Rhodia, Германия |
| “AE01” |
EnviroGem® AE01 |
Air Products |
| “AE 02” |
EnviroGem® AE02 |
Air Products |
| “гидропалат 120” |
Hydropalat® 120 |
Cognis, Германия |
| “FSO-100” |
Zonyl® FSO-100 |
ABCR, Германия |
| “Byk 333” |
BYK®-333 |
Byk-Chemie GmbH, Германия |
В таблице 3 изменялось отношение органоалкоксисилана к ПАВу. В качестве органоалкоксисиланов применялся продукт реакции RP1 в комбинации с различными ПАВами.
В первой контрольной серии Ref.S1 ПАВ не использовался, т.е. применялся только органоалкоксисилан.
Соответствующий ПАВ добавляли к 2,5 г продукта реакции RP1 в стеклянном сосуде (диаметр 12 мм, высота 4 см, объем около 4,5 мл, с навинчивающейся пластмассовой крышкой), который ранее сох в печи при 200°C в течение суток, и охлаждали до комнатной температуры при 25°C и 50% относительной влажности воздуха. Затем наполненные так сосуды закрывали крышкой и ставили в печь с циркуляцией воздуха (Ehret, TK/L 4061) при 50°C. Образцы ежедневно оценивали визуально в течение 30 дней. В таблице 2 приведена стабильность, также с указанием числа дней, когда было установлено, что образец застыл. Если через 30 дней образец все еще оставался безупречным, указано значение >30.
Таблица 3 Стабильность (число дней до застывания) смеси органоалкоксисилан-ПАВ при 50°C в закрытом сосуде |
 |
RP1: ПАВ [г:г] |
| ПАВ |
1:0 |
20:1 |
10:1 |
5:1 |
2:1 |
1:1 |
1:2 |
 |
Ref.S1 |
BS1 |
BS2 |
BS3 |
BS4 |
BS5 |
BS6 |
| сурфинол |
1 |
1 |
1 |
2 |
>30 |
>30 |
>30 |
| сопрофор |
1 |
1 |
1 |
1 |
>10 |
>30 |
>30 |
| AE01 |
1 |
1 |
3 |
3 |
10 |
>30 |
>30 |
| гидропалат 120 |
1 |
1 |
1 |
2 |
>30 |
>30 |
>30 |
| Доля S в композиции [вес.%] |
100 |
95 |
91 |
83 |
66 |
50 |
33 |
В таблице 4 смешивались, так как описано ранее, различные силаны и различные ПАВы в отношении в смеси S:T, равном 2,125:1, что соответствует доле органоалкоксисилана S 68 вес.% от полного веса всей композиции. Однако в этой серии опытов в крышке была просверлена дыра 1 мм. Хранение и определение стабильности проводилось, как для опыта в таблице 3. Серия сравнительных примеров Ref.S2 проводилась без добавления ПАВов, т.е. как чистые органоалкоксисиланы.
Таблица 4 Стабильность (число дней до застывания) смеси органоалкоксисилан-ПАВ при 50°C в емкости с дырой в крышке |
 |
BS7 |
DS8 |
BS9 |
Ref.S2 |
 |
сурфинол |
AE01 |
гидропалат 120 |
– |
| A1130 |
7 |
1 |
6 |
1 |
| A1170 |
1 |
4 |
1 |
1 |
| MTMS |
>30 |
>30 |
10 |
1 |
В следующей серии опытов сравнивалась стабильность при хранении композиций, содержащих продукты реакции аминосиланов и эпоксисиланов, и различные ПАВы.
При этом использовался уже описанный продукт реакции RP1. Кроме того, был получен продукт реакции RP2 из 3-глицидилоксипропилтриметоксисилана и 3-[2-(2-аминоэтиламино)этиламино]пропилтриметоксисилана, тем что 1 моль A1130 смешивали с 6,6 моль A187.
В таблице 5 RP1 или RP2 смешивали, как описано раньше, с различными ПАВами в отношении в смеси S:T, равном 2,125:1, что соответствует доли органоалкоксисилана S 68 вес.% от полного веса всей композиции. В этой серии опытов емкость с закрытой крышкой (без дыры, как для таблицы 4), помещали в печь при 50°C, как уже описано, или хранили при 23°C и 50% относительной влажности воздуха. Определение стабильности проводили, как для опыта в таблице 3. Серия сравнительных опытов Ref.S3 проводилась без добавления ПАВов, т.е. как для чистых органоалкоксисиланов.
В таблице 6 оценивалась смешиваемость компонента K1 в компоненте K2. При этом 0,5 г соответствующей смеси ПАВ/продукт реакции RP1 как компонент K1 с помощью пипетки добавляли к 25 г 1%-ной (по весу) уксусной кислоты как компоненту K2. Указанная в таблице 6 оценка проводилась по следующему ключу:
“-” образование капель на дне сосуда (разделение фаз),
“+” образованные первыми капли быстро растворяются (< мин),
“++” спонтанное растворение при добавлении.
Таблица 6 Смешиваемость компонентов K1 и K2 |
 |
RP1:ПАВ [г:г] |
| ПАВ |
1:0 |
20:1 |
10:1 |
5:1 |
2:1 |
1:1 |
1:2 |
 |
Ref.S4 |
BS16 |
BS17 |
BS18 |
BS19 |
BS20 |
BS21 |
| сурфинол |
– |
– |
– |
++ |
++ |
++ |
++ |
| сопрофор |
– |
++ |
++ |
++ |
++ |
++ |
++ |
| AE01 |
– |
+ |
+ |
+ |
+ |
+ |
+ |
| гидропалат 120 |
– |
– |
+ |
+ |
++ |
++ |
++ |
В таблице 7 приведено отношение разных органоалкоксисиланов. Параметры оценки указаны в соответствии с таблицей 6.
Таблица 7 Составы водной композиции для промотора адгезии |
 |
Ref.1 |
Ref.2 |
B1 |
Ref.3 |
Ref.4 |
B2 |
Ref.5 |
Ref.6 |
B3 |
Ref.7 |
B4 |
| K1 |
 |
 |
 |
 |
 |
 |
 |
 |
 |
 |
 |
| A187 [г] |
0,5 |
0,5 |
0,33 |
 |
 |
 |
 |
 |
 |
 |
 |
| A189 [г] |
 |
 |
 |
0,5 |
0,5 |
0,33 |
 |
 |
 |
 |
 |
| A174 [г] |
 |
 |
 |
 |
 |
 |
0,5 |
0,5 |
0,33 |
 |
 |
| A1170 [г] |
 |
 |
 |
 |
 |
 |
 |
 |
 |
0,5 |
0,33 |
 |
 |
 |
 |
 |
 |
 |
 |
 |
 |
 |
 |
| сурфинол [г] |
 |
 |
0,17 |
 |
 |
0,17 |
 |
 |
0,17 |
 |
0,17 |
| K2 |
 |
 |
 |
 |
 |
 |
 |
 |
 |
 |
 |
| H20 [г] |
25,0 |
24,75 |
24,75 |
25,0 |
24,75 |
24,75 |
25,0 |
24,75 |
24,75 |
25,0 |
24,75 |
| HAc* [г] |
 |
0,25 |
0,25 |
 |
0,25 |
0,25 |
 |
0,25 |
0,25 |
 |
0,25 |
| K1+K2 [г] |
25,5 |
25,5 |
25,5 |
25,5 |
25,5 |
25,5 |
25,5 |
25,5 |
25,5 |
25,5 |
25,5 |
| Растворимость |
– |
– |
++ |
– |
– |
++ |
– |
– |
++ |
– |
++ |
| * HAc=уксусная кислота (100%) |
Таблица 8 Составы водных композиций промотора адгезии |
 |
B5 |
B6 |
B7 |
B8 |
Ref.8 |
Ref.9 |
| K1 |
 |
 |
 |
 |
 |
 |
| A1170 [г] |
0,75 |
 |
 |
 |
 |
 |
| Dy1122 [г] |
 |
0,75 |
 |
 |
 |
 |
| A187 [г] |
 |
 |
0,75 |
 |
0,75 |
 |
| GLYEO [г] |
 |
 |
 |
0,75 |
 |
0,75 |
| Byk 333 [г] |
0,25 |
0,25 |
0,25 |
0,25 |
0,25 |
0,25 |
| FSO-100 [г] |
0,05 |
0,05 |
0,05 |
0,05 |
0,05 |
0,05 |
| K2 |
 |
 |
 |
 |
 |
 |
| HAc* [г] |
0,25 |
0,25 |
0,25 |
0,25 |
 |
 |
| вода [г] |
48,7 |
48,7 |
48,7 |
48,7 |
48,95 |
48,95 |
| K1+ K2 [г] |
50 |
50 |
50 |
50 |
50 |
50 |
| Растворимость |
++ |
++ |
++ |
++ |
– |
– |
| * HAc=уксусная кислота (100%) |
Водные композиция промотора адгезии, полученные согласно таблице 8, по истечении времени, указанном в таблицах 9 и 10 как продолжительность гидролиза, после смешения компонентов K1 и K2 наносились с помощью пропитанной ими салфетки из целлюлозы (Tela®, Tela-Kimberly Switzerland GmbH) на листовое стекло (Zinnseite, Rocholl GmbH, Германия), или на керамический ободок заднего стекла типа ESG (однослойное защитное стекло) из секурита Saint-Gobain (“керамика”) автомобиля BMW. Через 10 минут подсыхания с помощью пистолета с насадкой наносился в виде плоской треугольной трубочки однокомпонентный влагоотверждаемый полиуретановый клей Sikaflex®-250 DM-2 (“DM2”) или SikaTack®-Move Goes Cool (“MGC”), которые оба содержат полиуретановый преполимер с изоцианатными группами и поставляются в продажу компанией Sika Schweiz AG, и отверждался в течение 7 дней при 23°C и 50% относительной влажности воздуха (хранение в условиях кондиционирования, “KL”). Затем образцы в течение следующих 7 дней хранились при 23°C в воде (хранение в воде, “WL”) и, наконец, в течение еще 7 дней при 70°C и 100% относительной влажности воздуха (хранение в условиях катаплазмы, “CP”).
Адгезию клея испытывали с помощью теста испытания трубочки.
Испытание на адгезию (“Испытание трубочки”)
Адгезию клея испытывали с помощью теста “испытание трубочки”. Для этого на самом конце делали надрез через поверхность клея. Разрезанный край трубочки удерживали круглогубцами и тянули от основания. Это проводилось путем осторожного наматывания трубочки на кончики клещей, а также надрезанием до голого основания перпендикулярно направлению вытягивания трубочки. Скорость вытягивания трубочки выбиралась так, что надрез нужно было делать примерно через каждые 3 секунды. Участок испытания должен соответствовать по меньшей мере 8 см. Оценивалось количество клея, оставшегося на основании после отдирания трубочки (когезионный разрыв). Оценка адгезионной способности проходила путем определения сцепленной доли поверхности сцепления:
1=когезионный разрыв >95%
2=когезионный разрыв 75-95%
3=когезионный разрыв 25-75%
4=когезионный разрыв <25%
5=когезионный разрыв 0% (чисто адгезионный разрыв)
Результаты испытаний с оценками 4 или 5 считаются неудовлетворительными.
Органоалкоксисилановые композиции были получены из A1110 и различных ПАВов в приведенных в таблице 11 соотношениях и применялись в качестве первого компонента K1 водного праймера. Второй компонент K2 состоял из воды и 1%-ной (по весу) уксусной кислоты. 1,05 г компонента K1 добавляли к 49 г компонента K2 и стряхивали. Затем эту смесь наносили с помощью пропитанной композицией целлюлозной салфетки (Tela®, Tela-Kimberly Schwitzeland GmbH) на керамическую кромку лобового стекла типа VSG из сплинтекса автомобиля Мицубиси модели Space Wagon. После 10 минут подсыхания с помощью пистолета с насадкой наносили в виде круглой трубочки однокомпонентный влагоотверждаемый полиуретановый клей Sikaflex®-250 DM-2 или Sikaflex®-250 HMV-2+, которые оба содержат полиуретановые преполимеры с изоцианатными группами и поставляются в продажу компанией Sika Schweiz AG, и отверждали в течение 4 дней при 23°C и 50% относительной влажности воздуха. Адгезию оценивали по уже описанному тесту трубочки.
Формула изобретения
1. Водная двухкомпонентная композиция промотора адгезии, состоящая из первого компонента К1, включающего по меньшей мере один органоалкоксисилан “S” и по меньшей мере один безводный ПАВ “Т”; и из второго компонента К2, включающего воду и по меньшей мере одну кислоту, причем кислота присутствует в таком количестве, что после смешения компонентов К1 и К2 полученная смесь имеет кислую реакцию, при рН от 3 до 5.
2. Водная двухкомпонентная композиция промотора адгезии по п.1, отличающаяся тем, что кислота является органической кислотой, в частности сульфокислотой или карбоновой кислотой, в частности уксусной кислотой или муравьиной кислотой.
3. Водная двухкомпонентная композиция промотора адгезии по п.2, отличающаяся тем, что кислота предпочтительно является ароматической сульфокислотой, в частности п-толоуолсульфоновой кислотой или додецилбензилсульфоновой кислотой.
4. Водная двухкомпонентная композиция промотора адгезии по п.1, отличающаяся тем, что кислота является неорганической кислотой, в частности кислотой с атомом серы или фосфора.
5. Водная двухкомпонентная композиция промотора адгезии по одному из предыдущих пунктов, отличающаяся тем, что кислота присутствует в таком количестве, что после смешения компонентов К1 и К2 полученная смесь имеет рН от 3 до 5.
6. Водная двухкомпонентная композиция промотора адгезии по одному из пп.1-4, отличающаяся тем, что органоалкоксисилан S является аминосиланом.
7. Водная двухкомпонентная композиция промотора адгезии по п.6, отличающаяся тем, что аминосилан является аминосиланом формулы (I) или продуктом реакции аминосилана формулы (I) с соединением, содержащим по меньшей мере одну функциональную группу, которая реагирует с первичной или вторичной аминогруппой
 где R1 означает алкильную группу с 1-8 атомами С, предпочтительно метильную или этильную группу, в частности метильную группу; R2 означает алкильную группу с 1-5 атомами С, предпочтительно метильную группу или этильную группу или изопропиловую группу, в частности метильную группу или этильную группу, R3 означает линейную или разветвленную алкиленовую группу с 1-4 атомами С, в частности пропиленовую группу, R4 означает Н или линейную или разветвленную алкиленовую группу с 1-10 атомами С или заместитель формулы (II),
 R5 означает Н или линейную или разветвленную алкиленовую группу с 1-10 атомами С, или линейную или разветвленную алкиленовую группу с 1-10 атомами С с другими гетероатомами, или заместитель формулы (II)
 где а имеет значение 0, 1 или 2, в частности 0 или 1, предпочтительно 0.
8. Водная двухкомпонентная композиция промотора адгезии по п.1, отличающаяся тем, что аминосилан выбран из группы, включающей аминосиланы формул (III), (IV) и (V)

9. Водная двухкомпонентная композиция промотора адгезии по п.7 или 8, отличающаяся тем, что аминосилан является продуктом реакции аминосилана формулы (III) или (IV), какие описаны в п.8, с соединением, содержащим эпоксигруппы.
10. Водная двухкомпонентная композиция промотора адгезии по п.9, отличающаяся тем, что соединением, содержащим эпоксигруппы, является эпоксисилан, в частности эпоксисилан формулы (VI)

11. Водная двухкомпонентная композиция промотора адгезии по п.7, отличающаяся тем, что а=0, R2 означает метил, и R5 означает пропилен.
12. Водная двухкомпонентная композиция промотора адгезии по одному из пп.1-4, отличающаяся тем, что силан S является органоалкоксисиланом формулы (XIV)
 где R1′ означает алкильную группу с 1-8 атомами С, предпочтительно метильную или этильную группу, в частности метильную группу; R6′ означает алкильную группу с 1-5 атомами С, предпочтительно метильную группу, или этильную группу, или изопропиловую группу, в частности метильную группу или этильную группу, R3′ означает линейную или разветвленную алкильную цепь с 1-20 атомами С, которая необязательно замещена эпокси-, винильной или (мет)акрилатной группой; где а имеет значение 0, 1 или 2, в частности 0 или 1, предпочтительно 0.
13. Водная двухкомпонентная композиция промотора адгезии по п.1, отличающаяся тем, что весовая доля органоалкоксисилана «S» составляет 40 вес.% от веса компонента K1.
14. Водная двухкомпонентная композиция промотора адгезии по п.1, отличающаяся тем, что весовое отношение органоалкоксисилана «S» к безводному ПАВу Т (S:T) составляет от 20:1 до 1:2, в частности от 5:1 до 1:2, предпочтительно от 3:1 до 2:3.
15. Водная двухкомпонентная композиция промотора адгезии по п.1, отличающаяся тем, что весовая доля воды составляет 60 вес.% от веса компонента К2.
16. Тара (6) для промотора адгезии, состоящая из упаковки (5), которая имеет два отделения (1,2), отделенные друг от друга по меньшей мере одной перегородкой (3), и водной двухкомпонентной композиции промотора адгезии по одному из пп.1-15, причем первый компонент К1 находится в первом отделении (1), а второй компонент К2 – во втором отделении (2).
17. Тара (6) по п.16, отличающаяся тем, что перегородка (3) сделана из материала, который при приложении давления ломается или разрывается.
18. Водная композиция, полученная смешением компонентов К1 и К2 водной двухкомпонентной композиции промотора адгезии по одному из пп.1-15.
19. Применение водной двухкомпонентной композиции промотора адгезии по одному из пп.1-15 или водной композиции по п.18 в качестве средства предварительной обработки для улучшения адгезии наносимого на нее клея или герметика.
20. Способ предварительной обработки поверхности основы, включающий стадии: a) смешение компонентов К1 и К2 двухкомпонентной композиции промотора адгезии по одному из пп.1-15, b) нанесение полученной смеси на поверхность основы.
21. Способ склеивания или герметизации, включающий стадии: i) смешение компонентов К1 и К2 двухкомпонентной композиции промотора адгезии по одному из пп.1-15, ii) нанесение полученной смеси на склеиваемую или герметизируемую основу S1, iii) нанесение клея или герметика на подсохшую водную композицию промотора адгезии, которая находится на основе S1, iv) контактирование клея или герметика со второй основой S2.
22. Способ склеивания или герметизации, включающий стадии: i’) смешение компонентов К1 и К2 двухкомпонентной композиции промотора адгезии по одному из пп.1-15, ii’) нанесение полученной смеси на склеиваемую или герметизируемую основу S1, iii’) нанесение клея или герметика на поверхность второй основы S2, iv’) контактирование клея или герметика с подсохшей водной композицией промотора адгезии, которая находится на основе S1.
23. Способ склеивания или герметизации, включающий стадии: i”) смешение компонентов К1 и К2 двухкомпонентной композиции промотора адгезии по одному из пп.1-15, ii”) нанесение полученной так смеси на склеиваемую или герметизируемую основу S1, iii”) подсушивание двухкомпонентной композиции промотора адгезии, iv”) нанесение клея или герметика между поверхностями основ S1 и S2, причем вторая основа S2 состоит из того же материала, что и основа S1, или другого материала.
24. Способ по любому из пп.21-23, отличающийся тем, что за стадией iv), или iv’), или iv”) следует стадия v) отверждения клея или герметика.
25. Способ по любому из пп.21-23, отличающийся тем, что клей является влагоотверждаемым однокомпонентным полиуретановым клеем.
26. Склеенное или герметизированное изделие, которое было получено способом по одному из пп.21-25.
27. Склеенное или герметизированное изделие по п.26, отличающееся тем, что изделие является частью транспортного средства, в частности автомобиля, или монтируемой деталью транспортного средства, в частности автомобиля.
РИСУНКИ
|
|