|
|
(21), (22) Заявка: 2007105595/04, 14.07.2005
(24) Дата начала отсчета срока действия патента:
14.07.2005
(30) Конвенционный приоритет:
15.07.2004 JP 2004-208334 22.07.2004 US 60/590,180 28.12.2004 JP 2004-379551 06.01.2005 US 60/641,874 28.04.2005 JP 2005-133724 12.05.2005 US 60/680,072
(43) Дата публикации заявки: 20.08.2008
(46) Опубликовано: 20.06.2010
(56) Список документов, цитированных в отчете о поиске:
WO 03097586, 27.11.2003. WO 03068749, 21.08.2003. WO 03080578, 02.10.2003. WO 03/099284, 04.12.2003. WO 03053945, 03.07.2003. RU 2130020 C1, 10.05.1999.
(85) Дата перевода заявки PCT на национальную фазу:
15.02.2007
(86) Заявка PCT:
JP 2005/013446 20050714
(87) Публикация PCT:
WO 2006/006741 20060119
Адрес для переписки:
129090, Москва, ул. Б.Спасская, 25, стр.3, ООО “Юридическая фирма Городисский и Партнеры”, пат.пов. Е.Е.Назиной
|
(72) Автор(ы):
КОГА Йосихиса (JP), ЯТА Синдзи (JP), ВАТАНАБЕ Такаси (JP), МАЦУО Такуя (JP), ЯМАСАКИ Такаюки (JP), САКАТА Масахиро (JP), КОНДО Ватару (JP), ОЗЕКИ Хидеказу (JP), ХОРИ Йосиказу (JP)
(73) Патентообладатель(и):
ДЖАПАН ТОБАККО ИНК. (JP)
|
(54) КОНДЕНСИРОВАННОЕ ПРОИЗВОДНОЕ БЕНЗАМИДА И ИНГИБИТОР АКТИВНОСТИ ПОДТИПА 1 РЕЦЕПТОРА ВАНИЛЛОИДА (VR1)
(57) Реферат:
Задачей настоящего изобретения является создание соединения, имеющего превосходное ингибирующее действие на активность подтипа 1 рецептора ваниллоида (VR1), которое является эффективным при лечении заболеваний, в которых принимает участие активность подтипа 1 рецептора ваниллоида (VR1), таких как боль, острая боль, хроническая боль, невропатическая боль, боль при ревматоидном артрите, невралгия и так далее, и фармацевтической композиции, содержащей такое соединение. Задача была достигнута получением конденсированного производного бензамида, представленного нижеследующей формулой [1], или его соли, в которой Z представляет собой -O-, -NR5-, -S-, -SO-; l равно 0 или 1; m равно 0 или 1; R1 представляет собой атом водорода, C1-6-алкильную группу, R2 представляет собой атом водорода, гидроксильную группу, C1-6-алкильную группу, карбоксильную группу, C1-6-алкоксикарбонильную группу или -CONR10R11 или R2 вместе с R1 образует =O; R3 представляет собой атом водорода или C1-6-алкильную группу; R4 представляет собой атом водорода или атом галогена; V представляет собой прямую связь или -(CR21R22)n-; кольца P1 и Р2 являются одинаковыми или разными и каждый представляет собой ароматическую или насыщенную карбоциклическую группу, или 5-10-членную насыщенную или ненасыщенную гетероциклическую группу, содержащую 1-3 гетероатома, выбранных из N, О, S. 5 н. и 12 з.п. ф-лы, 56 табл.

Настоящее изобретение относится к новому конденсированному производному бензамида, обладающему ингибирующим действием на активность подтипа 1 рецептора ваниллоида (VR1), и фармацевтической композиции, включающей такое соединение в качестве активного ингредиента, особенно лекарственному средству против боли.
Капсаицин, который является основным ингредиентом кайенского перца, является вызывающим остроту ингредиентом, а также индуцирующим боль веществом. Описано, что многие ноцицептивные нервы, особенно немиелинированные волокна С, обладают чувствительностью к капсаицину и, известно, что волокна С могут селективно выпадать, когда капсаицин вводят детенышу грызуна. Описано также, что имеется много мест действия капсаицина, распределенных в коже, роговице и слизистой оболочке полости рта, и распределение их наблюдают также в мышцах, суставах и внутренних органах, особенно в сердечно-сосудистой системе, дыхательной системе и системе мочевых путей мочевого пузыря, и это является важным для рефлекса пучка вегетативных нервных волокон. Кроме того, чувствительность к капсаицину наблюдают также в нервах предзрительной области таламуса и предполагается участие ее в регуляции температуры тела. Деполяризацию притоком Na+ и Са2+ введением капсаицина наблюдают в ноцицептивных нервах, и это приводит к выделению глутаминовой кислоты и нейропептидов (в основном вещества Р и пептида, связанного с геном кальцитонина) из бокового конца центра прикрепления главного афферентного волокна спинального дорсального рога. Теперь наблюдали, что специфическая связывающая активность резинифератоксина (RTX) вызывает действия, подобные действию капсаицина, и что капсазепин проявляет себя в качестве конкурирующего ингибитора, и считают, что липорастворимый капсаицин действует на рецепторный белок (см. Szallasi A., Blumbеrg P.M. (1999) Pharmacol. Rev. 51, 159-212).
Ген рецептора капсаицина клонировали в 1977 (см., например, Caterina M.J., Schumacher M.A., Tominaga M., Posen T.A., Levine J.D., Julius D. (1997) Nature 389, 816-824). На основании его аминокислотной последовательности было предположено, что он являлся ионным каналом, имеющим шесть трансмембранных доменов. Поскольку капсаицин имеет ваниллильную группу в структуре, его генеративно называют ваниллоидом вместе с его аналогами, такими как RTX, и клонированный рецептор назвали подтипом 1 рецептора ваниллоида (далее обозначаемого VR1; этот VR1 можно также обозначать TRPV1 (неустойчивый рецептор, потенциальный рецептор 1 ваниллоида). Затем проводили электрофизиологический функциональный анализ с применением метода пэтч-клампа полученных ооцитов Xenopus laevis и выделенных из организма человека, культивированных клеток для экспрессии VR1 и было обнаружено, что VR1 непосредственно активируется капсаицином без опосредования внутриклеточным вторым мессенджером (см., например, Caterina M.J., Schumacher M.A., Tominaga M., Posen T.A., Levine JD, Julius D. (1997) Nature 389, 816-824) и что VR1 является неселективным катионным ионным каналом, имеющим высокую Са2+-проницаемость со свойствами поверхностного очищения (см., например, Premkumar LS, Agarwal S., Steffen D. (2002) J. Physiol. 545, 107-117).
Хотя капсаицин является вызывающим боль веществом, его применяют в качестве аналгезирующего агента для успокоения боли при диабетической невропатии или ревматического невроза (см., например, Szallasi A., Blumberg PM (1999) Pharmacol. Rev. 51, 159-212). Понятно, что такое успокоение боли является результатом феномена, по которому чувствительное нервное окончание, подвергнутое действию капсаицина, прекращает реагировать на болевой стимул, то есть происходит десенсибилизация. Хотя считается, что механизм десенсибилизации VR1 включает Са2+-опосредуемую регуляцию, регуляцию, зависящую от потенциала, регулирования активности VR1 фосфорилированием и дефосфорилированием и т.д., многие положения остаются неясными.
Также как и капсаицин, повышенная температура и кислота также вызывают боль, и известно, что чувствительные к капсаицину ноцицептивные нервы реагируют на два или более типов стимуляции. Обнаружено, что VR1 непосредственно активировался не только капсаицином, но и тепловой стимуляцией при 43°С или выше (см., например, Yang D., Gereau R.W. 4th (2002) Neurosci. 22, 6388-6393). Температура 43°С в основном находится в соответствии с температурным пределом, который вызывает боль у людей и животных, что позволяет предположить, что VR1 принимает участие в восприимчивости к ноцицептивной тепловой стимуляции.
Подкисление имеет место в органе в случае воспаления или ишемии, и, как известно, оно вызывает или усиливает боль (см., например, Bevan S., Geppetti P. (1994) Trends Neurosci. 17, 509-512). Оказалось, что когда рН наружной стороны клеток снижается в пределах подкисления, которое имеет место в случае повреждения органа, VR1 может непосредственно активироваться только подкислением (образование протонов), и предполагается, что VR1 является действительной молекулой, которая получает стимуляцию подкислением в органе, которое имеет место в случае воспаления или ишемии (см., например, Yang D., Gereau R.W. 4th (2002) J. Neurosci. 22, 6388-6393).
Иммуногистологический анализ с применением специфического антитела подтвердил, что число немиелинированных волокон С, экспрессирующих VR1, повышается в воспаленной области по сравнению с нормальной областью (см., например, Carlton S.M., Coggeshall RE. (2001) Neurosci. Lett. 310, 53-56). Повышение экспрессии VR1 в сплетении, расположенном под слизистой оболочкой, действительно наблюдали при воспалительном заболевании кишечника человека (см., например, Yiangou Y., Facer P., Dyer N.H., Chan CL, Knowles C., Williams NS, Anand P. (2001) Lancet 357, 1338-1339). Такое повышение в количестве экспрессии VR1 вызывает периферическую сенсибилизацию в воспаленном органе и предположительно способствует длительности воспалительной гипералгезии.
Описано также, что внеклеточный АТФ, брадикинин и фактор роста нерва, которые являются связанными с воспалением веществами, повышают активность VR1 (см., например, Tominaga M., Wada M., Masu M. (2001) Proc. Natl. Acad. Sci. USA 98, 6951-6956; Shu X., Mendell L.M. (1999) Neurosci. Lett. 274, 159-162; Chuang H.H., Prescott E.D., Kong H., Shields S., Jordt SE, Basbaum AI, Chao, M.V., Julius D. (2001) Nature 411, 957-962; and Sugiura T., Tominaga M., Katsuya H., Mizumura K. (2002) J. Neurophysiol. 88, 544-548), и указывается, что без сомнения VR1 принимает участие в появлении боли и гипервосприимчивости боли, в том числе боли, вызванной воспалением (см., например, Numazaki M., Tominaga M. (2003) Biochemistry 75, 359-171).
Чувствительные нервные клетки у VR1-дефицитной мыши не реагируют ни на одну из стимуляций из капсаицина, протона и нагревания. Описано также, что при анализе действия VR1-дефицитная мышь не обнаруживает болевой реакции после введения капсаицина и чувствительность к тепловой стимуляции понижается и воспалительная гипералгезия не наблюдается (см., например, Caterina M.J., Leffler A., Malmberg A.B., Martin W.J., Trafton J., Peterson-Zeitz K.R., Koltzenburg M., Basbaum A.I., Julius D. (2000) Science 288, 306-313 and Davis L.B., Gray J., Gunthorpe M.J. et al. (2000) Nature 405, 183-187). Таким образом, было подтверждено также на индивидуальном уровне из данных анализа VR1-дефицитной мыши, что VR1 функционирует в качестве рецептора стимуляции широкого диапазона боли.
Кроме того, что касается связи между подтипом 1 рецептора ваниллоида (VR1) и заболеванием, уже описано, что вещество, которое ингибирует активность VR1, является применимым в качестве терапевтического агента для различных заболеваний.
В частности, что касается терапевтического агента против боли, имеется сообщение, что капсазепин, который известен в качестве антагониста VR1, проявлял значительное аналгезирующее действие на животной модели (см., например, Ikeda Y., Ueno A., Naraba H., Oh-ishi S., (2001) Life Science 69, 2911-2919) и предполагается его применение в качестве нового терапевтического агента против боли, оказывающего ингибирующее действие на активность VR1.
В отношении гиперрастяжения мочевого пузыря типа частого мочеиспускания и недержания мочи было подтверждено, что функция сокращения мочевого пузыря у VR1-дефицитной мыши снижается, и имеется сообщение, что соединение, имеющее подобный капсаицину фармакологический механизм, или соединение, оказывающее ингибирующее действие на VR1, т.е. соединение, ингибирующее активность подтипа 1 рецептора ваниллоида (VR1), является применимым для улучшения функции мочевого пузыря, например, в качестве терапевтического агента для лечения частого мочеиспускания, недержания мочи и т.д. (см., например, (2002) Nat. Neurosci. 5, 856-860).
Кроме того, в другой ссылке описывается, что вещество, оказывающее ингибирующее действие на подтип 1 рецептора ваниллоида (VR1), особенно антагонист рецептора VR1, является применимым для профилактики и лечения заболеваний, связанных с активностью VR1, особенно, крайнего недержания мочи, сверхактивного мочевого пузыря, хронической боли, невропатической боли, послеоперационной боли, боли ревматоидного артрита, невралгии, невропатии, гипералгезии, повреждения нервов, ишемического симптома, нейродегенеративной, церебральной апоплексии, недержания, воспалительного заболевания, крайнего недержания мочи (UUI), и/или состояний и заболеваний, включающих сверхактивный мочевой пузырь (см., например, JP 2003-192673).
Кроме того, известно также, что заболевания, относящиеся к активности рецептора ваниллоида, могут включать боль, острую боль, хроническую боль, невропатическую роль, послеоперационную боль, мигрень, боль суставов, невропатию, повреждение нерва, диабетическое нервное заболевание, нейродегенеративное заболевание, нейрогенное нарушение кожи, церебральную апоплексию, гиперчувствительность мочевого пузыря, синдром раздраженной толстой кишки, нарушения в дыхательных органах, такие как астма и хроническое закупоривающее легочное заболевание, стимуляция кожи, глаз или слизистой оболочки, лихорадку, язву желудка или двенадцатиперстной кишки, воспалительное заболевание кишечника, воспалительное заболевание и т.д. (см., например, JP 2004-506714 Т2).
Согласно этому можно сказать, что вещества, имеющие антагонистическую активность для подтипа 1 рецептора ваниллоида (VR1), являются применимыми в качестве терапевтического агента для состояний, в которых принимают участие волокна С, например, не говоря уже о зуде, при аллергии и аллергическом рините, сверхактивном мочевом пузыре типа частого мочеиспускания и недержания мочи, апоплексии, синдроме раздраженной толстой кишки, респираторном недомогании, таком как астма и хроническое закупоривающее легочное заболевание, дерматите, воспалении слизистой оболочки, язве желудка и двенадцатиперстной кишки, воспалительном заболевании кишечника и т.д., но также при боли, острой боли, хронической боли, невропатической боли, послеоперационной боли, мигрени, боли суставов, невропатии, повреждении нерва, диабетическом нервном заболевании, нейродегенеративном заболевании, боли при ревматоидном артрите, невралгии, невропатии, гипералгезии, нейрогенном нарушении кожи, апоплексии, избыточной массе тела, крайнем недержании мочи, ишемическом симптоме и воспалительном заболевании и т.д.
Затем описываются соединения, рассматриваемые относительно сходными с известным антагонистом подтипа 1 рецептора ваниллоида (VR1), и соединение настоящего изобретения.
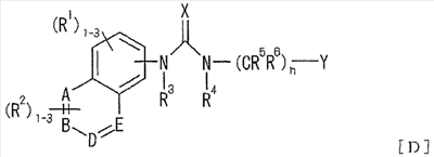
Соединения амидного типа, представленные нижеследующими общими формулами [A], [B] и [C], описаны в WO 03/068749 как соединения, проявляющие антагонизм к VR1.

Соединение типа мочевины, представленное нижеследующей общей формулой [D], описано в WO03/080578 как соединение, проявляющее антагонизм к VR1.
[D]
Хинуклидин-3′-ил-1-фенил-1,2,3,4-тетрагидроизохинолин-2-карбоксилат описан в WO 03/006019 как соединение, проявляющее ингибирующее действие против индуцированной капсаицином экстравазации белка плазмы в мочевом пузыре.
Соединение типа мочевины, представленное нижеследующей общей формулой [Е], описано в WO 03/053945 как соединение, проявляющее антагонизм к VR1.

Соединение, представленное нижеследующей общей формулой [F], описано в WO 03/099284 как соединение, проявляющее связывающую активность для VR1.

Однако эти соединения отличаются от соединения настоящего изобретения по структуре, и не было обнаружено описания, которое предлагает соединение настоящего изобретения.
Сейчас в основном применяют анелгезирующий агент, наркотические аналгетики (морфин и т.д.), ненаркотические аналгетики (NSAID (нестероидное противовоспалительное лекарственное средство)) и т.д. Однако применение наркотических аналгетиков сильно ограничено вследствие развития резистентности/зависимости и других серьезных побочных действий. Кроме того, хорошо известно, что во время длительного введения ненаркотических аналгетиков часто имеет место нарушение верхнего желудочно-кишечного тракта и нарушение печени, и очень желательным является аналгезирующий агент с незначительными побочными действиями и с более высоким аналгезирующим действием. Кроме того, что касается индуцированной диабетом невропатической боли, постгерпетической невралгии и невропатической боли, такой как невралгия тройничного нерва, еще не обнаружен эффективный аналгезирующий агент, и разработка такого эффективного аналгезирующего агента также предполагается.
Считается, что подобные капсаицину соединения, которые действуют на VR1, обнаруживают аналгезирующее действие на основе фармакологического механизма, полностью отличного от механизмов существующих аналгезирующих агентов (десенсибилизация чувствительных к капсаицину нервов), и очень ожидается, что они являются эффективными в качестве терапевтического агента для невропатической боли и боли, которая возникает при различных состояниях, таких как ревматоидный артрит, для которых существующие аналгезирующие агенты являются неэффективными.
Факт, что конечной мишенью различных связанных с воспалением веществ является VR1, предполагает возможность того, что агент, который действует на VR1, является эффективным для различных воспалительных болей и интерстициального цистита, и ожидается его эффективность в качестве аналгезирующего агента, который заменит существующие аналгезирующие агенты.
Следовательно, задачей настоящего изобретения является создание нового аналгезирующего агента на основе фармакологического механизма, полностью отличного от механизмов существующих аналгезирующих агентов (десенсибилизация чувствительных к капсаицину нервов), т.е. ингибитора активности VR1.
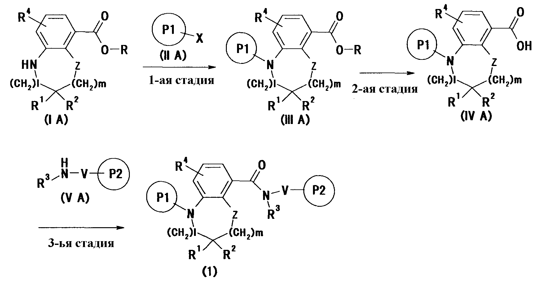
В результате интенсивного исследования для разработки аналгезирующего агента на основе нового механизма действия, который заменит общепринятые аналгезирующие агенты, такие как ненаркотические аналгетики, пиразолоновые аналгетики, непиразолоновые аналгетики и NSAID, авторы настоящего изобретения обнаружили конденсированное производное бензамида, которое обладает превосходным ингибирующим действием на VR1, и завершили настоящее изобретение. Настоящее изобретение описано более подробно ниже.
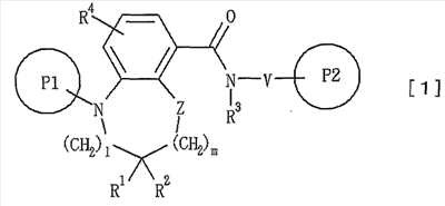
1. Конденсированное производное бензамида, представленное нижеследующей общей формулой [1], или его фармацевтически приемлемая соль

[где Z представляет собой
(1) -О-,
(2) -NR5– (где R5 представляет собой атом водорода или С1-6-алкильную группу),
(3) -S-,
(4) -SO- или
(5) -SO2-;
l равно 0, 1 или 2;
m равно 0, 1 или 2;
R1 представляет собой
(1) атом водорода или
(2) С1-6-алкильную группу, которая может быть замещена 1-5 заместителями, выбранными из следующей группы А:
группа А:
(а) атом галогена,
(b) гидроксильная группа,
(с) С1-6-алкоксигруппа,
(d) карбоксильная группа,
(е) С1-6-алкоксикарбонильная группа,
(f) -CONR6R7 (где R6 и R7 являются одинаковыми или разными и каждый представляет собой атом водорода, С1-6-алкильную группу или ацильную группу и указанная алкильная группа может быть замещена гидроксильной группой или ацилоксигруппой),
(g) -NR6R7 (где R6 и R7 имеют значения, указанные выше),
(h) -NR6COR7 (где R6 и R7 имеют значения, указанные выше),
(i) -NR8CONR6R7 (где R6 и R7 имеют значения, указанные выше, и R8 представляет собой атом водорода или С1-6-алкильную группу) и
(j) -NR6SO2R9 (где R6 имеет значения, указанные выше, и R9 представляет собой С1-6-алкильную группу);
R2 представляет собой
(1) атом водорода,
(2) гидроксильную группу,
(3) С1-6-алкильную группу, которая может быть замещена 1-5 заместителями, выбранными из группы А (где группа А является такой же, как указано выше),
(4) карбоксильную группу,
(5) С1-6-алкоксикарбонильную группу или
(6) -CONR10R11 (где R10 и R11 являются одинаковыми или разными и каждый представляет собой атом водорода или С1-6-алкильную группу);
или R2 вместе с R1 образует =О;
R3 представляет собой
(1) атом водорода или
(2) С1-6-алкильную группу;
R4 представляет собой
(1) атом водорода,
(2) атом галогена,
(3) С1-6-алкильную группу, которая может быть замещена 1-5 заместителями, выбранными из нижеследующей группы В,
(4) С1-6-алкоксигруппу, которая может быть замещена 1-5 заместителями, выбранными из нижеследующей группы В,
(5) циклоалкильную группу, которая может быть замещена 1-5 заместителями, выбранными из нижеследующей группы В,
(6) аралкильную группу, которая может быть замещена 1-5 заместителями, выбранными из нижеследующей группы В,
(7) аралкоксигруппу, которая может быть замещена 1-5 заместителями, выбранными из нижеследующей группы В, или
(8) циклоалкилалкоксигруппу, которая может быть замещена 1-5 заместителями, выбранными из нижеследующей группы В:
группа В:
(а) атом галогена,
(b) галоген-С1-6-алкильная группа,
(с) гидроксильная группа,
(d) галоген-С1-6-алкоксигруппа,
(е) С1-6-алкоксикарбонильная группа,
(f) С1-6-алкоксигруппа,
(g) карбоксильная группа,
(h) -CONR12R13 (где R12 и R13 являются одинаковыми или разными и каждый представляет собой атом водорода или С1-6-алкильную группу);
(i) -NR12R13 (где R12 и R13 имеют значения, указанные выше),
(j) -NR12COR13 (где R12 и R13 имеют значения, указанные выше),
(k) -NR14CONR12R13 (где R12 и R13 имеют значения, указанные выше, и R14 представляет собой атом водорода или С1-6-алкильную группу),
(l) -SO2R15 (где R15 представляет собой С1-6-алкильную группу) и
(m) -NR12SO2R15 (где R12 и R15 имеют значения, указанные выше);
(9) гидроксильную группу,
(10) -NR16R17 (где R16 и R17 являются одинаковыми или разными и каждый представляет собой атом водорода или С1-6-алкильную группу);
(11) -СОR18 (где R18 представляет собой С1-6-алкильную группу, С1-6-алкоксигруппу, циклоалкильную группу, аралкильную группу, аралкоксигруппу, циклоалкилалкоксигруппу или гидроксильную группу),
(12) -CONR16R17 (где R16 и R17 являются одинаковыми или разными),
(13) -NR19CONR16R17 (где R16 и R17 имеют значения, указанные выше, и R19 представляет собой атом водорода или С1-6-алкильную группу),
(14) -NR16СООR20 (где R16 имеет значения, указанные выше, и R20 представляет собой С1-6-алкильную группу или циклоалкильную группу),
(15) -SR20 (где R20 имеет значения, указанные выше),
(16) -SОR20 (где R20 имеет значения, указанные выше),
(17) -SО2R20 (где R20 имеет значения, указанные выше),
(18) -SО2NR16R17 (где R16 и R17 имеют значения, указанные выше) или
(19) -NR16СОR18 (где R16 и R18 имеют значения, указанные выше);
V представляет собой
(1) прямую связь или
(2) -(СR21R22)n– (где R21 и R22 являются одинаковыми или разными и каждый представляет собой атом водорода или С1-6-алкильную группу и n равно 1 или 2);
кольца Р1 и Р2 являются одинаковыми или разными и каждый представляет собой
(1) карбоциклическую группу, которая может быть замещена 1-5 заместителями, выбранными из нижеследующей группы С, или
(2) гетероциклическую группу, которая может быть замещена 1-5 заместителями, выбранными из следующей группы:
группа С:
(а) атом галогена,
(b) гидроксильная группа,
(с) С1-6-алкоксигруппа, которая может быть замещена 1-5 заместителями, выбранными из группы А,
(d) С1-6-алкилтиогруппа,
(е) С1-6-алкильная группа, которая может быть замещена 1-5 заместителями, выбранными из группы А,
(f) -CONR23R24 (где R23 и R24 являются одинаковыми или разными и каждый представляет собой атом водорода или С1-6-алкильную группу, которая может быть замещена 1-5 заместителями, выбранными из группы А),
(g) -NR123R124 (где R123 и R124 являются одинаковыми или разными и каждый представляет собой атом водорода или С1-6-алкильную группу, которая может быть замещена 1-5 заместителями, выбранными из группы А),
(h) -NR223COR224 (где R223 и R224 являются одинаковыми или разными и каждый представляет собой атом водорода или С1-6-алкильную группу, которая может быть замещена 1-5 заместителями, выбранными из группы А),
(i) -NR25COR323R324 (где R323 и R324 являются одинаковыми или разными и каждый представляет собой атом водорода или С1-6-алкильную группу, которая может быть замещена 1-5 заместителями, выбранными из группы А),
(j) -SR26 (где R26 представляет собой С1-6-алкильную группу),
(k) -SOR126 (где R126 представляет собой С1-6-алкильную группу),
(l) -SO2R226 (где R226 представляет собой С1-6-алкильную группу),
(m) -NR423SO2R326 (где R423 представляет собой атом водорода или С1-6-алкильную группу, которая может быть замещена 1-5 заместителями, выбранными из группы А, и R326 представляет собой С1-6-алкильную группу),
(n) -SO2NR523R524 (где R523 и R524 являются одинаковыми или разными и каждый представляет собой атом водорода или С1-6-алкильную группу, которая может быть замещена 1-5 заместителями, выбранными из группы А),
(о) -СОR27 (где R27 представляет собой С1-6-алкильную группу, С1-6-алкоксигруппу, циклоалкильную группу, аралкильную группу, аралкоксигруппу, циклоалкилалкоксигруппу или гидроксильную группу),
(р) карбоциклическая группа, которая может быть замещена 1-5 заместителями, выбранными из (а)-(о) группы С,
(q) гетероциклическая группа, которая может быть замещена 1-5 заместителями, выбранными из (а)-(о) группы С,
(r) -O-R28 (где R28 представляет собой ацильную группу, карбоциклическую группу, которая может быть замещена 1-5 заместителями, выбранными из (а)-(о) группы С, или гетероциклическую группу, которая может быть замещена 1-5 заместителями, выбранными из (а)-(о) группы С,
(s) -O-(CR21R22)n-R28 (где R21, R22, n и R28 имеют значения, указанные выше),
(t) нитрогруппа и
(u) цианогруппа.
2. Конденсированное производное бензамида или его фармацевтически приемлемая соль по указанному выше п.1, где Z представляет собой -О-, -NR5-, -S- или -SO-.
3. Конденсированное производное бензамида или его фармацевтически приемлемая соль по указанному выше п.1 или 2, где R3 представляет собой атом водорода или С1-4-алкильную группу.
4. Конденсированное производное бензамида или его фармацевтически приемлемая соль согласно указанным выше пп.1-3, где кольцо Р1 представляет собой насыщенное или ненасыщенное 5-членное или 6-членное гетероциклическое кольцо, содержащее 1-4 гетероатома, выбранных из атома азота, атома кислорода и атома серы, или конденсированное кольцо этих гетероциклических колец, или конденсированное гетероциклическое кольцо указанного гетероциклического кольца и карбоциклического кольца, выбранного из бензола, циклопентана и циклогексана, или фенильную группу (где указанное гетероциклическое кольцо может быть замещено атомом галогена, гидроксильной группой, С1-6-алкильной группой, которая может быть замещена 1-5 заместителями, выбранными из группы А, и С1-6-алкоксигруппой, которая может быть замещена 1-5 заместителями, выбранными из группы А).
5. Конденсированное производное бензамида или его фармацевтически приемлемая соль согласно указанному выше п.4, где кольцо Р1 представляет собой насыщенное или ненасыщенное 5-членное или 6-членное гетероциклическое кольцо, содержащее, по меньшей мере, 1-3 атома азота, или фенильную группу (где указанное гетероциклическое кольцо может быть замещено С1-6-алкильной группой, которая может быть замещена гидроксильной группой или С1-6-алкильной группой, атомом галогена, гидроксильной группой и С1-6-алкоксигруппой, которая может быть замещена 1-5 заместителями, выбранными из группы А).
6. Конденсированное производное бензамида или его фармацевтически приемлемая соль согласно указанному выше п.5, где кольцо Р1 представляет собой гетероциклическую группу, выбранную из пиридильной группы, пиразинильной группы и тиазолильной группы, или фенильную группу (где эти гетероциклические группы могут быть замещены С1-6-алкильной группой, которая может быть замещена гидроксильной группой, атомом галогена, гидроксильной группой и С1-6-алкоксигруппой, которая может быть замещена 1-5 заместителями, выбранными из группы А).
7. Конденсированное производное бензамида или его фармацевтически приемлемая соль согласно указанным выше пп.1-3, где кольцо Р2 является карбоциклической группой, которая может быть замещена группой-заместителем, выбранной из
– атома галогена,
– гидроксильной группы,
– С1-6-алкоксигруппы (где указанная алкоксигруппа может быть замещена атомом галогена, -CONR623R624 (где R623 и R624 являются одинаковыми или разными и каждый представляет собой атом водорода или С1-6-алкильную группу, которая может быть замещена 1-5 заместителями, выбранными из группы А), С3-8-циклоалкильной группой, С1-6-алкоксигруппой, карбоксильной группой или С1-6-алкоксикарбонильной группой),
– С1-6-алкильной группы (где указанная алкильная группа может быть замещена атомом галогена, гидроксильной группой или С1-6-алкоксигруппой),
– -NR123R124 (где R123 и R124 имеют значения, указанные выше),
– -NR223СОR224 (где R223 и R224 имеют значения, указанные выше),
– -COR27 (где R27 представляет собой С1-6-алкильную группу, С1-6-алкоксигруппу, циклоалкильную группу, аралкильную группу, аралкоксигруппу, циклоалкилалкоксигруппу или гидроксильную группу),
– -CONR23R24 (где R23 и R24 имеют значения, указанные выше),
– гетероциклической группы в виде насыщенной или ненасыщенной группы-заместителя, которая имеет 1-3 атома азота в качестве гетероатомов (где указанная гетероциклическая группа может быть замещена группой-заместителем, выбранной из гидроксильной группы, -CONR723R724 (где R723 и R724 являются одинаковыми или разными и каждый представляет собой атом водорода или С1-6-алкильную группу, которая может быть замещена 1-5 заместителями, выбранными из группы А), С1-6-алкоксигруппы, карбоксильной группы, С1-6-алкильной группы, которая может быть замещена С1-6-алкоксигруппой, С1-6-алкоксикарбонильной группой и ацилоксигруппой),
– -О-R28 (где R28 представляет собой ацильную группу, карбоциклическую группу, которая может быть замещена 1-5 заместителями, выбранными из пп.(а)-(i) группы С, или гетероциклическую группу, которая может быть замещена 1-5 заместителями, выбранными из пп.(а)-(l) группы С),
– -О-(СR121R122)n-R128 (где R121 и R122 являются одинаковыми или разными и каждый представляет собой атом водорода или С1-6-алкильную группу, n равно 1 или 2 и R28 представляет собой ацильную группу, карбоциклическую группу, которая может быть замещена 1-5 заместителями, выбранными из пп.(а)-(i) группы С, или гетероциклическую группу, которая может быть замещена 1-5 заместителями, выбранными из пп.(а)-(l) группы С),
– нитрогруппы и
– цианогруппы или
гетероциклической группы, которая может быть замещена заместителем, как описано для карбоциклической группы (где указанная гетероциклическая группа означает насыщенное или ненасыщенное 5-членное или 6-членное гетероциклическое кольцо, которое имеет 1-4 гетероатома, выбранных из атома азота, атома кислорода и атома серы, или конденсированное кольцо этих гетероциклических колец или конденсированную гетероциклическую группу указанного гетероциклического кольца и карбоциклического кольца, выбранного из бензола, циклопентана и циклогексана).
8. Конденсированное производное бензамида или его фармацевтически приемлемая соль согласно указанному выше п.7, где кольцо Р2 как карбоциклическая группа представляет собой фенильную группу или циклогексильную группу, или кольцо Р2 как гетероциклическая группа представляет собой тиазолильную группу, пиридильную группу, пиперидильную группу, пиперидиногруппу, хинолильную группу, бензо[1,3]диоксогруппу, 2,3-дигидробензо[1,4]диоксогруппу или 1,2,3,4-тетрагидрохинолильную группу.
9. Конденсированное производное бензамида согласно указанному выше п.1, выбранное из
1) N-(4-трет-бутилфенил)-4-(3-хлорпиридин-2-ил)-3,4-дигидро-2Н-бензо[1,4]оксазин-8-карбоксамида,
2) 8-(4-трет-бутилфенил)карбамоил-4-(3-хлорпиридин-2-ил)-3,4-дигидро-2Н-бензо[1,4]оксазин-8-карбоновой кислоты,
3) N-(4-трет-бутилфенил)-4-(3-хлорпиридин-2-ил)-3-метил-3,4-дигидро-2Н-бензо[1,4]оксазин-8-карбоксамида,
4) N-(4-трет-бутилфенил)-1-(3-хлорпиридин-2-ил)-4-метил-1,2,3,4-тетрагидрохиноксалин-5-карбоксамида,
5) N-(4-трет-бутилфенил)-9-(3-хлорпиридин-2-ил)-6,7,8,9- тетрагидро-5-окса-9-азабензоциклогептен-4-карбоксамида,
6) N-(4-хлорфенил)-4-(3-хлорпиридин-2-ил)-3,4-дигидро-2Н-бензо[1,4]оксазин-8-карбоксамида,
7) 4-(3-хлорпиридин-2-ил)-N-(4-изопропоксифенил)-3,4-дигидро-2Н-бензо[1,4]оксазин-8-карбоксамида,
8) N-(1-трет-бутилпиперидин-4-ил)-4-(3-хлорпиридин-2-ил)-3,4-дигидро-2Н-бензо[1,4]оксазин-8-карбоксамида,
9) 4-(3-хлорпиридин-2-ил)-N-(4-метилфенил)-3,4-дигидро-2Н-бензо[1,4]оксазин-8-карбоксамида,
10) 4-(3-хлорпиридин-2-ил)-N-(транс-4-метилциклогексил)-3,4-дигидро-2Н-бензо[1,4]оксазин-8-карбоксамида,
11) 4-(3-хлорпиридин-2-ил)-N-(4-изобутилоксифенил)-3,4-дигидро-2Н-бензо[1,4]оксазин-8-карбоксамида,
12) N-бензил-4-(3-хлорпиридин-2-ил)-3,4-дигидро-2Н-бензо[1,4]оксазин-8-карбоксамида,
13) N-(4-хлорфенил)метил-4-(3-хлорпиридин-2-ил)-3,4-дигидро-2Н-бензо[1,4]оксазин-8-карбоксамида,
14) N-(4-трет-бутилфенил)метил-4-(3-хлорпиридин-2-ил)-3,4-дигидро-2Н-бензо[1,4]оксазин-8-карбоксамида,
15) 4-(3-хлорпиридин-2-ил)-N-(4-трифторметилфенил)метил-3,4-дигидро-2Н-бензо[1,4]оксазин-8-карбоксамида,
16) N-(4-трет-бутилфенил)-4-(пиридин-2-ил)-3,4-дигидро-2Н-бензо[1,4]оксазин-8-карбоксамида,
17) N-(4-трет-бутилфенил)-4-(3-трифторметилпиридин-2-ил)-3,4-дигидро-2Н-бензо[1,4]оксазин-8-карбоксамида,
18) N-(4-трет-бутилфенил)-4-(3-хлорпиридин-2-ил)-2,2-диметил-3,4-дигидро-2Н-бензо[1,4]оксазин-8-карбоксамида,
19) N-(4-трет-бутилфенил)-4-(3-хлорпиридин-2-ил)-2-метил-3,4-дигидро-2Н-бензо[1,4]оксазин-8-карбоксамида,
20) N-(4-трет-бутилфенил)-6-хлор-4-(3-хлорпиридин-2-ил)-3,4-дигидро-2Н-бензо[1,4]оксазин-8-карбоксамида,
21) 4-(3-хлорпиридин-2-ил)-N-(4-трифторметилфенил)-3,4-дигидро-2Н-бензо[1,4]оксазин-8-карбоксамида,
22) 4-(3-хлорпиридин-2-ил)-N-(4-трифторметоксифенил)-3,4-дигидро-2Н-бензо[1,4]оксазин-8-карбоксамида,
23) 4-(3-хлорпиридин-2-ил)-N-(4-метоксифенил)-3,4-дигидро-2Н-бензо[1,4]оксазин-8-карбоксамида,
24) N-(транс-4-трет-бутилциклогексил)-4-(3-хлорпиридин-2-ил)-3,4-дигидро-2Н-бензо[1,4]оксазин-8-карбоксамида,
25) 4-(3-хлорпиридин-2-ил)-N-(4-хлор-3-трифторметилфенил)-3,4-дигидро-2Н-бензо[1,4]оксазин-8-карбоксамида,
26) 4-(3-хлорпиридин-2-ил)-N-(4-фторфенил)-3,4-дигидро-2Н-бензо[1,4]оксазин-8-карбоксамида,
27) 4-(3-хлорпиридин-2-ил)-N-(3-трифторметилфенил)-3,4-дигидро-2Н-бензо[1,4]оксазин-8-карбоксамида,
28) 4-(3-хлорпиридин-2-ил)-N-(4-трифторметилтиазол-2-ил)-3,4-дигидро-2Н-бензо[1,4]оксазин-8-карбоксамида,
29) 4-(3-хлорпиридин-2-ил)-N-(5-трифторметилпиридин-2-ил)-3,4-дигидро-2Н-бензо[1,4]оксазин-8-карбоксамида,
30) 4-(3-хлорпиридин-2-ил)-N-(2-трифторметилпиридин-5-ил)-3,4-дигидро-2Н-бензо[1,4]оксазин-8-карбоксамида,
31) 4-(3-хлорпиридин-2-ил)-N-(4-изопропилфенил)-3,4-дигидро-2Н-бензо[1,4]оксазин-8-карбоксамида,
32) 4-(3-хлорпиридин-2-ил)-N-(хинолин-7-ил)-3,4-дигидро-2Н-бензо[1,4]оксазин-8-карбоксамида,
33) 4-(3-хлорпиридин-2-ил)-N-(1-метил-1,2,3,4-тетрагидрохинолин-7-ил)-3,4-дигидро-2Н-бензо[1,4]оксазин-8-карбоксамида,
34) 4-(3-хлорпиридин-2-ил)-N-(4-метоксикарбонилфенил)-3,4-дигидро-2Н-бензо[1,4]оксазин-8-карбоксамида,
35) 4-[4-(3-хлорпиридин-2-ил)-3,4-дигидро-2Н-бензо[1,4]оксазин-8-карбонил]аминобензойной кислоты,
36) N-(4-карбамоилфенил)-4-(3-хлорпиридин-2-ил)-3,4-дигидро-2Н-бензо[1,4]оксазин-8-карбоксамида,
37) 4-(3-хлорпиридин-2-ил)-N-(4-метилкарбамоилфенил)-3,4-дигидро-2Н-бензо[1,4]оксазин-8-карбоксамида,
38) 4-(3-хлорпиридин-2-ил)-N-(4-диметилкарбамоилфенил)-3,4-дигидро-2Н-бензо[1,4]оксазин-8-карбоксамида,
39) N-(4-ацетилфенил)-4-(3-хлорпиридин-2-ил)-3,4-дигидро-2Н-бензо[1,4]оксазин-8-карбоксамида,
40) 4-(3-хлорпиридин-2-ил)-N-[4-(1-гидрокси-1-метил)этилфенил]-3,4-дигидро-2Н-бензо[1,4]оксазин-8-карбоксамида,
41) 4-(3-хлорпиридин-2-ил)-N-[4-(1-гидрокси-1-метил)пропилфенил]-3,4-дигидро-2Н-бензо[1,4]оксазин-8-карбоксамида,
42) 4-(3-хлорпиридин-2-ил)-N-(1-изобутирилпиперидин-4-ил)фенил-3,4-дигидро-2Н-бензо[1,4]оксазин-8-карбоксамида,
43) N-(транс-4-трет-бутоксициклогексил)-4-(3-хлорпиридин-2-ил)-3,4-дигидро-2Н-бензо[1,4]оксазин-8-карбоксамида,
44) 4-(3-хлорпиридин-2-ил)-N-(3-изопропоксифенил)-3,4-дигидро-2Н-бензо[1,4]оксазин-8-карбоксамида,
45) 4-(3-хлорпиридин-2-ил)-N-(3-изобутилоксифенил)-3,4-дигидро-2Н-бензо[1,4]оксазин-8-карбоксамида,
46) N-(4-трет-бутилфенил)-4-(пиридин-4-ил)-3,4-дигидро-2Н-бензо[1,4]оксазин-8-карбоксамида,
47) N-(4-трет-бутилфенил)-4-(3-метилпиридин-2-ил)-3,4-дигидро-2Н-бензо[1,4]оксазин-8-карбоксамида,
48) 4-(3-хлорпиридин-2-ил)-N-(4-пиперидинофенил)-3,4-дигидро-2Н-бензо[1,4]оксазин-8-карбоксамида,
49) 4-(3-хлорпиридин-2-ил)-N-(4-диметиламинофенил)-3,4-дигидро-2Н-бензо[1,4]оксазин-8-карбоксамида,
50) 4-(3-хлорпиридин-2-ил)-N-(4-морфолинофенил)-3,4-дигидро-2Н-бензо[1,4]оксазин-8-карбоксамида,
51) 4-(3-хлорпиридин-2-ил)-N-(3-фтор-4-изопропоксифенил)-3,4-дигидро-2Н-бензо[1,4]оксазин-8-карбоксамида,
52) 4-(3-хлорпиридин-2-ил)-N-(2-фтор-4-изопропоксифенил)-3,4-дигидро-2Н-бензо[1,4]оксазин-8-карбоксамида,
53) 4-(3-хлорпиридин-2-ил)-N-(4-фтор-3-трифторметилфенил)-3,4-дигидро-2Н-бензо[1,4]оксазин-8-карбоксамида,
54) 4-(3-хлорпиридин-2-ил)-N-(4-диметиламино-3-трифторметилфенил)-3,4-дигидро-2Н-бензо[1,4]оксазин-8-карбоксамида,
55) 4-(3-хлорпиридин-2-ил)-N-(4-изопропокси-3-трифторметилфенил)-3,4-дигидро-2Н-бензо[1,4]оксазин-8-карбоксамида,
56) 4-(3-хлорпиридин-2-ил)-N-(4-метокси-3-трифторметилфенил)-3,4-дигидро-2Н-бензо[1,4]оксазин-8-карбоксамида,
57) 4-(3-хлорпиридин-2-ил)-N-(4-изобутилокси-3-трифторметилфенил)-3,4-дигидро-2Н-бензо[1,4]оксазин-8-карбоксамида,
58) N-(4-трет-бутилфенил)-4-(4-метилпиридин-2-ил)-3,4-дигидро-2Н-бензо[1,4]оксазин-8-карбоксамида,
59) N-(4-трет-бутилфенил)-4-(6-метилпиридин-2-ил)-3,4-дигидро-2Н-бензо[1,4]оксазин-8-карбоксамида,
60) N-(4-трет-бутилфенил)-4-(5-метилпиридин-2-ил)-3,4-дигидро-2Н-бензо[1,4]оксазин-8-карбоксамида,
61) N-(4-трет-бутилфенил)-4-(пиридин-3-ил)-3,4-дигидро-2Н-бензо[1,4]оксазин-8-карбоксамида,
62) N-(4-цианофенил)-4-(5-метилпиридин-2-ил)-3,4-дигидро-2Н-бензо[1,4]оксазин-8-карбоксамида,
63) N-(3-амино-4-хлорфенил)-4-(5-метилпиридин-2-ил)-3,4-дигидро-2Н-бензо[1,4]оксазин-8-карбоксамида,
64) N-(3-ацетамидо-4-хлорфенил)-4-(5-метилпиридин-2-ил)-3,4-дигидро-2Н-бензо[1,4]оксазин-8-карбоксамида,
65) N-[4-(4-карбамоилпиперидин-1-ил)-3-фторфенил]-4-(5-метилпиридин-2-ил)-3,4-дигидро-2Н-бензо[1,4]оксазин-8-карбоксамида,
66) N-[3-фтор-4-(4-метилкарбамоилпиперидин-1-ил)фенил]-4-(5-метилпиридин-2-ил)-3,4-дигидро-2Н-бензо[1,4]оксазин-8-карбоксамида,
67) N-[4-(4-диметилкарбамоилпиперидин-1-ил)-3-фторфенил]-4-(5-метилпиридин-2-ил)-3,4-дигидро-2Н-бензо[1,4]оксазин-8-карбоксамида,
68) N-[4-(4-этоксипиперидин-1-ил)-3-фторфенил]-4-(5-метилпиридин-2-ил)-3,4-дигидро-2Н-бензо[1,4]оксазин-8-карбоксамида,
69) N-[3-фтор-4-(4-изопропоксипиперидин-1-ил)фенил]-4-(5-метилпиридин-2-ил)-3,4-дигидро-2Н-бензо[1,4]оксазин-8-карбоксамида,
70) N-[3-фтор-4-(3-метоксипиперидин-1-ил)фенил]-4-(5-метилпиридин-2-ил)-3,4-дигидро-2Н-бензо[1,4]оксазин-8-карбоксамида,
71) N-[3-фтор-4-(4-метоксиметилпиперидин-1-ил)фенил]-4-(5-метилпиридин-2-ил)-3,4-дигидро-2Н-бензо[1,4]оксазин-8-карбоксамида,
72) N-[3-фтор-4-(3-метоксипирролидин-1-ил)фенил]-4-(5-метилпиридин-2-ил)-3,4-дигидро-2Н-бензо[1,4]оксазин-8-карбоксамида,
73) N-(4-изобутилокси-3-метоксикарбонилфенил)-4-(5-метилпиридин-2-ил)-3,4-дигидро-2Н-бензо[1,4]оксазин-8-карбоксамида,
74) 2-изобутилокси-{[4-(5-метилпиридин-2-ил)-3,4-дигидро-2Н-бензо[1,4]оксазин-8-карбонил]амино}бензойной кислоты,
75) N-(3-карбамоил-4-изобутилоксифенил)-4-(5-метилпиридин-2-ил)-3,4-дигидро-2Н-бензо[1,4]оксазин-8-карбоксамида,
76) N-(4-изобутилокси-3-метилкарбамоилфенил)-4-(5-метилпиридин-2-ил)-3,4-дигидро-2Н-бензо[1,4]оксазин-8-карбоксамида,
77) N-(3-диметилкарбамоил-4-изобутилоксифенил)-4-(5-метилпиридин-2-ил)-3,4-дигидро-2Н-бензо[1,4]оксазин-8-карбоксамида,
78) N-(4-ацетилфенил)-4-(5-метилпиридин-2-ил)-3,4-дигидро-2Н-бензо[1,4]оксазин-8-карбоксамида,
79) N-[4-(1-гидрокси-1-метил)этилфенил]-4-(5-метилпиридин-2-ил)-3,4-дигидро-2Н-бензо[1,4]оксазин-8-карбоксамида,
80) N-(3-ацетил-4-хлорфенил)-4-(5-метилпиридин-2-ил)-3,4-дигидро-2Н-бензо[1,4]оксазин-8-карбоксамида,
81) N-[4-хлор-3-(1-гидрокси-1-метил)этилфенил]-4-(5-метилпиридин-2-ил)-3,4-дигидро-2Н-бензо[1,4]оксазин-8-карбоксамида,
82) N-[4-(1-метокси-1-метил)этилфенил]-4-(5-метилпиридин-2-ил)-3,4-дигидро-2Н-бензо[1,4]оксазин-8-карбоксамида,
83) N-(3-хлор-4-метоксифенил)-4-(5-метилпиридин-2-ил)-3,4-дигидро-2Н-бензо[1,4]оксазин-8-карбоксамида,
84) 4-(5-метилпиридин-2-ил)-N-(4-пропоксифенил)-3,4-дигидро-2Н-бензо[1,4]оксазин-8-карбоксамида,
85) N-(3-фтор-4-пропоксифенил)-4-(5-метилпиридин-2-ил)-3,4-дигидро-2Н-бензо[1,4]оксазин-8-карбоксамида,
86) N-(4-этокси-3-фторфенил)-4-(5-метилпиридин-2-ил)-3,4-дигидро-2Н-бензо[1,4]оксазин-8-карбоксамида,
87) N-(3-этокси-4-метилфенил)-4-(5-метилпиридин-2-ил)-3,4-дигидро-2Н-бензо[1,4]оксазин-8-карбоксамида,
88) N-(3-карбамоилметилокси-4-метилфенил)-4-(5-метилпиридин-2-ил)-3,4-дигидро-2Н-бензо[1,4]оксазин-8-карбоксамида,
89) N-(3-метоксиэтилокси-4-метилфенил)-4-(5-метилпиридин-2-ил)-3,4-дигидро-2Н-бензо[1,4]оксазин-8-карбоксамида,
90) N-[3-фтор-4-(2-метоксиметилпиперидин-1-ил)фенил]-4-(5-метилпиридин-2-ил)-3,4-дигидро-2Н-бензо[1,4]оксазин-8-карбоксамида,
91) N-(4-хлорфенил)-4-(5-метилпиридин-2-ил)-3,4-дигидро-2Н-бензо[1,4]оксазин-8-карбоксамида,
92) N-(3-фтор-4-метилфенил)-4-(5-метилпиридин-2-ил)-3,4-дигидро-2Н-бензо[1,4]оксазин-8-карбоксамида,
93) N-(2-хлорпиридин-5-ил)-4-(5-метилпиридин-2-ил)-3,4-дигидро-2Н-бензо[1,4]оксазин-8-карбоксамида,
94) 4-(3-хлорпиридин-2-ил)-N-(4-этоксифенил)-3,4-дигидро-2Н-бензо[1,4]оксазин-8-карбоксамида,
95) 4-(3-хлорпиридин-2-ил)-N-(3-фтор-4-пиперидинофенил)-3,4-дигидро-2Н-бензо[1,4]оксазин-8-карбоксамида,
96) 4-(3-хлорпиридин-2-ил)-N-(транс-4-этоксициклогексил)-3,4-дигидро-2Н-бензо[1,4]оксазин-8-карбоксамида,
97) 4-(3-хлорпиридин-2-ил)-N-(транс-4-изопропоксициклогексил)-3,4-дигидро-2Н-бензо[1,4]оксазин-8-карбоксамида,
98) 4-(3-хлорпиридин-2-ил)-N-(транс-4-циклопентилоксициклогексил)-3,4-дигидро-2Н-бензо[1,4]оксазин-8-карбоксамида,
99) 4-(3-хлорпиридин-2-ил)-N-(транс-4-циклогексилоксициклогексил)-3,4-дигидро-2Н-бензо[1,4]оксазин-8-карбоксамида,
100) 4-(3-хлорпиридин-2-ил)-N-(4-трифторметилфенил)-3,4-дигидро-2Н-бензо[1,4]оксазин-8-карбоксамида,
101) 4-(3-хлорпиридин-2-ил)-N-[3-фтор-4-(4-метоксипиперидин-1-ил)фенил]-3,4-дигидро-2Н-бензо[1,4]оксазин-8-карбоксамида,
102) 4-(3-хлорпиридин-2-ил)-N-[4-(4-этоксипиперидин-1-ил)-3-фторфенил]-3,4-дигидро-2Н-бензо[1,4]оксазин-8-карбоксамида,
103) 4-(3-хлорпиридин-2-ил)-N-[3-фтор-4-(4-изопропоксипиперидин-1-ил)фенил]-3,4-дигидро-2Н-бензо[1,4]оксазин-8-карбоксамида,
104) 4-(3-хлорпиридин-2-ил)-N-(3-фтор-4-изобутилоксифенил)-3,4-дигидро-2Н-бензо[1,4]оксазин-8-карбоксамида,
105) N-(транс-4-этоксициклогексил)-4-(5-метилпиридин-2-ил)-3,4-дигидро-2Н-бензо[1,4]оксазин-8-карбоксамида,
106) N-(транс-4-изопропоксициклогексил)-4-(5-метилпиридин-2-ил)-3,4-дигидро-2Н-бензо[1,4]оксазин-8-карбоксамида,
107) N-(транс-4-циклогексилоксициклогексил)-4-(5-метилпиридин-2-ил)-3,4-дигидро-2Н-бензо[1,4]оксазин-8-карбоксамида,
108) N-(транс-4-аминоциклогексил)-4-(5-метилпиридин-2-ил)-3,4-дигидро-2Н-бензо[1,4]оксазин-8-карбоксамида,
109) N-(1,4-диоксаспиро[4,5]дека-8-ил)-4-(5-метилпиридин-2-ил)-3,4-дигидро-2Н-бензо[1,4]оксазин-8-карбоксамида,
110) 4-(5-метилпиридин-2-ил)-N-(4-оксоциклогексил)-3,4-дигидро-2Н-бензо[1,4]оксазин-8-карбоксамида,
111) 4-(5-метилпиридин-2-ил)-N-(цис-4-морфолиноциклогексил)-3,4-дигидро-2Н-бензо[1,4]оксазин-8-карбоксамида,
112) N-(транс-4-диметиламиноциклогексил)-4-(5-метилпиридин-2-ил)-3,4-дигидро-2Н-бензо[1,4]оксазин-8-карбоксамида,
113) N-(транс-4-диэтиламиноциклогексил)-4-(5-метилпиридин-2-ил)-3,4-дигидро-2Н-бензо[1,4]оксазин-8-карбоксамида,
114) 4-(5-метилпиридин-2-ил)-N-[цис-4-(пирролидин-1-ил)циклогексил]-3,4-дигидро-2Н-бензо[1,4]оксазин-8-карбоксамида,
115) 4-(5-метилпиридин-2-ил)-N-[транс-4-(пирролидин-1-ил)циклогексил]-3,4-дигидро-2Н-бензо[1,4]оксазин-8-карбоксамида,
116) 4-(5-метилпиридин-2-ил)-N-(4-пиперидиноциклогексил)-3,4-дигидро-2Н-бензо[1,4]оксазин-8-карбоксамида,
117) 4-(5-метилпиридин-2-ил)-N-(цис-4-морфолиноциклогексил)-3,4-дигидро-2Н-бензо[1,4]оксазин-8-карбоксамида,
118) N-(транс-4-ацетамидоциклогексил)-4-(5-метилпиридин-2-ил)-3,4-дигидро-2Н-бензо[1,4]оксазин-8-карбоксамида,
119) N-(транс-4-циклогексилоксициклогексил)-4-(5-метилпиридин-2-ил)-3,4-дигидро-2Н-бензо[1,4]оксазин-8-карбоксамида,
120) 4-(5-хлорпиридин-2-ил)-N-(4-этоксифенил)-3,4-дигидро-2Н-бензо[1,4]оксазин-8-карбоксамида,
121) N-(4-хлорфенил)-4-(5-хлорпиридин-2-ил)-3,4-дигидро-2Н-бензо[1,4]оксазин-8-карбоксамида,
122) 4-(5-хлорпиридин-2-ил)-N-[3-фтор-4-(4-метоксипиперидин-1-ил)фенил]-3,4-дигидро-2Н-бензо[1,4]оксазин-8-карбоксамида,
123) 4-(5-хлорпиридин-2-ил)-N-(4-трифторметилфенил)-3,4-дигидро-2Н-бензо[1,4]оксазин-8-карбоксамида,
124) 4-(5-метилпиридин-2-ил)-N-(2-фенилэтил)-3,4-дигидро-2Н-бензо[1,4]оксазин-8-карбоксамида,
125) N-[2-(4-хлорфенил)этил]-4-(5-метилпиридин-2-ил)-3,4-дигидро-2Н-бензо[1,4]оксазин-8-карбоксамида,
126) N-[2-(3-хлорфенил)этил]-4-(5-метилпиридин-2-ил)-3,4-дигидро-2Н-бензо[1,4]оксазин-8-карбоксамида,
127) N-[2-(2-хлорфенил)этил]-4-(5-метилпиридин-2-ил)-3,4-дигидро-2Н-бензо[1,4]оксазин-8-карбоксамида,
128) 6-[8-(4-трифторметилфенил)карбамоил-2,3-дигидробензо[1,4]оксазин-4-ил]никотиновой кислоты,
129) 4-[3-хлор-5-(1-гидрокси-1-метил)этилпиридин-2-ил]-N-(4-трифторметилфенил)-3,4-дигидро-2Н-бензо[1,4]оксазин-8-карбоксамида,
130) 4-[3-хлор-5-(1-гидроксиэтил)пиридин-2-ил]-N-(4-трифторметилфенил)-3,4-дигидро-2Н-бензо[1,4]оксазин-8-карбоксамида,
131) 5-хлор-6-[8-(3-фтор-4-трифторметилфенил)карбамоил-2,3-дигидробензо[1,4]оксазин-4-ил]никотиновой кислоты,
132) N-(4-трет-бутилфенил)-4-(5-метоксикарбонилпиридин-2-ил)-3,4-дигидро-2Н-бензо[1,4]оксазин-8-карбоксамида,
133) 6-[8-(4-трет-бутилфенил)карбамоил-2,3-дигидробензо[1,4]оксазин-4-ил]никотиновой кислоты,
134) 5-хлор-6-[8-(4-трифторметилфенил)карбамоил-2,3-дигидробензо[1,4]оксазин-4-ил]никотиновой кислоты,
135) 5-хлор-6-[8-(4-трет-бутилфенил)карбамоил-2,3-дигидробензо[1,4]оксазин-4-ил]никотиновой кислоты,
136) 4-(5-ацетил-3-хлорпиридин-2-ил)-N-(4-трифторметилфенил)-3,4-дигидро-2Н-бензо[1,4]оксазин-8-карбоксамида,
137) N-(4-трет-бутилфенил)-4-(5-метилкарбамоилпиридин-2-ил)-3,4-дигидро-2Н-бензо[1,4]оксазин-8-карбоксамида,
138) N-(4-трет-бутилфенил)-4-(5-карбамоилпиридин-2-ил)-3,4-дигидро-2Н-бензо[1,4]оксазин-8-карбоксамида,
139) N-(4-трет-бутилфенил)-4-(5-диэтиламинопиридин-2-ил)-3,4-дигидро-2Н-бензо[1,4]оксазин-8-карбоксамида,
140) N-(4-трет-бутилфенил)-4-(5-нитропиридин-2-ил)-3,4-дигидро-2Н-бензо[1,4]оксазин-8-карбоксамида,
141) 4-(5-аминопиридин-2-ил)-N-(4-трет-бутилфенил)-3,4-дигидро-2Н-бензо[1,4]оксазин-8-карбоксамида,
142) 4-(5-ацетамидопиридин-2-ил)-N-(4-трет-бутилфенил)-3,4-дигидро-2Н-бензо[1,4]оксазин-8-карбоксамида,
143) 4-(5-метоксиметилпиридин-2-ил)-N-(4-трифторметилфенил)-3,4-дигидро-2Н-бензо[1,4]оксазин-8-карбоксамида,
144) 4-(5-этоксипиридин-2-ил)-N-(4-трифторметилфенил)-3,4-дигидро-2Н-бензо[1,4]оксазин-8-карбоксамида,
145) 4-(3-хлор-5-метоксипиридин-2-ил)-N-(4-трифторметилфенил)-3,4-дигидро-2Н-бензо[1,4]оксазин-8-карбоксамида,
146) 4-(5-гидроксипиридин-2-ил)-N-(4-трифторметилфенил)-3,4-дигидро-2Н-бензо[1,4]оксазин-8-карбоксамида,
147) 4-(5-метоксипиридин-2-ил)-N-(4-трифторметилфенил)-3,4-дигидро-2Н-бензо[1,4]оксазин-8-карбоксамида,
148) N-(4-трет-бутилфенил)-4-(4-хлорпиридин-2-ил)-3,4-дигидро-2Н-бензо[1,4]оксазин-8-карбоксамида,
149) 4-(5-фторпиридин-2-ил)-N-(4-трифторметилфенил)-3,4-дигидро-2Н-бензо[1,4]оксазин-8-карбоксамида,
150) 4-(3,5-дифторпиридин-2-ил)-N-(4-трифторметилфенил)-3,4-дигидро-2Н-бензо[1,4]оксазин-8-карбоксамида,
151) N-(4-трет-бутилфенил)-4-(3-метоксипиридин-2-ил)-3,4-дигидро-2Н-бензо[1,4]оксазин-8-карбоксамида,
152) N-(4-трет-бутилпиперидин-1-ил)-4-(5-метилпиридин-2-ил)-3,4-дигидро-2Н-бензо[1,4]оксазин-8-карбоксамида,
153) 4-[5-(2-гидроксиэтокси)пиридин-2-ил]-N-(4-трифторметилфенил)-3,4-дигидро-2Н-бензо[1,4]оксазин-8-карбоксамида,
154) 4-[3-хлор-5-(2-гидроксиэтил)пиридин-2-ил]-N-(4-трифторметилфенил)-3,4-дигидро-2Н-бензо[1,4]оксазин-8-карбоксамида,
155) 4-(5-метилпиридин-2-ил)-N-(4-неопентилоксифенил)-3,4-дигидро-2Н-бензо[1,4]оксазин-8-карбоксамида,
156) N-(3-фтор-4-пиперидинофенил)-4-(5-метилпиридин-2-ил)-3,4-дигидро-2Н-бензо[1,4]оксазин-8-карбоксамида,
157) N-(3-фтор-4-морфолинофенил)-4-(5-метилпиридин-2-ил)-3,4-дигидро-2Н-бензо[1,4]оксазин-8-карбоксамида,
158) N-(3,4-дифторфенил)-4-(5-метилпиридин-2-ил)-3,4-дигидро-2Н-бензо[1,4]оксазин-8-карбоксамида,
159) N-(3-фтор-4-метоксифенил)-4-(5-метилпиридин-2-ил)-3,4-дигидро-2Н-бензо[1,4]оксазин-8-карбоксамида,
160) N-(4-этоксифенил)-4-(5-метилпиридин-2-ил)-3,4-дигидро-2Н-бензо[1,4]оксазин-8-карбоксамида,
161) N-[4-(2-оксопиперидин-1-ил)фенил]-4-(5-метилпиридин-2-ил)-3,4-дигидро-2Н-бензо[1,4]оксазин-8-карбоксамида,
162) 4-(5-метилпиридин-2-ил)-N-(1-метил-1,2,3,4-тетрагидрохинолин-7-ил)-3,4-дигидро-2Н-бензо[1,4]оксазин-8-карбоксамида,
163) N-(4-диметиламино-3-фторфенил)-4-(5-метилпиридин-2-ил)-3,4-дигидро-2Н-бензо[1,4]оксазин-8-карбоксамида,
164) N-{3-фтор-4-[N-(2-метоксиэтил)изопропиламино]фенил}-4-(5-метилпиридин-2-ил)-3,4-дигидро-2Н-бензо[1,4]оксазин-8-карбоксамида,
165) N-{4-[N-(2-ацетоксиэтил)изопропиламино]-3-фторфенил}-4-(5-метилпиридин-2-ил)-3,4-дигидро-2Н-бензо[1,4]оксазин-8-карбоксамида,
166) N-{3-фтор-4-[N-(2-гидроксиэтил)изопропиламино]фенил}-4-(5-метилпиридин-2-ил)-3,4-дигидро-2Н-бензо[1,4]оксазин-8-карбоксамида,
167) N-[4-(4-этоксикарбонилпиперидин-1-ил)-3-фторфенил]-4-(5-метилпиридин-2-ил)-3,4-дигидро-2Н-бензо[1,4]оксазин-8-карбоксамида,
168) 1-(4-{[4-(5-метилпиридин-2-ил)-3,4-дигидро-2Н-бензо[1,4]оксазин-8-карбонил]амино}фенил)пиперидин-4-карбоновой кислоты,
169) N-[3-фтор-4-(4-метоксипиперидин-1-ил)фенил]-4-(5-метилпиридин-2-ил)-3,4-дигидро-2Н-бензо[1,4]оксазин-8-карбоксамида,
170) N-[4-(4-ацетоксипиперидин-1-ил)-3-фторфенил]-4-(5-метилпиридин-2-ил)-3,4-дигидро-2Н-бензо[1,4]оксазин-8-карбоксамида,
171) N-[3-фтор-4-(4-гидроксипиперидин-1-ил)фенил]-4-(5-метилпиридин-2-ил)-3,4-дигидро-2Н-бензо[1,4]оксазин-8-карбоксамида,
172) N-(3-метокси-4-метилфенил)-4-(5-метилпиридин-2-ил)-3,4-дигидро-2Н-бензо[1,4]оксазин-8-карбоксамида,
173) N-[3-(2-гидроксиэтокси)-4-метилфенил]-4-(5-метилпиридин-2-ил)-3,4-дигидро-2Н-бензо[1,4]оксазин-8-карбоксамида,
174) N-[4-(1-трет-бутоксикарбонилпиперидин-4-ил)окси-3-фторфенил]-4-(5-метилпиридин-2-ил)-3,4-дигидро-2Н-бензо[1,4]оксазин-8-карбоксамида,
175) N-[4-(пиперидин-4-ил)окси-3-фторфенил]-4-(5-метилпиридин-2-ил)-3,4-дигидро-2Н-бензо[1,4]оксазин-8-карбоксамида,
176) N-(транс-4-этоксикарбонилметилоксициклогексил)-4-(5-метилпиридин-2-ил)-3,4-дигидро-2Н-бензо[1,4]оксазин-8-карбоксамида,
177) (транс-4-{[4-(5-метилпиридин-2-ил)-3,4-дигидро-2Н-бензо[1,4]оксазин-8-карбонил]амино}циклогексилокси)уксусной кислоты,
178) N-(транс-4-карбамоилметоксициклогексил)-4-(5-метилпиридин-2-ил)-3,4-дигидро-2Н-бензо[1,4]оксазин-8-карбоксамида,
179) N-(транс-4-метилкарбамоилметоксициклогексил)-4-(5-метилпиридин-2-ил)-3,4-дигидро-2Н-бензо[1,4]оксазин-8-карбоксамида,
180) N-(транс-4-диметилкарбамоилметоксициклогексил)-4-(5-метилпиридин-2-ил)-3,4-дигидро-2Н-бензо[1,4]оксазин-8-карбоксамида,
181) N-[транс-4-(2-гидроксиэтилокси)циклогексил]-4-(5-метилпиридин-2-ил)-3,4-дигидро-2Н-бензо[1,4]оксазин-8-карбоксамида,
182) N-(транс-4-метоксиметилциклогексил)-4-(5-метилпиридин-2-ил)-3,4-дигидро-2Н-бензо[1,4]оксазин-8-карбоксамида,
183) N-(транс-4-изопропоксиметилциклогексил)-4-(5-метилпиридин-2-ил)-3,4-дигидро-2Н-бензо[1,4]оксазин-8-карбоксамида,
184) N-(цис-4-метоксиметилциклогексил)-4-(5-метилпиридин-2-ил)-3,4-дигидро-2Н-бензо[1,4]оксазин-8-карбоксамида,
185) N-(цис-4-изопропоксиметилциклогексил)-4-(5-метилпиридин-2-ил)-3,4-дигидро-2Н-бензо[1,4]оксазин-8-карбоксамида,
186) N-(транс-4-трет-бутоксиметилциклогексил)-4-(5-метилпиридин-2-ил)-3,4-дигидро-2Н-бензо[1,4]оксазин-8-карбоксамида,
187) N-(транс-4-изобутилоксициклогексил)-4-(5-метилпиридин-2-ил)-3,4-дигидро-2Н-бензо[1,4]оксазин-8-карбоксамида,
188) N-(4,4-диметилциклогексил)-4-(5-метилпиридин-2-ил)-3,4-дигидро-2Н-бензо[1,4]оксазин-8-карбоксамида,
189) N-[транс-4-(3-метилбутилокси)циклогексил]-4-(5-метилпиридин-2-ил)-3,4-дигидро-2Н-бензо[1,4]оксазин-8-карбоксамида,
190) N-(транс-4-бензилоксициклогексил)-4-(5-метилпиридин-2-ил)-3,4-дигидро-2Н-бензо[1,4]оксазин-8-карбоксамида,
191) N-(транс-4-изопропилциклогексил)-4-(5-метилпиридин-2-ил)-3,4-дигидро-2Н-бензо[1,4]оксазин-8-карбоксамида,
192) N-(транс-4-пропилциклогексил)-4-(5-метилпиридин-2-ил)-3,4-дигидро-2Н-бензо[1,4]оксазин-8-карбоксамида,
193) N-(транс-4-неопентилоксициклогексил)-4-(5-метилпиридин-2-ил)-3,4-дигидро-2Н-бензо[1,4]оксазин-8-карбоксамида,
194) N-(4-трет-бутилфенил)-4-(5-метоксиметилпиридин-2-ил)-3,4-дигидро-2Н-бензо[1,4]оксазин-8-карбоксамида,
195) 5-хлор-6-[8-(3-хлор-4-трифторметоксифенил)карбамоил-2,3-дигидробензо[1,4]оксазин-4-ил]никотиновой кислоты,
196) 5-хлор-6-[8-(4-трифторметоксифенил)карбамоил-2,3-дигидробензо[1,4]оксазин-4-ил]никотиновой кислоты,
197) 4-(5-метиламинопиридин-2-ил)-N-(4-трифторметоксифенил)-3,4-дигидро-2Н-бензо[1,4]оксазин-8-карбоксамида,
198) 4-(5-этоксипиридин-2-ил)-N-(4-трифторметоксифенил)-3,4-дигидро-2Н-бензо[1,4]оксазин-8-карбоксамида,
199) 4-(3-хлор-5-метоксипиридин-2-ил)-N-(4-трифторметоксифенил)-3,4-дигидро-2Н-бензо[1,4]оксазин-8-карбоксамида,
200) 4-[5-(2-гидроксиэтокси)пиридин-2-ил]-N-(4-трифторметоксифенил)-3,4-дигидро-2Н-бензо[1,4]оксазин-8-карбоксамида,
201) 4-(5-гидроксипиридин-2-ил)-N-(4-трифторметоксифенил)-3,4-дигидро-2Н-бензо[1,4]оксазин-8-карбоксамида,
202) 4-(5-метоксипиридин-2-ил)-N-(4-трифторметоксифенил)-3,4-дигидро-2Н-бензо[1,4]оксазин-8-карбоксамида,
203) 4-(3-цианопиридин-2-ил)-N-(4-трифторметоксифенил)-3,4-дигидро-2Н-бензо[1,4]оксазин-8-карбоксамида,
204) 4-(3-карбамоилпиридин-2-ил)-N-(4-трифторметоксифенил)-3,4-дигидро-2Н-бензо[1,4]оксазин-8-карбоксамида,
205) 4-(3-метилкарбамоилпиридин-2-ил)-N-(4-трифторметоксифенил)-3,4-дигидро-2Н-бензо[1,4]оксазин-8-карбоксамида,
206) 4-(3-диметилкарбамоилпиридин-2-ил)-N-(4-трифторметоксифенил)-3,4-дигидро-2Н-бензо[1,4]оксазин-8-карбоксамида,
207) 4-(3-бензилоксикарбонилпиридин-2-ил)-N-(4-трифторметоксифенил)-3,4-дигидро-2Н-бензо[1,4]оксазин-8-карбоксамида,
208) 2-[8-(4-трифторметоксифенил)карбамоил-2,3-дигидробензо[1,4]оксазин-4-ил]никотиновой кислоты,
209) 4-(3-бензилоксипиридин-2-ил)-N-(4-трифторметоксифенил)-3,4-дигидро-2Н-бензо[1,4]оксазин-8-карбоксамида,
210) 4-(3-гидроксипиридин-2-ил)-N-(4-трифторметоксифенил)-3,4-дигидро-2Н-бензо[1,4]оксазин-8-карбоксамида,
211) 4-[3-(2-гидроксиэтокси)пиридин-2-ил]-N-(4-трифторметоксифенил)-3,4-дигидро-2Н-бензо[1,4]оксазин-8-карбоксамида,
212) {2-[8-(4-трифторметоксифенилкарбамоил)-2,3-дигидробензо[1,4]оксазин-4-ил]пиридин-3-ил}оксиуксусной кислоты,
213) 4-(3-карбамоилметоксипиридин-2-ил)-N-(4-трифторметоксифенил)-3,4-дигидро-2Н-бензо[1,4]оксазин-8-карбоксамида,
214) 4-(3-метилкарбамоилметоксипиридин-2-ил)-N-(4-трифторметоксифенил)-3,4-дигидро-2Н-бензо[1,4]оксазин-8-карбоксамида,
215) 4-(3-диметилкарбамоилметоксипиридин-2-ил)-N-(4-трифторметоксифенил)-3,4-дигидро-2Н-бензо[1,4]оксазин-8-карбоксамида,
216) 4-[3-(пиридин-2-ил)метилоксипиридин-2-ил]-N-(4-трифторметоксифенил)-3,4-дигидро-2Н-бензо[1,4]оксазин-8-карбоксамида,
217) 4-[3-(пиридин-3-ил)метилоксипиридин-2-ил]-N-(4-трифторметоксифенил)-3,4-дигидро-2Н-бензо[1,4]оксазин-8-карбоксамида,
218) 4-(5-цианопиридин-2-ил)-N-(4-трифторметоксифенил)-3,4-дигидро-2Н-бензо[1,4]оксазин-8-карбоксамида,
219) 4-(5-ацетамидометилпиридин-2-ил)-N-(4-трифторметоксифенил)-3,4-дигидро-2Н-бензо[1,4]оксазин-8-карбоксамида,
220) 4-(3-хлор-5-метоксиметилпиридин-2-ил)-N-(4-трифторметоксифенил)-3,4-дигидро-2Н-бензо[1,4]оксазин-8-карбоксамида,
221) 4-[5-(N-метилацетамидо)метилпиридин-2-ил]-N-(4-трифторметоксифенил)-3,4-дигидро-2Н-бензо[1,4]оксазин-8-карбоксамида,
222) 4-(5-аминометилпиридин-2-ил)-N-(4-трифторметоксифенил)-3,4-дигидро-2Н-бензо[1,4]оксазин-8-карбоксамида,
223) 4-(5-диметиламинометилпиридин-2-ил)-N-(4-трифторметоксифенил)-3,4-дигидро-2Н-бензо[1,4]оксазин-8-карбоксамида,
224) 4-(3-хлорпиридин-2-ил)-2-метилкарбамоил-N-(4-трифторметоксифенил)-3,4-дигидро-2Н-бензо[1,4]оксазин-8-карбоксамида,
225) 4-(6-гидроксиметилпиридин-2-ил)-N-(4-трифторметилфенил)-3,4-дигидро-2Н-бензо[1,4]оксазин-8-карбоксамида,
226) 4-(3-хлорпиридин-2-ил)-2-диметилкарбамоил-N-(4-трифторметоксифенил)-3,4-дигидро-2Н-бензо[1,4]оксазин-8-карбоксамида,
227) 4-(5-карбамоил-3-хлорпиридин-2-ил)-N-(4-трифторметоксифенил)-3,4-дигидро-2Н-бензо[1,4]оксазин-8-карбоксамида,
228) (S)-3-ацетамидометил-4-(3-хлорпиридин-2-ил)-N-(4-трифторметилфенил)-3,4-дигидро-2Н-бензо[1,4]оксазин-8-карбоксамида,
229) (R)-4-(3-хлорпиридин-2-ил)-8-(4-трифторметилфенилкарбамоил)-3,4-дигидро-2Н-бензо[1,4]оксазин-8-карбоновой кислоты,
230) 4-(3-хлорпиридин-2-ил)-2-метоксикарбонил-N-(4-трифторметоксифенил)-3,4-дигидро-2Н-бензо[1,4]оксазин-8-карбоксамида,
231) 4-(3-хлорпиридин-2-ил)-2-гидроксиметил-N-(4-трифторметоксифенил)-3,4-дигидро-2Н-бензо[1,4]оксазин-8-карбоксамида,
232) 4-(3-хлорпиридин-2-ил)-8-(4-трифторметоксифенилкарбамоил)-3,4-дигидро-2Н-бензо[1,4]оксазин-2-карбоновой кислоты,
233) (S)-3-карбамоил-4-(3-хлорпиридин-2-ил)-N-(4-трифторметилфенил)-3,4-дигидро-2Н-бензо[1,4]оксазин-8-карбоксамида,
234) (S)-4-(3-хлорпиридин-2-ил)-3-метилкарбамоил-N-(4-трифторметилфенил)-3,4-дигидро-2Н-бензо[1,4]оксазин-8-карбоксамида,
235) 2-карбамоил-4-(3-хлорпиридин-2-ил)-N-(4-трифторметоксифенил)-3,4-дигидро-2Н-бензо[1,4]оксазин-8-карбоксамида,
236) N-(4-хлорфенил)-N-метил-4-(5-метилпиридин-2-ил)-3,4-дигидро-2Н-бензо[1,4]оксазин-8-карбоксамида,
237) N-(бензо[1,3]диоксол-5-ил)-4-(3-хлор-5-гидроксиметилпиридин-2-ил)-3,4-дигидро-2Н-бензо[1,4]оксазин-8-карбоксамида,
238) N-(2,3-дигидробензо[1,4]диоксин-6-ил)-4-(3-хлор-5-гидроксиметилпиридин-2-ил)-3,4-дигидро-2Н-бензо[1,4]оксазин-8-карбоксамида,
239) 4-(3-хлор-5-гидроксиметилпиридин-2-ил)-N-(4-трифторметоксифенил)-3,4-дигидро-2Н-бензо[1,4]оксазин-8-карбоксамида,
240) 4-(3-хлор-5-гидроксиметилпиридин-2-ил)-N-(3-хлор-4-трифторметоксифенил)-3,4-дигидро-2Н-бензо[1,4]оксазин-8-карбоксамида,
241) 4-(3-хлор-5-гидроксиметилпиридин-2-ил)-N-(4-трифторметилфенил)-3,4-дигидро-2Н-бензо[1,4]оксазин-8-карбоксамида,
242) 4-(3-хлор-5-гидроксиметилпиридин-2-ил)-N-(3-фтор-4-трифторметилфенил)-3,4-дигидро-2Н-бензо[1,4]оксазин-8-карбоксамида,
243) 4-(5-гидроксиметилпиридин-2-ил)-N-(4-трифторметилфенил)-3,4-дигидро-2Н-бензо[1,4]оксазин-8-карбоксамида,
244) 4-(5-гидроксиметилпиридин-2-ил)-N-(4-изобутилоксифенил)-3,4-дигидро-2Н-бензо[1,4]оксазин-8-карбоксамида,
245) 4-(3-хлор-5-метоксиметилпиридин-2-ил)-N-(4-трифторметилфенил)-3,4-дигидро-2Н-бензо[1,4]оксазин-8-карбоксамида,
246) 4-(4-гидроксиметилпиридин-2-ил)-N-(4-трифторметилфенил)-3,4-дигидро-2Н-бензо[1,4]оксазин-8-карбоксамида,
247) 4-(3-гидроксиметилпиридин-2-ил)-N-(4-трифторметоксифенил)-3,4-дигидро-2Н-бензо[1,4]оксазин-8-карбоксамида,
248) (+)-4-{3-хлор-5-(1-гидроксиэтил)пиридин-2-ил}-N-(4-трифторметилфенил)-3,4-дигидро-2Н-бензо[1,4]оксазин-8-карбоксамида,
249) (-)-4-{3-хлор-5-(1-гидроксиэтил)пиридин-2-ил}-N-(4-трифторметилфенил)-3,4-дигидро-2Н-бензо[1,4]оксазин-8-карбоксамида,
250) (+)-4-{3-хлор-5-(1-гидроксиэтил)пиридин-2-ил}-N-(4-трифторметоксифенил)-3,4-дигидро-2Н-бензо[1,4]оксазин-8-карбоксамида,
251) (-)-4-{3-хлор-5-(1-гидроксиэтил)пиридин-2-ил}-N-(4-трифторметоксифенил)-3,4-дигидро-2Н-бензо[1,4]оксазин-8-карбоксамида,
252) 4-(3-хлор-5-гидроксиметилпиридин-2-ил)-N-(2-трифторметилпиридин-5-ил)-3,4-дигидро-2Н-бензо[1,4]оксазин-8-карбоксамида,
253) N-(4-бром-3-хлорфенил)-4-(3-хлор-5-гидроксиметилпиридин-2-ил)-3,4-дигидро-2Н-бензо[1,4]оксазин-8-карбоксамида,
254) 4-[5-(1-гидрокси-1-метил)этилпиридин-2-ил]-N-(4-трифторметилфенил)-3,4-дигидро-2Н-бензо[1,4]оксазин-8-карбоксамида,
255) 4-(3-хлор-5-гидроксиметилпиридин-2-ил)-N-(4-изопропокси-3-трифторметилфенил)-3,4-дигидро-2Н-бензо[1,4]оксазин-8-карбоксамида,
256) 4-(3-хлор-5-гидроксиметилпиридин-2-ил)-N-(2,3-дихлорпиридин-5-ил)-3,4-дигидро-2Н-бензо[1,4]оксазин-8-карбоксамида,
257) 4-(3-хлор-5-гидроксиметилпиридин-2-ил)-N-(3,4,5-трихлорфенил)-3,4-дигидро-2Н-бензо[1,4]оксазин-8-карбоксамида,
258) 4-(3-хлор-5-гидроксиметилпиридин-2-ил)-N-(6-фторбензотиазол-2-ил)-3,4-дигидро-2Н-бензо[1,4]оксазин-8-карбоксамида,
259) N-(4-бром-3-трифторметилфенил)-N-(3-хлор-5-гидроксиметилпиридин-2-ил)-3,4-дигидро-2Н-бензо[1,4]оксазин-8-карбоксамида,
260) 4-(3-хлор-5-гидроксиметилпиридин-2-ил)-N-(2-трифторметилбензимидазол-5-ил)-3,4-дигидро-2Н-бензо[1,4]оксазин-8-карбоксамида,
261) 4-(3-хлор-5-гидроксиметилпиридин-2-ил)-N-(3,4,5-трифторфенил)-3,4-дигидро-2Н-бензо[1,4]оксазин-8-карбоксамида,
262) 4-(3-хлор-5-гидроксиметилпиридин-2-ил)-N-(4-фтор-3-нитрофенил)-3,4-дигидро-2Н-бензо[1,4]оксазин-8-карбоксамида,
263) N-(3-амино-4-фторфенил)-4-(3-хлор-5-гидроксиметилпиридин-2-ил)-3,4-дигидро-2Н-бензо[1,4]оксазин-8-карбоксамида,
264) N-(трет-бутилфенил)-4-(5-гидроксиметилпиридин-2-ил)-3,4-дигидро-2Н-бензо[1,4]оксазин-8-карбоксамида,
265) N-(3,5-бис-трифторметилфенил)-4-(3-хлор-5-гидроксиметилпиридин-2-ил)-3,4-дигидро-2Н-бензо[1,4]оксазин-8-карбоксамида,
266) 4-(3-хлор-5-гидроксиметилпиридин-2-ил)-N-[(2,2,2-трифторэтокси)фенил]-3,4-дигидро-2Н-бензо[1,4]оксазин-8-карбоксамида,
267) 4-(3-хлор-5-гидроксиметилпиридин-2-ил)-N-[3-хлор-(2,2,2-трифторэтокси)фенил]-3,4-дигидро-2Н-бензо[1,4]оксазин-8-карбоксамида,
268) 4-(3-хлор-5-гидроксиметилпиридин-2-ил)-N-(4-трифторметилмеркаптофенил)-3,4-дигидро-2Н-бензо[1,4]оксазин-8-карбоксамида,
269) N-(транс-4-трет-бутилциклогексил)-4-(3-хлор-5-гидроксиметилпиридин-2-ил)-3,4-дигидро-2Н-бензо[1,4]оксазин-8-карбоксамида,
270) 4-(3-хлор-5-гидроксиметилпиридин-2-ил)-N-(3-фтор-4-изопропоксифенил)-3,4-дигидро-2Н-бензо[1,4]оксазин-8-карбоксамида,
271) 4-(3-хлор-5-гидроксиметилпиридин-2-ил)-N-(3-фтор-4-пиперидинофенил)-3,4-дигидро-2Н-бензо[1,4]оксазин-8-карбоксамида,
272) N-(4-трет-бутилфенил)-4-(3-хлор-5-гидроксиметилпиридин-2-ил)-3,4-дигидро-2Н-бензо[1,4]оксазин-8-карбоксамида,
273) 4-(3-хлор-5-гидроксиметилпиридин-2-ил)-N-[4-(1-гидрокси-2,2,2-трифтор-1-трифторметил)этилфенил]-3,4-дигидро-2Н-бензо[1,4]оксазин-8-карбоксамида,
274) 4-(3-хлор-5-гидроксиметилпиридин-2-ил)-N-(2,2,3,3-тетрафтор-2,3-дигидробензо[1,4]диоксин-6-ил)-3,4-дигидро-2Н-бензо[1,4]оксазин-8-карбоксамида,
275) 4-(3-хлор-5-гидроксиметилпиридин-2-ил)-N-(4-изобутилоксифенил)-3,4-дигидро-2Н-бензо[1,4]оксазин-8-карбоксамида,
276) 4-(3-хлор-5-гидроксиметилпиридин-2-ил)-N-(2,3-дихлорфенил)-3,4-дигидро-2Н-бензо[1,4]оксазин-8-карбоксамида,
277) N-(4-бром-3-фторфенил)-4-(3-хлор-5-гидроксиметилпиридин-2-ил)-3,4-дигидро-2Н-бензо[1,4]оксазин-8-карбоксамида,
278) N-(4-бромфенил)-4-(3-хлор-5-гидроксиметилпиридин-2-ил)-3,4-дигидро-2Н-бензо[1,4]оксазин-8-карбоксамида,
279) 4-(3-хлор-5-гидроксиметилпиридин-2-ил)-N-(3,5-дихлорфенил)-3,4-дигидро-2Н-бензо[1,4]оксазин-8-карбоксамида,
280) 4-(3-хлор-5-гидроксиметилпиридин-2-ил)-N-(4-дифторметоксифенил)-3,4-дигидро-2Н-бензо[1,4]оксазин-8-карбоксамида,
281) 4-(3-хлор-5-гидроксиметилпиридин-2-ил)-N-(4-хлорфенил)-3,4-дигидро-2Н-бензо[1,4]оксазин-8-карбоксамида,
282) 4-(3-хлор-5-гидроксиметилпиридин-2-ил)-N-(4-изопропилфенил)-3,4-дигидро-2Н-бензо[1,4]оксазин-8-карбоксамида,
283) 4-(3-хлор-5-гидроксиметилпиридин-2-ил)-N-(3-трифторметоксифенил)-3,4-дигидро-2Н-бензо[1,4]оксазин-8-карбоксамида,
284) 4-[3-хлор-5-(1-гидроксиэтил)пиридин-2-ил]-N-(3-трифторметоксифенил)-3,4-дигидро-2Н-бензо[1,4]оксазин-8-карбоксамида,
285) 4-(3-хлорпиридин-2-ил)-N-(4-трифторметоксифенил)-3,4-дигидро-3-оксо-2Н-бензо[1,4]оксазин-8-карбоксамида,
286) (R)-4-(3-хлорпиридин-2-ил)-3-гидроксиметил-N-(4-трифторметоксифенил)-3,4-дигидро-2Н-бензо[1,4]оксазин-8-карбоксамида,
287) (R)-4-(3-хлорпиридин-2-ил)-3-гидроксиметил-N-(4-трифторметилфенил)-3,4-дигидро-2Н-бензо[1,4]оксазин-8-карбоксамида,
288) (S)-4-(3-хлорпиридин-2-ил)-3-гидроксиметил-N-(4-трифторметоксифенил)-3,4-дигидро-2Н-бензо[1,4]оксазин-8-карбоксамида,
289) (S)-4-(3-хлорпиридин-2-ил)-3-гидроксиметил-N-(4-трифторметилфенил)-3,4-дигидро-2Н-бензо[1,4]оксазин-8-карбоксамида,
290) (S)-4-(5-хлорпиридин-2-ил)-3-гидроксиметил-N-(4-трифторметоксифенил)-3,4-дигидро-2Н-бензо[1,4]оксазин-8-карбоксамида,
291) (S)-4-(5-хлорпиридин-2-ил)-3-гидроксиметил-N-(4-трифторметилфенил)-3,4-дигидро-2Н-бензо[1,4]оксазин-8-карбоксамида,
292) (S)-3-гидроксиметил-4-(5-метилпиридин-2-ил)-N-(4-трифторметоксифенил)-3,4-дигидро-2Н-бензо[1,4]оксазин-8-карбоксамида,
293) (S)-3-гидроксиметил-4-(5-метилпиридин-2-ил)-N-(4-трифторметилфенил)-3,4-дигидро-2Н-бензо[1,4]оксазин-8-карбоксамида,
294) (S)-4-(3-хлорпиридин-2-ил)-N-(3-фтор-4-изопропоксифенил)-3-гидроксиметил-3,4-дигидро-2Н-бензо[1,4]оксазин-8-карбоксамида,
295) (S)-4-(3-хлорпиридин-2-ил)-N-(3-фтор-4-трифторметоксифенил)-3-гидроксиметил-3,4-дигидро-2Н-бензо[1,4]оксазин-8-карбоксамида,
296) (S)-4-(3-хлорпиридин-2-ил)-N-(3-хлор-4-пиперидинофенил)-3-гидроксиметил-3,4-дигидро-2Н-бензо[1,4]оксазин-8-карбоксамида,
297) (S)-4-(3-хлорпиридин-2-ил)-N-(4-диметиламино-3-фторфенил)-3-гидроксиметил-3,4-дигидро-2Н-бензо[1,4]оксазин-8-карбоксамида,
298) (S)-4-(3-хлорпиридин-2-ил)-N-(3-фтор-4-метилфенил)-3-гидроксиметил-3,4-дигидро-2Н-бензо[1,4]оксазин-8-карбоксамида,
299) (S)-N-(транс-4-трет-бутилциклогексил)-4-(3-хлорпиридин-2-ил)-3-гидроксиметил-3,4-дигидро-2Н-бензо[1,4]оксазин-8-карбоксамида,
300) (S)-4-(3-хлорпиридин-2-ил)-3-гидроксиметил-N-(транс-4-неопентилоксициклогексил)-3,4-дигидро-2Н-бензо[1,4]оксазин-8-карбоксамида,
301) (S)-N-(4-хлорфенил)-4-(3-хлорпиридин-2-ил)-3-гидроксиметил-3,4-дигидро-2Н-бензо[1,4]оксазин-8-карбоксамида,
302) (S)-4-(3-хлорпиридин-2-ил)-3-гидроксиметил-N-(4-изопропилфенил)-3,4-дигидро-2Н-бензо[1,4]оксазин-8-карбоксамида,
303) (S)-4-(3-хлорпиридин-2-ил)-N-(4-фтор-3-трифторметилфенил)-3-гидроксиметил-3,4-дигидро-2Н-бензо[1,4]оксазин-8-карбоксамида,
304) (S)-N-(4-бром-3-хлорфенил)-4-(3-хлорпиридин-2-ил)-3-гидроксиметил-3,4-дигидро-2Н-бензо[1,4]оксазин-8-карбоксамида,
305) (S)-4-(3-хлорпиридин-2-ил)-N-(4-диметиламино-3-трифторметилфенил)-3-гидроксиметил-3,4-дигидро-2Н-бензо[1,4]оксазин-8-карбоксамида,
306) (S)-4-(3-хлорпиридин-2-ил)-N-(4-изопропокси-3-трифторметилфенил)-3-гидроксиметил-3,4-дигидро-2Н-бензо[1,4]оксазин-8-карбоксамида,
307) (S)-4-(3-хлорпиридин-2-ил)-3-гидроксиметил-N-(4-пиперидино-3-трифторметилфенил)-3,4-дигидро-2Н-бензо[1,4]оксазин-8-карбоксамида,
308) (S)-4-(3-хлорпиридин-2-ил)-N-(4-этокси-3-фторфенил)-3-гидроксиметил-3,4-дигидро-2Н-бензо[1,4]оксазин-8-карбоксамида,
309) (S)-4-(3-хлорпиридин-2-ил)-3-гидроксиметил-N-(4-метокси-3-трифторметилфенил)-3,4-дигидро-2Н-бензо[1,4]оксазин-8-карбоксамида,
310) (S)-4-(3-хлор-5-метоксипиридин-2-ил)-3-гидроксиметил-N-(4-трифторметилфенил)-3,4-дигидро-2Н-бензо[1,4]оксазин-8-карбоксамида,
311) (S)-4-(3-хлор-5-метоксипиридин-2-ил)-3-гидроксиметил-N-(4-трифторметоксифенил)-3,4-дигидро-2Н-бензо[1,4]оксазин-8-карбоксамида,
312) (S)-3-гидроксиметил-4-(5-метилпиридин-2-ил)-N-(2-трифторметилпиридин-5-ил)-3,4-дигидро-2Н-бензо[1,4]оксазин-8-карбоксамида,
313) (S)-3-гидроксиметил-N-(4-метокси-3-трифторметилфенил)-4-(5-метилпиридин-2-ил)-3,4-дигидро-2Н-бензо[1,4]оксазин-8-карбоксамида,
314) (S)-3-гидроксиметил-4-(5-метилпиридин-2-ил)-N-(4-пиперидино-3-трифторметилфенил)-3,4-дигидро-2Н-бензо[1,4]оксазин-8-карбоксамида,
315) (S)-N-(3-фтор-4-трифторметилфенил)-3-гидроксиметил-4-(5-метилпиридин-2-ил)-3,4-дигидро-2Н-бензо[1,4]оксазин-8-карбоксамида,
316) (S)-N-(3-хлор-4-трифторметоксифенил)-3-гидроксиметил-4-(5-метилпиридин-2-ил)-3,4-дигидро-2Н-бензо[1,4]оксазин-8-карбоксамида,
317) (S)-N-(3,4-дихлорфенил)-3-гидроксиметил-4-(5-метилпиридин-2-ил)-3,4-дигидро-2Н-бензо[1,4]оксазин-8-карбоксамида,
318) (S)-4-(3-хлорпиридин-2-ил)-3-гидроксиметил-N-(4-изобутилокси-3-трифторметилфенил)-3,4-дигидро-2Н-бензо[1,4]оксазин-8-карбоксамида,
319) (S)-4-(3-хлорпиридин-2-ил)-N-(3,4-дихлорфенил)-3-гидроксиметил-3,4-дигидро-2Н-бензо[1,4]оксазин-8-карбоксамида,
320) (S)-4-(3-хлорпиридин-2-ил)-N-(4-хлор-3-трифторметилфенил)-3-гидроксиметил-3,4-дигидро-2Н-бензо[1,4]оксазин-8-карбоксамида,
321) (S)-N-(4-бром-3-фторфенил)-4-(3-хлорпиридин-2-ил)-3-гидроксиметил-3,4-дигидро-2Н-бензо[1,4]оксазин-8-карбоксамида,
322) (S)-N-(4-хлор-3-трифторметилфенил)-3-гидроксиметил-4-(5-метилпиридин-2-ил)-3,4-дигидро-2Н-бензо[1,4]оксазин-8-карбоксамида,
323) (S)-3-гидроксиметил-N-(4-изопропокси-3-трифторметилфенил)-4-(5-метилпиридин-2-ил)-3,4-дигидро-2Н-бензо[1,4]оксазин-8-карбоксамида,
324) (S)-4-(3-хлорпиридин-2-ил)-3-гидроксиметил-N-(4-морфолино-3-трифторметилфенил)-3,4-дигидро-2Н-бензо[1,4]оксазин-8-карбоксамида,
325) (S)-N-(2-хлор-4-трифторметилфенил)-3-гидроксиметил-4-(5-метилпиридин-2-ил)-3,4-дигидро-2Н-бензо[1,4]оксазин-8-карбоксамида,
326) (S)-3-гидроксиметил-4-(3-метилпиридин-2-ил)-N-(4-трифторметоксифенил)-3,4-дигидро-2Н-бензо[1,4]оксазин-8-карбоксамида,
327) (S)-3-гидроксиметил-4-(3-метилпиридин-2-ил)-N-(4-трифторметилфенил)-3,4-дигидро-2Н-бензо[1,4]оксазин-8-карбоксамида,
328) (S)-N-(4-трет-бутокси-3-фторфенил)-4-(3-хлорпиридин-2-ил)-3-гидроксиметил-3,4-дигидро-2Н-бензо[1,4]оксазин-8-карбоксамида,
329) (S)-4-(3-хлорпиридин-2-ил)-N-(3-фтор-4-изобутилоксифенил)-3-гидроксиметил-3,4-дигидро-2Н-бензо[1,4]оксазин-8-карбоксамида,
330) (S)-3-гидроксиметил-N-(4-изобутилокси-3-трифторметилфенил)-4-(5-метилпиридин-2-ил)-3,4-дигидро-2Н-бензо[1,4]оксазин-8-карбоксамида,
331) (S)-N-(3-фтор-4-изопропоксифенил)-3-гидроксиметил-4-(5-метилпиридин-2-ил)-3,4-дигидро-2Н-бензо[1,4]оксазин-8-карбоксамида,
332) (S)-N-(3-фтор-4-морфолинофенил)-3-гидроксиметил-4-(5-метилпиридин-2-ил)-3,4-дигидро-2Н-бензо[1,4]оксазин-8-карбоксамида,
333) (S)-N-(4-хлорфенил)-3-гидроксиметил-4-(5-метилпиридин-2-ил)-3,4-дигидро-2Н-бензо[1,4]оксазин-8-карбоксамида,
334) (S)-3-гидроксиметил-4-(5-метилпиридин-2-ил)-N-(2-морфолино-4-трифторметилфенил)-3,4-дигидро-2Н-бензо[1,4]оксазин-8-карбоксамида,
335) (S)-N-(4-трет-бутокси-3-фторфенил)-3-гидроксиметил-4-(5-метилпиридин-2-ил)-3,4-дигидро-2Н-бензо[1,4]оксазин-8-карбоксамида,
336) (S)-N-(4-бром-3-фторфенил)-3-гидроксиметил-4-(5-метилпиридин-2-ил)-3,4-дигидро-2Н-бензо[1,4]оксазин-8-карбоксамида,
337) 4-(3-хлорпиридин-2-ил)-3-гидроксиметил-N-(4-трифторметоксифенил)-3,4-дигидро-2Н-бензо[1,4]оксазин-8-карбоксамида,
338) (S)-4-(3-хлорпиридин-2-ил)-N-(3-фтор-4-трифторметилфенил)-3-гидроксиметил-3,4-дигидро-2Н-бензо[1,4]оксазин-8-карбоксамида,
339) (S)-N-(3-фтор-4-изобутилоксифенил)-3-гидроксиметил-4-(5-метилпиридин-2-ил)-3,4-дигидро-2Н-бензо[1,4]оксазин-8-карбоксамида,
340) (S)-N-(4-фтор-3-трифторметилфенил)-3-гидроксиметил-4-(5-метилпиридин-2-ил)-3,4-дигидро-2Н-бензо[1,4]оксазин-8-карбоксамида,
341) 4-(3-хлорпиридин-2-ил)-3-(1-гидроксиэтил)-N-(4-трифторметоксифенил)-3,4-дигидро-2Н-бензо[1,4]оксазин-8-карбоксамида,
342) (R)-9-(3-хлорпиридин-2-ил)-7-гидрокси-N-(4-трифторметоксифенил)-6,7,8,9-тетрагидро-5-окса-9-азабензоциклогептан-4-карбоксамида,
343) (R)-9-(3-хлорпиридин-2-ил)-7-гидрокси-N-(4-трифторметилфенил)-6,7,8,9-тетрагидро-5-окса-9-азабензоциклогептан-4-карбоксамида,
344) (S)-9-(3-хлорпиридин-2-ил)-7-гидрокси-N-(4-трифторметоксифенил)-6,7,8,9-тетрагидро-5-окса-9-азабензоциклогептан-4-карбоксамида,
345) N-(4-трет-бутилфенил)-4-(пиразин-2-ил)-3,4-дигидро-2Н-бензо[1,4]оксазин-8-карбоксамида,
346) N-(4-хлорфенил)-4-(5-этилпиримидин-2-ил)-3,4-дигидро-2Н-бензо[1,4]оксазин-8-карбоксамида,
347) N-(4-этоксифенил)-4-(5-этилпиримидин-2-ил)-3,4-дигидро-2Н-бензо[1,4]оксазин-8-карбоксамида,
348) 4-(6-хлорпиридазин-3-ил)-N-(4-трифторметилфенил)-3,4-дигидро-2Н-бензо[1,4]оксазин-8-карбоксамида,
349) 4-(4-метилтиазол-2-ил)-N-(4-трифторметоксифенил)-3,4-дигидро-2Н-бензо[1,4]оксазин-8-карбоксамида,
350) 4-(5-метилтиазол-2-ил)-N-(4-трифторметоксифенил)-3,4-дигидро-2Н-бензо[1,4]оксазин-8-карбоксамида,
351) (S)-3-гидроксиметил-4-(5-метилтиазол-2-ил)-N-(4-трифторметоксифенил)-3,4-дигидро-2Н-бензо[1,4]оксазин-8-карбоксамида,
352) (S)-3-гидроксиметил-4-(5-метилтиазол-2-ил)-N-(4-трифторметилфенил)-3,4-дигидро-2Н-бензо[1,4]оксазин-8-карбоксамида,
353) (S)-N-(3,4-дихлорфенил)-3-гидроксиметил-4-(5-метилтиазол-2-ил)-3,4-дигидро-2Н-бензо[1,4]оксазин-8-карбоксамида,
354) (S)-N-(3-фтор-4-изопропоксифенил)-3-гидроксиметил-4-(5-метилтиазол-2-ил)-3,4-дигидро-2Н-бензо[1,4]оксазин-8-карбоксамида,
355) (S)-N-(3-фтор-4-трет-бутоксифенил)-3-гидроксиметил-4-(5-метилтиазол-2-ил)-3,4-дигидро-2Н-бензо[1,4]оксазин-8-карбоксамида,
356) (S)-N-(3-фтор-4-изобутилоксифенил)-3-гидроксиметил-4-(5-метилтиазол-2-ил)-3,4-дигидро-2Н-бензо[1,4]оксазин-8-карбоксамида,
357) (S)-N-(4-бром-3-фторфенил)-3-гидроксиметил-4-(5-метилтиазол-2-ил)-3,4-дигидро-2Н-бензо[1,4]оксазин-8-карбоксамида,
358) (S)-N-(4-фтор-3-трифторметилфенил)-3-гидроксиметил-4-(5-метилтиазол-2-ил)-3,4-дигидро-2Н-бензо[1,4]оксазин-8-карбоксамида,
359) (S)-N-(3-фтор-4-морфолинофенил)-3-гидроксиметил-4-(5-метилтиазол-2-ил)-3,4-дигидро-2Н-бензо[1,4]оксазин-8-карбоксамида,
360) (S)-3-гидроксиметил-4-(5-метилтиазол-2-ил)-N-(2-трифторметилпиридин-5-ил)-3,4-дигидро-2Н-бензо[1,4]оксазин-8-карбоксамида,
361) (S)-3-гидроксиметил-4-(5-метилоксазол-2-ил)-N-(4-трифторметоксифенил)-3,4-дигидро-2Н-бензо[1,4]оксазин-8-карбоксамида,
362) (S)-3-гидроксиметил-4-(5-метилоксазол-2-ил)-N-(4-трифторметилфенил)-3,4-дигидро-2Н-бензо[1,4]оксазин-8-карбоксамида,
363) (S)-4-(4,5-диметилтиазол-2-ил)-3-гидроксиметил-N-(4-трифторметоксифенил)-3,4-дигидро-2Н-бензо[1,4]оксазин-8-карбоксамида,
364) (S)-4-(4,5-диметилтиазол-2-ил)-3-гидроксиметил-N-(4-трифторметилфенил)-3,4-дигидро-2Н-бензо[1,4]оксазин-8-карбоксамида,
365) (S)-3-гидроксиметил-4-(5-метил[1,3,4]тиадиазол-2-ил)-N-(4-трифторметоксифенил)-3,4-дигидро-2Н-бензо[1,4]оксазин-8-карбоксамида,
366) (S)-3-гидроксиметил-4-(5-метил[1,3,4]тиадиазол-2-ил)-N-(4-трифторметилфенил)-3,4-дигидро-2Н-бензо[1,4]оксазин-8-карбоксамида,
367) 4-(4,5-диметилтиазол-2-ил)-N-(4-трифторметоксифенил)-3,4-дигидро-2Н-бензо[1,4]тиазин-8-карбоксамида,
368) 4-(4,5-диметилтиазол-2-ил)-N-(4-трифторметоксифенил)-1-оксо-3,4-дигидробензо[1,4]тиазин-8-карбоксамида,
369) N-(4-трет-бутилфенил)-4-(4-метоксифенил)-3,4-дигидро-2Н-бензо[1,4]оксазин-8-карбоксамида,
370) N-(4-изобутилоксифенил)-4-(4-метоксифенил)-3,4-дигидро-2Н-бензо[1,4]оксазин-8-карбоксамида,
371) N-(4-хлорфенил)-4-(4-метоксифенил)-3,4-дигидро-2Н-бензо[1,4]оксазин-8-карбоксамида,
372) (S)-4-(2-хлорфенил)-3-гидроксиметил-N-(4-трифторметоксифенил)-3,4-дигидро-2Н-бензо[1,4]оксазин-8-карбоксамида,
373) (S)-4-(2-хлорфенил)-3-гидроксиметил-N-(4-трифторметилфенил)-3,4-дигидро-2Н-бензо[1,4]оксазин-8-карбоксамида,
374) (S)-4-(2-хлорфенил)-N-(3-фтор-4-трифторметилфенил)-3-гидроксиметил-3,4-дигидро-2Н-бензо[1,4]оксазин-8-карбоксамида,
375) (S)-4-(4-хлорфенил)-3-гидроксиметил-N-(4-трифторметоксифенил)-3,4-дигидро-2Н-бензо[1,4]оксазин-8-карбоксамида,
376) (S)-3-гидроксиметил-4-(4-метоксифенил)-N-(4-трифторметоксифенил)-3,4-дигидро-2Н-бензо[1,4]оксазин-8-карбоксамида,
377) (S)-3-гидроксиметил-4-(4-метоксифенил)-N-(4-трифторметилфенил)-3,4-дигидро-2Н-бензо[1,4]оксазин-8-карбоксамида,
378) (S)-4-(4-хлорфенил)-3-гидроксиметил-N-(4-трифторметилфенил)-3,4-дигидро-2Н-бензо[1,4]оксазин-8-карбоксамида и
379) (S)-4-(4-хлорфенил)-N-(4-хлорфенил)-3-гидроксиметил-3,4-дигидро-2Н-бензо[1,4]оксазин-8-карбоксамида,
или его фармацевтически приемлемой соли.
10. Фармацевтическая композиция, включающая конденсированное производное бензамида или его фармацевтически приемлемую соль согласно любому из вышеуказанных пп.1-9 и фармацевтически приемлемый носитель.
11. Фармацевтическая композиция для лечения и/или профилактики заболевания, выбранного из боли, острой боли, хронической боли, невропатической боли, боли при ревматоидном артрите, невралгии, невропатии, гипералгезии, мигрени, боли суставов, острой постгерпетической невралгии, постгерпетической невралгии, хронической постгерпетической невралгии, послеоперационной боли, раковой боли, воспалительной боли, интерстициального цистита, посттравматической невралгии, диабетической невропатии, нейродегенеративного заболевания, церебральной апоплексии, ишемического симптома, повреждения нерва, нейрогенного повреждения кожи, воспалительного заболевания, зуда, аллергического ринита, апоплексии, синдрома раздраженной толстой кишки, астмы, хронического закупоривающего легочного заболевания, дерматита, воспаления слизистой оболочки, язвы желудка и двенадцатиперстной кишки и воспалительного заболевания кишечника, повышенной чувствительности мочевого пузыря и гиперактивного мочевого пузыря типа частого мочеиспускания и недержания мочи, включающая конденсированное производное бензамида или его фармацевтически приемлемую соль согласно любому из вышеуказанных пп.1-9 и фармацевтически приемлемый носитель.
12. Фармацевтическая композиция для лечения и/или профилактики боли, включающая конденсированное производное бензамида или его фармацевтически приемлемую соль согласно любому из вышеуказанных пп.1-9 и фармацевтически приемлемый носитель.
13. Фармацевтическая композиция согласно указанному выше п.12, где болью является острая боль, хроническая боль, невропатическая боль, боль при ревматоидном артрите, невралгия, невропатия, гипералгезия, мигрень, боль суставов, острая постгерпетическая невралгия, постгерпетическая невралгия, хроническая постгерпетическая невралгия, послеоперационная боль, раковая боль, воспалительная боль, интерстициальный цистит, посттравматическая невралгия, диабетическая невропатия или нейродегенеративное заболевание.
14. Ингибитор активности подтипа 1 рецептора ваниллоида (VR1), включающий конденсированное производное бензамида или его фармацевтически приемлемую соль, согласно любому из указанных выше пп.1-9 и фармацевтически приемлемый носитель.
15. Способ лечения и/или профилактики заболевания, выбранного из боли, острой боли, хронической боли, невропатической боли, боли при ревматоидном артрите, невралгии, невропатии, гипералгезии, мигрени, боли суставов, острой постгерпетической невралгии, постгерпетической невралгии, хронической постгерпетической невралгии, послеоперационной боли, раковой боли, воспалительной боли, интерстициального цистита, посттравматической невралгии, диабетической невропатии, нейродегенеративного заболевания, церебральной апоплексии, ишемического симптома, повреждения нерва, нейрогенного повреждения кожи, воспалительного заболевания, зуда, аллергического ринита, апоплексии, синдрома раздраженной толстой кишки, астмы, хронического закупоривающего легочного заболевания, дерматита, воспаления слизистой оболочки, язвы желудка и двенадцатиперстной кишки и воспалительного заболевания кишечника, повышенной чувствительности мочевого пузыря и гиперактивного мочевого пузыря типа частого мочеиспускания и недержания мочи, отличающийся тем, что включает введение фармакологически эффективного количества конденсированного производного бензамида или его фармацевтически приемлемой соли согласно любому из указанных выше пп.1-9.
16. Способ лечения и/или профилактики боли, отличающийся тем, что включает введение фармакологически эффективного количества конденсированного производного бензамида или его фармацевтически приемлемой соли согласно любому из указанных выше пп.1-9.
17. Способ лечения и/или профилактики согласно вышеуказанному п.16, где болью является острая боль, хроническая боль, невропатическая боль, боль при ревматоидном артрите, невралгия, невропатия, гипералгезия, мигрень, боль суставов, острая постгерпетическая невралгия, постгерпетическая невралгия, хроническая постгерпетическая невралгия, послеоперационная боль, раковая боль, воспалительная боль, интерстициальный цистит, посттравматическая невралгия, диабетическая невропатия или нейродегенеративное заболевание.
18. Упаковка, включающая фармацевтическую композицию по любому из указанных выше пп.10-13 и относящиеся к этой фармацевтической композиции написанные инструкции, указывающие, что эту композицию можно применять или нужно применять для лечения и/или профилактики заболевания, выбранного из боли, острой боли, хронической боли, невропатической боли, боли при ревматоидном артрите, невралгии, невропатии, гипералгезии, мигрени, боли суставов, острой постгерпетической невралгии, постгерпетической невралгии, хронической постгерпетической невралгии, послеоперационной боли, раковой боли, воспалительной боли, интерстициального цистита, посттравматической невралгии, диабетической невропатии, нейродегенеративного заболевания, церебральной апоплексии, ишемического симптома, повреждения нерва, нейрогенного повреждения кожи, воспалительного заболевания, зуда, аллергического ринита, апоплексии, синдрома раздраженной толстой кишки, астмы, хронического закупоривающего легочного заболевания, дерматита, воспаления слизистой оболочки, язвы желудка и двенадцатиперстной кишки и воспалительного заболевания кишечника, повышенной чувствительности мочевого пузыря и гиперактивного мочевого пузыря типа частого мочеиспускания и недержания мочи.
19. Применение конденсированного производного бензамида или его фармацевтически приемлемой соли согласно любому из указанных выше пп.1-9 для получения фармацевтической композиции согласно указанному выше п.11, для лечения и/или профилактики заболевания, выбранного из боли, острой боли, хронической боли, невропатической боли, боли при ревматоидном артрите, невралгии, невропатии, гипералгезии, мигрени, боли суставов, острой постгерпетической невралгии, постгерпетической невралгии, хронической постгерпетической невралгии, послеоперационной боли, раковой боли, воспалительной боли, интерстициального цистита, посттравматической невралгии, диабетической невропатии, нейродегенеративного заболевания, церебральной апоплексии, ишемического симптома, повреждения нерва, нейрогенного повреждения кожи, воспалительного заболевания, зуда, аллергического ринита, апоплексии, синдрома раздраженной толстой кишки, астмы, хронического закупоривающего легочного заболевания, дерматита, воспаления слизистой оболочки, язвы желудка и двенадцатиперстной кишки и воспалительного заболевания кишечника, повышенной чувствительности мочевого пузыря и гиперактивного мочевого пузыря типа частого мочеиспускания и недержания мочи.
20. Применение конденсированного производного бензамида или его фармацевтически приемлемой соли согласно любому из указанных выше пп.1-9 для получения фармацевтической композиции для лечения и/или профилактики боли согласно указанному выше п.12.
21. Применение конденсированного производного бензамида или его фармацевтически приемлемой соли согласно указанному выше п.20, где болью является острая боль, хроническая боль, невропатическая боль, боль при ревматоидном артрите, невралгия, невропатия, гипералгезия, мигрень, боль суставов, острая постгерпетическая невралгия, постгерпетическая невралгия, хроническая постгерпетическая невралгия, послеоперационная боль, раковая боль, воспалительная боль, интерстициальный цистит, посттравматическая невралгия, диабетическая невропатия или нейродегенеративное заболевание.
22. Лекарственное средство, включающее комбинацию фармацевтической композиции, включающей конденсированное производное бензамида или его фармацевтически приемлемую соль, согласно любому из вышеуказанных пп.1-9 и фармацевтически приемлемый носитель, с одним или несколькими агентами, выбранными из группы, которая состоит из антивирусного агента, антидепрессанта, противосудорожного средства, антиаритмического лекарственного средства, местного анестезирующего средства, анестезирующего лекарственного средства, антагониста рецептора N-метил-D-аспартата, кортикального стероида надпочечников, средства для блокирования нерва, нестероидного противовоспалительного аналгезирующего средства, наркотических средств, аналгетика типа антагониста, агониста рецептора 2-адреналина, лекарственного средства для наружного применения, антагониста кальциевых каналов и открывателя калиевых каналов.
23. Применение конденсированного производного бензамида или его фармацевтически приемлемой соли согласно любому из вышеуказанных пп.1-9 для получения лекарственного средства согласно указанному выше п.22.
24. Способ лечения или профилактики заболевания, выбранного из боли, острой боли, хронической боли, невропатической боли, боли при ревматоидном артрите, невралгии, невропатии, гипералгезии, мигрени, боли суставов, острой постгерпетической невралгии, постгерпетической невралгии, хронической постгерпетической невралгии, послеоперационной боли, раковой боли, воспалительной боли, интерстициального цистита, посттравматической невралгии, диабетической невропатии, нейродегенеративного заболевания, церебральной апоплексии, ишемического симптома, повреждения нерва, нейрогенного повреждения кожи, воспалительного заболевания, зуда, аллергического ринита, апоплексии, синдрома раздраженной толстой кишки, астмы, хронического закупоривающего легочного заболевания, дерматита, воспаления слизистой оболочки, язвы желудка и двенадцатиперстной кишки и воспалительного заболевания кишечника, повышенной чувствительности мочевого пузыря и гиперактивного мочевого пузыря типа частого мочеиспускания и недержания мочи, отличающийся тем, что один или несколько агентов выбраны из группы, которая состоит из антивирусного агента, антидепрессанта, противосудорожного средства, антиаритмического лекарственного средства, местного анестезирующего средства, анестезирующего лекарственного средства, антагониста рецептора N-метил-D-аспартата, кортикального стероида надпочечников, средства для блокирования нерва, нестероидного противовоспалительного аналгезирующего средства, наркотических средств, аналгетика-антагониста, агониста рецептора 2-адреналина, лекарственного средства для наружного применения, антагониста кальциевых каналов и открывателя калиевых каналов, применяют при проведении его в комбинации с введением фармакологически эффективного количества ингибитора активности подтипа 1 рецептора ваниллоида (VR1).
25. Способ лечения и/или профилактики согласно вышеуказанному п.24, где ингибитором активности подтипа 1 рецептора ваниллоида (VR1) является конденсированное производное бензамида или его фармацевтически приемлемая соль согласно любому из вышеуказанных пп.1-9.
26. Способ лечения и/или профилактики боли, включающий введение ингибитора активности подтипа 1 рецептора ваниллоида (VR1) в комбинации с аналгезией, вызванной стимуляцией боли, выбранной из акупунктуры, терапии стимуляции чрескожной электроакупунктурой, чрескожной электрической терапии стимуляции нерва, терапии путем акупунктуры с применением точечных серебряных электродов (SSP), терапии стимуляции периферического нерва, электрической терапии стимуляции спинного мозга, электросудорожной терапии, лазерной терапии и низкочастотной терапии.
27. Способ лечения и/или профилактики согласно вышеуказанному п.26, где ингибитором активности подтипа 1 рецептора ваниллоида (VR1) является конденсированное производное бензамида или его фармацевтически приемлемая соль согласно любому из вышеуказанных пп.1-9.
28. Способ лечения и/или профилактики послеоперационной невралгии, отличающийся тем, что ингибитор активности подтипа 1 рецептора ваниллоида (VR1) вводят после проведения хирургической операции, выбранной из иссечения рубца, отверждения нерва замораживанием, иссечения периферического нерва, иссечения дорсальных корешков спинного мозга, симпатэктомии, деструкции входной зоны дорсальных корешков спинного мозга, кордотомии и иссечения лобной доли (головного мозга).
29. Способ лечения и/или профилактики согласно указанному выше пункту 28, где ингибитором активности подтипа 1 рецептора ваниллоида (VR1) является конденсированное производное бензамида или его фармацевтически приемлемая соль согласно любому из вышеуказанных пп.1-9.
Конденсированное производное бензамида настоящего изобретения эффективно ингибирует активность подтипа 1 рецептора ваниллоида (VR1) и поэтому является эффективным при лекарственном лечении и/или профилактике заболеваний, таких как боль, острая боль, хроническая боль, невропатическая боль, боль при ревматоидном артрите, невралгия, невропатия, гипералгезия, мигрень, боль суставов, острая постгерпетическая невралгия, постгерпетическая невралгия, хроническая постгерпетическая невралгия, послеоперационная боль, раковая боль, воспалительная боль, интерстициальный цистит, посттравматическая невралгия, диабетическая невропатия, нейродегенеративное заболевание, церебральная апоплексия, ишемический симптом, повреждение нерва, нейрогенное повреждение кожи, воспалительное заболевание, зуд, аллергический ринит, апоплексия, синдром раздраженной толстой кишки, астма, хроническое закупоривающее легочное заболевание, дерматит, воспаление слизистой оболочки, язва желудка и двенадцатиперстной кишки и воспалительное заболевание кишечника, повышенная чувствительность мочевого пузыря и гиперактивный мочевой пузырь типа частого мочеиспускания и недержания мочи. В частности, оно является эффективным в качестве терапевтического агента и профилактического агента для заболеваний, сопровождаемых болевым состоянием, таким как боль, острая боль, хроническая боль, невропатическая боль, боль при ревматоидном артрите, невралгия, невропатия, гипералгезия, мигрень, боль суставов, острая постгерпетическая невралгия, постгерпетическая невралгия, хроническая постгерпетическая невралгия, послеоперационная боль, раковая боль, воспалительная боль, интерстициальный цистит, посттравматическая невралгия, диабетическая невропатия и нейродегенеративное заболевание. Кроме того, предполагаются разные механизмы действия общепринятых аналгетиков.
ЛУЧШИЙ СПОСОБ ВЫПОЛНЕНИЯ ИЗОБРЕТЕНИЯ
Определение каждого термина, применяемого в данном описании, является следующим.
«С1-6-алкильная группа» представляет собой неразветвленную или разветвленную алкильную группу, содержащую 1-6 атомов углерода, и конкретно включает метильную группу, этильную группу, пропильную группу, изопропильную группу, бутильную группу, изобутильную группу, втор-бутильную группу, трет-бутильную группу, пентильную группу, изопентильную группу, трет-пентильную группу, гексильную группу и т.д.
«С1-4-алкильная группа» представляет собой неразветвленную или разветвленную алкильную группу, содержащую 1-4 атома углерода, и конкретно включает метильную группу, этильную группу, пропильную группу, изопропильную группу, бутильную группу, изобутильную группу, втор-бутильную группу и трет-бутильную группу.
Предпочтительной «С1-6-алкильной группой» в качестве R1, R2, R3, R4, R5, R6, R7, R8, R9, R10, R11, R12, R13, R14, R15, R16, R17, R18, R19, R20, R21, R22, R23, R24, R25, R26 и R27 является «С1-4-алкильная группа», особенно метильная группа и этильная группа. Предпочтительной С1-6-алкильной группой в кольце Р1 и кольце Р2, которое может быть замещено, является С1-4-алкильная группа, особенно метильная группа, этильная группа, пропильная группа, изопропильная группа, бутильная группа, изобутильная группа, втор-бутильная группа и трет-бутильная группа.
«Атом галогена» представляет собой атом фтора, атом хлора, атом брома или атом иода, предпочтительными являются атом фтора и атом хлора.
В качестве R4 предпочтительным является атом хлора и в качестве атомов галогена в кольце Р1 и кольце Р2, которое может быть замещено, предпочтительными являются атом хлора и атом фтора.
«Галоген-С1-6-алкильной группой» является С1-6-алкильная группа указанного выше определения, замещенная атомом галогена указанного выше определения, и предпочтительно галогенированная алкильная группа, в которой алкильная группа является неразветвленной или разветвленной алкильной группой, содержащей 1-4 атома углерода. Конкретно, она включает фторметильную группу, дифторметильную группу, трифторметильную группу, бромметильную группу, хлорметильную группу, 1,2-дихлорметильную группу, 2,2-дихлорметильную группу, 2,2,2-трифторэтильную группу и т.д.
«С1-6-алкоксигруппа» представляет собой алкоксигруппу, в которой алкильная часть ее является С1-6-алкильной группой указанного выше определения. Конкретно, она включают метоксигруппу, этоксигруппу, пропоксигруппу, изопропоксигруппу, бутоксигруппу, изобутоксигруппу, втор-бутоксигруппу, трет-бутоксигруппу, пентилоксигруппу, изопентилоксигруппу, 2-метилбутоксигруппу, неопентилоксигруппу, 1-этилпропоксигруппу, гексилоксигруппу, 4-метилпентилоксигруппу, 3-метилпентилоксигруппу, 2-метилпентилоксигруппу, 1-метилпентилоксигруппу, 3,3-диметилбутоксигруппу, 2,2-диметилбутоксигруппу, 1,1-диметилбутоксигруппу, 1,2-диметилбутоксигруппу, 1,3-диметилбутоксигруппу, 2,3-диметилбутоксигруппу, 2-этилбутоксигруппу и т.д. Предпочтительной является алкоксигруппа, в которой алкильная часть является неразветвленной или разветвленной алкильной группой, содержащей 1-4 атома углерода.
«Галоген-С1-6-алкоксигруппа» является галогеналкоксигруппой, в которой С1-6-алкильная группа, которая составляет часть С1-С6-алкоксигруппы, замещена одним или несколькими одинаковыми или разными атомами галогена и конкретно включает фторметоксигруппу, дифторметоксигруппу, трифторметоксигруппу, бромметоксигруппу, хлорметоксигруппу, 1,2-дихлорметоксигруппу, 2,2-дихлорметоксигруппу, 2,2,2-трифторметоксигруппу и т.д.
«С1-6-алкилтиогруппа» является С1-6-алкильной группой, указанной выше, присоединенной к атому серы, например неразветвленной или разветвленной алкилтиогруппой, содержащей 1-6 атомов углерода, такой как метилтиогруппа, этилтиогруппа, пропилтиогруппа, изопропилтиогруппа, бутилтиогруппа, изобутилтиогруппа, втор-бутилтиогруппа, трет-бутилтиогруппа, пентилтиогруппа, изопентилтиогруппа, 2-метилбутилтиогруппа, неопентилтиогруппа, гексилтиогруппа, 4-метилпентилтиогруппа, 3-метилпентилтиогруппа, 2-метилпентилтиогруппа, 3,3-диметилбутилтиогруппа, 2,2-диметилбутилтиогруппа, 1,1-диметилбутилтиогруппа, 1,2-диметилбутилтиогруппа, 1,3-диметилбутилтиогруппа, 2,3-диметилбутилтиогруппа и предпочтительно С1-4-алкилтиогруппа.
«С1-6-алкоксикарбонильная группа» представляет собой неразветвленную или разветвленную С1-6-алкоксигруппу, присоединенную к карбонильной группе, и конкретно включает метоксикарбонильную группу, этоксикарбонильную группу, пропоксикарбонильную группу, изопропоксикарбонильную группу, бутоксикарбонильную группу, изобутоксикарбонильную группу, втор-бутоксикарбонильную группу, трет-бутоксикарбонильную группу, пентилоксикарбонильную группу, изопентилоксикарбонильную группу, 2-метилбутоксикарбонильную группу, неопентилоксикарбонильную группу, 1-этилпропоксикарбонильную группу, гексилоксикарбонильную группу, 4-метилпентилоксикарбонильную группу, 3-метилпентилоксикарбонильную группу, 2-метилпентилоксикарбонильную группу, 1-метилпентилоксикарбонильную группу, 3,3-диметилбутоксикарбонильную группу, 2,2-диметилбутоксикарбонильную группу, 1,1-диметилбутоксикарбонильную группу, 1,2-диметилбутоксикарбонильную группу, 1,3-диметилбутоксикарбонильную группу, 2,3-диметилбутоксикарбонильную группу, 2-этилбутоксикарбонильную группу и т.д. Предпочтительной является алкоксикарбонильная группа, в которой алкоксигруппа ее является неразветвленной или разветвленной алкоксигруппой, содержащей 1-4 атома углерода.
Предпочтительные примеры ацильной группы включают формильную группу; карбоксильную группу; карбамоильную группу; тиокарбамоильную группу; С1-6-алкилкарбонильную группу (например, ацетильную группу, пропионильную группу, бутирильную группу, изобутирильную группу, валерильную группу, изовалерильную группу, пивалоильную группу и гексаноильную группу); С2-7-алкенилкарбонильную группу (например, кротонильную группу); С3-8-циклоалкилкарбонильную группу (например, циклобутанкарбонильную группу, циклопентанкарбонильную группу, циклогексанкарбонильную группу и циклопентанкарбонильную группу); C3-9-циклоалкенилкарбонильную группу (например, 2-циклогексанкарбонильную группу); С6-14-арилкарбонильную группу (например, бензоильную группу, 1-нафтоильную группу и 2-нафтоильную группу); С7-14-аралкилкарбонильную группу (например, бензилкарбонильную группу, фенетилкарбонильную группу, фенилпропилкарбонильную группу и фенилбутилкарбонильную группу); С8-13-арилалкенилкарбонильную группу (например, стирилкарбонильную группу); С8-13-арилалкинилкарбонильную группу (например, фенилэтинилкарбонильную группу); ароматическую гетероциклическую карбонильную группу (например, никотиноильную группу, изоникотиноильную группу, фурилкарбонильную группу, тиенилкарбонильную группу, пиримидинилкарбонильную группу, бензофуранилкарбонильную группу, 1Н-индазолилкарбонильную группу и хинолилкарбонильную группу); неароматическую гетероциклическую карбонильную группу (например, пирролидинилкарбонильную группу, пиперидинокарбонильную группу, морфолинокарбонильную группу, тиоморфолинокарбонильную группу, пиперазинокарбонильную группу, тиазолидинилкарбонильную группу, гексаметилениминилкарбонильную группу и тетрагидроизохинолилкарбонильную группу); С1-6-алкоксикарбонильную группу (например, метоксикарбонильную группу, этоксикарбонильную группу, пропоксикарбонильную группу, бутоксикарбонильную группу и трет-бутоксикарбонильную группу); С6-14-арилоксикарбонильную группу (например, фенилоксикарбонильную группу и нафтилоксикарбонильную группу); С7-14-аралкилоксикарбонильную группу (например, бензилоксикарбонильную группу и фенетилоксикарбонильную группу); моно- или ди-С1-6-алкилкарбамоильную группу (например, метилкарбамоильную группу, этилкарбамоильную группу, диметилкарбамоильную группу, диэтилкарбамоильную группу, этилметилкарбамоильную группу, пропилкарбамоильную группу, бутилкарбамоильную группу, трет-бутилкарбамоильную группу, пентилкарбамоильную группу, гексилкарбамоильную группу); моно- или ди-С1-6-алкилтиокарбамоильную группу (например, метилтиокарбамоильную группу и этилтиокарбамоильную группу); С6-14-арилкарбамоильную группу (например, фенилкарбамоильную группу); С3-10-циклоалкилкарбамоильную группу (например, циклопропилкарбамоильную группу, циклопентилкарбамоильную группу и циклогексилкарбамоильную группу); С7-14-аралкилкарбамоильную группу (например, бензилкарбамоильную группу, фенетилкарбамоильную группу и дифенилэтилкарбамоильную группу); С4-13-циклоалкилалкилкарбамоильную группу (например, циклогексилметилкарбамоильную группу); ароматическую гетероциклическую карбамоильную группу (например, изоксазолилкарбамоильную группу и бензотиазолилкарбамоильную группу); неароматическую гетероциклическую карбамоильную группу (например, пирролидинилкарбамоильную группу); С1-10-алкилсульфинильную группу (например, метилсульфинильную группу и этилсульфинильную группу); С1-10-алкилсульфонильную группу (например, метилсульфонильную группу и этилсульфонильную группу); С6-14-арилсульфонильную группу (например, фенилсульфонильную группу); (моно- или ди-С1-10-алкил)фосфоногруппу, которая может образовывать кольцо (например, диметилфосфоногруппу; диэтилфосфоногруппу; диизопропилфосфоногруппу; дибутилфосфоногруппу; 2-оксид-1,3,2-диоксафосфинанильную группу; моно- или ди-(С1-6-алкильную группу, которая может быть замещена 1-3 атомами галогена)сульфамоильную группу (например, метилсульфамоильную группу и этилсульфамоильную группу) и т.д.
Предпочтительные примеры ацилоксигруппы включают ацилоксигруппу с 2-13 атомами углерода, например С1-6-алкилкарбонилоксигруппу и т.д. (например, ацетилокси, пропионилокси, бутирилокси и изобутирилокси).
Предпочтительные примеры «гетероарилоксигруппы» включают одно 5-7-членное кольцо типа гетероарилоксигруппы, например 2-пиридилокси, 3-пиридилокси, 2-имидазолилокси, 2-пиримидинилокси, 1,2,4-триазол-5-илокси и т.д.
«Карбоциклическая группа» представляет собой насыщенную или ненасыщенную циклическую углеводородную группу, содержащую 3-14 атомов углерода, и конкретно означает арильную группу, циклоалкильную группу, циклоалкенильную группу, описанные ниже, или конденсированное карбоциклическое кольцо, в котором эти кольца являются конденсированными.
Здесь «арильная группа» означает ароматическую углеводородную группу, содержащую 6-14 атомов углерода, и конкретно включает фенильную группу, нафтильную группу, бифенильную группу, антрильную группу, инденильную группу, пенталенильную группу, азуленильную группу, флуоренильную группу, фенантрильную группу и т.д. Предпочтительно она представляет собой фенильную группу, нафтильную группу и бифенильную группу. Особенно предпочтительной является фенильная группа.
Здесь «циклоалкильная группа» представляет собой насыщенную циклоалкильную группу, содержащую 3-8 атомов углерода, и конкретно включает циклопропильную группу, циклобутильную группу, циклопентильную группу, циклогексильную группу, циклогептильную группу и циклооктильную группу.
«Циклоалкенильная группа» представляет собой циклоалкенильную группу, содержащую 3-8 атомов углерода, и предпочтительно содержит, по меньшей мере, одну, предпочтительно одну или две двойные связи. Конкретно она включает циклопропенильную группу, циклобутенильную группу, циклопентенильную группу, циклопентадиенильную группу, циклогексенильную группу, циклогексадиенильную группу, (2,4-циклогексадиен-1-ильную группу, 2,5-циклогексадиен-1-ильную группу и т.д.), циклогептенильную группу, циклооктенильную группу и т.д.
«Конденсированная карбоциклическая группа», в которой арильная группа, циклоалкильная группа и циклоалкенильная группа являются конденсированными, конкретно включает инденильную группу, инданильную группу, 1,4-дигидронафтильную группу, 1,2,3,4-тетрагидронафтильную группу (1,2,3,4-тетрагидро-2-нафтильную группу, 5,6,7,8-тетрагидро-2-нафтильную группу и т.д.), пергидронафтильную группу и т.д. Когда кольцо Р2 предпочтительно является арильной группой и циклоалкильной группой, более предпочтительными являются фенильная группа, бифенильная группа и циклогексильная группа.
«Аралкильная группа» является арилалкильной группой, в которой арильная часть является арильной группой, как указано выше, конкретно фенильной группой, и алкильная часть является 1-6-алкильной группой указанного выше определения, и конкретно она включает бензильную группу, фенетильную группу, 3-фенилпропильную группу, 4-фенилбутильную группу, 6-фенилгексильную группу и т.д.
«Аралкоксигруппа» является арилалкоксигруппой, в которой арильная часть является арильной группой, как указано выше, конкретно фенильной группой, и алкоксичасть является С1-6-алкоксигруппой указанного выше значения, конкретно она включает бензилоксигруппу, 3-фенилпропилоксигруппу, 4-фенилбутилоксигруппу, 6-фенилгексилоксигруппу и т.д.
«Циклоалкилалкоксигруппа» является циклоалкилалкоксигруппой, в которой циклоалкильная часть является циклоалкильной группой указанного выше определения и алкоксичасть является С1-6-алкоксигруппой указанного выше определения, конкретно она включает циклопропилметоксигруппу, циклобутилметоксигруппу, циклопентилметоксигруппу, циклогексилметоксигруппу и т.д.
«Гетероциклическая группа» означает насыщенное или ненасыщенное (включая частично ненасыщенное и полностью ненасыщенное) 5-членное или 6-членное моноциклическое гетероциклическое кольцо, содержащее, помимо атомов углерода, по меньшей мере, один, предпочтительно 1-4 гетероатома, выбранных из атома азота, атома кислорода и атома серы, или конденсированное кольцо этих гетероциклических колец или конденсированное кольцо этих гетероциклических колец и карбоциклического кольца, выбранного из бензола, циклопентана и циклогексана.
«Насыщенная моноциклическая гетероциклическая группа» включает пирролидинильную группу, тетрагидрофурильную группу, тетрагидротиенильную группу, имидазолидинильную группу, пиразолидинильную группу, 1,3-диоксоланильную группу, 1,3-оксатиоланильную группу, оксазолидинильную группу, тиазолидинильную группу, пиперидинильную группу, пиперидиногруппу, пиперазинильную группу, пиперазиногруппу, тетрагидропиранильную группу, тетрагидротиопиранильную группу, диоксанильную группу, морфолинильную группу, тиоморфолинильную группу, 2-оксопирролидинильную группу, 2-оксопиперидинильную группу, 4-оксопиперидинильную группу, 2,6-диоксопиперидинильную группу и т.д.
«Ненасыщенная моноциклическая гетероциклическая группа» включает пирролильную группу, фурильную группу, тиенильную группу, имидазолильную группу, 1,2-дигидро-2-оксоимидазолильную группу, пиразолильную группу, диазолильную группу, оксазолильную группу, изоксазолильную группу, тиазолильную группу, изотиазолильную группу, 1,2,4-триазолильную группу, 1,2,3-триазолильную группу, тетразолильную группу, 1,3,4-оксадиазолильную группу, 1,2,4-оксадиазолильную группу, 1,3,4-тиадиазолильную группу, 1,2,4-тиадиазолильную группу, фуразанильную группу, пиридильную группу, пиримидинильную группу, 3,4-дигидро-4-оксопиримидинильную группу, пиридазинильную группу, пиразинильную группу, 1,3,5-триазинильную группу, имидазолинильную группу, пиразолинильную группу и оксазолинильную группу (2-оксазолинильную группу, 3-оксазолинильную группу и 4-оксазолинильную группу), изооксазолинильную группу, тиазолинильную группу, изотиазолинильную группу, пиранильную группу, 2-оксопиранильную группу, 2-оксо-2,5-дигидрофуранильную группу, 1,1-диоксо-1Н-изотиазолильную группу.
«Конденсированное гетероциклическое кольцо» включает индолильную группу (например, 4-индолильную группу, 7-индолильную группу и т.д.), изоиндолильную группу, 1,3-дигидро-1,3-диоксоизоиндолильную группу, бензофуранильную группу (например, 4-бензофуранильную группу, 7-бензофуранильную группу и т.д.), индазолильную группу, изобензофуранильную группу, бензотиофенильную группу (например, 4-бензотиофенильную группу, 7-бензотиофенильную группу и т.д.), бензооксазолильную группу (например, 4-бензооксазолильную группу, 7-бензооксазолильную группу и т.д.), бензимидазолильную группу (например, 4-бензимидазолильную группу, 7-бензимидазолильную группу и т.д.), бензотиазолильную группу (например, 4-бензотиазолильную группу, 7-бензотиазолильную группу и т.д.) и индолидинильную группу, хинолильную группу, изохинолильную группу, 1,2-дигидро-2-оксохинолильную группу, хиназолинильную группу, хиноксалинильную группу, циннолинильную группу, фталазинильную группу, хинолидинильную группу, пурильную группу, птеридинильную группу, индолинильную группу, изоиндолинильную группу, 5,6,7,8-тетрагидрохинолильную группу, 1,2,3,4-тетрагидрохинолильную группу, 2-оксо-1,2,3,4-тетрагидрохинолильную группу, бензо[1,3]диоксолильную группу, 2,3-дигидробензо[1,4]диоксосилильную группу, 3,4-метилендиоксипиридильную группу, 4,5-этилендиоксипиримидинильную группу, хроменильную группу, хроманильную группу, изохроманильную группу и т.д.
Что касается группы, конкретно не указанной здесь, обычное определение должно быть следующим.
В общей формуле [1] предпочтительные примеры и конкретные предпочтительные примеры каждого символа являются нижеследующими. Однако настоящее изобретение не ограничивается ими.
[Предпочтительный Z]
Z предпочтительно представляет собой -О-, -NR5-, -S- или -SO- и R5 предпочтительно представляет собой атом водорода или С1-4-алкильную группу. Предпочтительно Z представляет собой -О-, -S- или -SO-.
[Предпочтительные l и m]
Предпочтительно l равно 0 или 1 и предпочтительно m равно 0 или 1. Предпочтительно l+m равно 1 или 2 и более предпочтительно 1.
[Предпочтительный R1]
R1 представляет собой предпочтительно С1-6-алкильную группу, которая может быть предпочтительно замещена гидроксильной группой или атомом галогена. Особенно предпочтительный R1 представляет собой атом водорода.
[Предпочтительный R2]
R2 предпочтительно представляет собой атом водорода, гидроксильную группу, С1-6-алкильную группу (предпочтительно, С1-4-алкильную группу), карбоксильную группу, С1-6-алкоксикарбонильную группу (предпочтительно, С1-4-алкоксикарбонильную группу), С1-6-алкильную группу, замещенную гидроксильной группой (предпочтительно, гидроксизамещенную С1-4-алкильную группу), карбамоильную группу (предпочтительно, карбамоильную группу, моно-С1-4-алкилзамещенную карбамоильную группу или ди-С1-4-алкилзамещенную карбамоильную группу), С1-6-алкильную группу, замещенную ациламиногруппой (предпочтительно, ациламинозамещенная С1-С4-алкильная группа) или R1 и R2, связанные вместе, образуют карбонильную группу.
R2 представляет собой особенно предпочтительно атом водорода или С1-4-алкильную группу, замещенную гидроксигруппой.
[Предпочтительный R3]
R3 представляет собой атом водорода или С1-6-алкильную группу и предпочтительно атом водорода или метильную группу.
[Предпочтительный R4]
R4 представляет собой предпочтительно атом водорода или атом галогена.
[Предпочтительный V]
V представляет собой предпочтительно прямую связь или -(СН2)n-, где n равно 1 или 2. Особенно предпочтительно он представляет собой прямую связь.
[Предпочтительные кольца Р1 и Р2]
Каждое из колец Р1 и Р2 представляет собой гетероциклическую группу (предпочтительно, 5-членное или 6-членное гетероциклическое кольцо, содержащее 1-4, более предпочтительно 1-3 гетероатома, предпочтительно выбранных из атома азота, атома кислорода и атома серы, или конденсированное кольцо из этих гетероциклических колец, которые могут быть одинаковыми или разными, или конденсированное кольцо из этих гетероциклических колец и карбоциклического кольца, выбранного из бензола, циклопентана и циклогексана (особенно предпочтительно, пиридильную группу, тиазолильную группу, пиразинильную группу, пиридазинильную группу, пиримидинильную группу, более предпочтительно пиридильную группу) или карбоциклическую группу, выбранную из С3-8-циклоалкильных групп (например, циклогексильную группу, циклопентильную группу и т.д.), С3-8-циклоалкенильную группу (например, циклогексенильную группу) и арильную группу (например, фенильную группу и т.д.).
[Предпочтительное кольцо Р1]
Кольцо Р1 предпочтительно представляет собой 5-членную или 6-членную моноциклическую ароматическую гетероциклическую группу или ароматическую карбоциклическую группу.
[Предпочтительная ароматическая гетероциклическая группа для кольца Р1]
Предпочтительная ароматическая гетероциклическая группа для кольца Р1 представляет собой 5-членную или 6-членную моноциклическую ароматическую гетероциклическую группу, содержащую, по меньшей мере, один атом азота и предпочтительно указанную ниже ароматическую гетероциклическую группу.
 или 
Более предпочтительно ароматическая гетероциклическая группа является группой, указанной ниже.
или 
[Предпочтительная ароматическая карбоциклическая группа для кольца Р1]
Предпочтительной ароматической карбоциклической группой для кольца Р1 является фенильная группа, бифенильная группа или нафтильная группа и особенно предпочтительно фенильная группа.
[Особенно предпочтительная группа Р1]
Пиридильная группа или фенильная группа является особенно предпочтительной в качестве кольца Р1.
[Предпочтительное кольцо Р2]
Предпочтительное кольцо в качестве Р2 является ароматической карбоциклической группой, 5-членной или 6-членной циклоалкильной группой, 5-членной или 6-членной насыщенной гетероциклической группой или 5-членной или 6-членной ароматической гетероциклической группой, более подробно они указываются ниже.
[Предпочтительная ароматическая карбоциклическая группа в кольце Р2]
Предпочтительная ароматическая карбоциклическая группа в кольце Р2 представляет собой фенильную группу, бифенильную группу и нафтильную группу, особенно предпочтительно фенильную группу. Эти ароматические карбоциклические группы могут быть замещены метилендиоксигруппой или этилендиоксигруппой, как показано ниже.

[Предпочтительная циклоалкильная группа для кольца Р2]
Предпочтительной 5-членной или 6-членной циклоалкильной группой для кольца Р2 конкретно является циклопентильная группа или циклогексильная группа и такая группа может быть замещена оксогруппой, как показано ниже, и может образовывать этилендиоксигруппу и спирокольцо.

[Предпочтительная насыщенная гетероциклическая группа для кольца Р2]
Насыщенная 5-членная или 6-членная гетероциклическая группа, которая может образовывать предпочтительное конденсированное кольцо в кольце Р2, может быть замещена оксогруппой, как показано ниже.

Она предпочтительно представляет собой пиперидильную группу, пиперидиногруппу и тетрагидрохинолильную группу, как показано ниже.

[Предпочтительная ароматическая гетероциклическая группа для кольца Р2]
5-членная или 6-членная ароматическая гетероциклическая группа, которая может образовывать предпочтительное конденсированное кольцо, для кольца Р2 представляет собой 5-членную или 6-членную моноциклическую ароматическую гетероциклическую группу, которая предпочтительно содержит, по меньшей мере, один атом азота, и конкретно является следующей ароматической гетероциклической группой:

[Особенно предпочтительная группа Р2]
Особенно предпочтительным в качестве кольца Р2 является кольцо, указанное ниже.
или 
[Предпочтительная группа-заместитель кольца Р1 и кольца Р2]
Гетероциклическая группа и карбоциклическая группа указанных колец Р1 и Р2 могут быть замещены 1-3 заместителями, выбранными соответственно из
– атома галогена,
– гидроксильной группы,
– С1-6-алкоксигруппы (где С1-6-алкоксигруппа может быть замещена карбоксильной группой, гидроксильной группой и -CONR6R7 (где R6 и R7 являются одинаковыми или разными и каждый представляет собой атом водорода или С1-6-алкильную группу, и алкильная группа может быть замещена гидроксильной группой или ацилоксигруппой)),
– С1-6-алкильной группы (где С1-6-алкильная группа может быть замещена 1-5, предпочтительно 1-3 заместителями, выбранными из атома галогена, гидроксильной группы, С1-6-алкоксигруппы, -CONR6R7 (где R6 и R7 являются одинаковыми или разными и каждый представляет собой атом водорода или С1-6-алкильную группу, и алкильная группа может быть замещена гидроксильной группой или ацилоксигруппой), -NR6COR7 (где R6 и R7 являются одинаковыми или разными и каждый представляет собой атом водорода или С1-6-алкильную группу, и алкильная группа может быть замещена гидроксильной группой или ацилоксигруппой)),
– -CONR23R24 (где R23 и R24 являются одинаковыми или разными и каждый представляет собой атом водорода или С1-6-алкильную группу, которая может быть замещена 1-5 заместителями, выбранными из вышеуказанной группы А),
– -NR123R124 (где R123 и R124 являются одинаковыми или разными и каждый представляет собой атом водорода или С1-6-алкильную группу, которая может быть замещена 1-5 заместителями, выбранными из группы А),
– NR223COR224 (где R223 и R224 являются одинаковыми или разными и каждый представляет собой атом водорода или С1-6-алкильную группу, которая может быть замещена 1-5 заместителями, выбранными из группы А),
– -COR27 (где R27 представляет собой С1-6-алкильную группу, С1-6-алкоксигруппу, С3-8-циклоалкильную группу, аралкильную группу, аралкоксигруппу, циклоалкилалкоксигруппу или гидроксильную группу),
– -О-(CR121R122)n-R128 (где R121 и R122 являются одинаковыми или разными и каждый представляет собой атом водорода или С1-6-алкильную группу, n равно 1 или 2 и R128 представляет собой ацильную группу, карбоциклическую группу, которая может быть замещена 1-5 заместителями, выбранными из пп.(а)-(i) группы С, или гетероциклическую группу, которая может быть замещена 1-5 заместителями, выбранными из пп.(а)-(l) группы С, где R128 представляет собой предпочтительно 5-членную или 6-членную гетероциклическую группу, которая предпочтительно содержит 1-3 атома азота и/или атома серы, более предпочтительно ненасыщенную моноциклическую гетероциклическую группу, такую как пиридильная группа, или арильную группу, такую как фенильная группа), и
– цианогруппы.
Кольцо Р2 предпочтительно представляет собой карбоциклическую группу (более предпочтительно арильную группу, такую как фенильная группа или С3-8-циклоалкильная группа, особенно предпочтительно фенильная группа или С5-6-циклоалкильная группа) или гетероциклическую группу (где указанная гетероциклическая группа является насыщенной или ненасыщенной 5-членной или 6-членной гетероциклической группой, которая содержит 1-3 гетероатома, предпочтительно атома азота и/или атома серы, особенно предпочтительно 1-3 атома азота, группу конденсированного кольца этих гетероциклических колец или конденсированную гетероциклическую группу этих гетероциклических колец, которые могут быть одинаковыми или разными, и карбоциклического кольца, выбранного из бензола, циклопентана и циклогексана. Конкретными примерами предпочтительной гетероциклической группы являются тиазолильная группа, пиридильная группа, пиперидильная группа, пиперидиногруппа, хинолильная группа или 1,2,3,4-тетрагидрохинолильная группа, бензотиазолильная группа, бензимидазолильная группа, пирролидиногруппа и т.д.), и карбоциклическая группа, и гетероциклическая группа могут быть замещены группой-заместителем, выбранной из следующих заместителей:
– атома галогена,
– гидроксильной группы,
– С1-6-алкоксигруппы, которая может быть замещена атомом галогена, -CONR23R24 (где R23 и R24 являются одинаковыми или разными и каждый представляет собой атом водорода или алкильную группу. Алкильная группа может быть дополнительно замещена гидроксильной группой или ацилоксигруппой), С3-8-циклоалкильной группой, С1-6-алкоксигруппой, карбоксильной группой или С1-6-алкоксикарбонильной группой,
– С1-6-алкильной группы, которая может быть замещена атомом галогена, гидроксильной группой или С1-6-алкоксигруппой,
– -NR123R124 (где R123 и R124 являются одинаковыми или разными и каждый представляет собой атом водорода или С1-6-алкильную группу),
– -NR223COR224 (где R223 и R224 являются одинаковыми или разными и каждый представляет собой атом водорода или С1-6-алкильную группу, которая может быть замещена 1-5 заместителями, выбранными из группы А),
– -COR27 (где R27 предпочтительно представляет собой С1-6-алкильную группу, С1-6-алкоксигруппу, С3-8-циклоалкильную группу, аралкильную группу, аралкоксигруппу, циклоалкилалкоксигруппу или гидроксильную группу),
– насыщенной или ненасыщенной гетероциклической группы, содержащей 1-3 атома азота в качестве гетероатомов (предпочтительно, пиперидинильную группу, пиперидиногруппу, 2-оксопиперидиногруппу, морфолиногруппу или пиперазиногруппу, 1,3-диоксоланильную группу (спиро), пирролидиногруппу и т.д., и эти гетероциклические кольца могут быть замещены группой-заместителем, выбранной из гидроксильной группы, -CON23R24 (где R23 и R24 имеют значения, указанные выше), С1-6-алкоксигруппы, карбоксильной группы, С1-6-алкильной группы, которая может быть замещена С1-6-алкоксигруппой, С1-6-алкоксикарбонильной группы и ацилоксигруппы),
– -О-R28 (где R28 представляет собой ацильную группу, карбоциклическую группу, которая может быть замещена 1-5 заместителями, выбранными из пп.(а)-(l) группы С, или гетероциклическую группу, которая может быть замещена 1-5 заместителями, выбранными из пп.(а)-(l) группы С),
– -О-(CR121R122)n-R128 (где R121 и R122 являются одинаковыми или разными и каждый представляет собой атом водорода или С1-6-алкильную группу, n равно 1 или 2 и R128 представляет собой ацильную группу, карбоциклическую группу, которая может быть замещена 1-5 заместителями, выбранными или пп.(а)-(i) группы С, или гетероциклическую группу, которая может быть замещена 1-5 заместителями, выбранными или пп.(а)-(i) группы С),
– нитрогруппы и
– цианогруппы.
[Группа-заместитель, предпочтительная в качестве группы-заместителя в кольце Р1]
Более конкретно, предпочтительной в качестве группы-заместителя в кольце Р1 является следующая группа-заместитель:
– атом галогена, особенно предпочтительно атом фтора, атом хлора,
– С1-6-алкильная группа (предпочтительно, С1-4-алкильная группа),
– цианогруппа,
– гидроксильная группа,
– карбоксильная группа,
– С1-6-алкоксикарбонильная группа (предпочтительно, С1-4-алкоксикарбонильная группа),
– -NR123R124 (где R123 и R124 являются одинаковыми или разными и каждый представляет собой атом водорода или С1-6-алкильную группу, которая может быть замещена 1-5 заместителями, выбранными из группы А),
– С1-6-алкоксигруппа (предпочтительно, С1-С4-алкоксигруппа (где алкоксигруппа может быть замещена 1-2 заместителями, выбранными из гидроксильной группы, карбоксильной группы, -CONR23R24 (где R23 и R24 имеют указанные выше значения) и 5-членной или 6-членной моноциклической ароматической гетероциклической группы (предпочтительно, пиридильной группы),
– аралкоксигруппа (предпочтительно, бензилоксигруппа),
– аралкоксикарбонильная группа (предпочтительно, бензилоксикарбонильная группа),
– С1-6-алкильная группа (предпочтительно, С1-4-алкильная группа, замещенная 1-2 заместителями, выбранными из гидроксильной группы, С1-4-алкоксигруппы и -NR123N124 (где R121 и R124 имеют значения, указанные выше) или
– CONR23R24 (где R23 и R24 имеют значения, указанные выше).
Предпочтительной группой-заместителем для ароматической карбоциклической группой, которая образует кольцо Р2, является группа-заместитель, указанная ниже:
– атом галогена,
– С1-6-алкильная группа (предпочтительно, С1-4-алкильная группа), которая может быть разветвленной,
– С1-6-алкоксигруппа (предпочтительно, С1-4-алкоксигруппа) (где С1-6-алкоксигруппа может быть замещена гидроксильной группой, карбамоильной группой или С1-6-алкоксигруппой),
– нитрогруппа,
– цианогруппа,
– карбоксильная группа,
– галоген-С1-6-алкоксигруппа (предпочтительно, галоген-С1-4-алкоксигруппа),
– галоген-С1-6-алкилтиогруппа (предпочтительно, галоген-С1-4-алкилтиогруппа),
– С1-6-алкоксикарбонильная группа (предпочтительно, С1-4-алкоксикарбонильная группа),
– ацильная группа,
– С1-6-алкильная группа, замещенная 1-3 заместителями, выбранными из гидроксильной группы, атома галогена и С1-6-алкоксигруппы (предпочтительно, С1-4-алкоксигруппы),
– -NR123R124 (где R123 и R124 имеют значения, указанные выше),
– -СОNR23R24 (где R23 и R24 имеют значения, указанные выше),
– насыщенное 5-членное или 6-членное гетероциклическое кольцо, которое содержит, по меньшей мере, один атом азота (предпочтительно, пиперидиногруппа, пирролидиногруппа или морфолиногруппа, которая может быть замещена оксогруппой) и которое может быть замещено группой-заместителем, выбранной из гидроксильной группы, С1-6-алкоксигруппы, карбоксильной группы, С1-6-алкоксикарбонильной группы, С1-6-алкильной группы (где С1-6-алкильная группа может быть замещена гидроксильной группой или С1-6-алкоксигруппой), карбамоильной группы и ацилоксигруппы, или
– пиперидилоксигруппа, которая может быть замещена С1-6-алкоксикарбонильной группой.
[Группа-заместитель, особенно предпочтительная в качестве группы-заместителя в кольце Р1]
Особенно предпочтительной группой-заместителем в качестве группы-заместителя в кольце Р1 является атом галогена (особенно, атом фтора и атом хлора), С1-4-алкильная группа, С1-4-алкильная группа, замещенная гидроксильной группой, С1-4-алкильная группа, замещенная С1-4-алкильной группой, С1-4-алкоксигруппа, аминогруппа, аминогруппа, замещенная С1-4-алкильной группой, или аминогруппа, замещенная двумя идентичными или разными С1-4-алкильными группами.
[Группа-заместитель для ароматической карбоциклической группы в кольце Р2]
– атом галогена,
– С1-6-алкильная группа (предпочтительно, С1-С4-алкильная группа), которая может быть разветвленной,
– С1-6-алкоксигруппа (где С1-6-алкоксигруппа может быть замещена гидроксильной группой, карбамоильной группой или С1-6-алкоксигруппой),
– нитрогруппа,
– цианогруппа,
– карбоксильная группа,
– галоген-С1-6-алкоксигруппа (предпочтительно, галоген-С1-4-алкоксигруппа),
– галоген-С1-6-алкилтиогруппа (предпочтительно, галоген-С1-4-алкилтиогруппа),
– С1-6-алкоксикарбонильная группа (предпочтительно, С1-4-алкоксикарбонильная группа),
– ацильная группа,
– С1-6-алкильная группа, замещенная 1-3 заместителями, выбранными из гидроксильной группы, атома галогена и С1-6-алкоксигруппы (предпочтительно, С1-4-алкоксигруппы),
– -NR123R124 (где R123 и R124 имеют значения, указанные выше),
– -СОNR23R24 (где R23 и R24 имеют значения, указанные выше),
– насыщенное 5-членное или 6-членное гетероциклическое кольцо, которое содержит, по меньшей мере, один атом азота (предпочтительно, пиперидиногруппа, пирролидиногруппа или морфолиногруппа, которая может быть замещена оксогруппой) и которое может быть замещено группой-заместителем, выбранной из гидроксильной группы, С1-6-алкоксигруппы, карбоксильной группы, С1-6-алкоксикарбонильной группы, С1-6-алкильной группы (где С1-6-алкильная группа может быть замещена гидроксильной группой или С1-6-алкоксигруппой), карбамоильной группы и ацильной группы, или
– пиперидилоксигруппа, которая может быть замещена С1-6-алкоксикарбонильной группой.
[Особенно предпочтительная группа-заместитель для ароматической карбоциклической группы в кольце Р2]
Особенно предпочтительными заместителями для ароматической карбоциклической группы в кольце Р2 являются следующие заместители:
– атом галогена,
– С1-6-алкильная группа (предпочтительно, С1-4-алкильная группа), которая может быть разветвленной,
– С1-6-алкоксигруппа (где С1-6-алкоксигруппа может быть замещена гидроксильной группой, карбамоильной группой или С1-6-алкоксигруппой),
– галоген-С1-6-алкильная группа (предпочтительно, галоген-С1-4-алкильная группа, особенно предпочтительно трифторметильная группа),
– галоген-С1-6-алкоксигруппа (предпочтительно, галоген-С1-4-алкоксигруппа),
– -NR123R124 (где R123 и R124 имеют значения, указанные выше, и, в частности, он может быть ди-С1-4-алкиламиногруппой),
– насыщенное 5-членное или 6-членное гетероциклическое кольцо, которое содержит, по меньшей мере, один атом азота (предпочтительно, пиперидиногруппа, пирролидиногруппа или морфолиногруппа, которая может быть замещена оксогруппой) и которое может быть замещено группой-заместителем, выбранной из С1-6-алкоксигруппы, С1-6-алкоксикарбонильной группы и С1-6-алкильной группы (где С1-6-алкильная группа может быть замещена С1-6-алкоксигруппой), или
– пиперидилоксигруппа, которая может быть замещена С1-6-алкоксикарбонильной группой.
[Группа-заместитель, предпочтительная для насыщенной гидрокарбоциклической группы в кольце Р2]
– С1-6-алкильная группа (где С1-6-алкильная группа может быть замещена гидроксильной группой или С1-6-алкоксигруппой),
– С1-6-алкоксигруппа (где С1-6-алкоксигруппа может быть замещена карбоксильной группой, С1-6-алкоксикарбонильной группой, карбамоильной группой),
– аралкоксигруппа,
– -NR123R124 (где R123 и R124 имеют значения, указанные выше),
– оксогруппа,
– С3-6-циклоалкил-С1-6-алкоксигруппа,
– С3-6-циклоалкилоксигруппа или
– насыщенное 5-членное или 6-членное гетероциклическое кольцо, содержащее, по меньшей мере, один атом азота (предпочтительно, пиперидиногруппа, пирролидиногруппа, морфолиногруппа, которая может быть замещена оксогруппой),
[Заместители, особенно предпочтительные для насыщенной гидрокарбоциклической группы в кольце Р2]
– С1-6-алкильная группа (особенно, С1-4-алкильная группа),
– С1-6-алкоксигруппа (особенно, С1-4-алкоксигруппа) или
[Заместители, предпочтительные для насыщенной гетероциклической группы в кольце Р2]
– C1-6-алкильная группа (где С1-6-алкильная группа может быть замещена гидроксильной группой или С1-6-алкоксигруппой),
– С1-6-алкоксигруппа,
– карбамоильная группа или
– ацильная группа.
[Заместители, предпочтительные для ароматической гетероциклической группы в кольце Р2]
– атом галогена,
– С1-6-алкильная группа или
– галоген-С1-6-алкильная группа.
«Фармацевтически приемлемой солью» может быть любой тип соли, пока она является нетоксичной солью соединения, представленного вышеуказанной общей формулой [1], и может быть получена взаимодействием его, например, с неорганической кислотой, такой как хлористоводородная кислота, серная кислота, фосфорная кислота или бромистоводородная кислота; органической кислотой, такой как щавелевая кислота, малоновая кислота, лимонная кислота, фумаровая кислота, молочная кислота, яблочная кислота, янтарная кислота, винная кислота, уксусная кислота, трифторуксусная кислота, глюконовая кислота, аскорбиновая кислота, метилсульфоновая кислота или бензилсульфоновая кислота; неорганическим основанием, таким как гидроксид натрия, гидроксид калия, гидроксид кальция, гидроксид магния или гидроксид аммония; органическим основанием, таким как метиламин, диэтиламин, триэтиламин, триэтаноламин, этилендиамин, трис(гидроксиметил)метиламин, гуанидин, холин или цинхонин, или аминокислотой, такой как лизин, аргинин или аланин. Гидратированное соединение, гидрат и сольват каждого соединения также включены в настоящее изобретение.
Кроме того, соединение, представленное вышеуказанной общей формулой [1], существует в виде различных изомеров. Например, изомер Е и изомер Z существуют в виде геометрических изомеров и, когда имеется асимметрический атом углерода, на его основе существуют энантиомеры и диастереомеры как стереоизомеры, существуют также таутомеры. Следовательно, все эти изомеры и их смеси включены в диапазон настоящего изобретения. Кроме того, настоящее изобретение, помимо соединения, представленного вышеуказанной общей формулой [1], включает также пролекарственные производные этих соединений и метаболитные соединения в качестве эквивалентных соединений.
«Пролекарство» является производным соединения настоящего изобретения, содержащим группу, которая может быть удалена расщеплением химическим или метаболическим методом, и после введения в живой организм оно превращается посредством химического превращения в соединение, которое имеет активность в качестве лекарственного средства и обладает первоначальным фармакологическим действием, включены также комплексы и соли, образованные нековалентной связью.
Пролекарство применяют для повышения абсорбции при пероральном введении или для нацеливания в место-мишень. Остатки, которые нужно модифицировать для образования пролекарства, включают реакционноспособные функциональные группы, такие как гидроксильная группа, карбоксильная группа, аминогруппа и тиольная группа, в соединении настоящего изобретения. Конкретные примеры модифицирующей группы для гидроксильной группы включают ацетильную группу, пропионильную группу, изобутирильную группу, пивалоильную группу, бензоильную группу, 4-метилбензоильную группу, диметилкарбамоильную группу, сульфогруппу и т.д. Конкретные примеры модифицирующей группы для карбоксильной группы включают этильную группу, пивалоилоксиметильную группу, 1-(ацетилокси)этильную группу, 1-(этоксикарбонилокси)этильную группу, 1-(циклогексилоксикарбонилокси)этильную группу, карбоксилметильную группу, метил-(5-метил-2-оксо-1,3-диоксол-4-ильную) группу, фенильную группу, о-толильную группу и т.д. Конкретные примеры модифицирующей группы для аминогруппы включают гексилкарбамоильную группу, 3-метилтио-1-(ацетиламино)пропилкарбонильную группу, 1-сульфо-1-(3-этокси-4-гидроксифенил)метильную группу, метил-(5-метил-2-оксо-1,3-диоксол-4-ильную) группу и т.д.
«Фармацевтическая композиция включает комбинацию лекарственного средства с другими лекарственными средствами и т.д., помимо так называемой «композиции», которая включает активный ингредиент в качестве лекарственного средства и комбинаторный агент и т.д. Излишне указывать, что фармацевтическую композицию настоящего изобретения можно применять в комбинации с любым типом других лекарственных средств при условии, что его разрешают применять в медицинской практике. Поэтому можно сказать, что данная фармацевтическая композиция является фармацевтической композицией для комбинированного применения с другими лекарственными средствами.
«Боль» означает каждый тип болевого состояния, вне зависимости от того, каким является состояние (например, не имеет значения, является ли оно ноющей болью или острой болью, хронической или острой болью и т.д.), вне зависимости от того, какое заболевание вызывает боль (например, не имеет значения, является ли боль результатом ревматизма или боль является результатом рака и т.д.). Следовательно, термин «боль», применяемый здесь, включает помимо так называемой «боли» острую боль, хроническую боль, невропатическую боль, боль ревматоидного артрита, невралгию, невропатию, гипералгезию, мигрень, боль суставов, острую постгерпетическую невралгию, постгерпетическую невралгию, хроническую постгерпетическую невралгию, послеоперационную боль, раковую боль, воспалительную боль, интерстициальный цистит, посттравматическую невралгию, диабетическую невропатию и нейродегенеративное заболевание.
«Ингибитор активности подтипа 1 рецептора ваниллоида (VR1) означает вещество, которое ингибирует функцию подтипа 1 рецептора ваниллоида в качестве ионного канала и элиминирует или ослабляет его активность. Конкретно, он включает антагонист подтипа 1 рецептора ваниллоида и т.д. Антагонист подтипа 1 рецептора ваниллоида означает вещество, которое ингибирует действие агониста, который действует на подтип 1 рецептора ваниллоида, тем самым ингибируя функцию подтипа 1 рецептора ваниллоида в качестве ионного канала. Ингибитор настоящего изобретения не конкурирует с агонистом, но может также ингибировать функцию VR1 в качестве ионного канала. Конкретно, агонисты, которые действуют на подтип 1 рецептора ваниллоида включают капсаицин, производные капсаицина, кислотную стимуляцию (протоном), тепловую стимуляцию и т.д., ингибитором активности подтипа 1 рецептора ваниллоида (VR1) может быть вещество, которое ингибирует втекание Са2+ в клетку, вызванное стимуляцией агониста капсаицина, кислотной стимуляцией (протоном) или тепловой стимуляцией.
Фармацевтическую композицию настоящего изобретения можно вводить человеку, а также другим млекопитающим (мыши, крысе, хомячку, кролику, кошке, собаке, корове, лошади, овце, обезьяне и т.д.). Следовательно, фармацевтическая композиция настоящего изобретения является также применимой в качестве лекарственного средства для животного, не говоря уже о человеке.
Когда соединение настоящего изобретения применяют в виде фармацевтического препарата, его можно смешать с фармакологически приемлемым носителем, обычно известным самим по себе эксципиентом, разбавителем, наполнителем, дезинтегрирующим агентом, стабилизатором, консервантом, буфером, эмульгатором, отдушкой, красителем, подслащивающим веществом, загустителем, корригентом, вспомогательным для растворения агентом и другими дополнительными агентами, особенно с водой, растительным маслом, спиртом, таким как этанол или бензиловый спирт, углеводами, такими как полиэтиленгликоль, триацетат глицерина, желатином, лактозой и крахмалом, стеаратом магния, тальком, ланолином, вазелином и т.д., для получения лекарственного средства в такой форме, как таблетка, пилюля, порошок, гранула, суппозиторий, агент для инъекции, глазные капли, жидкий медикамент, агент в виде капсулы, пастилка, аэрозольный агент, эликсирный агент, суспензия, эмульсия и сироп, для системного или местного введения пероральным или парентеральным путем.
Хотя доза варьирует в зависимости от возраста, массы, состояния, терапевтического действия, методов введения и т.д., препарат обычно вводят при дозе в диапазоне 0,01 мг – 1 г на дозу, при введении от 1 раза до нескольких раз в день взрослым людям в форме перорального препарата или препарата для инъекции, такой как внутривенная инъекция, и т.д.
«Профилактикой» является так называемая профилактика, и она означает, например, задержку начала невралгии или хронического состояния невралгии профилактическим образом. Что касается боли, конкретно включенной является профилактическая задержка начала острой постгерпетической невралгии, начала постгерпетической невралгии, превращения острой герпетической боли в постгерпетическую невралгию, хронического состояния постгерпетической невралгии, начала послеоперационной боли, хронического состояния послеоперационной боли, начала появления симптомов раковой боли, хронического состояния раковой боли, начала появления симптомов воспалительной боли, начала интерстициального цистита, хронического состояния воспалительной боли, начала посттравматической невралгии или хронического состояния посттравматической невралгии.
«Лекарственное средство, включающее комбинацию», означает лекарственное средство, отличающееся тем, что оно является препаратом, содержащим фармацевтическую композицию или агент, который нужно комбинировать, лекарственное средство, отличающееся тем, что оно является набором, включающим фармацевтическую композицию или агент, который нужно комбинировать, лекарственное средство, отличающееся тем, что фармацевтическую композицию или агент, который нужно комбинировать, вводят через одинаковые или разные пути введения соответственно.
Соединение и фармацевтическую композицию настоящего изобретения можно применять в комбинации с одним или несколькими другими агентами по общему методу, в настоящее время применяемому в обычной медицинской практике. При применении в комбинации применяемое лекарственное средство можно вводить с другими агентами одновременно или раздельно с временной задержкой. Хотя имеются различные соединения, которые можно применять в комбинации с соединением настоящего изобретения, особенно предпочтительными являются противовирусный агент, антидепрессант, противосудорожное средство, антиаритмическое лекарственное средство, местное анестезирующее средство, анестезирующее лекарственное средство, антагонист рецептора N-метил-D-аспартата, кортикальный стероид надпочечников, средство для блокирования нерва, нестероидное противовоспалительное аналгезирующее средство, наркотические средства, аналгетик-антагонист, агонист рецептора 2-адреналина, метод анальгезии стимуляции, лекарственные средства для наружного применения, антагонист кальциевых каналов и открыватель калиевых каналов.
Противовирусный агент конкретно включает видарабин, ацикловир, ганцикловир, зидовудин, диданозид, амантадин и идоксуридин, интерферон и т.д.
Антидепрессант конкретно включает амитриптилин, амипрамин, кломипрамин, тримипрамин, лофепрамин, досулепин, дезипрамин, амоксапин, нортриптилин, флуоксетин, флувоксамин, мапротилин, миансерин, сетиптилин, тразодон и т.д.
Противосудорожное средство конкретно включает габапентин, прегабалин, фенобарбитал, примидон, фенитоин, мефенитоин, нирванол, этотоин, триметадион, этозуксимид, ацетилфенетурид, карбамазепин, зонизамид, ацетазоламид, диазепам, клоназепам, нитразепам, дифенилгидантоин, валпроевая кислота, баклофен и т.д.
Антиаритмическое лекарственное средство конкретно включает хинидин, дизопирамид, прокаинамид, аймалин, праймалиум, цибензолин, лидокаин, мексилетин, априндин, тоникаид, фенитоин, флекаинид, пилцикаинид, пропафенон, пропранолол, амиодарон, верапамил, бепридил и т.д.
Местный анестетик конкретно включает лидокаин, мексилетин, кокаин, прокаин, бупивакаин, мепивакаин, прилокаин, тетракаин, дибукаин, этиламинобензоат и т.д.
Анестезирующее лекарственное средство конкретно включает бензодиазепин, диазепам, мидазолам, тиопентал, тиамилал, пропофол, баклофен, дроперидол, суфентанил и т.д. Антагонист рецептора N-метил-D-аспартата конкретно включает кетамин, декстрометорфан, мемантин, амантадин и т.д.
Кортикальный стероид надпочечников конкретно включает кортизол, кортизон, преднизолон, триамцинолон, дексаметазон, бетаметазон, параметазон, флуоцинолона ацетонид, флуоцинонид, беклометазон, флудрокортизон и т.д.
Средство для блокирования нерва конкретно включает средство для блокирования шейно-грудного ганглия, средство для блокирования эпидурального ганглия, средство для блокирования ганглия плечевого сплетения, средство для блокирования нервных корешков, средство для блокирования грудного/поясничного симпатического ганглия, средство для блокирования курковых зон, средство для блокирования субарахноидального ганглия, средство для блокирования тройничного нерва, средство для блокирования симпатических нервов, средство для блокирования локальной инфильтрации, средство для блокирования периферических нервов и т.д.
Нестероидный противовоспалительный аналгетик конкретно включает целекоксиб, рофекоксиб, этодолак, метоксикам, нимезулид, натрий диклофенак, мефенамовую кислоту, залтопрофен, натрий локсопрофен, сулиндак, набуметон, дифлунизал, пироксикам, ибупрофен, напроксен, фенопрофен, ацетилсалициловую кислоту, толметин, индометацин, флурбипрофен, оксапрозин, кетопрофен, мофезолак, ацетаминофен, кеторолак, зомепирак, нитроаспирин, тиапрофен, ампироксикам, тиарамид, эпиризол и т.д.
Наркотические средства конкретно включают морфин, фентанил, оксикодон, метадон, кодеин, кокаин, петидин, опиум, ипекак и т.д.
Анальгетик-антагонист конкретно включает пентагин, бупренорфин, налорфин, циклазоцин, буторфанол и т.д.
Агонист рецептора 2-адреналина конкретно включает клонидин, дексмедетомидин, тизанидин, гуанфацин, гуанабенз и т.д.
Лекарственное средство для наружного применения конкретно включает крем капсаицина и т.д.
Метод аналгезии стимуляции конкретно включает иглоукалывание, терапию стимулирования посредством чрескожных игольчатых электродов, чрескожную электрическую терапию стимуляции нерва, лечение путем акупунктуры с применением точечных серебряных электродов (SSP), стимул периферических нервов, электрический стимул позвоночника, электрическое лечение спазм, лазерную операцию, редко встречающуюся терапию и т.д.
Кроме того, соединение настоящего изобретения можно применять по общему методу, обычно проводимому в данной области, введением после проведения хирургической операции для профилактики или лечения боли. Хотя различные хирургические операции можно проводить в комбинации с соединением настоящего изобретения, особенно предпочтительными являются иссечение рубца, отвердение нерва замораживанием, иссечение периферического нерва, иссечение дорсальных корешков спинного мозга, симпатэктомия, деструкция входной зоны дорсальных корешков, кордотомия и иссечение лобной доли (головного мозга).
Хотя применение соединения настоящего изобретения описано в основном в качестве применения для профилактики или лечения боли, соединение настоящего изобретения можно применять для состояний, в которых принимают участие волокна С, например, зуда, аллергии и аллергического ринита, гиперактивного мочевого пузыря типа частого мочеиспускания и недержания мочи, апоплексии, синдрома раздраженной толстой кишки, респираторного недомогания, такого как астма и хроническое закупоривающее легочное заболевание, дерматита, воспаления слизистой оболочки, язвы желудка и двенадцатиперстной кишки, воспалительного заболевания кишечника и т.д.
Затем конкретно описан способ получения соединения, представленного общей формулой [1] настоящего изобретения, без необходимости указать, что настоящее изобретение не ограничивается этими способами получения. Таким образом, соединение настоящего изобретения можно синтезировать согласно следующим способам получения А, В или С, но его можно получить согласно указанным ниже примерам или ссылке на эти способы. При получении соединения настоящего изобретения порядок проведения реакций можно изменять подходящим образом. Получение можно проводить, начиная с первой стадии реакции или замены части стадий, считая, что это является рациональным. Например, кольцо Р2 можно ввести перед введением кольца Р1, и этот порядок может быть изменен на обратный. Что касается образования гетерокольца, конденсированного с кольцом бензола (бензамидной группы), реакцию замыкания кольца можно проводить с образованием этого гетерокольца перед введением кольца Р1 и/или кольца Р2 или, в альтернативном варианте, реакцию замыкания кольца можно проводить с образованием этого гетерокольца после введения кольца Р1 и/или кольца Р2. Введение защиты и снятие защиты можно подходящим образом проводить, когда имеется функциональная группа реагента. Чтобы повысить эффективность реакции, можно подходящим образом применять реагенты, другие, чем иллюстрированные реагенты.
Нижеследующая последовательность операций способа получения является примером типичного способа получения, но получение соединения настоящего изобретения конкретно не ограничивается нижеследующим способом. Каждое соединение, полученное на каждой стадии, можно выделить и очистить обычным методом, но в зависимости от случая, соединение можно применять в следующей стадии без выделения и очистки.
1. Способ получения А:

(где R представляет собой карбоксилзащитную группу (карбоксилзащитная группа здесь включает, например, метильную группу, этильную группу, пропильную группу, трет-бутильную группу, бензильную группу, пара-метоксибензильную группу и т.д.) и образует сложный эфир, который легко превращают в карбоновую кислоту реакцией гидролиза или реакцией каталитического гидрирования, Х представляет собой атом галогена, такой как атом хлора или брома, или сульфонилоксигруппу, такую как 3-нитробензолсульфонилоксигруппа, п-толуолсульфонилоксигруппа, бензолсульфонилоксигруппа, п-бромбензолсульфонилоксигруппа, метансульфонилоксигруппа или трифторметансульфонилоксигруппа, и каждый другой символ имеет значения, указанные выше).
Первая стадия
Эта стадия является реакцией получения соединения (IIIA), катализируемой палладием реакцией аминирования типа Бухвальда/Хартвига из соединения (IA) и соединения (IIA).
Соединение (IIIA) можно получить взаимодействием (IA) с соединением (IIA) в толуоле, 1,4-диоксане, тетрагидрофуране или т.п. или в смешанном растворителе из указанных растворителей с применением палладиевого катализатора, такого как смесь ацетата палладия и 2,2′-бис(дифенилфосфино)-1,1′-бинафтила, бис(дифенилфосфино)ферроценпалладийхлорида(II) или трис(дибензилиденацетон)дипалладия вместе с основанием, таким как карбонат натрия, трикалийфосфат (К3РО4), карбонат калия, карбонат цезия, бикарбонат натрия, бикарбонат калия или трет-бутоксид калия, при температуре от 20°С до температуры кипячения с обратным холодильником, предпочтительно от 60°С до температуры кипячения с обратным холодильником, в течение от 5 часов до 96 часов, предпочтительно в течение от 8 часов до 48 часов.
Когда кольцо Р1 является ароматическим гетерокольцом, таким как кольцо оксазола, тиазола или 1,3,4-тиадиазола, соединение (IIA) не применяют и реакцию построения ароматического гетерокольца проводят известным способом, и соединение переносят на вторую стадию.
Например, когда кольцом Р1 является 5-метилоксазол, соединение (IA) подвергают взаимодействию с тиофосгеном или 1,1-тиокарбонилдиимидазолом и т.д. в тетрагидрофуране, этилацетате, толуоле, воде или смешанном растворителе из указанных растворителей, в присутствии или в отсутствие основания, такого как триэтиламин, бикарбонат натрия, карбонат калия или пиридин, с образованием изотиоцианатного соединения, которому затем дают возможность взаимодействовать с 1-азидоацетоном и трифенилфосфином в растворителе, таком как дихлорметан, дихлорэтан и хлороформ, при температуре от -20°С до температуры кипячения с обратным холодильником, предпочтительно от 0°С до 50°С, в течение от 0,5 часа до 24 часов, предпочтительно от 2 часов до 8 часов, для получения соединения (IIIA).
Когда кольцо Р1 является 4-метилтиазолом, соединение (IA) подвергают взаимодействию с тиофосгеном или 1,1-тиокарбонилдиимидазолом и т.д. в тетрагидрофуране, этилацетате, толуоле, воде или смешанном растворителе из указанных растворителей в присутствии или в отсутствие основания, такого как триэтиламин, бикарбонат натрия, карбонат калия или пиридин, с образованием изотиоцианатного соединения, которому затем позволяют взаимодействовать с аммиаком в воде и т.п. с получением производного тиомочевины и этому соединению дают возможность взаимодействовать с 1-хлорацетоном, 1-бромацетоном и т.д. в растворителе, таком как метанол, этанол, тетрагидрофуран или ацетон, при температуре от -20°С до температуры кипячения с обратным холодильником, предпочтительно от 0°С до температуры кипячения с обратным холодильником, в течение от 0,5 часа до 24 часов, предпочтительно от 1 часа до 12 часов, с получением соединения (IIIA).
Вторая стадия
Эта стадия является стадией для удаления R из соединения (IIIA) и получения карбоновой кислоты (IVA).
Например, когда R представляет собой метильную группу, этильную группу, пропильную группу и т.д., соединение (IIIA) можно гидролизовать в воде, метаноле, этаноле, пропаноле, тетрагидрофуране или смешанном растворителе из указанных растворителей с применением основания, такого как гидроксид натрия, гидроксид калия, гидроксид лития, карбонат калия или карбонат натрия, при температуре от -20°С до температуры кипячения с обратным холодильником, предпочтительно от 20°С до температуры кипячения с обратным холодильником, в течение от 0,5 часа до 24 часов, предпочтительно от 0,5 часа до 8 часов, для получения соединения (IVA).
Например, когда R представляет собой трет-бутильную группу, соединение (IVA) можно получить взаимодействием соединения (IIIA) без растворителя или в воде, метаноле, этаноле, пропаноле, тетрагидрофуране или смешанном растворителе из указанных растворителей с применением кислоты, такой как хлористоводородная кислота или трифторуксусная кислота, при температуре от 0°С до температуры кипячения с обратным холодильником, предпочтительно от 0°С до 50°С в течение от 0,5 часа до 24 часов, предпочтительно от 0,5 часа до 8 часов.
Когда R представляет собой бензильную группу, пара-метоксибензильную группу и т.д., соединение (IVA) можно получить взаимодействием в метаноле, этаноле, пропаноле, тетрагидрофуране или смешанном растворителе из указанных растворителей в присутствии катализатора, палладия-на-угле, и т.д. с применением водорода или формиата аммония при температуре от приблизительно 0°С до температуры кипячения с обратным холодильником, предпочтительно от приблизительно 20°С до температуры кипячения с обратным холодильником в течение от 0,5 часа до 96 часов, предпочтительно от 1 часа до 48 часов.
Третья стадия
Эта стадия является реакцией получения соединения (1) реакцией конденсации соединения (IVA) и соединения (VA).
Реакцию конденсации можно проводить с применением конденсирующего агента или путем образования хлорангидрида кислоты и т.д.
Когда реакцию прямой конденсации проводят с применением конденсирующего агента, соединение (IVA) подвергают взаимодействию с соединением (VA) в N,N-диметилформамиде, метиленхлориде, хлороформе и т.д. или смешанном растворителе из указанных растворителей с применением конденсирующего агента, такого как дициклогексилкарбодиимид или 1-этил-3-(3-диметиламинопропил)карбодиимид, при температуре от -20°С до температуры кипячения с обратным холодильником, предпочтительно приблизительно от 0°С до 50°С в течение от 1 часа до 48 часов, предпочтительно приблизительно от 1 часа до 24 часов. В этом случае предпочтительным является добавление добавок, таких как гидроксибензотриазол или имид N-гидроксиянтарной кислоты.
Когда реакция протекает через образование хлорангидрида кислоты, соединение (IVA) подвергают взаимодействию с тионилхлоридом, оксалилхлоридом и т.д. в хлороформе, метиленхлориде, тетрагидрофуране и т.д. или смешанном растворителе из указанных растворителей с получением хлорангидрида кислоты (IVA) и ее подвергают взаимодействию с соединением (VA) в толуоле, хлороформе, тетрагидрофуране или смешанном растворителе из указанных растворителей в присутствии основания, такого как триэтиламин или пиридин, при температуре от -20°С до температуры кипячения с обратным холодильником, предпочтительно приблизительно от 0°С до 40°С в течение от 0,5 часа до 24 часов, предпочтительно приблизительно от 0,5 часа до 12 часов, с получением соединения (1).
2. Способ получения В:

Этот способ является альтернативным способом получения соединения (IIIA), в котором Z представляет собой атом кислорода в способе получения А (где Z представляет собой атом кислорода, R представляет собой С1-6-алкильную группу и образует сложный эфир, который легко превращают в карбоновую кислоту реакцией гидролиза или каталитического гидрирования, R’ представляет собой защитную группу фенольной гидроксильной группы, легко удаляемую реакцией гидролиза или каталитического гидрирования, каждый другой символ имеет значения, указанные выше).
Первая стадия
Эта стадия является реакцией получения соединения (IIВ) катализируемой палладием реакцией аминирования типа Бухвальда/Хартвига из соединения (IB) и соединения (IIA).
Соединение (IIВ) можно получить взаимодействием (IВ) с соединением (IIA) в толуоле, 1,4-диоксане, тетрагидрофуране или т.п. или в смешанном растворителе из указанных растворителей с применением палладиевого катализатора, такого как смесь ацетата палладия и 2,2′-бис(дифенилфосфино)-1,1′-бинафтила, бис(дифенилфосфино)ферроценпалладийхлорида(II) или трис(дибензилиденацетон)дипалладия вместе с основанием, таким как карбонат натрия, трикалийфосфат (К3РО4), карбонат калия, карбонат цезия, бикарбонат натрия, бикарбонат калия или трет-бутоксид калия, при температуре от 20°С до температуры кипячения с обратным холодильником, предпочтительно от 60°С до температуры кипячения с обратным холодильником, в течение от 5 часов до 96 часов, предпочтительно в течение от 8 часов до 48 часов.
Когда кольцо Р1 является ароматическим гетерокольцом, таким как кольцо оксазола, тиазола или 1,3,4-тиадиазола, соединение (IIA) не применяют и реакцию образования ароматического гетерокольца проводят известным методом, и полученное соединение переносят на вторую стадию.
Например, когда кольцом Р1 является 5-метилоксазол, соединение (IВ) подвергают взаимодействию с тиофосгеном или 1,1-тиокарбонилдиимидазолом и т.д. в тетрагидрофуране, этилацетате, толуоле, воде или смешанном растворителе из указанных растворителей, в присутствии или в отсутствие основания, такого как триэтиламин, бикарбонат натрия, карбонат калия или пиридин, с образованием изотиоцианатного соединения, которому затем дают возможность взаимодействовать с 1-азидоацетоном и трифенилфосфином в растворителе, таком как дихлорметан, дихлорэтан или хлороформ, при температуре от -20°С до температуры кипячения с обратным холодильником, предпочтительно от 0°С до 50°С, в течение от 0,5 часа до 24 часов, предпочтительно от 2 часов до 8 часов, для получения соединения (IIВ).
Когда кольцо Р1 является 4-метилтиазолом, соединение (IВ) подвергают взаимодействию с тиофосгеном или 1,1-тиокарбонилдиимидазолом и т.д. в тетрагидрофуране, этилацетате, толуоле, воде или смешанном растворителе из указанных растворителей в присутствии или в отсутствие основания, такого как триэтиламин, бикарбонат натрия, карбонат калия или пиридин, с образованием изотиоцианатного соединения, которому затем дают возможность взаимодействовать с аммиаком в воде или т.п. с получением производного тиомочевины и этому соединению дают возможность взаимодействовать с 1-хлорацетоном, 1-бромацетоном и т.д. в растворителе, таком как метанол, этанол, тетрагидрофуран или ацетон, при температуре от -20°С до температуры кипячения с обратным холодильником, предпочтительно от 0°С до температуры кипячения с обратным холодильником, в течение от 0,5 часа до 24 часов, предпочтительно от 1 часа до 12 часов, с получением соединения (IIВ).
Вторая стадия
Эта стадия является стадией для удаления R’, который является защитной группой фенольной гидроксильной группы соединения (IIВ).
Например, когда R’ представляет собой метоксиметильную группу, тетрагидропиранильную группу и т.д., соединение (IIIВ) можно получить взаимодействием соединения (IIB) без растворителя или в воде, метаноле, этаноле, изопропаноле, тетрагидрофуране, хлороформе или смешанном растворителе из указанных растворителей с применением кислоты, такой как серная кислота, хлористоводородная кислота или трифторуксусная кислота, при температуре от 0°С до температуры кипячения с обратным холодильником, предпочтительно от 0°С до 50°С, в течение от 0,5 часа до 24 часов, предпочтительно от 0,5 часа до 8 часов.
Третья стадия
Эта стадия является стадией получения циклического соединения (IIIA) из соединения (IIIB).
Например, когда l равно 1, R1 и R2 представляют собой атомы водорода и m равно 0, соединение (IIIB) подвергают взаимодействию с дигалогенреагентом, таким как 1,2-дибромэтан, 1,2-дихлорэтан или 1-бром-2-хлорэтан, в хлороформе, тетрагидрофуране, N,N-диметилформамиде, диметилсульфоксиде, этилацетате, метаноле, воде или смешанном растворителе из указанных растворителей в присутствии основания, такого как карбонат натрия, карбонат калия, гидроксид натрия, гидроксид калия или триэтиламин, при температуре от 0°С до температуры кипячения с обратным холодильником, предпочтительно от 0°С до 60°С, в течение от 0,5 часа до 24 часов с получением соединения (IIIA). В альтернативном варианте после получения оно взаимодействует с хлорангидридом галогенуксусной кислоты, таким как ацетилхлорид, с образованием циклического лактама, соединение (IIIA) можно также получить проведением реакции восстановления в тетрагидрофуране с применением реагента, комплекса боран-тетрагидрофуран и т.д. при температуре от 0°С до температуры кипячения с обратным холодильником в течение от 0,5 часа до 8 часов.
Например, когда l равно 1, R1 представляет собой гидроксиметильную группу, R2 представляет собой атом водорода и m равно 0, реакцию, аналогичную реакции с дигалогенреагентом, можно проводить с применением глицидилхлорида, глицидилтозилата или глицидилнозилата с получением соединения (IIIA). В этом случае образованную гидроксильную группу можно подвергнуть стадии введения широко применяемой защитной группы, такой как ацетильная группа, метоксиметильная группа, тетрагидропиранильная группа или бензильная группа, и продукт можно применять в последующих стадиях и можно подвергнуть снятию защиты подходящим образом для получения соединения (1).
3. Способ получения С
Этот способ является альтернативным способом получения соединения (1), в котором Z представляет собой атом кислорода в способе получения А.

(где R представляет собой С1-6-алкильную группу и образует сложный эфир, который легко превращают в карбоновую кислоту реакцией гидролиза или каталитического гидрирования, R представляет собой защитную группу аминогруппы, легко удаляемую реакцией гидролиза или каталитического гидрирования, каждый другой символ имеет значения, указанные выше).
Первая стадия
Эта стадия является стадией получения циклического соединения (IIC) из соединения (IC).
Например, когда l равно 1, R1 и R2 представляют собой атомы водорода и m равно 0, соединение (IC) подвергают взаимодействию с дигалогенреагентом, таким как 1,2-дибромэтан, 1,2-дихлорэтан или 1-бром-2-хлорэтан, в хлороформе, тетрагидрофуране, N,N-диметилформамиде, диметилсульфоксиде, этилацетате, метаноле, воде или смешанном растворителе из указанных растворителей в присутствии основания, такого как карбонат натрия, карбонат калия, гидроксид натрия, гидроксид калия или триэтиламин, при температуре от 0°С до температуры кипячения с обратным холодильником в течение от 0,5 часа до 24 часов с получением соединения (IIС).
Например, когда l равно 1, R1 представляет собой гидроксиметильную группу, R2 представляет собой атом водорода и m равно 0, соединение (IIC) можно получить с применением соединения (IC) вместе с глицидилхлоридом, глицидилтозилатом или глицидилнозилатом в реакции, аналогичной реакции с дигалогенреагентом. В этом случае образованную гидроксильную группу можно подвергнуть стадии для введения широко применяемой защитной группы, такой как ацетильная группа, метоксиметильная группа, тетрагидропиранильная группа или бензильная группа, и продукт можно применять в последующих стадиях, и защиту можно подходящим образом снять для получения соединения (1).
Вторая стадия
Эта стадия является стадией удаления R у соединения (IIC) для получения соединения карбоновой кислоты (IIIC).
Например, когда R представляет собой метильную группу, этильную группу, пропильную группу и т.д., соединение (IIIC) можно получить гидролизом соединения (IIC) в воде, метаноле, этаноле, пропаноле, тетрагидрофуране и т.д. или смешанном растворителе из указанных растворителей с применением основания, такого как гидроксид натрия, гидроксид калия, гидроксид лития, карбонат калия и карбонат натрия или водного раствора их при температуре от -20°С до температуры кипячения с обратным холодильником, предпочтительно от 20°С до температуры кипячения с обратным холодильником, в течение от 0,5 часа до 24 часов, предпочтительно в течение от 0,5 часа до 8 часов.
Например, когда R представляет собой трет-бутильную группу, соединение (IIIC) можно получить взаимодействием соединения (IIC) без растворителя или в воде, метаноле, этаноле, пропаноле или тетрагидрофуране и т.д. или смешанном растворителе из указанных растворителей с применением кислоты, такой как хлористоводородная кислота или трифторуксусная кислота, при температуре от 0°С до температуры кипячения с обратным холодильником, предпочтительно от 0°С до 50°С, в течение от 0,5 часа до 24 часов, предпочтительно от 0,5 часа до 8 часов.
Когда R представляет собой бензильную или пара-метоксибензильную группу и т.д., соединение (IIIC) можно получить взаимодействием в метаноле, этаноле, пропаноле, тетрагидрофуране и т.д. или смешанном растворителе из указанных растворителей с применением водорода или формиата аммиака в присутствии катализатора, палладия-на-угле и т.д. при температуре приблизительно от 0°С до температуры кипячения с обратным холодильником, предпочтительно приблизительно от 20°С до 50°С, в течение от 0,5 часа до 96 часов, предпочтительно от 1 часа до 48 часов.
Третья стадия
Эта стадия является стадией, в которой соединение (IVC) получают реакцией конденсации соединения (IIIC) и соединения (VA). Реакцию конденсации можно проводить либо способом с применением конденсирующего агента, либо способом через образование хлорангидрида кислоты и т.д.
Когда проводят реакцию прямой конденсации с применением конденсирующего агента, соединение (IVC) можно получить взаимодействием соединения (IIIC) с соединением (VA) в N,N-диметилформамиде, метиленхлориде, хлороформе и т.д. или смешанном растворителе из указанных растворителей с применением конденсирующего агента, такого как дициклогексилкарбодиимид или 1-этил-3-(3-диметиламинопропил)карбодиимид, при температуре от -20°С до температуры кипячения с обратным холодильником, предпочтительно приблизительно от 0°С до 50°С в течение от 1 часа до 48 часов, предпочтительно от 1 часа до 24 часов. В этом случае предпочтительным является добавление добавок, таких как гидроксибензотриазол и имид N-гидроксиянтарной кислоты.
Когда реакцию проводят через образование хлорангидрида кислоты, соединение (IIIC) подвергают взаимодействию с тионилхлоридом, оксалилхлоридом и т.д. в хлороформе, метиленхлориде, тетрагидрофуране и т.д. или смешанном растворителе из указанных растворителей с получением хлорангидрида кислоты (IIIC), и это соединение подвергают взаимодействию с соединением (VA) в толуоле, хлороформе или тетрагидрофуране и т.д. или смешанном растворителе из указанных растворителей в присутствии основания, такого как триэтиламин или пиридин, при температуре от -20°С до температуры кипячения с обратным холодильником, предпочтительно приблизительно от 0°С до 40°С в течение от 0,5 часа до 24 часов, предпочтительно от 0,5 часа до 12 часов, тем самым получая соединение (IVC).
Четвертая стадия
Эта стадия является стадией удаления аминозащитной группы R соединения (IVC) и получения соединения (VC).
Например, когда R представляет собой ацетильную группу или формильную группу, соединение (VC) можно получить взаимодействием соединения (IVC) в тетрагидрофуране, метаноле, этаноле, изопропаноле, воде или смешанном растворителе из указанных растворителей в присутствии основания, такого как гидроксид натрия, гидроксид калия, гидроксид лития или метоксид натрия, или в присутствии кислоты, такой как серная кислота, хлористоводородная кислота или трифторуксусная кислота, при температуре от -20°С до температуры кипячения с обратным холодильником, предпочтительно приблизительно от 0°С до температуры кипячения с обратным холодильником, в течение от 0,5 часа до 24 часов, предпочтительно от 0,5 часа до 8 часов.
Например, когда R представляет собой трет-бутоксикарбонильную группу, соединение (VC) можно получить взаимодействием соединения (IVC) без растворителя или в тетрагидрофуране, метаноле, этаноле, изопропаноле, хлороформе, воде или смешанном растворителе из указанных растворителей в присутствии кислоты, такой как хлористоводородная кислота или трифторуксусная кислота, при температуре от 0°С до температуры кипячения с обратным холодильником, предпочтительно приблизительно от 0°С до 50°С, в течение от 0,5 часа до 24 часов, предпочтительно от 0,5 часа до 8 часов.
Когда R’ представляет собой бензилоксикарбонильную группу, бензильную группу и т.д., соединение (VC) можно получить взаимодействием соединения (IVC) в метаноле, этаноле, пропаноле, тетрагидрофуране и т.д. или смешанном растворителе из указанных растворителей с применением водорода или формиата аммония в присутствии катализатора, палладия-на-угле и т.д., при температуре приблизительно от 0°С до температуры кипячения с обратным холодильником, предпочтительно приблизительно от 20°С до 50°С в течение от 0,5 часа до 96 часов, предпочтительно от 1 часа до 48 часов.
Пятая стадия
Эта стадия является реакцией получения соединения (1) катализируемой палладием реакцией аминирования типа Бухвальда/Хартвига из соединения (VC) и соединения (IIA).
Соединение (1) можно получить взаимодействием (VC) с соединением (IIA) в толуоле, 1,4-диоксане, тетрагидрофуране или т.п. или в смешанном растворителе из указанных растворителей с применением палладиевого катализатора, такого как смесь ацетата палладия и 2,2′-бис(дифенилфосфино)-1,1′-бинафтила, бис(дифенилфосфино)ферроценпалладийхлорида(II) или трис(дибензилиденацетон)дипалладия вместе с основанием, таким как карбонат натрия, трикалийфосфат (К3РО4), карбонат калия, карбонат цезия, бикарбонат натрия, бикарбонат калия или трет-бутоксид калия, при температуре от 20°С до температуры кипячения с обратным холодильником, предпочтительно от 60°С до температуры кипячения с обратным холодильником, в течение от 5 часов до 96 часов, предпочтительно в течение от 8 часов до 48 часов.
Когда кольцо Р1 является ароматическим гетерокольцом, таким как кольцо оксазола, тиазола или 1,3,4-тиадиазола, соединение (IIA) не применяют и реакцию образования ароматического гетерокольца проводят известным способом и соединение переносят на вторую стадию.
Когда кольцом Р1 является 5-метилоксазол, соединение (VC) подвергают взаимодействию с тиофосгеном или 1,1-тиокарбонилдиимидазолом и т.д. в тетрагидрофуране, этилацетате, толуоле, воде и т.д. или смешанном растворителе из указанных растворителей, в присутствии или в отсутствие основания, такого как триэтиламин, бикарбонат натрия, карбонат калия или пиридин, с образованием изотиоцианатного соединения, которому затем дают возможность взаимодействовать с 1-азидоацетоном и трифенилфосфином в растворителе, таком как дихлорметан, дихлорэтан и хлороформ, при температуре от -20°С до температуры кипячения с обратным холодильником, предпочтительно от 0°С до 50°С, в течение от 0,5 часа до 24 часов, предпочтительно от 2 часов до 8 часов, получая при этом соединение (1).
Когда кольцо Р1 является 4-метилтиазолом, соединение (VC) подвергают взаимодействию с тиофосгеном или 1,1-тиокарбонилдиимидазолом и т.д. в тетрагидрофуране, этилацетате, толуоле, воде и т.д. или смешанном растворителе из указанных растворителей в присутствии или в отсутствие основания, такого как триэтиламин, бикарбонат натрия, карбонат калия или пиридин, с образованием изотиоцианатного соединения, которому затем дают возможность взаимодействовать с аммиаком в воде и т.п. с получением производного тиомочевины и этому соединению дают возможность взаимодействовать с 1-хлорацетоном, 1-бромацетоном и т.д. в растворителе, таком как метанол, этанол, тетрагидрофуран или ацетон, при температуре от -20°С до температуры кипячения с обратным холодильником, предпочтительно от 0°С до температуры кипячения с обратным холодильником, в течение от 0,5 часа до 24 часов, предпочтительно от 1 часа до 12 часов, получая при этом соединение (1).
Пример 1
Пример 1-001
Получение N-(4-трет-бутилфенил)-4-(3-хлорпиридин-2-ил)-3,4-дигидро-2Н-бензо[1,4]оксазин-8-карбоксамида
Первая стадия
Получение метил-3-нитросалицилата
3-Нитросалициловую кислоту (7,5 г) растворяют в метаноле (75 мл), добавляют концентрированную серную кислоту (2 мл) и смесь кипятят с обратным холодильником в течение 24 часов. Реакционную смесь оставляют для охлаждения и осажденное бледно-желтое твердое вещество собирают фильтрованием, промывают водой и сушат в вакууме, получая при этом указанное в заголовке соединение (7,19 г).
Вторая стадия
Получение метил-3-аминосалицилата
Метил-3-нитросалицилат (7,19 г), полученный в первой стадии, растворяют в тетрагидрофуране (100 мл) и добавляют этилацетат (50 мл), 5% палладий-на-угле (содержание воды 50%) (0,70 г) и смесь перемешивают при комнатной температуре в течение 2 часов в атмосфере водорода. Из реакционной смеси палладий-на-угле отделяют фильтрованием, фильтрат концентрируют и добавляют н-гексан. Осажденное белое твердое вещество отделяют фильтрованием и сушат, получая при этом указанное в заголовке соединение (5,59 г).
Третья стадия
Получение метил-3-хлорацетиламиносалицилата
Метил-3-аминосалицилат (5,59 г), полученный во второй стадии, растворяют в хлороформе (100 мл), добавляют водный насыщенный гидрокарбонат натрия (50 мл), далее при энергичном перемешивании и при охлаждении льдом добавляют хлорацетилхлорид (3,2 мл), затем смесь перемешивают в течение 1,5 часа при охлаждении льдом. Реакционную смесь выдерживают для разделения слоев, слой хлороформа сушат над безводным сульфатом магния и концентрируют, получая при этом указанное в заголовке соединение (белое твердое вещество, 8,07 г).
Четвертая стадия
Получение метил-3,4-дигидро-3-оксо-2Н-бензо[1,4]оксазин-8-карбоксилата
Метил-3-хлорацетиламиносалицилат (8,07 г), полученный в третьей стадии, растворяют в N,N-диметилформамиде (80 мл), добавляют карбонат калия (9,15 г) и смесь перемешивают при 80°С в течение 1 часа. Реакционную суспензию концентрируют и осадок белого твердого вещества, полученного добавлением воды, отделяют фильтрованием, промывают водой и сушат, получая при этом указанное в заголовке соединение (6,37 г).
Пятая стадия
Получение метил-3,4-дигидро-2Н-бензо[1,4]оксазин-8-карбоксилата
Метил-3,4-дигидро-3-оксо-2Н-бензо[1,4]оксазин-8-карбоксилат (2,07 г), полученный в четвертой стадии, суспендируют в тетрагидрофуране (20 мл), при охлаждении льдом и перемешивании добавляют 1 М раствор комплекса боран-тетрагидрофуран в тетрагидрофуране (12 мл) и смесь кипятят с обратным холодильником в течение 1 часа в потоке аргона. Реакционную смесь охлаждают на льду, воду (10 мл) и ацетон (5 мл) добавляют в указанном порядке для остановки реакции, затем добавляют 6 н. хлористоводородную кислоту (10 мл) и смесь перемешивают в течение 1 часа. рН реакционной смеси регулируют до 8-9 добавлением 4 н. гидроксида натрия и водного насыщенного гидрокарбоната натрия и смесь экстрагируют этилацетатом. Слой этилацетата промывают водой и насыщенным раствором хлорида натрия в указанном порядке, сушат над безводным сульфатом натрия и концентрируют, получая при этом указанное в заголовке соединение (1,82 г) в виде бесцветного масла.
Шестая стадия
Получение метил-4-(3-хлорпиридин-2-ил)-3,4-дигидро-2Н-бензо [1,4]оксазин-8-карбоксилата
Метил-3,4-дигидро-2Н-бензо[1,4]оксазин-8-карбоксилат (0,58 г), полученный в пятой стадии, растворяют в толуоле (7,5 мл), добавляют 2,3-дихлорпиридин (0,44 г), трис(дибензилиденацетон)дипалладий (69 мг), 2,2′-бис(дифенилфосфино)-1,1′-бинафтил (93 мг) и карбонат цезия (1,47 г) в указанном порядке и смесь перемешивают при 80°С в течение 24 часов. Снова добавляют 2,3-дихлорпиридин (0,44 г), трис(дибензилиденацетон)дипаллдий (69 мг) и 2,2′-бис(дифенилфосфино)-1,1′-бинафтил (93 мг) и перемешивание дополнительно продолжают в течение 15 часов при чрезмерном нагревании. После охлаждения реакционную смесь распределяют между этилацетатом и водой. Полученный слой этилацетата промывают насыщенным раствором хлорида натрия, сушат над безводным сульфатом натрия и затем концентрируют. Полученный таким образом остаток очищают применением хроматографии с силикагелем (гексан:тетрагидрофуран = 3:1), получая при этом указанное в заголовке маслянистое соединение оранжевого цвета (0,53 г).
Седьмая стадия
Получение 4-(3-хлорпиридин-2-ил)-3,4-дигидро-2Н-бензо[1,4]оксазин-8-карбоновой кислоты
Метил-4-(3-хлорпиридин-2-ил)-3,4-дигидро-2Н-бензо[1,4]оксазин-8-карбоксилат (0,53 г), полученный в шестой стадии, растворяют в метаноле (5 мл), добавляют 4 М раствор гидроксида натрия и смесь перемешивают при 60°С в течение 1 часа при нагревании. После охлаждения реакционную смесь нейтрализуют добавлением 1 М хлористоводородной кислоты (4 мл), добавляют воду (20 мл), осажденное твердое вещество отделяют фильтрованием и сушат, получая при этом указанное в заголовке бледно-оранжевое твердое вещество (0,43 г).
Восьмая стадия
Получение N-(4-трет-бутилфенил)-4-(3-хлорпиридин-2-ил)-3,4-дигидро-2Н-бензо[1,4]оксазин-8-карбоксамида
4-(3-Хлорпиридин-2-ил)-3,4-дигидро-2Н-бензо[1,4]оксазин-8-карбоновую кислоту (0,43 г), полученную в седьмой стадии, растворяют в N,N-диметилформамиде (5 мл), добавляют 4-трет-бутиланилин (0,24 г), 1-гидроксибензотриазол (0,25 г) и гидрохлорид 1-этил-3-(3-диметиламинопропил)карбодиимида (0,31 г) в указанном порядке и смесь перемешивают при комнатной температуре в течение 1 часа. После добавления воды и насыщенного раствора гидрокарбоната натрия смесь экстрагируют этилацетатом. Слой этилацетата промывают насыщенным раствором хлорида натрия, сушат над безводным сульфатом натрия и затем концентрируют. Полученный таким образом остаток очищают с применением хроматографии на силикагеле (гексан:этилацетат = 3:2), получая при этом указанное в заголовке аморфное твердое соединение (0,42 г).
1H-ЯМР (400 МГц, CDCl3): =1,33 (с, 9 H), 3,88-3,97 (м, 2H), 4,57-4,65 (м, 2H), 6,66 (дд, J=8,00, 1,28 Гц, 1H), 6,90 (т, J=7,88 Гц, 1H), 7,11 (дд, J=7,88, 4,87 Гц, 1H), 7,38 (д, J=8,58 Гц, II H), 7,60 (д, J=8,58 Гц, 2H), 7,77-7,82 (м, 2H), 8,37 (дд, J=4,75, 1,28 Гц, 1H), 9,57 (с, 1H).
Пример 1-002
Получение 8-(4-трет-бутилфенил)карбамоил-4-(3-хлорпиридин-2-ил)-3,4-дигидро-2Н-бензо[1,4]оксазин-2-карбоновой кислоты
Первая стадия
Получение N-(4-трет-бутилфенил)-3-нитро-2-гидроксибензамида
3-Нитросалициловую кислоту (10,0 г) растворяют в метиленхлориде (100 мл), добавляют оксалилхлорид (6,2 мл) и N,N-диметилформамид (0,1 мл) и смесь перемешивают при комнатной температуре в течение 2 часов. Реакционную смесь концентрируют и концентрат добавляют к раствору 4-трет-бутиланилина (5,2 г) и триэтиламина (5,1 мл) в ацетонитриле (100 мл), затем смесь перемешивают при комнатной температуре в течение 3 часов. После концентрирования реакционной смеси реакционную смесь распределяют между хлороформом и водой. Полученный слой хлороформа промывают водой, сушат над безводным сульфатом натрия и затем концентрируют. Полученный таким образом остаток очищают с применением хроматографии на силикагеле (гексан-этилацетат = 1:1), получая при этом указанное в заголовке соединение (3,0 г).
Вторая стадия
Получение 3-амино-N-(4-трет-бутилфенил)-2-гидроксибензамида
N-(4-трет-Бутилфенил)-3-нитро-2-гидроксибензамид (3,0 г), полученный в первой стадии, растворяют в метаноле (100 мл), добавляют гексагидрат хлорида железа(III) (0,27 г) и активный уголь (0,5 г), смесь перемешивают при 80°С и добавляют по каплям гидразингидрат (2,6 мл). После перемешивания при нагревании в течение 1 часа реакционную смесь охлаждают и нерастворимое вещество отделяют фильтрованием, затем растворитель выпаривают в вакууме. Остаток распределяют между этилацетатом и водой. Полученный слой этилацетата промывают насыщенным раствором хлорида натрия, сушат над безводным сульфатом магния и затем концентрируют. Полученный таким образом остаток растворяют в этилацетате, добавляют н-гексан, осажденное твердое вещество отделяют фильтрованием и сушат, получая при этом указанное в заголовке соединение (1,61 г).
Третья стадия
Получение этил-8-(4-трет-бутилфенил)карбамоил-3,4-дигидро-2Н-бензо[1,4]оксазин-8-карбоксилата
3-Амино-N-(4-трет-бутилфенил)-2-гидроксибензамид (1,6 г), полученный во второй стадии, растворяют в ацетоне (20 мл), добавляют этил-2,3-дибромпропионат (2,2 г) и карбонат калия (2,3 г) и смесь перемешивают при комнатной температуре в течение 16 часов. Реакционную смесь концентрируют, добавляют воду и осажденное твердое вещество отделяют фильтрованием. Полученное таким образом твердое вещество суспендируют в смешанном растворителе из этилацетата и н-гексана и промывают таким смешанным растворителем, отделяют фильтрованием и сушат, получая при этом указанное в заголовке соединение (1,67 г).
Четвертая стадия
Получение этил-8-(4-трет-бутилфенил)карбамоил-4-(3-хлорпиридин-2-ил)-3,4-дигидро-2Н-бензо[1,4]оксазин-2-карбоксилата
Этил-8-(4-трет-бутилфенил)карбамоил-3,4-дигидро-2Н-бензо[1,4]оксазин-2-карбоксилат (1,66 г), полученный в третьей стадии, растворяют в толуоле (10 мл), добавляют 2,3-дихлорпиридин (0,64 г), трис(дибензилиденацетон)дипалладий (394 мг), 2,2′-бис(дифенилфосфино)-1,1′-бинафтил (270 мг) и карбонат цезия (3,5 г) в указанном порядке и смесь перемешивают при 80°С в течение 24 часов. Реакционную смесь разбавляют этилацетатом (10 мл), добавляют активный уголь (1 г) и смесь перемешивают и фильтруют через целит. Фильтрат концентрируют и очищают с применением хроматографии на силикагеле (градиентное элюирование смесью н-гексан-этилацетат), получая при этом указанное в заголовке светло-желтое твердое вещество (1,03 г).
Пятая стадия
Получение 8-(4-трет-бутилфенил)карбамоил-4-(3-хлорпиридин-2-ил)-3,4-дигидро-2Н-бензо[1,4]оксазин-2-карбоновой кислоты
Этил-8-(4-трет-бутилфенил)карбамоил-4-(3-хлорпиридин-2-ил)-3,4-дигидро-2Н-бензо[1,4]оксазин-8-карбоксилат (1,03 г), полученный в четвертой стадии, растворяют в тетрагидрофуране (10 мл) и этаноле (10 мл), добавляют 2 М гидроксид натрия (2 мл) и смесь перемешивают при комнатной температуре в течение 3 часов. Реакционную смесь концентрируют, добавляют воду (20 мл), смесь нейтрализуют добавлением 1 н. гидросульфата натрия и осажденное твердое вещество отделяют фильтрованием. Полученное таким образом твердое вещество суспендируют и промывают смешанным растворителем из этилацетата и н-гексана, отделяют фильтрованием и сушат, получая при этом указанное в заголовке соединение (0,60 г).
1H-ЯМР (400 МГц, ДМСО-d6): =1,29 (м, 9H), 3,62 (м, 1H), 4,18 (м, 1H), 4,70 (м, 1H), 6,47 (дд, J=8,07, 1,47 Гц, 1H), 6,79 (т, J=7,89 Гц, 1H), 7,21-7,35 (м, 4H), 7,84-7,92 (м, 2H), 7,98 (дд, J=7,70, 1,47 Гц, 1H), 8,43 (дд, J=4,99, 1,51 Гц, 1H), 12,34 (с, 1H).
Пример 1-003
Получение N-(4-трет-бутилфенил)-4-(3-хлорпиридин-2-ил)-3-метил-3,4-дигидро-2Н-бензо[1,4]оксазин-8-карбоксамида
Первая стадия
Получение метил-3-нитро-2-(2-оксопропокси)бензоата
Метил-3-нитросалицилат (1,95 г), полученный в первой стадии примера 1-001, растворяют в N,N-диметилформамиде (20 мл), добавляют карбонат калия (2,73 г) и бромацетон (1,1 мл) и смесь перемешивают при комнатной температуре на протяжении ночи. Реакционную смесь распределяют между водой и этилацетатом и слой этилацетата промывают дважды насыщенным раствором хлорида натрия, сушат над безводным сульфатом натрия и концентрируют, получая при этом указанное в заголовке коричневатое маслянистое вещество (2,46 г).
Вторая стадия
Получение метил-3-метил-3,4-дигидро-2Н-бензо[1,4]оксазин-8-карбоксилата
Метил-3-нитро-2-(2-оксопропокси)бензоат (2,46 г), полученный в первой стадии, растворяют в тетрагидрофуране (25 мл), добавляют 10% палладий-на-угле (содержащий 50% воды) (0,25 г) и смесь перемешивают при комнатной температуре в течение 24 часов в атмосфере водорода. Катализатор отделяют от реакционной смеси фильтрованием и фильтрат концентрируют. Концентрат очищают с применением хроматографии на силикагеле (н-гексан:этилацетат = 1:1), получая при этом указанное в заголовке желтоватое маслянистое вещество (0,45 г).
Третья стадия
Получение метил-4-(3-хлорпиридин-2-ил)-3-метил-3,4-дигидро-2Н-бензо[1,4]оксазин-8-карбоксилата
Метил-3-метил-3,4-дигидро-2Н-бензо[1,4]оксазин-8-карбоксилат (0,62 г), полученный способом второй стадии, подвергают взаимодействию методом, аналогичным методу в четвертой стадии в примере 2, и продукт очищают с применением хроматографии на силикагеле (н-гексан:ацетон = 5:1), получая при этом указанное в заголовке бледно-желтоватое маслянистое вещество (0,10 г).
Четвертая стадия
Получение 4-(3-хлорпиридин-2-ил)-3-метил-3,4-дигидро-2Н-бензо[1,4]оксазин-8-карбоновой кислоты
Метил-4-(3-хлорпиридин-2-ил)-3-метил-3,4-дигидро-2Н-бензо[1,4]оксазин-8-карбоксилат (0,09 г), полученный в третьей стадии, растворяют в тетрагидрофуране (1 мл) и добавляют метанол (1 мл), 4 М раствор гидроксида натрия (0,5 мл) и смесь перемешивают при 60°С в течение 1 часа. Реакционную смесь нейтрализуют 1 М хлористоводородной кислотой и растворитель выпаривают в вакууме. Остаток распределяют между водой и этилацетатом и слой этилацетата промывают насыщенным раствором хлорида натрия, сушат над безводным сульфатом натрия и концентрируют, получая при этом указанное в заголовке бледно-желтоватое маслянистое вещество (75 мг).
Пятая стадия
Получение N-(4-трет-бутилфенил)-4-(3-хлорпиридин-2-ил)-3-метил-3,4-дигидро-2Н-бензо[1,4]оксазин-8-карбоксамида
4-(3-Хлорпиридин-2-ил)-3-метил-3,4-дигидро-2Н-бензо[1,4]оксазин-8-карбоновую кислоту (75 мг), полученную в четвертой стадии, подвергают взаимодействию методом, аналогичным методу в восьмой стадии в примере 1-001, и добавляют воду и насыщенный водный раствор гидрокарбоната натрия в указанном порядке. Осажденное бледно-коричневатое твердое вещество отделяют фильтрованием и сушат, получая при этом указанное в заголовке соединение (95 мг).
1H-ЯМР (400 МГц, ДМСО-d6): =1,23 (д, J=6,49 Гц, 3H), 1,28 (с, 9H), 4,07-4,15 (м, 1H), 4,22-4,32 (м, 2H), 6,38 (дд, J=8,12, 1,62 Гц, 1H), 6,80 (т, J=7,88 Гц, 1H), 7,04 (дд, J=7,54, 1,51 Гц, 1H), 7,31-7,39 (м, 3H), 7,64-7,71 (м, 2H), 8,07 (дд, J=7,88, 1,62 Гц, 1H), 8,45 (дд, J=4,64, 1,62 Гц, 1H), 10,10 (с, 1H).
Пример 1-004
Получение N-(4-трет-бутилфенил)-1-(3-хлорпиридин-2-ил)-4-метил-1,2,3,4-тетрагидрохиноксалин-5-карбоксамида
Первая стадия
Получение метил-2-хлор-3-нитробензоата
2-Хлор-3-нитробензойную кислоту (15,0 г) подвергают взаимодействию методом, аналогичным методу в первой стадии примера 1-001, получая при этом указанное в заголовке бледно-желтоватое соединение (9,0 г).
Вторая стадия
Получение метил-2-[(этоксикарбонилметил)-(N-метил)амино]-3-нитробензоата
Метил-2-хлор-3-нитробензат (2,0 г), полученный в первой стадии, растворяют в н-бутаноле (20 мл), добавляют карбонат натрия (2,46 г) и гидрохлорид этилового сложного эфира саркозина (2,14 г) и смесь кипятят с обратным холодильником в течение 4,5 часа с перемешиванием. Охлажденную реакционную смесь выливают в смесь 1 М хлористоводородная кислота (50 мл)/этилацетат (50 мл) при охлаждении льдом с перемешиванием. Слой этилацетата промывают насыщенным раствором хлорида натрия, сушат над безводным сульфатом натрия и концентрируют, получая при этом красное маслянистое вещество, содержащее указанное в заголовке соединение, которое подают на следующую стадию без очистки.
Третья стадия
Получение метил-4-метил-2-оксо-1,2,3,4-тетрагидрохиноксалин-5-карбоксилата
Маслянистое вещество, содержащее метил-2-[(этоксикарбонилметил)-(N-метил)амино]-3-нитробензоат, полученное во второй стадии, растворяют в метаноле (20 мл), добавляют 5% палладий-на-угле (0,2 г) и смесь перемешивают при комнатной температуре в течение 2 часов в атмосфере водорода. Катализатор отделяют от реакционной смеси фильтрованием. Фильтрат концентрируют и затем очищают с применением хроматографии на силикагеле (н-гексан:этилацетат = 1:3), добавляют диэтиловый простой эфир и осажденное бледно-коричневатое твердое вещество отделяют фильтрованием и сушат, получая при этом указанное в заголовке соединение (0,41 г).
Четвертая стадия
Получение метил-4-метил-1,2,3,4-тетрагидрохиноксалин-5-карбоксилата
Метил-4-метил-2-оксо-1,2,3,4-тетрагидрохиноксалин-5-карбоксилат (0,41 г), полученный в третьей стадии, подвергают взаимодействию методом, аналогичным методу пятой стадии в примере 1, получая при этом указанное в заголовке желтоватое маслянистое соединение (203 мг).
Пятая стадия
Получение метил-1-(3-хлорпиридин-2-ил)-4-метил-1,2,3,4-тетрагидрохиноксалин-5-карбоксилата
Метил-4-метил-1,2,3,4-тетрагидрохиноксалин-5-карбоксилат (206 мг), полученный в четвертой стадии, подвергают взаимодействию методом, аналогичным методу четвертой стадии в примере 1-002, получая при этом указанное в заголовке бледно-желтовато-коричневое твердое соединение (179 мг).
Шестая стадия
Получение метил-1-(3-хлорпиридин-2-ил)-4-метил-1,2,3,4-тетрагидрохиноксалин-5-карбоновой кислоты
Метил-1-(3-хлорпиридин-2-ил)-4-метил-1,2,3,4-тетрагидрохиноксалин-5-карбоксилат (176 мг), полученный в пятой стадии, подвергают взаимодействию методом, аналогичным методу четвертой стадии в примере 1-003, получая при этом указанное в заголовке бледно-желтовато-коричневое твердое соединение (130 мг).
Седьмая стадия
Получение N-(4-трет-бутилфенил)-4-(3-хлорпиридин-2-ил)-4-метил-1,2,3,4-тетрагидрохиноксалин-5-карбоксамида
Метил-1-(3-хлорпиридин-2-ил)-4-метил-1,2,3,4-тетрагидрохиноксалин-5-карбоновую кислоту (130 мг), полученную в шестой стадии, подвергают взаимодействию методом, аналогичным методу восьмой стадии в примере 1-001, и реакционную смесь распределяют между водным насыщенным раствором гидрокарбоната натрия и этилацетатом. Слой этилацетата промывают насыщенным раствором хлорида натрия, сушат над безводным сульфатом натрия и затем концентрируют. Остаток очищают с применением хроматографии на силикагеле (н-гексан-этилацетат = 3:1), получая при этом указанное в заголовке бледно-желтоватое аморфное соединение (100 мг).
1H-ЯМР (400 МГц, ДМСО-d6): =1,28 (с, 9H), 2,83 (с, 3H), 3,34-3,39 (м, 2H), 3,69-3,74 (м, II H), 6,33 (дд, J=8,12, 1,39, 1 Гц, 1H), 6,72 (т, J=7,77 Гц, 1H), 7,03 (дд, J=7,65, 1,39 Гц, 1H), 7,30 (дд, J=7,88, 4,64 Гц, H), 7,33-7,38 (м, 2H), 7,63-7,68 (м, 2H), 8,02 (дд, J=7,88, 1,62 Гц, 1H), 8,44 (дд, J=4,75, 1,74 Гц, 1H), 10,62 (с, 1H).
Пример 1-005
Получение N-(4-трет-бутилфенил)-9-(3-хлорпиридин-2-ил)-6,7,8,9-тетрагидро-5-окса-9-азабензоциклогептен-4-карбоксамида
Первая стадия
Получение метил-5-хлор-3-нитросалицилата
Метил-5-хлорсалицилат (5,0 г) растворяют в концентрированной серной кислоте (15 мл), при перемешивании при охлаждении льдом добавляют по каплям смесь концентрированной азотной кислоты (1,2 мл) и концентрированной серной кислоты (1,2 мл) и смесь дополнительно перемешивают после окончания добавления по каплям. Реакционную смесь выливают в смесь лед-вода, осажденное твердое вещество отделяют фильтрованием, промывают водой, затем сушат, получая при этом указанное в заголовке соединение (5,51 г).
Вторая стадия
Получение метил-3-амино-5-хлорсалицилата
Метил-5-хлор-3-нитросалицилат (9,16 г), полученный методом первой стадии, подвергают взаимодействию методом, подобным методу во второй стадии в примере 2, и очищают с применением хроматографии на силикагеле (н-гексан:этилацетат = 1:1), получая при этом указанное в заголовке белое твердое соединение (4,46 г).
Третья стадия
Получение метил-3-ацетамид-5-хлорсалицилата
Метил-3-амино-5-хлорсалицилат (4,46 г), полученный во второй стадии, растворяют в тетрагидрофуране (50 мл) и при перемешивании и охлаждении льдом добавляют пиридин (2 мл) и ацетилхлорид (1,6 мл). Спустя 30 минут реакционную смесь концентрируют и распределяют между водой и этилацетатом. Слой этилацетата промывают 1 М хлористоводородной кислотой, насыщенным раствором хлорида натрия, насыщенным водным раствором гидрокарбоната натрия и насыщенным раствором хлорида натрия в указанном порядке, сушат над безводным сульфатом натрия и концентрируют, получая при этом указанное в заголовке белое твердое соединение (4,86 г).
Четвертая стадия
Получение метил-9-ацетил-2-хлор-6,7,8,9-тетрагидро-5-окса-9-азабензоциклогептен-4-карбоксилата
Метил-3-ацетамид-5-хлорсалицилат, полученный в третьей стадии, растворяют в N,N-диметилформамиде (10 мл), добавляют карбонат калия (1,38 г) и 1-бром-3-хлорпропан (2,0 мл) и смесь перемешивают при комнатной температуре в течение 1 часа. Затем температуру повышают до 120°С и смесь перемешивают в течение 3 часов. После охлаждения реакционной смеси добавляют воду и смесь экстрагируют этилацетатом. Слой этилацетата промывают водой и насыщенным раствором хлорида натрия в указанном порядке, сушат над безводным сульфатом натрия и затем концентрируют. Остаток очищают с применением хроматографии на силикагеле (н-гексан:этилацетат = 1:1), получая при этом указанное в заголовке белое твердое соединение (630 мг).
Пятая стадия
Получение метил-9-ацетил-6,7,8,9-тетрагидро-5-окса-9-азабензоциклогептен-4-карбоксилата
Метил-9-ацетил-2-хлор-6,7,8,9-тетрагидро-5-окса-9-азабензоциклогептен-4-карбоксилат (1,9 г), полученный таким же методом, как в четвертой стадии, растворяют в тетрагидрофуране (20 мл) и метаноле (20 мл), добавляют 5% палладий (0,2 г) и триэтиламин (1,2 мл) и смесь перемешивают при комнатной температуре в течение 45 часов в атмосфере водорода. Катализатор из реакционной суспензии выделяют фильтрованием, фильтрат концентрируют и концентрат распределяют между водой и этилацетатом. Слой этилацетата промывают водой и насыщенным раствором хлорида натрия в указанном порядке, сушат над безводным сульфатом натрия и концентрируют, получая при этом указанное в заголовке бесцветное маслянистое соединение (1,45 г).
Шестая стадия
Получение 6,7,8,9-тетрагидро-5-окса-9-азабензоциклогептен-4-карбоновой кислоты
Воду (25 мл) и концентрированную серную кислоту (5 мл) добавляют к метил-9-ацетил-6,7,8,9-тетрагидро-5-окса-9-азабензоциклогептен-4-карбоксилату (1,43 г), полученному в пятой стадии, и смесь кипятят с обратным холодильником с перемешиванием на протяжении ночи. Реакционную смесь оставляют для охлаждения, нейтрализуют добавлением 2 М раствора гидроксида натрия до достижения слабо кислотной реакции и дважды экстрагируют этилацетатом. Слой этилацетата промывают дважды насыщенным раствором хлорида натрия, сушат над безводным сульфатом натрия и концентрируют, получая при этом указанное в заголовке соединение (530 мг). Водный слой экстрагируют тетрагидрофураном, сушат над безводным сульфатом и концентрируют, получая при этом дополнительное соединение (320 мг).
Седьмая стадия
Получение этил-6,7,8,9-тетрагидро-5-окса-9-азабензоциклогептен-4-карбоксилата
6,7,8,9-Тетрагидро-5-окса-9-азабензоциклогептен-4-карбоновую кислоту (850 мг) растворяют в этаноле (30 мл), добавляют концентрированную серную кислоту (2 мл) и смесь кипятят с обратным холодильником с перемешиванием в течение 2 часов. Реакционную смесь охлаждают, нейтрализуют насыщенным раствором гидрокарбоната натрия и экстрагируют этилацетатом. Слой этилацетата концентрируют, получая при этом указанное в заголовке маслянистое соединение (721 мг).
Восьмая стадия
Получение этил-9-(3-хлорпиридин-2-ил)-6,7,8,9-тетрагидро-5-окса-9-азабензоциклогептен-4-карбоксилата
Этил-6,7,8,9-тетрагидро-5-окса-9-азабензоциклогептен-4-карбоксилат (720 мг), полученный в седьмой стадии, подвергают взаимодействию методом, аналогичным методу четвертой стадии в примере 1-002, и неочищенный продукт очищают с применением хроматографии на силикагеле (н-гексан:этилацетат = 3:1), получая при этом указанное в заголовке маслянистое соединение (154 мг).
Девятая стадия
Получение 9-(3-хлорпиридин-2-ил)-6,7,8,9-тетрагидро-5-окса-9-азабензоциклогептен-4-карбоновой кислоты
Этил-9-(3-хлорпиридин-2-ил)-6,7,8,9-тетрагидро-5-окса-9-азабензоциклогептен-4-карбоксилат (150 мг) растворяют в тетрагидрофуране (2 мл) и добавляют этанол (2 мл), 2 М раствор гидроксида натрия (2 мл) и смесь перемешивают при 60°С в течение 1,5 часа. Реакционную смесь концентрируют, подкисляют 1 М водным гидросульфатом калия и экстрагируют дважды этилацетатом. Слой этилацетата промывают насыщенным раствором хлорида натрия, сушат над безводным сульфатом натрия и концентрируют, получая при этом указанное в заголовке маслянистое соединение (102 мг).
Десятая стадия
Получение N-(4-трет-бутилфенил)-9-(3-хлорпиридин-2-ил)-6,7,8,9-тетрагидро-5-окса-9-азабензоциклогептен-4-карбоксамида
9-(3-Хлорпиридин-2-ил)-6,7,8,9-тетрагидро-5-окса-9-азабензоциклогептен-4-карбоновую кислоту (100 мг), полученную в девятой стадии, подвергают взаимодействию методом, аналогичным методу, описанному в девятой стадии в примере 1-001, и неочищенный продукт очищают с применением хроматографии на силикагеле (н-гексан:этилацетат = 2:1), добавляют н-гексан, осажденное белое твердое вещество отделяют фильтрованием и сушат, получая при этом указанное в заголовке соединение (35 мг).
1H-ЯМР (400 МГц, ДМСО-d6): =1,25 (с, 9H), 1,95 (м, 2H), 3,97 (м, 2H), 4,27 (м, 2H), 6,61 (дд, J=8,00, 1,51 Гц, 1H), 6,93 (т, J=7,77 Гц, 1H), 7,06 (дд, J=7,77, 4,75 Гц, 1H), 7,26 (дд, J=7,54, 1,51 Гц, 1H), 7,30-7,38 (м, 2H), 7,63 (ддд, J=9,04, 2,55, 2,32 Гц, 2H), 7,76 (дд, J=7,65, 1,62 Гц, 1H), 8,31 (дд, J=4,64, 1,62 Гц, 1H), 10,15 (с, 1H).
Пример 1-006
В методе, аналогичном методу примера 1-001, соответствующую карбоновую кислоту и амин применяют для получения соединения примера 1-006, показанного в нижеследующей таблице.
Пример 1-007
В методе, аналогичном методу примера 1-001, соответствующую карбоновую кислоту и амин применяют для получения соединения примера 1-007, показанного в нижеследующей таблице.
Пример 1-008
В методе, аналогичном методу примера 1-001, соответствующую карбоновую кислоту и амин применяют для получения соединения примера 1-008, показанного в нижеследующей таблице.
Пример 1-009
В методе, аналогичном методу примера 1-001, соответствующую карбоновую кислоту и амин применяют для получения соединения примера 1-009, показанного в нижеследующей таблице.
Пример 1-010
В методе, аналогичном методу примера 1-001, соответствующую карбоновую кислоту и амин применяют для получения соединения примера 1-010, показанного в нижеследующей таблице.
Пример 1-011
В методе, аналогичном методу примера 1-001, соответствующую карбоновую кислоту и амин применяют для получения соединения примера 1-011, показанного в нижеследующей таблице.
Пример 1-012
В методе, аналогичном методу примера 1-001, соответствующую карбоновую кислоту и амин применяют для получения соединения примера 1-012, показанного в нижеследующей таблице.
Пример 1-013
В методе, аналогичном методу примера 1-001, соответствующую карбоновую кислоту и амин применяют для получения соединения примера 1-013, показанного в нижеследующей таблице.
Пример 1-014
В методе, аналогичном методу примера 1-001, соответствующую карбоновую кислоту и амин применяют для получения соединения примера 1-014, показанного в нижеследующей таблице.
Пример 1-015
В методе, аналогичном методу примера 1-001, соответствующую карбоновую кислоту и амин применяют для получения соединения примера 1-015, показанного в нижеследующей таблице.
Пример 1-016
В шестой стадии примера 1-001 2-бромпиридин применяют вместо 2,3-дихлорпиридина и это и другие соединения обрабатывают таким же методом, как в этом примере, получая при этом соединение примера 1-016, показанное в нижеследующей таблице.
Пример 1-017
В шестой стадии в примере 1-001 2-хлор-3-трифторметилпиридин применяют вместо 2,3-дихлорпиридина и это и другие соединения обрабатывают таким же методом, как в этом примере, получая при этом соединение примера 1-017, показанное в нижеследующей таблице.
Пример 1-018
В третьей стадии в примере 1-001 2-бромизобутилбромид применяют вместо хлорацетилхлорида и это и другие соединения обрабатывают таким же методом, как в этом примере, получая при этом соединение примера 1-018, показанное в нижеследующей таблице.
Пример 1-019
В третьей стадии в примере 1-001 2-хлорпропионилхлорид применяют вместо хлорацетилхлорида и это и другие соединения обрабатывают таким же методом, как в этом примере, получая при этом соединение примера 1-019, показанное в нижеследующей таблице.
Пример 1-020
3-Амино-5-хлорсалициловую кислоту, полученную методом второй стадии в примере 1-005, применяют в методе после третьей стадии в примере 1-001, получая при этом соединение примера 1-020, показанное в нижеследующей таблице.
Пример 1-021
Получение 4-(3-хлорпиридин-2-ил)-N-(4-трифторметилфенил)-3,4-дигидро-2Н-бензо[1,4]оксазин-8-карбоксамида
4-(3-Хлорпиридин-2-ил)-3,4-дигидро-2Н-бензо[1,4]оксазин-8-карбоновую кислоту (100 мг), полученную в седьмой стадии в примере 1-001, растворяют в тетрагидрофуране (1 мл), добавляют оксалилхлорид (0,05 мл) и N,N-диметилформамид (0,01 мл), смесь перемешивают при комнатной температуре в течение 30 минут и реакционную смесь концентрируют, получая при этом хлорангидрид кислоты в виде желтоватого твердого вещества. К 4-трифторметиланилину (48 мг) добавляют тетрагидрофуран (1 мл) и 1 М раствор гидроксида натрия, при перемешивании и при охлаждении льдом добавляют раствор хлорангидрида кислоты в тетрагидрофуране (1 мл) и реакционную смесь перемешивают при комнатной температуре в течение 30 минут. Реакционную смесь концентрируют, распределяют между этилацетатом и водой и слой этилацетата промывают 1 М гидроксидом натрия и насыщенным раствором хлорида натрия в указанном порядке, сушат над безводным сульфатом натрия и затем концентрируют. Остаток суспендируют в н-гексане, суспензию фильтруют и осадок сушат, получая при этом указанное в заголовке соединение (72 мг).
Пример 1-022
В методе, аналогичном методу в примере 1-021, применяют соответствующую карбоновую кислоту и амин для получения соединения примера 1-022, показанного в нижеследующей таблице.
Пример 1-023
В методе, аналогичном методу в примере 1-021, применяют соответствующую карбоновую кислоту и амин для получения соединения примера 1-023, показанного в нижеследующей таблице.
Пример 1-024
В методе, аналогичном методу в примере 1-021, применяют соответствующую карбоновую кислоту и амин для получения соединения примера 1-024, показанного в нижеследующей таблице.
Пример 1-025
В методе, аналогичном методу в примере 1-021, применяют соответствующую карбоновую кислоту и амин для получения соединения примера 1-025, показанного в нижеследующей таблице.
Пример 1-026
В методе, аналогичном методу в примере 1-021, применяют соответствующую карбоновую кислоту и амин для получения соединения примера 1-026, показанного в нижеследующей таблице.
Пример 1-027
В методе, аналогичном методу в примере 1-021, применяют соответствующую карбоновую кислоту и амин для получения соединения примера 1-027, показанного в нижеследующей таблице.
Пример 1-028
В методе, аналогичном методу в примере 1-021, применяют соответствующую карбоновую кислоту и амин для получения соединения примера 1-028, показанного в нижеследующей таблице.
Пример 1-029
В методе, аналогичном методу в примере 1-021, применяют соответствующую карбоновую кислоту и амин для получения соединения примера 1-029, показанного в нижеследующей таблице.
Пример 1-030
В методе, аналогичном методу в примере 1-021, применяют соответствующую карбоновую кислоту и амин для получения соединения примера 1-030, показанного в нижеследующей таблице.
Пример 1-031
В методе, аналогичном методу в примере 1-021, применяют соответствующую карбоновую кислоту и амин для получения соединения примера 1-031, показанного в нижеследующей таблице.
Пример 1-032
В методе, аналогичном методу в примере 1-021, применяют соответствующую карбоновую кислоту и амин для получения соединения примера 1-032, показанного в нижеследующей таблице.
Пример 1-033
В методе, аналогичном методу в примере 1-021, применяют соответствующую карбоновую кислоту и амин для получения соединения примера 1-033, показанного в нижеследующей таблице.
Пример 1-034
Получение 4-(3-хлорпиридин-2-ил)-N-(метоксикарбонилфенил)-3,4-дигидро-2Н-бензо[1,4]оксазин-8-карбоксамида
Метил-4-аминобензоат (260 мг) применяют в методе, аналогичном методу в примере 1-21, для получения указанного в заголовке соединения (515 мг).
Пример 1-035
Получение N-(4-карбоксифенил)-4-(3-хлорпиридин-2-ил)-3,4-дигидро-2Н-бензо[1,4]оксазин-8-карбоксамида
4-(3-Хлорпиридин-2-ил)-N-(метоксикарбонилфенил)-3,4-дигидро-2Н-бензо[1,4]оксазин-8-карбоксамид (500 мг), полученный в примере 1-034, растворяют в тетрагидрофуране (5 мл) и метаноле (5 мл), добавляют 4 М раствор гидроксида натрия (1 мл) и смесь перемешивают при 60°С в течение 5 часов. Реакционную смесь нейтрализуют добавлением 1 М хлористоводородной кислоты и затем концентрируют. Концентрат разбавляют водой и перемешивают, бе лое твердое вещество собирают фильтрованием и сушат, получая при этом указанное в заголовке соединение (433 мг).
Пример 1-036
Получение N-(карбамоилфенил)-4-(3-хлорпиридин-2-ил)-3,4-дигидро-2Н-бензо[1,4]оксазин-8-карбоксамида
N-(4-Карбоксифенил)-4-(3-хлорпиридин-2-ил)-3,4-дигидро-2Н-бензо[1,4]оксазин-8-карбоксамид (100 мг), полученный в примере 1-035, растворяют в N,N-диметилформамиде (2 мл), добавляют хлорид аммония (65 мг), 1-гидроксибензотриазол (56 мг), гидрохлорид 1-этил-3-(3-диметиламинопропил)карбодиимида (70 мг) и триэтиламин (0,20 мл) в указанном порядке и смесь перемешивают при комнатной температуре в течение 10 часов. После добавления воды и насыщенного раствора гидрокарбоната натрия к реакционной смеси смесь распределяют добавлением этилацетата. После того как слой этилацетата промывают водой, концентрируют и сушат, концентрат суспендируют в воде и промывают водой, белое твердое вещество собирают фильтрованием и сушат, получая при этом указанное в заголовке соединение (80 мг).
Пример 1-037
В методе, аналогичном методу примера 1-036, применяют соответствующую карбоновую кислоту и амин для получения соединения примера 1-037, показанного в нижеследующей таблице.
Пример 1-038
В методе, аналогичном методу способа примера 1-036, применяют соответствующую карбоновую кислоту и амин для получения соединения примера 1-038, показанного в нижеследующей таблице.
Пример 1-039
Получение N-(4-ацетилфенил)-4-(3-хлорпиридин-2-ил)-3,4-дигидро-2Н-бензо[1,4]оксазин-8-карбоксамида
4′-Аминоацетофенон (279 мг) применяют в методе, аналогичном методу примера 1-021, получая при этом указанное в заголовке соединение (673 мг).
Пример 1-040
Получение 4-(3-хлорпиридин-2-ил)-N-[4-(1-гидрокси-1-метил)этил]фенил-3,4-дигидро-2Н-бензо[1,4]оксазин-8-карбоксамида
N-(4-Ацетилфенил)-4-(3-хлорпиридин-2-ил)-3,4-дигидро-2Н-бензо[1,4]оксазин-8-карбоксамид (150 мг), полученный в примере 1-039, растворяют в тетрагидрофуране (15 мл), при охлаждении льдом добавляют 1 М раствор метилмагнийбромид – тетрагидрофуран (1,1 мл) и затем смесь перемешивают при комнатной температуре в течение 30 минут. Затем дополнительно добавляют 1 М раствор метилмагнийбромид – тетрагидрофуран (0,37 мл) и смесь перемешивают при комнатной температуре в течение 30 минут. Реакционную смесь охлаждают на льду, реакцию останавливают добавлением насыщенного водного хлорида аммония и смесь экстрагируют этилацетатом. Слой этилацетата промывают насыщенным раствором хлорида натрия, сушат над безводным сульфатом натрия и затем концентрируют. Остаток очищают с применением хроматографии на силикагеле (н-гексан-этилацетат = 1:4), получая при этом указанное в заголовке белое аморфное соединение (79 мг).
Пример 1-041
Получение 4-(3-хлорпиридин-2-ил)-N-[4-(1-гидрокси-1-метил)пропил]фенил-3,4-дигидро-2Н-бензо[1,4]оксазин-8-карбоксамида
В реакции, аналогичной реакции примера 1-040, 2 М этилмагнийбромид применяют для получения указанного в заголовке белого аморфного вещества (100 мг) из N-(4-ацетилфенил)-4-(3-хлорпиридин-2-ил)-3,4-дигидро-2Н-бензо[1,4]оксазин-8-карбоксамида (150 мг).
Пример 1-042
В методе, аналогичном методу примера 1-001, применяют соответствующую карбоновую кислоту и амин для получения соединения примера 1-042, показанного в нижеследующей таблице.
Пример 1-043
В методе, аналогичном методу примера 1-001, применяют соответствующую карбоновую кислоту и амин для получения соединения примера 1-043, показанного в нижеследующей таблице.
Пример 1-044
В методе, аналогичном методу примера 1-001, применяют соответствующую карбоновую кислоту и амин для получения соединения примера 1-044, показанного в нижеследующей таблице.
Пример 1-045
В методе, аналогичном методу примера 1-001, применяют соответствующую карбоновую кислоту и амин для получения соединения примера 1-045, показанного в нижеследующей таблице.
Пример 1-046
В шестой стадии примера 1-001 4-бромпиридин применяют вместо 2,3-дихлорпиридина и это и другие соединения обрабатывают таким же образом, как в указанном примере, получая при этом соединение примера 1-046, показанное в нижеследующей таблице.
Пример 1-047
В шестой стадии примера 1-001 2-бром-3-пиколин применяют вместо 2,3-дихлорпиридина и это и другие соединения обрабатывают таким же образом, как в указанном примере, получая при этом соединение примера 1-047, показанное в нижеследующей таблице.
Пример 1-048
В методе, аналогичном методу примера 1-021, применяют соответствующую карбоновую кислоту и амин для получения соединения примера 1-048, показанного в нижеследующей таблице.
Пример 1-049
В методе, аналогичном методу примера 1-021, применяют соответствующую карбоновую кислоту и амин для получения соединения примера 1-049, показанного в нижеследующей таблице.
Пример 1-050
В методе, аналогичном методу примера 1-021, применяют соответствующую карбоновую кислоту и амин для получения соединения примера 1-050, показанного в нижеследующей таблице.
Пример 1-051
В методе, аналогичном методу примера 1-021, применяют соответствующую карбоновую кислоту и амин для получения соединения примера 1-051, показанного в нижеследующей таблице.
Пример 1-052
В методе, аналогичном методу примера 1-021, применяют соответствующую карбоновую кислоту и амин для получения соединения примера 1-052, показанного в нижеследующей таблице.
Пример 1-053
В методе, аналогичном методу примера 1-021, применяют соответствующую карбоновую кислоту и амин для получения соединения примера 1-053, показанного в нижеследующей таблице.
Пример 1-054
В методе, аналогичном методу примера 1-021, применяют соответствующую карбоновую кислоту и амин для получения соединения примера 1-054, показанного в нижеследующей таблице.
Пример 1-055
В методе, аналогичном методу примера 1-021, применяют соответствующую карбоновую кислоту и амин для получения соединения примера 1-055, показанного в нижеследующей таблице.
Пример 1-056
В методе, аналогичном методу примера 1-021, применяют соответствующую карбоновую кислоту и амин для получения соединения примера 1-056, показанного в нижеследующей таблице.
Пример 1-057
В методе, аналогичном методу примера 1-021, применяют соответствующую карбоновую кислоту и амин для получения соединения примера 1-057, показанного в нижеследующей таблице.
Пример 1-058
Получение N-(4-трет-бутилфенил)-4-(4-хлорпиридин-2-ил)-3,4-дигидро-2Н-бензо[1,4]оксазин-8-карбоксамида
Первая стадия
Получение 4-(3-хлорпиридин-2-ил)-3,4-дигидро-2Н-бензо[1,4]оксазин-8-карбоновой кислоты
В шестой стадии примера 1-001 2-хлор-4-пиколин (890 мг) применяют вместо 2,3-дихлорпиридина и это соединение и другие обрабатывают таким же образом, как в седьмой стадии примера 1-001, получая при этом указанное в заголовке соединение (690 мг).
Вторая стадия
Получение N-(4-трет-бутилфенил)-4-(4-метилпиридин-2-ил)-3,4-дигидро-2Н-бензо[1,4]оксазин-8-карбоксамида
N-(4-трет-Бутилфенил)-4-(4-метилпиридин-2-ил)-3,4-дигидро-2Н-бензо[1,4]оксазин-8-карбоксамид (150 мг), полученный способом примера 1-001, применяют в методе, аналогичном методу примера 1-021, для получения указанного в заголовке соединения (130 мг).
Пример 1-059
Соединение примера 1-059, показанное в нижеследующей таблице, получают из соответствующего бромпиколина с применением метода, аналогичного методу примера 1-021.
Пример 1-060
Соединение примера 1-060, показанное в нижеследующей таблице, получают из соответствующего бромпиколина с применением метода, аналогичного методу примера 1-021.
Пример 1-061 – пример 1-236
Соединения примеров 1-061 – 1-236, указанные ниже, получают аналогично проведению любого метода, описанного в общих способах А-С для получения соединения и/или методом, описанным в примерах 1-001 – 1-060, указанных ранее.
Пример 2
Пример 2-01
Получение N-(бензо[1,3]диоксол-5-ил)-4-(3-хлор-5-гидроксиметилпиридин-2-ил)-3,4-дигидро-2Н-бензо[1,4]оксазин-8-карбоксамида
Первая стадия
Получение метил-4-{3-хлор-5-(тетрагидропиран-2-ил)оксиметилпиридин-2-ил}-3,4-дигидро-2Н-бензо[1,4]оксазин-8-карбоксилата
3,4-Дигидро-2Н-бензо[1,4]оксазин-8-карбоксилат (2,0 г), полученный методом пятой стадии в примере 1-001, растворяют в толуоле (30 мл), добавляют 2,3-дихлор-5-(тетрагидропиран-2-ил)оксиметилпиридин (2,76 г), ацетат палладия (0,25 г), 2,2′-бис(дифенилфосфино)-1,1′-банафтил (0,7 г) и карбонат цезия (7,4 г) и смесь перемешивают при 90°С на протяжении ночи. Реакционную смесь фильтруют, концентрируют и полученный таким образом остаток очищают с применением колоночной хроматографии на силикагеле (гексан:тетрагидрофуран = 2:1), получая при этом указанное в заголовке маслянистое соединение (2,48 г).
Вторая стадия
Получение 4-{3-хлор-5-(тетрагидропиран-2-ил)оксиметилпиридин-2-ил}-3,4-дигидро-2Н-бензо[1,4]оксазин-8-карбоновой кислоты
Метил-4-{3-хлор-5-(тетрагидропиран-2-ил)оксиметилпиридин-2-ил}-3,4-дигидро-2Н-бензо[1,4]оксазин-8-карбоксилат (2,48 г), полученный в первой стадии, подвергают взаимодействию, аналогичному взаимодействию четвертой стадии в примере 1-003, получая при этом указанное в заголовке соединение (1,33 г).
Третья стадия
Получение N-(бензо[1,3]диоксол-5-ил)-4-{3-хлор-5-(тетрагидропиран-2-ил)оксиметилпиридин-2-ил}-3,4-дигидро-2Н-бензо[1,4]оксазин-8-карбоксамида
4-{3-Хлор-5-(тетрагидропиран-2-ил)оксиметилпиридин-2-ил}-3,4-дигидро-2Н-бензо[1,4]оксазин-8-карбоновую кислоту (0,20 г), полученную во второй стадии, и 5-аминобензо[1,3]диоксолан (0,10 г) подвергают взаимодействию, подобному взаимодействию восьмой стадии в примере 1-001, получая при этом указанное в заголовке соединение (0,21 г).
Четвертая стадия
Получение N-(бензо[1,3]диоксол-5-ил)-4-(3-хлор-5-гидроксиметилпиридин-2-ил)-3,4-дигидро-2Н-бензо[1,4]оксазин-8-карбоксамида
N-(Бензо[1,3]диоксол-5-ил)-4-{3-хлор-5-(тетрагидропиран-2-ил)оксиметилпиридин-2-ил}-3,4-дигидро-2Н-бензо[1,4]оксазин-8-карбоксамид (0,21 г), полученный в третьей стадии, растворяют в тетрагидрофуране (3 мл), добавляют 6 М хлористоводородную кислоту и смесь перемешивают при комнатной температуре на протяжении ночи. Реакционную смесь концентрируют и остаток очищают с применением колоночной хроматографии на силикагеле, получая при этом указанное в заголовке соединение (0,12 г).
Пример 2-02
Получение N-(2,3-дигидробензо[1,4]диоксин-6-ил)-4-(3-хлор-5-гидроксиметилпиридин-2-ил)-3,4-дигидро-2Н-бензо[1,4]оксазин-8-карбоксамида
В третьей стадии примера 2-01 6-амино-2,3-дигидробензо[1,4]диоксин (111 мг) применяют вместо 5-аминобензо[1,3]диоксолана и это соединение и другие обрабатывают таким же самым образом, как в указанном способе, получая при этом указанное в заголовке соединение (109 мг).
Пример 2-03
Получение N-(4-трифторметоксифенил)-4-(3-хлор-5-гидроксиметилпиридин-2-ил)-3,4-дигидро-2Н-бензо[1,4]оксазин-8-карбоксамида
В третьей стадии примера 2-01 4-трифторметоксианилин (87 мг) применяют вместо 5-аминобензо[1,3]диоксолана и это соединение и другие обрабатывают таким же самым образом, как в указанном способе, получая при этом указанное в заголовке соединение (101 мг).
Пример 2-04
Получение N-(3-хлор-4-трифторметоксифенил)-4-(3-хлор-5-гидроксиметилпиридин-2-ил)-3,4-дигидро-2Н-бензо[1,4]оксазин-8-карбоксамида
В третьей стадии примера 2-01 3-хлор-4-трифторметоксианилин (87 мг) применяют вместо 5-аминобензо[1,3]диоксолана и это соединение и другие обрабатывают таким же самым образом, как в указанном способе, получая при этом указанное в заголовке соединение (58 мг).
Пример 2-05
Получение N-(4-трифторметилфенил)-4-(3-хлор-5-гидроксиметилпиридин-2-ил)-3,4-дигидро-2Н-бензо[1,4]оксазин-8-карбоксамида
Первая стадия
Получение N-(4-трифторметилфенил)-4-{3-хлор-5-(тетрагидропиран-2-ил)оксиметилпиридин-2-ил}-3,4-дигидро-2Н-бензо[1,4]оксазин-8-карбоксамида
4-{3-Хлор-5-(тетрагидропиран-2-ил)оксиметилпиридин-2-ил}-3,4-дигидро-2Н-бензо[1,4]оксазин-8-карбоновую кислоту (300 мг), полученную во второй стадии примера 2-01, растворяют в пиридине (5 мл), добавляют тионилхлорид (88 мг) и смесь перемешивают при 80°С в течение 1 часа. Реакционную смесь охлаждают до комнатной температуры, добавляют 4-трифторметиланилин (80 мг) и смесь перемешивают в течение 1 часа. Реакционную смесь распределяют между водой и этилацетатом и слой этилацетата промывают водой, разбавленным водным гидросульфатом калия, разбавленным водным гидроксидом натрия и насыщенным раствором хлорида натрия, сушат над сульфатом магния и затем концентрируют, получая при этом остаток, содержащий указанное в заголовке соединение, который подают на следующую стадию без очистки.
Вторая стадия
Получение N-(4-трифторметилфенил)-4-(3-хлор-5-гидроксиметилпиридин-2-ил)-3,4-дигидро-2Н-бензо[1,4]оксазин-8-карбоксамида
Концентрированный остаток, полученный в первой стадии, растворяют в тетрагидрофуране (3 мл), добавляют 6 М хлористоводородную кислоту (3 мл) и смесь перемешивают при комнатной температуре в течение 1 часа. Реакционную смесь распределяют между водой и этилацетатом и слой этилацетата промывают водой и насыщенным раствором хлорида натрия в указанном порядке, сушат над безводным сульфатом магния и затем концентрируют. Полученный таким образом концентрированный остаток очищают с применением хроматографии на силикагеле, получая при этом указанное в заголовке соединение (71 мг).
Пример 2-06
Получение N-(3-фтор-4-трифторметилфенил)-4-(3-хлор-5-гидроксиметилпиридин-2-ил)-3,4-дигидро-2Н-бензо[1,4]оксазин-8-карбоксамида
В первой стадии примера 2-05 3-фтор-4-трифторметиланилин (110 мг) применяют вместо 4-трифторметиланилина и это соединение и другие обрабатывают таким же образом, как в указанном способе, получая при этом указанное в заголовке соединение (50 мг).
Пример 2-07
Получение N-(4-трифторметилфенил)-4-(5-гидроксиметилпиридин-2-ил)-3,4-дигидро-2Н-бензо[1,4]оксазин-8-карбоксамида
Первая стадия
Получение 4-{5-(тетрагидропиран-2-ил)оксиметилпиридин-2-ил}-3,4-дигидро-2Н-бензо[1,4]оксазин-8-карбоновой кислоты
Метил-4-{5-(тетрагидропиран-2-ил)оксиметилпиридин-2-ил}-3,4-дигидро-2Н-бензо[1,4]оксазин-8-карбоксилат (560 мг), который получают с применением 2-хлор-5-(тетрагидропиран-2-ил)оксиметилпиридина вместо 2,3-дихлор-5-(тетрагидропиран-5-ил)оксиметилпиридина в первой стадии примера 2-01, растворяют в метаноле (8 мл), добавляют 4 М раствор гидроксида натрия (1,1 мл) и смесь перемешивают при 60°С в течение 2 часов. Реакционную смесь концентрируют и концентрат распределяют добавлением воды и этилацетата. рН водного слоя регулируют до 4 добавлением хлористоводородной кислоты и экстрагируют этилацетатом. Слой этилацетата сушат над безводным сульфатом натрия и затем концентрируют. Осажденное твердое вещество, полученное добавлением диизопропилового простого эфира, собирают фильтрованием и сушат, получая при этом указанное в заголовке соединение (420 мг).
Вторая стадия
Получение N-(4-трифторметилфенил)-4-{5-(тетрагидропиран-2-ил)оксиметилпиридин-2-ил}-3,4-дигидро-2Н-бензо[1,4]оксазин-8-карбоксамида
Взаимодействие, подобное взаимодействию первой стадии примера 2-05, проводят с применением 4-{5-(тетрагидропиран-2-ил)оксиметилпиридин-2-ил}-3,4-дигидро-2Н-бензо[1,4]оксазин-8-карбоновой кислоты (200 г), полученной в первой стадии примера 2-05, получая при этом концентрированный остаток, содержащий указанное в заголовке соединение.
Третья стадия
Получение гидрохлорида N-(4-трифторметилфенил)-4-(5-гидроксиметилпиридин-2-ил)-3,4-дигидро-2Н-бензо[1,4]оксазин-8-карбоксамида
Концентрированный осадок, содержащий N-(4-трифторметилфенил)-4-{5-(тетрагидропиран-2-ил)оксиметилпиридин-2-ил}-3,4-дигидро-2Н-бензо[1,4]оксазин-8-карбоксамид, растворяют в метаноле (2 мл) и добавляют тетрагидрофуран (2 мл), 6 М хлористоводородную кислоту (1 мл) и смесь перемешивают при комнатной температуре в течение 1 часа. Реакционную смесь концентрируют, добавляют воду и диэтиловый простой эфир, затем осажденное желтое твердое вещество собирают фильтрованием и сушат, получая при этом указанное в заголовке соединение (170 мг).
Пример 2-08
Получение 4-(5-гидроксиметилпиридин-2-ил)-N-(4-изобутилоксифенил)-3,4-дигидро-2Н-бензо[1,4]оксазин-8-карбоксамида
Применяют 4-{5-(тетрагидропиран-2-ил)оксиметилпиридин-2-ил)-3,4-дигидро-2Н-бензо[1,4]оксазин-8-карбоновую кислоту (200 мг), полученную в первой стадии примера 2-07, и 4-изобутилоксианилин (110 мг) и эти соединения и другие подвергают взаимодействию, аналогичному взаимодействию примера 2-05, получая при этом указанное в заголовке соединение (140 мг).
Пример 2-09
Получение 4-(3-хлор-5-метоксипиридин-2-ил)-N-(4-трифторметилфенил)-3,4-дигидро-2Н-бензо[1,4]оксазин-8-карбоксамида
Первая стадия
Получение метил-4-(3-хлор-5-гидроксиметилпиридин-2-ил)-3,4-дигидро-2Н-бензо[1,4]оксазин-8-карбоксилата
Метил-4-{3-хлор-5-(тетрагидропиран-2-ил)оксиметилпиридин-2-ил}-3,4-дигидро-2Н-бензо[1,4]оксазин-8-карбоксилат (1,3 г), полученный в первой стадии примера 2-01, растворяют в тетрагидрофуране (5 мл), добавляют 6 M хлористоводородную кислоту (5 мл) и смесь перемешивают при комнатной температуре в течение 2 часов. Реакционную смесь нейтрализуют и экстрагируют этилацетатом. Экстракт концентрируют, получая при этом концентрированный остаток, содержащий указанное в заголовке соединение.
Вторая стадия
Получение метил-4-(3-хлор-5-метоксиметилпиридин-2-ил)-3,4-дигидро-2Н-бензо[1,4]оксазин-8-карбоксилата
Концентрированный остаток, полученный в первой стадии, растворяют в N,N-диметилформамиде (5 мл), добавляют гидрид натрия (50%) (0,32 г) и смесь перемешивают при комнатной температуре до окончания вспенивания. Затем добавляют иодид натрия (1 мл) и смесь дополнительно перемешивают в течение 1 часа. Реакционную смесь распределяют между водой и этилацетатом и слой этилацетата промывают водой, сушат над безводным сульфатом натрия и затем концентрируют. Концентрат очищают с применением хроматографии на силикагеле, получая при этом указанное в заголовке маслянистое соединение (1,20 г).
Третья стадия
Получение 4-(3-хлор-5-метоксиметилпиридин-2-ил)-3,4-дигидро-2Н-бензо[1,4]оксазин-8-карбоновой кислоты
Метил-4-(3-хлор-5-метоксиметилпиридин-2-ил)-3,4-дигидро-2Н-бензо[1,4]оксазин-8-карбоксилат (1,20 г), полученный во второй стадии, растворяют в тетрагидрофуране (10 мл) и добавляют метанол (10 мл), 2 М гидроксид натрия (5 мл) и затем смесь перемешивают при 60°С в течение 1 часа. Реакционную смесь концентрируют и нейтрализуют, фильтрованием получают твердое вещество черного цвета, которое сушат, получая при этом указанное в заголовке соединение (915 мг).
Четвертая стадия
Получение 4-(3-хлор-5-метоксиметилпиридин-2-ил)-N-(4-трифторметилфенил)-3,4-дигидро-2Н-бензо[1,4]оксазин-8-карбоксамида
4-(3-Хлор-5-метоксиметилпиридин-2-ил)-3,4-дигидро-2Н-бензо[1,4]оксазин-8-карбоновую кислоту (200 мг), полученный в третьей стадии, растворяют в хлороформе (2 мл), добавляют оксалилхлорид (60 мкл) и N,N-диметилформамид (одну каплю) и смесь перемешивают при комнатной температуре в течение 1 часа. Реакционную смесь концентрируют, добавляют пиридин (2 мл) и 4-трифторметиланилин (75 мкл) и смесь перемешивают при комнатной температуре в течение 1 часа. Реакционную смесь распределяют между водой и этилацетатом и слой этилацетата промывают водой, сушат над безводным сульфатом магния и затем концентрируют. Осажденное твердое вещество, полученное добавлением н-гексана и диэтилового эфира к концентрату, собирают фильтрованием и сушат, получая при этом указанное в заголовке соединение (64 мг).
Пример 2-10
Получение N-(4-трифторметилфенил)-4-(4-гидроксиметилпиридин-2-ил)-3,4-дигидро-2Н-бензо[1,4]оксазин-8-карбоксамида
Первая стадия
Получение 4-{4-(тетрагидропиран-2-ил)оксиметилпиридин-2-ил}-3,4-дигидро-2Н-бензо[1,4]оксазин-8-карбоновой кислоты
Метил-4-{4-(тетрагидропиран-2-ил)оксиметилпиридин-2-ил}-3,4-дигидро-2Н-бензо[1,4]оксазин-8-карбоксилат, который получают способом, в котором реакцию первой стадии примера 2-01 проводят аналогичным образом с применением 2-хлор-4-(тетрагидропиран-2-ил)оксиметилпиридина (1,52 г) вместо 2,3-дихлор-5-(тетрагидропиран-2-ил)оксиметилпиридина и реакционную смесь фильтруют, концентрируют и очищают с применением колоночной хроматографии на силикагеле, растворяют в метаноле (10 мл) и тетрагидрофуране (10 мл), добавляют 4 М раствор гидроксида натрия и смесь перемешивают при 60°С в течение 1,5 часа. Реакционную смесь нейтрализуют и концентрируют. Концентрат распределяют добавлением воды и этилацетата. Слой этилацетата промывают водой и насыщенным раствором хлорида натрия в указанном порядке, сушат над безводным сульфатом магния и концентрируют, получая при этом указанное в заголовке соединение (913 мг).
Вторая стадия
Получение N-(4-трифторметилфенил)-4-(4-гидроксиметилпиридин-2-ил)-3,4-дигидро-2Н-бензо[1,4]оксазин-8-карбоксамида
4-{4-(Тетрагидропиран-2-ил)оксиметилпиридин-2-ил}-3,4-дигидро-2Н-бензо[1,4]оксазин-8-карбоновую кислоту (300 мг), полученную в первой стадии, растворяют в пиридине (5 мл), добавляют тионилхлорид (89 мкл) и смесь перемешивают при комнатной температуре в течение 2 часов. Затем добавляют 4-трифторметиланилин (102 мкл) и перемешивают при такой же температуре на протяжении ночи. Реакционную смесь распределяют между водой и этилацетатом. Слой этилацетата промывают водой и насыщенным хлоридом натрия в указанном порядке, сушат над безводным сульфатом магния и затем концентрируют. Концентрат очищают с применением хроматографии на силикагеле. К очищенному концентрированному веществу добавляют тетрагидрофуран (5 мл) и 6 М хлористоводородную кислоту (2 мл) и перемешивают при комнатной температуре в течение 2 часов. Реакционную смесь распределяют между водой и этилацетатом. Слой этилацетата промывают водой и насыщенным раствором хлорида натрия в указанном порядке, сушат над безводным сульфатом магния и затем концентрируют. Концентрат очищают с применением хроматографии на силикагеле, получая при этом указанное в заголовке соединение (12 мг).
Пример 2-11
Получение N-(4-трифторметоксифенил)-4-(3-гидроксиметилпиридин-2-ил)-3,4-дигидро-2Н-бензо[1,4]оксазин-8-карбоксамида
Первая стадия
Получение метил-4-{3-(тетрагидропиран-2-ил)оксиметилпиридин-2-ил}-3,4-дигидро-2Н-бензо[1,4]оксазин-8-карбоксилата
Проводят реакцию, аналогичную реакции в первой стадии примера 2-01, с применением 2-хлор-3-(тетрагидропиран-2-ил)оксиметилпиридина (712 мг) вместо 2,3-дихлор-5-(тетрагидропиран-2-ил)оксиметилпиридина, получая при этом указанное в заголовке соединение (536 мг).
Вторая стадия
Получение 4-{3-(тетрагидропиран-2-ил)оксиметилпиридин-2-ил}-3,4-дигидро-2Н-бензо[1,4]оксазин-8-карбоновой кислоты
Метил-4-{3-(тетрагидропиран-2-ил)оксиметилпиридин-2-ил}-3,4-дигидро-2Н-бензо[1,4]оксазин-8-карбоксилат (536 мг), полученный в первой стадии, растворяют в этаноле (10 мл), добавляют 2 М раствор гидроксида натрия (2 мл) и смесь перемешивают при 60°С в течение 1 часа. Реакционную смесь нейтрализуют добавлением хлористоводородной кислоты и концентрируют, распределяют между водой и этилацетатом. Полученный таким образом слой этилацетата сушат над безводным сульфатом натрия и концентрируют, получая при этом указанное в заголовке соединение (493 мг).
Третья стадия
Получение N-(4-трифторметоксифенил)-4-{3-(тетрагидропиран-2-ил)оксиметилпиридин-2-ил}-3,4-дигидро-2Н-бензо[1,4]оксазин-8-карбоксамида
4-{3-(Тетрагидропиран-2-ил)оксиметилпиридин-2-ил}-3,4-дигидро-2Н-бензо[1,4]оксазин-8-карбоновую кислоту (266 мг), полученную во второй стадии, и 4-трифторметоксианилин (97 мкл) подвергают взаимодействию, подобному взаимодействию восьмой стадии примера 1-001, получая при этом указанное в заголовке соединение (222 мг).
Четвертая стадия
Получение N-(4-трифторметоксифенил)-4-(3-гидроксиметилпиридин-2-ил)-3,4-дигидро-2Н-бензо[1,4]оксазин-8-карбоксамида
N-(4-Трифторметоксифенил)-4-{3-(тетрагидропиран-2-ил)оксиметилпиридин-2-ил}-3,4-дигидро-2Н-бензо[1,4]оксазин-8-карбоксамид (217 мг), полученный в третьей стадии, растворяют в метаноле (5 мл), добавляют 6 М хлористоводородную кислоту (0,3 мл) и смесь перемешивают при комнатной температуре в течение 1 часа. Реакционную смесь разбавляют водой, нейтрализуют добавлением раствора гидроксида натрия и экстрагируют этилацетатом. Слой этилацетата сушат над безводным сульфатом натрия, концентрируют и очищают с применением хроматографии на силикагеле, получая при этом указанное в заголовке соединение (164 мг).
Пример 2-12
Получение (+)-N-(4-трифторметилфенил)-4-{3-хлор-5-(1-гидроксиэтил)пиридин-2-ил}-3,4-дигидро-2Н-бензо[1,4]оксазин-8-карбоксамида
Первая стадия
Получение метил-3-ацетамидо-2-гидроксибензоата
Метил-3-аминосалицилат (10 г), полученный во второй стадии примера 1-001, растворяют в этилацетате (30 мл), добавляют воду (30 мл) и гидрокарбонат натрия (5,54 г) и при перемешивании и охлаждении льдом добавляют ацетилхлорид (5 мл). После перемешивания при комнатной температуре в течение 30 минут слой этилацетата сушат над безводным сульфатом натрия и концентрируют, получая при этом указанное в заголовке соединение (11,47 г).
Вторая стадия
Получение метил-4-ацетил-3,4-дигидро-2Н-бензо[1,4]оксазин-8-карбоксилата
Метил-3-ацетамид-2-гидроксибензоат, полученный в первой стадии, растворяют в N,N-диметилформамиде (42 мл), добавляют карбонат калия (9,67 г) и 1-бром-2-хлорэтан (4,99 мл) и смесь перемешивают при 50°С на протяжении ночи. Реакционную смесь распределяют между этилацетатом и водой и слой этилацетата промывают водой, сушат над безводным сульфатом натрия и концентрируют, получая при этом указанное в заголовке соединение (4,32 г).
Третья стадия
Получение 4-ацетил-3,4-дигидро-2Н-бензо[1,4]оксазин-8-карбоновой кислоты
К метил-4-ацетил-3,4-дигидро-2Н-бензо[1,4]оксазин-8-карбоксилату (4,32 г), полученному во второй стадии, добавляют 2 М раствор гидроксида натрия и смесь кипятят с обратным холодильником с перемешиванием в течение 1,5 часа. Реакционную смесь охлаждают на льду и по каплям добавляют раствор тетрагидрофурана (10 мл), содержащий ацетилхлорид (2,62 мл). Дополнительно добавляют 2 М гидроксид натрия и ацетилхлорид до завершения реакции. Полученную таким образом реакционную смесь подкисляют водным раствором лимонной кислоты и экстрагируют этилацетатом. Слой этилацетата промывают насыщенным хлоридом натрия, сушат над безводным сульфатом натрия и затем концентрируют. К концентрату добавляют изопропанол и осажденное твердое вещество собирают фильтрованием и сушат, получая при этом указанное в заголовке соединение (2,25 г).
Четвертая стадия
Получение 4-ацетил-N-(4-трифторметилфенил)-3,4-дигидро-2Н-бензо[1,4]оксазин-8-карбоксамида
4-Ацетил-3,4-дигидро-2Н-бензо[1,4]оксазин-8-карбоновую кислоту (2,75 г), полученную методом, аналогичным методу третьей стадии, растворяют в тетрагидрофуране (30 мл), добавляют оксалилхлорид (1,3 мл) и N,N-диметилформамид (одну каплю) и смесь перемешивают при комнатной температуре в течение 1 часа. К реакционной смеси добавляют пиридин (30 мл) и 4-трифторметиланилин (1,9 мл) и перемешивают при комнатной температуре в течение 1 часа. Реакционную смесь распределяют между водой и этилацетатом и слой этилацетата промывают водой, сушат над безводным сульфатом натрия и затем концентрируют. Осажденное твердое вещество, полученное добавлением н-гексана и диэтилового эфира к концентрату, собирают фильтрованием и сушат, получая при этом указанное в заголовке соединение (2,70 г).
Пятая стадия
Получение N-(трифторметилфенил)-3,4-дигидро-2Н-бензо[1,4]оксазин-8-карбоксамида
Тетрагидрофуран (15 мл) добавляют к 4-ацетил-N-(4-трифторметилфенил)-3,4-дигидро-2Н-бензо[1,4]оксазин-8-карбоксамиду (2,70 г), полученному в четвертой стадии, добавляют воду (15 мл) и концентрированную серную кислоту (5 мл) и смесь кипятят с обратным холодильником в течение 4 часов с перемешиванием. Реакционную смесь охлаждают, нейтрализуют раствором гидроксида натрия и экстрагируют этилацетатом. Слой этилацетата концентрируют и очищают с применением хроматографии на силикагеле, получая при этом указанное в заголовке соединение (1,94 г).
Шестая стадия
Получение 1-(5,6-дихлорпиридин-3-ил)этилового эфира (2R)-2-фенилпропионата
2,3-Дихлор-5-(1-гидрокси)этилпиридин (7,58 г) растворяют в тетрагидрофуране (65 мл), добавляют (R)-2-фенилпропионовую кислоту (5,5 мл), добавляют диизопропилазодикарбоксилат (9,5 мл) и трифенилфосфин (12,54 г) и смесь перемешивают в течение 1 часа при охлаждении льдом. К реакционной смеси добавляют смешанный раствор гексан:этилацетат (9:1), осажденное твердое вещество отделяют фильтрованием, фильтрат концентрируют и очищают с применением хроматографии на силикагеле, получая при этом более полярный изомер (4,54 г) и менее полярный изомер (5,38 г) указанного в заголовке соединения.
Седьмая стадия
Получение 4-{3-хлор-5-[1-(2R)-2-фенилпропионил)оксиэтил]пиридин-2-ил}-N-(4-трифторметилфенил)-3,4-дигидро-2Н-бензо[1,4]оксазин-8-карбоксамида
Более полярный изомер 1-(5,6-дихлорпиридин-3-ил)этилового эфира (2R)-2-фенилпропионата (324 мг), полученный в шестой стадии, и N-(4-трифторметилфенил)-3,4-дигидро-2Н-бензо[1,4]оксазин-8-карбоксамид (322 мг) подвергают реакции, аналогичной реакции первой стадии примера 2-01, получая при этом указанное в заголовке соединение (80 мг).
Восьмая стадия
Получение (+)-N-(4-трифторметилфенил)-4-{3-хлор-5-(1-гидроксиэтил)пиридин-2-ил}-3,4-дигидро-2Н-бензо[1,4]оксазин-8-карбоксамида
4-{3-Хлор-5-[1-((2R)-2-фенилпропионил)оксиэтил]пиридин-2-ил}-N-(4-трифторметилфенил)-3,4-дигидро-2Н-бензо[1,4]оксазин-8-карбоксамид (80 мг), полученный в седьмой стадии, растворяют в метаноле (0,3 мл) и добавляют тетрагидрофуран (0,3 мл), 4 М гидроксид натрия (0,3 мл) и смесь перемешивают при 60°С в течение 1 часа. Реакционную смесь концентрируют и осажденное твердое вещество, полученное добавлением воды, собирают фильтрованием и сушат, получая при этом правовращающий изомер указанного в заголовке соединения (32 мг).
Пример 2-13
Получение (-)-N-(4-трифторметилфенил)-4-{3-хлор-5-(1-гидроксиэтил)пиридин-2-ил}-3,4-дигидро-2Н-бензо[1,4]оксазин-8-карбоксамида
Применяют слабополярный изомер 1-(5,6-дихлорпиридин-3-ил)этилового эфира (2R)-2-фенилпропионата (324 мг), полученный в шестой стадии примера 2-12, и затем проводят способ получения, аналогичный способу после седьмой стадии примера 2-12, получая при этом указанный в заголовке левовращающий изомер указанного в заголовке соединения (115 мг).
Пример 2-14
Получение (+)-N-(4-трифторметоксифенил)-4-{3-хлор-5-(1-гидроксиэтил)пиридин-2-ил}-3,4-дигидро-2Н-бензо[1,4]оксазин-8-карбоксамида
Первая стадия
Получение N-(4-трифторметоксифенил)-3,4-дигидро-2Н-бензо[1,4]оксазин-8-карбоксамида
В четвертой стадии примера 2-12 4-трифторметоксианилин (2,25 г) применяют вместо 4-трифторметиланилина и проводят реакцию, аналогичную реакции способов 4 и 5 примера 2-12, получая при этом указанное в заголовке соединение (1,77 г).
Вторая стадия
Получение (+)-N-(4-трифторметоксифенил)-4-{3-хлор-5-(1-гидроксиэтил)пиридин-2-ил}-3,4-дигидро-2Н-бензо[1,4]оксазин-8-карбоксамида
Применяют N-(4-трифторметоксифенил)-3,4-дигидро-2Н-бензо[1,4]оксазин-8-карбоксамид (334 мг), полученный в первой стадии, и более полярный изомер 1-(5,6-дихлорпиридин-3-ил)этилового эфира (2R)-2-фенилпропионата (320 мг), полученный в шестой стадии примера 2-12, и проводят реакцию после седьмой стадии примера 2-12, получая при этом указанное в заголовке правовращающее соединение (197 мг).
Пример 2-15
Получение (-)-N-(4-трифторметоксифенил)-4-{3-хлор-5-(1-гидроксиэтил)пиридин-2-ил}-3,4-дигидро-2Н-бензо[1,4]оксазин-8-карбоксамида
Во второй стадии примера 2-14 более полярный изомер 1-(5,6-дихлорпиридин-3-ил)этилового эфира (2R)-2-фенилпропионата заменяют слабополярным изомером (320 мг) и реакцию этого и других соединений проводят аналогично, получая при этом указанное в заголовке левовращающее соединение (180 мг).
Пример 2-16 – пример 2-48
Соединения примеров 2-16 – 2-48, показанные в нижеследующих таблицах, получают аналогично проведением любого из методов, описанных в общих способах А-С для получения соединения, и/или методов, описанных в приведенных выше примерах 2-01 – 2-15.
Пример 3
N-(4-Трифторметоксифенил)-4-(3-хлорпиридин-2-ил)-3,4-дигидро-3-оксо-2Н-бензо[1,4]оксазин-8-карбоксамид
Первая стадия
Получение метил-2-метоксиметилокси-3-нитробензоата
Метил-3-нитросалицилат (5,91 г), полученный в первой стадии примера 1-001, растворяют в N,N-диметилформамиде (60 мл), добавляют карбонат натрия (8,29 г), с перемешиванием при охлаждении льдом добавляют метоксиметилхлорид (2,73 мл) и смесь перемешивают в течение 4,5 часа. Реакционную смесь концентрируют и распределяют между этилацетатом и водой. Слой этилацетата промывают водой, сушат над безводным сульфатом натрия и концентрируют, получая при этом указанное в заголовке соединение (6,98 г).
Вторая стадия
Получение метил-3-амино-2-метоксиметилоксибензоата
Метил-2-метоксиметилокси-3-нитробензоат (6,98 г), полученный в первой стадии, подвергают гидрированию, аналогичному второй стадии примера 1-001, получая при этом указанное в заголовке соединение (6,11 г).
Третья стадия
Получение метил-3-(3-хлорпиридин-2-ил)амино-2-метоксиметилоксибензоата
Метил-3-амино-2-метоксиметилоксибензоат (6,11 г), полученный во второй стадии, и 2,3-дихлорпиридин (4,29 г) подвергают реакции, аналогичной реакции первой стадии примера 2-01, получая при этом указанное в заголовке соединение (7,46 г).
Четвертая стадия
Получение метил-3-(3-хлорпиридин-2-ил)аминосалицилата
Метил-3-(3-хлорпиридин-2-ил)амино-2-метоксиметилоксибензоат (7,46 г), полученный в третьей стадии, растворяют в метаноле (50 мл), добавляют 6 М хлористоводородную кислоту и смесь перемешивают при 40°С в течение 1 часа. Реакционную смесь концентрируют. Твердое вещество, осажденное добавлением воды, собирают фильтрованием и сушат, получая при этом указанное в заголовке соединение (5,64 г).
Пятая стадия
Получение 3-(3-хлорпиридин-2-ил)аминосалициловой кислоты
Метил-3-(3-хлорпиридин-2-иламино)салицилат (3,08 г), полученный в четвертой стадии, растворяют в метаноле (20 мл), добавляют 4 М гидроксид натрия (8,3 мл) и смесь перемешивают при 70°С в течение 3 часов. Реакционную смесь концентрируют. К остатку добавляют водный раствор лимонной кислоты и осажденное твердое вещество собирают фильтрованием и сушат, получая при этом указанное в заголовке соединение (2,73 г).
Шестая стадия
Получение 3-(3-хлорпиридин-2-ил)амино-N-(4-трифторметокси)бензамида
3-(3-Хлорпиридин-2-ил)аминосалициловую кислоту (2,73 г), полученную в предыдущей пятой стадии, и 4-трифторметоксианилин (1,46 мл) подвергают конденсации, аналогичной конденсации восьмой стадии примера 1-001, получая при этом указанное в заголовке соединение (2,90 г).
Седьмая стадия
Получение 3-[(3-хлорпиридин-2-ил)-(хлорацетил)]амино-N-(4-трифторметокси)бензамида
3-(3-Хлорпиридин-2-ил)амино-N-(4-трифторметокси)бензамид (0,84 г), полученный в шестой стадии, растворяют в тетрагидрофуране (10 мл), при охлаждении льдом добавляют триэтиламин (0,30 мл) и хлорацетилхлорид (0,175 мл) в указанном порядке и смесь перемешивают в течение 1 часа. Реакционную смесь распределяют между этилацетатом и водой. Слой этилацетата промывают водой, водным раствором лимонной кислоты, водным гидрокарбонатом натрия и насыщенным раствором хлорида натрия в указанном порядке, сушат над безводным сульфатом натрия и концентрируют, получая при этом остаток, содержащий указанное в заголовке соединение.
Восьмая стадия
Получение N-(4-трифторметоксифенил)-4-(3-хлорпиридин-2-ил)-3,4-дигидро-3-оксо-2Н-бензо[1,4]оксазин-8-карбоксамида
Остаток, полученный в предыдущей стадии, растворяют в N,N-диметилформамиде (10 мл), добавляют карбонат калия (0,55 г) и смесь перемешивают при 80°С в течение 1 часа. После концентрирования реакционного раствора раствор распределяют между этилацетатом и водой. Слой этилацетата промывают водой, водным раствором лимонной кислоты и насыщенным раствором соли в указанном порядке, сушат над безводным сульфатом натрия и затем концентрируют. Концентрированный остаток очищают с применением хроматографии на силикагеле, получая при этом указанное в заголовке соединение (519 мг).
Пример 4
Пример 4-01
Получение (R)-4-(3-хлорпиридин-2-ил)-3-гидроксиметил-N-(4-трифторметоксифенил)-3,4-дигидро-2Н-бензо[1,4]оксазин-8-карбоксамида
Первая стадия
Получение (S)-метил-3-(3-хлорпиридин-2-ил)амино-2-(оксиран-2-ил)метилоксибензоата
Метил-3-(3-хлорпиридин-2-ил)аминосалицилат (6,08 г), полученный в четвертой стадии примера 3, растворяют в N,N-диметилформамиде (60 мл), добавляют карбонат калия (3,01 г) и (S)-глицидилнозилат (6,78) и смесь перемешивают при комнатной температуре в течение 13 часов. Реакционную смесь распределяют между диэтиловым эфиром и водой. Эфирный слой промывают водой, водным раствором гидрокарбоната натрия и насыщенным раствором хлорида натрия, сушат над безводным сульфатом натрия и затем концентрируют. Остаток очищают с применением хроматографии на силикагеле, получая при этом указанное в заголовке соединение (7,22 г).
Вторая стадия
Получение (R)-метил-4-(3-хлорпиридин-2-ил)-3-гидроксиметил-3,4-дигидро-2Н-бензо[1,4]оксазин-8-карбоксилата
(S)-Метил-3-(3-хлорпиридин-2-ил)амино-2-(оксиран-2-ил)метилоксибензоат (7,10 г), полученный в первой стадии, растворяют в N,N-диметилформамиде (70 мл), добавляют карбонат калия (3,66 г) и смесь перемешивают при 60°С в течение 2 часов. Реакционную смесь распределяют между водой и этилацетатом. Слой этилацетата промывают насыщенным раствором хлорида натрия, сушат над безводным сульфатом натрия и затем концентрируют. Остаток очищают с применением хроматографии на силикагеле, получая при этом указанное в заголовке бесцветное маслянистое соединение (3,42 г).
Третья стадия
Получение (R)-метил-4-(3-хлорпиридин-2-ил)-3-(тетрагидропиран-2-ил)оксиметил-3,4-дигидро-2Н-бензо[1,4]оксазин-8-карбоксилата
(R)-Метил-4-(3-хлорпиридин-2-ил)-3-гидроксиметил-3,4-дигидро-2Н-бензо[1,4]оксазин-8-карбоксилат (3,33 г), полученный во второй стадии, растворяют в хлороформе (35 мл), добавляют 2,3-дигидропиран (1,0 г) и дигидрат хлорида олова (225 мг) и смесь перемешивают при комнатной температуре в течение 17 часов. Реакционную смесь концентрируют и очищают с применением хроматографии на силикагеле, получая при этом указанное в заголовке маслянистое соединение (3,49 г).
Четвертая стадия
Получение (R)-4-(3-хлорпиридин-2-ил)-3-(тетрагидропиран-2-ил)оксиметил-3,4-дигидро-2Н-бензо[1,4]оксазин-8-карбоновой кислоты
(R)-Метил-4-(3-хлорпиридин-2-ил)-3-(тетрагидропиран-2-ил)оксиметил-3,4-дигидро-2Н-бензо[1,4]оксазин-8-карбоксилат (3,39 г), полученный в третьей стадии, растворяют в тетрагидрофуране (15 мл) и метаноле (15 мл), добавляют 4 М гидроксид натрия (10 мл) и смесь перемешивают при 60°С в течение 0,5 часа. Реакционную смесь нейтрализуют хлористоводородной кислотой, концентрируют и распределяют между водой и этилацетатом. Слой этилацетата промывают насыщенным раствором хлорида натрия, сушат над безводным сульфатом натрия и концентрируют, получая при этом указанное в заголовке соединение (3,15 г).
Пятая стадия
Получение (R)-4-(3-хлорпиридин-2-ил)-3-(тетрагидропиран-2-ил)оксиметил-N-(4-трифторметоксифенил)-3,4-дигидро-3-оксо-2Н-бензо[1,4]оксазин-8-карбоксамида
(R)-4-(3-Хлорпиридин-2-ил)-3-(тетрагидропиран-2-ил)оксиметил-3,4-дигидро-2Н-бензо[1,4]оксазин-8-карбоновую кислоту (1,20 г), полученную в четвертой стадии, и 4-трифторметоксианилин (525 мг) подвергают конденсации, подобной восьмой стадии примера 1-001, получая при этом указанное в заголовке белое аморфное соединение (1,40 г).
Шестая стадия
Получение (R)-4-(3-хлорпиридин-2-ил)-3-гидроксиметил-N-(4-трифторметоксифенил)-3,4-дигидро-2Н-бензо[1,4]оксазин-8-карбоксамида
(R)-4-(3-Хлорпиридин-2-ил)-3-(тетрагидропиран-2-ил)оксиметил-N-(4-трифторметоксифенил)-3,4-дигидро-2Н-бензо[1,4]оксазин-8-карбоксамид (1,33 г), полученный в пятой стадии, растворяют в тетрагидрофуране (15 мл), добавляют 6 М хлористоводородную кислоту (2 мл) и смесь перемешивают при комнатной температуре в течение 1 часа. Реакционную смесь распределяют между водой и этилацетатом. Слой этилацетата промывают водой и насыщенным раствором хлорида натрия в указанном порядке, сушат над безводным сульфатом натрия и затем концентрируют. Концентрированный остаток очищают с применением колоночной хроматографии на силикагеле, получая при этом указанное в заголовке соединение (930 мг).
Пример 4-02
Получение (R)-4-(3-хлорпиридин-2-ил)-3-гидроксиметил-N-(4-трифторметилфенил)-3,4-дигидро-2Н-бензо[1,4]оксазин-8-карбоксамида
Первая стадия
Получение (R)-4-(3-хлорпиридин-2-ил)-3-(тетрагидропиран-2-ил)оксиметил-N-(4-трифторметилфенил)-3,4-дигидро-2Н-бензо[1,4]оксазин-8-карбоксамида
(R)-4-(3-Хлорпиридин-2-ил)-3-(тетрагидропиран-2-ил)оксиметил-3,4-дигидро-2Н-бензо[1,4]оксазин-8-карбоновую кислоту (1,63 г), полученную в четвертой стадии примера 4-01, растворяют в пиридине (15 мл), добавляют тионилхлорид (0,352 мл) и смесь перемешивают при комнатной температуре в течение 1 часа. Добавляют раствор 4-трифторметиланилина (0,973 мл) в пиридине (1 мл) и смесь дополнительно перемешивают в течение 1 часа. Реакционную смесь концентрируют и распределяют между водой и этилацетатом. Полученный таким образом слой этилацетата промывают водным раствором лимонной кислоты, водным гидрокарбонатом натрия и насыщенным раствором хлорида натрия в указанном порядке, сушат над безводным сульфатом натрия и затем концентрируют. Полученный таким образом остаток очищают с применением колоночной хроматографии на силикагеле, получая при этом указанное в заголовке белое аморфное соединение (2,03 г).
Вторая стадия
Получение (R)-4-(3-хлорпиридин-2-ил)-3-гидроксиметил-N-(4-трифторметилфенил)-3,4-дигидро-2Н-бензо[1,4]оксазин-8-карбоксамида
(R)-4-(3-Хлорпиридин-2-ил)-3-(тетрагидропиран-2-ил)оксиметил-N-(4-трифторметилфенил)-3,4-дигидро-2Н-бензо[1,4]оксазин-8-карбоксамид (1,93 г), полученный в первой стадии, подвергают реакции, аналогичной реакции шестой стадии примера 4-01, получая при этом указанное в заголовке соединение (1,34 г).
Пример 4-03
Получение (S)-4-(3-хлорпиридин-2-ил)-3-гидроксиметил-N-(4-трифторметоксифенил)-3,4-дигидро-2Н-бензо[1,4]оксазин-8-карбоксамида
Первая стадия
Получение (S)-4-(3-хлорпиридин-2-ил)-3-(тетрагидропиран-2-ил)оксиметил-3,4-дигидро-2Н-бензо[1,4]оксазин-8-карбоновой кислоты
В первой стадии примера 4-01 (R)-глицидилнозилат (6,74 г) применяют вместо (S)-глицидилнозилата и реакцию проводят аналогичным методом от первой стадии до четвертой стадии, получая при этом указанное в заголовке соединение (3,88 г).
Вторая стадия
Получение (S)-4-(3-хлорпиридин-2-ил)-3-гидроксиметил-N-(4-трифторметоксифенил)-3,4-дигидро-2Н-бензо[1,4]оксазин-8-карбоксамида
Применяют (S)-4-(3-хлорпиридин-2-ил)-3-(тетрагидропиран-2-ил)оксиметил-3,4-дигидро-2Н-бензо[1,4]оксазин-8-карбоновую кислоту (1,88 г), полученную в первой стадии, и проводят реакции, подобные реакциям пятой стадии и шестой стадии примера 4-01, получая при этом указанное в заголовке соединение (1,126 г).
Пример 4-04
Получение (S)-4-(3-хлорпиридин-2-ил)-3-гидроксиметил-N-(4-трифторметилфенил)-3,4-дигидро-2Н-бензо[1,4]оксазин-8-карбоксамида
Применяют (S)-4-(3-хлорпиридин-2-ил)-3-(тетрагидропиран-2-ил)оксиметил-3,4-дигидро-2Н-бензо[1,4]оксазин-8-карбоновую кислоту (2,0 г), полученную в первой стадии примера 4-03, и проводят реакцию, аналогичную реакции способа примера 4-02, получая при этом указанное в заголовке соединение (0,872 г).
Пример 4-05
Получение (S)-4-(5-хлорпиридин-2-ил)-3-гидроксиметил-N-(4-трифторметоксифенил)-3,4-дигидро-2Н-бензо[1,4]оксазин-8-карбоксамида
Первая стадия
Получение метил-3-(5-хлорпиридин-2-ил)амино-2-метоксиметилоксибензоата
Метил-3-амино-2-метоксиметилоксибензоат (4,2 г), полученный таким же методом, как во второй стадии примера 3, и 2,5-дихлорпиридин (3,0 г) подвергают реакции, аналогичной реакции первой стадии примера 2-01, получая при этом указанное в заголовке соединение (1,0 г).
Вторая стадия
Получение (S)-4-(5-хлорпиридин-2-ил)-3-гидроксиметил-N-(4-трифторметоксифенил)-3,4-дигидро-2Н-бензо[1,4]оксазин-8-карбоксамида
Метил-3-(5-хлорпиридин-2-ил)амино-2-метоксиметилоксибензоат (330 мг), полученный в первой стадии, и другие соединения обрабатывают путем, аналогичным пути примера 4-03, получая при этом указанное в заголовке соединение (83 мг).
Пример 4-06
Получение (S)-4-(5-хлорпиридин-2-ил)-3-гидроксиметил-N-(4-трифторметилфенил)-3,4-дигидро-2Н-бензо[1,4]оксазин-8-карбоксамида
Первая стадия
Получение метил-3-(5-хлорпиридин-2-ил)амино-2-гидроксибензоата
В третьей стадии примера 3 2,5-дихлорпиридин (3,0 г), применяемый вместо 2,3-дихлорпиридина, и метил-3-амино-2-метоксиметилоксибензоат (4,20 г) подвергают реакции, аналогичной реакции четвертой стадии, получая при этом указанное в заголовке соединение (1,0 г).
Вторая стадия
Получение (S)-4-(5-хлорпиридин-2-ил)-3-(тетрагидропиран-2-ил)оксиметил-3,4-дигидро-2Н-бензо[1,4]оксазин-8-карбоновой кислоты
Метил-3-(5-хлорпиридин-2-ил)амино-2-гидроксибензоат (1,0 г), полученный в первой стадии, применяют в первой стадии примера 4-01, за исключением того, что (R)-глицидилнозилат (1,1 г) применяют вместо (S)-глицидилнозилата и реакцию этих соединений и других проводят методом, аналогичным методу от первой стадии до четвертой стадии, получая при этом указанное в заголовке соединение (830 мг).
Третья стадия
Получение (S)-4-(5-хлорпиридин-2-ил)-3-гидроксиметил-N-(4-трифторметилфенил)-3,4-дигидро-2Н-бензо[1,4]оксазин-8-карбоксамида
Способ, аналогичный способу примера 4-02, проводят с применением (S)-4-(5-хлорпиридин-2-ил)-3-(тетрагидропиран-2-ил)оксиметил-3,4-дигидро-2Н-бензо[1,4]оксазин-8-карбоновой кислоты (500 мг), полученной во второй стадии, получая при этом указанное в заголовке соединение (104 мг).
Пример 4-07
Получение (S)-4-(5-пиколин-2-ил)-3-гидроксиметил-N-(4-трифторметоксифенил)-3,4-дигидро-2Н-бензо[1,4]оксазин-8-карбоксамида
В примере 4-05 6-хлор-3-пиколин применяют вместо 2,5-дихлорпиридина и подвергают его реакции, аналогичной реакции способа этого примера, получая при этом указанное в заголовке соединение (91 мг).
Пример 4-08
Получение (S)-4-(5-пиколин-2-ил)-3-гидроксиметил-N-(4-трифторметилфенил)-3,4-дигидро-2Н-бензо[1,4]оксазин-8-карбоксамида
В примере 4-06 6-хлор-3-пиколин применяют вместо 2,5-дихлорпиридина и подвергают его реакции, аналогичной реакции способа этого примера, получая при этом указанное в заголовке соединение (167 мг).
Пример 4-09 – пример 4-56
Соединения примеров 4-09 – 4-56, показанные в нижеследующих таблицах, получают аналогично проведению любого из методов, описанных в общих способах А-С для получения соединения, и/или методов, описанных в приведенных ранее примерах 4-01 – 4-08.
Пример 4-57
Получение (R)-9-(3-хлорпиридин-2-ил)-7-гидрокси-N-(4-трифторметоксифенил)-6,7,8,9-тетрагидро-5-окса-9-азабензоциклогептан-4-карбоксамида
Первая стадия
Получение метил-(R)-9-(3-хлорпиридин-2-ил)-7-гидро-6,7,8,9-тетрагидро-5-окса-9-азабензоциклогептан-4-карбоксилата
(S)-3-(3-Хлорпиридин-2-ил)амино-2-(оксиран-2-ил)метилоксибензоат (0,30 г), который получают с применением (R)-глицидилнозилата вместо (S)-глицидилнозилата в способе примера 4-01, растворяют в N,N-диметилформамиде (5 мл), добавляют метоксид натрия (72 мг) и смесь перемешивают при комнатной температуре в течение 1,5 часа. Реакционную смесь распределяют между этилацетатом и водой. Слой этилацетата промывают водой и сушат над безводным сульфатом натрия. Растворитель отгоняют, получая при этом маслянистое вещество, содержащее указанное в заголовке соединение.
Вторая стадия
Получение (R)-9-(3-хлорпиридин-2-ил)-7-гидро-6,7,8,9-тетрагидро-5-окса-9-азабензоциклогептан-4-карбоновой кислоты
Метил-(R)-9-(3-хлорпиридин-2-ил)-7-гидро-6,7,8,9-тетрагидро-5-окса-9-азабензоциклогептан-4-карбоксилат (520 мг), полученный методом, аналогичным методу предыдущей стадии, растворяют в метаноле (5 мл), добавляют 4 н. гидроксид натрия (1,6 мл) и смесь перемешивают при 65°С в течение 3 часов. Реакционную смесь концентрируют и распределяют между водой и этилацетатом. рН водного слоя регулируют до 3 добавлением 6 н. хлористоводородной кислоты. Осажденное твердое вещество собирают фильтрованием, промывают водой и сушат, получая при этом указанное в заголовке соединение (415 мг).
Третья стадия
Получение (R)-9-(3-хлорпиридин-2-ил)-7-гидрокси-N-(4-трифторметоксифенил)-6,7,8,9-тетрагидро-5-окса-9-азабензоциклогептан-4-карбоксамида
(R)-9-(3-Хлорпиридин-2-ил)-7-гидро-6,7,8,9-тетрагидро-5-окса-9-азабензоциклогептан-4-карбоновую кислоту (321 мг), полученную во второй стадии, подвергают реакции конденсации, аналогичной реакции конденсации восьмой стадии примера 1-001, получая при этом указанное в заголовке соединение (310 мг).
Пример 4-58
Получение (R)-9-(3-хлорпиридин-2-ил)-7-гидрокси-N-(4-трифторметилфенил)-6,7,8,9-тетрагидро-5-окса-9-азабензоциклогептан-4-карбоксамида
В способе получения примера 4-04, когда проводят реакцию, аналогичную реакции шестой стадии примера 4-01, указанное в заголовке соединение в виде белого твердого вещества получают в качестве побочного продукта.
Пример 4-59
Получение (S)-9-(3-хлорпиридин-2-ил)-7-гидрокси-N-(4-трифторметоксифенил)-6,7,8,9-тетрагидро-5-окса-9-азабензоциклогептан-4-карбоксамида
(S)-Глицидилнозилат применяют в способе, аналогичном способу примера 4-57, для получения указанного в заголовке соединения.
Пример 5
Пример 5-01
Получение N-(4-трет-бутилфенил)-4-(пиразин-2-ил)-3,4-дигидро-2Н-бензо[1,4]оксазин-8-карбоксамида
Первая стадия
Получение метил-4-(пиразин-2-ил)-3,4-дигидро-2Н-бензо[1,4]оксазин-8-карбоксамида
Применяют метил-3,4-дигидро-2Н-бензо[1,4]оксазин-8-карбоксилат (1,0 г), полученный в пятой стадии примера 1-001, и хлорпиразин (0,6 г) и проводят реакцию сочетания, аналогичную реакции четвертой стадии примера 1-002, получая при этом указанное в заголовке маслянистое соединение (0,84 г).
Вторая стадия
Получение 4-(пиразин-2-ил)-3,4-дигидро-2Н-бензо[1,4]оксазин-8-карбоновой кислоты
Метил-4-(пиразин-2-ил)-3,4-дигидро-2Н-бензо[1,4]оксазин-8-карбоксилат (0,84 г), полученный в первой стадии, растворяют в тетрагидрофуране (2 мл), добавляют метанол (2 мл) и 2 н. гидроксид натрия (3 мл) и смесь перемешивают при 60°С в течение 3 часов. Реакционную смесь концентрируют и добавляют 1 н. гидросульфат калия. Осажденное желтоватое твердое вещество собирают фильтрованием и сушат, получая при этом указанное в заголовке соединение (0,40 г).
Третья стадия
Получение N-(4-трет-бутилфенил)-4-(пиразин-2-ил)-3,4-дигидро-2Н-бензо[1,4]оксазин-8-карбоксамида
4-(Пиразин-2-ил)-3,4-дигидро-2Н-бензо[1,4]оксазин-8-карбоновую кислоту (150 мг), полученный во второй стадии, растворяют в тетрагидрофуране (3 мл), добавляют оксалилхлорид (0,05 мл) и N,N-диметилформамид (одну каплю) и смесь перемешивают при комнатной температуре в течение 0,5 часа. Реакционную смесь концентрируют. Концентрированный остаток растворяют в тетрагидрофуране (3 мл), добавляют трет-бутиланилин (74 мг) и триэтиламин (0,5 мл) и смесь перемешивают при комнатной температуре в течение 0,5 часа. Реакционную смесь распределяют между водой и этилацетатом, слой этилацетата сушат над безводным сульфатом натрия и затем концентрируют. Остаток растворяют в метаноле с нагреванием. Раствор охлаждают с получением твердого вещества, которое собирают фильтрованием и сушат, получая при этом указанное в заголовке соединение (12 мг).
Пример 5-02
Получение N-(4-хлорфенил)-4-(5-этилпиримидин-2-ил)-3,4-дигидро-2Н-бензо[1,4]оксазин-8-карбоксамида
Первая стадия
Получение метил-4-(5-этилпиримидин-2-ил)-3,4-дигидро-2Н-бензо[1,4]оксазин-8-карбоксилата
Применяют метил-3,4-дигидро-2Н-бензо[1,4]оксазин-8-карбоксилат (677 мг), полученный в пятой стадии примера 1-001, и 2-хлор-4-этилпиримидин (500 мг) и проводят реакцию сочетания, аналогичную реакции сочетания четвертой стадии примера 1-002, получая при этом указанное в заголовке желтоватое маслянистое соединение (944 мг).
Вторая стадия
Получение 4-(5-этилпиримидин-2-ил)-3,4-дигидро-2Н-бензо[1,4]оксазин-8-карбоновой кислоты
Метил-4-(5-этилпиримидин-2-ил)-3,4-дигидро-2Н-бензо[1,4]оксазин-8-карбоксилат (944 мг), полученный в первой стадии, подвергают реакции, аналогичной реакции второй стадии примера 5-02, получая при этом указанное в заголовке белое твердое соединение (820 мг).
Третья стадия
Получение N-(4-хлорфенил)-4-(5-этилпиримидин-2-ил)-3,4-дигидро-2Н-бензо[1,4]оксазин-8-карбоксамида
4-(5-Этилпиримидин-2-ил)-3,4-дигидро-2Н-бензо[1,4]оксазин-8-карбоновую кислоту (100 мг), полученную во второй стадии, и 4-хлоранилин (45 мг) подвергают реакции конденсации, аналогичной реакции конденсации восьмой стадии примера 1-001, получая при этом указанное в заголовке соединение (99 мг).
Пример 5-03
Получение N-(4-этоксифенил)-4-(5-этилпиримидин-2-ил)-3,4-дигидро-2Н-бензо[1,4]оксазин-8-карбоксамида
4-(5-Этилпиримидин-2-ил)-3,4-дигидро-2Н-бензо[1,4]оксазин-8-карбоновую кислоту (100 мг), полученную во второй стадии примера 5-02, и п-фенетидин (48 мг) подвергают реакции конденсации, аналогичной реакции конденсации восьмой стадии примера 1-001, получая при этом указанное в заголовке соединение (84 мг).
Пример 5-04
Получение 4-(6-хлорпиридазин-3-ил)-N-(4-трифторметилфенил)-3,4-дигидро-2Н-бензо[1,4]оксазин-8-карбоксамида
Первая стадия
Получение метил-4-(6-хлорпиридазин-3-ил)-3,4-дигидро-2Н-бензо[1,4]оксазин-8-карбоксилата
Применяют метил-3,4-дигидро-2Н-бензо[1,4]оксазин-8-карбоксилат (0,5 г), полученный в пятой стадии примера 1-001, и 3,6-дихлорпиридазин (0,575 г) и проводят реакцию сочетания, аналогичную реакции сочетания четвертой стадии примера 1-002, получая при этом указанное в заголовке соединение (0,24 г).
Вторая стадия
Получение 4-(6-хлорпиридазин-3-ил)-3,4-дигидро-2Н-бензо[1,4]оксазин-8-карбоновой кислоты
Метил-4-(6-хлорпиридазин-3-ил)-3,4-дигидро-2Н-бензо[1,4]оксазин-8-карбоксилат (240 мг), полученный в первой стадии, подвергают реакции, аналогичной реакции второй стадии примера 5-02, получая при этом указанное в заголовке твердое соединение (145 мг).
Третья стадия
Получение 4-(6-хлорпиридазин-3-ил)-N-(4-трифторметилфенил)-3,4-дигидро-2Н-бензо[1,4]оксазин-8-карбоксамида
4-(6-Хлорпиридазин-3-ил)-3,4-дигидро-2Н-бензо[1,4]оксазин-8-карбоновую кислоту (145 мг), полученную во второй стадии, и 4-трифторметиланилин (89 мг) подвергают реакции конденсации, аналогичной реакции конденсации примера 5-01, и продукт очищают с применением хроматографии на силикагеле (н-гексан:этилацетат = 3:1), получая при этом указанное в заголовке соединение (38 мг).
Пример 5-05
Получение 4-(4-метилтиазол-2-ил)-N-(4-трифторметоксифенил)-3,4-дигидро-2Н-бензо[1,4]оксазин-8-карбоксамида
Первая стадия
Получение метил-4-тиокарбамид-3,4-дигидро-2Н-бензо[1,4]оксазин-8-карбоксилата
Метил-3,4-дигидро-2Н-бензо[1,4]оксазин-8-карбоксилат (1,93 г), полученный в первой стадии примера 1-001, растворяют в тетрагидрофуране (20 мл), при охлаждении льдом добавляют 9-флуоренилметилоксикарбонилизотиоцианат (2,95 г) и смесь перемешивают в течение 0,5 часа. Добавляют пиперидин (5 мл) и смесь дополнительно перемешивают в течение 0,5 часа. Полученную таким образом реакционную смесь концентрируют и остаток очищают с применением хроматографии на силикагеле, получая при этом указанное в заголовке соединение (2,27 г).
Вторая стадия
Получение метил-4-(4-метилтиазол-2-ил)-3,4-дигидро-2Н-бензо[1,4]оксазин-8-карбоксилата
Метил-4-тиокарбамид-3,4-дигидро-2Н-бензо[1,4]оксазин-8-карбоксилат (1,10 г), полученный в первой стадии, растворяют в метаноле (15 мл), добавляют хлорацетон (0,4 мл) и смесь кипятят с обратным холодильником в течение 5 часов. Реакционную смесь концентрируют и распределяют между этилацетатом и насыщенным раствором гидрокарбоната натрия. Слой этилацетата промывают водой, водной лимонной кислотой и насыщенным раствором хлорида натрия в указанном порядке, сушат над безводным сульфатом натрия и концентрируют, получая при этом остаток, содержащий указанное в заголовке соединение.
Третья стадия
Получение 4-(4-метилтиазол-2-ил)-3,4-дигидро-2Н-бензо[1,4]оксазин-8-карбоновой кислоты
Остаток, содержащий метил-4-(4-метилтиазол-2-ил)-3,4-дигидро-2Н-бензо[1,4]оксазин-8-карбоксилат, полученный во второй стадии, растворяют в метаноле (10 мл), добавляют 4 н. гидроксид натрия (3 мл) и смесь кипятят с обратным холодильником в течение 0,5 часа. Реакционную смесь концентрируют. Твердое вещество, осажденное добавлением водной лимонной кислоты, собирают фильтрованием и сушат, получая при этом указанное в заголовке соединение (1,10 г).
Четвертая стадия
Получение 4-(4-метилтиазол-2-ил)-N-(4-трифторметоксифенил)-3,4-дигидро-2Н-бензо[1,4]оксазин-8-карбоксамида
4-(4-Метилтиазол-2-ил)-3,4-дигидро-2Н-бензо[1,4]оксазин-8-карбоновую кислоту (0,55 г), полученную в третьей стадии, и 4-трифторметоксианилин (0,28 мл) подвергают реакции, аналогичной реакции восьмой стадии примера 1-001, и очищают с применением хроматографии на силикагеле, получая при этом указанное в заголовке соединение (0,722 г).
Пример 5-06
Получение 4-(5-метилтиазол-2-ил)-N-(4-трифторметоксифенил)-3,4-дигидро-2Н-бензо[1,4]оксазин-8-карбоксамида
Первая стадия
Получение метил-4-(5-метилтиазол-2-ил)-3,4-дигидро-2Н-бензо[1,4]оксазин-8-карбоксилата
2,4,6-Трис-(1-хлорэтил)-1,3,5-триоксан (0,64 г) и монтмориллонит К-10 (39 мг) нагревают при 110°С в течение 10 минут. Добавляют толуол (10 мл) и метил-4-тиокарбамид-3,4-дигидро-2Н-бензо[1,4]оксазин-8-карбоксилат (1,17 г), полученный в первой стадии примера 5-05, затем добавляют 2,4,6-трис-(1-хлорэтил)-1,3,5-триоксан подходящим образом при нагревании для кипячения с обратным холодильником до окончания реакции. Реакционную смесь концентрируют и распределяют между этилацетатом и насыщенным раствором гидрокарбоната натрия. Слой этилацетата концентрируют, получая при этом указанное в заголовке соединение (0,68 г).
Вторая стадия
Получение 4-(5-метилтиазол-2-ил)-3,4-дигидро-2Н-бензо[1,4]оксазин-8-карбоновой кислоты
Метил-4-(5-метилтиазол-2-ил)-3,4-дигидро-2Н-бензо[1,4]оксазин-8-карбоксилат (0,68 г), полученный во второй стадии, растворяют в метаноле (7 мл), добавляют 4 н. гидроксид натрия (1,77 мл) и смесь кипятят с обратным холодильником в течение 20 минут с перемешиванием. Реакционную смесь концентрируют. Твердое вещество, осажденное добавлением водной лимонной кислоты, собирают фильтрованием и сушат, получая при этом указанное в заголовке соединение (0,66 г).
Третья стадия
Получение 4-(5-метилтиазол-2-ил)-N-(4-трифторметоксифенил)-3,4-дигидро-2Н-бензо[1,4]оксазин-8-карбоксамида
4-(5-Метилтиазол-2-ил)-3,4-дигидро-2Н-бензо[1,4]оксазин-8-карбоновую кислоту (0,66 г), полученную во второй стадии, и трифторметоксианилин (0,28 мг) подвергают реакции, аналогичной реакции восьмой стадии примера 1-001, получая при этом указанное в заголовке соединение (0,878 г).
Пример 6
Пример 6-01
Получение (S)-3-гидроксиметил-4-(5-метилтиазол-2-ил)-N-(4-трифторметоксифенил)-3,4-дигидро-2Н-бензо[1,4]оксазин-8-карбоксамида
Первая стадия
Получение метил-2-метоксиметилокси-3-тиоуреидбензоата
Метил-3-амино-2-метоксиметилоксибензоат (2,11 г), полученный во второй стадии примера 3, растворяют в тетрагидрофуране (20 мл) и при охлаждении льдом добавляют 9-флуоренилметилоксикарбонилизотиоцианат (3,09 г) и смесь перемешивают в течение 3 часов. Реакционную смесь концентрируют, добавляют N,N-диметилформамид и пиперидин (1 мл) и смесь дополнительно перемешивают в течение 2 часов. Полученную таким образом реакционную смесь концентрируют и распределяют между этилацетатом и водой. Слой этилацетата промывают водной лимонной кислотой, насыщенным раствором гидрокарбоната натрия и насыщенным раствором хлорида натрия в указанном порядке, сушат над безводным сульфатом натрия и концентрируют, получая при этом указанное в заголовке соединение (1,91 г).
Вторая стадия
Получение метил-3-(5-метилтиазол-2-ил)аминосалицилата
Метил-2-метоксиметилокси-3-тиоуреидбензоат (1,64 г), полученный в первой стадии, подвергают реакции, аналогичной реакции первой стадии примера 5-06, получая при этом указанное в заголовке соединение (734 мг).
Третья стадия
Получение метил-(R)-3-(5-метилтиазол-2-ил)амино-2-(оксиран-2-ил)метилоксибензоата
Метил-3-(5-метилтиазол-2-ил)аминосалицилат (848 мг), полученный методом, аналогичным методу во второй стадии, растворяют в N,N-диметилформамиде (8 мл), добавляют карбонат калия (452 мг) и (R)-глицидилнозилат (915 мг) и смесь перемешивают при комнатной температуре в течение 5 часов. Реакционную смесь распределяют между этилацетатом и водой. Слой этилацетата промывают водой и насыщенным раствором хлорида натрия, сушат над безводным сульфатом натрия и затем концентрируют. Остаток очищают с применением хроматографии на силикагеле (н-гексан:этилацетат = 3:1), получая при этом указанное в заголовке соединение (719 мг).
Четвертая стадия
Получение метил-(S)-3-гидроксиметил-4-(5-метилтиазол-2-ил)-3,4-дигидро-2Н-бензо[1,4]оксазин-8-карбоксилата
Метил-(R)-3-(5-метилтиазол-2-ил)амино-2-(оксиран-2-ил)метилоксибензоат (700 мг), полученный в третьей стадии, растворяют в диметилсульфоксиде (5 мл), добавляют 1,8-диазабицикло[5,4,0]ундецен-7-ен (166 мг) и смесь перемешивают при комнатной температуре в течение 1,5 часа. Реакционную смесь распределяют между этилацетатом и водой. Слой этилацетата промывают водой и насыщенным раствором хлорида натрия, сушат над безводным сульфатом натрия и концентрируют, получая при этом указанное в заголовке бесцветное маслянистое соединение (695 мг).
Пятая стадия
Получение метил-(S)-4-(5-метилтиазол-2-ил)-3-(тетрагидропиран-2-ил)оксиметил-3,4-дигидро-2Н-бензо[1,4]оксазин-8-карбоксилата
Метил-(S)-3-гидроксиметил-4-(5-метилтиазол-2-ил)-3,4-дигидро-2Н-бензо[1,4]оксазин-8-карбоксилат (695 мг), полученный в четвертой стадии, растворяют в хлороформе (7 мл), добавляют 2,3-дигидропиран (700 мг) и гидрат п-толуолсульфоновой кислоты (453 мг) и смесь перемешивают при комнатной температуре в течение 7 часов. Реакционную смесь концентрируют и распределяют между этилацетатом и насыщенным раствором гидрокарбоната натрия. Таким образом полученный слой этилацетата промывают насыщенным раствором хлорида натрия, сушат над безводным сульфатом натрия и затем концентрируют. Концентрированный остаток очищают с применением хроматографии на силикагеле (н-гексан:этилацетат = 3:1), получая при этом указанное в заголовке соединение (552 мг).
Шестая стадия
Получение (S)-4-(5-метилтиазол-2-ил)-3-(тетрагидропиран-2-ил)оксиметил-3,4-дигидро-2Н-бензо[1,4]оксазин-8-карбоновой кислоты
Метил-(S)-4-(5-метилтиазол-2-ил)-3-(тетрагидропиран-2-ил)оксиметил-3,4-дигидро-2Н-бензо[1,4]оксазин-8-карбоксилат (552 мг) растворяют в тетрагидрофуране (2,5 мл) и метаноле (2,5 мл), добавляют 4 М гидроксид натрия (1,0 мл) и смесь перемешивают при 60°С в течение 1 часа. Реакционную смесь нейтрализуют разбавленной хлористоводородной кислотой и экстрагируют этилацетатом. Слой этилацетата промывают насыщенным раствором хлорида натрия, сушат над безводным сульфатом натрия и концентрируют, получая при этом указанное в заголовке соединение (563 мг).
Седьмая стадия
Получение (S)-3-гидроксиметил-4-(5-метилтиазол-2-ил)-3-(тетрагидропиран-2-ил)оксиметил-N-(трифторметоксифенил)-3,4-дигидро-2Н-бензо[1,4]оксазин-8-карбоксамида
(S)-4-(5-Метилтиазол-2-ил)-3-(тетрагидропиран-2-ил)оксиметил-3,4-дигидро-2Н-бензо[1,4]оксазин-8-карбоновую кислоту (250 мг), полученный в шестой стадии, и 4-трифторметоксианилин (170 мг) подвергают реакции конденсации, аналогичной реакции конденсации восьмой стадии примера 1-001, получая при этом указанное в заголовке соединение (379 мг).
Восьмая стадия
Получение (S)-3-гидроксиметил-4-(5-метилтиазол-2-ил)-N-(4-трифторметоксифенил)-3,4-дигидро-2Н-бензо[1,4]оксазин-8-карбоксамида
(S)-3-Гидроксиметил-4-(5-метилтиазол-2-ил)-3-(тетрагидропиран-2-ил)оксиметил-N-(трифторметоксифенил)-3,4-дигидро-2Н-бензо[1,4]оксазин-8-карбоксамид (379 мг), полученный в седьмой стадии, растворяют в тетрагидрофуране (5 мл), добавляют 6 н. хлористоводородную кислоту (1 мл) и смесь перемешивают при комнатной температуре в течение 1 часа. Реакционную смесь нейтрализуют насыщенным раствором гидрокарбоната натрия и экстрагируют этилацетатом. Слой этилацетата промывают насыщенным раствором хлорида натрия, сушат над безводным сульфатом натрия и затем концентрируют. Остаток очищают с применением колоночной хроматографии на силикагеле. К очищенному веществу добавляют н-гексан и осажденное твердое вещество собирают фильтрованием и сушат, получая при этом указанное в заголовке соединение (216 мг).
Пример 6-02
Получение (S)-3-гидроксиметил-4-(5-метилтиазол-2-ил)-N-(4-трифторметилфенил)-3,4-дигидро-2Н-бензо[1,4]оксазин-8-карбоксамида
Первая стадия
Получение (S)-3-гидроксиметил-4-(5-метилтиазол-2-ил)-3-(тетрагидропиран-2-ил)оксиметил-N-(4-трифторметилфенил)-3,4-дигидро-2Н-бензо[1,4]оксазин-8-карбоксамида
(S)-4-(5-Метилтиазол-2-ил)-3-(тетрагидропиран-2-ил)оксиметил-3,4-дигидро-2Н-бензо[1,4]оксазин-8-карбоновую кислоту (260 мг), полученную в шестой стадии примера 6-01, растворяют в пиридине (5 мл), добавляют тионилхлорид (0,097 мл) и смесь перемешивают при комнатной температуре в течение 1 часа. Затем добавляют 4-трифторметиланилин и смесь перемешивают на протяжении ночи. Реакционную смесь концентрируют и распределяют между этилацетатом и 5% водным раствором лимонной кислоты. Слой этилацетата промывают водой и насыщенным раствором хлорида натрия в указанном порядке, сушат над безводным сульфатом натрия и концентрируют, получая при этом остаток, содержащий указанное в заголовке соединение.
Вторая стадия
Получение (S)-3-гидроксиметил-4-(5-метилтиазол-2-ил)-N-(4-трифторметилфенил)-3,4-дигидро-2Н-бензо[1,4]оксазин-8-карбоксамида
Остаток, содержащий (S)-3-гидроксиметил-4-(5-метилтиазол-2-ил)-3-(тетрагидропиран-2-ил)оксиметил-N-(4-трифторметилфенил)-3,4-дигидро-2Н-бензо[1,4]оксазин-8-карбоксамид, полученный в первой стадии, подвергают реакции, аналогичной реакции восьмой стадии примера 6-01, получая при этом указанное в заголовке соединение (227 мг).
Пример 6-03
Получение гидрохлорида (S)-N-(3,4-дихлорфенил)-3-гидроксиметил-4-(5-метилтиазол-2-ил)-3,4-дигидро-2Н-бензо[1,4]оксазин-8-карбоксамида
Первая стадия
Получение метил-2-метоксиметилокси-3-(3-проп-2-инил)тиоуреидобензоата
Метил-3-амино-2-метоксиметилоксибензоат (21,12 г), полученный во второй стадии примера 3, растворяют в этилацетате (100 мл), добавляют воду (100 мл) и гидрокарбонат натрия (25,2 г) и при перемешивании и охлаждении льдом по каплям добавляют тиофосген (7,62 мл). Через 0,5 часа добавляют пропаргиламин (7,2 мл) и смесь перемешивают при комнатной температуре в течение 2 часов. Реакционную смесь распределяют и слой этилацетата промывают водой, сушат над безводным сульфатом натрия и концентрируют, получая при этом коричневатое маслянистое вещество (36,16 г), содержащее указанное в заголовке соединение.
Вторая стадия
Получение метил-2-метоксиметилокси-3-(5-метилен-4,5-дигидротиазол-2-ил)аминобензоата
Коричневатое маслянистое вещество (36,16 г), полученное в первой стадии, растворяют в метаноле (200 мл), добавляют п-толуолсульфоновую кислоту (1,90 г) и смесь кипятят с обратным холодильником в течение 2 часов с перемешиванием. Реакционную смесь концентрируют и распределяют между этилацетатом и насыщенным водным гидрокарбонатом натрия. Слой этилацетата промывают водой и насыщенным раствором хлорида натрия в указанном порядке, сушат над безводным сульфатом натрия и концентрируют, получая при этом указанное в заголовке соединение (34,42 г).
Третья стадия
Получение метил-3-(5-метилтиазол-2-ил)аминосалицилата
Метил-2-метоксиметилокси-3-(5-метилен-4,5-дигидротиазол-2-ил)аминобензоат (34,42 г), полученный во второй стадии, перемешивают при 50°С в течение 30 минут в растворе 25% бромид водорода/уксусная кислота (60 мл). Реакционную смесь охлаждают, с перемешиванием добавляют 4 н. гидроксид натрия (75 мл) и осажденное твердое вещество собирают фильтрованием и сушат, получая при этом указанное в заголовке соединение.
Четвертая стадия
Получение метил-(S)-3-гидроксиметил-4-(5-метилтиазол-2-ил)-3,4-дигидро-2Н-бензо[1,4]оксазин-8-карбоксилата
Метил-3-(5-метилтиазол-2-ил)аминосалицилат (3,54 г), полученный в третьей стадии, подвергают реакции, аналогичной реакции третьей стадии и четвертой стадии примера 6-01, получая при этом указанное в заголовке соединение (4,29 г).
Пятая стадия
Получение (S)-3-гидроксиметил-4-(5-метилтиазол-2-ил)-3,4-дигидро-2Н-бензо[1,4]оксазин-8-карбоновой кислоты
Метил-(S)-3-гидроксиметил-4-(5-метилтиазол-2-ил)-3,4-дигидро-2Н-бензо[1,4]оксазин-8-карбоксилат (4,29 г), полученный в четвертой стадии, растворяют в тетрагидрофуране (10 мл) и добавляют метанол (10 мл), 4 н. раствор гидроксида натрия (10 мл) и смесь перемешивают при 60°С в течение 0,5 часа. Реакционную смесь нейтрализуют, концентрируют и распределяют между этилацетатом и водой. Слой этилацетата промывают насыщенным раствором хлорида натрия и затем концентрируют. К остатку добавляют этилацетат, нерастворимое вещество отделяют фильтрованием и концентрируют, получая при этом указанное в заголовке соединение (3,53 г).
Шестая стадия
Получение гидрохлорида (S)-3-ацетоксиметил-4-(5-метилтиазол-2-ил)-3,4-дигидро-2Н-бензо[1,4]оксазин-8-карбоновой кислоты
(S)-3-Гидроксиметил-4-(5-метилтиазол-2-ил)-3,4-дигидро-2Н-бензо[1,4]оксазин-8-карбоновую кислоту (2,53 г), полученную в пятой стадии, растворяют в тетрагидрофуране (25 мл), добавляют 4-(диметиламино)пиридин (1,01 г) и смесь перемешивают при комнатной температуре в течение 1 часа. Затем добавляют уксусный ангидрид (0,779 мл) и смесь дополнительно перемешивают в течение 0,5 часа. Реакционную смесь распределяют между этилацетатом и 5% водным раствором лимонной кислоты. Слой этилацетата промывают насыщенным раствором хлорида натрия, сушат над безводным сульфатом натрия и затем концентрируют. Концентрированный остаток растворяют в этилацетате (50 мл) и добавляют раствор 4 н. хлорид водорода/этилацетат (2,5 мл). Осажденное твердое вещество собирают фильтрованием и сушат, получая при этом указанное в заголовке соединение (2,60 г).
Седьмая стадия
Получение (S)-3-ацетоксиметил-N-(3,4-дихлорфенил)-4-(5-метилтиазол-2-ил)-3,4-дигидро-2Н-бензо[1,4]оксазин-8-карбоксамида
Гидрохлорид (S)-3-ацетоксиметил-4-(5-метилтиазол-2-ил)-3,4-дигидро-2Н-бензо[1,4]оксазин-8-карбоновой кислоты (445 мг), полученной в шестой стадии, растворяют в пиридине (5 мл), добавляют тионилхлорид (0,168 мл) и смесь перемешивают при комнатной температуре в течение 1 часа. Добавляют 3,4-дихлоранилин (187 мг) и смесь дополнительно перемешивают в течение 0,5 часа. Реакционную смесь концентрируют и распределяют между этилацетатом и 5% водным раствором лимонной кислоты. Слой этилацетата промывают водой и насыщенным раствором хлорида натрия в указанном порядке, сушат над безводным сульфатом натрия и затем концентрируют. Остаток очищают с применением хроматографии на силикагеле (н-гексан:этилацетат = 2:1), получая при этом указанное в заголовке соединение (398 мг).
Восьмая стадия
Получение гидрохлорида (S)-N-(3,4-дихлорфенил)-3-гидроксиметил-4-(5-метилтиазол-2-ил)-3,4-дигидро-2Н-бензо[1,4]оксазин-8-карбоксамида
(S)-3-Ацетоксиметил-N-(3,4-дихлорфенил)-4-(5-метилтиазол-2-ил)-3,4-дигидро-2Н-бензо[1,4]оксазин-8-карбоксамид (398 мг), полученный в седьмой стадии, растворяют в тетрагидрофуране (5 мл) и метаноле (5 мл), добавляют 1 н. гидроксид натрия (1,25 мл) и смесь перемешивают при комнатной температуре в течение 0,5 часа. Реакционную смесь концентрируют и распределяют между этилацетатом и водой. Слой этилацетата промывают водой и насыщенным раствором хлорида натрия, сушат над безводным сульфатом натрия и затем концентрируют. Остаток растворяют в диэтиловом эфире (10 мл) и добавляют раствор 4 н. хлорид водорода/этилацетат (1 мл). Осажденное твердое вещество собирают фильтрованием и сушат, получая при этом указанное в заголовке соединение (352 мг).
Пример 6-04 – пример 6-10
Соединения примеров 6-04 – 6-10, показанные в нижеследующей таблице, получают аналогично проведению любого из методов, описанных в общих способах А-С для получения соединения и/или методов, описанных в указанных выше примерах 6-01 – 6-03.
Пример 6-11
Получение (S)-3-гидроксиметил-4-(5-метилоксазол-2-ил)-N-(4-трифторметоксифенил)-3,4-дигидро-2Н-бензо[1,4]оксазин-8-карбоксамида
Первая стадия
Получение метил-3-изотиоциано-2-метоксиметилоксибензоата
Метил-3-амино-2-метоксиметилтиобензоат (2,0 г), полученный во второй стадии примера 3, растворяют в тетрагидрофуране (20 мл) и добавляют триэтиламин (4 мл) и при охлаждении льдом и перемешивании по каплям добавляют тиофосген (0,76 мл). После добавления воды реакционную смесь концентрируют и распределяют добавлением этилацетата. Слой этилацетата промывают водой, сушат над безводным сульфатом натрия и концентрируют, получая при этом указанное в заголовке соединение (2,4 г).
Вторая стадия
Получение метил-3-(5-метилоксазол-2-ил)амино-3-метоксиметилоксибензоата
1-Азидоацетон (0,94 г) растворяют в метиленхлориде (10 мл), добавляют метил-3-изотиоцианато-2-метоксиметилоксибензоат (2,4 г), полученный в первой стадии, и трифенилфосфин (2,5 г) и смесь перемешивают при комнатной температуре в течение 3 часов. Реакционную смесь концентрируют, добавляют диэтиловый эфир и осажденное твердое вещество удаляют фильтрованием. Фильтрат концентрируют. Остаток очищают с применением хроматографии на силикагеле (н-гексан:этилацетат = 5:1), получая при этом указанное в заголовке соединение (1,82 г).
Третья стадия
Получение метил-3-(5-метилизоксазол-2-ил)аминосалицилата
Метил-3-(5-метилоксазол-2-ил)амино-3-метоксиметилоксибензоат (1,77 г), полученный во второй стадии, растворяют в тетрагидрофуране (20 мл), добавляют 6 н. хлористоводородную кислоту (3 мл) и смесь перемешивают при комнатной температуре в течение 1 часа. Реакционную смесь концентрируют и распределяют между водой и этилацетатом. Водный слой нейтрализуют хлористоводородной кислотой, осажденное твердое вещество собирают фильтрованием и сушат, получая при этом указанное в заголовке соединение (1,4 г).
Четвертая стадия
Получение (S)-4-(5-метилоксазол-2-ил)-3-(тетрагидропиран-2-ил)оксиметил-3,4-дигидро-2Н-бензо[1,4]оксазин-8-карбоновой кислоты
Метил-3-(5-метилоксазол-2-ил)аминосалицилат (1,4 г), полученный в третьей стадии, подвергают реакции, аналогичной реакции третьей стадии – шестой стадии примера 6-01, получая при этом указанное в заголовке соединение (760 мг).
Пятая стадия
Получение (S)-3-гидроксиметил-4-(5-метилоксазол-2-ил)-N-(4-трифторметоксифенил)-3,4-дигидро-2Н-бензо[1,4]оксазин-8-карбоксамида
(S)-4-(5-Метилоксазол-2-ил)-3-(тетрагидропиран-2-ил)оксиметил-3,4-дигидро-2Н-бензо[1,4]оксазин-8-карбоновую кислоту (200 мг), полученную в четвертой стадии, подвергают реакции, аналогичной реакции седьмой стадии и восьмой стадии примера 6-01, получая при этом указанное в заголовке соединение (78 мг).
Пример 6-12
Получение (S)-3-гидроксиметил-4-(5-метилоксазол-2-ил)-N-(4-трифторметилфенил)-3,4-дигидро-2Н-бензо[1,4]оксазин-8-карбоксамида
(S)-4-(5-Метилоксазол-2-ил)-3-(тетрагидропиран-2-ил)оксиметил-3,4-дигидро-2Н-бензо[1,4]оксазин-8-карбоновую кислоту (200 мг), полученную в четвертой стадии примера 6-11, подвергают реакции, аналогичной реакции первой стадии и второй стадии примера 6-02, получая при этом указанное в заголовке соединение (80 мг).
Пример 6-13
Получение (S)-4-(4,5-диметилтиазол-2-ил)-3-гидроксиметил-N-(4-трифторметоксифенил)-3,4-дигидро-2Н-бензо[1,4]оксазин-8-карбоксамида
Первая стадия
Получение метил-3-(4,5-диметилтиазол-2-ил)амино-3-метоксиметилоксибензоата
Метил-2-метоксиметилокси-3-тиоуреидобензоат (2,00 г), полученный в первой стадии примера 6-01, 3-бром-2-бутанон (1,34 г) и гидрокарбонат натрия (746 мг) в этаноле (20 мл) кипятят с обратным холодильником в течение 1,5 часа с перемешиванием. Реакционную смесь концентрируют и распределяют между водой и этилацетатом. Слой этилацетата промывают насыщенным раствором хлорида натрия, сушат над безводным сульфатом натрия и концентрируют, получая при этом указанное в заголовке соединение (2,65 г).
Вторая стадия
Получение метил-3-(4,5-диметилтиазол-2-ил)аминосалицилата
Метил-3-(4,5-диметилтиазол-2-ил)амино-3-метоксиметилоксибензоат (2,65 г) растворяют в тетрагидрофуране (10 мл), добавляют 6 н. хлористоводородную кислоту (2 мл) и смесь перемешивают при 60°С в течение 1 часа. Реакционную смесь нейтрализуют добавлением насыщенного раствора гидрокарбоната натрия и затем концентрируют. Осажденное твердое вещество собирают фильтрованием и сушат, получая при этом указанное в заголовке соединение (2,00 г).
Третья стадия
Получение (S)-4-(4,5-диметилтиазол-2-ил)-3-гидроксиметил-N-(4-трифторметоксифенил)-3,4-дигидро-2Н-бензо[1,4]оксазин-8-карбоксамида
Метил-3-(4,5-диметилтиазол-2-ил)аминосалицилат, полученный во второй стадии, подвергают реакции, аналогичной реакции способа третьей стадии – восьмой стадии примера 6-001, получая при этом указанное в заголовке соединение.
Пример 6-14
Получение (S)-4-(4,5-диметилтиазол-2-ил)-3-гидроксиметил-N-(4-трифторметилфенил)-3,4-дигидро-2Н-бензо[1,4]оксазин-8-карбоксамида
Метил-3-(4,5-диметилтиазол-2-ил)аминосалицилат, полученный во второй стадии примера 6-13, подвергают реакции, аналогичной реакции способа третьей стадии – шестой стадии примера 6-01 и первой стадии и второй стадии примера 6-02, получая при этом указанное в заголовке соединение.
Пример 6-15
Получение (S)-3-гидроксиметил-4-(5-метил[1,3,4]тиазол-2-ил)-N-(4-трифторметоксифенил)-3,4-дигидро-2Н-бензо[1,4]оксазин-8-карбоксамида
Первая стадия
Получение метил-3-(ацетилгидразинотиоксометил)амино-2-метоксиметилоксибензоата
Метил-3-изотиоциано-2-метоксиметилоксибензоат (6,12 г), полученный в первой стадии примера 6-11, растворяют в тетрагидрофуране (100 мл), добавляют ацетогидразид (2,5 г) и смесь кипятят с обратным холодильником с перемешиванием. Реакционную смесь распределяют между водой и этилацетатом. Слой этилацетата промывают водой и насыщенным раствором хлорида натрия, сушат над безводным сульфатом натрия и затем концентрируют. Остаток очищают с применением хроматографии на силикагеле (н-гексан:этилацетат = 1:1), получая при этом указанное в заголовке соединение (4,97 г).
Вторая стадия
Получение метил-3-(5-метил[1,3,4]тиадиазол-2-ил)аминосалицилата
Метил-3-(ацетилгидразинотиоксометил)амино-2-метоксиметилоксибензоат (4,97 г), полученный в первой стадии, растворяют в этаноле (100 мл) и при охлаждении льдом добавляют концентрированную серную кислоту (50 мл). Смесь дополнительно перемешивают при комнатной температуре в течение 1 часа. Реакционную смесь нейтрализуют и распределяют между водой и этилацетатом. Слой этилацетата промывают водой и насыщенным раствором хлорида натрия в указанном порядке, сушат над безводным сульфатом натрия и затем концентрируют. Остаток очищают с применением хроматографии на силикагеле (н-гексан:этилацетат = 2:1), получая при этом указанное в заголовке соединение (1,11 г).
Третья стадия
Получение (S)-3-гидроксиметил-4-(5-метил[1,3,4]тиадиазол-2-ил)-N-(4-трифторметоксифенил)-3,4-дигидро-2Н-бензо[1,4]оксазин-8-карбоксамида
Метил-3-(5-метил[1,3,4]тиадиазол-2-ил)аминосалицилат, полученный во второй стадии, подвергают реакции, аналогичной реакции способа третьей стадии – восьмой стадии примера 6-001, получая при этом указанное в заголовке соединение.
Пример 6-16
Получение (S)-3-гидроксиметил-4-(5-метил[1,3,4]тиадиазол-2-ил)-N-(4-трифторметилфенил)-3,4-дигидро-2Н-бензо[1,4]оксазин-8-карбоксамида
Метил-3-(5-метил[1,3,4]тиадиазол-2-ил)аминосалицилат, полученный во второй стадии примера 6-15, подвергают реакции, аналогичной реакции способа третьей стадии – шестой стадии примера 6-001 и первой стадии и второй стадии примера 6-02, получая при этом указанное в заголовке соединение.
Пример 6-17
Получение 4-(4,5-диметилтиазол-2-ил)-N-(4-трифторметоксифенил)-3,4-дигидро-2Н-бензо[1,4]тиазин-8-карбоксамида
Первая стадия
Получение метил-2-карбометоксиметилсульфанил-3-нитробензоата
Метил-2-хлор-3-нитробензоат (11,6 г), полученный в первой стадии примера 1-004, растворяют в метаноле (100 мл), добавляют гидрокарбонат натрия (6,83 г) и меркаптоуксусную кислоту (2,64 мл) и смесь кипятят с обратным холодильником с перемешиванием в течение 16 часов. Реакционный раствор оставляют для охлаждения, выливают в смесь 2 М хлористоводородная кислота (100 мл) – этилацетат (100 мл) с перемешиванием при охлаждении льдом и распределяют. Слой этилацетата промывают насыщенным раствором хлорида натрия, сушат над безводным сульфатом натрия и концентрируют. Остаток очищают хроматографией на силикагеле (хлороформ:метанол:уксусная кислота = 19:0,9:0,1), получая при этом указанное в заголовке соединение (4,84 г) в виде бледно-оранжевого твердого вещества.
Вторая стадия
Получение метил-3-оксо-3,4-дигидро-2Н-бензо[1,4]тиазин-8-карбоксилата
Хлорид аммония (379 мг) растворяют в воде (10 мл) и добавляют восстановленное железо (3,66 г) при нагревании до 85°С и перемешивании. К смеси добавляют раствор метил-2-карбометоксиметилсульфанил-3-нитробензоата, полученного в указанной выше стадии (4,81 г), в N,N-диметилформамиде (20 мл), на протяжении 15 минут и смесь нагревают и перемешивают при 85°С в течение дополнительного одного часа. Реакционный раствор оставляют для охлаждения, добавляют воду, этилацетат и тетрагидрофуран. После удаления нерастворимого вещества смесь распределяют. Органический слой сушат над безводным сульфатом натрия и концентрируют. Бледно-серое твердое вещество, осажденное диизопропиловым эфиром, собирают фильтрованием и сушат, получая при этом указанное в заголовке соединение (2,99 г).
Третья стадия
Получение метил-3,4-дигидро-2Н-бензо[1,4]тиазин-8-карбоксилата
Метил-3-оксо-3,4-дигидро-2Н-бензо[1,4]тиазин-8-карбоксилат, полученный в указанной выше стадии (2,99 г), подвергают такой же реакции, как в пятой стадии примера 1-001, получая при этом указанное в заголовке соединение (2,53 г) в виде желтого твердого вещества.
Четвертая стадия
Получение метил-4-тиокарбамид-3,4-дигидро-2Н-бензо[1,4]тиазин-8-карбоксилата
Такую же реакцию, как в первой стадии примера 5-05, проводят для метил-3,4-дигидро-2Н-бензо[1,4]тиазин-8-карбоксилата, полученного в указанной выше стадии, получая при этом указанное в заголовке соединение (1,44 г) в виде белого твердого вещества.
Пятая стадия
Получение метил-4-(4,5-диметилтиазол-2-ил)-3,4-дигидро-2Н-бензо[1,4]тиазин-8-карбоксилата
Метил-4-тиокарбамид-3,4-дигидро-2Н-бензо[1,4]тиазин-8-карбоксилат (1,44 г), полученный в указанной выше стадии, 3-бром-2-бутанон (972 мг) и гидрокарбонат натрия (541 мг) кипятят с обратным холодильником с перемешиванием в метаноле (15 мл) и тетрагидрофуране (10 мл) в течение 17 часов. Реакционный раствор концентрируют и распределяют между водой и этилацетатом. Образовавшийся слой этилацетата промывают насыщенным раствором хлорида натрия, сушат над безводным сульфатом натрия и концентрируют, получая при этом указанное в заголовке соединение (1,91 г).
Шестая стадия
Получение 4-(4,5-диметилтиазол-2-ил)-3,4-дигидро-2Н-бензо[1,4]тиазин-8-карбоновой кислоты
Метил-4-(4,5-диметилтиазол-2-ил)-3,4-дигидро-2Н-бензо[1,4]тиазин-8-карбоксилат (1,91 г), полученный в указанной выше стадии, растворяют в метаноле (5 мл) и тетрагидрофуране (5 мл), добавляют 4 н. гидроксид натрия (2,0 мл) и смесь кипятят с обратным холодильником с перемешиванием в течение одного часа. Реакционный раствор концентрируют и нейтрализуют добавлением 2 н. хлористоводородной кислоты при охлаждении льдом. Осажденное твердое вещество отделяют фильтрованием и сушат, получая при этом указанное в заголовке соединение (1,41 г).
Седьмая стадия
Получение 4-(4,5-диметилтиазол-2-ил)-N-(4-трифторметоксифенил)-3,4-дигидро-2Н-бензо[1,4]тиазин-8-карбоксамида
Такую же реакцию, как в восьмой стадии примера 1-001, проводят для 4-(4,5-диметилтиазол-2-ил)-3,4-дигидро-2Н-бензо[1,4]тиазин-8-карбоновой кислоты, полученной в указанной выше стадии (1,40 г), и 4-трифторметоксианилина (809 мг), получая при этом указанное в заголовке соединение (1,03 г) в виде белого твердого вещества.
Пример 6-18
Получение 4-(4,5-диметилтиазол-2-ил)-N-(4-трифторметоксифенил)-1-оксо-3,4-дигидробензо[1,4]тиазин-8-карбоксамида
4-(4,5-Диметилтиазол-2-ил)-N-(4-трифторметоксифенил)-3,4-дигидро-2Н-бензо[1,4]тиазин-8-карбоксамид, полученный в примере 6-17 (500 мг), суспендируют в хлороформе (15 мл), добавляют мета-хлорпербензойную кислоту (247 мг) и смесь перемешивают при комнатной температуре в течение двух часов. К реакционному раствору добавляют насыщенный раствор гидрокарбоната натрия и смесь распределяют. Слой хлороформа промывают насыщенным раствором хлорида натрия, сушат над безводным сульфатом натрия и концентрируют. Остаток очищают хроматографией на силикагеле (хлороформ:метанол = 9:1) и белое твердое вещество, осажденное диизопропиловым эфиром, отделяют фильтрованием и сушат, получая при этом указанное в заголовке соединение (290 мг).
Пример 7
Пример 7-01
Получение N-(4-трет-бутилфенил)-4-(4-метоксифенил)-3,4-дигидро-2Н-бензо[1,4]оксазин-8-карбоксамида
Первая стадия
Получение метил-4-(4-метоксифенил)-3,4-дигидро-2Н-бензо[1,4]оксазин-8-карбоксилата
Применяют метил-3,4-дигидро-2Н-бензо[1,4]оксазин-8-карбоксилат (1,0 г), полученный в пятой стадии примера 1-001, и 4-броманизол (1,0 г) и проводят реакцию сочетания, аналогичную реакции четвертой стадии примера 1-002, получая при этом указанное в заголовке маслянистое соединение (0,58 г).
Вторая стадия
Получение 4-(4-метоксифенил)-3,4-дигидро-2Н-бензо[1,4]оксазин-8-карбоновой кислоты
Метил-4-(4-метоксифенил)-3,4-дигидро-2Н-бензо[1,4]оксазин-8-карбоксилат (0,58 г), полученный в первой стадии, растворяют в тетрагидрофуране (10 мл) и метаноле (10 мл), добавляют 2 н. раствор гидроксида натрия (5 мл) и смесь перемешивают при 60°С в течение 1,5 часа. После концентрирования реакционной смеси желтое твердое вещество, осажденное добавлением 1 н. гидросульфата калия, собирают фильтрованием и сушат, получая при этом указанное в заголовке соединение (0,552 г).
Третья стадия
Получение N-(4-трет-бутилфенил)-4-(4-метоксифенил)-3,4-дигидро-2Н-бензо[1,4]оксазин-8-карбоксамида
4-(4-Метоксифенил)-3,4-дигидро-2Н-бензо[1,4]оксазин-8-карбоновую кислоту (57 мг), полученную во второй стадии, растворяют в тетрагидрофуране (5 мл), добавляют оксалилхлорид (0,03 мл) и N,N-диметилформамид (одну каплю) и смесь перемешивают при комнатной температуре в течение 0,5 часа, затем реакционную смесь концентрируют. Концентрированный остаток растворяют в тетрагидрофуране (5 мл), добавляют трет-бутиланилин (30 мг) и триэтиламин (0,5 мл) и раствор перемешивают при комнатной температуре в течение 1 часа. Реакционную смесь распределяют между водой и этилацетатом. Слой этилацетата сушат над безводным сульфатом натрия и затем концентрируют. Осажденное твердое вещество, полученное добавлением гексана к остатку, собирают фильтрованием, и сушат, получая при этом указанное в заголовке соединение (48 мг).
Пример 7-02
Получение N-(4-изобутилоксифенил)-4-(4-метоксифенил)-3,4-дигидро-2Н-бензо[1,4]оксазин-8-карбоксамида
4-(4-Метоксифенил)-3,4-дигидро-2Н-бензо[1,4]оксазин-8-карбоновую кислоту (57 мг), полученную во второй стадии примера 7-01, и 4-изобутилоксианилин (40 мг) подвергают реакции, аналогичной реакции третьей стадии примера 7-01, получая при этом указанное в заголовке соединение (31 мг).
Пример 7-03
Получение N-(4-хлорфенил)-4-(4-метоксифенил)-3,4-дигидро-2Н-бензо[1,4]оксазин-8-карбоксамида
4-(4-Метоксифенил)-3,4-дигидро-2Н-бензо[1,4]оксазин-8-карбоновую кислоту (57 мг), полученную во второй стадии примера 7-01, и 4-хлоранилин (40 мг) подвергают взаимодействию, аналогичному взаимодействию третьей стадии примера 7-01, получая при этом указанное в заголовке соединение (29 мг).
Пример 7-04
Получение (S)-4-(2-хлорфенил)-3-гидроксиметил-N-(4-трифторметоксифенил)-3,4-дигидро-2Н-бензо[1,4]оксазин-8-карбоксамида
Первая стадия
Получение метил-3-(2-хлорфенил)амино-2-метоксиметилоксибензоата
Метил-3-амино-2-метоксиметилоксибензоат (3,5 г), полученный во второй стадии примера 3, и 2-иодхлорбензол (2,62 мл) подвергают реакции, аналогичной реакции первой стадии примера 2-01, получая при этом указанное в заголовке соединение (2,33 г).
Вторая стадия
Получение метил-3-(2-хлорфенил)аминосалицилата
Метил-3-(2-хлорфенил)амино-2-метоксиметилоксибензоат (2,33 г), полученный в первой стадии, подвергают реакции, аналогичной реакции четвертой стадии примера 3, получая при этом указанное в заголовке соединение (1,75 г).
Третья стадия
Получение (S)-4-(2-хлорфенил)-3-гидроксиметил-N-(4-трифторметоксифенил)-3,4-дигидро-2Н-бензо[1,4]оксазин-8-карбоксамида
Метил-3-(2-хлорфенил)аминосалицилат, полученный во второй стадии, подвергают реакции указанной ниже третьей стадии в примере 6-01, получая при этом указанное в заголовке соединение.
Пример 7-05 – пример 7-11
Соединения примеров 7-05 – 7-11, указанные здесь ниже, получают аналогично проведением любого из методов, описанных в общих способах А-С для получения соединения, и/или методов, описанных в указанных выше примерах 4-01 – 4-59 и метода, описанного в примере 7-04.
Химические структуры, их молекулярные массы и данные спектров ЯМР соединений, полученных в примерах 1-001 – 7-11, показаны в таблице 1 – таблице 50.
| [Таблица 1] |
 |
прим. |
Химические соединения |
ЯМР |
| 1 |
1-001 |
 |
(400 МГц, ХЛОРОФОРМ-D) 1,33 (с, 9H), 3,88-3,97 (м, 2H), 4,57-4,65 (м, 2H), 6,66 (дд, J=8,00, 1,28 Гц, 1H), 6,90 (т, J=7,88 Гц, 1H), 7,11 (дд, J=7,88, 4,87 Гц, 1H), 7,38 (д, J=8,58 Гц, 2H), 7,60 (д, J=8,58 Гц, 2H), 7,77-7,82 (м, 2H), 8,37 (дд, J=4,75, 1,28 Гц, 1H), 9,57 (с, 1H) |
| 2 |
1-002 |
 |
(300 МГц, ДМСО-D6) 1,29 (м, 9H), 3,62 (м, 1H), 4,18 (м, 1H), 4,70 (м, 1H), 6,47 (дд, J=8,07, 1,47 Гц, 1H), 6,79 (т, J=7,89 Гц, 1H), 7,21-7,35 (м, 4H), 7,84-7,92 (м, 2H), 7,98 (дд, J=7,70, 1,47 Гц, 1H), 8,43 (дд, J=4,99, 1,51 Гц, 1H), 12,34 (с, 1H) |
| 3 |
1-003 |
 |
(400 МГц, ДМСО-D6) 1,23 (д, J=6,49 Гц, 3H), 1,28 (с, 9H), 4,07-4,15 (м, 1H), 4,22-4,32 (м, 2H), 6,38 (дд, J=8,12, 1,62 Гц, 1H), 6,80 (т, J=7,88 Гц, 1H), 7,04 (дд, J=7,54, 1,51 Гц, 1H), 7,31-7,39 (м, 3H), 7,64-7,71 (м, 2H), 8,07 (дд, J=7,88, 1,62 Гц, 1H), 8,45 (дд, J=4,64, 1,62 Гц, 1H), 10,10 (с, 1H) |
| 4 |
1-004 |
 |
(400 МГц, ДМСО-D6) 1,28 (с, 9H), 2,83 (с, 3H), 3,34-3,39 (м, 2H), 3,69-3,74 (м, 2H), 6,33 (дд, J=8,12, 1,39 Гц, 1H), 6,72 (т, J=7,77 Гц, 1H), 7,03 (дд, J=7,65, 1,39 Гц, 1H), 7,30 (дд, J=7,88, 4,64 Гц, 1H), 7,33-7,38 (м, 2H), 7,63-7,68 (м, 2H), 8,02 (дд, J=7,88, 1,62 Гц, 1H), 8,44 (дд, J=4,75, 1,74 Гц, 1H), 10,62 (с, 1H) |
| 5 |
1-005 |
 |
(400 МГц, ДМСО-D6) 1,25 (с, 9H), 1,95 (м, 2H), 3,97 (м, 2H), 4,27 (м, 2H), 6,61 (дд, J=8,00, 1,51 Гц, 1H), 6,93 (т, J=7,77 Гц, 1H), 7,06 (дд, J=7,77, 4,75 Гц, 1H), 7,26 (дд, J=7,54, 1,51 Гц, 1H), 7,30-7,38 (м, 2H), 7,63 (ддд, J=9,04, 2,55, 2,32 Гц, 2H), 7,76 (дд, J=7,65, 1,62 Гц, 1H), 8,31 (дд, J=4,64, 1,62 Гц, 1H), 10,15 (с, 1H) |
| 6 |
1-006 |
 |
(400 МГц, ДМСО-D6) 3,76 (м, 2H), 4,37 (м, 2H), 6,48 (дд, J=8,12, 1,39 Гц, 1H), 6,73-6,83 (м, 1H), 7,02 (дд, J=7,54, 1,51 Гц, 1H), 7,28 (дд, J=7,88, 4,64 Гц, 1H), 7,36 (дд, J=6,80, 2,10 Гц, 1H), 7,75 (дд, J=8,00, 1,74 Гц, 2H), 8,01 (дд, J=8,00, 1,74 Гц, 2H), 8,39 (дд, J=4,64, 1,62 Гц, 1H), 10,28 (с, 1H) |
| 7 |
1-007 |
 |
(400 МГц, ДМСО-D6) 1,17-1,26 (д, J=6,00 Гц, 6H), 3,75 (м, 2H), 4,39 (м, 2H), 4,53 (м, 1H), 6,46 (дд, J=8,12, 1,39 Гц, 1H), 6,76 (т, J=7,88 Гц, 1H), 6,86 (м, 2H), 7,03 (дд, J=7,54, 1,51 Гц, 1H), 7,27 (дд, J=8,00, 4,75 Гц, 1H), 7,60 (м, 2H), 8,01 (дд, J=7,88, 1,62 Гц, 1H), 8,39 (дд, J=4,64, 1,62 Гц, 1H), 9,98(с, 1H) |
| 8 |
1-008 |
 |
(400 МГц, ДМСО-D6) 1,02 (м, 9H), 1,43-1,54 (м, 2H), 1,77-1,87 (м, 2H), 2,12-2,17 (м, 2H), 2,86-2,95 (м, 2H), 3,69-3,80 (м, 3H), 4,37-4,47 (м, 2H), 6,46 (дд, J=8,12, 1,62 Гц, 1H), 6,73-6,77 (м, 1H), 7,12 (дд, J=7,65, 1,62 Гц, 1H), 7,29 (дд, J=7,88, 4,46 Гц, 1H), 7,98 (д, J=7,88 Гц, 1H), 8,02 (дд, J=7,88, 1,62 Гц, 1H), 8,41 (дд, J=4,75, 1,74 Гц, 1H) |
| [Таблица 2] |
 |
прим. |
Химические соединения |
ЯМР |
| 9 |
1-009 |
 |
(300 МГц, ДМСО-D6) 2,28 (с, 3H), 3,77-3,84 (м, 2H), 4,40-4,48 (м, 2H), 6,50 (дд, J=8,07, 1,47 Гц, 1H), 6,79 (т, J=7,70 Гц, 1H), 7,07-7,10 (м, 1H), 7,14 (д, J=8,44 Гц, 2H), 7,31 (дд, J=8,07, 4,77 Гц, 1H), 7,63 (д, J=8,44 Гц, 2H), 8,05 (дд, J=8,07, 1,47 Гц, 1H), 8,43 (дд, J=4,77, 1,47 Гц, 1H), 10,06 (с, 1H) |
| 10 |
1-010 |
 |
(300 МГц, ДМСО-D6) 0,89 (д, J=6,60 Гц, 3H), 0,93-1,11 (м, 2H), 1,19-1,40 (м, 3H), 1,64-1,76 (м, 2H), 1,81-1,93 (м, 2H), 3,60-3,81 (м, 3H), 4,38-4,44 (м, 2H), 6,45 (дд, J=7,89, 1,65 Гц, 1H), 6,72-6,77 (м, 1H), 7,10 (дд, J=7,70, 1,47 Гц, 1H), 7,28 (дд, J=7,89, 4,59 Гц, 1H), 7,89 (д, J=7,70 Гц, 1H), 8,02 (дд, J=7,89, 1,65 Гц, 1H), 8,40 (дд, J=4,59, 1,65 Гц, 1H) |
| 11 |
1-011 |
 |
(400 МГц, ДМСО-D6) 0,97 (д, J=16,4 Гц, 6H), 2,01 (м, 1H), 3,72 (д, J=6,49 Гц, 2H), 3,79-3,84 (м, 2H), 4,40-4,48 (м, 2H), 6,50 (дд, J=8,12, 1,62 Гц, 1H), 6,80 (т, J=7,77 Гц, 1H), 6,87-6,95 (м, 2H), 7,08 (дд, J=7,54, 1,51 Гц, 1H), 7,31 (дд, J=8,00, 4,75 Гц, 1H), 7,60-7,69 (м, 2H), 8,04 (дд, J=8,12, 1,62 Гц, 1H), 8,43 (дд, J=4,64, 1,62 Гц, 1H), 10,01 (с, 1H) |
| 12 |
1-012 |
 |
(300 МГц, ДМСО-D6) 3,77-3,82 (м, 2H), 4,41-4,45 (м, 2H), 4,50 (д, J=6,24 Гц, 2H), 6,49 (дд, J=8,07, 1,47 Гц, 1H), 6,77 (т, J=7,89 Гц, 1H), 7,19 (дд, J=7,70, 1,47 Гц, 1H), 7,23-7,36 (м, 6H), 8,03 (дд, J=7,89, 1,65 Гц, 1H), 8,42 (дд, J=4,59, 1,65 Гц, 1H), 8,71 (т, J=6,05 Гц, 1H) |
| 13 |
1-013 |
 |
(300 МГц, ДМСО-D6) 3,77-3,83 (м, 2H), 4,43-4,58 (м, 4H), 6,49 (дд, J=7,89, 1,65 Гц, 1H), 6,77 (т, J=7,89 Гц, 1H), 7,18 (дд, J=7,70, 1,83 Гц, 1H), 7,30 (дд, J=8,07, 4,77 Гц, 1H), 7,39 (м, 4H), 8,03 (дд, J=7,89, 1,65 Гц, 1H), 8,42 (дд, J=4,77, 1,47 Гц, 1H), 8,75 (т, J=6,05 Гц, 1H) |
| 14 |
1-014 |
 |
(300 МГц, ДМСО-D6) 1,27 (с, 9H), 3,69-3,84 (м, 8H), 4,41-4,48 (м, 5H), 6,49 (дд, J=8,07, 1,83 Гц, 1H), 6,77 (т, J=7,70 Гц, 1H), 7,19 (дд, J=7,70, 1,47 Гц, 1H), 7,26-7,38 (м, 5H), 8,03 (дд, J=7,89, 1,65 Гц, 1H), 8,42 (дд, J=4,59, 1,65 Гц, 1H), 8,64-8,68 (м, 1H) |
| 15 |
1-015 |
 |
(300 МГц, ДМСО-D6) 3,78-3,83 (м, 2H), 4,41-4,48 (м, 2H), 4,58 (д, J=6,24 Гц, 2H), 6,50 (дд, J=8,07, 1,47 Гц, 1H), 6,78 (т, J=7,89 Гц, 1H), 7,19 (дд, J=7,52, 1,65 Гц, 1H), 7,30 (дд, J=7,89, 4,59 Гц, 1H), 7,58 (д, J=8,07 Гц, 2H), 7,72 (д, J=8,07 Гц, 2H), 8,04 (д, J=8,07 Гц, 1H), 8,42 (дд, J=4,59, 1,65 Гц, 1H), 8,84 (т, J=6,24 Гц, 1H) |
| 16 |
1-016 |
 |
(300 МГц, ДМСО-D6) 1,28 (с, 9H), 4,03-4,10 (м, 2H), 4,31-4,38 (м, 2H), 6,90-6,97 (м, 2H), 7,21-7,24 (м, 2H), 7,35 (д, J=8,44 Гц, 2H), 7,47-7,52 (м, 1H), 7,62-7,72 (м, 3H), 8,31 (д, J=3,30 Гц, 1H), 10,06 (с, 1H) |
| [Таблица 3] |
 |
прим. |
Химические соединения |
ЯМР |
| 17 |
1-017 |
 |
(400 МГц, ДМСО-D6) 1,28 (с, 9H), 3,59-3,69 (м, 2H), 4,38-4,48 (м, 2H), 6,23 (дд, J=8,12, 1,39 Гц, 1H), 6,74 (т, J=7,77 Гц, 1H), 7,01 (дд, J=7,65, 1,39 Гц, 1H), 7,32-7,42 (м, 2H), 7,62 (дд, J=7,42, 4,87 Гц, 1H), 7,64-7,73 (м, 2H), 8,37 (дд, J=8,00, 1,74 Гц, 1H), 8,81 (дд, J=4,75, 1,51 Гц, 1H), 10,08 (с, 1H) |
| 18 |
1-018 |
 |
(300 МГц, ДМСО-D6) 1,28 (с, 9H), 1,44 (с, 6H), 3,65 (с, 2H), 6,52-6,61 (м, 1H), 6,82 (т, J=7,89 Гц, 1H), 7,23 (дд, J=7,70, 1,47 Гц, 1H), 7,30 (дд, J=8,07, 4,77 Гц, 1H), 7,37 (д, J=8,80 Гц, 2H), 7,64 (д, J=8,44 Гц, 2H), 8,03 (дд, J=7,89, 1,65 Гц, 1H), 8,44 (дд, J=4,77, 1,47 Гц, 1H), 9,99 (с, 1H) |
| 19 |
1-019 |
 |
ДМСО-D6 1,28 (с, 9H), 1,39 (д, J=6,26 Гц, 3H), 3,51 (дд, J=12,75, 7,88 Гц, 1H), 3,86 (дд, J=12,75, 2,55 Гц, 1H), 4,49-4,59 (м, 1H), 6,53 (дд, J=8,00, 1,51 Гц, 1H), 6,81 (т, J=7,88 Гц, 1H), 7,15 (дд, J=7,65, 1,62 Гц, 1H), 7,30 (дд, J=7,88, 4,64 Гц, 1H), 7,33-7,38 (м, 2H), 7,59-7,68 (м, 2H), 8,04 (дд, J=8,00, 1,51 Гц, 1H), 8,42 (дд, J=4,46, 1,62 Гц, 1H), 10,05 (с, 1H) |
| 20 |
1-020 |
 |
(300 МГц, ДМСО-D6) 1,28 (с, 9H), 3,78-3,83 (м, 2H), 4,39-4,45 (м, 2H), 6,46 (д, J=2,20 Гц, 1H), 7,04 (д, J=2,57 Гц, 1H), 7,34-7,40 (м, 4H), 7,64 (д, J=8,80 Гц, 2H), 8,10 (дд, J=8,07, 1,47 Гц, 1H), 8,47 (д, J=4,77 Гц, 1H), 10,16 (с, 1H) |
| 21 |
1-021 |
 |
(300 МГц, ДМСО-D6) 3,81 (м, 2H), 4,44 (м, 2H), 6,53 (дд, J=8,10, 1,50 Гц, 1H), 6,82 (т, J=7,90 Гц, 1H), 7,08 (дд, J=7,30, 1,40 Гц, 1H), 7,33 (дд, J=8,10, 4,80 Гц, 1H), 7,72 (д, J=8,80 Гц, 2H), 7,98 (д, J=8,80 Гц, 2H), 8,06 (дд, J=8,30, 1,50 Гц, 1H), 8,44 (дд, J=4,80, 1,50 Гц, 1H), 10,52 (с, 1H) |
| 22 |
1-022 |
 |
(300 МГц, ДМСО-D6) 3,81 (м, 2H), 4,42 (м, 2H), 6,52 (дд, J=8,10, 1,50 Гц, 1H), 6,83 (т, J=7,90 Гц, 1H), 7,08 (дд, J=7,30, 1,40 Гц, 1H), 7,33 (дд, J=4,80, 8,10 Гц, 1H), 7,35 (д, J=8,80 Гц, 2H), 7,86 (д, J=8,80 Гц, 2H), 8,06 (дд, J=1,50, 8,30 Гц, 1H), 8,45 (дд, J=1,50, 4,80 Гц, 1H), 10,36 (с, 1H) |
| 23 |
1-023 |
 |
(300 МГц, ДМСО-D6) 3,74 (с, 3H), 3,80 (м, 2H), 4,43 (м, 2H), 6,51 (дд, J=8,12, 1,39 Гц, 1H), 6,80 (т, J=7,89 Гц, 1H), 6,91 (д, J=9,17 Гц, 2H), 7,08 (дд, J=7,70, 1,47 Гц, 1H), 7,31 (дд, J=7,89, 4,59 Гц, 1H), 7,66 (д, J=9,17 Гц, 2H), 8,05 (дд, J=7,89, 1,65 Гц, 1H), 8,43 (дд, J=4,59, 1,65 Гц, 1H), 10,01 (с, 1H) |
| 24 |
1-024 |
 |
(400 МГц, ДМСО-D6) 0,82 (с, 9H), 0,91-1,00 (м, 1H), 1,03 (м, 2H), 1,22 (м, 2H), 1,72 (м, 2H), 1,90 (м, 2H), 3,61 (м, 1H), 3,74 (м, 2H), 4,36 (м, 2H), 6,41 (дд, J=8,12, 1,62 Гц, 1H), 6,70 (т, J=7,88 Гц, 1H), 7,05 (дд, J=7,54, 1,51 Гц, 1H), 7,25 (дд, J=7,88, 4,64 Гц, 1H), 7,87 (д, J=7,88 Гц, 1H), 7,99 (дд, J=7,88, 1,62 Гц, 1H), 8,37 (дд, J=4,87, 1,62 Гц, 1H) |
| [Таблица 4] |
 |
прим. |
Химические соединения |
ЯМР |
| 25 |
1-025 |
 |
(300 МГц, ДМСО-D6) 3,81 (м, 2H), 4,44 (м, 2H), 6,53 (дд, J=8,10, 1,50 Гц, 1H), 6,82 (т, J=7,90 Гц, 1H), 7,08 (дд, J=7,30, 1,40 Гц, 1H), 7,33 (дд, J=4,80, 8,10 Гц, 1H), 7,70 (д, J=8,80 Гц, 2H), 8,01-8,07 (м, 2H), 8,40 (м, 1H), 10,59 (с, H) |
| 26 |
1-026 |
 |
(400 МГц, ДМСО-D6), 3,70 (м, 2H), 4,34 (м, 2H), 6,42 (дд, J=8,00, 1,51 Гц, 1H), 6,71 (т, J=7,88 Гц, 1H), 6,97 (дд, J=7,54, 1,51 Гц, 1H), 7,06-7,16 (м, 2H), 7,22 (дд, J=7,88, 4,64 Гц, 1H), 7,68 (дд,, J=9,04, 5,10 Гц, 2H), 7,96 (дд, J=8,00, 1,51 Гц, 1H), 8,34 (дд, J=4,64, 1,62 Гц, 1H), 10,13 (с, 1H) |
| 27 |
1-027 |
 |
(400 МГц, ДМСО-D6) 3,78 (м, 2H), 4,40 (м, 2H), 6,50 (дд, J=8,12, 1,39 Гц, 1H), 6,78 (т, J=7,88 Гц, 1H), 7,04 (дд, J=7,65, 1,39 Гц, 1H), 7,28 (дд, J=7,65, 4,64 Гц, 1H), 7,42 (с, 1H), 7,55 (т, J=7,88 Гц, 1H), 7,92 (с, 1H), 8,02 (дд, J=7,88, 1,62 Гц, 1H), 8,23 (с, 1H), 8,40 (дд, J=4,99, 1,51 Гц, 1H), 10,47 (с, 1H) |
| 28 |
1-028 |
 |
(300 МГц, ДМСО-D6) 3,81 (м, 2H), 4,47 (м, 2H), 6,59 (дд, J=8,10, 1,50 Гц, 1H), 6,84 (т, J=7,90 Гц, 1H), 7,15 (дд, J=7,30, 1,40 Гц, 1H), 7,33 (дд, J=4,80, 8,10 Гц, 1H), 8,02 (с, 1H), 8,06 (д, J=1,50 Гц, 1H), 8,45 (д, J=1,90 Гц, 1H), 12,42 (с, 1H) |
| 29 |
1-029 |
 |
(300 МГц, ДМСО-D6) 3,85 (м, 2H), 4,52 (м, 2H), 6,60 (дд, J=7,89, 1,65 Гц, 1H), 6,86 (т, J=8,07 Гц, 1H), 7,30-7,35 (м, 2H), 8,06 (дд, J=7,89, 1,65 Гц, 1H), 8,26 (дд, J=8,99, 2,38 Гц, 1H), 8,42-8,48 (м, 2H), 8,76 (с, 1H), 10,87 (с, 1H) |
| 30 |
1-030 |
 |
(300 МГц, ДМСО-D6) 3,82 (м, 2H), 4,45 (м, 2H), 6,55 (дд, J=7,89, 1,47 Гц, 1H), 6,84 (т, J=7,89 Гц, 1H), 7,12 (д, J=6,60 Гц, 1H), 7,33 (дд, J=8,25, 4,95 Гц, 1H), 7,92 (д, J=8,80 Гц, 1H), 8,06 (д, J=7,70 Гц, 1H), 8,45 (тд, J=5,14, 1,83 Гц, 1H), 8,50 (с, 1H), 9,04 (д, J=2,20 Гц, 1H), 10,74 (с, 1H) |
| 31 |
1-031 |
 |
(400 МГц, ДМСО-D6) 1,16 (д, J=6,26 Гц, 6H), 2,83 (м, 1H), 3,77 (м, 2H), 4,39 (м, 2H), 6,46 (дд, J=8,12, 1,62 Гц, 1H), 6,76 (дд, J=7,89, 1,47 Гц, 1H), 7,04 (дд, J=7,65, 1,62 Гц, 1H), 7,16 (д, J=8,58 Гц, 2H), 7,27 (дд, J=7,88, 4,64 Гц, 1H), 7,60 (м, 2H), 8,01 (дд, J=7,88, 1,62 Гц, 1H), 8,39 (дд, J=4,64, 1,62 Гц, 1H), 10,03 (с, 1H) |
| 32 |
1-032 |
 |
(300 МГц, ДМСО-D6) 3,81-3,85 (м, 2H), 4,45-4,49 (м, 2H), 6,55 (дд, J=8,07, 1,47 Гц, 1H), 6,84-6,87 (м, 1H), 7,13 (д, J=1,47 Гц, 1H), 7,33 (дд, J=8,07, 4,77 Гц, 1H), 7,42-7,47 (м, 1H), 7,91 (д, J=1,83 Гц, 1H), 7,94-7,98 (м, 1H), 8,06 (дд, J=8,07, 1,47 Гц, 1H), 8,31 (д, J=8,44 Гц, 1H), 8,44 (дд, J=4,59, 1,65 Гц, 1H), 8,60 (с, 1H), 8,87 (дд, J=4,22, 1,65 Гц, 1H), 10,54 (с, 1H) |
| [Таблица 5] |
 |
прим. |
Химические соединения |
ЯМР |
| 33 |
1-033 |
 |
(300 МГц, ДМСО-D6) 1,96 (м, 2H), 2,72 (м, 2H), 2,92 (с, 3H), 3,28 (м, 2H), 3,81 (м, 2H), 4,43 (м, 2H), 6,51 (дд, J=8,07, 1,47 Гц, 1H), 6,80 (т, J=7,89 Гц, 1H), 6,99 (м, 1H), 7,08 (дд, J=7,70, 1,47 Гц, 1H), 7,19 (м, 1H), 7,31 (дд, J=7,89, 4,59 Гц, 1H), 7,40 (м, 1H), 8,05 (дд, J=7,89, 1,65 Гц, 1H), 8,43 (дд, J=4,77, 1,83 Гц, 1H), 10,04 (с, 1H) |
| 34 |
1-034 |
 |
(400 МГц, ДМСО-D6) 3,72-3,83 (м, 2H), 3,84 (с, 3H), 4,36-4,46 (м, 2H), 6,53 (дд, J=8,12, 1,62 Гц, 1H), 6,76-6,84 (м, 1H), 7,07 (дд, J=7,65, 1,62 Гц, 1H), 7,32 (дд, J=8,00, 4,75 Гц, 1H), 7,86-7,97 (м, 4H), 8,05 (дд, J=8,12, 1,62 Гц, 1H), 8,43 (дд, J=4,64, 1,62 Гц, 1H), 10,53 (с, 1H) |
| 35 |
1-035 |
 |
(400 МГц, ДМСО-D6) 3,76-3,87 (м, 2H), 4,37-4,48 (м, 2H), 6,53 (дд, J=8,12, 1,39 Гц, 1H), 6,80-6,83 (м, 1H), 7,07 (дд, J=7,65, 1,62 Гц, 1H), 7,32 (дд, J=8,12, 4,64 Гц, 1H), 7,85-7,95 (м, 4H), 8,05 (дд, J=7,88, 1,62 Гц, 1H), 8,43 (дд, J=4,64, 1,62 Гц, 1H), 10,48 (с, 1H), 12,75 (ушир.с, 1H) |
| 36 |
1-036 |
 |
(400 МГц, ДМСО-D6) 3,75-3,85 (м, 2H), 4,38-4,48 (м, 2H), 6,52 (дд, J=8,00, 1,51 Гц, 1H), 6,77-6,85 (м, 1H), 7,08 (дд, J=7,65, 1,62 Гц, 1H), 7,26 (ушир.с, 2H), 7,32 (дд, J=7,88, 4,64 Гц, 1H), 7,79-7,90 (м, 4H), 8,05 (дд, J=8,00, 1,74 Гц, 1H), 8,43 (дд, J=4,64, 1,62 Гц, 1H), 10,38 (с, 1H) |
| 37 |
1-037 |
 |
(400 МГц, ДМСО-D6) 2,78 (д, J=4,64 Гц, 3H), 3,76-3,86 (м, 2H), 4,38-4,49 (м, 2H), 6,52 (дд, J=8,00, 1,51 Гц, 1H), 6,81 (т, J=7,88 Гц, 1H), 7,08 (дд, J=7,54, 1,51 Гц, 1H), 7,32 (дд, J=7,88, 4,64 Гц, 1H), 7,82 (с, 4H), 8,05 (дд, J=8,12, 1,62 Гц, 1H), 8,31-8,37 (м, 1H), 8,43 (дд, J=4,64, 1,62 Гц, 1H), 10,38 (с, 1H) |
| 38 |
1-038 |
 |
(400 МГц, ДМСО-D6) 2,97 (с, 6H), 3,76-3,86 (м, 2H), 4,39-4,50 (м, 2H), 6,52 (дд, J=8,12, 1,62 Гц, 1H), 6,79-6,83 (м, 1H), 7,06 (дд, J=7,54, 1,51 Гц, 1H), 7,32 (дд, J=8,12, 4,64 Гц, 1H), 7,37-7,49 (м, 2H), 7,78-7,85 (м, 2H), 8,05 (дд, J=7,88, 1,62 Гц, 1H), 8,43 (дд, J=4,64, 1,62 Гц, 1H), 10,34 (с, 1H) |
| 39 |
1-039 |
 |
(400 МГц, ДМСО-D6) 2,55 (с, 3H), 3,74-3,85 (м, 2H), 4,37-4,47 (м, 2H), 6,53 (дд, J=8,12, 1,62 Гц, 1H), 6,82 (т, J=7,77 Гц, 1H), 7,08 (дд, J=7,65, 1,62 Гц, 1H), 7,32 (дд, J=7,88, 4,64 Гц, 1H), 7,83-7,93 (м, 2H), 7,93-8,00 (м, 2H), 8,05 (дд, J=7,88, 1,62 Гц, 1H), 8,43 (дд, J=4,64, 1,62 Гц, 1H), 10,51 (с, 1H) |
| 40 |
1-040 |
 |
(400 МГц, ДМСО-D6) 1,42 (с, 6H), 3,76-3,86 (м, 2H), 4,37-4,48 (м, 2H), 4,96 (с, 1H), 6,49-6,52 (м, 1H), 6,78-6,82 (м, 1H), 7,07-7,09 (м, 1H), 7,30-7,33 (м, 1H), 7,37-7,46 (м, 2H), 7,60-7,71 (м, 2H), 8,04-8,06 (м, 1H), 8,42-8,44 (м, 1H), 10,08 (с, 1H) |
| [Таблица 6] |
 |
прим. |
Химические соединения |
ЯМР |
| 41 |
1-041 |
 |
(400 МГц, ДМСО-D6) 0,68 (т, J=7,42 Гц, 3H), 1,40 (с, 3H), 1,63-1,73 (м, 2H), 3,75-3,85 (м, 2H), 4,38-4,48 (м, 2H), 4,76 (с, 1H), 6,50 (дд, J=8,12, 1,62 Гц, 1H), 6,80 (т, J=7,88 Гц, 1H), 7,07 (дд, J=7,65, 1,62 Гц, 1H), 7,29-7,39 (м, 3H), 7,62-7,68 (м, 2H), 8,05 (дд, J=8,12, 1,62 Гц, 1H), 8,42-8,44 (м, 1H), 10,08 (с, 1H) |
| 42 |
1-042 |
 |
(400 МГц, ДМСО-D6) 0,94-1,03 (м, 6H), 1,30-1,52 (м, 2H), 1,77-1,93 (м, 2H), 2,74-2,82 (м, 1H), 2,84-2,93 (м, 1H), 3,13-3,23 (м, 1H), 3,72-3,82 (м, 2H), 3,87-3,96 (м, 1H), 3,97-4,08 (м, 1H), 4,23-4,31 (м, 1H), 4,33-4,44 (м, 2H), 6,46 (дд, J=8,12, 1,62 Гц, 1H), 6,88 (т, J=7,88 Гц, 1H), 7,10 (дд, J=7,65, 1,39 Гц, 1H), 7,29 (дд, J=8,12, 4,75 Гц, 1H), 8,02 (дд, J=7,88, 1,62 Гц, 1H), 8,07 (д, J=7,65 Гц, 1H), 8,41 (дд, J=4,64, 1,62 Гц, 1H) |
| 43 |
1-043 |
 |
(400 МГц, ДМСО-D6) 1,13 (с, 9H), 1,21-1,44 (м, 4H), 1,71-1,79 (м, 2H), 1,82-1,90 (м, 2H), 3,37-3,46 (м, 1H), 3,62-3,73 (м, 1H), 3,75-3,80 (м, 2H), 4,33-4,44 (м, 2H), 6,45 (дд, J=8,00, 1,51 Гц, 1H), 6,74 (т, J=7,88 Гц, 1H), 7,09 (дд, J=7,65, 1,62 Гц, 1H), 7,28 (дд, J=7,88, 4,64 Гц, 1H), 7,92 (д, J=7,65 Гц, 1H), 8,02 (дд, J=8,12, 1,62 Гц, 1H), 8,40 (дд, J=4,64, 1,62 Гц, 1H) |
| 44 |
1-044 |
 |
(400 МГц, ДМСО-D6) 1,28 (д, J=6,03 Гц, 6H), 3,76-3,86 (м, 2H), 4,38-4,49 (м, 3H), 4,56 (м, 1H), 6,51 (дд, J=8,00, 1,51 Гц, 1H), 6,62-6,71 (м, 1H), 6,80 (т, J=7,77 Гц, 1H), 7,06 (дд, J=7,54, 1,51 Гц, 1H), 7,20 (т, J=8,12 Гц, 1H), 7,25-7,35 (м, 2H), 7,43 (т, J=2,20 Гц, 1H), 8,05 (дд, J=7,88, 1,62 Гц, 1H), 8,43 (дд, J=4,87, 1,62 Гц, 1H), 10,11 (с, 1H) |
| 45 |
1-045 |
 |
(400 МГц, ДМСО-D6) 0,99 (д, J=6,49 Гц, 6H), 1,97-2,08 (м, 1H), 3,73 (д, J=6,49 Гц, 2H), 3,77-3,86 (м, 2H), 4,38-4,49 (м, 2H), 6,50 (дд, J=8,00, 1,51 Гц, 1H), 6,63-6,68 (м, 1H), 6,80 (т, J=7,77 Гц, 1H), 7,06 (дд, J=7,65, 1,62 Гц, 1H), 7,21 (т, J=8,00 Гц, 1H), 7,24-7,29 (м, 1H), 7,31 (дд, J=8,00, 4,75 Гц, 1H), 7,48 (т, J=2,09 Гц, 1H), 8,05 (дд, J=7,88, 1,62 Гц, 1H), 8,43 (дд, J=4,64, 1,62 Гц, 1H), 10,12 (с, 1H) |
| 46 |
1-046 |
 |
(400 МГц, ДМСО-D6) 1,28 (с, 9H), 3,82-3,92 (м, 2H), 4,27-4,38 (м, 2H), 6,88-6,98 (м, 1H), 7,16 (дд, J=4,87, 1,62 Гц, 2H), 7,24 (дд, J=7,65, 1,62 Гц, 1H), 7,29-7,39 (м, 3H), 7,56-7,67 (м, 2H), 8,31-8,38 (м, 2H), 10,06 (с, 1H) |
| 47 |
1-047 |
 |
(400 МГц, ДМСО-D6) 1,24-1,32 (с, 9H), 2,13 (с, 3H), 3,79-3,90 (м, 2H), 4,46-4,56 (м, 2H), 6,40 (дд, J=8,00, 1,51 Гц, 1H), 6,80 (т, J=7,88 Гц, 1H), 7,08 (дд, J=7,65, 1,39 Гц, 1H), 7,33-7,45 (м, 3H), 7,63-7,73 (м, 2H), 7,98 (д, J=6,26 Гц, 1H), 8,41 (дд, J=5,10, 1,62 Гц, 1H), 10,08 (с, 1H) |
| [Таблица 7] |
 |
прим. |
Химические соединения |
ЯМР |
| 48 |
1-048 |
 |
(400 МГц, ДМСО-D6) 1,56 (м, 2H), 1,88 (м, 2H), 1,96 (м, 2H), 3,44 (м, 2H), 3,68 (м, 2H), 3,75-3,79 (м, 2H), 4,34-4,42 (м, 2H), 6,49 (дд, J=8,12, 1,62 Гц, 1H), 6,72-6,82 (м, 1H), 7,03 (дд, J=7,65, 1,62 Гц, 1H), 7,29 (дд, J=7,88, 4,64 Гц, 1H), 7,66 (м, 2H), 7,83 (м, 2H), 8,02 (дд, J=7,88, 1,62 Гц, 1H), 8,40 (дд, J=4,64, 1,62 Гц, 1H), 10,34 (с, 1H) |
| 49 |
1-049 |
 |
(400 МГц, ДМСО-D6) 3,08 (с, 6H), 3,78 (м, 2H), 4,40 (м, 2H), 6,49 (дд, J=8,12, 1,39 Гц, 1H), 6,79 (м, 1H), 7,03 (дд, J=7,54, 1,51 Гц, 1H), 7,28 (дд, J=7,88, 4,64 Гц, 1H), 7,68 (м, 1H), 7,85 (д, J=8,81 Гц, 2H), 8,02 (дд, J=7,88, 1,62 Гц, 1H), 8,40 (дд, J=4,64, 1,62 Гц, 1H), 10,35 (с, 1H) |
| 50 |
1-050 |
 |
(400 МГц, ДМСО-D6) 2,97-3,07 (м, 4H), 3,65-3,74 (м, 4H), 3,74-3,82 (м, 2H), 4,35-4,45 (м, 2H), 6,46 (дд, J=8,12, 1,62 Гц, 1H), 6,76 (т, J=7,77 Гц, 1H), 6,89 (д, J=9,04 Гц, 2H), 7,05 (дд, J=7,65, 1,62 Гц, 1H), 7,28 (дд, J=7,88, 4,64 Гц, 1H), 7,55-7,66 (м, 2H), 8,01 (дд, J=7,88, 1,62 Гц, 1H), 8,39 (дд, J=4,64, 1,62 Гц, 1H), 9,92 (с, 1H) |
| 51 |
1-051 |
 |
(400 МГц, ДМСО-D6) 1,26 (д, J=6,02 Гц, 6H), 3,71-3,81 (м, 2H), 4,35-4,42 (м, 2H), 4,44 (дт, J=12,00, 6,02 Гц, 1H), 6,47 (дд, J=8,12, 1,62 Гц, 1H), 6,71-6,81 (м, 1H), 7,02 (дд, J=7,65, 1,39 Гц, 1H), 7,11 (т, J=9,39 Гц, 1H), 7,28 (дд, J=7,88, 4,64 Гц, 1H), 7,38 (ддд, J=8,99, 2,38, 1,39 Гц, 1H), 7,70 (дд, J=13,57, 2,43 Гц, 1H), 8,01 (дд, J=7,88, 1,62 Гц, 1H), 8,39 (дд, J=4,64, 1,62 Гц, 1H), 10,15 (с, 1H) |
| 52 |
1-052 |
 |
(400 МГц, ДМСО-D6) 1,26 (д, J=5,94 Гц, 6H), 3,77-3,86 (м, 2H), 4,43-4,52 (м, 2H), 4,59 (дт, J=12,00, 5,94 Гц, 1H), 6,53 (дд, J=8,00, 1,51 Гц, 1H), 6,73-6,84 (м, 2H), 6,89 (дд, J=12,75, 2,78 Гц, 1H), 7,26-7,36 (м, 2H), 7,79 (т, J=9,04 Гц, 1H), 8,01 (дд, J=7,88, 1,62 Гц, 1H), 8,39 (дд, J=4,64, 1,62 Гц, 1H), 9,84 (с, 1H) |
| 53 |
1-053 |
 |
(300 МГц, ДМСО-D6) 3,81 (м, 2H), 4,44 (м, 2H), 6,53 (дд, J=8,10, 1,50 Гц, 1H), 6,82 (т, J=7,90 Гц, 1H), 7,08 (дд, J=7,30, 1,40 Гц, 1H), 7,33 (дд, J=4,80, 8,10 Гц, 1H), 7,70 (д, J=8,80 Гц, 2H), 8,01-8,07 (м, 2H), 8,26 (м, 1H), 8,40 (м, 1H), 10,50 (с, 1H) |
| 54 |
1-054 |
 |
(300 МГц, ДМСО-D6) 2,62 (с, 6H), 3,81 (м, 2H), 4,43 (м, 2H), 6,53 (дд, J=8,10, 1,50 Гц, 1H), 6,82 (т, J=7,90 Гц, 1H), 7,08 (дд, J=7,30, 1,40 Гц, 1H), 7,33 (дд, J=4,80, 8,10 Гц, 1H), 7,94-8,14 (м, 3H), 8,40 (м, 1H), 10,34 (с, 1H) |
| 55 |
1-055 |
 |
(300 МГц, ДМСО-D6) 1,28 (д, J=5,86 Гц, 6H), 3,81 (м, 2H), 4,43 (м, 2H), 4,78 (дт, J=12,00, 5,86 Гц, 1H), 6,50 (дд, J=8,10, 1,50 Гц, 1H), 6,80 (т, J=7,90 Гц, 1H), 7,08 (дд, J=7,30, 1,40 Гц, 1H), 7,30 (дд, J=4,80, 8,10 Гц, 1H), 7,88 (д, J=8,80 Гц, 2H), 8,03-8,09 (м, 2H), 8,26 (м, 1H), 8,44 (м, 1H), 10,50 (с, 1H) |
| [Таблица 8] |
 |
прим. |
Химические соединения |
ЯМР |
| 56 |
1-056 |
 |
(300 МГц, ДМСО-D6) 3,29 (с, 3H), 3,81 (м, 2H), 4,43 (м, 2H), 4,78 (дт, J=12,00, 5,86 Гц, 1H), 6,50 (дд, J=8,10, 1,50 Гц, 1H), 6,80 (т, J=7,90 Гц, 1H), 7,08 (дд, J=7,30, 1,40 Гц, 1H), 7,30 (дд, J=4,80, 8,10 Гц, 1H), 7,88 (д, J=8,80 Гц, 2H), 8,03-8,09 (м, 2H), 8,26 (м, 1H), 8,44 (м, 1H), 10,25 (с, 1H) |
| 57 |
1-057 |
 |
(400 МГц, ДМСО-D6) 0,93-1,00 (д, J=6,82 Гц, 6H), 2,01 (ддд, J=13,33, 6,61, 6,49 Гц, 1H), 3,72-3,81 (м, 2H), 3,84 (д, J=6,26 Гц, 2H), 4,34-4,45 (м, 2H), 6,48 (дд, J=8,12, 1,39 Гц, 1H), 6,77 (т, J=7,88 Гц, 1H), 7,05 (дд, J=7,54, 1,51 Гц, 1H), 7,20 (д, J=9,04 Гц, 1H), 7,28 (дд, J=8,00, 4,75 Гц, 1H), 7,88 (дд, J=9,04, 2,55 Гц, 1H), 8,02 (дд, J=7,88, 1,62 Гц, 1H), 8,08 (д, J=2,78 Гц, 1H), 8,40 (дд, J=4,64, 1,62 Гц, 1H), 10,22 (с, 1H) |
| 58 |
1-058 |
 |
(400 МГц, ДМСО-D6) 1,20 (с, 9H), 2,29 (с, 3H), 3,96-4,08 (м, 2H), 4,29-4,38 (м, 2H), 6,93 (т, J=7,88 Гц, 2H), 7,13 (с, 1H), 7,21-7,28 (м, 1H), 7,29-7,35 (м, 2H), 7,46 (дд, J=8,12, 1,39 Гц, 1H), 7,56-7,66 (м, 2H), 8,16 (д, J=5,33 Гц, 1H), 10,03 (с, 1H) |
| 59 |
1-059 |
 |
(400 МГц, ДМСО-D6) 1,24 (с, 9H), 2,37 (с, 3H), 3,97-4,07 (м, 2H), 4,24-4,34 (м, 2H), 6,76 (д, J=7,42 Гц, 1H), 6,87-6,93 (м, 1H), 6,97 (д, J=8,35 Гц, 1H), 7,17 (дд, J=7,42, 1,62 Гц, 1H), 7,28-7,35 (м, 2H), 7,43 (дд, J=8,12, 1,62 Гц, 1H), 7,53 (дд, J=8,35, 7,42 Гц, 1H), 7,58-7,65 (м, 2H), 10,03 (с, 1H) |
| 60 |
1-060 |
 |
(300 МГц, ДМСО-D6) 1,27 (с, 9H), 2,22 (с, 3H), 3,97-4,01 (м, 2H), 4,30-4,34 (м, 2H), 6,87-6,93 (м, 1H), 7,11-7,20 (м, 2H), 7,34 (д, J=7,89 Гц, 2H), 7,41 (дд, J=8,23, 1,47 Гц, 1H), 7,52 (дд, J=8,79, 2,20 Гц, 1H), 7,64 (д, J=8,79 Гц, 2H), 8,15 (д, J=2,56 Гц, 1H), 10,04 (с, 1H) |
| 61 |
1-061 |
 |
(300 МГц, ДМСО-d6) : 1,28 (с, 9H), 3,80 (т, J=4,4 Гц, 2H), 4,39 (т, J=4,4 Гц, 2H), 6,83 (т, J=7,9 Гц, 1H), 6,93 (дд, J=8,1, 1,5 Гц, 1H), 7,07 (дд, J=7,5, 1,7 Гц, 1H), 7,35 (д, J=4,2 Гц, 2H), 7,42 (дт, J=9,8, 2,5 Гц, 1H), 7,63-7,71 (м, 3H), 8,32 (дд, J=4,8, 1,5 Гц, 1H), 8,55 (д, J=2,6 Гц, 1H), 10,04 (с, 1H) |
| 62 |
1-062 |
 |
(400 МГц, ДМСО-D6) 2,23 (с, 3H), 3,97 (т, J=4,4 Гц, 2H), 4,31 (т, J=4,4 Гц, 2H), 6,92 (т, J=8 Гц, 1H), 7,15 (м, 2H), 7,44 (дд, J=8, 1,4 Гц, 1H), 7,53 (дд, J=8,8, 2,2 Гц, 1H), 7,80 (д, J=8,8 Гц, 2H), 7,92 (д, J=8,8 Гц, 2H), 8,15 (д, J=2,56 Гц, 1H), 10,58 (с, 1H) |
| [Таблица 9] |
 |
прим. |
Химические соединения |
ЯМР |
| 63 |
1-063 |
 |
(300 МГц, ДМСО-d6) : 2,25 (с, 3H), 3,99 (т, J=4,6 Гц, 2H), 4,31 (т, J=4,4 Гц, 2H), 5,34 (ушир. с, 2H), 6,81-6,92 (м, 2H), 7,11-7,14 (м, 3H), 7,39 (тд, J=7,7, 1,7 Гц, 2H), 7,52 (дт, J=9,5, 1,3 Гц, 1H), 8,15 (т, J=1,1 Гц, 1H), 9,97 (с, 1H) |
| 64 |
1-064 |
 |
(300 МГц, ДМСО-d6) : 2,08 (с, 3H), 2,23 (с, 3H), 3,98 (т, J=4,4 Гц, 2H), 4,31 (т, J=4,4 Гц, 2H), 6,90 (т, J=7,7 Гц, 1H), 7,13-7,16 (м, 2H), 7,42 (дд, J=8,3, 1,7 Гц, 2H), 7,53-7,59 (м, 2H), 8,09-8,15 (м, 2H), 9,50 (с, 1H), 10,27 (с, 1H) |
| 65 |
1-065 |
 |
(300 МГц, ДМСО-d6) : 1,70-1,73 (м, 2H), 1,93-1,97 (м, 2H), 2,24 (с, 3H), 2,71-2,74 (м, 1H), 3,24-3,28 (м, 2H), 3,99 (т, J=4,2 Гц, 2H), 4,33 (т, J=4,4 Гц, 2H), 6,91 (т, J=7,9 Гц, 1H), 7,04 (т, J=10,0 Гц, 1H), 7,17-7,18 (м, 2H), 7,38-7,44 (м, 2H), 7,57-7,69 (м, 2H), 8,16 (с, 1H), 10,14 (с, 1H) |
| 66 |
1-066 |
 |
(300 МГц, ДМСО-d6) : 1,75-1,78 (м, 4H), 2,22-2,25 (м, 4H), 2,58 (д, J=4,4 Гц, 3H), 2,70-2,72 (м, 2H), 3,31-3,35 (м, 2H), 4,00 (т, J=4,2 Гц, 2H), 4,34 (т, J=4,2 Гц, 2H), 6,92 (т, J=7,9 Гц, 1H), 7,07 (т, J=9,2 Гц, 1H), 7,20 (д, J=7,7 Гц, 2H), 7,39-7,44 (м, 2H), 7,63-7,72 (м, 3H), 8,14-8,18 (м, 1H), 10,15 (с, 1H) |
| 67 |
1-067 |
 |
(300 МГц, ДМСО-d6) : 1,73 (с, 6H), 2,24-2,25 (м, 3H), 2,80-2,83 (м, 4H), 3,04-3,05 (м, 3H), 3,35-3,45 (м, 2H), 4,01 (т, J=3,7 Гц, 2H), 4,34 (т, J=4,2 Гц, 2H), 6,93 (т, J=7,9 Гц, 2H), 7,09-7,12 (м, 1H), 7,19-7,21 (м, 2H), 7,42-7,45 (м, 3H), 7,66 (т, J=13,9 Гц, 1H), 8,15-8,17 (м, 1H), 10,18 (с, 1H) |
| 68 |
1-068 |
 |
(300 МГц, ДМСО-d6) : 1,13 (т, J=7,0 Гц, 3H), 1,56-1,60 (м, 2H), 1,93-1,96 (м, 2H), 2,23 (с, 3H), 2,71-2,79 (м, 2H), 3,17-3,20 (м, 2H), 3,40-3,51 (м, 3H), 3,99 (т, J=4,4 Гц, 2H), 4,32 (т, J=4,2 Гц, 2H), 6,90 (т, J=7,7 Гц, 1H), 7,00 (кв., J=8,4 Гц, 1H), 7,15 (дт, J=10,1, 4,5 Гц, 2H), 7,40 (дт, J=13,1, 4,8 Гц, 2H), 7,52 (дд, J=8,6, 2,0 Гц, 1H), 7,65 (дд, J=15,0, 2,2 Гц, 1H), 8,15 (д, J=2,6 Гц, 1H), 10,12 (с, 1H) |
| 69 |
1-069 |
 |
(300 МГц, ДМСО-d6) : 1,09 (д, J=6,2 Гц, 6H), 1,52-1,58 (м, 2H), 1,88-1,91 (м, 2H), 2,23 (с, 3H), 2,74-2,77 (м, 2H), 3,17-3,19 (м, 2H), 3,47-3,53 (м, 1H), 3,59-3,61 (м, 1H), 3,70-3,72 (м, 1H), 3,98 (т, J=4,4 Гц, 2H), 4,32 (т, J=4,4 Гц, 2H), 6,90 (т, J=7,9 Гц, 1H), 7,01 (т, J=9,5 Гц, 1H), 7,15 (дт, J=10,1, 4,5 Гц, 2H), 7,40 (дт, J=13,6, 5,0 Гц, 2H), 7,52 (дд, J=8,4, 1,8 Гц, 1H), 7,64 (дд, J=14,9, 2,4 Гц, 1H), 8,15 (д, J=2,2 Гц, 1H), 10,11 (с, 1H) |
| [Таблица 10] |
 |
прим. |
Химические соединения |
ЯМР |
| 70 |
1-070 |
 |
(300 МH, ДМСО-d6) : 1,21-1,30 (м, 1H), 1,51-1,63 (м, 1H), 1,78-1,79 (м, 1H), 1,96-2,02 (м, 1H), 2,23 (с, 3H), 2,53-2,68 (м, 1H), 3,08-3,12 (м, 1H), 3,32-3,38 (м, 6H), 3,99 (т, J=4,4 Гц, 2H), 4,32 (т, J=4,2 Гц, 2H), 6,90 (т, J=7,9 Гц, 1H), 7,02 (т, J=9,4 Гц, 1H), 7,15 (дт, J=10,1, 4,5 Гц, 2H), 7,40 (дт, J=12,3, 4,5 Гц, 2H), 7,52 (дд, J=8,4, 2,6 Гц, 1H), 7,65 (дд, J=15,0, 2,2 Гц, 1H), 8,15 (д, J=2,6 Гц, 1H), 10,12 (с, 1H) |
| 71 |
1-071 |
 |
(300 МГц, ДМСО-d6) : 1,31-1,36 (м, 2H), 1,70-1,73 (м, 2H), 2,23 (с, 3H), 2,60-2,63 (м, 2H), 3,23-3,24 (м, 5H), 3,98 (т, J=4,4 Гц, 2H), 4,32 (т, J=4,2 Гц, 2H), 6,90 (т, J=7,9 Гц, 1H), 7,01 (т, J=9,2 Гц, 1H), 7,14 (т, J=9,2 Гц, 2H), 7,40 (дд, J=13,4, 5,0 Гц, 2H), 7,52 (дд, J=8,6, 2,4 Гц, 1H), 7,64 (дд, J=15,0, 2,2 Гц, 1H), 8,14 (с, 1H), 10,11 (с, 1H) |
| 72 |
1-072 |
 |
(400 МГц, ДМСО-d6) : 1,93-2,04 (м, 2H), 2,24 (с, 3H), 3,24-3,31 (м, 5H), 3,51 (дкв., J=10,8, 2,6 Гц, 1H), 4,02 (дд, J=7,7, 4,9 Гц, 2H), 4,36 (т, J=4,4 Гц, 2H), 6,73 (т, J=9,7 Гц, 1H), 6,93 (т, J=7,9 Гц, 1H), 7,26-7,31 (м, 3H), 7,42 (дд, J=8,1, 1,6 Гц, 1H), 7,60-7,62 (м, 1H), 7,74-7,75 (м, 1H), 8,17 (с, 1H), 10,03 (с, 1H) |
| 73 |
1-073 |
 |
(400 МГц, ДМСО-d6) 1,00 (д, J=7,0 Гц, 6H), 1,95-2,08 (м, 1H), 2,23 (с, 3H), 3,77-3,82 (м, 5H), 3,97-4,02 (м, 2H), 4,30-4,35 (м, 2H), 6,91 (т, J=7,9 Гц, 1H), 7,09-7,20 (м, 3H), 7,42 (д, J=7,9 Гц, 1H), 7,53 (д, J=8,8 Гц, 1H), 7,80-7,84 (м, 1H), 8,07-8,10 (м, 1H), 8,15 (ушир.с, 1H), 10,13 (с, 1H) |
| 74 |
1-074 |
 |
(400 МГц, ДМСО-d6) 0,98 (т, J=8,1 Гц, 6H), 1,98-2,05 (м, 1H), 2,23 (с, 3H), 3,79 (д, J=6,5 Гц, 2H), 3,99 (т, J=4,4 Гц, 2H), 4,33 (т, J=4,4 Гц, 2H), 6,91 (т, J=7,9 Гц, 1H), 7,08 (д, J=9,3 Гц, 1H), 7,14 (д, J=8,3 Гц, 1H), 7,19 (дд, J=7,9, 1,4 Гц, 1H), 7,42 (дд, J=7,9, 1,4 Гц, 1H), 7,53 (дд, J=8,3, 2,3 Гц, 1H), 7,81 (дд, J=8,8, 2,8 Гц, 1H), 8,02 (д, J=2,8 Гц, 1H), 8,15 (ушир.с, 1H), 10,09 (с, 1H), 12,59 (с, 1H) |
| 75 |
1-075 |
 |
(400 МГц, ДМСО-d6) 1,01 (д, J=6,6 Гц, 6H), 2,06-2,15 (м, 1H), 2,23 (с, 3H), 3,90 (д, J=6,6 Гц, 2H), 3,99 (т, J=4,4 Гц, 2H), 4,33 (т, J=4,2 Гц, 2H), 6,91 (т, J=7,9 Гц, 1H), 7,12-7,13 (м, 2H), 7,19 (дд, J=7,7, 3,9 Гц, 1H), 7,41 (дд, J=8,3, 1,7 Гц, 1H), 7,52 (дд, J=8,8, 2,2 Гц, 1H), 7,58 (ушир. с, 1H), 7,60 (ушир. с, 1H), 7,85 (дд, J=9,0, 2,8 Гц, 1H), 8,13 (д, J=2,9 Гц, 1H), 8,15 (ушир. с, 1H), 10,08 (с, 1H) |
| 76 |
1-076 |
 |
(300 МГц, ДМСО-d6) 1,00 (д, J=6,6 Гц, 6H), 2,06-2,14 (м, 1H), 2,23 (с, 3H), 2,82 (д, J=4,8 Гц, 3H), 3,87 (д, J=6,6 Гц, 2H), 3,99 (т, J=4,2 Гц, 2H), 4,32 (т, J=4,2 Гц, 2H), 6,90 (т, J=7,9 Гц, 1H), 7,09-7,20 (м, 3H), 7,41 (д, J=4,0 Гц, 1H), 7,52 (дд, J=8,4, 2,6 Гц, 1H), 7,83 (дд, J=9,0, 2,8 Гц, 1H), 8,00-8,07 (м, 2H), 8,15 (ушир. с, 1H), 10,08 (с, 1H) |
| 77 |
1-077 |
 |
(300 МГц, ДМСО-d6) 0,95 (д, J=6,6 Гц, 6H), 1,90-2,04 (м, 1H), 2,23 (с, 3H), 2,79 (с, 3H), 2,98 (с, 3H), 3,76 (д, J=6,2 Гц, 2H), 3,99 (т, J=4,2 Гц, 2H), 4,33 (т, J=4,4 Гц, 2H), 6,90 (т, J=7,7 Гц, 1H), 7,03 (д, J=8,8 Гц, 1H), 7,13 (д, J=8,8 Гц, 1H), 7,18 (дд, J=7,3, 1,5 Гц, 1H), 7,41 (дд, J=8,1, 1,5 Гц, 1H), 7,52 (дд, J=8,6, 2,0 Гц, 1H), 7,57 (д, J=2,6 Гц, 1H), 7,69 (дд, J=9,0, 2,8 Гц, 1H), 8,15 (д, J=2,6 Гц, 1H), 10,06 (с, 1H) |
| [Таблица 11] |
 |
прим. |
Химические соединения |
ЯМР |
| 78 |
1-078 |
 |
(400 МГЦ, ДМСО-d6) 2,23 (с, 3H), 2,55 (с, 3H), 3,99 (т, J=4,4 Гц, 2H), 4,33 (т, J=4,4 Гц, 2H), 6,92 (т, J=7,9 Гц, 1H), 7,14 (д, J=8,8 Гц, 1H), 7,18 (дд, J=7,9, 1,4 Гц, 1H), 7,44 (дд, J=8,1, 1,6 Гц, 1H), 7,53 (дд, J=8,6, 2,6 Гц, 1H), 7,87 (д, J=8,8 Гц, 2H), 7,96 (д, J=8,8 Гц, 2H), 8,15 (с, 1H), 10,48 (с, 1H) |
| 79 |
1-079 |
 |
(300 МГц, ДМСО-d6) 1,42 (с, 6H), 2,23 (с, 3H), 4,00 (т, J=4,4 Гц, 2H), 4,33 (т, J=4,4 Гц, 2H), 4,93 (с, 1H), 6,91 (т, J=7,9 Гц, 1H), 7,13 (д, J=8,4 Гц, 1H), 7,19 (дд, J=7,7, 1,5 Гц, 1H), 7,39-7,43 (м, 3H), 7,52 (дд, J=9,0, 2,4 Гц, 1H), 7,64 (д, J=8,4 Гц, 2H), 8,15 (с, 1H), 10,04 (с, 1H) |
| 80 |
1-080 |
 |
(400 МГц, ДМСО-d6) 2,23 (с, 3H), 2,59 (с, 3H), 3,99 (т, J=4,4 Гц, 2H), 4,32 (т, J=4,4 Гц, 2H), 6,92 (т, J=7,9 Гц, 1H), 7,14 (д, J=8,3 Гц, 1H), 7,18 (дд, J=7,7, 1,6 Гц, 1H), 7,44 (дд, J=8,1, 1,6 Гц, 1H), 7,50-7,55 (м, 2H), 7,87 (дд, J=8,8, 2,3 Гц, 1H), 8,07 (д, J=2,3 Гц, 1H), 8,15 (с, 1H), 10,42 (с, 1H) |
| 81 |
1-081 |
 |
(400 МГц, ДМСО-d6) 1,59 (с, 6H), 2,23 (с, 3H), 3,99 (т, J=4,4 Гц, 2H), 4,31 (т, J=4,4 Гц, 2H), 5,28 (с, 1H), 6,91 (т, J=7,9 Гц, 1H), 7,11-7,17 (м, 2H), 7,32 (д, J=8,3 Гц, 1H), 7,42 (дд, J=8,3, 1,4 Гц, 1H), 7,53 (дд, J=8,6, 2,6 Гц, 1H), 7,70 (дд, J=8,8, 2,8 Гц, 1H), 8,13-8,18 (м, 2H), 10,24 (с, 1H) |
| 82 |
1-082 |
 |
(300 МГц, ДМСО-d6) 1,44 (с, 6H), 2,23 (с, 3H), 2,96 (с, 3H), 3,99 (т, J=4,4 Гц, 2H), 4,32 (т, J=4,4 Гц, 2H), 6,91 (т, J=7,9 Гц, 1H), 7,14 (д, J=8,4 Гц, 1H), 7,18 (дд, J=7,7, 1,5 Гц, 1H), 7,33 (д, J=8,8 Гц, 2H), 7,42 (дд, J=8,3, 1,7 Гц, 1H), 7,52 (дд, J=8,8, 2,2 Гц, 1H), 7,70 (д, J=8,8 Гц, 2H), 8,15 (д, J=2,6 Гц, 1H), 10,11 (с, 1H) |
| 83 |
1-083 |
 |
(300 МГц, ХЛОРОФОРМ-d) 2,28 (с, 3H), 3,97 (с, 3H), 4,17 (т, J=4,4 Гц, 2H), 4,52 (т, J=4,6 Гц, 2H), 6,84 (дд, J=8,6, 2,4 Гц, 1H), 6,99 (т, J=8,1 Гц, 1H), 7,10 (д, J=8,4 Гц, 1H), 7,29 (д, J=8,8 Гц, 1H), 7,38 (дд, J=8,4, 2,2 Гц, 1H), 7,44 (дд, J=8,1, 1,5 Гц, 1H), 7,88 (дд, J=5,9, 2,2 Гц, 2H), 8,17 (д, J=1,8 Гц, 1H), 9,71 (с, 1H) |
| 84 |
1-084 |
 |
(400 МГц, ХЛОРОФОРМ-d) 1,04 (т, J=7,4 Гц, 3H), 1,79-1,83 (м, 2H), 2,27 (с, 3H), 3,92 (т, J=6,7 Гц, 2H), 4,17 (т, J=4,4 Гц, 2H), 4,49 (т, J=4,4 Гц, 2H), 6,90 (д, J=9,3 Гц, 2H), 6,97 (т, J=8,1 Гц, 1H), 7,10 (д, J=8,3 Гц, 1H), 7,37 (дд, J=8,3, 2,3 Гц, 1H), 7,42 (дд, J=8,1, 1,2 Гц, 1H), 7,57 (д, J=8,8 Гц, 2H), 7,90 (дд, J=7,9, 1,4 Гц, 1H), 8,16 (с, 1H), 9,52 (с, 1H) |
| 85 |
1-085 |
 |
(400 МГц, ХЛОРОФОРМ-d) 1,04-1,06 (м, 3H), 1,82-1,86 (м, 2H), 2,28 (с, 3H), 3,99-4,00 (м, 2H), 4,16-4,17 (м, 2H), 4,50-4,51 (м, 2H), 6,92-7,00 (м, 2H), 7,10 (дд, J=8,3, 2,3 Гц, 1H), 7,27-7,30 (м, 1H), 7,36-7,45 (м, 2H), 7,57-7,60 (м, 1H), 7,87-7,91 (м, 1H), 8,17 (с, 1H), 9,57 (с, 1H) |
| [Таблица 12] |
 |
прим. |
Химические соединения |
ЯМР |
| 86 |
1-086 |
 |
(400 МГц, ХЛОРОФОРМ-d) 1,44-1,45 (м, 3H), 2,28 (д, J=3,2 Гц, 3H), 4,10-4,17 (м, 4H), 4,50-4,51 (м, 2H), 6,93-6,98 (м, 2H), 7,09-7,11 (м, 1H), 7,27-7,29 (м, 1H), 7,36-7,45 (м, 2H), 7,57-7,60 (м, 1H), 7,88-7,90 (м, 1H), 8,17 (с, 1H), 9,57 (с, 1H) |
| 87 |
1-087 |
 |
(400 МГц, ХЛОРОФОРМ-d) 1,44 (т, J=7,0 Гц, 3H), 2,20 (с, 3H), 2,28 (с, 3H), 4,11 (кв, J=7,0 Гц, 2H), 4,17 (т, J=4,4 Гц, 2H), 4,50 (т, J=4,4 Гц, 2H), 6,82 (дд, J=7,9, 1,9 Гц, 1H), 6,97 (т, J=8,1 Гц, 1H), 7,09 (дд, J=12,8, 8,1 Гц, 2H), 7,37 (дд, J=8,3, 2,3 Гц, 2H), 7,42 (дд, J=8,1, 1,6 Гц, 2H), 7,62 (д, J=2,3 Гц, 1H), 7,89 (дд, J=7,9, 1,4 Гц, 1H), 8,17 (с, 1H), 9,60 (с, 1H) |
| 88 |
1-088 |
 |
(400 МГц, ДМСО-d6) 2,19 (с, 3H), 2,23 (с, 3H), 3,99 (т, J=3,9 Гц, 2H), 4,32 (т, J=4,6 Гц, 2H), 4,40 (с, 2H), 6,90 (т, J=7,9 Гц, 1H), 7,08-7,17 (м, 3H), 7,24 (д, J=7,9 Гц, 1H), 7,38-7,41 (м, 4H), 7,53 (дд, J=8,8, 2,3 Гц, 1H), 8,15 (с, 1H), 10,07 (с, 1H) |
| 89 |
1-089 |
 |
(400 МГц, ДМСО-d6) 2,12 (с, 3H), 2,28 (с, 3H), 3,70 (т, J=4,6 Гц, 2H), 4,03-4,08 (м, 4H), 4,38 (т, J=4,2 Гц, 2H), 6,95 (т, J=7,9 Гц, 1H), 7,08 (д, J=7,9 Гц, 1H), 7,20 (дд, J=8,1, 1,6 Гц, 1H), 7,29 (дд, J=14,8, 8,3 Гц, 2H), 7,44 (д, J=11,1 Гц, 2H), 7,76 (д, J=8,8 Гц, 1H), 8,19 (с, 1H), 10,06 (с, 1H) |
| 90 |
1-090 |
 |
(400 МГц, ДМСО-d6) 1,64 (ушир. с, 1H), 1,79 (т, J=10,0 Гц, 2H), 1,91 (с, 3H), 2,30 (с, 3H), 3,27 (д, J=7,4 Гц, 1H), 3,45 (д, J=10,0 Гц, 3H), 3,81-3,84 (м, 1H), 4,02-4,06 (м, 3H), 4,39 (ушир. с, 2H), 6,98 (т, J=7,7 Гц, 1H), 7,26-7,36 (м, 2H), 7,48 (д, J=7,9 Гц, 1H), 7,58 (д, J=7,4 Гц, 1H), 7,86-7,92 (м, 3H), 8,21 (с, 1H), 10,63 (с, 1H) |
| 91 |
1-091 |
 |
(300 МГц, ДМСО-d6) 2,22 (с, 3H), 3,96 (кв, J=6,8 Гц, 2H), 4,29 (кв, J=6,6 Гц, 2H), 6,90 (т, J=7,9 Гц, 1H), 7,12-7,15 (м, 2H), 7,35-7,43 (м, 3H), 7,52 (дд, J=9,3, 2,3 Гц, 1H), 7,77 (д, J=19,0 Гц, 2H), 8,14 (д, J=2,3 Гц, 1H), 10,27 (с, 1H) |
| 92 |
1-092 |
 |
(300 МГц, ДМСО-d6) 2,20 (д, J=1,1 Гц, 3H), 2,23 (с, 3H), 3,99 (т, J=4,2 Гц, 2H), 4,32 (т, J=4,4 Гц, 2H), 6,91 (т, J=7,7 Гц, 1H), 7,17-7,20 (м, 3H), 7,38-7,42 (м, 2H), 7,53 (дд, J=8,4, 2,2 Гц, 1H), 7,67 (дд, J=12,1, 1,8 Гц, 1H), 8,15 (д, J=2,2 Гц, 1H), 10,23 (с, 1H) |
| 93 |
1-093 |
 |
(300 МГц, ДМСО-d6) 2,23 (с, 3H), 3,99 (т, J=4,4 Гц, 2H), 4,33 (т, J=4,4 Гц, 2H), 6,92 (т, J=7,9 Гц, 1H), 7,14-7,19 (м, 2H), 7,44-7,55 (м, 3H), 8,15 (кв, J=0,7 Гц, 1H), 8,23 (дд, J=8,8, 2,6 Гц, 1H), 8,75 (д, J=2,6 Гц, 1H), 10,48 (с, 1H) |
| 94 |
1-094 |
 |
(400 МГц, ДМСО-d6) 1,31 (т, J=7,2 Гц, 3H), 3,79 (т, J=4,4 Гц, 2H), 3,99 (кв, J=7,0 Гц, 2H), 4,42 (т, J=4,4 Гц, 2H), 6,48 (дд, J=8,1, 1,6 Гц, 1H), 6,78 (т, J=7,9 Гц, 1H), 6,88 (д, J=9,3 Гц, 2H), 7,07 (дд, J=7,9, 1,4 Гц, 1H), 7,30 (дд, J=7,6, 4,4 Гц, 1H), 7,64 (д, J=8,8 Гц, 2H), 8,03 (дд, J=7,9, 1,9 Гц, 1H), 8,41 (дд, J=4,4, 1,6 Гц, 1H), 9,99 (с, 1H) |
| [Таблица 13] |
 |
прим. |
Химические соединения |
ЯМР |
| 95 |
1-095 |
 |
(400 МГц, ДМСО-d6) 1,49-1,54 (м, 2H), 1,61-1,67 (м, 4H), 2,91 (т, J=5,1 Гц, 4H), 3,79 (т, J=4,4 Гц, 2H), 4,42 (т, J=4,4 Гц, 2H), 6,49 (дд, J=8,1, 1,6 Гц, 1H), 6,79 (т, J=7,9 Гц, 1H), 6,99 (т, J=9,3 Гц, 1H), 7,05 (дд, J=7,4, 1,4 Гц, 1H), 7,30 (дд, J=8,0, 4,4 Гц, 1H), 7,39 (дд, J=8,6, 2,1 Гц, 1H), 7,64 (дд, J=14,8, 2,3 Гц, 1H), 8,03 (дд, J=7,9, 1,9 Гц, 1H), 8,42 (дд, J=4,6, 1,4 Гц, 1H), 10,13 (с, 1H) |
| 96 |
1-096 |
 |
(400 МГц, ДМСО-d6) 1,08 (т, J=7,0 Гц, 3H), 1,18-1,37 (м, 4H), 1,85-1,98 (м, 4H), 3,17-3,24 (м, 1H), 3,43 (кв, J=7,0 Гц, 2H), 3,67-3,73 (м, 1H), 3,76 (т, J=4,4 Гц, 2H), 4,38 (т, J=4,4 Гц, 2H), 6,44 (дд, J=7,9, 1,4 Гц, 1H), 6,73 (т, J=7,9 Гц, 1H), 7,07 (дд, J=7,7, 1,6 Гц, 1H), 7,27 (дд, J=8,0, 4,8 Гц, 1H), 7,92 (д, J=7,4 Гц, 1H), 8,01 (дд, J=7,9, 1,9 Гц, 1H), 8,39 (дд, J=4,8, 2,0 Гц, 1H) |
| 97 |
1-097 |
 |
(400 МГц, ДМСО-d6) 1,05 (д, J=6,0 Гц, 6H), 1,15-1,38 (м, 4H), 1,85-1,90 (м, 4H), 3,27-3,31 (м, 1H), 3,63-3,73 (м, 2H), 3,76 (т, J=4,6 Гц, 2H), 4,38 (т, J=4,6 Гц, 2H), 6,44 (дд, J=7,9, 1,4 Гц, 1H), 6,73 (т, J=7,9 Гц, 1H), 7,07 (дд, J=7,7, 1,6 Гц, 1H), 7,27 (дд, J=8,0, 4,8 Гц, 1H), 7,91 (д, J=7,9 Гц, 1H), 8,01 (дд, J=7,9, 1,9 Гц, 1H), 8,39 (дд, J=4,6, 1,4 Гц, 1H) |
| 98 |
1-098 |
 |
(400 МГц, ДМСО-d6) 1,17-1,70 (м, 12H), 1,84-1,94 (м, 4H), 3,20-3,25 (м, 1H), 3,66-3,72 (м, 1H), 3,76 (т, J=4,4 Гц, 2H), 3,98-4,01 (м, 1H), 4,38 (т, J=4,4 Гц, 2H), 6,44 (дд, J=8,1, 1,6 Гц, 1H), 6,72 (т, J=7,9 Гц, 1H), 7,07 (дд, J=7,4, 1,4 Гц, 1H), 7,27 (дд, J=8,1, 4,9 Гц, 1H), 7,91 (д, J=7,9 Гц, 1H), 8,01 (дд, J=7,9, 1,4 Гц, 1H), 8,39 (дд, J=4,9, 1,6 Гц, 1H) |
| 99 |
1-099 |
 |
(400 МГц, ДМСО-d6) 1,12-1,47 (м, 10H), 1,62-1,66 (м, 2H), 1,74-1,78 (м, 2H), 1,85-1,91 (м, 4H), 3,32-3,36 (м, 2H), 3,66-3,72 (м, 1H), 3,76 (т, J=4,6 Гц, 2H), 4,38 (т, J=4,4 Гц, 2H), 6,43 (дд, J=8,1, 1,6 Гц, 1H), 6,72 (т, J=7,9 Гц, 1H), 7,07 (дд, J=7,9, 1,4 Гц, 1H), 7,27 (дд, J=8,0, 4,8 Гц, 1H), 7,91 (д, J=7,9 Гц, 1H), 8,01 (дд, J=7,9, 1,9 Гц, 1H), 8,39 (дд, J=4,8, 2,0 Гц, 1H) |
| 100 |
1-100 |
 |
(300 МГц, ДМСО-d6) : 3,81 (т, J=4,4 Гц, 2H), 4,43 (т, J=4,4 Гц, 2H), 6,53 (дд, J=8,1, 1,5 Гц, 1H), 6,82 (т, J=7,9 Гц, 1H), 7,07 (дд, J=7,5, 1,7 Гц, 1H), 7,32 (дд, J=7,9, 4,6 Гц, 1H), 7,71 (д, J=8,8 Гц, 2H), 7,97 (д, J=8,8 Гц, 2H), 8,05 (дд, J=8,1, 1,5 Гц, 1H), 8,43 (дд, J=2,1, 1,0 Гц, 1H), 10,52 (с, 1H) |
| 101 |
1-101 |
 |
(300 МГц, ДМСО-d6) : 1,56-1,61 (м, 2H), 1,95-1,99 (м, 2H), 2,74-2,79 (м, 2H), 3,17-3,19 (м, 2H), 3,29-3,33 (м, 4H), 3,80 (т, J=4,4 Гц, 2H), 4,43 (т, J=4,4 Гц, 2H), 6,50 (дд, J=8,1, 1,5 Гц, 1H), 6,80 (т, J=7,9 Гц, 1H), 7,01-7,06 (м, 2H), 7,31 (дд, J=7,7, 4,8 Гц, 1H), 7,40 (дд, J=5,3, 2,7 Гц, 1H), 7,66 (дд, J=15,0, 2,2 Гц, 1H), 8,04 (дд, J=7,9, 1,7 Гц, 1H), 8,43 (дд, J=2,1, 1,0 Гц, 1H), 10,13 (с, 1H) |
| 102 |
1-102 |
 |
(300 МГц, ДМСО-d6) : 1,13 (т, J=7,0 Гц, 3H), 1,52-1,63 (м, 2H), 1,95-1,97 (м, 2H), 2,74-2,77 (м, 2H), 3,18-3,20 (м, 2H), 3,42-3,49 (м, 3H), 3,80 (т, J=4,4 Гц, 2H), 4,43 (т, J=4,4 Гц, 2H), 6,50 (дд, J=8,1, 1,5 Гц, 1H), 6,80 (т, J=7,9 Гц, 1H), 7,01-7,06 (м, 2H), 7,31 (дд, J=7,9, 4,6 Гц, 1H), 7,40 (дд, J=8,8, 1,5 Гц, 1H), 7,66 (дд, J=14,9, 2,4 Гц, 1H), 8,04 (дд, J=7,9, 1,7 Гц, 1H), 8,43 (дд, J=2,2, 1,1 Гц, 1H), 10,13 (с, 1H) |
| [Таблица 14] |
 |
прим. |
Химические соединения |
ЯМР |
| 103 |
1-103 |
 |
(300 МГц, ДМСО-d6) : 1,10 (д, J=5,9 Гц, 6H), 1,64-1,67 (м, 2H), 1,95-2,04 (м, 2H), 2,92-2,95 (м, 2H), 3,26-3,30 (м, 2H), 3,55-3,59 (м, 1H), 3,72-3,79 (м, 3H), 4,43 (т, J=4,4 Гц, 2H), 6,51 (дд, J=8,1, 1,8 Гц, 1H), 6,80 (т, J=7,7 Гц, 1H), 7,06 (дд, J=7,7, 1,5 Гц, 1H), 7,30-7,33 (м, 2H), 7,45 (д, J=8,4 Гц, 1H), 7,73 (д, J=14,7 Гц, 1H), 8,04 (дд, J=8,1, 1,8 Гц, 1H), 8,43 (дд, J=4,8, 1,5 Гц, 1H), 10,24 (с, 1H) |
| 104 |
1-104 |
 |
(400 МГц, ХЛОРОФОРМ-d) 1,03 (с, 3H), 1,05 (с, 3H), 2,09-2,15 (м, 1H), 3,79 (д, J=7,0 Гц, 2H), 3,95 (т, J=4,4 Гц, 2H), 4,63 (т, J=4,6 Гц, 2H), 6,67 (дд, J=8,1, 1,6 Гц, 1H), 6,90-6,94 (м, 2H), 7,12 (кв, J=4,2 Гц, 1H), 7,30 (т, J=5,3 Гц, 1H), 7,58 (дд, J=13,0, 2,8 Гц, 1H), 7,79-7,80 (м, 2H), 8,38 (дд, J=4,6, 1,4 Гц, 1H), 9,58 (с, 1H) |
| 105 |
1-105 |
 |
(400 МГц, ДМСО-d6) 1,08 (т, J=6,8 Гц, 3H), 1,20-1,33 (м, 4H), 1,85-1,97 (м, 4H), 2,20 (с, 3H), 3,14-3,24 (м, 1H), 3,43 (кв, J=6,8 Гц, 2H), 3,66-3,76 (м, 1H), 3,95 (т, J=4,4 Гц, 2H), 4,27 (т, J=4,4 Гц, 2H), 6,84 (дд, J=8,0, 7,6 Гц, 1H), 7,17 (д, J=8,8 Гц, 1H), 7,17 (дд, J=8,0, 2,0 Гц, 1H), 7,33 (дд, J=8,0, 1,2 Гц, 1H), 7,48 (дд, J=8,4, 2,4 Гц, 1H), 7,90 (д, J=8,0 Гц, 1H), 8,11 (д, J=2,4 Гц, 1H) |
| 106 |
1-106 |
 |
(400 МГц, ДМСО-d6) 1,04 (д, J=6,0 Гц, 6H), 1,16-1,37 (м, 4H), 1,81-1,91 (м, 4H), 2,20 (с, 3H), 3,23-3,33 (м, 1H), 3,62-3,73 (м, 1H), 3,95 (т, J=4,4 Гц, 2H), 4,27 (т, J=4,4 Гц, 2H), 6,84 (дд, J=8,4, 7,2 Гц, 1H), 7,07 (д, J=8,4 Гц, 1H), 7,18 (дд, J=8,0, 2,0 Гц, 1H), 7,33 (дд, J=8,0, 2,0 Гц, 1H), 7,48 (дд, J=8,0, 2,0 Гц, 1H), 7,89 (д, J=8,0 Гц, 1H), 8,11 (д, J=1,6 Гц, 1H) |
| 107 |
1-107 |
 |
(400 МГц, ДМСО-d6) 1,05-1,36 (м, 9H), 1,40-1,92 (м, 9H), 2,20 (с, 3H), 3,26-3,36 (м, 1H), 3,64-3,74 (м, 1H), 3,95 (т, J=4,4 Гц, 2H), 4,27 (т, J=4,4 Гц, 2H), 6,84 (дд, J=8,0, 8,0 Гц, 1H), 7,07 (д, J=8,5 Гц, 1H), 7,17 (дд, J=7,4, 1,4 Гц, 1H), 7,33 (дд, J=8,0, 1,4 Гц, 1H), 7,48 (дд, J=8,5, 2,6 Гц, 1H), 7,90 (д, J=8,0 Гц, 1H), 8,12 (д, J=1,2 Гц, 1H) |
| 108 |
1-108 |
 |
(400 МГц, ДМСО-d6) 1,04-1,34 (м, 4H), 1,72-1,87 (м, 4H), 2,20 (с, 3H), 2,48-2,58 (м, 1H), 3,30 (ушир.с, 3H), 3,59-3,71 (м, 1H), 3,95 (т, J=4,4 Гц, 2H), 4,27 (т, J=4,4 Гц, 2H), 6,84 (дд, J=8,0, 8,0 Гц, 1H), 7,07 (д, J=8,5 Гц, 1H), 7,19 (дд, J=8,0, 1,5 Гц, 1H), 7,33 (дд, J=8,0, 1,5 Гц, 1H), 7,48 (дд, J=8,5, 2,6 Гц, 1H), 7,86 (д, J=8,0 Гц, 1H), 8,12 (д, J=2,0 Гц, 1H) |
| 109 |
1-109 |
 |
(400 МГц, ДМСО-d6) 1,48-1,84 (м, 8H), 2,20 (с, 3H), 3,78-3,88 (м, 5H), 3,95 (т, J=4,4 Гц, 2H), 4,28 (т, J=4,4 Гц, 2H), 6,84 (дд, J=8,0, 8,0 Гц, 1H), 7,08 (д, J=8,5 Гц, 1H), 7,18 (дд, J=8,0, 1,5 Гц, 1H), 7,34 (дд, J=8,0, 1,5 Гц, 1H), 7,48 (дд, J=8,5, 2,5 Гц, 1H), 7,97 (д, J=8,0 Гц, 1H), 8,12 (д, J=2,5 Гц, 1H) |
| 110 |
1-110 |
 |
(400 МГц, ДМСО-d6) 1,74-1,84 (м, 2H), 2,05-2,09 (м, 2H), 2,20 (с, 3H), 2,26-2,33 (м, 2H), 2,41-2,46 (м, 2H), 3,95 (т, J=4,4 Гц, 2H), 4,21-4,28 (м, 3H), 6,85 (т, J=7,9 Гц, 1H), 7,08 (д, J=8,8 Гц, 1H), 7,18 (дд, J=7,7, 1,6 Гц, 1H), 7,35 (дд, J=8,1, 1,6 Гц, 1H), 7,49 (дд, J=8,8, 2,3 Гц, 1H), 8,11-8,13 (м, 2H) |
| [Таблица 15] |
 |
прим. |
Химические соединения |
ЯМР |
| 111 |
1-111 |
 |
(400 МГц, ДМСО-d6) 1,49-1,78 (м, 8H), 2,16-2,20 (м, 4H), 2,43-2,45 (м, 4H), 3,55 (т, J=4,6 Гц, 4H), 3,98 (т, J=4,4 Гц, 3H), 4,31 (т, J=4,6 Гц, 2H), 6,86 (т, J=7,9 Гц, 1H), 7,08 (д, J=8,3 Гц, 1H), 7,25 (дд, J=7,7, 1,6 Гц, 1H), 7,35 (дд, J=8,1, 1,6 Гц, 1H), 7,49 (дд, J=8,3, 2,3 Гц, 1H), 8,02 (д, J=7,4 Гц, 1H), 8,12 (с, 1H) |
| 112 |
1-112 |
 |
(400 МГц, ДМСО-d6) 1,20-1,32 (м, 4H), 1,80 (ушир.с, 2H), 1,90 (ушир.с, 2H) 2,06-2,16 (м, 7H), 2,20 (с, 3H), 3,63-3,68 (м, 1H), 3,95 (ушир.с, 2H), 4,27 (ушир.с, 2H), 6,83 (т, J=7,9 Гц, 1H), 7,07 (д, J=8,8 Гц, 1H), 7,18 (д, J=7,9 Гц, 1H), 7,33 (дд, J=8,1, 1,6 Гц, 1H), 7,48 (дд, J=8,6, 1,6 Гц, 1H), 7,88 (д, J=7,9 Гц, 1H), 8,12 (с, 1H) |
| 113 |
1-113 |
 |
(400 МГц, ДМСО-d6) 0,94 (т, J=7,0 Гц, 6H), 1,26-1,32 (м, 4H), 1,70 (ушир.с, 2H), 1,91 (ушир.с, 2H), 2,20 (с, 3H), 2,43-2,46 (м, 5H), 3,63-3,68 (м, 1H), 3,95 (т, J=4,4 Гц, 2H), 4,27 (т, J=4,4 Гц, 2H), 6,84 (т, J=7,9 Гц, 1H), 7,07 (д, J=8,3 Гц, 1H), 7,19 (дд, J=7,7, 1,6 Гц, 1H), 7,33 (дд, J=8,1, 1,6 Гц, 1H), 7,48 (дд, J=8,3, 2,3 Гц, 1H), 7,87 (д, J=7,9 Гц, 1H), 8,12 (д, J=2,3 Гц, 1H) |
| 114 |
1-114 |
 |
(400 МГц, ДМСО-d6) 1,55-1,69 (м, 12H), 2,17-2,24 (м, 4H), 2,45-2,53 (м, 4H), 3,88-3,90 (м, 1H), 3,97 (т, J=4,4 Гц, 2H), 4,31 (т, J=4,2 Гц, 2H), 6,85 (т, J=7,9 Гц, 1H), 7,08 (д, J=8,8 Гц, 1H), 7,24 (дд, J=7,9, 1,4 Гц, 1H), 7,34 (д, J=7,9 Гц, 1H), 7,48 (дд, J=8,6, 2,1 Гц, 1H), 7,97 (д, J=7,0 Гц, 1H), 8,12 (ушир.с, 1H) |
| 115 |
1-115 |
 |
(400 МГц, ДМСО-d6) 1,18-1,34 (м, 4H), 1,64 (ушир.с, 4H), 1,86-1,95 (м, 5H), 2,20 (с, 3H), 3,65-3,70 (м, 1H), 3,95 (т, J=4,4 Гц, 2H), 4,27 (т, J=4,4 Гц, 2H), 6,84 (т, J=7,9 Гц, 1H), 7,07 (д, J=8,8 Гц, 1H), 7,18 (дд, J=7,9, 1,4 Гц, 1H), 7,33 (дд, J=7,9, 1,4 Гц, 1H), 7,48 (дд, J=8,8, 2,3 Гц, 1H), 7,89 (д, J=7,9 Гц, 1H), 8,11 (с, 1H) |
| 116 |
1-116 |
 |
(400 МГц, ДМСО-d6) 1,33-2,16 (м, 14H), 2,27 (с, 3H), 2,86-2,94 (м, 2H), 3,03-3,17 (м, 1H), 3,30-3,33 (м, 2H), 3,68-4,11 (м, 3H), 4,32-4,45 (м, 2H), 6,87-6,94 (м, 1H), 7,24-7,41 (м, 3H), 7,79 (д, J=8,3 Гц, 1H), 7,99-8,12 (м, 1H), 8,17 (с, 1H), 10,43-10,53 (м, 1H) |
| 117 |
1-117 |
 |
(400 МГц, ДМСО-d6) 1,29-1,40 (м, 2H), 1,56-1,65 (м, 2H), 1,94-2,01 (м, 2H), 2,16-2,19 (м, 2H), 2,24 (с, 3H), 3,01-3,15 (м, 3H), 3,33-3,38 (м, 2H), 3,44-4,01 (м, 7H), 4,31 (т, J=4,4 Гц, 2H), 6,88 (т, J=7,9 Гц, 1H), 7,21 (д, J=7,9 Гц, 2H), 7,36 (дд, J=8,3, 1,4 Гц, 1H), 7,67 (д, J=8,3 Гц, 1H), 8,00 (д, J=7,9 Гц, 1H), 8,15 (с, 1H), 11,13 (с, 1H) |
| 118 |
1-118 |
 |
(400 МГц, ДМСО-d6) 1,21-1,38 (м, 4H), 1,76-1,88 (м, 7H), 2,20 (с, 3H), 3,44-3,49 (м, 1H), 3,66-3,72 (м, 1H), 3,95 (т, J=4,2 Гц, 2H), 4,27 (т, J=4,4 Гц, 2H), 6,84 (т, J=7,9 Гц, 1H), 7,08 (д, J=8,3 Гц, 1H), 7,18 (дд, J=7,9, 1,4 Гц, 1H), 7,33 (дд, J=8,3, 1,4 Гц, 1H), 7,48 (дд, J=8,8, 2,3 Гц, 1H), 7,72 (д, J=7,9 Гц, 1H), 7,92 (д, J=7,9 Гц, 1H), 8,12 (д, J=1,9 Гц, 1H) |
| [Таблица 16] |
 |
прим. |
Химические соединения |
ЯМР |
| 119 |
1-119 |
 |
(400 МГц, ДМСО-d6) 0,83-0,92 (м, 2H), 1,09-1,47 (м, 8H), 1,59-1,69 (м, 5H), 1,84-1,95 (м, 4H), 2,20 (с, 3H), 3,13-3,33 (м, 3H), 3,69-3,74 (м, 1H), 3,95 (т, J=4,4 Гц, 2H), 4,27 (т, J=4,4 Гц, 2H), 6,84 (т, J=7,9 Гц, 1H), 7,07 (д, J=8,3 Гц, 1H), 7,18 (дд, J=7,7, 1,6 Гц, 1H), 7,33 (дд, J=7,9, 1,4 Гц, 1H), 7,48 (дд, J=8,3, 2,3 Гц, 1H), 7,90 (д, J=7,9 Гц, 1H), 8,12 (д, J=2,3 Гц, 1H) |
| 120 |
1-120 |
 |
(400 МГц, ДМСО-d6) 1,30 (т, J=7,0 Гц, 3H), 3,97 (кв, J=7,0 Гц, 2H), 4,02 (т, J=4,6 Гц, 2H), 4,33 (т, J=4,6 Гц, 2H), 6,88 (д, J=9,3 Гц, 2H), 6,93 (т, J=7,9 Гц, 1H), 7,21-7,24 (м, 2H), 7,47 (дд, J=8,1, 1,6 Гц, 1H), 7,61 (д, J=9,3 Гц, 2H), 7,74 (дд, J=9,0, 2,6 Гц, 1H), 8,30 (д, J=2,8 Гц, 1H), 9,98 (с, 1H) |
| 121 |
1-121 |
 |
(400 МГц, ДМСО-d6) 4,02 (т, J=4,5 Гц, 3H), 4,32 (т, J=4,5 Гц, 2H), 6,94 (т, J=7,9 Гц, 1H), 7,21-7,23 (м, 2H), 7,38 (д, J=8,8 Гц, 2H), 7,49 (дд, J=7,9, 1,4 Гц, 1H), 7,73-7,77 (м, 4H), 8,30 (д, J=2,8 Гц, 1H), 10,27 (с, 1H) |
| 122 |
1-122 |
 |
(300 МГц, ДМСО-d6) : 1,54-1,63 (м, 2H), 1,96-2,01 (м, 2H), 2,74-2,77 (м, 2H), 3,16-3,18 (м, 2H), 3,29-3,33 (м, 4H), 4,03 (т, J=4,2 Гц, 2H), 4,34 (т, J=4,4 Гц, 2H), 6,95-7,02 (м, 2H), 7,23 (д, J=9,2 Гц, 2H), 7,38 (д, J=8,4 Гц, 1H), 7,50 (дд, J=8,1, 0,7 Гц, 1H), 7,64 (дд, J=15,0, 2,2 Гц, 1H), 7,76 (дд, J=9,0, 2,8 Гц, 1H), 8,32 (д, J=2,6 Гц, 1H), 10,12 (с, 1H) |
| 123 |
1-123 |
 |
(300 МГц, ДМСО-d6) : 4,04 (т, J=4,4 Гц, 2H), 4,35 (т, J=4,4 Гц, 2H), 6,96 (т, J=7,9 Гц, 1H), 7,23-7,26 (м, 2H), 7,53 (дд, J=8,3, 1,7 Гц, 1H), 7,71 (д, J=8,8 Гц, 2H), 7,77 (дд, J=9,0, 2,8 Гц, 1H), 7,95 (д, J=8,4 Гц, 2H), 8,32 (д, J=2,6 Гц, 1H), 10,49 (с, 1H) |
| 124 |
1-124 |
 |
(400 МГц, ДМСО-d6) 2,25 (с, 3H), 2,84 (т, J=7,2 Гц, 2H), 3,50 (кв, J=6,6 Гц, 2H), 3,98 (т, J=4,4 Гц, 2H), 4,28 (т, J=4,6 Гц, 2H), 6,89 (т, J=7,9 Гц, 1H), 7,24-7,35 (м, 8H), 7,65 (д, J=8,8 Гц, 1H), 8,15-8,20 (м, 2H) |
| 125 |
1-125 |
 |
(400 МГц, ХЛОРОФОРМ-d) 2,26 (с, 3H), 2,91 (т, J=7,0 Гц, 2H), 3,73 (кв, J=6,5 Гц, 2H), 4,07 (т, J=4,6 Гц, 2H), 4,21 (т, J=4,4 Гц, 2H), 6,92 (т, J=7,9 Гц, 1H), 7,06 (д, J=8,3 Гц, 1H), 7,20-7,21 (м, 2H), 7,27-7,30 (м, 2H), 7,36 (дд, J=7,9, 1,9 Гц, 2H), 7,74 (с, 1H), 7,82 (дд, J=7,9, 1,4 Гц, 1H), 8,14 (с, 1H) |
| 126 |
1-126 |
 |
(400 МГц, ХЛОРОФОРМ-d) 2,26 (с, 3H), 2,91 (т, J=6,7 Гц, 2H), 3,74 (кв, J=6,5 Гц, 2H), 4,08 (с, 2H), 4,24 (т, J=4,4 Гц, 2H), 7,76 (с, 1H), 7,83 (д, J=6,5 Гц, 1H), 8,14 (с, 1H) |
| [Таблица 17] |
 |
прим. |
Химические соединения |
ЯМР |
| 127 |
1-127 |
 |
(400 МГц, ДМСО-d6) 2,26 (с, 3H), 2,98 (т, J=7,2 Гц, 2H), 3,53 (кв, J=6,6 Гц, 2H), 3,99 (т, J=4,4 Гц, 2H), 6,90 (т, J=7,9 Гц, 1H), 7,23-7,33 (м, 4H), 7,38-7,40 (м, 2H), 7,44 (дд, J=7,7, 1,6 Гц, 1H), 7,69 (д, J=8,8 Гц, 1H), 8,16 (с, 1H), 8,23 (т, J=5,3 Гц, 1H) |
| 128 |
1-128 |
 |
(300 МГц, ДМСО-d6) : 4,16 (т, J=4,4 Гц, 2H), 4,37 (т, J=4,2 Гц, 2H), 6,99 (т, J=7,9 Гц, 1H), 7,24-7,28 (м, 2H), 7,60 (дд, J=8,3, 1,7 Гц, 1H), 7,71 (д, J=8,8 Гц, 2H), 7,95 (д, J=8,4 Гц, 2H), 8,08 (дд, J=8,8, 2,2 Гц, 1H), 8,77 (д, J=2,6 Гц, 1H), 10,51 (с, 1H) |
| 129 |
1-129 |
 |
(300 МГц, ДМСО-d6) : 1,51 (с, 6H), 3,78 (т, J=4,2 Гц, 2H), 4,43 (т, J=4,2 Гц, 2H), 5,33 (с, 1H), 6,46-6,52 (м, 1H), 6,83 (т, J=16,7 Гц, 1H), 7,05 (дд, J=7,7, 1,5 Гц, 1H), 7,68-7,71 (м, 2H), 7,94-7,97 (м, 2H), 8,04 (д, J=2,2 Гц, 1H), 8,51 (д, J=2,2 Гц, 1H), 10,50 (с, 1H) |
| 130 |
1-130 |
 |
(300 МГц, ДМСО-d6) : 1,40 (д, J=6,6 Гц, 3H), 3,76-3,80 (м, 2H), 4,41-4,44 (м, 2H), 4,82-4,84 (м, 1H), 5,43 (д, J=4,8 Гц, 1H), 6,47 (дд, J=8,1, 1,5 Гц, 1H), 6,81 (т, J=7,9 Гц, 1H), 7,05 (д, J=3,9 Гц, 1H), 7,70 (д, J=8,8 Гц, 2H), 7,95-7,96 (м, 4H), 8,40-8,40 (м, 1H), 10,50 (с, 1H) |
| 131 |
1-131 |
 |
(300 МГц, ДМСО-d6) : 3,90-3,92 (м, 2H), 4,42-4,43 (м, 2H), 6,77 (д, J=4,0 Гц, 1H), 6,87 (д, J=7,7 Гц, 1H), 7,16-7,17 (м, 1H), 7,73 (д, J=9,2 Гц, 2H), 7,96 (д, J=14,3 Гц, 1H), 8,30 (д, J=1,8 Гц, 1H), 8,83 (д, J=1,8 Гц, 1H), 10,72 (с, 1H) |
| 132 |
1-132 |
 |
(400 МГц, ХЛОРОФОРМ-d) 1,33 (с, 9H), 3,92 (с, 3H), 4,36 (т, J=4,6 Гц, 2H), 4,55 (т, J=4,6 Гц, 2H), 7,06 (т, J=7,9 Гц, 1H), 7,21 (д, J=8,8 Гц, 1H), 7,38 (т, J=4,4 Гц, 2H), 7,52 (дд, J=8,1, 1,6 Гц, 3H), 7,58 (дд, J=6,7, 4,9 Гц, 3H), 8,02 (дд, J=7,9, 1,4 Гц, 2H), 8,08 (дд, J=8,8, 2,3 Гц, 2H), 8,93 (д, J=2,3 Гц, 1H), 9,48 (с, 1H) |
| 133 |
1-133 |
 |
(400 МГц, ХЛОРОФОРМ-d) 1,28 (с, 9H), 4,16 (т, J=4,2 Гц, 2H), 4,37 (т, J=4,2 Гц, 2H), 6,98 (т, J=7,9 Гц, 1H), 7,26 (дд, J=20,4, 8,3 Гц, 2H), 7,35 (д, J=8,8 Гц, 2H), 7,57 (д, J=8,3 Гц, 1H), 7,64 (д, J=8,8 Гц, 2H), 8,07 (дд, J=8,8, 1,9 Гц, 1H), 8,77 (д, J=2,3 Гц, 1H), 10,07 (с, 1H) |
| [Таблица 18] |
 |
прим. |
Химические соединения |
ЯМР |
| 134 |
1-134 |
 |
(300 МГц,ДМСО-d6) 3,92 (т, J=4,2 Гц, 2H), 4,43 (т, J=4,4 Гц, 2H), 6,76 (дд, J=8,1, 1,5 Гц, 1H), 6,86 (т, J=7,9 Гц, 1H), 7,17 (дд, J=7,5, 1,7 Гц, 1H), 7,71 (д, J=8,8 Гц, 2H), 7,97 (д, J=8,4 Гц, 2H), 8,31 (д, J=2,2 Гц, 1H), 8,83 (д, J=2,2 Гц, 1H), 10,53 (с, 1H) |
| 135 |
1-135 |
 |
(300 МГц,ДМСО-d6) 1,28 (с, 9H), 3,92 (т, J=4,2 Гц, 2H), 4,44 (т, J=4,2 Гц, 2H), 6,73 (дд, J=8,1, 1,5 Гц, 1H), 6,84 (т, J=7,9 Гц, 1H), 7,18 (дд, J=7,5, 1,7 Гц, 1H), 7,35 (д, J=8,8 Гц, 2H), 7,65 (д, J=8,8 Гц, 2H), 8,30 (д, J=2,2 Гц, 1H), 8,83 (д, J=2,2 Гц, 1H), 10,07 (с, 1H) |
| 136 |
1-136 |
 |
(300 МГц, ДМСО-d6) : 2,62 (с, 3H), 3,94 (т, J=4,6 Гц, 2H), 4,44 (т, J=4,4 Гц, 2H), 6,76 (дд, J=8,1, 1,8 Гц, 1H), 6,87 (т, J=7,9 Гц, 1H), 7,19 (дд, J=7,3, 1,5 Гц, 1H), 7,71 (д, J=8,4 Гц, 3H), 7,97 (д, J=8,4 Гц, 3H), 8,38 (д, J=2,2 Гц, 1H), 8,91 (д, J=1,8 Гц, 1H), 10,52 (с, 1H) |
| 137 |
1-137 |
 |
(400 МГц, ДМСО-d6) 1,27 (с, 9H), 2,78 (д, J=4,6 Гц, 3H), 4,14 (т, J=4,2 Гц, 2H), 4,36 (т, J=4,6 Гц, 2H), 6,98 (т, J=7,9 Гц, 1H), 7,26 (кв, J=7,4 Гц, 2H), 7,35 (д, J=8,8 Гц, 2H), 7,56 (д, J=8,3 Гц, 1H), 7,64 (д, J=8,8 Гц, 2H), 8,05 (дд, J=8,8, 2,3 Гц, 1H), 8,39 (д, J=5,6 Гц, 1H), 8,73 (д, J=2,3 Гц, 1H), 10,06 (с, 1H) |
| 138 |
1-138 |
 |
(400 МГц, ДМСО-d6) 1,28 (с, 9H), 4,15 (т, J=4,4 Гц, 2H), 4,36 (т, J=4,4 Гц, 2H), 6,98 (т, J=7,9 Гц, 1H), 7,25-7,33 (м, 5H), 7,56 (д, J=8,3 Гц, 1H), 7,64 (д, J=8,8 Гц, 2H), 7,93 (с, 1H), 8,09 (дд, J=8,8, 2,8 Гц, 1H), 8,78 (д, J=2,3 Гц, 1H), 10,07 (с, 1H) |
| 139 |
1-139 |
 |
(400 МГц, ДМСО-d6) 1,08 (т, J=7,0 Гц, 6H), 1,27 (с, 9H), 3,31-3,40 (м, 4H), 3,82 (т, J=4,4 Гц, 2H), 4,34 (т, J=4,4 Гц, 2H), 6,81 (т, J=7,9 Гц, 1H), 7,02-7,16 (м, 4H), 7,34 (д, J=8,8 Гц, 2H), 7,64 (д, J=8,3 Гц, 2H), 7,85 (д, J=3,2 Гц, 1H), 10,02 (с, 1H) |
| 140 |
1-140 |
 |
(400 МГц, ХЛОРОФОРМ-d) 1,33 (с, 9H), 4,44 (дд, J=6,0, 3,2 Гц, 2H), 4,59 (т, J=4,9 Гц, 2H), 7,10-7,12 (м, 1H), 7,25-7,26 (м, 1H), 7,39 (дд, J=8,6, 1,6 Гц, 2H), 7,52-7,54 (м, 1H), 7,58 (дд, J=8,6, 1,6 Гц, 2H), 8,09-8,11 (м, 1H), 8,26-8,28 (м, 1H), 9,17 (т, J=1,9 Гц, 1H), 9,40 (с, 1H) |
| [Таблица 19] |
 |
прим. |
Химические соединения |
ЯМР |
| 141 |
1-141 |
 |
(400 МГц, ХЛОРОФОРМ-d) 1,32 (с, 9H), 3,54 (с, 2H), 4,02 (т, J=4,4 Гц, 2H), 4,49 (т, J=4,4 Гц, 2H), 6,92 (т, J=8,1 Гц, 1H), 7,00-7,03 (м, 2H), 7,22-7,26 (м, 1H), 7,37 (т, J=4,4 Гц, 2H), 7,59 (д, J=8,3 Гц, 2H), 7,80 (дд, J=7,9, 1,4 Гц, 1H), 7,91 (д, J=2,8 Гц, 1H), 9,59 (с, 1H) |
| 142 |
1-142 |
 |
(400 МГц, ДМСО-d6) 1,28 (с, 9H), 2,05 (с, 3H), 3,98 (т, J=4,2 Гц, 2H), 4,33 (т, J=4,2 Гц, 2H), 6,91 (т, J=7,9 Гц, 1H), 7,19 (дд, J=13,0, 8,3 Гц, 2H), 7,33 (дд, J=12,3, 6,7 Гц, 2H), 7,40 (д, J=8,3 Гц, 1H), 7,64 (д, J=8,3 Гц, 2H), 7,92 (т, J=5,8 Гц, 1H), 8,49 (с, 1H), 10,05 (с, 2H) |
| 143 |
1-143 |
 |
(400 МГц, ДМСО-d6) 3,29 (с, 3H), 4,06 (т, J=4,4 Гц, 2H), 4,34 (т, J=4,6 Гц, 2H), 4,36 (с, 2H), 6,95 (т, J=7,9 Гц, 1H), 7,22 (д, J=8,3 Гц, 2H), 7,52 (дд, J=8,1, 1,6 Гц, 1H), 7,65 (дд, J=8,6, 2,6 Гц, 1H), 7,71 (д, J=8,8 Гц, 2H), 7,95 (д, J=8,8 Гц, 2H), 8,26 (д, J=1,9 Гц, 1H), 10,50 (с, 1H) |
| 144 |
1-144 |
 |
(300 МГц, ДМСО-d6) : 1,34 (т, J=7,0 Гц, 3H), 3,91 (т, J=4,4 Гц, 2H), 4,08 (кв, J=7,1 Гц, 2H), 4,33 (т, J=4,2 Гц, 2H), 6,88 (т, J=7,9 Гц, 1H), 7,12-7,17 (м, 2H), 7,28-7,41 (м, 4H), 7,85 (д, J=9,2 Гц, 2H), 8,06 (д, J=3,3 Гц, 1H), 10,31 (с, 1H) |
| 145 |
1-145 |
 |
(400 МГц, ДМСО-d6) 3,71 (т, J=4,4 Гц, 2H), 3,90 (с, 3H), 4,44 (т, J=4,4 Гц, 2H), 6,36 (дд, J=7,9, 1,4 Гц, 1H), 6,78 (т, J=7,9 Гц, 1H), 6,99 (дд, J=7,9, 1,4 Гц, 1H), 7,71 (д, J=8,3 Гц, 2H), 7,77 (д, J=2,8 Гц, 1H), 7,97 (д, J=8,3 Гц, 2H), 8,22 (д, J=2,8 Гц, 1H), 10,50 (с, 1H) |
| 146 |
1-146 |
 |
(400 МГц, ДМСО-d6) 3,86 (т, J=4,4 Гц, 2H), 4,33 (т, J=4,4 Гц, 2H), 6,86 (т, J=7,9 Гц, 1H), 7,07-7,10 (м, 2H), 7,18-7,23 (м, 2H), 7,70 (д, J=8,3 Гц, 2H), 7,94-7,95 (м, 3H), 9,72 (ушир.с, 1H), 10,48 (с, 1H) |
| 147 |
1-147 |
 |
(400 МГц, ДМСО-d6) 3,81 (с, 3H), 3,92 (т, J=4,4 Гц, 2H), 4,34 (т, J=4,4 Гц, 2H), 6,89 (т, J=7,9 Гц, 1H), 7,12 (дд, J=7,9, 1,6 Гц, 1H), 7,20 (д, J=9,3 Гц, 1H), 7,31 (дд, J=7,9, 1,6 Гц, 1H), 7,41 (дд, J=9,3, 3,2 Гц, 1H), 7,71 (д, J=8,8 Гц, 2H), 7,96 (д, J=8,8 Гц, 2H), 8,08 (д, J=3,2 Гц, 1H), 10,50 (с, 1H) |
| 148 |
1-148 |
 |
(300 МГц, ДМСО-d6)1,28 (с, 9H), 4,08 (т, J=4,4 Гц, 2H), 4,34 (т, J=4,4 Гц, 2H), 6,97 (т, J=7,9 Гц, 1H), 7,02 (дд, J=5,3, 1,7 Гц, 1H), 7,20 (д, J=1,5 Гц, 1H), 7,28 (дд, J=7,7, 1,5 Гц, 1H), 7,35 (д, J=8,8 Гц, 2H), 7,56 (дд, J=8,4, 1,5 Гц, 1H), 7,64 (д, J=8,8 Гц, 2H), 8,27 (д, J=5,1 Гц, 1H), 10,04 (с, 1H) |
| [Таблица 20] |
 |
прим. |
Химические соединения |
ЯМР |
| 149 |
1-149 |
 |
(300 МГц, ДМСО-d6) 3,99 (т, J=4,4 Гц, 2H), 4,35 (т, J=4,2 Гц, 2H), 6,94 (т, J=7,7 Гц, 1H), 7,19-7,28 (м, 2H), 7,22 (с, 2H), 7,45 (д, J=4,0 Гц, 1H), 7,65 (дд, J=8,6, 3,1 Гц, 1H), 7,71 (д, J=8,8 Гц, 2H), 7,96 (д, J=8,8 Гц, 2H), 8,31 (д, J=2,9 Гц, 1H), 10,49 (с, 1H) |
| 150 |
1-150 |
 |
(300 МГц, ДМСО-d6) 3,83 (т, J=4,2 Гц, 2H), 4,43 (т, J=4,4 Гц, 2H), 6,74-6,77 (м, 1H), 6,85 (т, J=7,9 Гц, 1H), 7,09 (дд, J=7,3, 1,5 Гц, 1H), 7,71 (д, J=8,8 Гц, 2H), 7,96 (д, J=8,4 Гц, 2H), 8,00-8,07 (м, 1H), 8,35 (д, J=2,2 Гц, 1H), 10,51 (с, 1H) |
| 151 |
1-151 |
 |
(300 МГц, ХЛОРОФОРМ-d) 1,32 (с, 9H), 3,82 (с, 3H), 3,93 (т, J=4,4 Гц, 2H), 4,58 (т, J=4,4 Гц, 2H), 6,68 (дд, J=8,1, 1,5 Гц, 1H), 6,85 (т, J=7,9 Гц, 1H), 7,10 (дд, J=8,1, 4,8 Гц, 1H), 7,24 (дд, J=8,1, 1,1 Гц, 1H), 7,37 (д, J=8,8 Гц, 2H), 7,60 (д, J=8,4 Гц, 2H), 7,75 (дд, J=7,9, 1,7 Гц, 1H), 8,03 (дд, J=4,6, 1,3 Гц, 1H), 9,63 (с, 1H) |
| 152 |
1-152 |
 |
(300 МГц, ДМСО-d6) : 0,86 (с, 9H), 0,96-1,00 (м, 1H), 1,27-1,39 (м, 2H), 1,64 (д, J=13,2 Гц, 2H), 2,22 (с, 3H), 2,58 (д, J=10,6 Гц, 2H), 3,07 (д, J=10,3 Гц, 2H), 3,96 (т, J=4,2 Гц, 2H), 4,27 (т, J=4,4 Гц, 2H), 6,84 (т, J=7,7 Гц, 1H), 7,05-7,10 (м, 2H), 7,34 (дд, J=8,1, 1,5 Гц, 1H), 7,50 (дд, J=8,6, 2,0 Гц, 1H), 8,13 (д, J=2,2 Гц, 1H), 8,88 (с, 1H) |
| 153 |
1-153 |
 |
(400 МГц, ДМСО-d6) 3,72 (кв, J=5,1 Гц, 2H), 3,92 (т, J=4,2 Гц, 2H), 4,04 (т, J=5,1 Гц, 2H), 4,34 (т, J=4,2 Гц, 2H), 4,89 (т, J=5,1 Гц, 1H), 6,89 (т, J=7,9 Гц, 1H), 7,12-7,13 (м, 1H), 7,19 (д, J=8,8 Гц, 1H), 7,31-7,32 (м, 1H), 7,42 (дд, J=8,8, 3,2 Гц, 1H), 7,71 (д, J=8,3 Гц, 2H), 7,96 (д, J=8,3 Гц, 2H), 8,08 (д, J=2,8 Гц, 1H), 10,49 (с, 1H) |
| 154 |
1-154 |
 |
(300 МГц, ДМСО-d6) 2,77 (т, J=6,4 Гц, 2H), 3,67 (кв, J=5,9 Гц, 2H), 3,77 (т, J=4,4 Гц, 2H), 4,43 (т, J=4,2 Гц, 2H), 4,72 (т, J=5,1 Гц, 1H), 6,47 (дд, J=8,1, 1,8 Гц, 1H), 6,80 (т, J=7,9 Гц, 1H), 7,04 (дд, J=7,7, 1,5 Гц, 1H), 7,69-7,72 (м, 3H), 7,96 (дд, J=9,9, 5,1 Гц, 3H), 8,30 (д, J=1,8 Гц, 1H), 10,50 (с, 1H) |
| 155 |
1-155 |
 |
(400 МГц, ДМСО-d6) : 1,20 (с, 6H), 2,31(с, 3H), 3,65 (с, 2H), 4,04 (т, J=4,4 Гц, 2H), 4,37 (т, J=4,4 Гц, 2H), 6,72 (м, 3H), 7,28 (м, 2H), 7,30 (дд, J=8,1, 1,8 Гц, 1H), 7,63 (дд, J=9,0, 2,4 Гц, 1H), 7,72 (дд, J=9, 2,4 Гц, 2H), 8,18 (д, J=2,6 Гц, 1H), 10,00 (с, 1H) |
| 156 |
1-156 |
 |
(400 МГц, ДМСО-d6) : 1,50-1,51 (м, 2H), 1,60-1,66 (м, 4H), 2,21 (с, 3H), 2,89-2,90 (м, 4H), 3,97 (т, J=4,4 Гц, 2H), 4,30 (т, J=4,4 Гц, 2H), 6,89 (т, J=7,9 Гц, 1H), 6,99 (т, J=9,5 Гц, 1H), 7,12-7,14 (м, 2H), 7,38 (ддд, J=13,6, 8,2, 1,7 Гц, 2H), 7,51 (дд, J=8,8, 2,3 Гц, 1H), 7,63 (дд, J=14,8, 2,3 Гц, 1H), 8,13-8,14 (м, 1H), 10,11 (с, 1H) |
| [Таблица 21] |
 |
прим. |
Химические соединения |
ЯМР |
| 157 |
1-157 |
 |
(400 МГц, ДМСО-d6) : 2,21 (с, 3H), 2,90-2,96 (м, 4H), 3,71-3,72 (м, 4H), 3,96 (т, J=20,4 Гц, 2H), 4,30 (т, J=4,2 Гц, 2H), 6,89 (дд, J=5,3, 2,6 Гц, 1H), 7,00 (т, J=9,5 Гц, 1H), 7,11-7,14 (м, 2H), 7,39-7,41 (м, 2H), 7,51 (тд, J=4,2, 2,0 Гц, 1H), 7,66 (дд, J=15,1, 2,1 Гц, 1H), 8,13-8,14 (м, 1H), 10,15 (с, 1H) |
| 158 |
1-158 |
 |
(400 МГц, ДМСО-d6) : 2,21 (с, 3H), 3,97 (т, J=4,4 Гц, 2H), 4,30 (т, J=4,4 Гц, 2H), 6,90 (дд, J=11,1, 4,6 Гц, 1H), 7,13 (тд, J=6,0, 4,3 Гц, 2H), 7,36-7,53 (м, 4H), 7,89-7,92 (м, 1H), 8,13-8,14 (м, 1H), 10,35 (с, 1H) |
| 159 |
1-159 |
 |
(400 МГц, ДМСО-d6) : 2,21 (с, 3H), 3,80 (с, 3H), 3,97 (т, J=4,4 Гц, 2H), 4,30 (т, J=4,4 Гц, 2H), 6,89 (т, J=7,9 Гц, 1H), 7,11-7,16 (м, 3H), 7,41 (кв, J=4,6 Гц, 2H), 7,51 (дд, J=8,3, 2,3 Гц, 1H), 7,70 (дд, J=13,7, 2,6 Гц, 1H), 8,13 (с, 1H), 10,14 (с, 1H) |
| 160 |
1-160 |
 |
(400 МГц, ДМСО-d6) : 1,32 (т, J=7,0 Гц, 3H), 2,25 (д, J=10,6 Гц, 3H), 3,96-4,03 (м, 4H), 4,32 (т, J=4,4 Гц, 2H), 6,88-6,93 (м, 3H), 7,16 (тд, J=9,4, 3,8 Гц, 2H), 7,41 (дд, J=8,1, 1,8 Гц, 1H), 7,52 (дд, J=9,0, 2,4 Гц, 1H), 7,63 (дт, J=9,9, 2,8 Гц, 2H), 8,15 (д, J=2,6 Гц, 1H), 9,98 (с, 1H) |
| 161 |
1-161 |
 |
(300 МГц, ДМСО-d6) : 1,83-1,86 (м, 4H), 2,23 (с, 3H), 2,36-2,39 (м, 1H), 3,56-3,60 (м, 2H), 3,98-4,01 (м, 2H), 4,31-4,34 (м, 2H), 6,91-6,94 (м, 1H), 7,12-7,23 (м, 4H), 7,47 (дд, J=31,2, 7,7 Гц, 2H), 7,72 (д, J=8,1 Гц, 2H), 8,15 (с, 1H), 10,16 (с, 1H) |
| 162 |
1-162 |
 |
(300 МГц, ДМСО-d6) : 1,83-1,91 (м, 2H), 2,23 (с, 3H), 2,63-2,65 (м, 2H), 2,80 (с, 3H), 3,16-3,18 (м, 2H), 3,99 (т, J=4,4 Гц, 2H), 4,32 (т, J=4,2 Гц, 2H), 6,81 (д, J=8,1 Гц, 1H), 6,90 (дд, J=9,2, 6,6 Гц, 2H), 7,02-7,06 (м, 1H), 7,14-7,17 (м, 2H), 7,40 (д, J=8,4 Гц, 1H), 7,52 (д, J=8,4 Гц, 1H), 8,14-8,15 (м, 1H), 9,83 (с, 1H) |
| 163 |
1-163 |
 |
(300 МГц, ДМСО-d6) : 2,23 (с, 3H), 2,73 (с, 6H), 3,99 (т, J=4,2 Гц, 2H), 4,32 (т, J=4,4 Гц, 2H), 6,90-6,95 (м, 2H), 7,13-7,17 (м, 2H), 7,36-7,43 (м, 2H), 7,52 (дд, J=8,4, 2,2 Гц, 1H), 7,63 (дд, J=15,4, 2,2 Гц, 1H), 8,15 (д, J=1,8 Гц, 1H), 10,08 (с, 1H) |
| 164 |
1-164 |
 |
(300 МГц, ДМСО-d6) : 1,09-1,18 (м, 7H), 2,28 (с, 3H), 3,11 (с, 3H), 3,38-3,41 (м, 2H), 3,56-3,59 (м, 1H), 4,01-4,05 (м, 2H), 4,37-4,38 (м, 2H), 6,96 (т, J=7,9 Гц, 1H), 7,27 (дд, J=18,5, 7,9 Гц, 2H), 7,46 (д, J=8,1 Гц, 1H), 7,54-7,58 (м, 1H), 7,75 (д, J=8,8 Гц, 1H), 7,88 (д, J=13,2 Гц, 1H), 8,17-8,21 (м, 1H), 10,52 (с, 1H) |
| 165 |
1-165 |
 |
(300 МГц, ДМСО-d6) : 1,05-1,07 (м, 6H), 2,26 (с, 3H), 2,26 (с, 3H), 3,31 (с, 1H), 3,95-4,00 (м, 3H), 4,27-4,42 (м, 2H), 6,93 (т, J=7,9 Гц, 1H), 7,19-7,23 (м, 2H), 7,39-7,44 (м, 2H), 7,63-7,69 (м, 2H), 8,17-8,19 (м, 1H), 10,21 (с, 1H) |
| [Таблица 22] |
 |
прим. |
Химические соединения |
ЯМР |
| 166 |
1-166 |
 |
(300 МГц, ДМСО-d6) : 1,17-1,20 (м, 6H), 2,26 (с, 3H), 3,45-3,50 (м, 4H), 3,77-3,80 (м, 1H), 3,99-4,04 (м, 2H), 4,35 (т, J=4,4 Гц, 2H), 6,95 (т, J=7,9 Гц, 1H), 7,22 (дт, J=10,5, 4,7 Гц, 2H), 7,46 (дд, J=8,1, 1,5 Гц, 1H), 7,57-7,66 (м, 3H), 7,89 (д, J=13,9 Гц, 1H), 8,18 (д, J=1,1 Гц, 1H), 10,52 (с, 1H) |
| 167 |
1-167 |
 |
(400 МГц, ДМСО-d6) : 1,20 (т, J=5,1 Гц, 3H), 1,66-1,79 (м, 2H), 1,91-1,99 (м, 2H), 2,25 (с, 3H), 2,69-2,72 (м, 2H), 3,24-3,33 (м, 1H), 3,99 (т, J=4,8 Гц, 2H), 4,09 (кв, J=26,4 Гц, 2H), 4,32 (т, J=4,4 Гц, 2H), 6,90 (т, J=7,9 Гц, 1H), 7,01 (т, J=9,4 Гц, 1H), 7,13-7,16 (м, 2H), 7,40 (тд, J=8,1, 4,0 Гц, 2H), 7,52 (дт, J=8,4, 1,3 Гц, 1H), 7,65 (дд, J=14,9, 2,4 Гц, 1H), 8,15 (т, J=1,3 Гц, 1H), 10,12 (с, 1H) |
| 168 |
1-168 |
 |
(300 МГц, ДМСО-d6) : 1,67-1,75 (м, 2H), 1,91-1,94 (м, 2H), 2,23 (с, 3H), 2,33-2,38 (м, 1H), 2,67-2,71 (м, 2H), 3,19-3,25 (м, 2H), 3,99 (т, J=4,2 Гц, 2H), 4,32 (т, J=4,4 Гц, 2H), 6,90 (т, J=7,9 Гц, 1H), 7,01 (т, J=9,5 Гц, 1H), 7,13-7,17 (м, 2H), 7,40 (тд, J=8,4, 1,7 Гц, 2H), 7,52 (дт, J=9,5, 1,3 Гц, 1H), 7,65 (дд, J=14,9, 2,4 Гц, 1H), 8,15 (т, J=1,3 Гц, 1H), 10,12 (с, 1H) |
| 169 |
1-169 |
 |
(400 МГц, ДМСО-d6) : 1,55-1,58 (м, 2H), 1,93-1,95 (м, 1H), 2,20 (с, 3H), 2,74 (дт, J=15,0, 5,4 Гц, 2H), 3,13-3,18 (м, 2H), 3,31 (с, 3H), 3,97 (т, J=4,4 Гц, 2H), 4,30 (т, J=4,4 Гц, 2H), 6,89 (т, J=7,9 Гц, 1H), 7,00 (т, J=9,5 Гц, 1H), 7,13 (дт, J=11,3, 5,0 Гц, 2H), 7,38 (ддд, J=13,9, 8,3, 1,9 Гц, 2H), 7,51 (дд, J=8,3, 2,3 Гц, 1H), 7,63 (дд, J=14,8, 2,3 Гц, 1H), 8,14 (д, J=2,3 Гц, 1H), 10,12 (с, 1H) |
| 170 |
1-170 |
 |
(400 МГц, ДМСО-d6) : 1,69-1,73 (м, 2H), 1,93-1,98 (м, 2H), 2,02 (с, 3H), 2,22 (с, 3H), 2,82-2,88 (м, 2H), 3,13-3,19 (м, 2H), 3,97 (т, J=4,4 Гц, 2H), 4,30 (т, J=4,4 Гц, 2H), 4,77-4,81 (м, 1H), 6,89 (т, J=7,9 Гц, 1H), 7,03 (т, J=9,3 Гц, 1H), 7,13 (дт, J=11,1, 4,9 Гц, 2H), 7,39 (дт, J=13,0, 4,9 Гц, 2H), 7,51 (дд, J=8,3, 2,3 Гц, 1H), 7,65 (дд, J=14,8, 2,3 Гц, 1H), 8,14 (д, J=1,2 Гц, 1H), 10,13 (с, 1H) |
| 171 |
1-171 |
 |
(300 МГц, ДМСО-d6) : 1,50-1,57 (м, 2H), 1,84-1,85 (м, 2H), 2,25 (с, 3H), 2,70-2,74 (м, 2H), 3,18-3,20 (м, 2H), 3,59-3,62 (м, 1H), 3,99 (т, J=4,2 Гц, 2H), 4,32 (т, J=4,4 Гц, 2H), 4,66 (д, J=4,4 Гц, 1H), 6,90 (т, J=7,9 Гц, 1H), 7,01 (т, J=9,4 Гц, 1H), 7,13-7,16 (м, 2H), 7,36-7,43 (м, 2H), 7,52 (дд, J=8,4, 2,6 Гц, 1H), 7,64 (дд, J=15,0, 2,2 Гц, 1H), 8,15 (д, J=2,6 Гц, 1H), 10,11 (с, 1H) |
| 172 |
1-172 |
 |
(400 МГц, ДМСО-d6) 2,11 (с, 3H), 2,23 (с, 3H), 3,99 (т, J=4,2 Гц, 2H), 4,32 (т, J=4,2 Гц, 2H), 6,91 (т, J=7,9 Гц, 1H), 7,06 (д, J=7,9 Гц, 1H), 7,14 (д, J=8,3 Гц, 1H), 7,17-7,20 (м, 3H), 7,41 (д, J=7,9 Гц, 1H), 7,48 (с, 1H), 7,53 (дд, J=8,3, 2,3 Гц, 1H), 8,15 (с, 1H), 10,06 (с, 1H) |
| 173 |
1-173 |
 |
(400 МГц, ДМСО-d6) 2,13 (с, 3H), 2,23 (с, 3H), 3,75 (кв, J=5,3 Гц, 2H), 3,97 (дт, J=15,3, 4,6 Гц, 4H), 4,33 (т, J=4,4 Гц, 2H), 4,83 (т, J=5,6 Гц, 1H), 6,91 (т, J=7,9 Гц, 1H), 7,06 (д, J=8,3 Гц, 1H), 7,16 (дд, J=18,6, 7,9 Гц, 3H), 7,43 (т, J=9,0 Гц, 2H), 7,53 (дд, J=8,8, 1,9 Гц, 1H), 8,15 (с, 1H), 10,03 (с, 1H) |
| [Таблица 23] |
 |
прим. |
Химические соединения |
ЯМР |
| 174 |
1-174 |
 |
(400 МГц, ДМСО-d6) 1,55 (ушир. с, 2H), 1,87-1,90 (м, 2H), 2,23 (с, 3H), 2,54 (с, 6H), 3,17-3,19 (м, 2H), 3,63 (ушир. с, 2H), 3,99 (т, J=4,4 Гц, 2H), 4,31 (т, J=4,4 Гц, 2H), 4,47 (с, 1H), 6,91 (т, J=7,9 Гц, 1H), 7,15-7,21 (м, 3H), 7,40-7,43 (м, 2H), 7,51-7,54 (м, 1H), 7,73 (дд, J=13,2, 2,1 Гц, 1H), 8,15 (д, J=1,9 Гц, 1H), 10,18 (с, 1H) |
| 175 |
1-175 |
 |
(400 МГц, ДМСО-d6) 1,86-1,91 (м, 3H), 2,08-2,13 (м, 2H), 2,29 (с, 3H), 3,06 (ушир. с, 2H), 3,20 (ушир. с, 2H), 4,06 (т, J=4,2 Гц, 2H), 4,38 (т, J=4,2 Гц, 2H), 4,55-4,59 (м, 1H), 6,96 (т, J=7,9 Гц, 1H), 7,25 (дд, J=12,3, 5,8 Гц, 2H), 7,33 (д, J=8,8 Гц, 1H), 7,45 (дд, J=10,7, 3,7 Гц, 2H), 7,75-7,80 (м, 2H), 8,20 (с, 1H), 9,12 (д, J=32,5 Гц, 2H), 10,25 (с, 1H) |
| 176 |
1-176 |
 |
(400 МГц, ДМСО-d6) 1,19 (т, J=7,2 Гц, 3H), 1,25-1,31 (м, 4H), 1,85-1,99 (м, 4H), 2,20 (с, 3H), 3,28-3,34 (м, 1H), 3,70-3,73 (м, 1H), 3,95 (т, J=4,4 Гц, 2H), 4,07-4,13 (м, 4H), 4,27 (т, J=4,4 Гц, 2H), 6,84 (т, J=7,9 Гц, 1H), 7,07 (д, J=8,3 Гц, 1H), 7,17 (дд, J=7,9, 1,4 Гц, 1H), 7,33 (дд, J=8,1, 1,6 Гц, 1H), 7,48 (дд, J=8,3, 1,9 Гц, 1H), 7,90 (д, J=7,9 Гц, 1H), 8,12 (д, J=2,3 Гц, 1H) |
| 177 |
1-177 |
 |
(400 МГц, ДМСО-d6) 1,21-1,35 (м, 4H), 1,85-1,99 (м, 4H), 2,20 (с, 3H), 3,22-3,38 (м, 1H), 3,69-3,74 (м, 1H), 3,95 (т, J=4,2 Гц, 2H), 4,00 (с, 2H), 4,27 (т, J=4,2 Гц, 2H), 6,84 (т, J=7,9 Гц, 1H), 7,07 (д, J=8,3 Гц, 1H), 7,18 (д, J=7,4 Гц, 1H), 7,33 (дд, J=8,1, 1,6 Гц, 1H), 7,48 (д, J=8,8 Гц, 1H), 7,90 (д, J=7,4 Гц, 1H), 8,12 (с, 1H), 12,46 (ушир.с, 1H) |
| 178 |
1-178 |
 |
(400 МГц, ДМСО-d6) 1,26-1,36 (м, 4H), 1,88 (ушир.с, 2H), 1,99 (ушир.с, 2H), 2,20 (с, 3H), 3,26-3,30 (м, 1H), 3,70-3,74 (м, 1H), 3,79 (с, 2H), 3,95 (ушир.с, 2H), 4,27 (ушир.с, 2H), 6,84 (т, J=7,9 Гц, 1H), 7,04 (ушир.с, 1H), 7,07 (д, J=8,3 Гц, 1H), 7,17 (д, J=7,4 Гц, 1H), 7,22 (ушир.с, 1H), 7,33 (д, J=8,3 Гц, 1H), 7,48 (д, J=8,3 Гц, 1H), 7,91 (д, J=7,9 Гц, 1H), 8,12 (с, 1H) |
| 179 |
1-179 |
 |
(400 МГц, ДМСО-d6) 1,28-1,33 (м, 4H), 1,88 (ушир.с, 2H), 1,99 (ушир.с, 2H), 2,20 (с, 3H), 2,61 (д, J=4,6 Гц, 3H), 3,26-3,29 (м, 1H), 3,71-3,74 (м, 1H), 3,84 (с, 2H), 3,95 (т, J=4,4 Гц, 2H), 4,27 (т, J=4,4 Гц, 2H), 6,84 (т, J=7,9 Гц, 1H), 7,07 (д, J=8,8 Гц, 1H), 7,17 (дд, J=7,7, 1,6 Гц, 1H), 7,33 (дд, J=8,1, 1,6 Гц, 1H), 7,48 (дд, J=8,3, 2,3 Гц, 1H), 7,53 (ушир.с, 1H), 7,92 (д, J=7,9 Гц, 1H), 8,12 (д, J=2,3 Гц, 1H) |
| 180 |
1-180 |
 |
(400 МГц, ДМСО-d6) 1,25-1,31 (м, 4H), 1,86-2,00 (м, 4H), 2,20 (с, 3H), 2,79 (с, 3H), 2,92 (с, 3H), 3,26-3,29 (м, 1H), 3,70-3,74 (м, 1H), 3,95 (т, J=4,4 Гц, 2H), 4,10 (с, 2H), 4,27 (т, J=4,4 Гц, 2H), 6,84 (т, J=7,9 Гц, 1H), 7,07 (д, J=8,3 Гц, 1H), 7,17 (дд, J=7,4, 1,4 Гц, 1H), 7,33 (дд, J=8,3, 1,4 Гц, 1H), 7,48 (дд, J=8,8, 2,3 Гц, 1H), 7,91 (д, J=7,4 Гц, 1H), 8,11 (с, 1H) |
| 181 |
1-181 |
 |
(400 МГц, ДМСО-d6) 1,14-1,31 (м, 4H), 1,81-1,93 (м, 4H), 2,16 (с, 3H), 3,16-3,21 (м, 1H), 3,35-3,42 (м, 4H), 3,65-3,68 (м, 1H), 3,91 (т, J=4,0 Гц, 2H), 4,23 (т, J=4,0 Гц, 2H), 4,47 (т, J=5,3 Гц, 1H), 6,79 (т, J=7,9 Гц, 1H), 7,03 (д, J=8,8 Гц, 1H), 7,13 (д, J=7,9 Гц, 1H), 7,29 (д, J=7,9 Гц, 1H), 7,44 (д, J=8,3 Гц, 1H), 7,86 (д, J=7,9 Гц, 1H), 8,07 (с, 1H) |
| [Таблица 24] |
 |
прим. |
Химические соединения |
ЯМР |
| 182 |
1-182 |
 |
(400 МГц, ДМСО-d6) 0,96-1,06 (м, 2H), 1,20-1,30 (м, 2H), 1,45-1,52 (м, 1H), 1,72-1,75 (м, 2H), 1,86-1,91 (м, 2H), 2,21 (с, 3H), 3,14 (д, J=6,5 Гц, 2H), 3,21 (с, 3H), 3,63-3,71 (м, 1H), 3,96 (т, J=4,4 Гц, 2H), 4,28 (т, J=4,4 Гц, 2H), 6,84 (т, J=7,9 Гц, 1H), 7,08 (д, J=8,8 Гц, 1H), 7,19 (дд, J=7,7, 1,6 Гц, 1H), 7,34 (дд, J=7,9, 1,4 Гц, 1H), 7,49 (дд, J=8,8, 2,3 Гц, 1H), 7,90 (д, J=7,9 Гц, 1H), 8,12 (д, J=1,9 Гц, 1H) |
| 183 |
1-183 |
 |
(400 МГц, ДМСО-d6) 0,94-1,03 (м, 2H), 1,06 (д, J=6,5 Гц, 6H), 1,19-1,30 (м, 2H), 1,38-1,43 (м, 1H), 1,75-1,78 (м, 2H), 1,86-1,91 (м, 2H), 2,21 (с, 3H), 3,16 (д, J=6,5 Гц, 2H), 3,44-3,50 (м, 1H), 3,63-3,72 (м, 1H), 3,96 (т, J=4,4 Гц, 2H), 4,28 (т, J=4,4 Гц, 2H), 6,84 (т, J=7,9 Гц, 1H), 7,08 (д, J=8,3 Гц, 1H), 7,20 (дд, J=7,7, 1,6 Гц, 1H), 7,34 (дд, J=8,1, 1,6 Гц, 1H), 7,49 (дд, J=8,3, 2,3 Гц, 1H), 7,88 (д, J=7,9 Гц, 1H), 8,12 (д, J=2,3 Гц, 1H) |
| 184 |
1-184 |
 |
(400 МГц, ДМСО-d6) 1,27-1,36 (м, 2H), 1,50-1,70 (м, 7H), 2,23 (с, 3H), 3,20 (д, J=6,5 Гц, 2H), 3,22 (с, 3H), 3,99-4,04 (м, 3H), 4,35 (т, J=4,4 Гц, 2H), 6,88 (т, J=7,9 Гц, 1H), 7,16 (д, J=8,8 Гц, 1H), 7,32 (дд, J=7,7, 1,6 Гц, 1H), 7,37 (дд, J=8,1, 1,6 Гц, 1H), 7,59 (д, J=7,4 Гц, 1H), 8,01 (д, J=7,9 Гц, 1H), 8,14 (с, 1H) |
| 185 |
1-185 |
 |
(400 МГц, ДМСО-d6) 1,06 (д, J=6,0 Гц, 6H), 1,29-1,35 (м, 2H), 1,50-1,70 (м, 7H), 2,24 (с, 3H), 3,23 (д, J=6,5 Гц, 2H), 3,45-3,51 (м, 1H), 4,01 (т, J=4,2 Гц, 3H), 4,36 (т, J=4,4 Гц, 2H), 6,89 (т, J=7,9 Гц, 1H), 7,21 (д, J=8,3 Гц, 1H), 7,34 (д, J=7,4 Гц, 1H), 7,38 (д, J=8,3 Гц, 1H), 7,65 (д, J=8,3 Гц, 1H), 8,01 (д, J=7,4 Гц, 1H), 8,14 (с, 1H) |
| 186 |
1-186 |
 |
(400 МГц, ДМСО-d6) 0,94-1,37 (м, 14H), 1,75-1,91 (м, 4H), 2,21 (с, 3H), 3,11 (д, J=6,5 Гц, 2H), 3,63-3,72 (м, 1H), 3,96 (т, J=4,4 Гц, 2H), 4,28 (т, J=4,4 Гц, 2H), 6,84 (т, J=7,9 Гц, 1H), 7,08 (д, J=8,3 Гц, 1H), 7,20 (дд, J=7,7, 1,6 Гц, 1H), 7,34 (дд, J=8,1, 1,6 Гц, 1H), 7,49 (дд, J=8,3, 2,3 Гц, 1H), 7,88 (д, J=7,9 Гц, 1H), 8,12 (д, J=2,3 Гц, 1H) |
| 187 |
1-187 |
 |
(400 МГц, ДМСО-d6) 0,86 (д, J=8,4 Гц, 6H), 1,23-1,34 (м, 4H), 1,86-1,97 (м, 4H), 2,22 (с, 3H), 3,16 (м, 3H), 3,96 (т, J=4,4 Гц, 2H), 4,29 (т, J=4,4 Гц, 2H), 6,85 (т, J=8 Гц, 1H), 7,09 (д, J=8,4 Гц, 1H), 7,19 (д, J=8 Гц, 1H), 7,49 (д, J=8,4 Гц, 1H), 7,91 (д, J=8 Гц, 1H), 8,12 (с, 1H) |
| 188 |
1-188 |
 |
(400 МГц, ДМСО-d6) 0,92 (с, 6H), 1,17-1,47 (м, 6H), 1,62-1,72 (м, 2H), 2,27 (с, 3H), 3,73 (м, 3H), 4,02 (т, J=4,4 Гц, 2H), 4,37 (т, J=4,4 Гц, 2H), 6,91 (т, J=8 Гц, 1H), 7,28 (м, 2H), 7,38 (д, J=8 Гц, 1H), 7,76 (д, J=8 Гц, 1H), 7,94 (д, J=8 Гц, 1H), 8,17 (с, 1H) |
| 189 |
1-189 |
 |
(400 МГц, ДМСО-d6) 0,83 (д, J=8,4 Гц, 6H), 1,2-1,4 (м, 6H), 1,8-2,0 (м, 4H), 2,20 (с, 3H), 3,20 (м, 1H), 3,41 (д, J=8 Гц, 2H), 3,72 (м, 1H), 3,97 (т, J=4,4 Гц, 2H), 4,29 (т, J=4,4 Гц, 2H), 6,85 (т, J=8 Гц, 1H), 7,09 (д, J=8 Гц, 1H), 7,19 (д, J=8 Гц, 1H), 7,34 (д, J=8 Гц, 1H), 7,49 (д, J=8 Гц, 1H), 7,91 (д, J=8 Гц, 1H), 8,12 (с, 1H) |
| [Таблица 25] |
 |
прим. |
Химические соединения |
ЯМР |
| 190 |
1-190 |
 |
(400 МГц, ДМСО-d6) 1,3-1,4 (м, 4H), 1,85-1,95 (м, 2H), 2,0-2,1 (м, 2H), 2,22 (с, 3H), 3,34 (м, 1H), 3,76 (м, 1H), 3,96 (т, J=4,6 Гц, 2H), 4,29 (т, J=4,6 Гц, 2H), 4,55 (с, 2H), 6,85 (т, J=8 Гц, 1H), 7,10 (д, J=8 Гц, 1H), 7,19 (д, J=8 Гц, 1H), 7,22-7,4 (м, 6H), 7,50 (д, J=8 Гц, 1H), 7,94 (д, J=8 Гц, 1H), 8,13 (с, 1H) |
| 191 |
1-191 |
 |
(400 МГц, ДМСО-d6) 0,85 (д, J=6,4 Гц, 6H), 1,0-1,15 (м, 3H), 1,2-1,35 (м, 2H), 1,35-1,5 (м, 1H), 1,6-1,75 (м, 2H), 1,85-1,95 (м, 2H), 2,22 (с, 3H), 3,66 (м, 1H), 3,97 (т, J=4 Гц, 2H), 4,29 (т, J=4 Гц, 2H), 6,85 (т, J=8 Гц, 1H), 7,09 (д, J=8 Гц, 1H), 7,20 (д, J=8 Гц, 1H), 7,34 (д, J=8 Гц, 1H), 7,49 (д, J=8 Гц, 1H), 7,88 (д, J=8 Гц, 1H), 8,13 (с, 1H) |
| 192 |
1-192 |
 |
(400 МГц, ДМСО-d6) 0,86 (т, J=7,2 Гц, 3H), 0,8-1,0 (м, 2H), 1,1-1,35 (м, 6H), 1,7-1,8 (м, 2H), 1,8-1,9 (м, 2H), 2,22 (с, 3H), 3,7 (м, 1H), 3,96 (т, J=4,4 Гц, 2H), 4,29 (т, J=4,4 Гц, 2H), 6,85 (т, J=8 Гц, 1H), 7,08 (д, J=8 Гц, 1H), 7,33 (д, J=8 Гц, 1H), 7,48 (д, J=8 Гц, 1H), 7,88 (д, J=8 Гц, 1H), 8,13 (с, 1H) |
| 193 |
1-193 |
 |
(400 МГц, ДМСО-d6) 0,86 (с, 9H), 1,2-1,4 (м, 4H), 1,8-2,0 (м, 4H), 2,22 (с, 3H), 3,07 (с, 2H), 3,17 (м, 1H), 3,73 (м, 1H), 3,96 (т, J=4 Гц, 2H), 4,29 (т, J=4 Гц, 2H), 6,85 (т, J=8 Гц, 1H), 7,09 (д, J=8 Гц, 1H), 7,18 (д, J=8 Гц, 1H), 7,36 (дд, J=8, 2,4 Гц, 1H), 7,50 (дд, J=8, 2,4 Гц), 7,92 (д, J=8 Гц, 1H), 8,13 (с, 1H) |
| 194 |
1-194 |
 |
(300 МГц, ДМСО-d6) 1,28 (с, 9H), 3,29 (с, 3H), 4,06 (т, J=4,4 Гц, 2H), 4,31-4,36 (м, 4H), 6,93 (т, J=7,9 Гц, 1H), 7,18-7,25 (м, 2H), 7,34 (д, J=8,8 Гц, 2H), 7,48 (дд, J=8,1, 1,5 Гц, 1H), 7,60-7,68 (м, 3H), 8,25 (д, J=2,2 Гц, 1H), 10,05 (с, 1H) |
| 195 |
1-195 |
 |
(400 МГц, ДМСО-d6) 3,92 (т, J=4,2 Гц, 2H), 4,43 (т, J=4,4 Гц, 2H), 6,76 (дд, J=8,3, 1,4 Гц, 1H), 6,86 (т, J=7,9 Гц, 1H), 7,17 (дд, J=7,4, 1,4 Гц, 1H), 7,56 (д, J=7,9 Гц, 1H), 7,78 (дд, J=9,0, 2,6 Гц, 1H), 8,14 (д, J=2,8 Гц, 1H), 8,30 (д, J=1,9 Гц, 1H), 8,83 (д, J=1,9 Гц, 1H), 10,51 (с, 1H), 13,47 (ушир.с, 1H) |
| 196 |
1-196 |
 |
(300 МГц, ДМСО-d6) 3,92 (т, J=4,2 Гц, 2H), 4,43 (т, J=4,0 Гц, 2H), 6,74 (дд, J=8,1, 1,5 Гц, 1H), 6,85 (т, J=7,9 Гц, 1H), 7,17 (дд, J=7,7, 1,5 Гц, 1H), 7,35 (д, J=8,8 Гц, 2H), 7,86 (д, J=8,8 Гц, 2H), 8,30 (д, J=2,2 Гц, 1H), 8,83 (д, J=2,2 Гц, 1H), 10,35 (с, 1H), 13,46 (ушир.с, 1H) |
| 197 |
1-197 |
 |
(400 МГц, ДМСО-d6) 2,70 (д, J=5,1 Гц, 3H), 3,78 (т, J=4,2 Гц, 2H), 4,33 (т, J=4,4 Гц, 2H), 5,69 (кв, J=5,1 Гц, 1H), 6,80 (т, J=7,9 Гц, 1H), 6,97-7,06 (м, 4H), 7,34 (д, J=8,8 Гц, 2H), 7,75 (д, J=2,8 Гц, 1H), 7,84 (д, J=8,8 Гц, 2H), 10,30 (с, 1H) |
| [Таблица 26] |
 |
прим. |
Химические соединения |
ЯМР |
| 198 |
1-198 |
 |
(300 МГц, ДМСО-d6) : 1,34 (т, J=7,0 Гц, 3H), 3,91 (т, J=4,4 Гц, 2H), 4,08 (кв, J=7,1 Гц, 2H), 4,33 (т, J=4,2 Гц, 2H), 6,88 (т, J=7,9 Гц, 1H), 7,12-7,17 (м, 2H), 7,28-7,41 (м, 4H), 7,85 (д, J=9,2 Гц, 2H), 8,06 (д, J=3,3 Гц, 1H), 10,31 (с, 1H) |
| 199 |
1-199 |
 |
(400 МГц, ДМСО-d6) 3,71 (т, J=4,4 Гц, 2H), 3,89 (с, 3H), 4,43 (т, J=4,4 Гц, 2H), 6,35 (дд, J=7,9, 1,4 Гц, 1H), 6,77 (т, J=7,9 Гц, 1H), 6,98 (дд, J=7,7, 1,6 Гц, 1H), 7,35 (д, J=8,8 Гц, 2H), 7,77 (д, J=3,2 Гц, 1H), 7,86 (д, J=8,8 Гц, 2H), 8,22 (д, J=2,8 Гц, 1H), 10,33 (с, 1H) |
| 200 |
1-200 |
 |
(400 МГц, ДМСО-d6) 3,72 (кв, J=5,1 Гц, 2H), 3,91 (т, J=4,4 Гц, 2H), 4,04 (т, J=5,1 Гц, 2H), 4,33 (т, J=4,4 Гц, 2H), 4,89 (т, J=5,1 Гц, 1H), 6,88 (т, J=7,9 Гц, 1H), 7,11 (дд, J=7,9, 1,6 Гц, 1H), 7,18 (д, J=8,8 Гц, 1H), 7,31 (дд, J=7,9, 1,6 Гц, 1H), 7,35 (д, J=8,8 Гц, 2H), 7,41 (дд, J=8,8, 3,0 Гц, 1H), 7,85 (д, J=8,8 Гц, 2H), 8,08 (д, J=3,0 Гц, 1H), 10,32 (с, 1H) |
| 201 |
1-201 |
 |
(300 МГц, ДМСО-d6) 3,86 (т, J=4,2 Гц, 2H), 4,33 (т, J=4,2 Гц, 2H), 6,85 (т, J=7,9 Гц, 1H), 7,07-7,10 (м, 2H), 7,20-7,21 (м, 2H), 7,34 (д, J=8,8 Гц, 2H), 7,85 (д, J=9,2 Гц, 2H), 7,93 (д, J=2,9 Гц, 1H), 10,30 (с, 1H) |
| 202 |
1-202 |
 |
(300 МГц, ДМСО-d6) 3,81 (с, 3H), 3,91 (т, J=4,0 Гц, 2H), 4,33 (т, J=4,2 Гц, 2H), 6,88 (т, J=7,9 Гц, 1H), 7,12 (дд, J=7,7, 1,5 Гц, 1H), 7,19 (д, J=8,8 Гц, 1H), 7,28-7,43 (м, 4H), 7,85 (д, J=9,2 Гц, 2H), 8,08 (д, J=3,3 Гц, 1H), 10,31 (с, 1H) |
| 203 |
1-203 |
 |
(400 МГц, ДМСО-d6) 3,95 (т, J=4,2 Гц, 2H), 4,39 (т, J=4,4 Гц, 2H), 6,86 (т, J=7,9 Гц, 1H), 7,05 (дд, J=7,9, 1,4 Гц, 1H), 7,18 (дд, J=7,7, 1,6 Гц, 1H), 7,27 (дд, J=7,9, 5,1 Гц, 1H), 7,34 (д, J=8,8 Гц, 2H), 7,84 (д, J=8,8 Гц, 2H), 8,29 (дд, J=7,9, 1,9 Гц, 1H), 8,59 (дд, J=4,4, 2,0 Гц, 1H), 10,34 (с, 1H) |
| 204 |
1-204 |
 |
(400 МГц, ДМСО-d6) 3,78 (т, J=4,2 Гц, 2H), 4,43 (т, J=4,2 Гц, 2H), 6,74 (т, J=7,9 Гц, 1H), 6,81 (дд, J=8,1, 1,6 Гц, 1H), 7,05 (дд, J=7,4, 1,9 Гц, 1H), 7,24 (дд, J=7,7, 4,9 Гц, 1H), 7,34 (д, J=8,8 Гц, 2H), 7,43 (с, 1H), 7,84 (т, J=8,1 Гц, 3H), 7,92 (дд, J=7,4, 1,9 Гц, 1H), 8,45 (дд, J=4,4, 2,0 Гц, 1H), 10,30 (с, 1H) |
| 205 |
1-205 |
 |
(400 МГц, ДМСО-d6) 2,55 (д, J=4,6 Гц, 3H), 3,78 (т, J=4,2 Гц, 2H), 4,41 (т, J=4,2 Гц, 2H), 6,74 (т, J=7,9 Гц, 1H), 6,83 (дд, J=8,1, 1,6 Гц, 1H), 7,09 (дд, J=7,7, 1,6 Гц, 1H), 7,20 (дд, J=7,4, 4,6 Гц, 1H), 7,34 (д, J=8,8 Гц, 2H), 7,83-7,87 (м, 3H), 8,27-8,30 (м, 1H), 8,43 (дд, J=4,8, 2,0 Гц, 1H), 10,27 (с, 1H) |
| [Таблица 27] |
 |
прим. |
Химические соединения |
ЯМР |
| 206 |
1-206 |
 |
(400 МГц, ДМСО-d6) 2,81 (с, 3H), 2,86 (с, 3H), 3,71 (с, 2H), 4,34 (с, 2H), 6,80 (т, J=7,9 Гц, 1H), 6,91 (дд, J=8,1, 1,6 Гц, 1H), 7,11 (дд, J=7,4, 1,4 Гц, 1H), 7,21 (дд, J=7,4, 4,6 Гц, 1H), 7,34 (д, J=8,3 Гц, 2H), 7,76 (дд, J=7,4, 1,9 Гц, 1H), 7,85 (д, J=9,3 Гц, 2H), 8,41 (дд, J=5,2, 2,0 Гц, 1H), 10,28 (с, 1H) |
| 207 |
1-207 |
 |
(400 МГц, ДМСО-d6) 3,84 (т, J=4,2 Гц, 2H), 4,25 (т, J=4,2 Гц, 2H), 4,93 (с, 2H), 6,77 (т, J=7,9 Гц, 1H), 6,87 (дд, J=8,1, 1,6 Гц, 1H), 7,16 (дд, J=7,4, 1,4 Гц, 1H), 7,21 (дд, J=8,0, 4,8 Гц, 1H), 7,28-7,37 (м, 7H), 7,86 (д, J=8,8 Гц, 2H), 8,12 (дд, J=7,9, 1,9 Гц, 1H), 8,53 (дд, J=5,2, 2,4 Гц, 1H), 10,26 (с, 1H) |
| 208 |
1-208 |
 |
(400 МГц, ДМСО-d6) 3,82 (т, J=4,2 Гц, 2H), 4,39 (т, J=4,2 Гц, 2H), 6,77 (т, J=7,9 Гц, 1H), 6,87 (дд, J=8,3, 1,4 Гц, 1H), 7,08 (дд, J=7,7, 1,6 Гц, 1H), 7,20 (дд, J=7,4, 4,6 Гц, 1H), 7,34 (д, J=8,3 Гц, 2H), 7,86 (д, J=9,3 Гц, 2H), 8,10 (дд, J=7,9, 1,9 Гц, 1H), 8,49 (дд, J=4,4, 2,0 Гц, 1H), 10,29 (с, 1H), 13,28 (д, J=155,4 Гц, 1H) |
| 209 |
1-209 |
 |
(400 МГц, ДМСО-d6) 3,79 (т, J=4,2 Гц, 2H), 4,38 (т, J=4,4 Гц, 2H), 5,18 (с, 2H), 6,61 (дд, J=8,3, 1,4 Гц, 1H), 6,78 (т, J=7,9 Гц, 1H), 7,03 (дд, J=7,4, 1,4 Гц, 1H), 7,21 (дд, J=8,0, 4,8 Гц, 1H), 7,27-7,35 (м, 7H), 7,61 (дд, J=7,9, 1,4 Гц, 1H), 7,85 (д, J=8,8 Гц, 2H), 8,00 (дд, J=4,9, 1,6 Гц, 1H), 10,29 (с, 1H), 10,29 (с, 1H) |
| 210 |
1-210 |
 |
(400 МГц, ДМСО-d6) 3,75 (т, J=4,4 Гц, 2H), 4,41 (т, J=4,2 Гц, 2H), 6,50 (т, J=3,9 Гц, 1H), 6,76 (т, J=7,9 Гц, 1H), 6,97 (д, J=6,5 Гц, 1H), 7,10 (дд, J=8,0, 4,8 Гц, 1H), 7,29 (дд, J=7,9, 1,4 Гц, 1H), 7,34 (д, J=8,8 Гц, 2H), 7,85 (д, J=8,8 Гц, 2H), 7,90 (дд, J=4,4, 1,2 Гц 1H), 9,97 (с, 1H), 10,31 (с, 1H) |
| 211 |
1-211 |
 |
(400 МГц, ХЛОРОФОРМ-d) 3,70 (ушир.с, 2H), 4,15 (ушир.с, 2H), 4,33 (ушир.с, 2H), 4,65 (ушир.с, 2H), 6,73 (д, J=7,4 Гц, 1H), 6,94 (т, J=7,4 Гц, 1H), 7,22 (д, J=8,3 Гц, 2H), 7,34 (ушир.с, 1H), 7,64 (д, J=6,0 Гц, 1H), 7,73 (д, J=8,8 Гц, 2H), 7,87 (д, J=7,4 Гц, 1H), 8,12 (ушир.с, 1H), 9,56 (с, 1H) |
| 212 |
1-212 |
 |
(400 МГц, ДМСО-d6) 3,81 (т, J=4,4 Гц, 2H), 4,39 (т, J=4,2 Гц, 2H), 4,79 (с, 2H), 6,70-6,77 (м, 2H), 7,00 (дд, J=7,2, 2,1 Гц, 1H), 7,18 (дд, J=8,0, 4,8 Гц, 1H), 7,34 (д, J=8,3 Гц, 2H), 7,42 (дд, J=8,3, 1,4 Гц, 1H), 7,85 (д, J=9,3 Гц, 2H), 7,99 (дд, J=4,6, 1,4 Гц, 1H), 10,32 (с, 1H), 13,12 (с, 1H) |
| [Таблица 28] |
 |
прим. |
Химические соединения |
ЯМР |
| 213 |
1-213 |
 |
(400 МГц, ДМСО-d6) 3,82 (т, J=4,2 Гц, 2H), 4,39 (т, J=4,2 Гц, 2H), 4,54 (с, 2H), 6,68 (дд, J=8,1, 1,6 Гц, 1H), 6,76 (т, J=7,9 Гц, 1H), 7,02 (дд, J=7,4, 1,4 Гц, 1H), 7,09 (с, 1H), 7,18 (дд, J=8,0, 4,8 Гц, 1H), 7,32-7,42 (м, 4H), 7,85 (д, J=9,3 Гц, 2H), 7,99 (дд, J=4,6, 1,4 Гц, 1H), 10,29 (с, 1H) |
| 214 |
1-214 |
 |
(400 МГц, ДМСО-d6) 2,58 (д, J=4,6 Гц, 3H), 3,83 (т, J=4,2 Гц, 2H), 4,39 (т, J=4,2 Гц, 2H), 4,56 (с, 2H), 6,69 (дд, J=8,1, 1,6 Гц, 1H), 6,77 (т, J=7,9 Гц, 1H), 7,03 (дд, J=7,4, 1,4 Гц, 1H), 7,17 (дд, J=8,4, 4,8 Гц, 1H), 7,33 (д, J=8,8 Гц, 2H), 7,40-7,46 (м, 2H), 7,85 (д, J=9,3 Гц, 2H), 8,00 (дд, J=4,6, 1,4 Гц, 1H), 10,31 (с, 1H) |
| 215 |
1-215 |
 |
(400 МГц, ДМСО-d6) 2,82 (с, 3H), 2,95 (с, 3H), 3,83 (с, 2H), 4,36 (с, 2H), 4,96 (с, 2H), 6,71-6,79 (м, 2H), 6,97-7,00 (м, 1H), 7,12-7,16 (м, 1H), 7,32-7,37 (м, 3H), 7,84 (д, J=8,8 Гц, 2H), 7,93-7,95 (м, 1H), 10,30 (с, 1H) |
| 216 |
1-216 |
 |
(400 МГц, ДМСО-d6) 3,84 (т, J=4,1 Гц, 2H), 4,40 (т, J=4,1 Гц, 2H), 5,31 (с, 2H), 6,65 (дд, J=8,1, 1,5 Гц, 1H), 6,75 (т, J=7,7 Гц, 1H), 7,02 (дд, J=7,4, 1,5 Гц, 1H), 7,22 (дд, J=8,0, 4,8 Гц, 1H), 7,33 (т, J=8,3 Гц, 2H), 7,42-7,46 (м, 1H), 7,64 (дд, J=8,0, 1,5 Гц, 1H), 7,84-7,91 (м, 3H), 8,03 (дд, J=4,6, 1,4 Гц, 1H), 8,60 (д, J=5,1 Гц, 1H), 10,31 (с, 1H) |
| 217 |
1-217 |
 |
(400 МГц, ДМСО-d6) 3,78 (т, J=4,3 Гц, 2H), 4,37 (т, J=4,3 Гц, 2H), 5,23 (с, 2H), 6,60 (дд, J=8,3, 1,5 Гц, 1H), 6,77 (т, J=7,9 Гц, 1H), 7,02 (дд, J=7,7, 1,5 Гц, 1H), 7,23 (дд, J=8,0, 4,8 Гц, 1H), 7,32-7,36 (м, 3H), 7,64-7,69 (м, 2H), 7,85 (д, J=9,3 Гц, 2H), 8,02 (дд, J=4,8, 1,2 Гц, 1H), 8,50 (дд, J=4,8, 2,0 Гц, 1H), 8,54 (д, J=2,0 Гц, 1H), 10,28 (с, 1H) |
| 218 |
1-218 |
 |
(400 МГц, ДМСО-d6) 1H-ЯМР (ДМСО-d6) : 4,16 (т, J=4,5 Гц, 2H), 4,37 (т, J=4,5 Гц, 2H), 6,99 (т, J=8,0 Гц, 1H), 7,28-7,35 (м, 4H), 7,61 (дд, J=8,0, 1,6 Гц, 1H), 7,82 (д, J=9,3 Гц, 2H), 8,02 (дд, J=8,8, 2,3 Гц, 1H), 8,69 (д, J=2,3 Гц, 1H), 10,33 (с, 1H) |
| 219 |
1-219 |
 |
(300 МГц, ДМСО-d6) : 1,85 (с, 3H), 4,02 (т, J=4,4 Гц, 2H), 4,19 (д, J=5,9 Гц, 2H), 4,32 (т, J=4,6 Гц, 2H), 6,93 (т, J=7,9 Гц, 1H), 7,17-7,21 (м, 2H), 7,34 (д, J=8,4 Гц, 2H), 7,46 (дд, J=8,3, 1,7 Гц, 1H), 7,58 (дд, J=8,6, 2,4 Гц, 1H), 7,84 (д, J=9,2 Гц, 2H), 8,20 (д, J=2,2 Гц, 1H), 8,30 (т, J=6,1 Гц, 1H), 10,32 (с, 1H) |
| [Таблица 29] |
 |
прим. |
Химические соединения |
ЯМР |
| 220 |
1-220 |
 |
(300 МГц, ДМСО-d6) : 3,34 (с, 3H), 3,80 (т, J=4,2 Гц, 2H), 4,42 (т, J=4,2 Гц, 2H), 4,47 (с, 2H), 6,51 (дд, J=8,1, 1,5 Гц, 1H), 6,80 (т, J=7,7 Гц, 1H), 7,06 (дд, J=7,7, 1,5 Гц, 1H), 7,35 (д, J=8,4 Гц, 2H), 7,86 (д, J=8,8 Гц, 2H), 7,98 (д, J=1,8 Гц, 1H), 8,38 (д, J=1,8 Гц, 1H), 10,33 (с, 1H) |
| 221 |
1-221 |
 |
(300 МГц, ДМСО-d6) : 2,05 (с, 2H, кeтo), 2,10 (с, 1H, енол), 2,78 (с, 1H, енол), 2,94 (с, 2H, кeтo), 4,03-4,04 (м, 2H), 4,32-4,35 (м, 2H), 4,43 (с, 1,3H, кeтo), 4,50 (с, 0,6H, енол), 6,91-6,94 (м, 1H), 7,18-7,25 (м, 2H), 7,34 (д, J=8,8 Гц, 2H), 7,50-7,55 (м, 2H), 7,85 (д, J=9,2 Гц, 2H), 8,18-8,22 (м, 1H), 10,32 (с, 1H) |
| 222 |
1-222 |
 |
(400 МГц, ДМСО-d6) : 3,66 (с, 2H), 4,01 (т, J=4,2 Гц, 2H), 4,32 (т, J=4,4 Гц, 2H), 6,92 (т, J=7,9 Гц, 1H), 7,17 (д, J=8,8 Гц, 2H), 7,34 (д, J=8,3 Гц, 2H), 7,44 (дд, J=8,3, 1,4 Гц, 1H), 7,66 (дд, J=8,3, 2,3 Гц, 1H), 7,84 (д, J=9,3 Гц, 2H), 8,23 (д, J=1,9 Гц, 1H), 10,33 (с, 1H) |
| 223 |
1-223 |
 |
(300 МГц, ДМСО-d6) : 2,13 (с, 6H), 3,33 (с, 2H), 4,03 (т, J=4,4 Гц, 2H), 4,34 (т, J=4,4 Гц, 2H), 6,91 (кв, J=8,7 Гц, 1H), 7,19 (д, J=3,9 Гц, 2H), 7,35 (д, J=8,4 Гц, 2H), 7,49 (дд, J=8,1, 1,5 Гц, 1H), 7,60 (дд, J=8,4, 2,2 Гц, 1H), 7,85 (д, J=9,2 Гц, 2H), 8,18 (д, J=1,8 Гц, 1H), 10,32 (с, 1H) |
| 224 |
1-224 |
 |
(400 МГц, ДМСО-d6) 2,65 (д, J=4,6 Гц, 3H), 3,91-4,00 (м, 2H), 5,12 (т, J=4,6 Гц, 1H), 6,54 (дд, J=8,1, 1,5 Гц, 1H), 6,89 (т, J=7,9 Гц, 1H), 7,24 (дд, J=7,7, 1,5 Гц, 1H), 7,30 (дд, J=7,7, 4,6 Гц, 1H), 7,38 (д, J=8,5 Гц, 2H), 7,88 (д, J=8,5 Гц, 2H), 8,01 (дд, J=7,9, 1,5 Гц, 1H), 8,15 (кв, J=4,6 Гц, 1H), 8,43 (дд, J=4,6, 2,0 Гц, 1H), 10,66 (с, 1H) |
| 225 |
1-225 |
 |
(400 МГц, ДМСО-d6) 4,05 (т, J=4,4 Гц, 2H), 4,33 (т, J=4,4 Гц, 2H), 4,48 (д, J=5,6 Гц, 2H), 5,33 (т, J=5,6 Гц, 1H), 6,94 (т, J=7,9 Гц, 1H), 7,02 (д, J=7,9 Гц, 1H), 7,07 (д, J=7,9 Гц, 1H), 7,21 (дд, J=7,7, 1,6 Гц, 1H), 7,51 (дд, J=7,7, 1,6 Гц, 1H), 7,67 (д, J=7,7 Гц, 1H), 7,71 (д, J=8,3 Гц, 2H), 7,95 (д, J=8,3 Гц, 2H), 10,51 (с, 1H) |
| 226 |
1-226 |
 |
(400 МГц, ДМСО-d6) 2,88 (с, 3H), 3,05 (с, 3H), 3,58 (дд, J=13,0, 8,8 Гц, 1H), 4,20 (дд, J=13,0, 4,0 Гц, 1H), 5,54 (дд, J=8,8, 4,0 Гц, 1H), 6,56 (дд, J=8,0, 1,4 Гц, 1H), 6,89 (т, J=7,9 Гц, 1H), 7,24 (дд, J=7,9, 1,4 Гц, 1H), 7,31 (дд, J=8,0, 4,8 Гц, 1H), 7,37 (д, J=8,3 Гц, 2H), 7,88 (д, J=8,3 Гц, 2H), 8,03 (дд, J=8,0, 1,4 Гц, 1H), 8,44 (дд, J=4,8, 1,4 Гц, 1H), 10,80 (с, 1H) |
| 227 |
1-227 |
 |
(400 МГц, ДМСО-d6) 3,88 (т, J=4,2 Гц, 2H), 4,42 (т, J=4,2 Гц, 2H), 6,68 (дд, J=7,9, 1,6 Гц, 1H), 6,84 (т, J=7,9 Гц, 1H), 7,13 (дд, J=7,9, 1,6 Гц, 1H), 7,36 (д, J=8,3 Гц, 2H), 7,66 (с, 1H), 7,87 (д, J=8,3 Гц, 2H), 8,17 (с, 1H), 8,38 (д, J=2,3 Гц, 1H), 8,82 (д, J=2,3 Гц, 1H), 10,38 (с, 1H) |
| [Таблица 30] |
 |
прим. |
Химические соединения |
ЯМР |
| 228 |
1-228 |
 |
(400 МГц, ДМСО-d6) 1,80 (с, 3H), 3,23-3,29 (м, 1H), 3,45-3,51 (м, 1H), 4,06-4,09 (м, 1H), 4,17 (д, J=10,5 Гц, 1H), 4,47 (д, J=10,5 Гц, 1H), 6,48 (дд, J=8,0, 1,2 Гц, 1H), 6,84 (т, J=7,7 Гц, 1H), 7,07 (дд, J=7,7, 1,2 Гц, 1H), 7,36 (дд, J=8,0, 4,8 Гц, 1H), 7,72 (д, J=8,3 Гц, 2H), 8,00 (д, J=8,3 Гц, 2H), 8,08 (дд, J=8,0, 1,2 Гц, 1H), 8,16 (т, J=5,6 Гц, 1H), 8,46 (дд, J=4,8, 1,2 Гц, 1H), 10,46 (с, 1H) |
| 229 |
1-229 |
 |
(400 МГц, ДМСО-d6) 4,41 (дд, J=10,7, 2,8 Гц, 1H), 4,68-4,75 (м, 2H), 6,58 (д, J=7,9 Гц, 1H), 6,84 (т, J=7,9 Гц, 1H), 7,05 (дд, J=7,9, 1,5 Гц, 1H), 7,26 (дд, J=8,0, 4,5 Гц, 1H), 7,69 (д, J=8,0 Гц, 2H), 7,95-8,00 (м, 3H), 8,38 (дд, J=4,5, 1,5 Гц, 1H), 10,53 (с, 1H), 13,04 (с, 1H) |
| 230 |
1-230 |
 |
(400 МГц, ДМСО-d6) 3,63 (с, 3H), 4,01 (д, J=3,7 Гц, 2H), 5,45 (т, J=3,7 Гц, 1H), 6,50 (дд, J=7,9, 1,4 Гц, 1H), 6,87 (т, J=7,9 Гц, 1H), 7,23 (дд, J=7,9, 1,4 Гц, 1H), 7,33 (дд, J=8,0, 4,8 Гц, 1H), 7,38 (д, J=8,5 Гц, 2H), 7,88 (д, J=8,5 Гц, 2H), 8,04 (дд, J=7,9, 1,4 Гц, 1H), 8,44 (дд, J=4,6, 1,4 Гц, 1H), 10,33 (с, 1H) |
| 231 |
1-231 |
 |
(400 МГц, ДМСО-d6) 3,67 (дд, J=13,0, 7,4 Гц, 1H), 3,74 (т, J=5,5 Гц, 2H), 3,92 (дд, J=13,0, 2,8 Гц, 1H), 4,48-4,54 (м, 1H), 5,22 (т, J=5,5 Гц, 1H), 6,56 (дд, J=7,9, 1,5 Гц, 1H), 6,85 (т, J=7,9 Гц, 1H), 7,27 (дд, J=7,9, 1,5 Гц, 1H), 7,32 (дд, J=7,9, 4,5 Гц, 1H), 7,38 (д, J=8,8 Гц, 2H), 7,89 (д, J=8,8 Гц, 2H), 8,05 (дд, J=7,9, 1,9 Гц, 1H), 8,44 (дд, J=4,5, 1,4 Гц, 1H), 10,40 (с, 1H) |
| 232 |
1-232 |
 |
(400 МГц, ДМСО-d6) 3,93-4,08 (м, 2H), 5,31 (т, J=4,2 Гц, 1H), 6,53 (дд, J=7,9, 1,4 Гц, 1H), 6,87 (т, J=7,9 Гц, 1H), 7,27-7,34 (м, 2H), 7,38 (д, J=8,3 Гц, 2H), 7,88 (д, J=9,3 Гц, 2H), 8,03 (дд, J=8,3, 1,4 Гц, 1H), 8,44 (дд, J=4,8, 2,0 Гц, 1H), 10,45 (с, 1H), 13,59 (с, 1H) |
| 233 |
1-233 |
 |
(400 МГц, ДМСО-d6) 4,27 (дд, J=10,7, 2,5 Гц, 1H), 4,58-4,60 (м, 1H), 4,74 (дд, J=10,7, 2,5 Гц, 1H), 6,58 (дд, J=7,9, 1,4 Гц, 1H), 6,85 (т, J=7,9 Гц, 1H), 7,07 (дд, J=7,4, 1,4 Гц, 1H), 7,33-7,37 (м, 2H), 7,52 (с, 1H), 7,70 (д, J=8,8 Гц, 2H), 7,96 (д, J=8,3 Гц, 2H), 8,06 (дд, J=7,9, 1,4 Гц, 1H), 8,42 (дд, J=4,6, 1,4 Гц, 1H), 10,53 (с, 1H) |
| 234 |
1-234 |
 |
(400 МГц, ДМСО-d6) 2,60 (д, J=4,6 Гц, 3H), 4,26 (д, J=8,5 Гц, 1H), 4,60 (с, 1H), 4,74 (д, J=8,5 Гц, 1H), 6,60 (д, J=7,9 Гц, 1H), 6,86 (т, J=7,9 Гц, 1H), 7,08 (д, J=6,5 Гц, 1H), 7,33 (кв, J=4,2 Гц, 1H), 7,70 (д, J=8,8 Гц, 2H), 7,95-8,06 (м, 4H), 8,42 (дд, J=4,6, 1,4 Гц, 1H), 10,52 (с, 1H) |
| [Таблица 31] |
 |
прим. |
Химические соединения |
ЯМР |
| 235 |
1-235 |
 |
(400 МГц, ДМСО-d6) 3,83 (дд, J=13, 6,5 Гц, 1H), 4,10 (дд, J=13, 4,0 Гц, 1H), 5,07 (дд, J=6,5, 4,0 Гц, 1H), 6,56 (дд, J=8,0, 1,5 Гц, 1H), 6,89 (т, J=8,0 Гц, 1H), 7,26 (дд, J=7,7, 1,5 Гц, 1H), 7,31 (дд, J=7,7, 4,0 Гц, 1H), 7,37 (д, J=8,3 Гц, 2H), 7,71 (д, J=6,5 Гц, 2H), 7,90 (д, J=8,3 Гц, 2H), 8,03 (дд, J=8,0, 1,5 Гц, 1H), 8,44 (дд, J=4,0, 1,5 Гц, 1H), 10,77 (с, 1H) |
| 236 |
1-236 |
 |
(400 МГц, ДМСО-d6) 2,27 (с, 3H), 3,34 (с, 3H), 4,10 (ушир. с, 4H), 6,78 (т, J=7,0 Гц, 1H), 6,96 (д, J=6,5 Гц, 1H), 7,18-7,29 (м, 6H), 7,79 (д, J=7,9 Гц, 1H), 8,16 (с, 1H) |
| 237 |
2-01 |
 |
(400 МГц, ДМСО-d6) 3,75 (т, J=4,4 Гц, 2H), 4,40 (т, J=4,4 Гц, 2H), 4,53 (д, J=5,6 Гц, 2H), 5,39 (т, J=5,6 Гц, 1H), 5,97 (с, 2H), 6,42 (дд, J=8,1, 1,6 Гц, 1H), 6,75 (дд, J=8,1, 7,6 Гц, 1H), 6,85 (д, J=8,4 Гц, 1H), 7,02 (дд, J=7,6, 1,6 Гц, 1H), 7,13 (дд, J=8,4, 2,1 Гц, 1H), 7,42 (д, J=2,1 Гц, 1H), 7,92 (д, J= 2,0 Гц, 1H), 8,34 (д, J=2,0 Гц, 1H), 10,01 (с, 1H) |
| 238 |
2-02 |
 |
(400 МГц, ДМСО-d6) 3,77 (т, J=4,4 Гц, 2H), 4,21-4,24 (м, 4H), 4,42 (т, J=4,4 Гц, 2H), 4,56 (д, J=5,6 Гц, 2H), 5,43 (т, J=5,6 Гц, 1H), 6,45 (дд, J=8,1, 1,6 Гц, 1H), 6,78 (дд, J=8,1, 7,9 Гц, 1H), 6,80 (д, J=8,8 Гц, 1H), 7,04 (дд, J=7,9, 1,6 Гц, 1H), 7,15 (дд, J=8,8, 2,6 Гц, 1H), 7,38 (д, J=2,6 Гц, 1H), 7,95 (д, J= 2,1 Гц, 1H), 8,37 (д, J=2,1 Гц, 1H), 9,96 (с, 1H) |
| 239 |
2-03 |
 |
(400 МГц, ДМСО-d6) 3,78 (т, J=4,2 Гц, 2H), 4,42 (т, J=4,4 Гц, 2H), 4,56 (д, J=4,6 Гц, 2H), 5,44 (т, J=5,1 Гц, 1H), 6,47 (дд, J=8,3, 1,4 Гц, 1H), 6,80 (т, J=7,9 Гц, 1H), 7,04 (дд, J=7,4, 1,4 Гц, 1H), 7,35 (д, J=8,8 Гц, 2H), 7,86 (д, J=8,8 Гц, 2H), 7,95 (д, J=2,3 Гц, 1H), 8,37 (д, J=1,9 Гц, 1H), 10,35 (с, 1H) |
| 240 |
2-04 |
 |
(400 МГц, ДМСО-d6) 3,78 (т, J=4,2 Гц, 2H), 4,43 (т, J=4,2 Гц, 2H), 4,56 (д, J=5,6 Гц, 2H), 5,44 (т, J=5,6 Гц, 1H), 6,49 (дд, J=7,9, 1,4 Гц, 1H), 6,81 (т, J=7,7 Гц, 1H), 7,05 (дд, J=7,7, 1,2 Гц, 1H), 7,56 (дд, J=9,0, 1,2 Гц, 1H), 7,78 (дд, J=8,8, 2,3 Гц, 1H), 7,95 (д, J=1,9 Гц, 1H), 8,14 (д, J=2,3 Гц, 1H), 8,37 (д, J=1,4 Гц, 1H), 10,49 (с, 1H) |
| 241 |
2-05 |
 |
(400 МГц, ДМСО-d6) 3,79 (т, J=4,4 Гц, 2H), 4,43 (т, J=4,2 Гц, 2H), 4,56 (д, J=4,2 Гц, 2H), 5,44 (ушир. с, 1H), 6,49 (дд, J=7,9, 1,4 Гц, 1H), 6,81 (т, J=7,9 Гц, 1H), 7,05 (дд, J=7,7, 1,6 Гц, 1H), 7,71 (д, J=8,8 Гц, 2H), 7,97 (т, J=4,6 Гц, 3H), 8,37 (д, J=2,3 Гц, 1H), 10,52 (с, 1H) |
| 242 |
2-06 |
 |
(300 МГц, ДМСО-d6) 3,79 (т, J=4,2 Гц, 2H), 4,43 (т, J=4,2 Гц, 2H), 4,56 (д, J=5,1 Гц, 2H), 5,42 (т, J=5,3 Гц, 1H), 6,50 (дд, J=8,1, 1,5 Гц, 1H), 6,82 (т, J=7,7 Гц, 1H), 7,05 (дд, J=7,3, 1,5 Гц, 1H), 7,66-7,78 (м, 2H), 7,96-7,97 (м, 2H), 8,37 (д, J=1,8 Гц, 1H), 10,69 (с, 1H) |
| [Таблица 32] |
 |
прим. |
Химические соединения |
ЯМР |
| 243 |
2-07 |
 |
(300 МГц, ДМСО-d6) 4,08 (т, J=4,4 Гц, 2H), 4,39 (т, J=4,2 Гц, 2H), 4,50 (т, J=13,2 Гц, 2H), 6,98 (т, J=7,9 Гц, 1H), 7,28 (дд, J=7,7, 1,5 Гц, 1H), 7,36 (д, J=8,8 Гц, 1H), 7,50 (дт, J=8,1, 1,5 Гц, 1H), 7,71 (д, J=8,8 Гц, 2H), 7,85 (дд, J=8,8, 2,2 Гц, 1H), 7,96 (д, J=8,4 Гц, 2H), 8,25 (д, J=1,8 Гц, 1H), 10,53 (с, 1H) |
| 244 |
2-08 |
 |
(300 МГц, ДМСО-d6) 0,98 (д, J=6,6 Гц, 6H), 1,91-2,08 (м, 1H), 3,72 (д, J=6,6 Гц, 2H), 4,03 (т, J=2,9 Гц, 2H), 4,33 (т, J=4,4 Гц, 2H), 4,45 (с, 2H), 6,87-6,95 (м, 3H), 7,18-7,23 (м, 2H), 7,44 (дд, J=8,1, 1,5 Гц, 1H), 7,63 (м, 3H), 8,24 (д, J=1,8 Гц, 1H), 9,97 (с, 1H) |
| 245 |
2-09 |
 |
(300 МГц, ДМСО-d6) : 3,34 (с, 3H), 3,80 (т, J=4,2 Гц, 2H), 4,43 (т, J=4,0 Гц, 2H), 4,48 (с, 2H), 6,50-6,54 (м, 1H), 6,81 (т, J=7,7 Гц, 1H), 7,07 (дд, J=7,5, 1,3 Гц, 1H), 7,71 (д, J=8,8 Гц, 2H), 7,97 (д, J=8,4 Гц, 3H), 8,38 (д, J=1,5 Гц, 1H), 10,51 (с, 1H) |
| 246 |
2-10 |
 |
(400 МГц, ДМСО-d6) 4,06 (т, J=4,4 Гц, 2H), 4,33 (т, J=4,4 Гц, 2H), 4,49 (д, J=5,1 Гц, 2H), 5,37 (т, J=5,6 Гц, 1H), 6,86 (д, J=5,1 Гц, 1H), 6,96 (т, J=7,9 Гц, 1H), 7,21-7,23 (м, 2H), 7,50 (дд, J=8,1, 1,6 Гц, 1H), 7,71 (д, J=8,8 Гц, 2H), 7,96 (д, J=8,8 Гц, 2H), 8,23 (д, J=5,1 Гц, 1H) |
| 247 |
2-11 |
 |
(400 МГц, ДМСО-d6) 3,71 (т, J=4,4 Гц, 2H), 4,44-4,46 (м, 2H), 5,33 (т, J=5,3 Гц, 1H), 6,26 (дд, J=8,0, 1,6 Гц, 1H), 6,74 (т, J=8,0 Гц, 1H), 6,98 (дд, J=8,0, 1,6 Гц, 1H), 7,32-7,36 (м, 3H), 7,85 (д, J=9,0 Гц, 2H), 8,00 (дд, J=8,0, 2,0 Гц, 1H), 8,38 (дд, J=4,8, 2,2 Гц, 1H), 10,3 (с, 1H) |
| 248 |
2-12 |
 |
(300 МГц, ДМСО-d6) : 1,40 (д, J=6,6 Гц, 3H), 3,77-3,78 (м, 2H), 4,41-4,44 (м, 2H), 4,82-4,84 (м, 1H), 5,43-5,46 (м, 1H), 6,47 (дд, J=8,1, 1,5 Гц, 1H), 6,81 (т, J=7,9 Гц, 1H), 7,05 (дд, J=7,3, 1,5 Гц, 1H), 7,71 (д, J=8,4 Гц, 2H), 7,96 (т, J=3,1 Гц, 3H), 8,40 (д, J=2,2 Гц, 1H), 10,51 (с, 1H) |
| 249 |
2-13 |
 |
(300 МГц, ДМСО-d6) : 1,40 (д, J=6,6 Гц, 3H), 3,76-3,80 (м, 2H), 4,41-4,44 (м, 2H), 4,80-4,84 (м, 1H), 5,43-5,47 (м, 1H), 6,47 (д, J=8,4 Гц, 1H), 6,81 (т, J=7,9 Гц, 1H), 7,05 (т, J=3,9 Гц, 1H), 7,71 (д, J=8,8 Гц, 2H), 7,96 (т, J=2,9 Гц, 4H), 8,40 (д, J=1,8 Гц, 1H), 10,51 (с, 1H) |
| [Таблица 33] |
 |
прим. |
Химические соединения |
ЯМР |
| 250 |
2-14 |
 |
(400 МГц, ДМСО-d6) 1,39 (д, J=6,5 Гц, 3H), 3,77 (т, J=4,4 Гц, 2H), 4,41 (т, J=4,4 Гц, 2H), 4,79-4,85 (м, 1H), 5,44 (д, J=4,4 Гц, 1H), 6,46 (дд, J=8,0, 1,4 Гц, 1H), 6,79 (т, J=8,0 Гц, 1H), 7,03 (дд, J=8,0, 1,4 Гц, 1H), 7,34 (д, J=8,8 Гц, 2H), 7,85 (д, J=8,8 Гц, 2H), 7,96 (д, J=1,9 Гц, 1H), 8,39 (д, J=1,9 Гц, 1H), 10,3 (с, 1H) |
| 251 |
2-15 |
 |
(400 МГц, ДМСО-d6) 1,39 (д, J=6,5 Гц, 3H), 3,77 (т, J=4,4 Гц, 2H), 4,41 (т, J=4,4 Гц, 2H), 4,79-4,86 (м, 1H), 5,44 (д, J=4,4 Гц, 1H), 6,46 (дд, J=8,0, 1,5 Гц, 1H), 6,79 (т, J=8,0 Гц, 1H), 7,03 (дд, J=8,0, 1,5 Гц, 1H), 7,34 (д, J=9,0 Гц, 2H), 7,85 (д, J=9,0 Гц, 2H), 7,96 (д, J=1,9 Гц, 1H), 8,39 (д, J=1,9 Гц, 1H), 10,3 (с, 1H) |
| 252 |
2-16 |
 |
(300 МГц, ДМСО-d6) : 3,80 (т, J=4,4 Гц, 2H), 4,45 (т, J=4,4 Гц, 2H), 4,57 (д, J=4,8 Гц, 2H), 5,43 (т, J=5,3 Гц, 1H), 6,51 (дд, J=8,1, 1,5 Гц, 1H), 6,83 (т, J=7,9 Гц, 1H), 7,09 (дд, J=7,3, 1,5 Гц, 1H), 7,93 (дд, J=14,3, 7,2 Гц, 2H), 8,38 (д, J=1,8 Гц, 1H), 8,47 (д, J=8,8 Гц, 1H), 9,04 (д, J=2,2 Гц, 1H), 10,73 (с, 1H) |
| 253 |
2-17 |
 |
(400 МГц, ДМСО-d6) 3,78 (т, J=4,3 Гц, 2H), 4,43 (т, J=4,3 Гц, 2H), 4,57 (д, J=5,1 Гц, 2H),5,43 (т, J=5,1 Гц, 1H), 6,48 (дд, J=8,2, 1,5 Гц, 1H), 6,80 (дд, J=8,2, 7,6 Гц, 1H), 7,05 (дд, J=7,6, 1,5 Гц, 1H), 7,63 (дд, 8,6, 2,4 Гц, 1H), 7,73 (д, J=8,6 Гц, 1H), 7,95 (д, J=2,0 Гц, 1H), 8,14 (д, J=2,4 Гц, 1H), 8,37 (д, J=2,0 Гц, 1H), 10,43 (с, 1H) |
| 254 |
2-18 |
 |
(300 МГц, ДМСО-d6) : 1,37 (с, 6H), 4,02 (т, J=4,2 Гц, 2H), 4,33 (т, J=4,2 Гц, 2H), 5,07 (с, 1H), 6,93 (т, J=7,9 Гц, 1H), 7,15-7,20 (м, 2H), 7,48 (дд, J=8,3, 1,7 Гц, 1H), 7,71-7,76 (м, 3H), 7,95 (д, J=8,4 Гц, 2H), 8,40 (д, J=1,8 Гц, 1H), 10,48 (с, 1H) |
| 255 |
2-19 |
 |
(400 МГц, ДМСО-d6) : 1,27 (д, J=6,0 Гц, 6H), 3,77 (т, J=3,9 Гц, 2H), 4,42 (т, J=4,2 Гц, 2H), 4,55 (д, J=4,6 Гц, 2H), 4,71-4,77 (м, 1H), 5,41-5,44 (м, 1H), 6,46 (дд, J=7,9, 1,4 Гц, 1H), 6,79 (т, J=7,9 Гц, 1H), 7,05 (дд, J=7,4, 1,4 Гц, 1H), 7,29 (д, J=9,3 Гц, 1H), 7,89 (д, J=9,3 Гц, 1H), 7,94 (с, 1H), 8,08 (с, 1H), 8,36 (с, 1H), 10,22 (с, 1H) |
| 256 |
2-20 |
 |
(400 МГц, ДМСО-d6) 3,79 (т, J=4,4 Гц, 2H), 4,44 (т, J=4,4 Гц, 2H), 4,56 (д, J=5,1 Гц, 2H), 5,44 (т, J=5,1 Гц, 1H), 6,51 (дд, J=7,9, 1,6 Гц, 1H), 6,82 (т, J=7,9 Гц, 1H), 7,09 (дд, J=7,9, 1,6 Гц, 1H), 7,95 (д, J=2,3 Гц, 1H), 8,37 (д, J=1,9 Гц, 1H), 8,54 (д, J=2,3 Гц, 1H), 8,73 (д, J=2,3 Гц, 1H), 10,65 (с, 1H) |
| [Таблица 34] |
 |
прим. |
Химические соединения |
ЯМР |
| 257 |
2-21 |
 |
(400 МГц, ДМСО-d6) 3,79 (т, J=4,2 Гц, 2H), 4,44 (т, J=4,2 Гц, 2H), 4,56 (д, J=5,1 Гц, 2H), 5,43 (т, J=5,1 Гц, 1H), 6,50 (дд, J=7,9, 1,4 Гц, 1H), 6,82 (т, J=7,9 Гц, 1H), 7,06 (дд, J=7,9, 1,4 Гц, 1H), 7,95 (д, J=1,9 Гц, 1H), 8,07 (с, 2H), 8,37 (д, J=1,9 Гц, 1H), 10,53 (с, 1H) |
| 258 |
2-22 |
 |
(400 МГц, ДМСО-d6) 3,81 (т, J=3,7 Гц, 2H), 4,49 (т, J=3,7 Гц, 2H), 4,57 (д, J=5,6 Гц, 2H), 5,44 (т, J=5,6 Гц, 1H), 6,56 (д, J=7,9 Гц, 1H), 6,85 (т, J=7,9 Гц, 1H), 7,19 (д, J=7,9 Гц, 1H), 7,31 (т, J=9,3 Гц, 1H), 7,77-7,79 (м, 1H), 7,93-7,96 (м, 2H), 8,38 (с, 1H), 12,18 (с, 1H) |
| 259 |
2-23 |
 |
(400 МГц, ДМСО-d6) 3,79 (т, J=3,9 Гц, 2H), 4,43 (т, J=3,9 Гц, 2H), 4,57 (д, J=5,6 Гц, 2H), 5,44 (т, J=5,6 Гц, 1H), 6,49 (дд, J=7,9, 1,4 Гц, 1H), 6,81 (т, J=7,9 Гц, 1H), 7,06 (дд, J=7,4, 1,4 Гц, 1H), 7,85 (д, J=8,3 Гц, 1H), 7,95 (д, J=7,4 Гц, 2H), 8,36 (д, J=7,9 Гц, 2H), 10,57 (с, 1H) |
| 260 |
2-24 |
 |
(400 МГц, ДМСО-d6) 3,80 (т, J=4,2 Гц, 2H), 4,46 (т, J=4,2 Гц, 2H), 4,58 (с, 2H), 5,45 (ушир. с, 1H), 6,49 (дд, J=7,9, 1,4 Гц, 1H), 6,82 (т, J=7,9 Гц, 1H), 7,10 (дд, J=7,4, 1,4 Гц, 1H), 7,59 (ушир. с, 1H), 7,71 (д, J=8,3 Гц, 1H), 7,96 (д, J=1,9 Гц, 1H), 8,38 (д, J=1,9 Гц, 1H), 8,40 (ушир. с, 1H), 10,35 (с, 1H), 13,82 (ушир. с, 1H) |
| 261 |
2-25 |
 |
(400 МГц, ДМСО-d6) 3,78 (т, J=4,4 Гц, 2H), 4,43 (т, J=4,4 Гц, 2H), 4,56 (с, 2H), 5,43 (с, 1H), 6,49 (дд, J=8,1, 1,6 Гц, 1H), 6,81 (т, J=7,9 Гц, 1H), 7,04 (дд, J=7,9, 1,4 Гц, 1H), 7,69 (дд, J=10,7, 6,5 Гц, 2H), 7,95 (д, J=1,4 Гц, 1H), 8,37 (д, J=1,4 Гц, 1H), 10,49 (с, 1H) |
| 262 |
2-26 |
 |
(400 МГц, ДМСО-d6) 3,79 (т, J=4,2 Гц, 2H), 4,44 (т, J=4,2 Гц, 2H), 4,57 (д, J=4,2 Гц, 2H), 5,44 (т, J=4,9 Гц, 1H), 6,50 (дд, J=8,1, 1,2 Гц, 1H), 6,82 (т, J=7,9 Гц, 1H), 7,07 (д, J=6,5 Гц, 1H), 7,59 (дд, J=11,1, 9,3 Гц, 1H), 7,96 (д, J=1,9 Гц, 1H), 8,05-8,06 (м, 1H), 8,37 (д, J=1,9 Гц, 1H), 8,70-8,71 (м, 1H), 10,61 (с, 1H) |
| 263 |
2-27 |
 |
(400 МГц, ДМСО-d6) 3,78 (т, J=4,4 Гц, 2H), 4,42 (т, J=4,4 Гц, 2H), 4,56 (д, J=5,6 Гц, 2H), 5,14 (с, 2H), 5,43 (т, J=5,8 Гц, 1H), 6,45 (дд, J=7,9, 1,4 Гц, 1H), 6,76-6,82 (м, 2H), 6,87-6,94 (м, 1H), 7,03 (дд, J=7,4, 1,4 Гц, 1H), 7,31 (дд, J=8,3, 2,8 Гц, 1H), 7,95 (д, J=1,9 Гц, 1H), 8,36 (д, J=1,9 Гц, 1H), 9,91 (с, 1H) |
| 264 |
2-28 |
 |
(300 МГц, ДМСО-d6) 1,28 (с, 9H), 4,04 (т, J=4,4 Гц, 2H), 4,33 (т, J=4,4 Гц, 2H), 4,45 (д, J=5,5 Гц, 2H), 5,16 (т, J=5,7 Гц, 1H), 6,93 (т, J=7,9 Гц, 1H), 7,18-7,22 (м, 2H), 7,34 (д, J=8,4 Гц, 2H), 7,45 (дд, J=8,1, 1,5 Гц, 1H), 7,64 (т, J=4,4 Гц, 3H), 8,24 (д, J=1,8 Гц, 1H), 10,05 (с, 1H) |
| [Таблица 35] |
 |
прим. |
Химические соединения |
ЯМР |
| 265 |
2-29 |
 |
(400 МГц, ДМСО-d6) 3,78 (т, J=4,4 Гц, 2H), 4,44 (т, J=4,4 Гц, 2H), 4,56 (д, J=5,6 Гц, 2H), 5,43 (т, J=5,6 Гц, 1H), 6,50 (дд, J=8,2, 1,4 Гц, 1H), 6,82 (дд, J=8,2, 7,6 Гц, 1H), 7,09 (дд, J=7,6, 1,4 Гц, 1H), 7,79 (с, 1H), 7,95 (д, J=2,1 Гц, 1H), 8,37 (д, J=2,1 Гц, 1H), 8,46 (с, 2H), 10,78 (с, 1H) |
| 266 |
2-30 |
 |
(400 МГц, ДМСО-d6) 3,75 (т, J=4,6 Гц, 2H), 4,40 (т, J=4,6 Гц, 2H), 4,53 (д, J=5,1 Гц, 2H), 4,80 (кв, J=8,8 Гц, 2H), 5,40 (т, J=5,1 Гц, 1H), 6,44 (дд, J=8,1, 1,4 Гц, 1H), 6,76 (дд, J=8,1, 7,7 Гц, 1H), 7,03 (дд, J=7,7, 1,4 Гц, 1H), 7,25 (д, J=9,0 Гц, 1H), 7,63 (дд, J=9,0, 2,6 Гц, 1H), 7,91-7,94 (м, 2H), 8,34 (д, J=2,1 Гц, 1H), 10,19 (с, 1H) |
| 267 |
2-31 |
 |
(400 МГц, ХЛОРОФОРМ-d) 3,93 (т, J=4,4 Гц, 2H), 4,80 (кв, J=8,8 Гц, 2H), 4,62 (т, J=4,4 Гц, 2H), 4,75 (с, 2H), 6,65 (дд, J=8,1, 1,6 Гц, 1H), 6,89 (дд, J=8,1, 7,9 Гц, 1H), 6,96 (д, J=8,8 Гц, 2H), 7,64 (д, J=8,8 Гц, 2H), 7,80 (дд, J=7,9, 1,6 Гц, 1H), 7,85 (д, J=1,9 Гц, 1H), 9,34 (д, J=1,9 Гц, 1H), 9,59 (с, 1H) |
| 268 |
2-32 |
 |
(400 МГц, ДМСО-d6) 3,75 (т, J=4,4 Гц, 2H), 4,39 (т, J=4,4 Гц, 2H), 4,52 (д, J=4,6 Гц, 2H), 5,40 (т, J=4,6 Гц, 1H), 6,45 (дд, J=8,1, 1,7 Гц, 1H), 6,77 (дд, J=8,1, 7,7 Гц, 1H), 7,01 (дд, J=7,7, 1,7 Гц, 1H), 7,66 (д, J=8,5 Гц, 1H), 7,88 (д, J=8,5 Гц, 2H), 7,92 (д, J=2,1 Гц, 1H), 8,34 (д, J=2,1 Гц, 1H), 10,45 (с, 1H) |
| 269 |
2-33 |
 |
(300 МГц, ДМСО-d6) : 0,85 (с, 9H), 0,99-1,08 (м, 1H), 1,19-1,36 (м, 1H), 1,75-1,78 (м, 2H), 1,93-1,97 (м, 2H), 3,60-3,68 (м, 1H), 3,73-3,75 (м, 2H), 4,40 (т, J=4,4 Гц, 2H), 4,55 (д, J=5,5 Гц, 2H), 5,41 (т, J=5,7 Гц, 1H), 6,40 (дд, J=8,1, 1,5 Гц, 1H), 6,73 (т, J=7,7 Гц, 1H), 7,08 (дд, J=7,7, 1,5 Гц, 1H), 7,88 (д, J=8,1 Гц, 1H), 7,92 (д, J=1,5 Гц, 1H), 8,34 (д, J=1,5 Гц, 1H) |
| 270 |
2-34 |
 |
(300 МГц, ДМСО-d6) : 1,27 (д, J=5,9 Гц, 6H), 3,78 (т, J=4,2 Гц, 2H), 4,43 (т, J=4,2 Гц, 2H), 4,50-4,57 (м, 3H), 5,43 (т, J=5,7 Гц, 1H), 6,46 (дд, J=8,1, 1,5 Гц, 1H), 6,62-6,87 (м, 1H), 7,04 (дд, J=7,5, 1,3 Гц, 1H), 7,14 (т, J=9,2 Гц, 1H), 7,41 (д, J=9,5 Гц, 1H), 7,73 (дд, J=13,6, 2,2 Гц, 1H), 7,95 (д, J=1,8 Гц, 1H), 8,37 (д, J=1,8 Гц, 1H), 10,16 (с, 1H) |
| 271 |
2-35 |
 |
(300 МГц, ДМСО-d6) : 1,53-1,64 (м, 6H), 2,92 (т, J=5,1 Гц, 4H), 3,78 (т, J=4,2 Гц, 2H), 4,43 (т, J=4,4 Гц, 2H), 4,56 (д, J=5,9 Гц, 2H), 5,42 (т, J=5,7 Гц, 1H), 6,46 (дд, J=8,1, 1,5 Гц, 1H), 6,79 (т, J=7,9 Гц, 1H), 6,99-7,04 (м, 2H), 7,40 (дд, J=8,6, 1,7 Гц, 1H), 7,65 (дд, J=14,9, 2,4 Гц, 1H), 7,95 (д, J=1,8 Гц, 1H), 8,36 (д, J=1,8 Гц, 1H), 10,12 (с, 1H) |
| [Таблица 36] |
 |
прим. |
Химические соединения |
ЯМР |
| 272 |
2-36 |
 |
(300 МГц, ДМСО-d6) 1,28 (с, 9H), 3,78 (т, J=4,4 Гц, 2H), 4,43 (т, J=4,4 Гц, 2H), 4,56 (д, J=5,1 Гц, 2H), 5,42 (т, J=5,7 Гц, 1H), 6,46 (дд, J=8,1, 1,5 Гц, 1H), 6,79 (т, J=7,9 Гц, 1H), 7,06 (дд, J=7,7, 1,5 Гц, 1H), 7,35 (д, J=8,8 Гц, 2H), 7,65 (д, J=8,4 Гц, 2H), 7,95 (д, J=1,8 Гц, 1H), 8,37 (д, J=1,8 Гц, 1H), 10,05 (с, 1H) |
| 273 |
2-37 |
 |
(400 МГц, ДМСО-d6) 3,79 (т, J=4,2 Гц, 2H), 4,43 (т, J=4,2 Гц, 2H), 4,56 (д, J=5,6 Гц, 2H), 5,43 (т, J=5,6 Гц, 1H), 6,48 (дд, J=7,9, 1,4 Гц, 1H), 6,81 (т, J=7,9 Гц, 1H), 7,05 (дд, J=7,9, 1,4 Гц, 1H), 7,64 (д, J=8,8 Гц, 2H), 7,87 (д, J=8,8 Гц, 2H), 7,95 (д, J=1,9 Гц, 1H), 8,37 (д, J=1,9 Гц, 1H), 8,62 (с, 1H), 10,37 (с, 1H) |
| 274 |
2-38 |
 |
(400 МГц, ДМСО-d6) 3,78 (т, J=4,4 Гц, 2H), 4,43 (т, J=4,4 Гц, 2H), 4,56 (д, J=5,6 Гц, 2H), 5,44 (т, J=5,6 Гц, 1H), 6,48 (дд, J=7,9, 1,4 Гц, 1H), 6,81 (т, J=7,9 Гц, 1H), 7,05 (дд, J=7,9, 1,4 Гц, 1H), 7,46 (д, J=8,8 Гц, 1H), 7,61 (дд, J=8,8, 2,3 Гц, 1H), 7,95-7,96 (м, 2H), 8,37 (д, J=1,9 Гц, 1H), 10,47 (с, 1H) |
| 275 |
2-39 |
 |
(400 МГц, ДМСО-d6) 0,98 (д, J=7,0 Гц, 6H), 1,97-2,04 (м, 1H), 3,72 (д, J=6,5 Гц, 2H), 3,78 (т, J=4,4 Гц, 2H), 4,43 (т, J=4,4 Гц, 2H), 4,56 (с, 2H), 6,45 (дд, J=8,1, 1,6 Гц, 1H), 6,78 (т, J=7,9 Гц, 1H), 6,90 (д, J=9,3 Гц, 2H), 7,06 (дд, J=7,7, 1,6 Гц, 1H), 7,64 (д, J=8,8 Гц, 2H), 7,95 (д, J=2,3 Гц, 1H), 8,37 (д, J=1,9 Гц, 1H), 9,99 (с, 1H) |
| 276 |
2-40 |
 |
(400 МГц, ДМСО-d6) 3,78 (т, J=4,2 Гц, 2H), 4,43 (т, J=4,2 Гц, 2H), 4,56 (д, J=5,1 Гц, 2H), 5,43 (т, J=5,8 Гц, 1H), 6,48 (дд, J=7,9, 1,4 Гц, 1H), 6,81 (т, J=7,9 Гц, 1H), 7,05 (дд, J=7,4, 1,4 Гц, 1H), 7,60 (д, J=8,8 Гц, 1H), 7,70 (дд, J=9,0, 2,6 Гц, 1H), 7,95 (д, J=1,9 Гц, 1H), 8,14 (д, J=2,3 Гц, 1H), 8,37 (д, J=1,9 Гц, 1H), 10,43 (с, 1H) |
| 277 |
2-41 |
 |
(400 МГц, ДМСО-d6) 3,78 (т, J=4,2 Гц, 2H), 4,43 (т, J=4,4 Гц, 2H), 4,56 (д, J=5,1 Гц, 2H), 5,43 (т, J=5,8 Гц, 1H), 6,48 (дд, J=7,9, 1,4 Гц, 1H), 6,80 (т, J=7,9 Гц, 1H), 7,04 (дд, J=7,7, 1,6 Гц, 1H), 7,49 (дд, J=8,8, 1,9 Гц, 1H), 7,66 (т, J=8,3 Гц, 1H), 7,90 (дд, J=11,6, 2,3 Гц, 1H), 7,95 (д, J=1,9 Гц, 1H), 8,37 (д, J=1,9 Гц, 1H), 10,47 (с, 1H) |
| 278 |
2-42 |
 |
(400 МГц, ДМСО-d6) 3,78 (т, J=4,4 Гц, 2H), 4,42 (т, J=4,2 Гц, 2H), 4,56 (с, 2H), 5,42 (с, 1H), 6,47 (дд, J=8,3, 1,4 Гц, 1H), 6,79 (т, J=7,9 Гц, 1H), 7,04 (дд, J=7,7, 1,6 Гц, 1H), 7,52 (дд, J=7,0, 1,9 Гц, 2H), 7,73 (д, J=8,8 Гц, 2H), 7,95 (д, J=1,9 Гц, 1H), 8,37 (д, J=1,9 Гц, 1H), 10,28 (с, 1H) |
| 279 |
2-43 |
 |
(400 МГц, ДМСО-d6) 3,78 (т, J=4,4 Гц, 2H), 4,43 (т, J=4,2 Гц, 2H), 4,56 (д, J=5,6 Гц, 2H), 5,43 (т, J=5,8 Гц, 1H), 6,49 (дд, J=8,3, 1,4 Гц, 1H), 6,81 (т, J=7,7 Гц, 1H), 7,05 (дд, J=7,9, 1,4 Гц, 1H), 7,31 (т, J=1,9 Гц, 1H), 7,86 (д, J=1,4 Гц, 2H), 7,97 (т, J=5,8 Гц, 1H), 8,37 (д, J=1,9 Гц, 1H), 10,47 (с, 1H) |
| [Таблица 37] |
 |
прим. |
Химические соединения |
ЯМР |
| 280 |
2-44 |
 |
(400 МГц, ДМСО-d6) 3,78 (т, J=4,4 Гц, 2H), 4,43 (т, J=4,4 Гц, 2H), 4,56 (д, J=5,6 Гц, 2H), 5,43 (т, J=5,6 Гц, 1H), 6,47 (дд, J=8,1, 1,6 Гц, 1H), 6,80 (т, J=7,9 Гц, 1H), 7,05 (дд, J=7,9, 1,4 Гц, 1H), 7,16 (т, J=74,4 Гц, 1H), 7,17 (д, J=8,8 Гц, 2H), 7,79 (д, J=8,8 Гц, 2H), 7,95 (д, J=1,9 Гц, 1H), 8,37 (д, J=2,3 Гц, 1H), 10,22 (с, 1H) |
| 281 |
2-45 |
 |
(300 МГц, ДМСО-d6) 3,78 (т, J=4,2 Гц, 2H), 4,43 (т, J=4,2 Гц, 2H), 4,56 (д, J=5,1 Гц, 2H), 5,42 (т, J=5,7 Гц, 1H), 6,47 (дд, J=8,1, 1,5 Гц, 1H), 6,80 (т, J=7,9 Гц, 1H), 7,05 (дд, J=7,7, 1,5 Гц, 1H), 7,39 (дт, J=9,5, 2,6 Гц, 2H), 7,79 (д, J=9,2 Гц, 2H), 7,95 (д, J=2,2 Гц, 1H), 8,37 (д, J=1,8 Гц, 1H), 10,28 (с, 1H) |
| 282 |
2-46 |
 |
(300 МГц, ДМСО-d6) 1,20 (д, J=7,0 Гц, 6H), 2,82-2,91 (м, 1H), 3,78 (т, J=4,2 Гц, 2H), 4,43 (т, J=4,2 Гц, 2H), 4,56 (д, J=5,1 Гц, 2H), 5,42 (т, J=5,5 Гц, 1H), 6,46 (д, J=8,1 Гц, 1H), 6,79 (т, J=7,9 Гц, 1H), 7,06 (д, J=7,7 Гц, 1H), 7,20 (д, J=8,4 Гц, 2H), 7,65 (д, J=8,4 Гц, 2H), 7,95 (д, J=1,5 Гц, 1H), 8,37 (д, J=1,1 Гц, 1H), 10,04 (с, 1H) |
| 283 |
2-47 |
 |
(300 МГц, ДМСО-d6) 3,78 (т, J=4,0 Гц, 2H), 4,43 (т, J=4,2 Гц, 2H), 4,56 (д, J=5,1 Гц, 2H), 5,42 (т, J=5,5 Гц, 1H), 6,48 (дд, J=8,1, 1,5 Гц, 1H), 6,80 (т, J=7,9 Гц, 1H), 7,05-7,06 (м, 2H), 7,47 (т, J=8,3 Гц, 1H), 7,67 (д, J=7,3 Гц, 1H), 7,95 (д, J=1,8 Гц, 2H), 8,37 (д, J=1,8 Гц, 1H), 10,42 (с, 1H) |
| 284 |
2-48 |
 |
(300 МГц, ДМСО-d6) : 1,39 (д, J=7,9 Гц, 3H), 3,78 (с, 2H), 4,41-4,42 (м, 2H), 4,82-4,84 (м, 1H), 6,46 (дд, J=8,1, 1,5 Гц, 1H), 6,80 (т, J=7,9 Гц, 1H), 7,04-7,05 (м, 1H), 7,35 (д, J=8,8 Гц, 2H), 7,86 (д, J=9,2 Гц, 2H), 7,97 (д, J=1,5 Гц, 1H), 8,40 (д, J=1,8 Гц, 1H), 10,33 (с, 1H) |
| 285 |
3 |
 |
(400 МГц, ДМСО-d6) : 5,04 (2H, с), 6,40-6,42 (1H, м), 7,04 (1H, дд, J=7,9, 3,9 Гц), 7,32 (1H, дд, J=7,9, 1,4 Гц), 7,38 (2H, д, J=8,3 Гц), 7,71 (1H, кв, J=4,2 Гц), 7,86 (2H, дд, J=12,3, 3,0 Гц), 8,32 (1H, дд, J=7,9, 1,4 Гц), 8,69 (1H, дд, J=4,6, 1,4 Гц), 10,51 (1H, с) |
| 286 |
4-01 |
 |
(400 МГц, ДМСО-d6) 3,50-3,55 (м, 1H), 3,69-3,77 (м, 1H), 3,96-4,00 (м, 1H), 4,17-4,19 (м, 1H), 4,60-4,67 (м, 1H), 5,08 (т, J=5,3 Гц, 1H), 6,43 (дд, J=8,9, 1,4 Гц, 1H), 6,81 (т, J=7,9 Гц, 1H), 7,03 (дд, J=7,9, 1,4 Гц, 1H), 7,33-7,40 (м, 3H), 7,88 (д, J=8,8 Гц, 2H), 8,07 (дд, J=7,9, 1,9 Гц, 1H), 8,47 (дд, J=4,6, 1,4 Гц, 1H), 10,39 (с, 1H) |
| 287 |
4-02 |
 |
(400 МГц, ДМСО-d6) 3,50-3,55 (м, 1H), 3,70-3,77 (м, 1H), 3,95-4,01 (м, 1H), 4,18-4,20 (м, 1H), 4,60-4,66 (м, 1H), 5,08 (т, J=5,3 Гц, 1H), 6,44 (дд, J=7,9, 1,6 Гц, 1H), 6,82 (т, J=7,9 Гц, 1H), 7,04 (дд, J=7,9, 1,6 Гц, 1H), 7,37 (дд, J=7,9, 4,6 Гц, 1H), 7,72 (д, J=8,8 Гц, 2H), 7,98 (д, J=8,8 Гц, 2H), 8,08 (дд, J=7,9, 1,4 Гц, 1H), 8,47 (дд, J=4,6, 1,4 Гц, 1H), 10,56 (с, 1H) |
| [Таблица 38] |
 |
прим. |
Химические соединения |
ЯМР |
| 288 |
4-03 |
 |
(400 МГц, ДМСО-d6) 3,47-3,56 (м, 1H), 3,69-3,75 (м, 1H), 3,95-4,02 (м, 1H), 4,16-4,19 (м, 1H), 4,61-4,64 (м, 1H), 5,07 (т, J=5,5 Гц, 1H), 6,42 (дд, J=8,1, 1,5 Гц, 1H), 6,81 (т, J=7,7 Гц, 1H), 7,03 (дд, J=7,3, 1,5 Гц, 1H), 7,34-7,38 (м, 3H), 7,87 (д, J=9,2 Гц, 2H), 8,07 (дд, J=7,9, 1,7 Гц, 1H), 8,46 (дд, J=4,6, 1,0 Гц, 1H), 10,37 (с, 1H) |
| 289 |
4-04 |
 |
(300 МГц, ДМСО-d6) 3,49-3,54 (м, 1H), 3,71-3,75 (м, 1H), 3,95-4,00 (м, 1H), 4,17-4,20 (м, 1H), 4,60-4,64 (м, 1H), 5,07 (т, J=5,3 Гц, 1H), 6,43 (дд, J=8,1, 1,5 Гц, 1H), 6,82 (т, J=7,9 Гц, 1H), 7,04 (дд, J=7,5, 1,7 Гц, 1H), 7,36 (дд, J=8,1, 4,8 Гц, 1H), 7,72 (д, J=8,8 Гц, 2H), 7,97 (д, J=8,1 Гц, 2H), 8,07 (дд, J=7,9, 1,7 Гц, 1H), 8,46 (дд, J=4,6, 1,7 Гц, 1H), 10,54 (с, 1H) |
| 290 |
4-05 |
 |
(400 МГц, ДМСО-d6) 3,43-3,49 (м, 1H), 3,59-3,64 (м, 1H), 4,11 (дд, J=11,1, 2,3 Гц, 1H), 4,48 (т, J=7,0 Гц, 1H), 4,58 (д, J=10,2 Гц, 1H), 5,14 (т, J=5,6 Гц, 1H), 6,93 (т, J=7,9 Гц, 1H), 7,17 (дд, J=7,4, 1,4 Гц, 1H), 7,31 (д, J=8,8 Гц, 1H), 7,36 (д, J=8,3 Гц, 2H), 7,44 (дд, J=8,3, 1,4 Гц, 1H), 7,79 (дд, J=9,0, 2,6 Гц, 1H), 7,85 (д, J=9,3 Гц, 2H), 8,32 (д, J=2,8 Гц, 1H), 10,38 (с, 1H) |
| 291 |
4-06 |
 |
(400 МГц, ДМСО-d6) 3,42-3,50 (м, 1H), 3,59-3,65 (м, 1H), 4,12 (дд, J=10,9, 2,6 Гц, 1H), 4,48 (т, J=7,0 Гц, 1H), 4,58 (д, J=10,7 Гц, 1H), 5,15 (т, J=5,6 Гц, 1H), 6,93 (т, J=7,9 Гц, 1H), 7,18 (дд, J=7,7, 1,6 Гц, 1H), 7,31 (д, J=9,3 Гц, 1H), 7,45 (дд, J=8,1, 1,6 Гц, 1H), 7,71 (д, J=8,8 Гц, 2H), 7,79 (дд, J=8,8, 2,8 Гц, 1H), 7,95 (д, J=8,3 Гц, 2H), 8,33 (д, J=2,8 Гц, 1H), 10,54 (с, 1H) |
| 292 |
4-07 |
 |
(400 МГц, ДМСО-d6) 3,42-3,49 (м, 1H), 3,62-3,67 (м, 1H), 4,08 (дд, J=11,1, 2,3 Гц, 1H), 4,40 (т, J=7,2 Гц, 1H), 4,59 (д, J=10,2 Гц, 1H), 5,14 (т, J=5,6 Гц, 1H), 6,89 (т, J=7,9 Гц, 1H), 7,10 (дд, J=7,9, 1,4 Гц, 1H), 7,21 (д, J=8,3 Гц, 1H), 7,32-7,37 (м, 3H), 7,55 (дд, J=8,8, 2,3 Гц, 1H), 7,86 (д, J=9,3 Гц, 2H), 8,16 (д, J=2,3 Гц, 1H), 10,37 (с, 1H) |
| 293 |
4-08 |
 |
(400 МГц, ДМСО-d6) 3,42-3,49 (м, 1H), 3,62-3,67 (м, 1H), 4,09 (дд, J=10,7, 2,3 Гц, 1H), 4,40 (т, J=7,2 Гц, 1H), 4,58 (д, J=10,7 Гц, 1H), 5,15 (т, J=5,6 Гц, 1H), 6,90 (т, J=7,9 Гц, 1H), 7,11 (дд, J=7,4, 1,4 Гц, 1H), 7,21 (д, J=8,3 Гц, 1H), 7,35 (дд, J=8,3, 1,4 Гц, 1H), 7,56 (дд, J=8,6, 2,6 Гц, 1H), 7,71 (д, J=8,3 Гц, 2H), 7,96 (д, J=8,3 Гц, 2H), 8,16 (д, J=2,3 Гц, 1H), 10,54 (с, 1H) |
| 294 |
4-09 |
 |
(400 МГц, ДМСО-d6) 1,27 (д, J=6,0 Гц, 6H), 3,48-3,55 (м, 1H), 3,70-3,75 (м, 1H), 3,96-3,99 (м, 1H), 4,17 (дд, J=10,7, 2,3 Гц, 1H), 4,50-4,59 (м, 1H), 4,63 (дд, J=11,1, 1,9 Гц, 1H), 5,09 (т, J=5,6 Гц, 1H), 6,41 (дд, J=8,1, 1,6 Гц, 1H), 6,80 (т, J=7,9 Гц, 1H), 7,02 (дд, J=7,7, 1,6 Гц, 1H), 7,15 (т, J=9,3 Гц, 1H), 7,36 (кв, J=4,2 Гц, 1H), 7,41-7,44 (м, 1H), 7,74 (дд, J=13,7, 2,6 Гц, 1H), 8,07 (дд, J=8,1, 1,6 Гц, 1H), 8,46 (дд, J=4,6, 1,4 Гц, 1H), 10,21 (с, 1H) |
| [Таблица 39] |
 |
прим. |
Химические соединения |
ЯМР |
| 295 |
4-10 |
 |
(400 МГц, ДМСО-d6) 1,52-1,68 (м, 6H), 2,92 (т, J=5,1 Гц, 4H), 3,51 (тд, J=10,3, 6,2 Гц, 1H), 3,70-3,75 (м, 1H), 3,95-3,99 (м, 1H), 4,17 (дд, J=10,7, 2,3 Гц, 1H), 4,62 (дд, J=10,7, 1,9 Гц, 1H), 5,09 (т, J=5,6 Гц, 1H), 6,41 (дд, J=7,9, 1,4 Гц, 1H), 6,80 (т, J=7,9 Гц, 1H), 7,01 (дт, J=11,3, 3,1 Гц, 2H), 7,36 (кв, J=4,2 Гц, 1H), 7,41 (дд, J=8,6, 1,6 Гц, 1H), 7,66 (дд, J=14,8, 2,8 Гц, 1H), 8,07 (дд, J=8,1, 1,6 Гц, 1H), 8,45-8,47 (м, 1H), 10,18 (с, 1H) |
| 296 |
4-11 |
 |
(400 МГц, ДМСО-d6) 3,47-3,55 (м, 1H), 3,70-3,76 (м, 1H), 3,96-4,00 (м, 1H), 4,15-4,20 (м, 1H), 4,63 (дд, J=10,9, 1,6 Гц, 1H), 5,09 (т, J=5,3 Гц, 1H), 6,44 (дд, J=8,1, 1,6 Гц, 1H), 6,82 (т, J=7,9 Гц, 1H), 7,03 (дд, J=7,4, 1,4 Гц, 1H), 7,36 (кв, J=4,2 Гц, 1H), 7,58 (дд, J=9,0, 1,2 Гц, 1H), 7,79 (дд, J=8,8, 2,3 Гц, 1H), 8,08 (дд, J=7,9, 1,9 Гц, 1H), 8,16 (д, J=2,8 Гц, 1H), 8,46 (кв, J=2,2 Гц, 1H), 10,54 (с, 1H) |
| 297 |
4-12 |
 |
(400 МГц, ДМСО-d6) 2,74 (с, 6H), 3,47-3,55 (м, 1H), 3,70-3,75 (м, 1H), 3,96-3,99 (м, 1H), 4,17 (дд, J=10,9, 2,1 Гц, 1H), 4,63 (дд, J=11,1, 1,9 Гц, 1H), 5,09 (т, J=5,6 Гц, 1H), 6,41 (дд, J=8,1, 1,6 Гц, 1H), 6,80 (т, J=7,7 Гц, 1H), 6,96 (дд, J=10,0, 9,0 Гц, 1H), 7,02 (дд, J=7,4, 1,4 Гц, 1H), 7,36 (кв, J=4,2 Гц, 1H), 7,40 (дд, J=8,8, 1,9 Гц, 1H), 7,66 (дд, J=15,5, 2,6 Гц, 1H), 8,07 (дд, J=8,1, 1,6 Гц, 1H), 8,46 (дд, J=4,9, 1,6 Гц, 1H), 10,15 (с, 1H) |
| 298 |
4-13 |
 |
(400 МГц, ДМСО-d6) 2,20 (с, 3H), 3,48-3,54 (м, 1H), 3,70-3,74 (м, 1H), 3,95-3,99 (м, 1H), 4,17 (дд, J=10,7, 2,3 Гц, 1H), 4,62 (дд, J=11,1, 1,9 Гц, 1H), 5,09 (т, J=5,3 Гц, 1H), 6,42 (дд, J=8,1, 1,6 Гц, 1H), 6,80 (т, J=7,9 Гц, 1H), 7,02 (дд, J=7,7, 1,6 Гц, 1H), 7,24 (т, J=8,8 Гц, 1H), 7,36 (кв, J=4,2 Гц, 2H), 7,40 (дд, J=8,1, 2,1 Гц, 2H), 7,70 (дд, J=12,3, 2,1 Гц, 1H), 8,07 (дд, J=7,9, 1,9 Гц, 1H), 8,46 (кв, J=2,2 Гц, 1H), 10,29 (с, 1H) |
| 299 |
4-14 |
 |
(400 МГц, ДМСО-d6) 0,85 (с, 9H), 0,95-1,12 (м, 3H), 1,26 (кв, J=12,2 Гц, 2H), 1,77 (д, J=10,7 Гц, 2H), 1,96 (дд, J=12,8, 3,0 Гц, 2H), 3,41-3,49 (м, 1H), 3,61-3,72 (м, 2H), 3,95-3,99 (м, 1H), 4,12 (дд, J=10,9, 2,6 Гц, 1H), 4,61 (дд, J=10,9, 1,6 Гц, 1H), 5,09 (дд, J=6,0, 5,1 Гц, 1H), 6,34 (дд, J=8,1, 1,6 Гц, 1H), 6,74 (т, J=7,9 Гц, 1H), 7,04 (дд, J=7,7, 1,6 Гц, 1H), 7,34 (кв, J=4,2 Гц, 1H), 7,93 (д, J=7,9 Гц, 1H), 8,05 (дд, J=7,9, 1,9 Гц, 1H), 8,44 (дд, J=4,6, 1,4 Гц, 1H) |
| 300 |
4-15 |
 |
(400 МГц, ДМСО-d6) 0,87 (с, 8H), 1,23-1,40 (м, 4H), 1,89-1,99 (м, 4H), 3,08 (с, 2H), 3,16-3,21 (м, 1H), 3,43-3,49 (м, 1H), 3,66-3,77 (м, 2H), 3,95-3,99 (м, 1H), 4,12 (дд, J=11,1, 2,3 Гц, 1H), 4,61 (дд, J=11,1, 1,9 Гц, 1H), 5,09 (т, J=5,6 Гц, 1H), 6,35 (дд, J=8,1, 1,6 Гц, 1H), 6,74 (т, J=7,9 Гц, 1H), 7,04 (дд, J=7,7, 1,6 Гц, 1H), 7,34 (тд, J=5,1, 2,6 Гц, 1H), 7,97 (д, J=7,9 Гц, 1H), 8,05 (дд, J=8,1, 1,6 Гц, 1H), 8,44 (дд, J=4,6, 1,4 Гц, 1H) |
| 301 |
4-16 |
 |
(400 МГц, ДМСО-d6) 3,48-3,55 (м, 1H), 3,70-3,75 (м, 1H), 3,96-3,99 (м, 1H), 4,17 (дд, J=10,9, 2,1 Гц, 1H), 4,62 (дд, J=10,9, 1,6 Гц, 1H), 5,09 (т, J=5,6 Гц, 1H), 6,42 (дд, J=8,3, 1,4 Гц, 1H), 6,81 (т, J=7,9 Гц, 1H), 7,02 (дд, J=7,4, 1,4 Гц, 1H), 7,36 (кв, J=4,2 Гц, 1H), 7,41 (дт, J=9,6, 2,6 Гц, 2H), 7,80 (дд, J=7,0, 1,9 Гц, 2H), 8,07 (дд, J=7,9, 1,9 Гц, 1H), 8,46 (кв, J=2,2 Гц, 1H), 10,33 (с, 1H) |
| [Таблица 40] |
 |
прим. |
Химические соединения |
ЯМР |
| 302 |
4-17 |
 |
(400 МГц, ДМСО-d6) 1,20 (д, J=7,0 Гц, 6H), 2,83-2,90 (м, 1H), 3,48-3,55 (м, 1H), 3,70-3,75 (м, 1H), 3,95-4,00 (м, 1H), 4,18 (дд, J=10,7, 2,3 Гц, 1H), 4,63 (дд, J=10,7, 1,9 Гц, 1H), 5,09 (т, J=5,6 Гц, 1H), 6,41 (дд, J=8,1, 1,6 Гц, 1H), 6,80 (т, J=7,9 Гц, 1H), 7,03 (дд, J=7,7, 1,6 Гц, 1H), 7,21 (д, J=8,8 Гц, 2H), 7,36 (кв, J=4,2 Гц, 1H), 7,66 (д, J=8,8 Гц, 2H), 8,07 (дд, J=7,9, 1,4 Гц, 1H), 8,46 (дд, J=4,6, 1,4 Гц, 1H), 10,10 (с, 1H) |
| 303 |
4-18 |
 |
(400 МГц, ДМСО-d6) 3,48-3,54 (м, 1H), 3,70-3,76 (м, 1H), 3,96-4,00 (м, 1H), 4,17 (дд, J=10,7, 2,3 Гц, 1H), 4,63 (дд, J=10,9, 1,6 Гц, 1H), 5,09 (т, J=5,6 Гц, 1H), 6,44 (дд, J=8,1, 1,6 Гц, 1H), 6,82 (т, J=7,9 Гц, 1H), 7,04 (дд, J=7,4, 1,4 Гц, 1H), 7,36 (кв, J=4,2 Гц, 1H), 7,53 (т, J=9,7 Гц, 1H), 8,01-8,05 (м, 1H), 8,07 (дд, J=8,1, 1,6 Гц, 1H), 8,28 (дд, J=6,5, 2,3 Гц, 1H), 8,46 (дд, J=4,6, 1,4 Гц, 1H), 10,54 (с, 1H) |
| 304 |
4-19 |
 |
(400 МГц, ДМСО-d6) 3,47-3,54 (м, 1H), 3,70-3,75 (м, 1H), 3,96-3,99 (м, 1H), 4,17 (дд, J=10,7, 2,3 Гц, 1H), 4,63 (дд, J=10,9, 1,6 Гц, 1H), 5,09 (дд, J=6,0, 5,1 Гц, 1H), 6,43 (дд, J=8,1, 1,6 Гц, 1H), 6,82 (т, J=7,9 Гц, 1H), 7,03 (дд, J=7,7, 1,6 Гц, 1H), 7,36 (кв, J=4,2 Гц, 1H), 7,64 (дд, J=8,8, 2,3 Гц, 1H), 7,74 (д, J=8,8 Гц, 1H), 8,07 (дд, J=7,9, 1,4 Гц, 1H), 8,14 (д, J=2,3 Гц, 1H), 8,46 (дд, J=4,6, 1,4 Гц, 1H), 10,47 (с, 1H) |
| 305 |
4-20 |
 |
(400 МГц, ДМСО-d6) 2,63 (с, 6H), 3,48-3,54 (м, 1H), 3,70-3,75 (м, 1H), 3,95-4,00 (м, 1H), 4,17 (дд, J=10,9, 2,1 Гц, 1H), 4,62 (дд, J=10,7, 1,9 Гц, 1H), 5,08 (т, J=5,6 Гц, 1H), 6,42 (дд, J=7,9, 1,4 Гц, 1H), 6,81 (т, J=7,9 Гц, 1H), 7,03 (дд, J=7,7, 1,6 Гц, 1H), 7,36 (кв, J=4,2 Гц, 1H), 7,57 (д, J=8,8 Гц, 1H), 7,95 (дд, J=8,8, 2,3 Гц, 1H), 8,07 (дд, J=7,9, 1,4 Гц, 1H), 8,14 (д, J=2,3 Гц, 1H), 8,46 (кв, J=2,2 Гц, 1H), 10,38 (с, 1H) |
| 306 |
4-21 |
 |
(400 МГц, ДМСО-d6) 1,28 (д, J=6,0 Гц, 6H), 3,48-3,55 (м, 1H), 3,70-3,75 (м, 1H), 3,96-4,00 (м, 1H), 4,17 (дд, J=10,7, 2,3 Гц, 1H), 4,63 (дд, J=11,1, 1,9 Гц, 1H), 4,72-4,78 (м, 1H), 5,09 (т, J=5,6 Гц, 1H), 6,42 (дд, J=7,9, 1,4 Гц, 1H), 6,81 (т, J=7,9 Гц, 1H), 7,03 (дд, J=7,7, 1,6 Гц, 1H), 7,31 (д, J=8,8 Гц, 1H), 7,36 (кв, J=4,2 Гц, 1H), 7,90 (дд, J=9,0, 2,6 Гц, 1H), 8,07 (дд, J=7,9, 1,9 Гц, 1H), 8,10 (д, J=2,3 Гц, 1H), 8,46 (кв, J=2,2 Гц, 1H), 10,28 (с, 1H) |
| 307 |
4-22 |
 |
(400 МГц, ДМСО-d6) 1,50-1,55 (м, 2H), 1,59-1,66 (м, 4H), 2,79 (т, J=5,1 Гц, 4H), 3,48-3,55 (м, 1H), 3,70-3,75 (м, 1H), 3,95-4,00 (м, 1H), 4,17 (дд, J=10,9, 2,1 Гц, 1H), 4,62 (дд, J=10,9, 1,6 Гц, 1H), 5,08 (т, J=5,3 Гц, 1H), 6,42 (дд, J=8,1, 1,6 Гц, 1H), 6,81 (т, J=7,7 Гц, 1H), 7,02 (дд, J=7,9, 1,4 Гц, 1H), 7,36 (кв, J=4,2 Гц, 1H), 7,52 (д, J=8,8 Гц, 1H), 7,95 (дд, J=8,8, 2,3 Гц, 1H), 8,07 (дд, J=7,9, 1,4 Гц, 1H), 8,14 (д, J=2,3 Гц, 1H), 8,46 (дд, J=4,6, 1,4 Гц, 1H), 10,38 (с, 1H) |
| 308 |
4-23 |
 |
(400 МГц, ДМСО-d6) 1,34 (т, J=7,0 Гц, 3H), 3,48-3,54 (м, 1H), 3,70-3,75 (м, 1H), 3,96-3,99 (м, 1H), 4,08 (кв, J=7,0 Гц, 2H), 4,17 (дд, J=10,7, 2,3 Гц, 1H), 4,63 (дд, J=10,7, 1,9 Гц, 1H), 5,09 (т, J=5,8 Гц, 1H), 6,41 (дд, J=8,1, 1,6 Гц, 1H), 6,80 (т, J=7,9 Гц, 1H), 7,02 (дд, J=7,4, 1,4 Гц, 1H), 7,14 (т, J=9,5 Гц, 1H), 7,36 (кв, J=4,2 Гц, 1H), 7,42-7,45 (м, 1H), 7,74 (дд, J=13,7, 2,6 Гц, 1H), 8,07 (дд, J=7,9, 1,4 Гц, 1H), 8,46 (кв, J=2,2 Гц, 1H), 10,20 (с, 1H) |
| [Таблица 41] |
 |
прим. |
Химические соединения |
ЯМР |
| 309 |
4-24 |
 |
(400 МГц, ДМСО-d6) 3,48-3,55 (м, 1H), 3,70-3,75 (м, 1H), 3,88 (с, 3H), 3,96-4,00 (м, 1H), 4,17 (дд, J=10,7, 2,3 Гц, 1H), 4,63 (дд, J=10,9, 1,6 Гц, 1H), 5,09 (т, J=5,6 Гц, 1H), 6,42 (дд, J=8,1, 1,6 Гц, 1H), 6,81 (т, J=7,9 Гц, 1H), 7,04 (дд, J=7,4, 1,4 Гц, 1H), 7,28 (д, J=9,3 Гц, 1H), 7,36 (кв, J=4,2 Гц, 1H), 7,95 (дд, J=9,0, 2,6 Гц, 1H), 8,07 (дд, J=7,9, 1,4 Гц, 1H), 8,12 (д, J=2,8 Гц, 1H), 8,46 (дд, J=4,9, 1,6 Гц, 1H), 10,29 (с, 1H) |
| 310 |
4-25 |
 |
(400 МГц, ДМСО-D6) : 3,49-3,52 (м, 1H), 3,57-3,59 (м, 1H), 3,80-3,85 (м, 1H), 3,89 (с, 3H), 4,17 (д, J=9,3 Гц, 1H), 4,56 (д, J=8,8 Гц, 1H), 4,98 (т, J=5,6 Гц, 1H), 6,24 (дд, J=8,1, 1,6 Гц, 1H), 6,77 (т, J=7,9 Гц, 1H), 6,93 (дд, J=7,9, 1,4 Гц, 1H), 7,70 (д, J=8,8 Гц, 2H), 7,79 (д, J=2,8 Гц, 1H), 7,96 (д, J=8,3 Гц, 2H), 8,24 (д, J=2,8 Гц, 1H), 10,53 (с, 1H) |
| 311 |
4-26 |
 |
(400 МГц, ДМСО-D6) : 3,48-3,50 (м, 1H), 3,56-3,59 (м, 1H), 3,78-3,81 (м, 1H), 3,89 (с, 3H), 4,16 (д, J=8,8 Гц, 1H), 4,56 (д, J=8,3 Гц, 1H), 4,97 (т, J=5,6 Гц, 1H), 6,23 (дд, J=8,1, 1,6 Гц, 1H), 6,76 (т, J=7,9 Гц, 1H), 6,91 (дд, J=7,7, 1,6 Гц, 1H), 7,34 (д, J=8,8 Гц, 2H), 7,79 (д, J=2,8 Гц, 1H), 7,85 (д, J=9,3 Гц, 2H), 8,24 (д, J=2,8 Гц, 1H), 10,36 (с, 1H) |
| 312 |
4-27 |
 |
(400 МГц, ДМСО-d6) : 2,24 (с, 3H), 3,43-3,45 (м, 1H), 3,57-3,78 (м, 1H), 4,08 (дд, J=10,9, 2,6 Гц, 1H), 4,38 (т, J=7,4 Гц, 1H), 4,58 (д, J=10,2 Гц, 1H), 5,14 (т, J=5,6 Гц, 1H), 6,90 (т, J=7,9 Гц, 1H), 7,13 (дд, J=7,7, 1,6 Гц, 1H), 7,21 (д, J=8,3 Гц, 1H), 7,36 (дд, J=8,1, 1,6 Гц, 1H), 7,55 (дд, J=8,3, 1,9 Гц, 1H), 7,91 (д, J=8,8 Гц, 1H), 8,15 (т, J=1,2 Гц, 1H), 8,45 (д, J=6,5 Гц, 1H), 9,02 (д, J=2,3 Гц, 1H), 10,77 (с, 1H) |
| 313 |
4-28 |
 |
(400 МГц, ДМСО-d6) : 2,23 (с, 3H), 3,42-3,45 (м, 1H), 3,61-3,67 (м, 1H), 3,87 (с, 3H), 4,06 (дд, J=10,9, 2,6 Гц, 1H), 4,39 (т, J=7,4 Гц, 1H), 4,58 (д, J=9,7 Гц, 1H), 5,14 (с, 1H), 6,88 (т, J=7,9 Гц, 1H), 7,10 (дд, J=7,7, 1,6 Гц, 1H), 7,20 (д, J=8,3 Гц, 1H), 7,26 (д, J=9,3 Гц, 1H), 7,32 (дд, J=8,3, 1,4 Гц, 1H), 7,54 (дд, J=9,0, 2,6 Гц, 1H), 7,92 (дд, J=9,3, 2,3 Гц, 1H), 8,12 (дд, J=21,6, 2,6 Гц, 2H), 10,29 (с, 1H) |
| 314 |
4-29 |
 |
(400 МГц, ДМСО-d6) : 2,23 (с, 3H), 2,82 (т, J=4,4 Гц, 4H), 3,41-3,45 (м, 1H), 3,59-3,65 (м, 1H), 3,69 (т, J=4,4 Гц, 4H), 3,99-4,07 (м, 1H), 4,38 (т, J=7,4 Гц, 1H), 4,56 (д, J=10,2 Гц, 1H), 5,13 (т, J=5,3 Гц, 1H), 6,88 (т, J=7,9 Гц, 1H), 7,08 (дд, J=7,7, 1,6 Гц, 1H), 7,20 (д, J=8,3 Гц, 1H), 7,32 (дд, J=8,1, 1,6 Гц, 1H), 7,55-7,58 (м, 2H), 7,94 (дд, J=8,6, 2,6 Гц, 1H), 8,15 (д, J=2,3 Гц, 2H), 10,40 (с, 1H) |
| 315 |
4-30 |
 |
(300 МГц, ДМСО-d6) : 2,24 (с, 3H), 3,42-3,47 (м, 1H), 3,60-3,67 (м, 1H), 3,99-4,10 (м, 1H), 4,36-4,38 (м, 1H), 4,58 (д, J=9,9 Гц, 1H), 5,13 (т, J=5,5 Гц, 1H), 6,90 (т, J=7,9 Гц, 1H), 7,10 (дд, J=7,7, 1,5 Гц, 1H), 7,21 (д, J=8,4 Гц, 1H), 7,36 (дд, J=8,3, 1,7 Гц, 1H), 7,56 (дд, J=8,6, 2,4 Гц, 1H), 7,66 (д, J=9,5 Гц, 1H), 7,76 (т, J=8,4 Гц, 1H), 7,96 (д, J=13,9 Гц, 1H), 8,16 (д, J=2,2 Гц, 1H), 10,73 (с, 1H) |
| [Таблица 42] |
 |
прим. |
Химические соединения |
ЯМР |
| 316 |
4-31 |
 |
(300 МГц, ДМСО-d6) : 2,25 (с, 3H), 3,44 (т, J=9,9 Гц, 1H), 3,62-3,65 (м, 1H), 4,07-4,09 (м, 1H), 4,39-4,41 (м, 1H), 4,58 (д, J=9,9 Гц, 1H), 6,90 (т, J=7,9 Гц, 1H), 7,10 (дд, J=7,3, 1,5 Гц, 1H), 7,21 (д, J=8,4 Гц, 1H), 7,35 (дд, J=8,1, 1,5 Гц, 1H), 7,56 (дд, J=9,0, 1,3 Гц, 2H), 7,77 (дд, J=9,0, 2,4 Гц, 1H), 8,15 (дд, J=8,3, 2,4 Гц, 2H), 10,51 (с, 1H) |
| 317 |
4-32 |
 |
(300 МГц, ДМСО-d6) : 2,24 (с, 3H), 3,44 (т, J=9,9 Гц, 1H), 3,61-3,65 (м, 1H), 4,07 (д, J=5,3 Гц, 1H), 4,39 (т, J=6,8 Гц, 1H), 4,59 (д, J=9,9 Гц, 1H), 6,89 (т, J=7,9 Гц, 1H), 7,10 (дд, J=7,7, 1,5 Гц, 1H), 7,21 (д, J=8,4 Гц, 1H), 7,34 (дд, J=8,1, 1,5 Гц, 1H), 7,54-7,71 (м, 3H), 8,14 (дд, J=10,3, 2,2 Гц, 2H), 10,45 (с, 1H) |
| 318 |
4-33 |
 |
(400 МГц, ДМСО-d6) 1,00 (д, J=6,5 Гц, 6H), 2,00-2,09 (м, 1H), 3,48-3,55 (м, 1H), 3,70-3,75 (м, 1H), 3,87 (д, J=6,0 Гц, 2H), 3,96-4,00 (м, 1H), 4,17 (дд, J=10,7, 2,3 Гц, 1H), 4,63 (дд, J=11,1, 1,9 Гц, 1H), 5,09 (т, J=5,3 Гц, 1H), 6,42 (дд, J=8,1, 1,6 Гц, 1H), 6,81 (т, J=7,9 Гц, 1H), 7,04 (дд, J=7,7, 1,6 Гц, 1H), 7,24 (д, J=8,8 Гц, 1H), 7,36 (кв, J=4,2 Гц, 1H), 7,92 (дд, J=8,8, 2,3 Гц, 1H), 8,07 (дд, J=8,1, 1,6 Гц, 1H), 8,12 (д, J=2,8 Гц, 1H), 8,46 (дд, J=4,9, 1,6 Гц, 1H), 10,28 (с, 1H) |
| 319 |
4-34 |
 |
(400 МГц, ДМСО-d6) 3,48-3,54 (м, 1H), 3,70-3,75 (м, 1H), 3,95-4,00 (м, 1H), 4,17 (дд, J=10,7, 2,3 Гц, 1H), 4,63 (дд, J=10,9, 1,6 Гц, 1H), 5,09 (т, J=5,6 Гц, 1H), 6,43 (дд, J=7,9, 1,4 Гц, 1H), 6,82 (т, J=7,9 Гц, 1H), 7,03 (дд, J=7,7, 1,6 Гц, 1H), 7,36 (кв, J=4,3 Гц, 1H), 7,61 (д, J=8,8 Гц, 1H), 7,71 (дд, J=8,8, 2,3 Гц, 1H), 8,07 (дд, J=7,9, 1,4 Гц, 1H), 8,15 (д, J=2,3 Гц, 1H), 8,46 (кв, J=2,2 Гц, 1H), 10,48 (с, 1H) |
| 320 |
4-35 |
 |
(400 МГц, ДМСО-d6) 3,47-3,55 (м, 1H), 3,70-3,76 (м, 1H), 3,96-4,00 (м, 1H), 4,17 (дд, J=10,7, 2,3 Гц, 1H), 4,62 (дд, J=11,1, 1,9 Гц, 1H), 5,09 (т, J=5,6 Гц, 1H), 6,44 (дд, J=7,9, 1,4 Гц, 1H), 6,82 (т, J=7,7 Гц, 1H), 7,03 (дд, J=7,4, 1,4 Гц, 1H), 7,36 (кв, J=4,2 Гц, 1H), 7,71 (д, J=8,8 Гц, 1H), 8,03 (дд, J=8,8, 2,3 Гц, 1H), 8,08 (дд, J=7,9, 1,9 Гц, 1H), 8,37 (д, J=2,3 Гц, 1H), 8,46 (дд, J=4,6, 1,4 Гц, 1H), 10,62 (с, 1H) |
| 321 |
4-36 |
 |
(400 МГц, ДМСО-d6) 3,47-3,55 (м, 1H), 3,70-3,75 (м, 1H), 3,96-3,99 (м, 1H), 4,17 (дд, J=10,7, 2,3 Гц, 1H), 4,62 (дд, J=10,9, 1,6 Гц, 1H), 5,09 (т, J=5,6 Гц, 1H), 6,43 (дд, J=8,1, 1,6 Гц, 1H), 6,82 (т, J=7,9 Гц, 1H), 7,02 (дд, J=7,4, 1,4 Гц, 1H), 7,36 (кв, J=4,2 Гц, 1H), 7,50 (дд, J=8,8, 1,9 Гц, 1H), 7,67 (т, J=8,3 Гц, 1H), 7,92 (дд, J=11,6, 2,3 Гц, 1H), 8,07 (дд, J=8,1, 1,6 Гц, 1H), 8,46 (дд, J=4,6, 1,4 Гц, 1H), 10,52 (с, 1H) |
| 322 |
4-37 |
 |
(300 МГц, ДМСО-d6) : 2,24 (с, 3H), 3,40-3,49 (м, 1H), 3,60-3,67 (м, 1H), 4,05-4,09 (м, 1H), 4,39 (т, J=7,2 Гц, 1H), 4,58 (д, J=10,3 Гц, 1H), 5,13 (т, J=5,5 Гц, 1H), 6,90 (т, J=7,9 Гц, 1H), 7,11 (дд, J=7,7, 1,5 Гц, 1H), 7,21 (д, J=8,4 Гц, 1H), 7,35 (дд, J=8,1, 1,5 Гц, 1H), 7,56 (дд, J=8,4, 2,2 Гц, 1H), 7,71 (д, J=8,8 Гц, 1H), 8,00 (дд, J=8,6, 2,4 Гц, 1H), 8,16 (д, J=2,2 Гц, 1H), 8,35 (д, J=2,6 Гц, 1H), 10,60 (с, 1H) |
| [Таблица 43] |
 |
прим. |
Химические соединения |
ЯМР |
| 323 |
4-38 |
 |
(300 МГц, ДМСО-d6) : 1,28 (д, J=3,1 Гц, 6H), 2,24 (с, 3H), 3,45 (т, J=10,3 Гц, 1H), 3,62-3,65 (м, 1H), 4,07 (д, J=10,3 Гц, 1H), 4,38-4,41 (м, 1H), 4,59 (д, J=10,6 Гц, 1H), 4,74-4,76 (м, 1H), 6,88 (т, J=7,3 Гц, 1H), 7,11 (д, J=7,7 Гц, 1H), 7,21 (д, J=8,1 Гц, 1H), 7,31 (т, J=8,4 Гц, 2H), 7,55 (д, J=8,4 Гц, 1H), 7,88 (д, J=9,2 Гц, 1H), 8,12 (д, J=22,7 Гц, 2H), 10,25 (с, 1H) |
| 324 |
4-39 |
 |
(400 МГц, ДМСО-d6) 2,84 (т, J=4,4 Гц, 4H), 3,48-3,54 (м, 1H), 3,68-3,75 (м, 5H), 3,95-4,00 (м, 1H), 4,17 (дд, J=10,9, 2,1 Гц, 1H), 4,62 (дд, J=10,7, 1,9 Гц, 1H), 5,08 (т, J=5,3 Гц, 1H), 6,43 (дд, J=8,1, 1,6 Гц, 1H), 6,81 (т, J=7,9 Гц, 1H), 7,02 (дд, J=7,4, 1,4 Гц, 1H), 7,36 (кв, J=4,2 Гц, 1H), 7,60 (д, J=8,8 Гц, 1H), 7,98 (дд, J=8,8, 2,3 Гц, 1H), 8,07 (дд, J=7,9, 1,4 Гц, 1H), 8,18 (д, J=2,8 Гц, 1H), 8,46 (дд, J=4,6, 1,4 Гц, 1H), 10,42 (с, 1H) |
| 325 |
4-40 |
 |
(300 МГц, ДМСО-d6) : 2,25 (с, 3H), 3,44-3,49 (м, 1H), 3,65-3,67 (м, 1H), 4,29-4,31 (м, 1H), 4,45-4,48 (м, 1H), 4,82 (д, J=10,3 Гц, 1H), 5,19 (т, J=5,3 Гц, 1H), 6,99 (т, J=7,9 Гц, 1H), 7,22 (д, J=8,4 Гц, 1H), 7,44 (дд, J=8,1, 1,5 Гц, 1H), 7,55-7,62 (м, 2H), 7,80 (д, J=8,8 Гц, 1H), 8,01 (д, J=1,8 Гц, 1H), 8,17 (д, J=2,2 Гц, 1H), 8,72 (д, J=8,8 Гц, 1H), 10,77 (с, 1H) |
| 326 |
4-41 |
 |
(300 МГц, ДМСО-d6) 2,16 (с, 3H), 3,37 (ушир. с, 1H), 3,50 (т, J=9,7 Гц, 1H), 3,65 (ушир. с, 1H), 3,96 (д, J=2,9 Гц, 1H), 4,24 (дд, J=10,6, 2,2 Гц, 1H), 4,60 (дд, J=11,0, 2,2 Гц, 1H), 6,18 (дд, J=8,1, 1,5 Гц, 1H), 6,78 (т, J=7,9 Гц, 1H), 6,95 (дд, J=7,7, 1,5 Гц, 1H), 7,29 (дд, J=7,7, 4,8 Гц, 1H), 7,36 (д, J=8,4 Гц, 2H), 7,79 (дд, J=7,7, 1,1 Гц, 1H), 7,87 (д, J=8,8 Гц, 2H), 8,38 (дд, J=4,6, 1,7 Гц, 1H), 10,35 (с, 1H) |
| 327 |
4-42 |
 |
(300 МГц, ДМСО-d6) 2,16 (с, 3H), 3,50 (т, J=9,7 Гц, 1H), 3,65 (с, 1H), 3,96 (д, J=2,9 Гц, 1H), 4,24 (дд, J=10,6, 2,2 Гц, 1H), 4,60 (дд, J=11,0, 2,2 Гц, 1H), 6,18 (дд, J=8,1, 1,5 Гц, 1H), 6,78 (т, J=7,9 Гц, 1H), 6,95 (дд, J=7,7, 1,5 Гц, 1H), 7,29 (дд, J=7,7, 4,8 Гц, 1H), 7,36 (д, J=8,4 Гц, 2H), 7,79 (дд, J=7,7, 1,1 Гц, 1H), 7,87 (д, J=8,8 Гц, 2H), 8,38 (дд, J=4,6, 1,7 Гц, 1H), 10,35 (с, 1H) |
| 328 |
4-43 |
 |
(400 МГц, ДМСО-d6) 1,30 (с, 9H), 3,47-3,55 (м, 1H), 3,69-3,75 (м, 1H), 3,95-4,00 (м, 1H), 4,16 (дд, J=10,7, 2,3 Гц, 1H), 4,62 (дд, J=10,7, 1,9 Гц, 1H), 5,08 (т, J=5,3 Гц, 1H), 6,42 (дд, J=8,3, 1,4 Гц, 1H), 6,80 (т, J=7,9 Гц, 1H), 7,01 (дд, J=7,7, 1,6 Гц, 1H), 7,12 (т, J=9,0 Гц, 1H), 7,36 (кв, J=4,2 Гц, 1H), 7,41 (дт, J=8,8, 1,2 Гц, 1H), 7,77 (дд, J=13,0, 2,8 Гц, 1H), 8,07 (дд, J=7,9, 1,9 Гц, 1H), 8,46 (дд, J=4,6, 1,4 Гц, 1H), 10,30 (с, 1H) |
| 329 |
4-44 |
 |
(400 МГц, ДМСО-d6) 0,99 (д, J=6,5 Гц, 6H), 1,98-2,08 (м, 1H), 3,47-3,55 (м, 1H), 3,70-3,75 (м, 1H), 3,80 (д, J=6,5 Гц, 2H), 3,96-3,99 (м, 1H), 4,17 (дд, J=10,7, 2,3 Гц, 1H), 4,63 (дд, J=10,7, 1,9 Гц, 1H), 5,09 (т, J=5,6 Гц, 1H), 6,41 (дд, J=7,9, 1,4 Гц, 1H), 6,80 (т, J=7,9 Гц, 1H), 7,02 (дд, J=7,7, 1,6 Гц, 1H), 7,14 (т, J=9,3 Гц, 1H), 7,36 (кв, J=4,2 Гц, 1H), 7,44 (дд, J=8,8, 1,4 Гц, 1H), 7,74 (дд, J=13,7, 2,6 Гц, 1H), 8,07 (дд, J=7,9, 1,4 Гц, 1H), 8,46 (дд, J=4,6, 1,4 Гц, 1H), 10,20 (с, 1H) |
| [Таблица 44] |
 |
прим. |
Химические соединения |
ЯМР |
| 330 |
4-45 |
 |
(300 МГц, ДМСО-d6) : 1,00 (д, J=7,0 Гц, 6H), 2,00-2,09 (м, 1H), 2,24 (с, 3H), 3,45 (т, J=9,9 Гц, 1H), 3,61-3,65 (м, 1H), 3,87 (д, J=6,2 Гц, 2H), 4,07 (дд, J=11,0, 2,2 Гц, 1H), 4,40 (т, J=7,2 Гц, 1H), 4,59 (д, J=10,6 Гц, 1H), 6,88 (т, J=7,9 Гц, 1H), 7,12 (дд, J=7,3, 1,5 Гц, 1H), 7,22 (т, J=8,1 Гц, 2H), 7,33 (дд, J=8,4, 1,5 Гц, 1H), 7,56 (дд, J=8,4, 2,2 Гц, 1H), 7,89 (дд, J=9,0, 2,4 Гц, 1H), 8,13 (дд, J=19,4, 2,2 Гц, 2H), 10,25 (с, 1H) |
| 331 |
4-46 |
 |
(300 МГц, ДМСО-d6) : 1,27 (д, J=5,9 Гц, 6H), 2,24 (с, 3H), 3,42-3,46 (м, 1H), 3,60-3,64 (м, 1H), 4,06 (д, J=8,4 Гц, 1H), 4,38-4,41 (м, 1H), 4,53-4,58 (м, 2H), 5,11-5,14 (м, 1H), 6,88 (т, J=7,9 Гц, 1H), 7,12-7,17 (м, 4H), 7,32-7,38 (м, 2H), 7,55 (дд, J=8,4, 2,2 Гц, 1H), 7,72 (дд, J=13,8, 2,4 Гц, 1H), 8,16 (с, 1H), 10,18 (с, 1H) |
| 332 |
4-47 |
 |
(300 МГц, ДМСО-d6) : 2,24 (с, 3H), 2,96 (т, J=4,8 Гц, 4H), 3,43-3,47 (м, 1H), 3,63 (с, 1H), 3,74 (т, J=4,6 Гц, 4H), 4,06 (дд, J=10,5, 2,4 Гц, 1H), 4,37-4,39 (м, 1H), 4,58 (д, J=9,9 Гц, 1H), 5,11-5,15 (м, 1H), 6,88 (т, J=7,7 Гц, 1H), 6,99-7,11 (м, 2H), 7,20 (д, J=8,4 Гц, 1H), 7,32 (дд, J=8,1, 1,5 Гц, 1H), 7,41 (дд, J=8,6, 1,7 Гц, 1H), 7,55 (дд, J=8,4, 2,2 Гц, 1H), 7,68 (дд, J=15,0, 2,6 Гц, 1H), 8,16 (д, J=2,2 Гц, 1H), 10,18 (с, 1H) |
| 333 |
4-48 |
 |
(300 МГц, ДМСО-d6) : 2,24 (с, 3H), 3,45-3,47 (м, 1H), 3,63-3,64 (м, 1H), 4,06 (д, J=8,4 Гц, 1H), 4,37-4,41 (м, 1H), 4,58 (д, J=10,6 Гц, 1H), 5,13 (т, J=5,5 Гц, 1H), 6,88 (т, J=7,9 Гц, 1H), 7,09 (дд, J=7,7, 1,5 Гц, 1H), 7,20 (д, J=8,4 Гц, 1H), 7,34-7,38 (м, 3H), 7,55 (дд, J=9,0, 2,4 Гц, 1H), 7,77 (д, J=8,8 Гц, 2H), 8,16 (д, J=2,2 Гц, 1H), 10,30 (с, 1H) |
| 334 |
4-49 |
 |
(300 МГц, ДМСО-d6) : 2,25 (с, 3H), 2,90-2,91 (м, 4H), 3,42-3,51 (м, 1H), 3,67-3,74 (м, 1H), 3,81 (т, J=4,4 Гц, 4H), 4,29 (т, J=5,3 Гц, 1H), 4,50-4,52 (м, 1H), 4,87 (д, J=10,3 Гц, 1H), 5,18 (т, J=5,1 Гц, 1H), 6,98 (т, J=8,1 Гц, 1H), 7,23 (д, J=8,4 Гц, 1H), 7,41 (дд, J=8,1, 1,5 Гц, 1H), 7,55-7,62 (м, 4H), 8,18 (д, J=1,8 Гц, 1H), 8,64 (д, J=8,4 Гц, 1H), 10,57 (с, 1H) |
| 335 |
4-50 |
 |
(400 МГц, ДМСО-d6) 1,29 (с, 9H), 2,24 (с, 3H), 3,41-3,47 (м, 1H), 3,60-3,65 (м, 1H), 4,06 (дд, J=10,9, 2,6 Гц, 1H), 4,39 (т, J=7,0 Гц, 1H), 4,58 (дд, J=10,9, 1,2 Гц, 1H), 5,14 (т, J=5,3 Гц, 1H), 6,88 (т, J=7,9 Гц, 1H), 7,06-7,14 (м, 2H), 7,21 (д, J=8,3 Гц, 1H), 7,32 (дд, J=8,1, 1,6 Гц, 1H), 7,38 (дд, J=8,8, 1,4 Гц, 1H), 7,55 (дд, J=8,8, 2,3 Гц, 1H), 7,75 (дд, J=13,2, 2,6 Гц, 1H), 8,16 (д, J=2,3 Гц, 1H), 10,28 (с, 1H) |
| 336 |
4-51 |
 |
(400 МГц, ДМСО-d6) 2,24 (с, 3H), 3,40-3,47 (м, 1H), 3,60-3,65 (м, 1H), 4,06 (дд, J=10,9, 2,6 Гц, 1H), 4,38 (т, J=7,0 Гц, 1H), 4,58 (дд, J=11,1, 0,9 Гц, 1H), 5,15 (т, J=5,6 Гц, 1H), 6,89 (т, J=7,9 Гц, 1H), 7,09 (дд, J=7,4, 1,4 Гц, 1H), 7,20 (д, J=8,3 Гц, 1H), 7,34 (дд, J=8,1, 1,6 Гц, 1H), 7,47 (дд, J=8,8, 1,9 Гц, 1H), 7,55 (дд, J=8,3, 1,9 Гц, 1H), 7,66 (т, J=8,3 Гц, 1H), 7,90 (дд, J=11,1, 2,3 Гц, 1H), 8,16 (д, J=2,3 Гц, 1H), 10,50 (с, 1H) |
| [Таблица 45] |
 |
прим. |
Химические соединения |
ЯМР |
| 337 |
4-52 |
 |
(300 МГц, ДМСО-d6) : 3,48-3,52 (м, 1H), 3,71-3,73 (м, 1H), 4,01-4,03 (м, 1H), 4,18 (д, J=10,3 Гц, 1H), 4,63 (д, J=10,6 Гц, 1H), 6,42 (дд, J=8,1, 1,5 Гц, 1H), 6,81 (т, J=7,9 Гц, 1H), 7,03 (д, J=7,7 Гц, 1H), 7,35-7,37 (м, 3H), 7,88 (д, J=9,2 Гц, 2H), 8,07 (дд, J=7,9, 1,7 Гц, 1H), 8,46-8,47 (м, 1H), 10,36 (с, 1H) |
| 338 |
4-53 |
 |
(300 МГц, ДМСО-d6) : 3,48-3,53 (м, 1H), 3,72-3,74 (м, 1H), 3,95-3,98 (м, 1H), 4,18 (д, J=9,5 Гц, 1H), 4,62 (д, J=9,9 Гц, 1H), 5,05-5,07 (м, 1H), 6,44 (д, J=7,0 Гц, 1H), 6,83 (т, J=7,7 Гц, 1H), 7,03 (д, J=7,3 Гц, 1H), 7,36 (дд, J=7,9, 4,6 Гц, 1H), 7,67-7,79 (м, 2H), 7,98 (д, J=14,7 Гц, 1H), 8,07 (д, J=6,6 Гц, 1H), 8,46 (д, J=3,3 Гц, 1H), 10,74 (с, 1H) |
| 339 |
4-54 |
 |
(400 МГц, ДМСО-d6) 0,98 (д, J=7,0 Гц, 6H), 1,97-2,07 (м, 1H), 2,24 (с, 3H), 3,41-3,47 (м, 1H), 3,60-3,65 (м, 1H), 3,80 (д, J=6,5 Гц, 2H), 4,06 (дд, J=10,9, 2,6 Гц, 1H), 4,39 (т, J=7,0 Гц, 1H), 4,59 (д, J=10,2 Гц, 1H), 5,14 (т, J=5,6 Гц, 1H), 6,88 (т, J=7,7 Гц, 1H), 7,08-7,11 (м, 1H), 7,15 (д, J=9,3 Гц, 1H), 7,20 (д, J=8,3 Гц, 1H), 7,32 (дд, J=8,3, 1,4 Гц, 1H), 7,41 (дд, J=9,3, 1,4 Гц, 1H), 7,55 (дд, J=8,8, 2,3 Гц, 1H), 7,72 (дд, J=13,7, 2,6 Гц, 1H), 8,16 (д, J=2,3 Гц, 1H), 10,18 (с, 1H) |
| 340 |
4-55 |
 |
(300 МГц, ДМСО-d6) 2,25 (с, 3H), 3,43-3,46 (м, 1H), 3,60-3,67 (м, 1H), 4,07 (дд, J=11,0, 2,6 Гц, 1H), 4,40 (т, J=7,2 Гц, 1H), 4,59 (д, J=10,3 Гц, 1H), 5,13 (т, J=5,5 Гц, 1H), 6,90 (т, J=7,9 Гц, 1H), 7,11 (дд, J=7,3, 1,5 Гц, 1H), 7,21 (д, J=8,4 Гц, 1H), 7,34 (дд, J=8,1, 1,5 Гц, 1H), 7,51-7,55 (м, 2H), 7,97-8,03 (м, 1H), 8,16 (д, J=2,2 Гц, 1H), 8,26 (дд, J=6,6, 2,6 Гц, 1H), 10,52 (с, 1H) |
| 341 |
4-56 |
 |
(300 МГц, ДМСО-d6) : 1,14 (д, J=6,2 Гц, 3H), 3,93-3,96 (м, 1H), 4,08-4,12 (м, 1H), 4,77 (д, J=9,2 Гц, 1H), 4,95 (д, J=5,5 Гц, 1H), 6,53 (т, J=3,9 Гц, 1H), 6,82 (т, J=7,9 Гц, 1H), 7,05 (д, J=7,7 Гц, 1H), 7,32-7,37 (м, 4H), 7,87 (д, J=9,2 Гц, 3H), 8,04 (дд, J=7,9, 1,7 Гц, 1H), 8,48-8,48 (м, 1H), 10,33 (с, 1H) |
| 342 |
4-57 |
 |
(300 МГц, ДМСО-d6) 3,87 (ушир. с, 1H), 4,24-4,35 (м, 3H), 4,51 (кв, J=5,3 Гц, 1H), 6,36 (д, J=2,2 Гц, 1H), 6,79-6,83 (м, 3H), 7,06 (дд, J=7,7, 4,8 Гц, 1H), 7,33 (д, J=8,8 Гц, 2H), 7,84 (д, J=9,2 Гц, 2H), 7,92 (дд, J=7,7, 1,1 Гц, 1H), 8,13 (дд, J=4,6, 1,3 Гц, 1H), 10,22 (с, 1H) |
| 343 |
4-58 |
 |
(300 МГц, ДМСО-d6) 3,83-3,92 (м, 1H), 4,24-4,35 (м, 3H), 4,51 (дд, J=10,8, 5,4 Гц, 1H), 6,38 (д, J=2,6 Гц, 1H), 6,77-6,86 (м, 3H), 7,06 (дд, J=7,7, 4,8 Гц, 1H), 7,69 (д, J=8,4 Гц, 2H), 7,90-7,96 (м, 3H), 8,13 (дд, J=5,0, 1,7 Гц, 1H), 10,38 (с, 1H) |
| [Таблица 46] |
 |
прим. |
Химические соединения |
ЯМР |
| 344 |
4-59 |
 |
(400 МГц, ДМСО-d6) 3,87 (м, 1H), 4,26-4,4 (м, 3H), 4,51 (м, 1H), 6,37 (д, J=2,4 Гц, 1H), 6,7-6,86 (м, 3H), 7,06 (м, 1H), 7,33 (д, J=8,4 Гц, 2H), 7,83 (дд, J=6,8, 1,6 Гц), 7,92 (дд, J=7,2, 1,2 Гц), 8,13 (дд, J=4,4, 1,6 Гц, 1H), 10,23 (с, 1H) |
| 345 |
5-01 |
 |
(300 МГц, ДМСО-d6) : 1,25 (с, 9H), 4,06 (т, J=4,2 Гц, 2H), 4,38 (т, J=4,4 Гц, 2H), 6,96 (т, J=7,9 Гц, 1H), 7,27 (дд, J=7,7, 1,5 Гц, 1H), 7,35 (д, J=8,8 Гц, 2H), 7,59-7,65 (м, 3H), 8,12 (д, J=2,6 Гц, 1H), 8,30 (дд, J=1,3, 0,7 Гц, 1H), 8,60 (д, J=1,5 Гц, 1H), 10,06 (с, 1H) |
| 346 |
5-02 |
 |
(400 МГц, ДМСО-d6) 1,18 (т, J=7,4 Гц, 3H), 2,54 (кв, J=7,4 Гц, 2H), 4,22 (т, J=4,2 Гц, 2H), 4,36 (т, J=4,4 Гц, 2H), 6,96 (т, J=7,9 Гц, 1H), 7,24 (дд, J=7,4, 1,4 Гц, 1H), 7,39 (т, J=4,4 Гц, 2H), 7,77 (д, J=8,8 Гц, 2H), 8,04 (дд, J=8,3, 1,4 Гц, 1H), 8,45 (с, 2H), 10,27 (с, 1H) |
| 347 |
5-03 |
 |
(400 МГц, ДМСО-d6) 1,18 (т, J=7,7 Гц, 3H), 1,32 (т, J=7,0 Гц, 3H), 2,54 (кв, J=7,7 Гц, 1H), 4,00 (кв, J=7,0 Гц, 2H), 4,22 (т, J=4,4 Гц, 2H), 4,37 (т, J=4,4 Гц, 2H), 6,89 (д, J=8,8 Гц, 2H), 6,95 (т, J=7,9 Гц, 1H), 7,25 (д, J=7,4 Гц, 1H), 7,63 (д, J=8,8 Гц, 2H), 8,01 (д, J=8,3 Гц, 1H), 8,45 (с, 2H), 9,97 (с, 1H) |
| 348 |
5-04 |
 |
(400 МГц, ДМСО-d6) 4,12 (д, J=4,6 Гц, 2H), 4,38 (д, J=4,6 Гц, 2H), 6,95 (дд, J=8,1, 7,6 Гц, 1H), 7,27 (дд, J=7,6, 1,5 Гц, 1H), 7,48 (дд, J=8,1, 1,5 Гц, 1H), 7,61 (д, J=9,3 Гц, 1H), 7,67 (д, J=9,3 Гц, 1H), 7,68 (д, 8,8 Гц, 2H), 7,92 (д, 8,8 Гц, 2H), 10,50 (с, 1H) |
| 349 |
5-05 |
 |
(400 МГц, ДМСО-d6) 2,26 (с, 3H), 4,03 (т, J=4,4 Гц, 2H), 4,37 (т, J=4,4 Гц, 2H), 6,65 (д, J=1,6 Гц, 1H), 7,04 (т, J=8 Гц, 1H), 7,25 (д, J=8 Гц, 1H), 7,26 (д, J=9,2 Гц, 2H), 7,83 (д, J=9,2 Гц, 2H), 8,19 (д, J=8 Гц, 1H), 10,36 (с, 1H) |
| 350 |
5-06 |
 |
(300 МГц, ДМСО-d6) 2,33 (с, 3H), 3,40 (т, J=4,4 Гц, 2H), 4,36 (т, J=4,4 Гц, 2H), 6,9-7,1 (м, 2H), 7,23 (д, J=1,8 Гц, 1H), 7,34 (д, J=9,2 Гц, 2H), 7,84 (д, J=9,2 Гц, 2H), 8,10 (д, J=8 Гц, 1H), 10,34 (с, 1H) |
| 351 |
6-01 |
 |
(400 МГц, ДМСО-d6) 2,34 (д, J=1,4 Гц, 3H), 3,46-3,60 (м, 2H), 4,14 (дд, J=11,1, 2,8 Гц, 1H), 4,35-4,41 (м, 1H), 4,56 (д, J=11,1 Гц, 1H), 5,19 (т, J=5,8 Гц, 1H), 7,00 (т, J=7,9 Гц, 1H), 7,07 (д, J=1,4 Гц, 1H), 7,19 (дд, J=7,9, 1,6 Гц, 1H), 7,36 (д, J=8,3 Гц, 2H), 7,84 (д, J=8,3 Гц, 2H), 8,00 (дд, J=7,9, 1,6 Гц, 1H), 10,39 (с, 1H) |
| [Таблица 47] |
 |
прим. |
Химические соединения |
ЯМР |
| 352 |
6-02 |
 |
(400 МГц, ДМСО-d6) 2,34 (д, J=1,4 Гц, 3H), 3,47-3,60 (м, 2H), 4,15 (дд, J=11,1, 2,3 Гц, 1H), 4,34-4,42 (м, 1H), 4,57 (д, J=11,1 Гц, 1H), 5,20 (т, J=5,8 Гц, 1H), 7,01 (т, J=7,9 Гц, 1H), 7,07 (д, J=1,4 Гц, 1H), 7,20 (дд, J=7,9, 1,4 Гц, 1H), 7,72 (д, J=8,3 Гц, 2H), 7,94 (д, J=8,3 Гц, 2H), 8,02 (дд, J=7,9, 1,4 Гц, 1H), 10,56 (с, 1H) |
| 353 |
6-03 |
 |
(400 МГц, ДМСО-d6) 2,34 (д, J=1,4 Гц, 3H), 3,48-3,59 (м, 2H), 4,16 (дд, J=11,1, 2,3 Гц, 1H), 4,37-4,43 (м, 1H), 4,58 (д, J=11,1 Гц, 1H), 6,51 (ушир., 2H), 7,01 (т, J=7,9 Гц, 1H), 7,09 (д, J=1,4 Гц, 1H), 7,21 (дд, J=7,9, 1,4 Гц, 1H), 7,61 (д, J=8,8 Гц, 1H), 7,68 (дд, J=8,8, 2,3 Гц, 1H), 8,01 (дд, J=7,9, 1,4 Гц, 1H), 8,12 (д, J=2,3 Гц, 1H), 10,51 (с, 1H) |
| 354 |
6-04 |
 |
(400 МГц, ДМСО-d6) 1,27 (д, J=6,0 Гц, 7H), 2,34 (д, J=1,4 Гц, 3H), 3,46-3,59 (м, 2H), 4,13 (дд, J=11,1, 2,3 Гц, 1H), 4,35-4,41 (м, 1H), 4,49-4,60 (м, 2H), 5,19 (т, J=5,6 Гц, 1H), 6,99 (т, J=8,1 Гц, 1H), 7,07 (д, J=1,4 Гц, 1H), 7,12-7,20 (м, 2H), 7,36-7,40 (м, 1H), 7,71 (дд, J=13,7, 2,6 Гц, 1H), 7,99 (дд, J=8,1, 1,4 Гц, 1H), 10,21 (с, 1H) |
| 355 |
6-05 |
 |
(400 МГц, ДМСО-d6) 1,29 (с, 9H), 2,34 (д, J=1,4 Гц, 3H), 3,45-3,60 (м, 2H), 4,13 (дд, J=11,1, 2,8 Гц, 1H), 4,34-4,41 (м, 1H), 4,57 (д, J=11,1 Гц, 1H), 5,19 (т, J=5,8 Гц, 1H), 7,00 (т, J=8,1 Гц, 1H), 7,07 (д, J=1,4 Гц, 1H), 7,11 (т, J=9,0 Гц, 1H), 7,17 (дд, J=8,1, 1,6 Гц, 1H), 7,33-7,39 (м, 1H), 7,73 (дд, J=13,0, 2,3 Гц, 1H), 8,00 (дд, J=8,1, 1,6 Гц, 1H), 10,30 (с, 1H) |
| 356 |
6-06 |
 |
(400 МГц, ДМСО-d6) 0,98 (д, J=6,5 Гц, 6H), 1,99-2,05 (м, 1H), 2,34 (д, J=1,4 Гц, 3H), 3,46-3,59 (м, 2H), 3,80 (д, J=6,5 Гц, 2H), 4,13 (дд, J=11,1, 2,8 Гц, 1H), 4,35-4,41 (м, 1H), 4,57 (д, J=11,1 Гц, 1H), 5,20 (т, J=5,6 Гц, 1H), 6,99 (т, J=7,9 Гц, 1H), 7,07 (д, J=1,4 Гц, 1H), 7,13 (т, J=9,3 Гц, 1H), 7,18 (дд, J=7,9, 1,4 Гц, 1H), 7,37-7,41 (м, 1H), 7,70 (дд, J=13,7, 2,6 Гц, 1H), 7,99 (дд, J=8,9, 1,4 Гц, 1H), 10,19 (с, 1H) |
| 357 |
6-07 |
 |
(400 МГц, ДМСО-d6) 2,35 (д, J=0,9 Гц, 3H), 3,49-3,61 (м, 2H), 4,15 (дд, J=11,1, 2,8 Гц, 1H), 4,37 (т, J=5,1 Гц, 1H), 4,58 (дд, J=11,1, 0,9 Гц, 1H), 5,21 (т, J=5,8 Гц, 1H), 7,02 (т, J=7,9 Гц, 1H), 7,08 (д, J=1,4 Гц, 1H), 7,20 (дд, J=7,7, 1,6 Гц, 1H), 7,46 (дд, J=8,8, 1,9 Гц, 1H), 7,68 (т, J=8,3 Гц, 1H), 7,90 (дд, J=11,6, 2,3 Гц, 1H), 8,03 (дд, J=8,3, 1,4 Гц, 1H), 10,53 (с, 1H) |
| 358 |
6-08 |
 |
(400 МГц, ДМСО-d6) 2,34 (д, J=0,9 Гц, 3H), 3,46-3,60 (м, 2H), 4,14 (дд, J=11,4, 2,6 Гц, 1H), 4,38 (т, J=7,0 Гц, 1H), 4,58 (дд, J=11,4, 1,2 Гц, 1H), 5,20 (т, J=5,6 Гц, 1H), 7,01 (т, J=8,1 Гц, 1H), 7,07 (д, J=1,4 Гц, 1H), 7,21 (дд, J=7,4, 1,4 Гц, 1H), 7,52 (т, J=9,7 Гц, 1H), 7,96-8,03 (м, 2H), 8,25 (кв, J=3,1 Гц, 1H), 10,55 (с, 1H) |
| 359 |
6-09 |
 |
(400 МГц, ДМСО-d6) 2,33 (д, J=1,4 Гц, 3H), 2,96 (т, J=4,6 Гц, 4H), 3,47-3,60 (м, 2H), 3,74 (т, J=4,6 Гц, 4H), 4,13 (дд, J=10,9, 2,6 Гц, 1H), 4,38 (т, J=6,7 Гц, 1H), 4,57 (дд, J=11,1, 1,4 Гц, 1H), 5,19 (т, J=5,6 Гц, 1H), 6,97-7,05 (м, 2H), 7,07 (д, J=1,4 Гц, 1H), 7,18 (дд, J=7,7, 1,6 Гц, 1H), 7,39 (д, J=8,8 Гц, 1H), 7,66 (дд, J=14,8, 2,3 Гц, 1H), 7,99 (дд, J=8,1, 1,6 Гц, 1H), 10,21 (с, 1H) |
| [Таблица 48] |
 |
прим. |
Химические соединения |
ЯМР |
| 360 |
6-10 |
 |
(400 МГц, ДМСО-d6) 2,34 (д, J=1,4 Гц, 3H), 3,47-3,53 (м, 1H), 3,55-3,60 (м, 1H), 4,15 (дд, J=11,1, 2,3 Гц, 1H), 4,38 (т, J=7,2 Гц, 1H), 4,58 (дд, J=11,1, 0,9 Гц, 1H), 5,21 (т, J=5,3 Гц, 1H), 7,03 (т, J=7,9 Гц, 1H), 7,08 (д, J=1,4 Гц, 1H), 7,23 (дд, J=7,7, 1,6 Гц, 1H), 7,92 (д, J=8,8 Гц, 1H), 8,05 (дд, J=8,3, 1,4 Гц, 1H), 8,44 (дд, J=8,8, 1,9 Гц, 1H), 9,01 (д, J=2,3 Гц, 1H), 10,80 (с, 1H) |
| 361 |
6-11 |
 |
(300 МГц, ДМСО-d6) 2,28 (д, J=1,1 Гц, 3H), 3,51-3,57 (м, 2H), 4,16 (дд, J=11,2, 2,4 Гц, 1H), 4,43 (т, J=7,2 Гц, 1H), 4,59 (д, J=10,3 Гц, 1H), 5,17 (т, J=5,7 Гц, 1H), 6,69 (д, J=1,5 Гц, 1H), 7,01 (т, J=8,1 Гц, 1H), 7,15 (дд, J=7,7, 1,5 Гц, 1H), 7,35 (д, J=8,4 Гц, 2H), 7,84 (д, J=9,2 Гц, 2H), 8,22 (дд, J=8,3, 1,7 Гц, 1H), 10,36 (с, 1H) |
| 362 |
6-12 |
 |
(300 МГц, ДМСО-d6) 2,28 (д, J=1,5 Гц, 3H), 3,51-3,57 (м, 2H), 4,17 (дд, J=11,2, 2,4 Гц, 1H), 4,44 (т, J=7,2 Гц, 1H), 4,59 (д, J=9,9 Гц, 1H), 5,18 (т, J=5,7 Гц, 1H), 6,69 (д, J=1,5 Гц, 1H), 7,02 (т, J=7,9 Гц, 1H), 7,16 (дд, J=7,7, 1,5 Гц, 1H), 7,71 (д, J=8,8 Гц, 2H), 7,94 (д, J=8,4 Гц, 2H), 8,23 (дд, J=8,3, 1,7 Гц, 1H), 10,53 (с, 1H) |
| 363 |
6-13 |
 |
(400 МГц, ДМСО-d6) 2,15 (с, 3H), 2,23 (с, 3H), 3,44-3,58 (м, 2H), 4,11 (дд, J=11,1, 2,3 Гц, 1H), 4,37-4,43 (м, 1H), 4,56 (д, J=11,1 Гц, 1H), 5,18 (т, J=5,8 Гц, 1H), 7,00 (т, J=7,9 Гц, 1H), 7,18 (дд, J=7,9, 1,4 Гц, 1H), 7,36 (д, J=8,3 Гц, 2H), 7,83 (д, J=8,3 Гц, 2H), 7,98 (дд, J=7,9, 1,4 Гц, 1H), 10,39 (с, 1H) |
| 364 |
6-14 |
 |
(400 МГц, ДМСО-d6) 2,16 (с, 3H), 2,24 (с, 3H), 3,44-3,59 (м, 2H), 4,12 (дд, J=11,1, 2,3 Гц, 1H), 4,37-4,43 (м, 1H), 4,56 (д, J=11,1 Гц, 1H), 5,19 (т, J=5,8 Гц, 1H), 7,01 (т, J=8,1 Гц, 1H), 7,20 (дд, J=8,1, 1,6 Гц, 1H), 7,71 (д, J=8,8 Гц, 2H), 7,94 (д, J=8,8 Гц, 2H), 7,99 (дд, J=8,1, 1,6 Гц, 1H), 10,56 (с, 1H) |
| 365 |
6-15 |
 |
(400 МГц, ДМСО-d6) 2,60 (д, J=4,2 Гц, 3H), 3,51-3,64 (м, 2H), 4,22 (дд, J=11,1, 2,8 Гц, 1H), 4,42 (т, J=7,4 Гц, 1H), 4,56 (д, J=10,2 Гц, 1H), 5,24 (т, J=5,8 Гц, 1H), 7,04 (т, J=7,9 Гц, 1H), 7,24 (дд, J=7,9, 1,4 Гц, 1H), 7,36 (д, J=8,3 Гц, 2H), 7,83 (д, J=8,8 Гц, 2H), 7,96 (дд, J=8,3, 1,4 Гц, 1H), 10,41 (с, 1H) |
| 366 |
6-16 |
 |
(400 МГц, ДМСО-d6) 2,60 (д, J=2,8 Гц, 3H), 3,52-3,64 (м, 2H), 4,23 (дд, J=11,1, 2,8 Гц, 1H), 4,42 (т, J=7,0 Гц, 1H), 4,56 (д, J=10,2 Гц, 1H), 5,24 (т, J=5,8 Гц, 1H), 7,05 (т, J=7,9 Гц, 1H), 7,25 (дд, J=7,7, 1,6 Гц, 1H), 7,72 (д, J=8,8 Гц, 2H), 7,92-7,98 (м, 3H), 10,58 (с, 1H) |
| 367 |
6-17 |
 |
(400 МГц, ДМСО-d6) 2,11 (с, 3H), 2,17 (с, 3H), 3,08 (т, J=5,6 Гц, 2H), 4,05 (т, J=5,6 Гц, 2H), 7,23 (т, J=7,9 Гц, 1H), 7,32-7,39 (м, 3H), 7,66 (дд, J=7,9, 1,4 Гц, 1H), 7,83 (д, J=9,3 Гц, 2H), 10,62 (с, 1H) |
| [Таблица 49] |
 |
прим. |
Химические соединения |
ЯМР |
| 368 |
6-18 |
 |
(400 МГц, ДМСО-d6) 2,19 (с, 3H), 2,28 (с, 3H), 2,90-3,01 (м, 1H), 3,41-3,48 (м, 1H), 3,96-4,06 (м, 1H), 4,23-4,31 (м, 1H), 7,28 (д, J=7,4 Гц, 1H), 7,39 (д, J=8,8 Гц, 2H), 7,59 (т, J=7,9 Гц, 1H), 7,84-7,90 (м, 3H), 10,81 (с, 1H) |
| 369 |
7-01 |
 |
(400 МГц, ХЛОРОФОРМ-d) 1,33 (с, 9H), 3,75 (т, J=4,2 Гц, 2H), 3,83 (с, 3H), 4,54 (т, J=4,4 Гц, 2H), 6,76 (дд, J=8,1, 1,2 Гц, 1H), 6,82 (т, J=8,1 Гц, 1H), 6,94 (д, J=8,8 Гц, 2H), 7,17 (д, J=8,8 Гц, 2H), 7,38 (д, J=8,8 Гц, 2H), 7,60 (д, J=8,3 Гц, 2H), 7,64 (дд, J=8,1, 1,6 Гц, 1H), 9,61 (с, 1H) |
| 370 |
7-02 |
 |
(400 МГц, ХЛОРОФОРМ-d) 1,03 (д, J=7,0 Гц, 6H), 2,05-2,12 (м, 1H), 3,73 (д, J=6,5 Гц, 2H), 3,75 (т, J=4,4 Гц, 2H), 3,83 (с, 3H), 4,54 (т, J=4,4 Гц, 2H), 6,76 (дд, J=7,9, 1,9 Гц, 1H), 6,82 (т, J=7,9 Гц, 1H), 6,90 (д, J=8,8 Гц, 2H), 6,94 (дд, J=7,0, 2,3 Гц, 2H), 7,17 (дд, J=6,5, 2,3 Гц, 2H), 7,58 (д, J=8,8 Гц, 2H), 7,65 (дд, J=7,7, 1,6 Гц, 1H), 9,57 (с, 1H) |
| 371 |
7-03 |
 |
(400 МГц, ХЛОРОФОРМ-d) 3,76 (ушир. с, 2H), 3,84 (с, 3H), 4,56 (ушир. с, 2H), 6,81 (д, J=17,6 Гц, 2H), 6,96 (ушир. с, 2H), 7,17 (ушир. с, 2H), 7,33 (ушир. с, 2H), 7,65 (ушир. с, 3H), 9,73 (с, 1H) |
| 372 |
7-04 |
 |
(400 МГц, ДМСО-d6) 3,46-3,79 (м, 3H), 4,23 (д, J=10 Гц, 1H), 4,56 (д, J=10 Гц, 1H), 4,96 (с, 1H), 6,10 (д, J=7,0 Гц, 1H), 6,71-6,90 (м, 2H), 7,34-7,71 (м, 6H), 7,86 (д, J=8,8 Гц, 2H), 10,36 (с, 1H) |
| 373 |
7-05 |
 |
(400 МГц, ДМСО-d6) 3,46-3,79 (м, 3H), 4,23 (д, J=10 Гц, 1H), 4,56 (д, J=10 Гц, 1H), 4,97 (с, 1H), 6,11 (д, J=7,0 Гц, 1H), 6,74-6,91 (м, 2H), 7,39-7,72 (м, 6H), 7,96 (д, J=8,3 Гц, 2H), 10,53 (с, 1H) |
| 374 |
7-06 |
 |
(400 МГц, ДМСО-d6) 3,45-3,80 (м, 3H), 4,23 (ушир.д, J=10 Гц, 1H), 4,56 (ушир.д, J=10 Гц, 1H), 4,97 (с, 1H), 6,12 (д, J=7,9 Гц, 1H), 6,74-6,90 (м, 2H), 7,40-7,78 (м, 6H), 7,97 (д, J=13,0 Гц, 1H), 10,73 (с, 1H) |
| 375 |
7-07 |
 |
(300 МГц, ДМСО-d6) 3,46-3,60 (м, 2H), 3,79 (т, J=7,0 Гц, 1H), 4,08 (дд, J=10,8, 2,0 Гц, 1H), 4,49 (д, J=10,3 Гц, 1H), 5,09 (т, J=5,3 Гц, 1H), 6,80-6,91 (м, 2H), 7,01 (дд, J=7,3, 1,5 Гц, 1H), 7,35-7,44 (м, 6H), 7,85 (д, J=8,8 Гц, 2H), 10,33 (с, 1H) |
| [Таблица 50] |
 |
прим. |
Химические соединения |
ЯМР |
| 376 |
7-08 |
 |
(400 МГц, ДМСО-d6) 3,45-3,66 (м, 3H), 3,77 (с, 3H), 4,13 (дд, J=10,9, 2,1 Гц, 1H), 4,49 (дд, J=10,9, 2,1 Гц, 1H), 4,97 (т, J=5,3 Гц, 1H), 6,51 (дд, J=8,0, 1,5 Гц, 1H), 6,74 (т, J=8,0 Гц, 1H), 6,86 (дд, J=7,4, 1,5 Гц, 1H), 7,01 (д, J=8,8 Гц, 2H), 7,24 (д, J=8,8 Гц, 2H), 7,35 (д, J=8,8 Гц, 2H), 7,85 (д, J=8,8 Гц, 2H), 10,33 (с, 1H) |
| 377 |
7-09 |
 |
(400 МГц, ДМСО-d6) 3,43-3,66 (м, 3H), 3,77 (с, 3H), 4,14 (д, J=8,8 Гц, 1H), 4,50 (т, J=5,5 Гц, 1H), 4,98 (т, J=5,5 Гц, 1H), 6,52 (дд, J=7,9, 1,4 Гц, 1H), 6,75 (т, J=7,9 Гц, 1H), 6,87 (дд, J=7,9, 1,4 Гц, 1H), 7,01 (д, J=8,8 Гц, 2H), 7,25 (д, J=8,8 Гц, 2H), 7,71 (д, J=8,3 Гц, 2H), 7,96 (д, J=8,3 Гц, 2H), 10,50 (с, 1H) |
| 378 |
7-10 |
 |
(300 МГц, ДМСО-d6) 3,46-3,61 (м, 2H), 3,79 (т, J=7,0 Гц, 1H), 4,09 (д, J=8,8 Гц, 1H), 4,50 (д, J=9,9 Гц, 1H), 5,10 (т, J=5,5 Гц, 1H), 6,82-6,93 (м, 2H), 7,02 (дд, J=7,3, 1,8 Гц, 1H), 7,40 (м, 4H), 7,71 (д, J=8,8 Гц, 2H), 7,96 (д, J=8,4 Гц, 2H), 10,50 (с, 1H) |
| 379 |
7-11 |
 |
(300 МГц, ДМСО-d6) 3,51-3,56 (м, 2H), 3,79 (т, J=7,2 Гц, 1H), 4,08 (дд, J=10,8, 2,4 Гц, 1H), 4,50 (д, J=9,9 Гц, 1H), 5,10 (т, J=5,3 Гц, 1H), 6,80-6,91 (м, 2H), 7,01 (дд, J=7,2, 1,7 Гц, 1H), 7,33-7,46 (м, 6H), 7,78 (д, J=8,8 Гц, 2H), 10,28 (с, 1H) |
Пример испытания
Ниже будет описан анализ для оценки ингибирования VR1 соединениями, обладающими признаками изобретения. Анализ предназначен для оценки in vitro ингибирования вхождения Са2+ в клетки, вызванного протоном, одним из агонистов VR1.
Пример испытания 1: ингибирование вхождения Са2+ в клетки
Клетки глиомы крысы (С6BU1), стабильно экспрессирующие VR1 человека, суспендировали в 20 мМ MES-буфере (при рН 6,8, содержащем 20 мМ 2-морфолиноэтансульфонат (называемый далее MES), 115 мМ NaCl, 5 мМ KCl, 1 мМ MgCl2 и 14 мМ D-глюкозу) для получения плотности клеток 1×106 клеток/мл. К суспензии добавляли раствор флуоресцентного красителя, Fura 2-AM (Dojindo Corporatе, Cat. 343-05401), для получения его концентрации 5 мкМ. Далее добавляли Pluronic F-127 (Wako Pure Chemical Industries, Ltd., Cat. P6866) для получения его содержания 0,1%. Затем суспензию инкубировали при 37°С в течение 30 мин. Клетки собирали и промывали три раза 20 мМ MES-буфером. Клетки снова суспендировали для получения плотности клеток 5×105 клеток/мл. на 500 мкл. Порцию на 500 мкл суспензии отбирали кюветой (MC MEDICAL, INC., Cat. SSR3121), к суспензии добавляли 10 мкл 20 мМ MES-буфера, содержащего 250 мМ CaCl2 для включения Са2+ в клетки. В то же самое время добавляли также 5 мкл раствора испытуемого соединения (в диапазоне 100 мкМ – 10 нМ в ДМСО) для обеспечения его конечной концентрации в диапазоне 1 мкМ – 0,1 нМ. В альтернативном случае 5 мкл ДМСО добавляли в качестве контроля для обеспечения конечной концентрации 1% ДМСО. Суспензию устанавливали во внутриклеточный ионометр (CAF-110; JASCO) спустя 10 мин после этих добавлений. Клетки стимулировали протонами добавлением 60 мкл 20 мМ MES-буфера при рН 1,1 к суспензии для установления ее рН при 5,5. Активность испытуемого соединения определяли как разность между минимумом интенсивности флуоресценции перед стимуляцией агонистом и его максимумом после стимуляции. Величину IC50 получали из процента ингибирования испытуемым соединением по сравнению с контролем. Результаты показаны в приведенных ниже таблицах 51-56.
В таблицах символ ++ означает величину IC50 меньше, чем 100 нМ, и символ + означает величину IC50 100 нМ – 1000 нМ включительно.
[Таблица 51]
 
[Таблица 52]

[Таблица 53]

[Таблица 54]

[Таблица 55]

[Таблица 56]

ПРОМЫШЛЕННАЯ ПРИМЕНИМОСТЬ
Конденсированное производное бензамида настоящего изобретения эффективно ингибирует активность подтипа 1 рецептора ваниллоида (VR1), и, следовательно, он является эффективным при лекарственном лечении и/или профилактике таких заболеваний, как боль, острая боль, хроническая боль, невропатическая боль, боль при ревматоидном артрите, невралгия, невропатия, гипералгезия, мигрень, боль суставов, острая герпетическая боль, постгерпетическая невралгия, хроническая постгерпетическая невралгия, послеоперационная боль, раковая боль, воспалительная боль, интерстициальный цистит, посттравматическая невралгия, диабетическая невропатия, нейродегенеративное заболевание, церебральная апоплексия, ишемический симптом, повреждение нерва, нейрогенное повреждение кожи, воспалительное заболевание, зуд, аллергический ринит, апоплексия, синдром раздраженной толстой кишки, астма, хроническое закупоривающее легочное заболевание, дерматит, воспаление слизистой оболочки, язвы желудка и двенадцатиперстной кишки и воспалительное заболевание кишечника, повышенная чувствительность мочевого пузыря и гиперактивный мочевой пузырь типа частого мочеиспускания и недержание мочи.
Формула изобретения
1. Конденсированное производное бензамида, представленное нижеследующей общей формулой [1], или его фармацевтически приемлемая соль:
 где Z представляет собой (1)-O-, (2)-NR5-(гдe R5 представляет собой C1-6-алкильную группу), (3)-S- или (4)-SO- l равно 0 или 1; m равно 0 или 1; R1 представляет собой (1) атом водорода или (2) C1-6-алкильную группу, которая может быть замещена 1-5 заместителями, выбранными из следующей группы А: группа А: (a) атом галогена, (b) гидроксильная группа, (c) C1-6-алкоксигруппа, (d) карбоксильная группа, (e) C1-6-алкоксикарбонильная группа, (f)-CONR6R7 (где R6 и R7 являются одинаковыми или разными и каждый представляет собой атом водорода, C1-6-алкильную группу или ацильную группу и указанная алкильная группа может быть замещена гидроксильной группой или ацилоксигруппой), (g)-NR6R7 (где R6 и R7 имеют значения, указанные выше), (h)-NR6COR7 (где R6 и R7 имеют значения, указанные выше), R2 представляет собой (1) атом водорода, (2) гидроксильную группу, (3) C1-6-алкильную группу, (4) карбоксильную группу, (5) C1-6-алкоксикарбонильную группу или (6) -CONR10R11 (где R10 и R11 являются одинаковыми или разными и каждый представляет собой атом водорода или C1-6-алкильную группу); или R2 вместе с R1 образует =O; R3 представляет собой (1) атом водорода или (2) C1-6-алкильную группу; R4 представляет собой (1) атом водорода, или (2) атом галогена, V представляет собой (1) прямую связь или (2)-(CR21R22)n– (где R21 и R22 являются одинаковыми или разными и каждый представляет собой атом водорода или С1-6-алкильную группу и n равно 1 или 2); кольца Р1 и Р2 являются одинаковыми или разными и каждый представляет собой (1) ароматическую или насыщенную карбоциклическую группу, содержащую 6 атомов углерода, которая может быть замещена 1-5 заместителями, выбранными из нижеследующей группы С, или (2) 5-10-членную насыщенную или ненасыщенную гетероциклическую группу, содержащую 1-3 гетероатома, выбранных из N, О, S, которая может быть замещена 1-5 заместителями, выбранными из следующей группы С: группа С: (a) атом галогена, (b) гидроксильная группа, (c) C1-6-алкоксигруппа, которая может быть замещена 1-5 заместителями, выбранными из группы А, (e) С1-6-алкильная группа, которая может быть замещена 1-5 заместителями, выбранными из группы А, (f) -CONR23R24 (где R23 и R24 являются одинаковыми или разными и каждый представляет собой атом водорода или С1-6-алкильную группу, которая может быть замещена 1-5 заместителями, выбранными из группы А), (g) -NR123R124 (где R123 и R124 являются одинаковыми или разными и каждый представляет собой атом водорода или С1-6-алкильную группу, которая может быть замещена 1-5 заместителями, выбранными из группы А), (h) -NR223COR224 (где R223 и R224 являются одинаковыми или разными и каждый представляет собой атом водорода или С1-6-алкильную группу, которая может быть замещена 1-5 заместителями, выбранными из группы А), (j)-SR26 (где R26 представляет собой С1-6-алкильную группу), (о) -COR27 (где R27 представляет собой C1-6-алкильную группу, С1-6-алкоксигруппу, циклоалкильную группу, аралкильную группу, аралкоксигруппу, циклоалкилалкоксигруппу или гидроксильную группу), (q) насыщенная 5-6-членная гетероциклическая группа, включающая 1-2 гетероатома, выбранного из N, О, которая может быть замещена 1-5 заместителями, выбранными из (а)-(с), (e)-(h), (j), (о) группы С, (r) -O-R28 (где R28 представляет собой ацильную группу, циклогексильную группу, которая может быть замещена 1-5 заместителями, выбранными из (а)-(о) группы С, или гетероциклическую группу, которая может быть замещена 1-5 заместителями, выбранными из (а)-(с), (e)-(h) группы С), пиридинильную группу, которая может быть замещена 1-5 заместителями, выбранными из (а)-(с), (е)-(h), (j), (о) группы С, (s) -O-(CR121R122)n-R128 (где R121, R122 одинаковые или различные и каждый представляет атом водорода, n=1, и R128 представляет фенил, циклогексил или пиридинильную группу, которая может быть замещена 1-5 заместителями, выбранными из (а)-(с), (e)-(h), (j), (о) группы С), (t) нитрогруппа и (u) цианогруппа.
2. Конденсированное производное бензамида или его фармацевтически приемлемая соль по п.1, где кольцо Р1 представляет собой ненасыщенное 5-членное или 6-членное гетероциклическое кольцо, содержащее 1-4 гетероатома, выбранных из атома азота, атома кислорода и атома серы, или фенильную группу (где указанное гетероциклическое кольцо может быть замещено атомом галогена, гидроксильной группой, C1-6-алкильной группой, которая может быть замещена 1-5 заместителями, выбранными из группы А, и С1-6-алкоксигруппой, которая может быть замещена 1-5 заместителями, выбранными из группы А).
3. Конденсированное производное бензамида или его фармацевтически приемлемая соль по п.2, где кольцо Р1 представляет собой ненасыщенное 5-членное или 6-членное гетероциклическое кольцо, содержащее, по меньшей мере, 1 -3 атома азота, или фенильную группу (где указанное гетероциклическое кольцо может быть замещено C1-6-алкильной группой, которая может быть замещена гидроксильной группой или C1-6-алкоксигруппой, атомом галогена, гидроксильной группой и Cl-6-алкоксигруппой, которая может быть замещена 1-5 заместителями, выбранными из группы А).
4. Конденсированное производное бензамида или его фармацевтически приемлемая соль по п.3, где кольцо Р1 представляет собой гетероциклическую группу, выбранную из пиридильной группы, пиразинильной группы и тиазолильной группы, или фенильную группу (где эти гетероциклические группы могут быть замещены C1-6-алкильной группой, которая может быть замещена гидроксильной группой, атомом галогена, гидроксильной группой и C1-6-алкоксигруппой, которая может быть замещена 1-5 заместителями, выбранными из группы А).
5. Конденсированное производное бензамида или его фармацевтически приемлемая соль по п.1, где кольцо Р2 является карбоциклической группой, которая может быть замещена заместителем, выбранным из атома галогена, гидроксильной группы, C1-6-алкоксигруппы (где указанная алкоксигруппа может быть замещена атомом галогена, -CONR622R624 (где R623 и R624 являются одинаковыми или разными и каждый представляет собой атом водорода или C1-6-алкильную группу, которая может быть замещена 1-5 заместителями, выбранными из группы А), С3-8-циклоалкильной группой, C1-6-алкоксигруппой, карбоксильной группой или C1-6-алкоксикарбонильной группой), C1-6-алкильной группы (где указанная алкильная группа может быть замещена атомом галогена, гидроксильной группой или С1-6-алкоксигруппой), -NR123R124 (где R123 и R124 имеют значения, указанные выше), -NR223COR224 (где R223 и R224 имеют значения, указанные выше), -COR27 (где R27 представляет собой С1-6-алкильную группу, С1-6-алкоксигруппу, циклоалкильную группу, аралкильную группу, аралкоксигруппу, циклоалкилалкоксигруппу или гидроксильную группу), -CONR23R24 (где R23 и R24 имеют значения, указанные выше), гетероциклической группы в виде насыщенной или ненасыщенной группы-заместителя, которая имеет 1-3 атома азота в качестве гетероатомов (где указанная гетероциклическая группа может быть замещена группой-заместителем, выбранной из гидроксильной группы, -CONR723R724 (где R723 и R724 являются одинаковыми или разными и каждый представляет собой атом водорода или С1-6-алкильную группу, которая может быть замещена 1-5 заместителями, выбранными из группы А), С1-6-алкоксигруппы, карбоксильной группы, С1-6-алкильной группы, которая может быть замещена С1-6-алкоксигруппой, C1-6-алкоксикарбонильной группой и ацилоксигруппой), -O-R28 (где R28 представляет собой ацильную группу, карбоциклическую группу, которая может быть замещена 1-5 заместителями, выбранными из (а)-(i) группы С, или гетероциклическую группу, которая может быть замещена 1-5 заместителями, выбранными из (а)-(i) группы С), -O(CR121R122)n-R128 (где R121 и R122 являются одинаковыми или разными и каждый представляет собой атом водорода или С1-6-алкильную группу, n равно 1 или 2 и R128 представляет собой ацильную группу, карбоциклическую группу, которая может быть замещена 1-5 заместителями, выбранными из (а)-(i) группы С, или гетероциклическую группу, которая может быть замещена 1-5 заместителями, выбранными из (а)-(l) группы С), нитрогруппы и цианогруппы, или гетероциклической группы, которая может быть замещена заместителем, как описано для карбоциклической группы (где указанная гетероциклическая группа означает насыщенное или ненасыщенное 5-членное или 6-членное гетероциклическое кольцо, которое имеет 1-4 гетероатома, выбранных из атома азота, атома кислорода и атома серы, или конденсированное кольцо этих гетероциклических колец или конденсированную гетероциклическую группу указанного гетероциклического кольца и карбоциклического кольца, выбранного из бензола, циклопентана и циклогексана).
6. Конденсированное производное бензамида или его фармацевтически приемлемая соль по п.5, где кольцо Р2 как карбоциклическая группа по п.5 представляет собой фенильную группу или циклогексильную группу, или кольцо Р2 как гетероциклическая группа представляет собой тиазолильную группу, пиридильную группу, пиперидильную группу, пиперидиногруппу, хинолильную группу, бензо[1,3]диоксогруппу, 2,3-дигидробензо[1,4]диоксогруппу или 1,2,3,4-тетрагидрохинолильную группу.
7. Конденсированное производное бензамида по п.1, выбранное из: 1) N-(4-трет-бутилфенил)-4-(3-хлорпиридин-2-ил)-3,4-дигидро-2Н-бензо[1,4]оксазин-8-карбоксамида, 2) 8-(4-трет-бутилфенил)карбамоил-4-(3-хлорпиридин-2-ил)-3,4-дигидро-2Н-бензо[1,4]оксазин-8-карбоновой кислоты, 3) N-(4-трет-бутилфенил)-4-(3-хлорпиридин-2-ил)-3-метил-3,4-дигидро-2Н-бензо[1,4]оксазин-8-карбоксамида, 4) N-(4-трет-бутилфенил)-1-(3-хлорпиридин-2-ил)-4-метил-1,2,3,4-тетрагидрохиноксалин-5-карбоксамида, 5) N-(4-трет-бутилфенил)-9-(3-хлорпиридин-2-ил)-6,7,8,9-тетрагидро-5-окса-9-азабензоциклогептен-4-карбоксамида, 6) N-(4-хлорфенил)-4-(3-хлорпиридин-2-ил)-3,4-дигидро-2Н-бензо[1,4]оксазин-8-карбоксамида, 7) 4-(3-хлорпиридин-2-ил)-N-(4-изопропоксифенил)-3,4-дигидро-2Н-бензо[1,4]оксазин-8-карбоксамида, 8) N-(1-трет-бутилпиперидин-4-ил)-4-(3-хлорпиридин-2-ил)-3,4-дигидро-2Н-бензо[1,4]оксазин-8-карбоксамида, 9) 4-(3-хлорпиридин-2-ил)-N-(4-метилфенил)-3,4-дигидро-2Н-бензо[1,4]оксазин-8-карбоксамида, 10) 4-(3-хлорпиридин-2-ил)-N-(транс-4-метилциклогексил)-3,4-дигидро-2Н-бензо[1,4]оксазин-8-карбоксамида, 11) 4-(3-хлорпиридин-2-ил)-N-(4-изобутилоксифенил)-3,4-дигидро-2Н-бензо[1,4]оксазин-8-карбоксамида, 12) N-бeнзил-4-(3-xлopпиpидин-2-ил)-3,4-дигидpo-2H-бeнзo [1,4]оксазин-8-карбоксамида, 13) N-(4-хлорфенил)метил-4-(3-хлорпиридин-2-ил)-3,4-дигидро-2Н-бензо[1,4]оксазин-8-карбоксамида, 14) N-(4-тpeт-бyтилфeнил)мeтил-4-(3-xлopпиpидин-2-ил)-3,4-дигидpo-2H-бензо[1,4]оксазин-8-карбоксамида, 15) 4-(3-хлорпиридин-2-ил)-N-(4-трифторметилфенил)метил-3,4-дигидро-2Н-бензо[1,4]оксазин-8-карбоксамида, 16) N-(4-трет-бутилфенил)-4-(пиридин-2-ил)-3,4-дигидро-2Н-[1,4]оксазин-8-карбоксамида, 17) N-(4-тpeт-бyтилфeнил)-4-(3-тpифтopмeтилпиpидин-2-ил)-3,4-дигидpo-2Н-бензо[1,4]оксазин-8-карбоксамида, 18) N-(4-трет-бутилфенил)-4-(3-хлорпиридин-2-ил)-2,2-диметил-3,4-дигидро-2Н-бензо[1,4]оксазин-8-карбоксамида, 19) N-(4-трет-бутилфенил)-4-(3-хлорпиридин-2-ил)-2-метил-3,4-дигидро-2Н-бензо[1,4]оксазин-8-карбоксамида, 20) N-(4-трет-бутилфенил)-6-хлор-4-(3-хлорпиридин-2-ил)-3,4-дигидро-2Н-бензо[1,4]оксазин-8-карбоксамида, 21) 4-(3-хлорпиридин-2-ил)-N-(4-трифторметилфенил)-3,4-дигидро-2Н-бензо[1,4]оксазин-8-карбоксамида, 22) 4-(3-хлорпиридин-2-ил)-N-(4-трифторметоксифенил)-3,4-дигидро-2Н-бензо[1,4]оксазин-8-карбоксамида, 23) 4-(3-хлорпиридин-2-ил)-N-(4-метоксифенил)-3,4-дигидро-2Н-бензо [1,4]оксазин-8-карбоксамида, 24) N-(транс-4-трет-бутилциклогексил)-4-(3-хлорпиридин-2-ил)-3,4-дигидро-2Н-бензо[1,4]оксазин-8-карбоксамида, 25) 4-(3-хлорпиридин-2-ил)-N-(4-хлор-3-трифторметилфенил)-3,4-дигидро-2Н-бензо[1,4]оксазин-8-карбоксамида, 26) 4-(3-хлорпиридин-2-ил)-N-(4-фторфенил)-3,4-дигидро-2Н-бензо [1,4]оксазин-8-карбоксамида, 27) 4-(3-хлорпиридин-2-ил)-N-(3-трифторметилфенил)-3,4-дигидро-2Н-бензо[1,4]оксазин-8-карбоксамида, 28) 4-(3-хлорпиридин-2-ил)-N-(4-трифторметилтиазол-2-ил)-3,4-дигидро-2Н-бензо[1,4]оксазин-8-карбоксамида, 29) 4-(3-хлорпиридин-2-ил)-N-(5-трифторметилпиридин-2-ил)-3,4-дигидро-2Н-бензо[1,4]оксазин-8-карбоксамида, 30) 4-(3-хлорпиридин-2-ил)-N-(2-трифторметилпиридин-5-ил)-3,4-дигидро-2Н-бензо[1,4]оксазин-8-карбоксамида, 31) 4-(3-хлорпиридин-2-ил)-N-(4-изопропилфенил)-3,4-дигидро-2Н-бензо[1,4]оксазин-8-карбоксамида, 32) 4-(3-хлорпиридин-2-ил)-N-(хинолин-7-ил)-3,4-дигидро-2Н-бензо [1,4]оксазин-8-карбоксамида, 33) 4-(3-хлорпиридин-2-ил)-N-(1-метил-1,2,3,4-тетрагидрохинолин-7-ил)-3,4-дигидро-2Н-бензо[1,4]оксазин-8-карбоксамида, 34) 4-(3-хлорпиридин-2-ил)-N-(4-метоксикарбонилфенил)-3,4-дигидро-2Н-бензо[1,4]оксазин-8-карбоксамида, 35) 4-[4-(3-хлорпиридин-2-ил)-3,4-дигидро-2Н-бензо [1,4]оксазин-8-карбонил]аминобензойной кислоты, 36) N-(4-карбамоилфенил)-4-(3-хлорпиридин-2-ил)-3,4-дигидро-2Н-бензо[1,4]оксазин-8-карбоксамида, 37) 4-(3-хлорпиридин-2-ил)-N-(4-метилкарбамоилфенил)-3,4-дигидро-2Н-бензо[1,4]оксазин-8-карбоксамида, 38) 4-(3-хлорпиридин-2-ил)-N-(4-диметилкарбамоилфенил)-3,4-дигидро-2Н-бензо[1,4]оксазин-8-карбоксамида, 39) N-(4-ацетилфенил)-4-(3-хлорпиридин-2-ил)-3,4-дигидро-2Н-бензо[1,4]оксазин-8-карбоксамида, 40) 4-(3-хлорпиридин-2-ил)-N-[4-(1-гидрокси-1-метил)этилфенил]-3,4-дигидро-2Н-бензо[1,4]оксазин-8-карбоксамида, 41) 4-(3-хлорпиридин-2-ил)-N-[4-(1-гидрокси-1-метил)пропилфенил]-3,4-дигидро-2Н-бензо[1,4]оксазин-8-карбоксамида, 42) 4-(3-хлорпиридин-2-ил)-N-(1-изобутирилпиперидин-4-ил)фенил-3,4-дигидро-2Н-бензо[1,4]оксазин-8-карбоксамида, 43) N-(транс-4-трет-бутоксициклогексил)-4-(3-хлорпиридин-2-ил)-3,4-дигидро-2Н-бензо[1,4]оксазин-8-карбоксамида, 44) 4-(3-хлорпиридин-2-ил)-N-(3-изопропоксифенил)-3,4-дигидро-2Н-бензо[1,4]оксазин-8-карбоксамида, 45) 4-(3-хлорпиридин-2-ил)-N-(3-изобутилоксифенил)-3,4-дигидро-2Н-бензо[1,4]оксазин-8-карбоксамида, 46) N-(4-трет-бутилфенил)-4-(пиридин-4-ил)-3,4-дигидро-2Н-бензо [1,4]оксазин-8-карбоксамида, 47) N-(4-трет-бутилфенил)-4-(3-метилпиридин-2-ил)-3,4-дигидро-2Н-бензо[1,4]оксазин-8-карбоксамида, 48) 4-(3-хлорпиридин-2-ил)-N-(4-пиперидинофенил)-3,4-дигидро-2Н-бензо[1,4]оксазин-8-карбоксамида, 49) 4-(3-хлорпиридин-2-ил)-N-(4-диметиламинофенил)-3,4-дигидро-2Н-бензо[1,4]оксазин-8-карбоксамида, 50) 4-(3-хлорпиридин-2-ил)-N-(4-морфолинофенил)-3,4-дигидро-2Н-бензо[1,4]оксазин-8-карбоксамида, 51) 4-(3-хлорпиридин-2-ил)-N-(3-фтор-4-изопропоксифенил)-3,4-дигидро-2Н-бензо[1,4]оксазин-8-карбоксамида, 52) 4-(3-хлорпиридин-2-ил)-N-(2-фтор-4-изопропоксифенил)-3,4-дигидро-2Н-бензо[1,4]оксазин-8-карбоксамида, 53) 4-(3-хлорпиридин-2-ил)-N-(4-фтор-3-трифторметилфенил)-3,4-дигидро-2Н-бензо[1,4]оксазин-8-карбоксамида, 54) 4-(3-хлорпиридин-2-ил)-N-(4-диметиламино-3-трифторметилфенил)-3,4-дигидро-2Н-бензо[1,4]оксазин-8-карбоксамида, 55) 4-(3-хлорпиридин-2-ил)-N-(4-изопропокси-3-трифторметилфенил)-3,4-дигидро-2Н-бензо[1,4]оксазин-8-карбоксамида, 56) 4-(3-хлорпиридин-2-ил)-N-(4-метокси-3-трифторметилфенил)-3,4-дигидро-2Н-бензо[1,4]оксазин-8-карбоксамида, 57) 4-(3-хлорпиридин-2-ил)-N-(4-изобутилокси-3-трифторметилфенил)-3,4-дигидро-2Н-бензо[1,4]оксазин-8-карбоксамида, 58) N-(4-трет-бутилфенил)-4-(4-метилпиридин-2-ил)-3,4-дигидро-2Н-бензо[1,4]оксазин-8-карбоксамида, 59) N-(4-трет-бутилфенил)-4-(6-метилпиридин-2-ил)-3,4-дигидро-2Н-бензо[1,4]оксазин-8-карбоксамида, 60) N-(4-тpeт-бyтилфeнил)-4-(5-мeтилпиpидин-2-ил)-3,4-дигидpo-2H-бензо[1,4]оксазин-8-карбоксамида, 61) N-(4-трет-бутилфенил)-4-(пиридин-3-ил)-3,4-дигидро-2Н-бензо [1,4]оксазин-8-карбоксамида, 62) N-(4-циaнoфeнил)-4-(5-мeтилпиpидин-2-ил)-3,4-дигидpo-2H-бeнзo [1,4]оксазин-8-карбоксамида, 63) N-(3-амино-4-хлорфенил)-4-(5-метилпиридин-2-ил)-3,4-дигидро-2Н-бензо[1,4]оксазин-8-карбоксамида, 64) N-(3-ацетамидо-4-хлорфенил)-4-(5-метилпиридин-2-ил)-3,4-дигидро-2Н-бензо[1,4]оксазин-8-карбоксамида, 65) N-[4-(4-карбамоилпиперидин-1-ил)-3-фторфенил]-4-(5-метилпиридин-2-ил)-3,4-дигидро-2Н-бензо[1,4]оксазин-8-карбоксамида, 66) N-[3-фтор-4-(4-метилкарбамоилпиперидин-1-ил)фенил]-4-(5-метилпиридин-2-ил)-3,4-дигидро-2Н-бензо[1,4]оксазин-8-карбоксамида, 67) N-[4-(4-диметилкарбамоилпиперидин-1-ил)-3-фторфенил]-4-(5-метилпиридин-2-ил)-3,4-дигидро-2Н-бензо[1,4]оксазин-8-карбоксамида, 68) N-[4-(4-этoкcипипepидин-1-ил)-3-фтopфeнил]-4-(5-мeтилпиpидин-2-ил)-3,4-дигидро-2Н-бензо[1,4]оксазин-8-карбоксамида, 69) N-[3-фтор-4-(4-изопропоксипиперидин-1-ил)фенил]-4-(5-метилпиридин-2-ил)-3,4-дигидро-2Н-бензо[1,4]оксазин-8-карбоксамида, 70) N-[3-фтор-4-(3-метоксипиперидин-1-ил)фенил]-4-(5-метилпиридин-2-ил)-3,4-дигидро-2Н-бензо[1,4]оксазин-8-карбоксамида, 71) N-[3-фтор-4-(4-метоксиметилпиперидин-1-ил)фенил]-4-(5-метилпиридин-2-ил)-3,4-дигидро-2Н-бензо[1,4]оксазин-8-карбоксамида, 72) N-[3-фтор-4-(3-метоксипирролидин-1-ил)фенил]-4-(5-метилпиридин-2-ил)-3,4-дигидро-2Н-бензо[1,4]оксазин-8-карбоксамида, 73) N-(4-изобутилокси-3-метоксикарбонилфенил)-4-(5-метилпиридин-2-ил)-3,4-дигидро-2Н-бензо[1,4]оксазин-8-карбоксамида, 74) 2-изобутилокси-{[4-(5-метилпиридин-2-ил)-3,4-дигидро-2Н-бензо [1,4]оксазин-8-карбонил]амино}бензойной кислоты, 75) N-(3-карбамоил-4-изобутилоксифенил)-4-(5-метилпиридин-2-ил)-3,4-дигидро-2Н-бензо[1,4]оксазин- 8-карбоксамида, 76) N-(4-изобутилокси-3-метилкарбамоилфенил)-4-(5-метилпиридин-2-ил)-3,4-дигидро-2Н-бензо[1,4]оксазин-8-карбоксамида, 77) N-(3-диметилкарбамоил-4-изобутилоксифенил)-4-(5-метилпиридин-2-ил)-3,4-дигидро-2Н-бензо[1,4]оксазин-8-карбоксамида, 78) N-(4-ацетилфенил)-4-(5-метилпиридин-2-ил)-3,4-дигидро-2Н-бензо[1,4]оксазин-8-карбоксамида, 79) N-[4-(1-гидрокси-1-метил)этилфенил]-4-(5-метилпиридин-2-ил)-3,4-дигидро-2Н-бензо[1,4]оксазин-8-карбоксамида, 80) N-(3-ацетил-4-хлорфенил)-4-(5-метилпиридин-2-ил)-3,4-дигидро-2Н-бензо[1,4]оксазин-8-карбоксамида, 81) N-[4-хлор-3-(1-гидрокси-1-метил)этилфенил]-4-(5-метилпиридин-2-ил)-3,4-дигидро-2Н-бензо[1,4]оксазин-8-карбоксамида, 82) N-[4-(1-метокси-1-метил)этилфенил]-4-(5-метилпиридин-2-ил)-3,4-дигидро-2Н-бензо[1,4]оксазин-8-карбоксамида, 83) N-(3-хлор-4-метоксифенил)-4-(5-метилпиридин-2-ил)-3,4-дигидро-2Н-бензо[1,4]оксазин-8-карбоксамида, 84) 4-(5-метилпиридин-2-ил)-N-(4-пропоксифенил)-3,4-дигидро-2Н-бензо[1,4]оксазин-8-карбоксамида, 85) N-(3-фтор-4-пропоксифенил)-4-(5-метилпиридин-2-ил)-3,4-дигидро-2Н-бензо[1,4]оксазин-8-карбоксамида, 86) N-(4-этокси-3-фторфенил)-4-(5-метилпиридин-2-ил)-3,4-дигидро-2Н-бензо[1,4]оксазин-8-карбоксамида, 87) N-(3-этокси-4-метилфенил)-4-(5-метилпиридин-2-ил)-3,4-дигидро-2Н-бензо[1,4]оксазин-8-карбоксамида, 88) N-(3-карбамоилметилокси-4-метилфенил)-4-(5-метилпиридин-2-ил)-3,4-дигидро-2Н-бензо[1,4]оксазин-8-карбоксамида, 89) N-(3-метоксиэтилокси-4-метилфенил)-4-(5-метилпиридин-2-ил)-3,4-дигидро-2Н-бензо[1,4]оксазин-8-карбоксамида, 90) N-[3-фтор-4-(2-метоксиметилпиперидин-1-ил)фенил]-4-(5-метилпиридин-2-ил)-3,4-дигидро-2Н-бензо[1,4]оксазин-8-карбоксамида, 91) N-(4-хлорфенил)-4-(5-метилпиридин-2-ил)-3,4-дигидро-2Н-бензо [1,4]оксазин-8-карбоксамида, 92) N-(3-фтор-4-метилфенил)-4-(5-метилпиридин-2-ил)-3,4-дигидро-2Н-бензо[1,4]оксазин-8-карбоксамида, 93) N-(2-xлopпиpидин-5-ил)-4-(5-мeтилпиpидин-2-ил)-3,4-дигидpo-2H-бензо[1,4]оксазин-8-карбоксамида, 94) 4-(3-хлорпиридин-2-ил)-N-(4-этоксифенил)-3,4-дигидро-2Н-бензо [1,4]оксазин-8-карбоксамида, 95) 4-(3-хлорпиридин-2-ил)-N-(3-фтор-4-пиперидинофенил)-3,4-дигидро-2Н-бензо[1,4]оксазин-8-карбоксамида, 96) 4-(3-хлорпиридин-2-ил)-N-(транс-4-этоксициклогексил)-3,4-дигидро-2Н-бензо[1,4]оксазин-8-карбоксамида, 97) 4-(3-хлорпиридин-2-ил)-N-(транс-4-изопропоксициклогексил)-3,4-дигидро-2Н-бензо[1,4]оксазин-8-карбоксамида, 98) 4-(3-хлорпиридин-2-ил)-N-(транс-4-циклопентилоксициклогексил)-3,4-дигидро-2Н-бензо[1,4]оксазин-8-карбоксамида, 99) 4-(3-хлорпиридин-2-ил)-N-(транс-4-циклогексилоксициклогексил)-3,4-дигидро-2Н-бензо[1,4]оксазин-8-карбоксамида, 100) 4-(3-хлорпиридин-2-ил)-N-(4-трифторметилфенил)-3,4-дигидро-2Н-бензо[1,4]оксазин-8-карбоксамида, 101) 4-(3-хлорпиридин-2-ил)-N-[3-фтор-4-(4-метоксипиперидин-1-ил)фенил]-3,4-дигидро-2Н-бензо[1,4]оксазин-8-карбоксамида, 102) 4-(3-хлорпиридин-2-ил)-N-[4-(4-этоксипиперидин-1-ил)-3-фторфенил]-3,4-дигидро-2Н-бензо[1,4]оксазин-8-карбоксамида, 103) 4-(3-хлорпиридин-2-ил)-N-[3-фтор-4-(4-изопропоксипиперидин-1-ил)фенил]-3,4-дигидро-2Н-бензо[1,4]оксазин-8-карбоксамида, 104) 4-(3-хлорпиридин-2-ил)-N-(3-фтор-4-изобутилоксифенил)-3,4-дигидро-2Н-бензо[1,4]оксазин-8-карбоксамида, 105) N-(транс-4-этоксициклогексил)-4-(5-метилпиридин-2-ил)-3,4-дигидро-2Н-бензо[1,4]оксазин-8-карбоксамида, 106) N-(транс-4-изопропоксициклогексил)-4-(5-метилпиридин-2-ил)-3,4-дигидро-2Н-бензо[1,4]оксазин-8-карбоксамида, 107) N-(транс-4-циклогексилоксициклогексил)-4-(5-метилпиридин-2-ил)-3,4-дигидро-2Н-бензо[1,4]оксазин-8-карбоксамида, 108) N-(транс-4-аминоциклогексил)-4-(5-метилпиридин-2-ил)-3,4-дигидро-2Н-бензо[1,4]оксазин-8-карбоксамида, 109) N-(1,4-диоксаспиро[4,5]дека-8-ил)-4-(5-метилпиридин-2-ил)-3,4-дигидро-2Н-бензо[1,4]оксазин-8-карбоксамида, 110) 4-(5-метилпиридин-2-ил)-N-(4-оксоциклогексил)-3,4-дигидро-2Н-бензо[1,4]оксазин-8-карбоксамида, 111) 4-(5-метилпиридин-2-ил)-N-(цис-4-морфолиноциклогексил)-3,4-дигидро-2Н-бензо[1,4]оксазин-8-карбоксамида, 112) N-(транс-4-диметиламиноциклогексил)-4-(5-метилпиридин-2-ил)-3,4-дигидро-2Н-бензо[1,4]оксазин-8-карбоксамида, 113) N-(транс-4-диэтиламиноциклогексил)-4-(5-метилпиридин-2-ил)-3,4-дигидро-2Н-бензо[1,4]оксазин-8-карбоксамида, 114) 4-(5-метилпиридин-2-ил)-N-[цис-4-(пирролидин-1-ил)циклогексил]-3,4-дигидро-2Н-бензо[1,4]оксазин-8-карбоксамида, 115) 4-(5-метилпиридин-2-ил)-N-[транс-4-(пирролидин-1-ил)циклогексил]-3,4-дигидро-2Н-бензо[1,4]оксазин-8-карбоксамида, 116) 4-(5-метилпиридин-2-ил)-N-(4-пиперидиноциклогексил)-3,4-дигидро-2Н-бензо[1,4]оксазин-8-карбоксамида, 117) 4-(5-метилпиридин-2-ил)-N-(цис-4-морфолиноциклогексил)-3,4-дигидро-2Н-бензо[1,4]оксазин-8-карбоксамида, 118) N-(транс-4-ацетамидоциклогексил)-4-(5-метилпиридин-2-ил)-3,4-дигидро-2Н-бензо[1,4]оксазин-8-карбоксамида, 119) N-(транс-4-циклогексилоксициклогексил)-4-(5-метилпиридин-2-ил)-3,4-дигидро-2Н-бензо[1,4]оксазин-8-карбоксамида, 120) 4-(5-хлорпиридин-2-ил)-N-(4-этоксифенил)-3,4-дигидро-2Н-бензо [1,4] оксазин-8-карбоксамида, 121) N-(4-xлopфeнил)-4-(5-xлopпиpидин-2-ил)-3,4-дигидpo-2H-бeнзo [1,4]оксазин-8-карбоксамида, 122) 4-(5-хлорпиридин-2-ил)-N-[3-фтор-4-(4-метоксипиперидин-1-ил)фенил]-3,4-дигидро-2Н-бензо[1,4]оксазин-8-карбоксамида, 123) 4-(5-хлорпиридин-2-ил)-N-(4-трифторметилфенил)-3,4-дигидро-2Н-бензо[1,4]оксазин-8-карбоксамида, 124) 4-(5-метилпиридин-2-ил)-N-(2-фенилэтил)-3,4-дигидро-2Н-бензо[1,4]оксазин-8-карбоксамида, 125) N-[2-(4-хлорфенил)этил]-4-(5-метилпиридин-2-ил)-3,4-дигидро-2Н-бензо[1,4]оксазин-8-карбоксамида, 126) N-[2-(3-xлopфeнил)этил]-4-(5-мeтилпиpидин-2-ил)-3,4-дигидpo-2H-бензо[1,4]оксазин-8-карбоксамида, 127) N-[2-(2-хлорфенил)этил]-4-(5-метилпиридин-2-ил)-3,4-дигидро-2Н-бензо[1,4]оксазин-8-карбоксамида, 128) 6-[8-(4-трифторметилфенил)карбамоил-2,3-дигидробензо[1,4]оксазин-4-ил]никотиновой кислоты, 129) 4-[3-хлор-5-(1-гидрокси-1-метил)этилпиридин-2-ил]-N-(4-трифторметилфенил)-3,4-дигидро-2Н-бензо[1,4]оксазин-8-карбоксамида, 130) 4-[3-хлор-5-(1-гидроксиэтил)пиридин-2-ил]-N-(4-трифторметилфенил)-3,4-дигидро-2Н-бензо[1,4]оксазин-8-карбоксамида, 131) 5-хлор-6-[8-(3-фтор-4-трифторметилфенил)карбамоил-2,3-дигидробензо[1,4]оксазин-4-ил]никотиновой кислоты, 132) N-(4-трет-бутилфенил)-4-(5-метоксикарбонилпиридин-2-ил)-3,4-дигидро-2Н-бензо[1,4]оксазин-8-карбоксамида, 133) 6-[8-(4-трет-бутилфенил)карбамоил-2,3-дигидробензо[1,4]оксазин-4-ил]никотиновой кислоты, 134) 5-хлор-6-[8-(4-трифторметилфенил)карбамоил-2,3-дигидробензо[1,4]оксазин-4-ил]никотиновой кислоты, 135) 5-хлор-6-[8-(4-трет-бутилфенил)карбамоил-2,3-дигидробензо[1,4]оксазин-4-ил]никотиновой кислоты, 136) 4-(5-ацетил-3-хлорпиридин-2-ил)-N-(4-трифторметилфенил)-3,4-дигидро-2Н-бензо[1,4]оксазин-8-карбоксамида, 137) N-(4-трет-бутилфенил)-4-(5-метилкарбамоилпиридин-2-ил)-3,4-дигидро-2Н-бензо[1,4]оксазин-8-карбоксамида, 138) N-(4-трет-бутилфенил)-4-(5-карбамоилпиридин-2-ил)-3,4-дигидро-2Н-бензо[1,4]оксазин-8-карбоксамида, 139) N-(4-трет-бутилфенил)-4-(5-диэтиламинопиридин-2-ил)-3,4-дигидро-2Н-бензо[1,4]оксазин-8-карбоксамида, 140) N-(4-трет-бутилфенил)-4-(5-нитропиридин-2-ил)-3,4-дигидро-2Н-бензо[1,4]оксазин-8-карбоксамида, 141) 4-(5-аминопиридин-2-ил)-N-(4-трет-бутилфенил)-3,4-дигидро-2Н-бензо[1,4]оксазин-8-карбоксамида, 142) 4-(5-ацетамидопиридин-2-ил)-N-(4-трет-бутилфенил)-3,4-дигидро-2Н-бензо[1,4]оксазин-8-карбоксамида, 143) 4-(5-метоксиметилпиридин-2-ил)-N-(4-трифторметилфенил)-3,4-дигидро-2Н-бензо[1,4]оксазин-8-карбоксамида, 144) 4-(5-этоксипиридин-2-ил)-N-(4-трифторметилфенил)-3,4-дигидро-2Н-бензо[1,4]оксазин-8-карбоксамида, 145) 4-(3-хлор-5-метоксипиридин-2-ил)-N-(4-трифторметилфенил)-3,4-дигидро-2Н-бензо[1,4]оксазин-8-карбоксамида, 146) 4-(5-гидроксипиридин-2-ил)-N-(4-трифторметилфенил)-3,4-дигидро-2Н-бензо[1,4]оксазин-8-карбоксамида, 147) 4-(5-метоксипиридин-2-ил)-N-(4-трифторметилфенил)-3,4-дигидро-2Н-бензо[1,4]оксазин-8-карбоксамида, 148) N-(4-трет-бутилфенил)-4-(4-хлорпиридин-2-ил)-3,4-дигидро-2Н-бензо[1,4]оксазин-8-карбоксамида, 149) 4-(5-фторпиридин-2-ил)-N-(4-трифторметилфенил)-3,4-дигидро-2Н-бензо[1,4]оксазин-8-карбоксамида, 150) 4-(3,5-дифторпиридин-2-ил)-N-(4-трифторметилфенил)-3,4-дигидро-2Н-бензо[1,4]оксазин-8-карбоксамида, 151) N-(4-трет-бутилфенил)-4-(3-метоксипиридин-2-ил)-3,4-дигидро-2Н-бензо[1,4]оксазин-8-карбоксамида, 152) N-(4-трет-бутилпиперидин-1-ил)-4-(5-метилпиридин-2-ил)-3,4-дигидро-2Н-бензо[1,4]оксазин-8-карбоксамида, 153) 4-[5-(2-гидроксиэтокси)пиридин-2-ил]-N-(4-трифторметилфенил)-3,4-дигидро-2Н-бензо[1,4]оксазин-8-карбоксамида, 154) 4-[3-хлор-5-(2-гидроксиэтил)пиридин-2-ил]-N-(4-трифторметилфенил)-3,4-дигидро-2Н-бензо[1,4]оксазин-8-карбоксамида, 155) 4-(5-метилпиридин-2-ил)-N-(4-неопентилоксифенил)-3,4-дигидро-2Н-бензо[1,4]оксазин-8-карбоксамида, 156) N-(3-фтор-4-пиперидинофенил)-4-(5-метилпиридин-2-ил)-3,4-дигидро-2Н-бензо[1,4]оксазин-8-карбоксамида, 157) N-(3-фтор-4-морфолинофенил)-4-(5-метилпиридин-2-ил)-3,4-дигидро-2Н-бензо[1,4]оксазин-8-карбоксамида, 158) N-(3,4-дифторфенил)-4-(5-метилпиридин-2-ил)-3,4-дигидро-2Н-бензо[1,4]оксазин-8-карбоксамида, 159) N-(3-фтор-4-метоксифенил)-4-(5-метилпиридин-2-ил)-3,4-дигидро-2Н-бензо[1,4]оксазин-8-карбоксамида, 160) N-(4-этоксифенил)-4-(5 -метилпиридин-2-ил)-3,4-дигидро-2Н-бензо [1,4]оксазин-8-карбоксамида, 161) N-[4-(2-оксопиперидин-1-ил)фенил]-4-(5-метилпиридин-2-ил)-3,4-дигидро-2Н-бензо[1,4]оксазин-8-карбоксамида, 162) 4-(5-метилпиридин-2-ил)-N-(1-метил-1,2,3,4-тетрагидрохинолин-7-ил)-3,4-дигидро-2Н-бензо[1,4]оксазин-8-карбоксамида, 163) N-(4-диметиламино-3-фторфенил)-4-(5-метилпиридин-2-ил)-3,4-дигидро-2Н-бензо[1,4]оксазин-8-карбоксамида, 164) N-{3-фтор-4-[Н-(2-метоксиэтил)изопропиламино]фенил}-4-(5-метилпиридин-2-ил)-3,4-дигидро-2Н-бензо[1,4]оксазин-8-карбоксамида, 165) N-{4-[N-(2-ацетоксиэтил)изопропиламино]-3-фторфенил}-4-(5-метилпиридин-2-ил)-3,4-дигидро-2Н-бензо[1,4]оксазин-8-карбоксамида, 166) N-{3-фтор-4-[N-(2-гидроксиэтил)изопропиламино]фенил}-4-(5-метилпиридин-2-ил)-3,4-дигидро-2Н-бензо[1,4]оксазин-8-карбоксамида, 167) N-[4-(4-этоксикарбонилпиперидин-1-ил)-3-фторфенил]-4-(5-метилпиридин-2-ил)-3,4-дигидро-2Н-бензо[1,4]оксазин-8-карбоксамида, 168) 1-(4-{[4-(5-метилпиридин-2-ил)-3,4-дигидро-2Н-бензо [1,4]оксазин-8-карбонил]амино}фенил)пиперидин-4-карбоновой кислоты, 169) N-[3-фтор-4-(4-метоксипиперидин-1-ил)фенил]-4-(5-метилпиридин-2-ил)-3,4-дигидро-2Н-бензо[1,4]оксазин-8-карбоксамида, 170) N-[4-(4-ацетоксипиперидин-1-ил)-3-фторфенил]-4-(5-метилпиридин-2-ил)-3,4-дигидро-2Н-бензо[1,4]оксазин-8-карбоксамида, 171) N-[3-фтор-4-(4-гидроксипиперидин-1-ил)фенил]-4-(5-метилпиридин-2-ил)-3,4-дигидро-2Н-бензо[1,4]оксазин-8-карбоксамида, 172) N-(3-метокси-4-метилфенил)-4-(5-метилпиридин-2-ил)-3,4-дигидро-2Н-бензо[1,4]оксазин-8-карбоксамида, 173) N-[3-(2-гидроксиэтокси)-4-метилфенил]-4-(5-метилпиридин-2-ил)-3,4-дигидро-2Н-бензо[1,4]оксазин-8-карбоксамида, 174) N-[4-(1-трет-бутоксикарбонилпиперидин-4-ил)окси-3-фторфенил]-4-(5-метилпиридин-2-ил)-3,4-дигидро-2Н-бензо[1,4]оксазин-8-карбоксамида, 175) N-[4-(пиперидин-4-ил)окси-3-фторфенил]-4-(5-метилпиридин-2-ил)-3,4-дигидро-2Н-бензо[1,4]оксазин-8-карбоксамида, 176) N-(транс-4-этоксикарбонилметилоксициклогексил)-4-(5-метилпиридин-2-ил)-3,4-дигидро-2Н-бензо[1,4]оксазин-8-карбоксамида, 177) (транс-4-{[4-(5-метилпиридин-2-ил)-3,4-дигидро-2Н-бензо[1,4]оксазин-8-карбонил]амино}циклогексилокси)уксусной кислоты, 178) N-(транс-4-карбамоилметоксициклогексил)-4-(5-метилпиридин-2-ил)-3,4-дигидро-2Н-бензо[1,4]оксазин-8-карбоксамида, 179) N-(транс-4-метилкарбамоилметоксициклогексил)-4-(5-метилпиридин-2-ил)-3,4-дигидро-2Н-бензо[1,4]оксазин-8-карбоксамида, 180) N-(транс-4-диметилкарбамоилметоксициклогексил)-4-(5-метилпиридин-2-ил)-3,4-дигидро-2Н-бензо[1,4]оксазин-8-карбоксамида, 181) N-[транс-4-(2-гидроксиэтилокси)циклогексил]-4-(5-метилпиридин-2-ил)-3,4-дигидро-2Н-бензо[1,4]оксазин-8-карбоксамида, 182) N-(транс-4-метоксиметилциклогексил)-4-(5-метилпиридин-2-ил)-3,4-дигидро-2Н-бензо[1,4]оксазин-8-карбоксамида, 183) N-(транс-4-изопропоксиметилциклогексил)-4-(5-метилпиридин-2-ил)-3,4-дигидро-2Н-бензо [1,4]оксазин-8-карбоксамида, 184) N-(цис-4-метоксиметилциклогексил)-4-(5-метилпиридин-2-ил)-3,4-дигидро-2Н-бензо[1,4]оксазин-8-карбоксамида, 185) N-(цис-4-изопропоксиметилциклогексил)-4-(5-метилпиридин-2-ил)-3,4-дигидро-2Н-бензо[1,4]оксазин-8-карбоксамида, 186) N-(транс-4-трет-бутоксиметилциклогексил)-4-(5-метилпиридин-2-ил)-3,4-дигидро-2Н-бензо[1,4]оксазин-8-карбоксамида, 187) N-(транс-4-изобутилоксициклогексил)-4-(5-метилпиридин-2-ил)-3,4-дигидро-2Н-бензо[1,4]оксазин-8-карбоксамида, 188) N-(4,4-диметилциклогексил)-4-(5-метилпиридин-2-ил)-3,4-дигидро-2Н-бензо[1,4]оксазин-8-карбоксамида, 189) N-[транс-4-(3-метилбутилокси)циклогексил]-4-(5-метилпиридин-2-ил)-3,4-дигидро-2Н-бензо[1,4]оксазин-8-карбоксамида, 190) N-(транс-4-бензилоксициклогексил)-4-(5-метилпиридин-2-ил)-3,4-дигидро-2Н-бензо[1,4]оксазин-8-карбоксамида, 191) N-(транс-4-изопропилциклогексил)-4-(5-метилпиридин-2-ил)-3,4-дигидро-2Н-бензо[1,4]оксазин-8-карбоксамида, 192) N-(транс-4-пропилциклогексил)-4-(5-метилпиридин-2-ил)-3,4-дигидро-2Н-бензо[1,4]оксазин-8-карбоксамида, 193) N-(транс-4-неопентилоксициклогексил)-4-(5-метилпиридин-2-ил)-3,4-дигидро-2Н-бензо[1,4]оксазин-8-карбоксамида, 194) N-(4-трет-бутилфенил)-4-(5-метоксиметилпиридин-2-ил)-3,4-дигидро-2Н-бензо[1,4]оксазин-8-карбоксамида, 195) 5-хлор-6-[8-(3-хлор-4-трифторметоксифенил)карбамоил-2,3-дигидробензо[1,4]оксазин-4-ил]никотиновой кислоты, 196) 5-хлор-6-[8-(4-трифторметоксифенил)карбамоил-2,3-дигидробензо[1,4]оксазин-4-ил]никотиновой кислоты, 197) 4-(5-метиламинопиридин-2-ил)-N-(4-трифторметоксифенил)-3,4-дигидро-2Н-бензо[1,4]оксазин-8-карбоксамида, 198) 4-(5-этоксипиридин-2-ил)-N-(4-трифторметоксифенил)-3,4-дигидро-2Н-бензо[1,4]оксазин-8-карбоксамида, 199) 4-(3-хлор-5-метоксипиридин-2-ил)-N-(4-трифторметоксифенил)-3,4-дигидро-2Н-бензо[1,4]оксазин-8-карбоксамида, 200) 4-[5-(2-гидроксиэтокси)пиридин-2-ил]-N-(4-трифторметоксифенил)-3,4-дигидро-2Н-бензо[1,4]оксазин-8-карбоксамида, 201) 4-(5-гидроксипиридин-2-ил)-N-(4-трифторметоксифенил)-3,4-дигидро-2Н-бензо[1,4]оксазин-8-карбоксамида, 202) 4-(5-метоксипиридин-2-ил)-N-(4-трифторметоксифенил)-3,4-дигидро-2Н-бензо[1,4]оксазин-8-карбоксамида, 203) 4-(3-цианопиридин-2-ил)-N-(4-трифторметоксифенил)-3,4-дигидро-2Н-бензо[1,4]оксазин-8-карбоксамида, 204) 4-(3-карбамоилпиридин-2-ил)-N-(4-трифторметоксифенил)-3,4-дигидро-2Н-бензо[1,4]оксазин-8-карбоксамида, 205) 4-(3-метилкарбамоилпиридин-2-ил)-N-(4-трифторметоксифенил)-3,4-дигидро-2Н-бензо[1,4]оксазин-8-карбоксамида, 206) 4-(3-диметилкарбамоилпиридин-2-ил)-N-(4-трифторметоксифенил)-3,4-дигидро-2Н-бензо[1,4]оксазин-8-карбоксамида, 207) 4-(3-бензилоксикарбонилпиридин-2-ил)-N-(4-трифторметоксифенил)-3,4-дигидро-2Н-бензо[1,4]оксазин-8-карбоксамида, 208) 2-[8-(4-трифторметоксифенил)карбамоил-2,3-дигидробензо[1,4]оксазин-4-ил]никотиновой кислоты, 209) 4-(3-бензилоксипиридин-2-ил)-N-(4-трифторметоксифенил)-3,4-дигидро-2Н-бензо[1,4]оксазин-8-карбоксамида, 210) 4-(3-гидроксипиридин-2-ил)-N-(4-трифторметоксифенил)-3,4-дигидро-2Н-бензо[1,4]оксазин-8-карбоксамида, 211) 4-[3-(2-гидроксиэтокси)пиридин-2-ил]-N-(4-трифторметоксифенил)-3,4-дигидро-2Н-бензо[1,4]оксазин-8-карбоксамида, 212) {2-[8-(4-трифторметоксифенилкарбамоил)-2,3-дигидробензо[1,4]оксазин-4-ил]пиридин-3-ил}оксиуксусной кислоты, 213) 4-(3-карбамоилметоксипиридин-2-ил)-N-(4-трифторметоксифенил)-3,4-дигидро-2Н-бензо[1,4]оксазин-8-карбоксамида, 214) 4-(3-метилкарбамоилметоксипиридин-2-ил)-N-(4-трифторметоксифенил)-3,4-дигидро-2Н-бензо[1,4]оксазин-8-карбоксамида, 215) 4-(3-диметилкарбамоилметоксипиридин-2-ил)-N-(4-трифторметоксифенил)-3,4-дигидро-2Н-бензо[1,4]оксазин-8-карбоксамида, 216) 4-[3-(пиридин-2-ил)метилоксипиридин-2-ил]-N-(4-трифторметоксифенил)-3,4-дигидро-2Н-бензо[1,4]оксазин-8-карбоксамида, 217) 4-[3-(пиридин-3-ил)метилоксипиридин-2-ил]-N-(4-трифторметоксифенил)-3,4-дигидро-2Н-бензо[1,4]оксазин-8-карбоксамида, 218) 4-(5-цианопиридин-2-ил)-N-(4-трифторметоксифенил)-3,4-дигидро-2Н-бензо [1,4]оксазин-8-карбоксамида, 219) 4-(5-ацетамидометилпиридин-2-ил)-N-(4-трифторметоксифенил)-3,4-дигидро-2Н-бензо[1,4]оксазин-8-карбоксамида, 220) 4-(3-хлор-5-метоксиметилпиридин-2-ил)-N-(4-трифторметоксифенил)-3,4-дигидро-2Н-бензо[1,4]оксазин-8-карбоксамида, 221) 4-[5-(N-метилацетамидо)метилпиридин-2-ил]-N-(4-трифторметоксифенил)-3,4-дигидро-2Н-бензо[1,4]оксазин-8-карбоксамида, 222) 4-(5-аминометилпиридин-2-ил)-N-(4-трифторметоксифенил)-3,4-дигидро-2Н-бензо[1,4]оксазин-8-карбоксамида, 223) 4-(5-диметиламинометилпиридин-2-ил)-N-(4-трифторметоксифенил)-3,4-дигидро-2Н-бензо[1,4]оксазин-8-карбоксамида, 224) 4-(3-хлорпиридин-2-ил)-2-метилкарбамоил-N-(4-трифторметоксифенил)-3,4-дигидро-2Н-бензо[1,4]оксазин-8-карбоксамида, 225) 4-(6-гидроксиметилпиридин-2-ил)-N-(4-трифторметилфенил)-3,4-дигидро-2Н-бензо[1,4]оксазин-8-карбоксамида, 226) 4-(3-хлорпиридин-2-ил)-2-диметилкарбамоил-N-(4-трифторметоксифенил)-3,4-дигидро-2Н-бензо[1,4]оксазин-8-карбоксамида, 227) 4-(5-карбамоил-3-хлорпиридин-2-ил)-N-(4-трифторметоксифенил)-3,4-дигидро-2Н-бензо[1,4]оксазин-8-карбоксамида, 228) (S)-3-ацетамидометил-4-(3-хлорпиридин-2-ил)-N-(4-трифторметилфенил)-3,4-дигидро-2Н-бензо[1,4]оксазин-8-карбоксамида, 229) (R)-4-(3-хлорпиридин-2-ил)-8-(4-трифторметилфенилкарбамоил)-3,4-дигидро-2Н-бензо[1,4]оксазин-8-карбоновой кислоты, 230) 4-(3-хлорпиридин-2-ил)-2-метоксикарбонил-N-(4-трифторметоксифенил)-3,4-дигидро-2Н-бензо[1,4]оксазин-8-карбоксамида, 231) 4-(3-хлорпиридин-2-ил)-2-гидроксиметил-N-(4-трифторметоксифенил)-3,4-дигидро-2Н-бензо[1,4]оксазин-8-карбоксамида, 232) 4-(3-хлорпиридин-2-ил)-8-(4-трифторметоксифенилкарбамоил)-3,4-дигидро-2Н-бензо[1,4]оксазин-2-карбоновой кислоты, 233) (S)-3-карбамоил-4-(3-хлорпиридин-2-ил)-N-(4-трифторметилфенил)-3,4-дигидро-2Н-бензо[1,4]оксазин-8-карбоксамида, 234) (S)-4-(3-хлорпиридин-2-ил)-3-метилкарбамоил-N-(4-трифторметилфенил)-3,4-дигидро-2Н-бензо[1,4]оксазин-8-карбоксамида, 235) 2-карбамоил-4-(3-хлорпиридин-2-ил)-N-(4-трифторметоксифенил)-3,4-дигидро-2Н-бензо[1,4]оксазин-8-карбоксамида, 236) R-(4-хлорфенил)-N-метил-4-(5-метилпиридин-2-ил)-3,4-дигидро-2Н-бензо[1,4]оксазин-8-карбоксамида, 237) R-(бензо[1,3]диоксол-5-ил)-4-(3-хлор-5-гидроксиметилпиридин-2-ил)-3,4-дигидро-2Н-бензо[1,4]оксазин-8-карбоксамида, 238) N-(2,3-дигидробензо[1,4]диоксин-6-ил)-4-(3-хлор-5-гидроксиметилпиридин-2-ил)-3,4-дигидро-2Н-бензо[1,4]оксазин-8-карбоксамида, 239) 4-(3-хлор-5-гидроксиметилпиридин-2-ил)-N-(4-трифторметоксифенил)-3,4-дигидро-2Н-бензо[1,4]оксазин-8-карбоксамида, 240) 4-(3-хлор-5-гидроксиметилпиридин-2-ил)-N-(3-хлор-4-трифторметоксифенил)-3,4-дигидро-2Н-бензо[1,4]оксазин-8-карбоксамида, 241) 4-(3-хлор-5-гидроксиметилпиридин-2-ил)-N-(4-трифторметилфенил)-3,4-дигидро-2Н-бензо[1,4]оксазин-8-карбоксамида, 242) 4-(3-хлор-5-гидроксиметилпиридин-2-ил)-N-(3-фтор-4-трифторметилфенил)-3,4-дигидро-2Н-бензо[1,4]оксазин-8-карбоксамида, 243) 4-(5-гидроксиметилпиридин-2-ил)-N-(4-трифторметилфенил)-3,4-дигидро-2Н-бензо[1,4]оксазин-8-карбоксамида, 244) 4-(5-гидроксиметилпиридин-2-ил)-N-(4-изобутилоксифенил)-3,4-дигидро-2Н-бензо[1,4]оксазин-8-карбоксамида, 245) 4-(3-хлор-5-метоксиметилпиридин-2-ил)-N-(4-трифторметилфенил)-3,4-дигидро-2Н-бензо[1,4]оксазин-8-карбоксамида, 246) 4-(4-гидроксиметилпиридин-2-ил)-N-(4-трифторметилфенил)-3,4-дигидро-2Н-бензо[1,4]оксазин-8-карбоксамида, 247) 4-(3-гидроксиметилпиридин-2-ил)-N-(4-трифторметоксифенил)-3,4-дигидро-2Н-бензо[1,4]оксазин-8-карбоксамида, 248) (+)-4-{3-хлор-5-(1-гидроксиэтил)пиридин-2-ил}-N-(4-трифторметилфенил)-3,4-дигидро-2Н-бензо[1,4]оксазин-8-карбоксамида, 249) (-)-4-{3-хлор-5-(1-гидроксиэтил)пиридин-2-ил}-N-(4-трифторметилфенил)-3,4-дигидро-2Н-бензо[1,4]оксазин-8-карбоксамида, 250) (+)-4-{3-хлор-5-(1-гидроксиэтил)пиридин-2-ил}-N-(4-трифторметоксифенил)-3,4-дигидро-2Н-бензо[1,4]оксазин-8-карбоксамида, 251) (-)-4-{3-хлор-5-(1-гидроксиэтил)пиридин-2-ил}-N-(4-трифторметоксифенил)-3,4-дигидро-2Н-бензо[1,4]оксазин-8-карбоксамида, 252) 4-(3-хлор-5-гидроксиметилпиридин-2-ил)-N-(2-трифторметилпиридин-5-ил)-3,4-дигидро-2Н-бензо[1,4]оксазин-8-карбоксамида, 253) N-(4-бром-3-хлорфенил)-4-(3-хлор-5-гидроксиметилпиридин-2-ил)-3,4-дигидро-2Н-бензо[1,4]оксазин-8-карбоксамида, 254) 4-[5-(1-гидрокси-1-метил)этилпиридин-2-ил]-N-(4-тpифтopмeтилфeнил)-3,4-дигидpo-2H-бeнзo[1,4]oкcaзин-8-кapбoкcaмидa, 255) 4-(3-хлор-5-гидроксиметилпиридин-2-ил)-N-(4-изопропокси-3-трифторметилфенил)-3,4-дигидро-2Н-бензо[1,4]оксазин-8-карбоксамида, 256) 4-(3-хлор-5-гидроксиметилпиридин-2-ил)-N-(2,3-дихлорпиридин-5-ил)-3,4-дигидро-2Н-бензо[1,4]оксазин-8-карбоксамида, 257) 4-(3-хлор-5-гидроксиметилпиридин-2-ил)-N-(3,4,5-трихлорфенил)-3,4-дигидро-2Н-бензо[1,4]оксазин-8-карбоксамида, 258) 4-(3-хлор-5-гидроксиметилпиридин-2-ил)-N-(6-фторбензотиазол-2-ил)-3,4-дигидро-2Н-бензо[1,4]оксазин-8-карбоксамида, 259) N-(4-бром-3-трифторметилфенил)-N-(3-хлор-5-гидроксиметилпиридин-2-ил)-3,4-дигидро-2Н-бензо[1,4]оксазин-8-карбоксамида, 260) 4-(3-хлор-5-гидроксиметилпиридин-2-ил)-N-(2-трифторметилбензимидазол-5-ил)-3,4-дигидро-2Н-бензо[1,4]оксазин-8-карбоксамида, 261) 4-(3-хлор-5-гидроксиметилпиридин-2-ил)-N-(3,4,5-трифторфенил)-3,4-дигидро-2Н-бензо[1,4]оксазин-8-карбоксамида, 262) 4-(3-хлор-5-гидроксиметилпиридин-2-ил)-N-(4-фтор-3-нитрофенил)-3,4-дигидро-2Н-бензо[1,4]оксазин-8-карбоксамида, 263) N-(3-амино-4-фторфенил)-4-(3-хлор-5-гидроксиметилпиридин-2-ил)-3,4-дигидро-2Н-бензо[1,4]оксазин-8-карбоксамида, 264) N-(трет-бутилфенил)-4-(5-гидроксиметилпиридин-2-ил)-3,4-дигидро-2Н-бензо[1,4]оксазин-8-карбоксамида, 265) N-(3,5-бистрифторметилфенил)-4-(3-хлор-5-гидроксиметилпиридин-2-ил)-3,4-дигидро-2Н-бензо[1,4]оксазин-8-карбоксамида, 266) 4-(3-хлор-5-гидроксиметилпиридин-2-ил)-N-[(2,2,2-трифторэтокси)фенил]-3,4-дигидро-2Н-бензо[1,4]оксазин-8-карбоксамида, 267) 4-(3-хлор-5-гидроксиметилпиридин-2-ил)-N-[3-хлор-(2,2,2-трифторэтокси)фенил]-3,4-дигидро-2Н-бензо[1,4]оксазин-8-карбоксамида, 268) 4-(3-хлор-5-гидроксиметилпиридин-2-ил)-N-(4-трифторметилмеркаптофенил)-3,4-дигидро-2Н-бензо[1,4]оксазин-8-карбоксамида, 269) N-(транс-4-трет-бутилциклогексил)-4-(3-хлор-5-гидроксиметилпиридин-2-ил)-3,4-дигидро-2Н-бензо[1,4]оксазин-8-карбоксамида, 270) 4-(3-хлор-5-гидроксиметилпиридин-2-ил)-N-(3-фтор-4-изопропоксифенил)-3,4-дигидро-2Н-бензо[1,4]оксазин-8-карбоксамида, 271) 4-(3-хлор-5-гидроксиметилпиридин-2-ил)-N-(3-фтор-4-пиперидинофенил)-3,4-дигидро-2Н-бензо[1,4]оксазин-8-карбоксамида, 272) N-(4-трет-бутилфенил)-4-(3-хлор-5-гидроксиметилпиридин-2-ил)-3,4-дигидро-2Н-бензо[1,4]оксазин-8-карбоксамида, 273) 4-(3-хлор-5-гидроксиметилпиридин-2-ил)-N-[4-(1-гидрокси-2,2,2-трифтор-1-трифторметил)этилфенил]-3,4-дигидро-2Н-бензо[1,4]оксазин-8-карбоксамида, 274) 4-(3-хлор-5-гидроксиметилпиридин-2-ил)-N-(2,2,3,3-тетрафтор-2,3-дигидробензо[1,4]диоксин-6-ил)-3,4-дигидро-2Н-бензо[1,4]оксазин-8-карбоксамида, 275) 4-(3-хлор-5-гидроксиметилпиридин-2-ил)-N-(4-изобутилоксифенил)-3,4-дигидро-2Н-бензо[1,4]оксазин- 8-карбоксамида, 276) 4-(3-хлор-5-гидроксиметилпиридин-2-ил)-N-(2,3-дихлорфенил)-3,4-дигидро-2Н-бензо[1,4]оксазин-8-карбоксамида, 277) N-(4-бром-3-фторфенил)-4-(3-хлор-5-гидроксиметилпиридин-2-ил)-3,4-дигидро-2Н-бензо[1,4]оксазин-8-карбоксамида, 278) N-(4-бромфенил)-4-(3-хлор-5-гидроксиметилпиридин-2-ил)-3,4-дигидро-2Н-бензо[1,4]оксазин-8-карбоксамида, 279) 4-(3-хлор-5-гидроксиметилпиридин-2-ил)-N-(3,5-дихлорфенил)-3,4-дигидро-2Н-бензо[1,4]оксазин-8-карбоксамида, 280) 4-(3-хлор-5-гидроксиметилпиридин-2-ил)-N-(4-дифторметоксифенил)-3,4-дигидро-2Н-бензо[1,4]оксазин-8-карбоксамида, 281) 4-(3-хлор-5-гидроксиметилпиридин-2-ил)-N-(4-хлорфенил)-3,4-дигидро-2Н-бензо[1,4]оксазин-8-карбоксамида, 282) 4-(3-хлор-5-гидроксиметилпиридин-2-ил)-N-(4-изопропилфенил)-3,4-дигидро-2Н-бензо[1,4]оксазин-8-карбоксамида, 283) 4-(3-хлор-5-гидроксиметилпиридин-2-ил)-N-(3-трифторметоксифенил)-3,4-дигидро-2Н-бензо[1,4]оксазин-8-карбоксамида, 284) 4-[3-хлор-5-(1-гидроксиэтил)пиридин-2-ил]-N-(3-трифторметоксифенил)-3,4-дигидро-2Н-бензо[1,4]оксазин-8-карбоксамида, 285) 4-(3-хлорпиридин-2-ил)-N-(4-трифторметоксифенил)-3,4-дигидро-3-оксо-2Н-бензо[1,4]оксазин-8-карбоксамида, 286) (R)-4-(3-хлорпиридин-2-ил)-3-гидроксиметил-N-(4-трифторметоксифенил)-3,4-дигидро-2Н-бензо[1,4]оксазин-8-карбоксамида, 287) (R)-4-(3-хлорпиридин-2-ил)-3-гидроксиметил-N-(4-трифторметилфенил)-3,4-дигидро-2Н-бензо[1,4]оксазин-8-карбоксамида, 288) (S)-4-(3-хлорпиридин-2-ил)-3-гидроксиметил-N-(4-трифторметоксифенил)-3,4-дигидро-2Н-бензо[1,4]оксазин-8-карбоксамида, 289) (S)-4-(3-хлорпиридин-2-ил)-3-гидроксиметил-N-(4-трифторметилфенил)-3,4-дигидро-2Н-бензо[1,4]оксазин-8-карбоксамида, 290) (S)-4-(5-хлорпиридин-2-ил)-3-гидроксиметил-N-(4-трифторметоксифенил)-3,4-дигидро-2Н-бензо[1,4]оксазин-8-карбоксамида, 291) (S)-4-(5-хлорпиридин-2-ил)-3-гидроксиметил-N-(4-трифторметилфенил)-3,4-дигидро-2Н-бензо[1,4]оксазин-8-карбоксамида, 292) (S)-3-гидроксиметил-4-(5-метилпиридин-2-ил)-N-(4-трифторметоксифенил)-3,4-дигидро-2Н-бензо[1,4]оксазин-8-карбоксамида, 293) (S)-3-гидроксиметил-4-(5-метилпиридин-2-ил)-N-(4-трифторметилфенил)-3,4-дигидро-2Н-бензо[1,4]оксазин-8-карбоксамида, 294) (S)-4-(3-хлорпиридин-2-ил)-N-(3-фтор-4-изопропоксифенил)-3-гидроксиметил-3,4-дигидро-2Н-бензо [1,4]оксазин-8-карбоксамида, 295) (S)-4-(3-хлорпиридин-2-ил)-N-(3-фтор-4-трифторметоксифенил)-3-гидроксиметил-3,4-дигидро-2Н-бензо [1,4]оксазин-8-карбоксамида, 296) (S)-4-(3-хлорпиридин-2-ил)-N-(3-хлор-4-пиперидинофенил)-3-гидроксиметил-3,4-дигидро-2Н-бензо [1,4]оксазин-8-карбоксамида, 297) (S)-4-(3-хлорпиридин-2-ил)-N-(4-диметиламино-3-фторфенил)-3-гидроксиметил-3,4-дигидро-2Н-бензо[1,4]оксазин-8-карбоксамида, 298) (S)-4-(3-хлорпиридин-2-ил)-N-(3-фтор-4-метилфенил)-3-гидроксиметил-3,4-дигидро-2Н-бензо[1,4]оксазин-8-карбоксамида, 299) (S)-N-(транс-4-трет-бутилциклогексил)-4-(3-хлорпиридин-2-ил)-3-гидроксиметил-3,4-дигидро-2Н-бензо[1,4]оксазин-8-карбоксамида, 300) (S)-4-(3-хлорпиридин-2-ил)-3-гидроксиметил-N-(транс-4-неопентилоксициклогексил)-3,4-дигидро-2Н-бензо[1,4]оксазин-8-карбоксамида, 301) (S)-N-(4-хлорфенил)-4-(3-хлорпиридин-2-ил)-3-гидроксиметил-3,4-дигидро-2Н-бензо[1,4]оксазин-8-карбоксамида, 302) (S)-4-(3-хлорпиридин-2-ил)-3-гидроксиметил-N-(4-изопропилфенил)-3,4-дигидро-2Н-бензо[1,4]оксазин-8-карбоксамида, 303) (S)-4-(3-хлорпиридин-2-ил)-N-(4-фтор-3-трифторметилфенил)-3-гидроксиметил-3,4-дигидро-2Н-бензо[1,4]оксазин-8-карбоксамида, 304) (S)-N-(4-бром-3-хлорфенил)-4-(3-хлорпиридин-2-ил)-3-гидроксиметил-3,4-дигидро-2Н-бензо[1,4]оксазин-8-карбоксамида, 305) (S)-4-(3-хлорпиридин-2-ил)-N-(4-диметиламино-3-трифторметилфенил)-3-гидроксиметил-3,4-дигидро-2Н-бензо[1,4]оксазин-8-карбоксамида, 306) (S)-4-(3-хлорпиридин-2-ил)-N-(4-изопропокси-3-трифторметилфенил)-3-гидроксиметил-3,4-дигидро-2Н-бензо[1,4]оксазин-8-карбоксамида, 307) (S)-4-(3-хлорпиридин-2-ил)-3-гидроксиметил-N-(4-пиперидино-3-трифторметилфенил)-3,4-дигидро-2Н-бензо[1,4]оксазин-8-карбоксамида, 308) (S)-4-(3-хлорпиридин-2-ил)-N-(4-этокси-3-фторфенил)-3-гидроксиметил-3,4-дигидро-2Н-бензо[1,4]оксазин-8-карбоксамида, 309) (S)-4-(3-хлорпиридин-2-ил)-3-гидроксиметил-N-(4-метокси-3-трифторметилфенил)-3,4-дигидро-2Н-бензо[1,4]оксазин-8-карбоксамида, 310) (S)-4-(3-хлор-5-метоксипиридин-2-ил)-3-гидроксиметил-N-(4-трифторметилфенил)-3,4-дигидро-2Н-бензо[1,4]оксазин-8-карбоксамида, 311) (S)-4-(3-хлор-5-метоксипиридин-2-ил)-3-гидроксиметил-N-(4-трифторметоксифенил)-3,4-дигидро-2Н-бензо[1,4]оксазин-8-карбоксамида, 312) (S)-3-гидроксиметил-4-(5-метилпиридин-2-ил)-N-(2-трифторметилпиридин-5-ил)-3,4-дигидро-2Н-бензо[1,4]оксазин-8-карбоксамида, 313) (S)-3-гидроксиметил-N-(4-метокси-3-трифторметилфенил)-4-(5-метилпиридин-2-ил)-3,4-дигидро-2Н-бензо[1,4]оксазин-8-карбоксамида, 314) (S)-3-гидроксиметил-4-(5-метилпиридин-2-ил)-N-(4-пиперидино-3-трифторметилфенил)-3,4-дигидро-2Н-бензо[1,4]оксазин-8-карбоксамида, 315) (S)-N-(3-фтор-4-трифторметилфенил)-3-гидроксиметил-4-(5-метилпиридин-2-ил)-3,4-дигидро-2Н-бензо[1,4]оксазин-8-карбоксамида, 316) (S)-N-(3-хлор-4-трифторметоксифенил)-3-гидроксиметил-4-(5-метилпиридин-2-ил)-3,4-дигидро-2Н-бензо[1,4]оксазин-8-карбоксамида, 317) (S)-R-(3,4-дихлорфенил)-3-гидроксиметил-4-(5-метилпиридин-2-ил)-3,4-дигидро-2Н-бензо[1,4]оксазин-8-карбоксамида, 318) (S)-4-(3-хлорпиридин-2-ил)-3-гидроксиметил-Н-(4-изобутилокси-3-трифторметилфенил)-3,4-дигидро-2Н-бензо[1,4]оксазин-8-карбоксамида, 319) (S)-4-(3-хлорпиридин-2-ил)-N-(3,4-дихлорфенил)-3-гидроксиметил-3,4-дигидро-2Н-бензо[1,4]оксазин-8-карбоксамида, 320) (S)-4-(3-хлорпиридин-2-ил)-N-(4-хлор-3-трифторметилфенил)-3-гидроксиметил-3,4-дигидро-2Н-бензо[1,4]оксазин-8-карбоксамида, 321) (S)-N-(4-бром-3-фторфенил)-4-(3-хлорпиридин-2-ил)-3-гидроксиметил-3,4-дигидро-2Н-бензо[1,4]оксазин-8-карбоксамида, 322) (S)-N-(4-хлор-3-трифторметилфенил)-3-гидроксиметил-4-(5-метилпиридин-2-ил)-3,4-дигидро-2Н-бензо[1,4]оксазин-8-карбоксамида, 323) (S)-3-гидpoкcимeтил-N-(4-изoпpoпoкcи-3-тpифтopмeтилфeнил)-4-(5-метилпиридин-2-ил)-3,4-дигидро-2Н-бензо[1,4]оксазин-8-карбоксамида, 324) (S)-4-(3-хлорпиридин-2-ил)-3-гидроксиметил-N-(4-морфолино-3-трифторметилфенил)-3,4-дигидро-2Н-бензо[1,4]оксазин-8-карбоксамида, 325) (S)-N-(2-хлор-4-трифторметилфенил)-3-гидроксиметил-4-(5-метилпиридин-2-ил)-3,4-дигидро-2Н-бензо[1,4]оксазин-8-карбоксамида, 326) (S)-3-гидроксиметил-4-(3-метилпиридин-2-ил)-N-(4-трифторметоксифенил)-3,4-дигидро-2Н-бензо[1,4]оксазин-8-карбоксамида, 327) (S)-3-гидроксиметил-4-(3-метилпиридин-2-ил)-N-(4-трифторметилфенил)-3,4-дигидро-2Н-бензо[1,4]оксазин-8-карбоксамида, 328) (S)-N-(4-трет-бутокси-3-фторфенил)-4-(3-хлорпиридин-2-ил)-3-гидроксиметил-3,4-дигидро-2Н-бензо[1,4]оксазин-8-карбоксамида, 329) (S)-4-(3-хлорпиридин-2-ил)-N-(3-фтор-4-изобутилоксифенил)-3-гидроксиметил-3,4-дигидро-2Н-бензо[1,4]оксазин-8-карбоксамида, 330) (S)-3-гидроксиметил-N-(4-изобутилокси-3-трифторметилфенил)-4-(5-метилпиридин-2-ил)-3,4-дигидро-2Н-бензо[1,4]оксазин-8-карбоксамида, 331) (S)-N-(3-фтор-4-изопропоксифенил)-3-гидроксиметил-4-(5-метилпиридин-2-ил)-3,4-дигидро-2Н-бензо[1,4]оксазин-8-карбоксамида, 332) (S)-N-(3-фтор-4-морфолинофенил)-3-гидроксиметил-4-(5-метилпиридин-2-ил)-3,4-дигидро-2Н-бензо[1,4]оксазин-8-карбоксамида, 333) (S)-N-(4-хлорфенил)-3-гидроксиметил-4-(5-метилпиридин-2-ил)-3,4-дигидро-2Н-бензо[1,4]оксазин-8-карбоксамида, 334) (S)-3-гидроксиметил-4-(5-метилпиридин-2-ил)-N-(2-морфолино-4-трифторметилфенил)-3,4-дигидро-2Н-бензо[1,4]оксазин-8-карбоксамида, 335) (S)-N-(4-трет-бутокси-3-фторфенил)-3-гидроксиметил-4-(5-метилпиридин-2-ил)-3,4-дигидро-2Н-бензо[1,4]оксазин-8-карбоксамида, 336) (S)-N-(4-бром-3-фторфенил)-3-гидроксиметил-4-(5-метилпиридин-2-ил)-3,4-дигидро-2Н-бензо[1,4]оксазин-8-карбоксамида, 337) 4-(3-хлорпиридин-2-ил)-3-гидроксиметил-N-(4-трифторметоксифенил)-3,4-дигидро-2Н-бензо[1,4]оксазин-8-карбоксамида, 338) (S)-4-(3-хлорпиридин-2-ил)-N-(3-фтор-4-трифторметилфенил)-3-гидроксиметил-3,4-дигидро-2Н-бензо[1,4]оксазин-8-карбоксамида, 339) (S)-N-(3-фтор-4-изобутилоксифенил)-3-гидроксиметил-4-(5-метилпиридин-2-ил)-3,4-дигидро-2Н-бензо[1,4]оксазин-8-карбоксамида, 340) (S)-N-(4-фтор-3-трифторметилфенил)-3-гидроксиметил-4-(5-метилпиридин-2-ил)-3,4-дигидро-2Н-бензо[1,4]оксазин-8-карбоксамида, 341) 4-(3-хлорпиридин-2-ил)-3-(1-гидроксиэтил)-N-(4-трифторметоксифенил)-3,4-дигидро-2Н-бензо[1,4]оксазин-8-карбоксамида, 342) (R)-9-(3-xлopпиpидин-2-ил)-7-гидpoкcи-(4-тpифтopмeтoкcифeнил)-6,7,8,9-тетрагидро-5-окса-9-азабензоциклогептан-4-карбоксамида, 343) (R)-9-(3-хлорпиридин-2-ил)-7-гидрокси-(4-трифторметилфенил)-6,7,8,9-тетрагидро-5-окса-9-азабензоциклогептан-4-карбоксамида, 344) (S)-9-(3-хлорпиридин-2-ил)-7-гидрокси-(4-трифторметоксифенил)-6,7,8,9-тетрагидро-5-окса-9-азабензоциклогептан-4-карбоксамида, 345) N-(4-трет-бутилфенил)-4-(пиразин-2-ил)-3,4-дигидро-2Н-бензо[1,4]оксазин-8-карбоксамида, 346) N-(4-хлорфенил)-4-(5-этилпиримидин-2-ил)-3,4-дигидро-2Н-бензо[1,4]оксазин-8-карбоксамида, 347) N-(4-этоксифенил)-4-(5-этилпиримидин-2-ил)-3,4-дигидро-2Н-бензо[1,4]оксазин-8-карбоксамида, 348) 4-(6-хлорпиридазин-3-ил)-N-(4-трифторметилфенил)-3,4-дигидро-2Н-бензо[1,4]оксазин-8-карбоксамида, 349) 4-(4-метилтиазол-2-ил)-N-(4-трифторметоксифенил)-3,4-дигидро-2Н-бензо[1,4]оксазин-8-карбоксамида, 350) 4-(5-метилтиазол-2-ил)-N-(4-трифторметоксифенил)-3,4-дигидро-2Н-бензо[1,4]оксазин-8-карбоксамида, 351) (S)-3-гидроксиметил-4-(5-метилтиазол-2-ил)-N-(4-трифторметоксифенил)-3,4-дигидро-2Н-бензо[1,4]оксазин-8-карбоксамида, 352) (S)-3-гидроксиметил-4-(5-метилтиазол-2-ил)-N-(4-трифторметилфенил)-3,4-дигидро-2Н-бензо[1,4]оксазин-8-карбоксамида, 353) (S)-N-(3,4-дихлорфенил)-3-гидроксиметил-4-(5-метилтиазол-2-ил)-3,4-дигидро-2Н-бензо[1,4]оксазин-8-карбоксамида, 354) (S)-N-(3-фтор-4-изопропоксифенил)-3-гидроксиметил-4-(5-метилтиазол-2-ил)-3,4-дигидро-2Н-бензо[1,4]оксазин-8-карбоксамида, 355) (S)-R-(3-фтор-4-трет-бутоксифенил)-3-гидроксиметил-4-(5-метилтиазол-2-ил)-3,4-дигидро-2Н-бензо[1,4]оксазин-8-карбоксамида, 356) (S)-N-(3-фтор-4-изобутилоксифенил)-3-гидроксиметил-4-(5-метилтиазол-2-ил)-3,4-дигидро-2Н-бензо[1,4]оксазин-8-карбоксамида, 357) (S)-N-(4-бром-3-фторфенил)-3-гидроксиметил-4-(5-метилтиазол-2-ил)-3,4-дигидро-2Н-бензо[1,4]оксазин-8-карбоксамида, 358) (S)-R-(4-фтор-3-трифторметилфенил)-3-гидроксиметил-4-(5-метилтиазол-2-ил)-3,4-дигидро-2Н-бензо[1,4]оксазин-8-карбоксамида, 359) (S)-N-(3-фтор-4-морфолинофенил)-3-гидроксиметил-4-(5-метилтиазол-2-ил)-3,4-дигидро-2Н-бензо[1,4]оксазин-8-карбоксамида, 360) (S)-3-гидроксиметил-4-(5-метилтиазол-2-ил)-N-(2-трифторметилпиридин-5-ил)-3,4-дигидро-2Н-бензо[1,4]оксазин-8-карбоксамида, 361) (S)-3-гидроксиметил-4-(5-метилоксазол-2-ил)-N-(4-трифторметоксифенил)-3,4-дигидро-2Н-бензо[1,4]оксазин-8-карбоксамида, 362) (S)-3-гидроксиметил-4-(5-метилоксазол-2-ил)-N-(4-трифторметилфенил)-3,4-дигидро-2Н-бензо[1,4]оксазин-8-карбоксамида, 363) (S)-4-(4,5-диметилтиазол-2-ил)-3-гидроксиметил-N-(4-трифторметоксифенил)-3,4-дигидро-2Н-бензо[1,4]оксазин-8-карбоксамида, 364) (S)-4-(4,5-диметилтиазол-2-ил)-3-гидроксиметил-N-(4-трифторметилфенил)-3,4-дигидро-2Н-бензо[1,4]оксазин-8-карбоксамида, 365) (S)-3-гидроксиметил-4-(5-метил[1,3,4]тиадиазол-2-ил)-N-(4-трифторметоксифенил)-3,4-дигидро-2Н-бензо[1,4]оксазин-8-карбоксамида, 366) (S)-3-гидроксиметил-4-(5-метил[1,3,4]тиадиазол-2-ил)-N-(4-трифторметилфенил)-3,4-дигидро-2Н-бензо[1,4]оксазин-8-карбоксамида, 367) 4-(4,5-диметилтиазол-2-ил)-N-(4-трифторметоксифенил)-3,4-дигидро-2Н-бензо[1,4]тиазин-8-карбоксамида, 368) 4-(4,5-диметилтиазол-2-ил)-N-(4-трифторметоксифенил)-1-оксо-3,4-дигидробензо[1,4]тиазин-8-карбоксамида, 369) N-(4-трет-бутилфенил)-4-(4-метоксифенил)-3,4-дигидро-2Н-бензо [1,4]оксазин-8-карбоксамида, 370) N-(4-изобутилоксифенил)-4-(4-метоксифенил)-3,4-дигидро-2Н-бензо[1,4]оксазин-8-карбоксамида, 371) N-(4-хлорфенил)-4-(4-метоксифенил)-3,4-дигидро-2Н-бензо[1,4]оксазин-8-карбоксамида, 372) (S)-4-(2-хлорфенил)-3-гидроксиметил-N-(4-трифторметоксифенил)-3,4-дигидро-2Н-бензо[1,4]оксазин-8-карбоксамида, 373) (S)-4-(2-хлорфенил)-3-гидроксиметил-N-(4-трифторметилфенил)-3,4-дигидро-2Н-бензо[1,4]оксазин-8-карбоксамида, 374) (S)-4-(2-хлорфенил)-N-(3-фтор-4-трифторметилфенил)-3-гидроксиметил-3,4-дигидро-2Н-бензо[1,4]оксазин-8-карбоксамида, 375) (S)-4-(4-хлорфенил)-3-гидроксиметил-N-(4-трифторметоксифенил)-3,4-дигидро-2Н-бензо[1,4]оксазин-8-карбоксамида, 376) (S)-3-гидроксиметил-4-(4-метоксифенил)-N-(4-трифторметоксифенил)-3,4-дигидро-2Н-бензо[1,4]оксазин-8-карбоксамида, 377) (S)-3-гидроксиметил-4-(4-метоксифенил)-N-(4-трифторметилфенил)-3,4-дигидро-2Н-бензо[1,4]оксазин-8-карбоксамида, 378) (S)-4-(4-хлорфенил)-3-гидроксиметил-N-(4-трифторметилфенил)-3,4-дигидро-2Н-бензо[1,4]оксазин-8-карбоксамида и 379) (S)-4-(4-хлорфенил)-N-(4-хлорфенил)-3-гидроксиметил-3,4-дигидро-2Н-бензо[1,4]оксазин-8-карбоксамида, или его фармацевтически приемлемая соль.
8. Фармацевтическая композиция, обладающая ингибирующей активностью в отношении подтипа 1 рецептора ваниллоида, включающая конденсированное производное бензамида или его фармацевтически приемлемую соль по любому из пп.1-7 и фармацевтически приемлемый носитель.
9. Фармацевтическая композиция по п.8, используемая при заболеваниях, выбранных из боли, острой боли, хронической боли, невропатической боли, боли при ревматоидном артрите, невралгии, невропатии, гипералгезии, мигрени, боли суставов, острой постгерпетической невралгии, постгерпетической невралгии, хронической постгерпетической невралгии, послеоперационной боли, раковой боли, воспалительной боли, интерстициального цистита, посттравматической невралгии, диабетической невропатии, нейродегенеративного заболевания, церебральной апоплексии, ишемического симптома, повреждения нерва, нейрогенного повреждения кожи, воспалительного заболевания, зуда, аллергического ринита, апоплексии, синдрома раздраженной толстой кишки, астмы, хронического закупоривающего легочного заболевания, дерматита, воспаления слизистой оболочки, язвы желудка и двенадцатиперстной кишки и воспалительного заболевания кишечника, повышенной чувствительности мочевого пузыря и гиперактивного мочевого пузыря типа частого мочеиспускания и недержания мочи.
10. Фармацевтическая композиция по п.9, где заболевание является болью, выбранной из острой боли, хронической боли, невропатической боли, боли при ревматоидном артрите, невралгии, невропатии, гипералгезии, мигрени, боли суставов, острой постгерпетической невралгии, постгерпетической невралгии, хронической постгерпетической невралгии, послеоперационной боли, раковой боли, воспалительной боли, интерстициального цистита, посттравматической невралгии, диабетической невропатии или нейродегенеративного заболевания.
11. Соединение по пп.1-7 в качестве ингибитора активности подтипа 1 рецептора ваниллоида (VR1).
12. Способ лечения и/или профилактики заболевания, опосредованного активностью подтипа 1 рецептора ваниллоида, выбранного из боли, острой боли, хронической боли, невропатической боли, боли при ревматоидном артрите, невралгии, невропатии, гипералгезии, мигрени, боли суставов, острой постгерпетической невралгии, постгерпетической невралгии, хронической постгерпетической невралгии, послеоперационной боли, раковой боли, воспалительной боли, интерстициального цистита, посттравматической невралгии, диабетической невропатии, нейродегенеративного заболевания, церебральной апоплексии, ишемического симптома, повреждения нерва, нейрогенного повреждения кожи, воспалительного заболевания, зуда, аллергического ринита, апоплексии, синдрома раздраженной толстой кишки, астмы, хронического закупоривающего легочного заболевания, дерматита, воспаления слизистой оболочки, язвы желудка и двенадцатиперстной кишки и воспалительного заболевания кишечника, повышенной чувствительности мочевого пузыря и гиперактивного мочевого пузыря типа частого мочеиспускания и недержания мочи, отличающийся тем, что включает введение фармакологически эффективного количества конденсированного производного бензамида или его фармацевтически приемлемой соли по любому из пп.1-7.
13. Способ по п.12, где заболевание является болью, выбранной из острой боли, хронической боли, невропатической боли, боли при ревматоидном артрите, невралгии, невропатии, гипералгезии, мигрени, боли суставов, острой постгерпетической невралгии, постгерпетической невралгии, хронической постгерпетической невралгии, послеоперационной боли, раковой боли, воспалительной боли, интерстициального цистита, посттравматической невралгии, диабетической невропатии или нейродегенеративного заболевания.
14. Способ по п.12, где заболевание является послеоперационной невралгией, отличающийся тем, что соединение по пп.1-7 вводят после проведения хирургической операции, выбранной из иссечения рубца, отверждения нерва замораживанием, иссечения периферического нерва, иссечения дорсальных корешков спинного мозга, симпатэктомии, деструкции входной зоны дорсальных корешков спинного мозга, кордотомии и иссечения лобной доли (головного мозга).
15. Коммерческая упаковка, включающая фармацевтическую композицию по любому из пп.8-10 и относящиеся к этой фармацевтической композиции написанные инструкции, указывающие, что эту композицию можно применять или нужно применять для лечения и/или профилактики заболевания, выбранного из боли, острой боли, хронической боли, невропатической боли, боли при ревматоидном артрите, невралгии, невропатии, гипералгезии, мигрени, боли суставов, острой постгерпетической невралгии, постгерпетической невралгии, хронической постгерпетической невралгии, послеоперационной боли, раковой боли, воспалительной боли, интерстициального цистита, посттравматической невралгии, диабетической невропатии, нейродегенеративного заболевания, церебральной апоплексии, ишемического симптома, повреждения нерва, нейрогенного повреждения кожи, воспалительного заболевания, зуда, аллергического ринита, апоплексии, синдрома раздраженной толстой кишки, астмы, хронического закупоривающего легочного заболевания, дерматита, воспаления слизистой оболочки, язвы желудка и двенадцатиперстной кишки и воспалительного заболевания кишечника, повышенной чувствительности мочевого пузыря и гиперактивного мочевого пузыря типа частого мочеиспускания и недержания мочи.
16. Применение конденсированного производного бензамида или его фармацевтически приемлемой соли по любому из пп.1-7 для получения фармацевтической композиции по п.8 для лечения и/или профилактики заболевания, выбранного из боли, острой боли, хронической боли, невропатической боли, боли при ревматоидном артрите, невралгии, невропатии, гипералгезии, мигрени, боли суставов, острой постгерпетической невралгии, постгерпетической невралгии, хронической постгерпетической невралгии, послеоперационной боли, раковой боли, воспалительной боли, интерстициального цистита, посттравматической невралгии, диабетической невропатии, нейродегенеративного заболевания, церебральной апоплексии, ишемического симптома, повреждения нерва, нейрогенного повреждения кожи, воспалительного заболевания, зуда, аллергического ринита, апоплексии, синдрома раздраженной толстой кишки, астмы, хронического закупоривающего легочного заболевания, дерматита, воспаления слизистой оболочки, язвы желудка и двенадцатиперстной кишки и воспалительного заболевания кишечника, повышенной чувствительности мочевого пузыря и гиперактивного мочевого пузыря типа частого мочеиспускания и недержания мочи.
17. Применение по п.16, где заболевание является болью, выбранной из острой боли, хронической боли, невропатической боли, боли при ревматоидном артрите, невралгии, невропатии, гипералгезии, мигрени, боли суставов, острой постгерпетической невралгии, постгерпетической невралгии, хронической постгерпетической невралгии, послеоперационной боли, раковой боли, воспалительной боли, интерстициального цистита, посттравматической невралгии, диабетической невропатии или нейродегенеративного заболевания.
|
|