|
|
(21), (22) Заявка: 2007113188/04, 09.09.2005
(24) Дата начала отсчета срока действия патента:
09.09.2005
(30) Конвенционный приоритет:
10.09.2004 US 60/608,589 05.10.2004 US 60/616,017
(43) Дата публикации заявки: 20.10.2008
(46) Опубликовано: 20.06.2010
(56) Список документов, цитированных в отчете о поиске:
US 5064847, 12.11.1991. GB 2265371 A, 29.09.1993. RU 2126392 C1, 20.09.1999. US 6093736, 25.07.2000.
(85) Дата перевода заявки PCT на национальную фазу:
10.04.2007
(86) Заявка PCT:
US 2005/032080 20050909
(87) Публикация PCT:
WO 2006/031631 20060323
Адрес для переписки:
129090, Москва, ул. Б.Спасская, 25, стр.3, ООО “Юридическая фирма Городисский и Партнеры”, пат.пов. Е.Е.Назиной
|
(72) Автор(ы):
ЛИ Ши-Фух (US), ГЛИДТ Миках (US)
(73) Патентообладатель(и):
СИНДЖЕНТА ЛИМИТЕД (GB)
|
(54) ЗАМЕЩЕННЫЕ ИЗОКСАЗОЛЫ В КАЧЕСТВЕ ФУНГИЦИДОВ
(57) Реферат:
Описывается соединение формулы I, где R1 означает алкил; фенилалкил, необязательно замещенный галогеном; фенил, необязательно замещенный галогеном, галогеналкилом или алкокси; тиенил, необязательно замещенный галогеном; или бензо[b]тиенил, необязательно замещенный галогеном; R2 означает пиридил или пиримидинил; R3 означает алкил; галогеналкил; фенилоксиалкил, необязательно замещенный галогеном или алкилом; фенил, необязательно замещенный галогеном, алкилом или алкокси; тиенил или алкилсилил; R4 означает Н; или его соль и способы его получения. Описывается также промежуточное соединение формулы VI и способ его получения, композиция для борьбы с патогенными микроорганизмами и различные способы борьбы с патогенными микроорганизмами. 8 н. и 21 з.п. ф-лы, 1 табл.
 
По данной заявке испрашивается приоритет по предварительной патентной заявке США с регистрационным номером 60/608589, поданной 10 сентября 2004 года, описание которой включено посредством ссылки в настоящее описание во всей ее полноте.
Данное изобретение относится к замещенным изоксазолам, их композициям и способам их применения для борьбы с микробными вредителями, в частности грибковыми вредителями на растениях.
Сфера распространения серьезных грибковых инфекций, как системных, так и локальных, продолжает увеличиваться для растений, животных и людей. Многие грибы являются обычными в окружающей среде и не вредоносными для растений или животных. Однако некоторые грибы могут вызывать болезни у растений, людей и/или животных.
Фунгициды представляют собой соединения природного или синтетического происхождения, которые защищают растения от поражения, вызываемого грибами, включающими оомицеты. Современные способы сельского хозяйства интенсивно нацелены на применение фунгицидов. Фактически некоторые культуры не могут быть выращены успешно без применения фунгицидов. Применение фунгицидов позволяет растениеводу повысить урожай культуры и, следовательно, увеличить стоимость продукции. Были разработаны многочисленные фунгицидные средства. Однако лечение грибковых инвазий и инфекций продолжает оставаться важной проблемой. Кроме того, устойчивость к фунгицидам и устойчивость к противогрибковым лекарственным средствам стала серьезной проблемой, сделав данные средства неэффективными для некоторых сельскохозяйственных и терапевтических применений. Таким образом, существует потребность в разработке новых фунгицидных и противогрибковых соединений (см., например, патент США 6673827; см. также патент США 6617330, Walter, в котором описаны пиридин-4-енамины в качестве фунгицидов).
R. Anderson et al. в патенте США 5627137 описывают получение азинилфталидов и родственных соединений в качестве гербицидов.
R. Friary et al. в патенте США 5679692 описывают получение пиридилкарбонилпиперидин-4-метанолов и аналогов в качестве антигистаминных средств и антагонистов фактора активации тромбоцитов.
Первый аспект данного изобретения представляет собой соединение формулы I:

где
R1 означает алкил; алкоксиалкил; галогеналкил; арилалкил, необязательно замещенный галогеном, алкилом, алкенилом, алкинилом, галогеналкилом, алкокси, алкилтио, галогеналкокси, циано или нитро; арил, необязательно замещенный галогеном, алкилом, алкенилом, алкинилом, галогеналкилом, алкокси, алкилтио, галогеналкокси, циано или нитро; или гетероарил, необязательно замещенный галогеном, алкилом, алкенилом, алкинилом, галогеналкилом, алкокси, алкилтио, галогеналкокси, циано или нитро;
R2 означает алкил; алкоксиалкил; галогеналкил; арилалкил, необязательно замещенный галогеном, алкилом, алкенилом, алкинилом, галогеналкилом, алкокси, алкилтио, галогеналкокси, циано или нитро; арил, необязательно замещенный галогеном, алкилом, алкенилом, алкинилом, галогеналкилом, алкокси, алкилтио, галогеналкокси, циано или нитро; гетероарил, особенно 2-, 3- или 4-пиридил, необязательно замещенный галогеном, алкилом, алкенилом, алкинилом, галогеналкилом, алкокси, алкилтио, галогеналкокси, циано или нитро; 5-пиримидинил, необязательно замещенный галогеном, алкилом, алкенилом, алкинилом, галогеналкилом, алкокси, алкилтио, галогеналкокси, циано или нитро; или 2- или 5-тиазолил, необязательно замещенный галогеном, алкилом, алкенилом, алкинилом, алкокси, алкилтио, галогеналкилом, циано или нитро;
R3 означает Н; алкил; алкоксиалкил; галогеналкил; арилалкил, необязательно замещенный галогеном, алкилом, алкенилом, алкинилом, галогеналкилом, алкокси, алкилтио, галогеналкокси, циано или нитро; арилоксиалкил, необязательно замещенный галогеном, алкилом, алкенилом, алкинилом, галогеналкилом, алкокси, алкилтио, галогеналкокси, циано или нитро; арилтиоалкил, необязательно замещенный галогеном, алкилом, алкенилом, алкинилом, галогеналкилом, алкокси, алкилтио, галогеналкокси, циано или нитро; арил, необязательно замещенный галогеном, алкилом, алкенилом, алкинилом, галогеналкилом, алкокси, алкилтио, галогеналкокси, циано, нитро; гетероарил, необязательно замещенный галогеном, алкилом, алкенилом, алкинилом, галогеналкилом, алкокси, алкилтио, галогеналкокси, циано или нитро; или алкилсилил;
R4 означает Н; ацил (например, ацетил, бензоил, фенилацетил); галогенацил; алкоксикарбонил; арилоксикарбонил; алкиламинокарбонил или диалкиламинокарбонил;
или его соль.
Соединения и композиции данного изобретения полезны в качестве средств защиты культурных растений для уничтожения или предотвращения грибковых инвазий или для борьбы с другими вредителями, такими как сорняки, насекомые или клещи, которые наносят вред культурам.
Второй аспект данного изобретения представляет собой композицию для борьбы с патогенными для растений микроорганизмами или для их профилактики, содержащую активное соединение или смесь соединений, описанных в данном описании, в комбинации вместе с подходящим носителем.
Третий аспект данного изобретения представляет собой способ борьбы или профилактики инвазии культивируемых растений патогенными микроорганизмами, включающий применение активного соединения или комбинации соединений, описанных в данном описании, к указанным растениям, их частям или их месторасположению в количестве, эффективном для борьбы с указанными микроорганизмами.
Следующий аспект данного изобретения представляет собой способ борьбы или профилактики инвазии технических материалов патогенными микроорганизмами, включающий применение активного соединения, описанного в данном описании, к указанным техническим материалам, их частям или их месторасположению в количестве, эффективном для борьбы с указанными микроорганизмами.
Следующий аспект данного изобретения представляет собой способ лечения грибковой инфекции у субъекта, нуждающегося в этом, включающий введение активного соединения, описанного в данном описании, указанному субъекту в количестве, эффективном для лечения указанной грибковой инфекции.
Еще дополнительный аспект данного изобретения представляет собой применение активного соединения, описанного в данном описании, для получения композиции (например, сельскохозяйственного препарата, фармацевтического препарата) для осуществления способа, описанного в данном описании (например, сельскохозяйственная обработка, описанная в данном описании, обработка технических материалов, описанная в данном описании, лечение грибковой инфекции у субъекта, описанное в данном описании).
Приведенные выше и другие объекты и аспекты данного изобретения рассмотрены более подробно ниже.
Подробное описание предпочтительных вариантов осуществления
Алкил , используемый в данном описании, относится к насыщенному углеводородному радикалу, с прямой или разветвленной цепью (например, этил, изопропил, трет-амил или 2,5-диметилгексил) или циклическому (например, циклобутил, циклопропил или циклопентил) и содержит от 1 до 24 атомов углерода. Данное определение употребляется как в случае, когда термин использован сам по себе, так и при его использовании в качестве части термина соединения, такого как галогеналкил и подобные термины. В некоторых вариантах осуществления предпочтительные алкильные группы представляют собой группы, содержащие от 1 до 4 атомов углерода, которые также названы как низший алкил . В некоторых вариантах осуществления предпочтительные алкильные группы представляют собой группы, содержащие от 5 или 6 до 24 атомов углерода, которые могут быть также названы как высший алкил .
Алкенил , используемый в данном описании, относится к углеводороду с прямой или разветвленной цепью, содержащей от 2 до 24 атомов углерода и, по меньшей мере, одну углерод-углеродную двойную связь, образованную удалением двух атомов водорода. Конкретные примеры алкенила включают, но не ограничиваясь ими, этенил, 2-пропенил, 2-метил-2-пропенил, 3-бутенил, 4-пентенил, 5-гексенил, 2-гептенил, 2-метил-1-гептенил, 3-деценил и тому подобное. Низший алкенил , используемый в данном описании, представляет собой подгруппу алкенила и относится к углеводородной группе с прямой или разветвленной цепью, содержащей от 1 до 4 атомов углерода.
Алкинил , используемый в данном описании, относится к углеводородной группе с прямой или разветвленной цепью, содержащей от 2 до 24 атомов углерода и, по меньшей мере, одну углерод-углеродную тройную связь. Конкретные примеры алкинила включают, но, не ограничиваясь ими, ацетиленил, 1-пропинил, 2-пропинил, 3-бутинил, 2-пентинил, 1-бутинил и тому подобное. Низший алкинил , используемый в данном описании, представляет собой подгруппу алкинила и относится к углеводородной группе с прямой или разветвленной цепью, содержащей от 1 до 4 атомов углерода.
Алкокси относится к алкильному радикалу, описанному выше, который также несет кислородный заместитель, который способен ковалентно присоединяться к другому углеводородному радикалу (такой как, например, метокси, этокси и трет-бутокси).
Алкилтио , используемый в данном описании, относится к алкильной группе, определенной выше и прикрепленной к части исходной молекулы через тиофрагмент, как определено в данном описании. Конкретные примеры алкилтио включают, но, не ограничиваясь ими, метилтио, этилтио, трет-бутилтио, гексилтио и тому подобное.
Арил или ароматический кольцевой фрагмент относится к ароматическому заместителю, который может представлять собой одно кольцо или несколько колец, которые конденсированы вместе, присоединены ковалентно или присоединены к обычной группе, такой как этиленовая или метиленовая группа. Каждое из ароматических колец может содержать гетероатомы и, следовательно, арил охватывает гетероарил , используемый в данном описании. Конкретные примеры арила включают азуленил, инданил, инденил, нафтил, фенил, тетрагидронафтил, бифенил, дифенилметил, 2,2-дифенил-1-этил, тиенил, пиридил и хиноксалил. Арил означает замещенный или незамещенный арил, если не указано иное, и, следовательно, арильные группы могут быть необязательно замещены атомами галогена или другими группами, такими как нитро, карбоксил, алкокси, фенокси и тому подобное. Кроме того, арильные радикалы могут быть присоединены к другим фрагментам в любом положении арильного радикала, которые в ином случае заняты атомом водорода (такие как, например, 2-пиридил, 3-пиридил и 4-пиридил).
Гетероарил означает циклический, ароматический углеводород, в котором один или несколько атомов углерода заменены гетероатомами. Если гетероарильная группа содержит более чем один гетероатом, то данные гетероатомы могут быть одинаковыми или различными. Примеры гетероарильных групп включают пиридил, пиримидинил, имидазолил, тиенил, фурил, пиразинил, пирролил, пиранил, изобензофуранил, хроменил, ксантенил, индолил, изоиндолил, индолизинил, триазолил, пиридазинил, индазолил, пуринил, хинолизинил, изохинолил, хинолил, фталазинил, нафтиридинил, хиноксалинил, изотиазолил и бензо[b]тиенил. Предпочтительные гетероарильные группы представляют собой пяти- и шестичленные кольца и содержат от одного до трех гетероатомов, независимо выбранных из О, N и S. Гетероарильная группа, включающая каждый гетероатом, может быть незамещенной или замещена 1-4 заместителями, как химически возможно. Например, гетероатом S может быть замещен одной или двумя оксогруппами, которые могут быть изображены как =О.
Сельскохозяйственно приемлемая соль означает соль, катион которой известен и применим в области получения солей для использования в сельском хозяйстве или садоводстве. Предпочтительно соли являются водорастворимыми.
Циано , используемый в данном описании, относится к -CN группе.
Гало или галоген , используемый в данном описании, относится к -Cl, -Br, -I или -F.
Галогеналкил , используемый в данном описании, относится, по меньшей мере, к одному галогену, определенному выше и прикрепленному к части исходной молекулы через алкильную группу, определенную выше. Конкретные примеры галогеналкила включают, но не ограничиваясь ими, хлорметил, 2-фторэтил, трифторметил, пентафторэтил, 2-хлор-3-фторпентил и тому подобное.
Гидрокси , используемый в данном описании, относится к -ОН группе.
Нитро , используемый в данном описании, относится к -NО2 группе.
Окси , используемый в данном описании, относится к -О-фрагменту.
Тио , используемый в данном описании, относится к -S- фрагменту.
Органическое основание , используемое в данном описании, включает, но не ограничиваясь ими, триэтиламин, триизобутиламин, триизооктиламин, триизодециламин, диэтаноламин, триэтаноламин, пиридин, морфолин и их смеси. Предпочтительная категория органических оснований представляет собой органические амины.
Неорганическое основание , используемое в данном описании, включает, но не ограничиваясь ими, карбонат натрия, бикарбонат натрия, карбонат калия и их смеси.
Инертный растворитель , используемый в данном описании, включает любой подходящий инертный растворитель, такой как тетрагидрофуран, N-метилпирролидон, диметилформамид, толуол, диметиловый эфир, метил-трет-бутиловый эфир и диоксан, метиленхлорид, хлороформ, 1,2-дихлорэтан и их смеси.
Протонный растворитель , используемый в данном описании, может представлять собой любой подходящий протонный растворитель, включающий, но не ограничиваясь ими, метанол, этанол, изопропанол, н-бутанол, этиленгликоль, метилцеллозольв, этилцеллозольв, циклогексанол, глицерин, диэтиленгликоль, триэтаноламин, полиэтиленгликоль, втор-бутанол, н-пропанол и трет-бутанол.
Описания всех патентов США, цитируемых в данном описании, включены в данное описание во всей их полноте, словно если бы они были представлены полностью.
2. Соединения. Соединения данного изобретения представлены структурой I:

где
R1 означает алкил; алкоксиалкил; галогеналкил; арилалкил, необязательно замещенный галогеном, алкилом, алкенилом, алкинилом, галогеналкилом, алкокси, алкилтио, галогеналкокси, циано или нитро; арил, необязательно замещенный галогеном, алкилом, алкенилом, алкинилом, галогеналкилом, алкокси, алкилтио, галогеналкокси, циано или нитро; или гетероарил, необязательно замещенный галогеном, алкилом, алкенилом, алкинилом, галогеналкилом, алкокси, алкилтио, галогеналкокси, циано или нитро;
R2 означает алкил; алкоксиалкил; галогеналкил; арилалкил, необязательно замещенный галогеном, алкилом, алкенилом, алкинилом, галогеналкилом, алкокси, алкилтио, галогеналкокси, циано или нитро; арил, необязательно замещенный галогеном, алкилом, алкенилом, алкинилом, галогеналкилом, алкокси, алкилтио, галогеналкокси, циано или нитро; гетероарил, особенно 2-, 3- или 4-пиридил, необязательно замещенный галогеном, алкилом, алкенилом, алкинилом, галогеналкилом, алкокси, алкилтио, галогеналкокси, циано или нитро; 5-пиримидинил, необязательно замещенный галогеном, алкилом, алкенилом, алкинилом, галогеналкилом, алкокси, алкилтио, галогеналкокси, циано или нитро; или 2- или 5-тиазолил, необязательно замещенный галогеном, алкилом, алкенилом, алкинилом, алкокси, алкилтио, галогеналкилом, циано или нитро;
R3 означает Н; алкил; алкоксиалкил; галогеналкил; арилалкил, необязательно замещенный галогеном, алкилом, алкенилом, алкинилом, галогеналкилом, алкокси, алкилтио, галогеналкокси, циано или нитро; арилоксиалкил, необязательно замещенный галогеном, алкилом, алкенилом, алкинилом, галогеналкилом, алкокси, алкилтио, галогеналкокси, циано или нитро; арилтиоалкил, необязательно замещенный галогеном, алкилом, алкенилом, алкинилом, галогеналкилом, алкокси, алкилтио, галогеналкокси, циано или нитро; арил, необязательно замещенный галогеном, алкилом, алкенилом, алкинилом, галогеналкилом, алкокси, алкилтио, галогеналкокси, циано, нитро; гетероарил, необязательно замещенный галогеном, алкилом, алкенилом, алкинилом, галогеналкилом, алкокси, алкилтио, галогеналкокси, циано или нитро; или алкилсилил;
R4 означает Н; ацил (например, ацетил, бензоил, фенилацетил); галогенацил; алкоксикарбонил; арилоксикарбонил; алкиламинокарбонил или диалкиламинокарбонил.
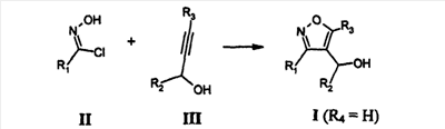
Способы получения. Соединения общей структуры I, где R4 означает H, могут быть получены [3+2]циклоприсоединением карбоксимидоилхлорида II к ацетиленовому карбинолу III:

Реакцию проводят в присутствии органического основания, такого как триэтиламин, в инертном растворителе, таком как DCE (1,2-дихлорэтан), или неорганического основания, такого как бикарбонат натрия, в протонном растворителе, таком как изопропанол. Время и температура реакции не являются критическими, причем температура может меняться в интервале 20-60°С в течение 1-24 ч.
Карбоксимидоилхлориды II получают из соответствующих оксимов, используя хлорирующие реагенты, такие как N-хлорсукцинимид или гипохлорит натрия (обесцвечивание), или получают из коммерческих источников.
Ацетиленовые карбинолы III получают присоединением металлорганического производного ацетилена IV (M=Li, MgX; X=Cl, Br) к альдегиду R2CHO (V), как показано ниже:

В некоторых случаях [3+2]циклоприсоединение происходит быстрее и с более высоким выходом, когда используют соответствующий кетон (VI) ацетиленового карбинола III:

Соединения формулы VII полезны для получения соединений формулы I, как описано ниже, где изоксазол VII восстанавливают (например, борогидридом натрия), получая соединение I.
В некоторых случаях при [3+2]циклоприсоединении образуется региоизомер I наряду с соединением I. Данный региоизомер VIII при биооценке обычно является менее активным, чем соединение I.

Ацетиленовый кетон VI можно получить из соединения III окислением, например, с помощью IBX (о-иодозобензойная кислота) в инертном растворителе, таком как ДМСО (диметилсульфоксид), при любой подходящей температуре и времени (например, 20°С в течение 1-2 ч). Восстановление изоксазола VII борогидридом натрия в спиртовом растворителе (например, этанол) при 0°С в течение 0,3-2 ч дает изоксазол I (R4=H).
Изоксазолы, где R4 не является H, получают из соединения I (R4=H) в стандартных условиях ацилирования или карбамоилирования. Например, ацетатное производное I (R4=COCH3) синтезируют из спирта I (R4=H) взаимодействием с уксусным ангидридом и пиридином в эфирном растворителе при комнатной температуре в течение ночи. Ацилирование можно проводить с использованием либо ангидридов кислот (например, ангидрид уксусной кислоты, ангидрид пропионовой кислоты), либо хлорангидридов кислот (например, бензоилхлорид) в присутствии органического основания в инертном растворителе (например, простой эфир, дихлорметан). Реакции карбамоилирования осуществляют обработкой спиртов I сильным основанием, таким как гидрид натрия, затем карбамоилхлоридом (например, N,N-диметилкарбамоилхлорид) в инертном растворителе, таком как ДМФА (диметилформамид).
Иллюстративные соединения. Соединения данного изобретения, которые особенно полезны для борьбы с грибковыми патогенами, представляют собой соединения, где
R1 означает алкил; арилалкил, необязательно замещенный галогеном, алкилом, алкенилом, алкинилом, галогеналкилом, алкокси, алкилтио, галогеналкокси, циано или нитро; арил, необязательно замещенный галогеном, алкилом, алкенилом, алкинилом, галогеналкилом, алкокси, алкилтио, галогеналкокси, циано, нитро; или гетероарил, необязательно замещенный галогеном, алкилом, алкенилом, алкинилом, галогеналкилом, алкокси, алкилтио, галогеналкокси, циано, нитро;
R2 означает гетероарил, особенно 2-, 3- или 4-пиридил, необязательно замещенный галогеном, алкилом, алкенилом, алкинилом, галогеналкилом, алкокси, алкилтио, галогеналкокси, циано, нитро; или 5-пиримидинил, необязательно замещенный галогеном, алкилом, алкенилом, алкинилом, галогеналкилом, алкокси, алкилтио, галогеналкокси, циано или нитро;
R3 означает алкил; арил, необязательно замещенный галогеном, алкилом, алкенилом, алкинилом, галогеналкилом, алкокси, алкилтио, галогеналкокси, циано, нитро; гетероарил, необязательно замещенный галогеном, алкилом, алкенилом, алкинилом, галогеналкилом, алкокси, алкилтио, галогеналкокси, циано, нитро; или алкилсилил; и
R4 является Н.
Примеры соединений данного изобретения включают, но не ограничиваясь ими, следующие соединения:
Соед.  |
Структура |
Химическое название |
| 1 |
 |
3-(2,6-дихлорфенил)-4-[(3-пиридил)гидроксиметил]-5-триметилсилилизоксазол |
| 2 |
 |
3-(2,6-дихлорфенил)-5-[(3-пиридил)гидроксиметил]-4-триметилсилилизоксазол |
| 3 |
 |
3-(2,4-дихлорфенил)-4-[(3-пиридил)гидроксиметил]-5-триметилсилилизоксазол |
| 4 |
 |
5-(3-хлорфенил)-3-(2,4-дихлорфенил)-4-[(3-пиридил)гидроксиметил]изоксазол |
| 5 |
 |
3-(4-хлорфенил)-5-[(3-пиридил)гидроксиметил]изоксазол |
| 6 |
 |
3-(2,4-дихлорфенил)-4-[(3-пиридил)гидроксиметил]-5-фенилизоксазол |
| 7 |
 |
3-(2,4-дихлорфенил)-5-(1,1-диметилэтил)-4-[(3-пиридил)гидроксиметил]изоксазол |
| 8 |
 |
3-(2,4-дихлорфенил)-5-[(3-пиридил)гидроксиметил]изоксазол |
| 9 |
 |
3-(2,6-дихлорфенил)-5-[(3-пиридил)гидроксиметил]изоксазол |
| 10 |
 |
3-(4-хлорфенил)-5-[(2-тиазолил)гидроксиметил]изоксазол |
| 11 |
 |
3-(2,4-дихлорфенил)-5-[(2-тиазолил)гидроксиметил]изоксазол |
| 12 |
 |
3-(2,4-дихлорфенил)-4-[(3-пиридил)гидроксиметил]-5-(2-тиенил)изоксазол |
| 13 |
 |
3-(2,4-дихлорфенил)-4-[(3-пиридил)гидроксиметил]-5-(3-тиенил)изоксазол |
| 14 |
 |
5-(2-хлорфенил)-3-(2,4-дихлорфенил)-4-[(3-пиридил)гидроксиметил]изоксазол |
| 15 |
 |
5-(2-хлорфенил)-3-(2,4-дихлорбензил)-4-[(3-пиридил)гидроксиметил]изоксазол |
| 16 |
 |
3-(4-хлорфенил)-5-(1,1-диметилэтил)-4-[(3-пиридил)гидроксиметил]изоксазол |
| 17 |
 |
3-(4-хлорфенил)-4-[(3-пиридил)гидроксиметил]-5-(2-трифторметилфенил)изоксазол |
| 18 |
 |
4-[(3-пиридил)гидроксиметил]-3-(4-трифторметоксифенил)-5-(2-трифторметилфенил)изоксазол |
| 19 |
 |
4-[(3-пиридил)гидроксиметил]-3-(3-трифторметилфенил)-5-(2-трифторметилфенил)изоксазол |
| 20 |
 |
3-(3,4-дихлорфенил)-4-[(3-пиридил)гидроксиметил]-5-(2-трифторметилфенил)изоксазол |
| 21 |
 |
3-(2,4-дихлорфенил)-4-[(3-пиридил)гидроксиметил]-5-(2-трифторметилфенил)изоксазол |
| 22 |
 |
3-(4-хлорфенил)-5-(4-метилфенил)-4-[(3-пиридил)гидроксиметил]изоксазол |
| 23 |
 |
5-(4-метилфенил)-4-[(3-пиридил)гидроксиметил]-3-(4-трифторметоксифенил)изоксазол |
| 24 |
 |
5-(4-метилфенил)-4-[(3-пиридил)гидроксиметил]-3-(3-трифторметилфенил)изоксазол |
| 25 |
 |
3-(3,4-дихлорфенил)-5-(4-метилфенил)-4-[(3-пиридил)гидроксиметил]изоксазол |
| 26 |
 |
3-(2,4-дихлорфенил)-5-(4-метилфенил)-4-[(3-пиридил)гидроксиметил]изоксазол |
| 27 |
 |
3-(2,4-дихлорфенил)-5-(феноксиметил)-4-[(3-пиридил)гидроксиметил]изоксазол |
| 28 |
 |
3-(2,4-дихлорфенил)-4-(феноксиметил)-5-[(3-пиридил)гидроксиметил]изоксазол |
| 29 |
 |
5-(3-хлорфенил)-3-(2-фтор-5-трифторметилфенил)-4-[(3-пиридил)гидроксиметил]изоксазол |
| 30 |
 |
5-(3-хлорфенил)-3-(4-цианофенил)-4-[(3-пиридил)гидроксиметил]изоксазол |
| 31 |
 |
5-(2-хлорфенил)-3-(4-цианофенил)-4-[(3-пиридил)гидроксиметил]изоксазол |
| 32 |
 |
5-(4-хлорфенил)-3-(2,4-дихлорфенил)-4-[(3-пиридил)гидроксиметил]изоксазол |
| 33 |
 |
3-(4-хлорфенил)-4-[(3-пиридил)гидроксиметил]-5-(3-трифторметилфенил)изоксазол |
| 34 |
 |
4-[(3-пиридил)гидроксиметил]-3-(4-трифторметоксифенил)-5-(3-трифторметилфенил)изоксазол |
| 35 |
 |
4-[(3-пиридил)гидроксиметил]-3-(3-трифторметилфенил)-5-(3-трифторметилфенил)изоксазол |
| 36 |
 |
3-(3,4-дихлорфенил)-4-[(3-пиридил)гидроксиметил]-5-(3-трифторметилфенил)изоксазол |
| 37 |
 |
3-(4-хлорфенил)-5-фенил-4-[(3-пиридил)гидроксиметил]изоксазол |
| 38 |
 |
5-фенил-4-[(3-пиридил)гидроксиметил]-3-(4-трифторметоксифенил)изоксазол |
| 39 |
 |
5-фенил-4-[(3-пиридил)гидроксиметил]-3-(4-трифторметилфенил)изоксазол |
| 40 |
 |
3-(2,4-дихлорфенил)-5-фенил-4-[(3-пиридил)гидроксиметил]изоксазол |
| 41 |
 |
3-(3,4-дихлорфенил)-5-фенил-4-[(3-пиридил)гидроксиметил]изоксазол |
| 42 |
 |
5-(3-хлорфенил)-4-[(3-пиридил)гидроксиметил]-3-(4-трифторметоксифенил)изоксазол |
| 43 |
 |
5-(3-хлорфенил)-4-[(3-пиридил)гидроксиметил]-3-(3-трифторметилфенил)изоксазол |
| 44 |
 |
5-бензил-3-(2,4-дихлорфенил)-4-[(3-пиридил)гидроксиметил]изоксазол |
| 45 |
 |
5-бензил-3-(3,4-дихлорфенил)-4-[(3-пиридил)гидроксиметил]изоксазол |
| 46 |
 |
5-бензил-4-[(3-пиридил)гидроксиметил]-3-(4-трифторметоксифенил)изоксазол |
| 47 |
 |
5-бензил-4-[(3-пиридил)гидроксиметил]-3-(3-трифторметилфенил)изоксазол |
| 48 |
 |
3-(4-хлорфенил)-5-феноксиметил-4-[(3-пиридил)гидроксиметил]изоксазол |
| 49 |
 |
3-(3,4-дихлорфенил)-5-феноксиметил-4-[(3-пиридил)гидроксиметил]изоксазол |
| 50 |
 |
5-феноксиметил-4-[(3-пиридил)гидроксиметил]-3-(4-трифторметоксифенил)изоксазол |
| 51 |
 |
5-феноксиметил-4-[(3-пиридил)гидроксиметил]-3-(3-трифторметилфенил)изоксазол |
| 52 |
 |
5-(4-хлорфенил)-4-[(3-пиридил)гидроксиметил]-3-(2-тиенил)изоксазол |
| 53 |
 |
5-(4-хлорфенил)-3-изопропил-4-[(3-пиридил)гидроксиметил]изоксазол |
| 54 |
 |
5-(4-хлорфенил)-3-пентил-4-[(3-пиридил)гидроксиметил]изоксазол |
| 55 |
 |
5-(4-хлорфенил)-3-(2-фтор-4-трифторметилфенил)-4-[(3-пиридил)гидроксиметил]изоксазол |
| 56 |
 |
3-(2-фтор-4-трифторметилфенил)-4-[(3-пиридил)гидроксиметил]-5-(3-тиенил)изоксазол |
| 57 |
 |
3-изопропил-4-[(3-пиридил)гидроксиметил]-5-(3-тиенил)изоксазол |
| 58 |
 |
3-пентил-4-[(3-пиридил)гидроксиметил]-5-(3-тиенил)изоксазол |
| 59 |
 |
4-[(3-пиридил)гидроксиметил]-3-(2-тиенил)-5-(3-тиенил)изоксазол |
| 60 |
 |
3-(3,4-метилендиоксибензил)-4-[(3-пиридил)гидроксиметил]-5-(3-тиенил)изоксазол |
| 61 |
 |
5-(4-хлорфенил)-3-(3,4-метилендиоксибензил)-4-[(3-пиридил)гидроксиметил]изоксазол |
| 62 |
 |
5-(3-хлорфенил)-3-фенил-4-[(3-пиридил)гидроксиметил]изоксазол |
| 63 |
 |
5-(4-метилфенил)-3-фенил-4-[(3-пиридил)гидроксиметил]изоксазол |
| 64 |
 |
5-(Феноксиметил)-3-фенил-4-[(3-пиридил)гидроксиметил]изоксазол |
| 65 |
 |
5-(4-метилфенил)-4-[(3-пиридил)гидроксиметил]-3-(3-тиенил)изоксазол |
| 66 |
 |
5-(3-хлорфенил)-4-[(3-пиридил)гидроксиметил]-3-(3-тиенил)изоксазол |
| 67 |
 |
5-(4-хлорфенил)-4-[(3-пиридил)гидроксиметил]-3-(3-тиенил)изоксазол |
| 68 |
 |
5-(3-хлорфенил)-3-(3,4-дифторметилендиоксифенил)-4-[(3-пиридил)гидроксиметил]изоксазол |
| 69 |
 |
3-(3,4-дифторметилендиоксифенил)-5-(4-метилфенил)-4-[(3-пиридил)гидроксиметил]изоксазол |
| 70 |
 |
3-(4-хлорфенил)-5-(3-хлорфенил)-4-[(3-пиридил)гидроксиметил]изоксазол |
| 71 |
 |
3-(2-фтор-5-трифторметилфенил)-4-[(3-пиридил)гидроксиметил]-5-(3-тиенил)изоксазол |
| 72 |
 |
5-(4-хлорфенил)-3-(2-фтор-5-трифторметилфенил)-4-[(3-пиридил)гидроксиметил]изоксазол |
| 73 |
 |
3-(4-хлорфенил)-5-фенил-4-[(2-пиридил)гидроксиметил]изоксазол |
| 74 |
 |
3-(2,4-дихлорбензил)-4-[(3-пиридил)гидроксиметил]-5-(2-тиенил)изоксазол |
| 75 |
 |
5-(3-хлор-4-метилфенил)-3-(4-хлорфенил)-4-[(3-пиридил)гидроксиметил]изоксазол |
| 76 |
 |
5-(3-хлор-4-фторфенил)-3-(4-хлорфенил)-4-[(3-пиридил)гидроксиметил]изоксазол |
| 77 |
 |
3-(4-хлорфенил)-5-(2,4-дифторфенил)-4-[(3-пиридил)гидроксиметил]изоксазол |
| 78 |
 |
3-(4-хлорфенил)-5-(2-метоксифенил)-4-[(3-пиридил)гидроксиметил]изоксазол |
| 79 |
 |
5-(3-хлорфенил)-3-(4-метилфенил)-4-[(3-пиридил)гидроксиметил]изоксазол |
| 80 |
 |
3-(4-трет-бутилфенил)-5-(3-хлорфенил)-4-[(3-пиридил)гидроксиметил]изоксазол |
| 81 |
 |
5-(3-хлорфенил)-3-(4-изопропоксифенил)-4-[(3-пиридил)гидроксиметил]изоксазол |
| 82 |
 |
5-(3-хлорфенил)-3-(4-бутоксиоксифенил)-4-[(3-пиридил)гидроксиметил]изоксазол |
| 83 |
 |
5-(3-хлорфенил)-3-(4-феноксифенил)-4-[(3-пиридил)гидроксиметил]изоксазол |
| 84 |
 |
3-(4-хлорфенил)-5-(5-метил-3-тиенил)-4-[(3-пиридил)гидроксиметил]изоксазол |
| 85 |
 |
3-(4-хлорбензил)-5-(3-хлорфенил)-4-[(3-пиридил)гидроксиметил]изоксазол |
| 86 |
 |
3-(2,4-дихлорфенил)-5-(4-фторфенил)-4-[(3-пиридил)гидроксиметил]изоксазол |
| 87 |
 |
3-(2-хлорфенил)-5-(4-фторфенил)-4-[(3-пиридил)гидроксиметил]изоксазол |
| 88 |
 |
3-(4-хлорфенил)-5-(4-фторфенил)-4-[(3-пиридил)гидроксиметил]изоксазол |
| 89 |
 |
5-(4-хлорфенил)-3-(4-фторфенил)-4-[(3-пиридил)гидроксиметил]изоксазол |
| 90 |
 |
5-(2-хлорфенил)-3-(4-фторфенил)-4-[(3-пиридил)гидроксиметил]изоксазол |
| 91 |
 |
3-(4-хлорфенил)-5-(4-хлорфенил)-4-[(3-пиридил)гидроксиметил]изоксазол |
| 92 |
 |
3-(4-хлорфенил)-5-(2-хлорфенил)-4-[(3-пиридил)гидроксиметил]изоксазол |
| 93 |
 |
3-(4-фторфенил)-5-(4-фторфенил)-4-[(3-пиридил)гидроксиметил]изоксазол |
| 94 |
 |
3-(4-хлорфенил)-4-[(3-пиридил)гидроксиметил]-5-(3-тиенил)изоксазол |
| 95 |
 |
5-(1-хлор-1-метилэтил)-3-(4-хлорфенил)-4-[(3-пиридил)гидроксиметил]изоксазол |
| 96 |
 |
5-(4-хлорфенил)-3-(5-хлор-2-тиенил)-4-[(3-пиридил)гидроксиметил]изоксазол |
| 97 |
 |
5-(3-хлорфенил)-3-(5-хлор-2-тиенил)-4-[(3-пиридил)гидроксиметил]изоксазол |
| 98 |
 |
3-(5-хлор-2-тиенил)-4-[(3-пиридил)гидроксиметил]-5-(3-тиенил)изоксазол |
| 99 |
 |
5-(4-хлорфенил)-3-(5-хлор-3-тиенил)-4-[(3-пиридил)гидроксиметил]изоксазол |
| 100 |
 |
5-(3-хлорфенил)-3-(5-хлор-3-тиенил)-4-[(3-пиридил)гидроксиметил]изоксазол |
| 101 |
 |
3-(5-хлор-3-бензо[b]тиенил)-5-(3-хлорфенил)-4-[(3-пиридил)гидроксиметил]изоксазол |
| 102 |
 |
5-(3-хлорфенил)-3-(2,5-дихлор-3-тиенил)-4-[(3-пиридил)гидроксиметил]изоксазол |
| 103 |
 |
3-(5-хлор-3-бензо[b]тиенил)-5-(4-хлорфенил)-4-[(3-пиридил)гидроксиметил]изоксазол |
| 104 |
 |
5-(4-хлорфенил)-3-(2,5-дихлор-3-тиенил)-4-[(3-пиридил)гидроксиметил]изоксазол |
| 105 |
 |
3-(4-хлорфенил)-5-(3,5-дифторфенил)-4-[(3-пиридил)гидроксиметил]изоксазол |
| 106 |
 |
3-(5-хлор-2-тиенил)-5-(3,5-дифторфенил)-4-[(3-пиридил)гидроксиметил]изоксазол |
| 107 |
 |
3-(4-хлорфенил)-5-(3-хлорфенил)-4-[(5-пиримидинил)гидроксиметил]изоксазол |
| 108 |
 |
5-(3-хлорфенил)-3-(5-хлор-2-тиенил)-4-[(5-пиримидинил)гидроксиметил]изоксазол |
| 109 |
 |
3-(5-бром-2-тиенил)-5-(4-хлорфенил)-4-[(3-пиридил)гидроксиметил]изоксазол |
| 110 |
 |
3-(5-бром-2-тиенил)-5-(3-хлорфенил)-4-[(3-пиридил)гидроксиметил]изоксазол |
| 111 |
 |
3-(2-хлорфенил)-5-(4-хлорфенил)-4-[(3-пиридил)гидроксиметил]изоксазол |
| 112 |
 |
3-(2-хлорфенил)-5-(3-хлорфенил)-4-[(3-пиридил)гидроксиметил]изоксазол |
| 113 |
 |
3-(3-хлорфенил)-5-(4-хлорфенил)-4-[(3-пиридил)гидроксиметил]изоксазол |
| 114 |
 |
3-(3-хлорфенил)-5-(3-хлорфенил)-4-[(3-пиридил)гидроксиметил]изоксазол |
| 115 |
 |
5-(4-бутилфенил)-3-(4-хлорфенил)-4-[(3-пиридил)гидроксиметил]изоксазол |
| 116 |
 |
3-(4-хлорфенил)-4-[(3-пиридил)гидроксиметил]-5-(2-тиенил)изоксазол |
| 117 |
 |
5-(3-хлорфенил)-4-[(3-пиридил)гидроксиметил]-3-(4-трифторфенил)изоксазол |
| 118 |
 |
5-(4-хлорфенил)-4-[(3-пиридил)гидроксиметил]-3-(4-трифторфенил)изоксазол |
| 119 |
 |
5-(3-хлорфенил)-3-(2,4-дихлорфенил)-4-[(3-пиридил)гидроксиметил]изоксазол |
| 120 |
 |
5-(3-хлорфенил)-3-(2,4-дифторфенил)-4-[(3-пиридил)гидроксиметил]изоксазол |
| 121 |
 |
5-(4-хлорфенил)-3-(2,4-дифторфенил)-4-[(3-пиридил)гидроксиметил]изоксазол |
| 122 |
 |
3-(4-хлорфенил)-5-(5-хлор-2-тиенил)-4-[(3-пиридил)гидроксиметил]изоксазол |
| 123 |
 |
3-(5-хлор-2-тиенил)-5-(5-хлор-2-тиенил)-4-[(3-пиридил)гидроксиметил]изоксазол |
| 124 |
 |
5-(4-хлорфенил)-3-(3,5-дифторфенил)-4-[(3-пиридил)гидроксиметил]изоксазол |
| 125 |
 |
3-(4-хлорфенил)-5-[1-метил-1-(4-хлорфенокси)этил]-4-[(3-пиридил)гидроксиметил]изоксазол |
| 126 |
 |
3-(4-хлорфенил)-5-(5-метил-2-тиенил)-4-[(3-пиридил)гидроксиметил]изоксазол |
| 127 |
 |
5-[(3-хлорфенокси)метил]-3-(4-хлорфенил)-4-[(3-пиридил)гидроксиметил]изоксазол |
| 128 |
 |
5-[(4-хлорфенокси)метил]-3-(4-хлорфенил)-4-[(3-пиридил)гидроксиметил]изоксазол |
| 129 |
 |
3-(2,4-дифторфенил)-4-[(3-пиридил)гидроксиметил]-5-(2-тиенил)изоксазол |
| 130 |
 |
5-(5-хлор-2-тиенил)-3-(2,4-дифторфенил)-4-[(3-пиридил)гидроксиметил]изоксазол |
| 131 |
 |
3-(2,4-дифторфенил)-4-[(3-пиридил)гидроксиметил]-5-(3-тиенил)изоксазол |
| 132 |
 |
3-(2,4-дифторфенил)-5-(4-фторфенил)-4-[(3-пиридил)гидроксиметил]изоксазол |
| 133 |
 |
3-(4-хлорфенил)-5-(2,4-дифторфенил)-4-[(3-пиридил)гидроксиметил]изоксазол |
| 134 |
 |
3-(5-хлор-2-тиенил)-5-(2,4-дифторфенил)-4-[(3-пиридил)гидроксиметил]изоксазол |
| 135 |
 |
5-(2,4-дифторфенил)-4-[(3-пиридил)гидроксиметил]-3-(3-тиенил)изоксазол |
| 136 |
 |
5-(5-бром-2-тиенил)-3-(2,4-дифторфенил)-4-[(3-пиридил)гидроксиметил]изоксазол |
| 137 |
 |
5-(5-бром-2-тиенил)-3-(4-хлорфенил)-4-[(3-пиридил)гидроксиметил]изоксазол |
| 138 |
 |
5-(4-хлорфенил)-3-(2-фторфенил)-4-[(3-пиридил)гидроксиметил]изоксазол |
| 139 |
 |
5-(3,5-дифторфенил)-3-(2-фторфенил)-4-[(3-пиридил)гидроксиметил]изоксазол |
| 140 |
 |
5-(5-хлор-2-тиенил)-3-(2-фторфенил)-4-[(3-пиридил)гидроксиметил]изоксазол |
| 141 |
 |
5-(5-бром-2-тиенил)-3-(2-фторфенил)-4-[(3-пиридил)гидроксиметил]изоксазол |
| 142 |
 |
3-(2-фторфенил)-4-[(3-пиридил)гидроксиметил]-5-(2-тиенил)изоксазол |
| 143 |
 |
3-(2-фторфенил)-4-[(3-пиридил)гидроксиметил]-5-(3-тиенил)изоксазол |
Соли. Соединения, описанные в данном описании, и необязательно все их изомеры могут быть получены в форме их солей. Так как некоторые из соединений I имеют основный центр, они могут образовывать, например, кислотно-аддитивные соли. Указанные кислотно-аддитивные соли образуются, например, с минеральными кислотами, обычно с серной кислотой, фосфорной кислотой или галогенводородной, с органическими карбоновыми кислотами, обычно с уксусной кислотой, щавелевой кислотой, малоновой кислотой, малеиновой кислотой, фумаровой кислотой или фталевой кислотой, гидроксикарбоновыми кислотами, обычно с аскорбиновой кислотой, молочной кислотой, яблочной кислотой, винной кислотой или лимонной кислотой, или с бензойной кислотой, или с органическими сульфоновыми кислотами, обычно с метансульфоновой кислотой или п-толуолсульфоновой кислотой. При наличии, по меньшей мере, одной кислотной группы соединения формулы I могут также образовывать соли с основаниями. Подходящие соли с основаниями представляют собой, например, соли металлов, обычно соли щелочных металлов или соли щелочноземельных металлов, например, соли натрия, соли калия или соли магния, или соли с аммиаком или органическим амином, например, с морфолином, пиперидином, пирролидином, моно-, ди- или триалкиламином, обычно этиламином, диэтиламином, триэтиламином или диметилпропиламином, или моно-, ди- или тригидроксиалкиламином, обычно моно-, ди- или триэтаноламином. Где целесообразно, также возможно образование соответствующих внутренних солей. В объем данного изобретения предпочтительными являются соли, приемлемые для сельского хозяйства и фармации.
3. Сельскохозяйственные композиции и применение. Активные соединения данного изобретения могут быть использованы для получения сельскохозяйственных композиций и полезны в способах борьбы с грибами/грибками аналогично другим противогрибковым соединениям. См., например, патент США 6617330; см. также патенты США , 6616952; 6569875; 6541500 и 6506794.
Активные соединения, описанные в данном описании, могут быть полезны для защиты растений от болезней, которые вызываются грибами/грибками. Для целей данного изобретения будут рассмотрены в качестве грибков оомицеты. Активные соединения могут быть применены в сельскохозяйственном секторе и родственных областях в качестве активных ингредиентов для борьбы с вредителями растений. Активные соединения могут быть применены для ингибирования или уничтожения вредителей, которые находятся на растениях или частях растений (плоды, цветки, листья, стебли, клубни, корни) различных культур полезных растений, при этом в то же самое время необязательно защищать также те части растений, которые растут позднее, например, от фитопатогенных микроорганизмов.
Активные соединения могут быть применены в качестве протравителей для обработки посадочного материала, в частности, семенного материала (плоды, клубни, семена) и растительных черенков (например, рис), для защиты от грибковых инфекций, а также от фитопатогенных грибов, обитающих в почве.
Активные соединения могут быть применены, например, против фитопатогенных грибов следующих классов: грибы несовершенные (например, Botrytis, Pyricularia, Helminthosporium, Fusarium, Septoria, Cercospora и Alternaria) и базидиомицеты (например, Rhizoctonia, Hemileia, Puccinia). Кроме того, они также могут быть применены против представителей классов аскомицетов (например, Venturia и Erysiphe, Podosphaera, Monilinia, Uncinula) и классов оомицетов (например, Phytophthora, Pythium, Plasmopara). Конкретные примеры грибов, которые могут быть обработаны, включают, но не ограничиваясь ими, Septoria tritici, Stagоnospora nodorum, Phytophthora infestans, Botrytis cinerea, Sclerotinia homoeocarpa и Puccinia recondite.
Целевые культуры, предназначенные для защиты активными соединениями и композициями изобретения, обычно включают следующие виды растений: злаки (пшеница, ячмень, рожь, овес, рис, кукуруза, сорго и родственные виды); свеклу (сахарная свекла и кормовая свекла); семечковые, косточковые плодовые и ягодные культуры (яблони, груши, сливы, персики, миндальные деревья, вишни, виды земляники, малины и ежевики); бобовые растения (бобы, виды чечевицы, гороха, сои); масличные растения (рапс, горчица, мак, маслины, подсолнечники, кокосовая пальма, виды клещевины обыкновенной, какао-бобов, земляных бобов); огуречные растения (тыквы, огурцы, дыни); прядильные растения (хлопчатник, лен, конопля, джут); цитрусовые плодовые (апельсины, лимоны, грейпфрут, мандарины); овощи (шпинат, салат, аспарагус, капусты, моркови, луки, томаты, виды картофеля, сладкий овощной перец); лавровые (авокадо, коричное дерево, камфарное дерево) или растения, такие как табак, ореховые виды, кофейное дерево, баклажаны, сахарный тростник, чайный куст, перец, вьющиеся растения, включающие виды культурного винограда и хмеля, бананы, газон и природные каучуконосы, а также декоративные растения (цветочные, кустарники, широколиственные деревья и вечнозеленые, такие как хвойные). Данный перечень не является ограниченным.
Активные соединения могут быть использованы в форме композиций и могут быть применены на площадь культуры или растения, предназначенного для обработки, одновременно или последовательно с дополнительными соединениями. Данные дополнительные соединения могут представлять собой, например, удобрения или доноры питательных микроэлементов или другие препараты, которые влияют на рост растений. Они также могут представлять собой селективные гербициды, а также инсектициды, фунгициды, бактерициды, нематициды, моллюскициды, регуляторы роста растений, активаторы растений или смеси из нескольких данных препаратов, если желательно, вместе с дополнительными носителями, ПАВ или стимулирующими применение адъювантами, обычно используемыми в области получения препаративных форм.
Активные соединения могут быть смешаны с другими фунгицидами, приводящими в некоторых случаях к неожиданным синергическим эффектам.
Компоненты для смешивания, которые являются особенно предпочтительными, представляют собой азолы, такие как азаконазол, битертанол, пропиконазол, дифеноконазол, диниконазол, ципроконазол, эпоксиконазол, флухинконазол, флузилазол, флутриафол, гексаконазол, имазалил, имибенконазол, ипконазол, тебуконазол, тетраконазол, фенбуконазол, метконазол, миклобутанил, перфуразоат, пенконазол, бромуконазол, пирифенокс, проклораз, триадимефон, триадименол, трифлумизол или тритиконазол; пиримидинилкарбинолы, такие как анцимидол, фенаримол или нуаримол; 2-аминопиримидины, такие как бупиримат, диметиримол или этиримол; морфолины, такие как додеморф, фенпропидин, фенпропиморф, спирорксамин или тридеморф; анилинопиримидины, такие как ципродинил, пириметанил или мепанипирим; пирролы, такие как фенпиклонил или флудиоксонил; фениламиды, такие как беналаксил, фуралаксил, металаксил, R-металаксил, офурас или оксадиксил; бензимидазолы, такие как беномил, карбендазим, дебакарб, фуберидазол или тиабендазол; дикарбоксимиды, такие как хлозолинат, дихлозолин, ипродин, миклозолин, процимидон или винклозолин; карбоксамиды, такие как карбоксин, фенфурам, флутоланил, мепронил, оксикарбоксин или тифлузамид; гуанидины, такие как гуазатин, додин или иминоктадин; стробилурины, такие как азоксистробин, крезоксим-метил, метоминостробин, пираклостробин, пикоксистробин, SSF-129, метил 2-[(2-трифторметил)пирид-6-илоксиметил]-3-метоксиакрилат или О-метилоксим метилового эфира 2-[{альфа[(альфа-метил-3-трифторметилбензил)имино]окси}-о-толил]глиоксиловой кислоты (трифлоксистробин); дитиокарбаматы, такие как фербам, манкоцеб, манеб, метирам, пропинеб, тирам, цинеб или цирам; N-галогенметилтиодикарбоксимиды, такие как каптафол, каптан, дихлофлуанид, флуоромид, фолпет или толифлуанид; соединения меди, такие как бордосская жидкость, гидроксид меди, оксихлорид меди, сульфат меди, оксид меди(I), манкоппер или оксин-коппер; производные нитрофенола, такие как динокап или нитротал-изопропил; фосфорорганические производные, такие как эдифенфос, ипробенфос, изопротиолан, фосдифен, пиразофос или токлофос-метил; и другие соединения разнообразных структур, такие как ацибензолар-S-метил, гарпин, анилазин, бластицидин-S, цинометионат, хлоронеб, хлороталонил, цимоксанил, дихлон, дикломезин, диклоран, диэтофенкарб, диметоморф, дитианон, этридиазол, фамоксадон, фенамидон, фентин, феримзон, флуазинам, флусульфамид, фенгексамид, фозетил-алюминий, гимексазол, касугамицин, метасульфокарб, пенцикурон, фталид, полиоксины, пробеназол, пропамокарб, пирохилон, квиноксифен, квинтоцен, сера, триазоксид, трициклазол, трифорин, валидамицин, (S)-5-метил-2-метилтио-5-фенил-3-фениламино-3,5-дигидроимидазол-4-он (RPA 407213), 3,5-дихлор-N-(3-хлор-1-этил-1-метил-2-оксопропил)-4-метилбензамид (RH-7281), N-аллил-4,5-диметил-2-триметилсилилтиофен-3-карбоксамид (MON 65500), 4-хлор-4-циано-N,N-диметил-5-п-толилимидазол-1-сульфонамид (IKF-916), N-(1-циано-1,2-диметилпропил)-2-(2,4-дихлорфенокси)пропионамид (АС 382042) или ипроваликарб (SZX 722).
Активные соединения могут быть смешаны с одним или несколькими индукторами системно приобретенной устойчивости ( SAR индуктор) сами по себе или в комбинации с фунгицидом, приведенным выше. SAR индукторы известны и описаны, например, в патенте США 6919298. В основном, SAR индуктор представляет собой любое соединение, которое обладает способностью придавать растению устойчивость к агенту, вызывающему заболевание, включающему, но, не ограничиваясь ими, вирус, бактерию, гриб или комбинацию данных агентов. Кроме того, SAR индуктор может вызывать устойчивость к насекомому, пожирающему растение, как описано Enyedi et al.(1992; Cell 70: 879-886). Иллюстративные SAR индукторы охватывают многие структурные классы соединений, но объединяются по их способности вызывать устойчивость растений к болезням и/или к поеданию вредителями. Один из классов SAR индукторов представляет собой салицилаты. Коммерческие SAR индукторы ацибензолар-S-метил (доступный как Actigard® из фирмы Sygenta), гарпиновый белок (доступный как Messenger из Eden Biosciences), гидролизат дрожжевого экстракта из Saccharomyces cerevisiae (доступный как Keyplex® 350-DP® из Morse Enterprises Limited, Inc. of Miami, Florida) и Oryzemate применимы в данном изобретении. Элиситоры/elicitors/, включающие Goerman-продукты, представляют собой другой класс SAR индукторов, которые также могут быть использованы. Кроме того, этилен, предшественники его биосинтеза или соединения, высвобождающие этилен, такие как этрел, рассмотрены в данном контексте как SAR индукторы вспомогательного назначения. См. также патент США 6919298.
Подходящие носители и адъюванты могут быть твердыми или жидкими и представлять собой вещества, применяемые в технологии получения препаративных форм, например, природные или регенерированные минеральные вещества, растворители, дисперсанты, смачиватели, вещества для повышения клейкости, эагустители, связующие вещества или удобрения.
Предпочтительный способ применения активного соединения изобретения или сельскохозяйственной композиции, которая содержит, по меньшей мере, одно из указанных соединений, представляет собой лиственное применение. Кратность применения и доза применения будут зависеть от риска заражения соответствующим патогеном. Однако активные соединения могут также проникать в растение через корни из почвы (системное действие) при орошении месторасположения растения жидким препаратом или при применении соединений в твердой форме на почву, например, в гранулированной форме (почвенное применение). В культурах, возделываемых на воде, таких как рис, подобные гранулы можно применять на затопляемом рисовом поле. Активные соединения могут быть также применены на семена (дражирование) пропиткой семян или клубней, либо с помощью жидкой препаративной формы фунгицида, либо покрывая их твердой препаративной формой.
Термин «месторасположение», как он используется в данном описании, предназначен для охвата полей, на которых выращиваются обработанные культурные растения, или где посеяны семена культурных растений, или участок, где семенной материал будет посажен в почву. Термин «семенной материал» предназначен для включения растительного посадочного материала, такого как черенки, сеянцы, семена, проросшие или замоченные семена.
Активные соединения применяются в немодифицированной форме или вместе с адъювантами, обычно используемыми в области получения препаративных форм. С этой целью их получают в удобном случае известным способом в виде эмульгирующихся концентратов, покровных паст, растворов для прямого опрыскивания или разбавления, разбавленных эмульсий, смачивающихся порошков, растворимых порошков, дустов, гранул и также капсул, например, в полимерных веществах. Как и в случае типов композиций, выбирают способы применения, такие как опрыскивание, мелкодисперсное разбрызгивание, опыливание, рассеивание, покрытие оболочкой или полив, в зависимости от предполагаемых задач и преобладающих обстоятельств.
Преимущественные дозы применения обычно составляют от 5 г до 2 кг активного ингредиента (а.и.) на гектар (га), предпочтительно от 10 г до 1 кг а.и./га, наиболее предпочтительно от 20 г до 600 г а.и./га. При применении средства для пропитки семян подходящие дозы составляют от 10 мг до 1 г активного вещества на кг семян.
Препарат, т.е., композиции, содержащие соединение формулы I и, если требуется, твердый или жидкий адъювант, получают известным способом, обычно однородным смешиванием и/или измельчением соединения с наполнителями, например, растворителями, твердыми носителями и необязательно поверхностно-активными веществами (ПВА).
Подходящие носители и адъюванты могут быть твердыми или жидкими и представляют собой вещества, обычно используемые в методиках получения препаративных форм, такие как, например, природные и регенерированные минеральные вещества, растворители, дисперсанты, смачиватели, вещества для повышения клейкости, эагустители, связующие вещества или удобрения. Такие носители описаны, например, в WO 97/33890.
Дополнительные ПВА, обычно используемые в области получения препаративных форм, известны специалисту или могут быть найдены в соответствующей литературе.
Сельскохозяйственные препараты обычно будут содержать от 0,1 до 99% мас., предпочтительно от 0,1 до 95% мас. соединения формулы I, 99,9 до 1% мас., предпочтительно 99,8 до 5% мас. твердого или жидкого адъюванта и от 0 до 25% мас., предпочтительно от 0,1 до 25% мас. поверхностно-активного вещества.
В случаях, когда предпочтительно получают коммерческие продукты в виде концентратов, конечный пользователь обычно будет применять разбавленные препараты.
Композиции могут также содержать дополнительные адъюванты, такие как стабилизаторы, пеногасители, регуляторы вязкости, связующие вещества или вещества для повышения клейкости, а также удобрения, доноры питательных микроэлементов или другие препараты для получения специальных эффектов.
4. Технические материалы. Соединения и композиции данного изобретения могут также применяться в борьбе с грибковой инфекцией (особенно с плесенью и мучнистой росой) технических материалов, включающей защиту технического материала от поражения грибами и снижение или устранение грибковой инфекции технических материалов после того, как инфекция имела место. Технические материалы включают, но не ограничиваясь ими, органические и неорганические материалы: дерево, бумагу, кожу, природные и синтетические волокна, их композиты, такие как стружечная плита, фанера, древесно-волокнистая плита и тому подобное, тканые и нетканые материалы, строительные поверхности и материалы, поверхности систем охлаждения и нагревания и материалы, поверхности систем вентиляции и кондиционирования воздуха и материалы, и тому подобное. Соединения или композиции по данному изобретению могут быть применены к таким материалам или поверхностям в количестве, эффективном для ингибирования или предотвращения вредных эффектов, таких как гниение, обесцвечивание или плесневение, способом, аналогично описанному выше. Построенные структуры или жилые здания с применением или включением технических материалов, для которых были применены такие соединения или композиции, таким образом, защищены против поражения грибками/грибами.
5. Фармацевтическое применение. В дополнение к вышеизложенному, активные соединения данного изобретения могут быть применены для лечения грибковых инфекций у человека и животных (включающих, но не ограничиваясь ими, лошадей, крупный рогатый скот, овец, собак, кошек и т.д.) в медицинских и ветеринарных целях. Примеры таких инфекций включают, но не ограничиваясь ими, недуги, такие как онихомикоз, споротрихоз, гниение копыт, язва джунглевая, Pseudallescheria boydii, cкопуляриопсиоз или эпидермофития стопы, вообще иногда называемая как white-line болезнь, а также грибковые инфекции у пациентов с проблемным иммунитетом, у таких как пациенты со СПИД (AIDS) и пациенты с трансплантацией. Таким образом, грибковые инфекции могут быть на коже или ороговевших материалах, таких как волосы, копыта или ногти, а также системными инфекциями, такими как инфекции, вызываемые Candida spp., Cryptococcus neoformans и Aspergillus spp., такими как при аспергиллезе легких и Pneumocystis carini пневмонии. Активные соединения, описанные в данном описании, могут быть объединены с фармацевтически приемлемым носителем и введены или применены для таких субъектов или инфекций (например, местно или парентерально) в количестве, эффективном для лечения инфекции в соответствии с известными методиками, описанными (например) в патентах США 6680073; 6673842; 6664292; 6613738; 6423519; 6413444; 6403063; и 6042845; описания которых включены посредством ссылки в данное описание во всей их полноте.
Фармацевтически приемлемый(ая) используется в данном описании для обозначения тех соединений, материалов, композиций и/или других лекарственных форм, которые в рамках тщательного медицинского обследования подходят для применения в контакте с тканями человеческих существ и животных без излишней токсичности, раздражения, аллергической реакции или другой проблемы или сложности, соразмерной с отношением приемлемая польза/риск.
Фармацевтически приемлемый носитель , как он используется в данном описании, означает фармацевтически приемлемый материал, композицию или наполнитель, такой как жидкий или твердый наполнитель, разбавитель, эксципиент, растворитель или материал для капсулирования, включенный в перенос или транспорт соответствующего пептидомиметического агента из одного органа или части тела к другому органу или части тела. Каждый носитель должен быть приемлемым в смысле совместимости с другими ингредиентами препарата и безвредным для пациента. Некоторые примеры продуктов, которые могут служить в качестве фармацевтически приемлемых носителей, включают: (1) сахара, такие как лактоза, глюкоза и сахароза; (2) крахмалы, такие как кукурузный крахмал и картофельный крахмал; (3) целлюлозу и ее производные, такие как натрийкарбоксиметилцеллюлоза, этилцеллюлоза и ацетатцеллюлоза; (4) порошковый трагакант; (5) солод; (6) желатин; (7) тальк; (8) эксципиенты, такие как какао-масло и воска для суппозиториев; (9) масла, такие как арахисовое масло, хлопковое масло, подсолнечное масло, кунжутное масло, оливковое масло, кукурузное масло и соевое масло; (10) гликоли, такие как пропиленгликоль; (11) полиолы, такие как глицерин, сорбит, маннит и полиэтиленгликоль; (12) сложные эфиры, такие как этилолеат и этиллаурат; (13) агар; (14) буферирующие агенты, такие как гидроксид магния и гидроксид алюминия; (15) альгиновую кислоту; апирогенную воду; (17) изотонический раствор; (18) раствор Рингера; (19) этиловый спирт; (20) растворы фосфатного буфера; и (21) другие нетоксичные совместимые вещества, используемые в фармацевтических препаратах.
Препараты данного изобретения включают препараты, подходящие для перорального, назального, местного (включая щечное и подъязычное), ректального, вагинального и/или парентерального введения. Препараты могут быть удобно представлены в единичной дозированной форме и могут быть приготовлены любыми способами, хорошо известными в области фармации. Количество активного ингредиента, которое можно объединить с продуктом-носителем для создания разовой дозированной формы, будет изменяться в зависимости от реципиента, подлежащего лечению, и конкретного способа введения. Количество активного ингредиента, которое можно объединить с продуктом-носителем для создания разовой дозированной формы, обычно будет составлять такое количество активного ингредиента, которое дает терапевтический эффект. Обычно в ста процентах случаев данное количество будет изменяться примерно от 1 процента до примерно 99 процентов активного ингредиента, предпочтительно примерно от 5 процентов до примерно 70 процентов, наиболее предпочтительно примерно от 10 процентов до примерно 30 процентов.
Способы получения данных препаратов или композиций включают стадию смешивания соединения данного изобретения с носителем и необязательно с одним или несколькими вспомогательными ингредиентами. В основном, препараты готовят равномерным и однородным смешиванием пептида или пептидомиметика данного изобретения с жидкими носителями или тонко размолотыми твердыми носителями или обоими и затем, если необходимо, формованием продукта.
Мази, пасты, кремы и гели могут содержать, в дополнение к активному ингредиенту, эксципиенты, такие как животные и растительные жиры, масла, воска, парафины, крахмал, трагакант, производные целлюлозы, полиэтиленгликоли, силиконы, бентониты, кремниевая кислота, тальк и оксид цинка или их смеси.
Порошки и разбрызгиваемые растворы могут содержать, в дополнение к соединению данного изобретения, эксципиенты, такие как лактоза, тальк, кремниевая кислота, гидроксид алюминия, силикаты кальция и полиамидный порошок или смеси данных веществ. Разбрызгиваемые растворы могут содержать дополнительно обычные газы-вытеснители, такие как хлорфторуглеводороды и летучие незамещенные углеводороды, такие как бутан и пропан.
Препараты, подходящие для перорального введения, могут быть представлены в дискретных единицах, таких как капсулы, саше, лепешки или таблетки, причем каждая содержит предварительно определенное количество активного соединения в виде порошка или гранул; в виде раствора или суспензии в водной или неводной жидкости; или в виде эмульсии масло-в-воде или вода-в-масле. Такие препараты могут быть приготовлены любым подходящим способом фармации, который включает стадию смешивания активного соединения с подходящим носителем (который может содержать один или несколько дополнительных ингредиентов, указанных выше). Обычно препараты изобретения готовят равномерным и однородным смешиванием активного соединения с жидкими или тонко размолотым твердым носителем или обоими и затем, если необходимо, формованием полученной смеси. Например, таблетка может быть приготовлена прессованием или формованием порошка или гранул, содержащих активное вещество необязательно с одним или несколькими дополнительными ингредиентами. Прессованные таблетки могут быть приготовлены прессованием в подходящем аппарате соединения в свободно-текучей форме, такой как порошок или гранулы, необязательно смешанных со связующим веществом, замасливателем, инертным разбавителем и/или поверхностно-активным/диспергирующим агентом(ами). Формованные таблетки могут быть сделаны формованием в подходящем аппарате порошкового соединения, увлажненного инертным жидким связующим веществом.
Фармацевтические композиции данного изобретения, подходящие для парентерального введения, содержат одно или несколько активных соединений изобретения в комбинации с одним или несколькими фармацевтически приемлемыми стерильными изотоническими водными или неводными растворами, дисперсиями, суспензиями или эмульсиями, или стерильными порошками, которые могут быть внесены в стерильные инъецируемые растворы или дисперсии до применения и могут содержать антиоксиданты, буферы, бактериостатики, растворенное вещество, которые делают препарат изотоническим по отношению к крови предполагаемого реципиента, или суспендирующие или загущающие агенты.
Примеры подходящих водных и неводных носителей, которые могут быть использованы в фармацевтических композициях изобретения, включают воду, этанол, полиолы (такие как глицерин, пропиленгликоль, полиэтиленгликоль и тому подобное) и подходящие их смеси, растительные масла, такие как оливковое масло, и инъецируемые органические сложные эфиры, такие как этилолеат. Надлежащая текучесть может быть отрегулирована, например, при использовании покровных продуктов, таких как лецитин, установлением требуемого размера частиц в случае дисперсий и применением ПВА. Данные композиции могут также содержать адъюванты, такие как консерванты, смачиватели, эмульгаторы и диспергаторы. Профилактика действия микроорганизмов может быть обеспечена включением различных противобактериальных и других противогрибковых средств, например парабена, хлорбутанола, фенолсорбиновой кислоты и тому подобное. Также может быть желательным включение в композиции изотонических средств, таких как сахара, хлорид натрия и тому подобное. Кроме того, пролонгированная абсорбция инъецируемой фармацевтической формы может быть осуществлена включением агентов, которые замедляют абсорбцию, таких как моностеарат алюминия и желатин.
Когда соединения данного изобретения вводят в качестве фармацевтического средства людям или животным, они могут быть введены сами по себе или в виде фармацевтической композиции, содержащей, например, от 0,1 до 99,5% (предпочтительнее от 0,5 до 90%) активного ингредиента в комбинации с фармацевтически приемлемым носителем.
Препараты данного изобретения могут быть введены любыми подходящими способами введения, в том числе перорально, парентерально, локально, трансдермально, ректально и т.д. Они, разумеется, вводятся в формах, подходящих для каждого пути введения. Например, их вводят в форме таблеток или капсул, в виде инъекций, ингаляций, в виде глазного лосьона, мази, суппозитория и т.д. при введении инъекцией, инфузией или ингаляцией; местно примочкой или мазью; и ректально суппозиториями. Предпочитают местное или парентеральное введение.
Выражения парентеральное введение и введенный парентерально , используемые в данном описании, означают путь введения, иной, чем энтеральное и местное введение, обычно осуществляемый инъекцией, и включает без ограничения внутривенную, внутримышечную, внутриартериальную, внутриоболочечную, внутрикапсульную, внутриглазную, внутрисердечную, внутрикожную, внутрибрюшинную, транстрахеальную, подкожную, субкутикулярную, внутрисуставную, субкапсулярную, субарахноидальную, интраспинальную и интрастернальную инъекцию или инфузию.
Фактически действующие уровни доз активных ингредиентов в фармацевтических композициях данного изобретения могут быть изменены так, чтобы получить количество эффективного ингредиента, которое является эффективным для достижения желаемого терапевтического эффекта, например, противогрибковой активности для конкретного пациента, композиции и способа введения без токсичности для пациента. Выбранный уровень доз будет зависеть от множества факторов, включающих активность конкретного применяемого активного соединения, путь введения, период введения, скорость выведения конкретного применяемого активного соединения, длительность лечения, другие лекарственные средства, соединения и/или продукты, используемые в комбинации с конкретным применяемым ингибитором, возраст, пол, массу, состояние, общее здоровье и предыдущую историю болезни пациента, подвергаемого лечению, и подобные факторы, хорошо известные в областях медицины. Врач или ветеринар, обладающий познаниями обычного специалиста в данной области, может легко определить и прописать эффективное требуемое количество фармацевтической композиции. Например, врач или ветеринар может назначить начальные дозы соединений изобретения, применяемых в фармацевтической композиции, на уровнях, более низких, чем требуется для достижения желаемого терапевтического эффекта, и постепенно повышать дозировку до тех пор, пока желаемый эффект не будет достигнут. Как общее заключение, дозировка от примерно 0,01 или 0,1 до примерно 50, 100 или 200 мг/кг будет обладать терапевтической эффективностью, при этом все массы приведены в расчете на массу активного соединения, включая случаи, где использована соль.
Данное изобретение рассмотрено более подробно в следующих, не ограничивающих его примерах.
Пример 1
3-(2,6-Дихлорфенил)-4-[(3-пиридил)гидроксиметил]-5-триметилсилилизоксазол (соединение 1) и 3-(2,6-дихлорфенил)-5-[(3-пиридил)гидроксиметил]-4-триметилсилилизоксазол (соединение 2)
Смесь 55 мг (0,24 ммоль) 2,6-дихлор-N-гидроксибензолкарбоксимидоилхлорида, 50 мг (0,24 ммоль) 1-(3-пиридил)-3-триметилсилил-2-пропин-1-ола и 20 мг (0,24 ммоль) бикарбоната натрия в 2 мл изопропилового спирта нагревали при 55°С в течение 24 ч. Реакционную смесь разбавляли простым эфиром. Эфирный слой промывали насыщенным раствором хлорида натрия и сушили над сульфатом магния. Осушитель отфильтровывали и эфир удаляли на роторном испарителе. Неочищенный продукт очищали препаративной тонкослойной хроматографией (препаративная ТСХ) и выделяли два продукта. Менее полярный продукт (10 мг, 0,025 ммоль) идентифицировали как 3-(2,6-дихлорфенил)-4-[(3-пиридил)гидроксиметил]-5-триметилсилилизоксазол. 1Н ЯМР (СDCl3): 0,45 (уш.с, 9), 5,82 (с, 1) и 7,40 м.д. (д, 1). МС m/z: 393,0 (M+H).
Более полярный продукт представлял собой 3-(2,6-дихлорфенил)-5-[(3-пиридил)гидроксиметил]-4-триметилсилилизоксазол. 1Н ЯМР (СDCl3): 0,20 (м, 9), 6,12 (с, 1), 7,80 (д, 1) и 7,87 м.д. (д, 1). МС m/z: 393,0 (M+H).
Пример 2
5-(3-Хлорфенил)-3-(2,4-дихлорфенил)-4-[(3-пиридил)гидроксиметил]изоксазол (соединение 4)
Смесь 53 мг (0,24 ммоль) 2,4-дихлор-N-гидроксибензолкарбоксимидоилхлорида, 50 мг (0,21 ммоль) 1-(3-пиридил)-3-(3-хлорфенил)-2-пропин-1-ола и 26 мг (0,31 ммоль) бикарбоната натрия в 2,5 мл изопропилового спирта нагревали при 55°С в роторном настольном шейкере, снабженном нагреваемой песочной баней. Через 20 ч добавляли дополнительно 20 мг 2,4-дихлор-N-гидроксибензолкарбоксимидоилхлорида и 10 мг бикарбоната натрия, реакционную смесь перемешивали и нагревали в течение следующих 16 ч. Смесь разбавляли простым эфиром, раствор промывали насыщенным хлоридом натрия и сушили над сульфатом магния. Осушитель отфильтровывали и эфир удаляли на роторном испарителе. Неочищенный продукт очищали препаративной ТСХ, получая 15 мг (0,035 ммоль) 5-(3-хлорфенил)-3-(2,4-дихлорфенил)-4-[(3-пиридил)гидроксиметил]изоксазола. 1Н ЯМР (СDCl3): 5,92 (уш.с, 1), 7,04 (д из д, 1), 7,12 (д, 1), 7,72 (м, 1), 8,86 (уш.с, 1) и 8,29 м.д. (уш.с, 2). МС m/z: 430,9 (M+H).
Пример 3
5-(3-Хлорфенил)-3-(2,4-дихлорфенил)-4-[(3-пиридил)ацетоксиметил]изоксазол
К раствору 43 мг (0,10 ммоль) 5-(3-хлорфенил)-3-(2,4-дихлорфенил)-4-[(3-пиридил)гидроксиметил]изоксазола в 2 мл пиридина добавляли 19 мкл (0,20 ммоль) ангидрида уксусной кислоты. Реакционную смесь перемешивали в течение ночи при комнатной температуре и затем пиридин удаляли в вакууме. Остаток поглощали этилацетатом, промывали насыщенным хлоридом натрия и этилацетатную фракцию сушили над сульфатом магния. Осушитель отфильтровывали и этилацетат удаляли на роторном испарителе. Неочищенный продукт очищали препаративной тонкослойной хроматографией (препаративная ТСХ), получая 35 мг (0,074 ммоль) 5-(3-хлорфенил)-3-(2,4-дихлорфенил)-4-[(3-пиридил)ацетоксиметил]изоксазола.
Пример 4
3-(2,4-Дихлорфенил)-5-(1,1-диметилэтил)-4-[(3-пиридил)карбонил]изоксазол
К раствору 200 мг (1,06 ммоль) 4,4-диметил-1-пиридил-2-пентин-1-ола в 2,5 мл диметилсульфоксида (ДМСО) добавляли 443 мг (1,58 ммоль) о-иодозобензойной кислоты (IBX). Реакционную смесь перемешивали в течение ночи при комнатной температуре и затем твердое вещество удаляли фильтрованием. Фильтрат разбавляли простым эфиром и промывали насыщенным раствором хлорида натрия. Органическую фракцию отделяли и сушили над сульфатом магния. Осушитель отфильтровывали и эфир удаляли на роторном испарителе. Кетонный продукт, 4,4-диметил-1-(3-пиридил)-2-пентин-1-он (182 мг) использовали непосредственно без какой-либо очистки.
Смесь 72 мг (0,32 ммоль) 2,4-дихлор-N-гидроксибензолкарбоксимидоилхлорида, 60 мг (0,32 ммоль) 4,4-диметил-1-(3-пиридил)-2-пентин-1-она и 32 мг (0,38 ммоль, 1,2 эквивалента) бикарбоната натрия в 2,5 мл изопропилового спирта нагревали при 55°С в течение 16 ч в роторном настольном шейкере. Проводили второе добавление 25 мг карбоксимидоилхлорида и 10 мг бикарбоната натрия с последующим нагреванием в течение 20 ч при 55°С. Реакционную смесь охлаждали, разбавляли простым эфиром и затем промывали насыщенным бикарбонатом натрия. Эфирную фракцию сушили над сульфатом магния. Осушитель отфильтровывали и эфир удаляли на роторном испарителе. Неочищенный продукт очищали препаративной ТСХ, получая 92 мг маслянистого продукта, 3-(2,4-дихлорфенил)-5-(1,1-диметилэтил)-4-[(3-пиридил)карбонил]изоксазола. 1Н ЯМР (СDCl3): 1,47 (с, 9), 7,90 (м, 1), 7,60 (уш.с, 1) и 8,72 м.д. (уш.с, 1). МС m/z: 375,0 (M+H).
Пример 5
3-(2,4-Дихлорфенил)-5-(1,1-диметилэтил)-4-[(3-пиридил)гидроксиметил]изоксазол (соединение 7)
К раствору 92 мг (0,24 ммоль) 3-(2,4-дихлорфенил)-5-(1,1-диметилэтил)-4-[(3-пиридил)карбонил]изоксазола в 5 мл этанола при 0°С добавляли 20 мг (0,53 ммоль) борогидрида натрия. Через 2 ч реакционную смесь выливали в воду и продукт экстрагировали несколько раз этилацетатом. Объединенные этилацетатные фракции промывали насыщенным хлоридом натрия и сушили над сульфатом магния. Осушитель отфильтровывали и этилацетат удаляли на роторном испарителе. Неочищенный продукт очищали препаративной ТСХ, получая 68 мг (0,18 ммоль) 3-(2,4-дихлорфенил)-5-(1,1-диметилэтил)-4-[(3-пиридил)гидроксиметил]изоксазола. 1Н ЯМР (СDCl3): 1,52 (с, 9), 6,14 (уш.с, 1), 6,86 (д, 1), 7,38 (м, 1), 8,27 (уш.с, 1) и 8,33 м.д. (м, 1). МС m/z: 377,0 (M+H).
Пример 6
5-(2-Хлорфенил)-3-(2,4-дихлорфенил)-4-[(3-пиридил)гидроксиметил]изоксазол (соединение 14)
К раствору 655 мг (4,8 ммоль) 2-хлорфенилацетилена в 10 мл тетрагидрофурана (ТГФ), охлажденного до -78°С а атмосфере азота, добавляли 3,0 мл (4,8 ммоль) 1,6М н-бутиллития в гексане. Раствор перемешивали при -78°С в течение 2 ч и затем к нему добавляли раствор 514 мг (4,8 ммоль) 3-пиридинкарбоксальдегида в 2,5 мл тетрагидрофурана (ТГФ). Через 3,5 ч реакционную смесь выливали в воду. Органический продукт экстрагировали несколько раз эфиром. Объединенные эфирные экстракты промывали насыщенным бикарбонатом натрия и сушили над сульфатом магния. Осушитель отфильтровывали и эфир удаляли на роторном испарителе, получая 3-(2-хлорфенил)-1-(3-пиридил)-2-пропин-1-ол.
Смесь 52 мг (0,23 ммоль) 2,4-дихлор-N-гидроксибензолкарбоксимидоилхлорида, 50 мг (0,21 ммоль) 3-(2-хлорфенил)-1-(3-пиридил)-2-пропин-1-ола и 30 мг (0,36 ммоль) бикарбоната натрия в 3 мл изопропилового спирта нагревали при 55°С в течение ночи при встряхивании. Реакционную смесь охлаждали, разбавляли простым эфиром и затем промывали насыщенным бикарбонатом натрия. Эфирную фракцию сушили над сульфатом магния. Осушитель отфильтровывали и эфир удаляли на роторном испарителе. Неочищенный продукт очищали препаративной ТСХ, получая 15 мг (0,035 ммоль) 5-(2-хлорфенил)-3-(2,4-дихлорфенил)-4-[(3-пиридил)гидроксиметил]изоксазола. 1Н ЯМР (СDCl3): 5,80 (уш.с, 1). МС m/z: 431,0 (M+H).
Пример 7
5-(2-Хлорфенил)-3-(2,4-дихлорфенил)-4-[(3-пиридил)гидроксиметил]изоксазол (соединение 14)
Смесь 56 мг (0,25 ммоль) 2,4-дихлор-N-гидроксибензолкарбоксимидоилхлорида, 60 мг (0,25 ммоль) 3-(2-хлорфенил)-1-(3-пиридил)-2-пропин-1-она и 30 мг (0,36 ммоль) бикарбоната натрия в 2,5 мл изопропилового спирта нагревали при 55°С в течение ночи при встряхивании. Затем добавляли дополнительные 30 мг карбоксимидоилхлорида и 15 мг бикарбоната натрия и смесь нагревали в течение следующих 20 ч. Реакционную смесь охлаждали, разбавляли простым эфиром и затем промывали насыщенным бикарбонатом натрия. Эфирную фракцию сушили над сульфатом магния. Осушитель отфильтровывали и эфир удаляли на роторном испарителе. Неочищенный продукт очищали препаративной ТСХ, получая 90 мг (0,21 ммоль) 5-(2-хлорфенил)-3-(2,4-дихлорфенил)-4-[(3-пиридил)карбонил]изоксазола. 1Н ЯМР (СDCl3): 7,16 (м, 1), 7,60 (м, 2), 7,92 (м, 1), 8,53 (уш.д, 1) и 8,74 м.д. (уш.с, 1). МС m/z: 428,9 (M+H).
К раствору 80 мг (0,19 ммоль) 5-(2-хлорфенил)-3-(2,4-дихлорфенил)-4-[(3-пиридил)карбонил]изоксазола в 3 мл этанола при 0°С добавляли 40 мг (1,06 ммоль) борогидрида натрия. Смесь перемешивали в течение 2 ч и затем разбавляли этилацетатом. Этилацетатный раствор промывали насыщенным раствором хлорида натрия и сушили над сульфатом магния. Осушитель отфильтровывали и этилацетат удаляли на роторном испарителе. Неочищенный продукт очищали препаративной ТСХ, получая 65 мг (0,15 ммоль) 5-(2-хлорфенил)-3-(2,4-дихлорфенил)-4-[(3-пиридил)гидроксиметил]изоксазола. 1Н ЯМР (СDCl3): 5,80 (уш.с, 1), 6,97 (м, 1), 8,23 (уш.с, 1) и 8,28 м.д. (уш.с, 1). МС m/z: 431,0 (M+H).
Пример 8
5-(2-Хлорфенил)-3-(2,4-дихлорбензил)-4-[(3-пиридил)гидроксиметил]изоксазол (соединение 15)
Раствор 59 мг (0,25 ммоль) 2,4-дихлор-бензилкарбоксимидоилхлорида (полученного согласно G. Kumaran и G.H. Kulkarni, J. Org, Chem. 1997, 62, 1516), 50 мг (0,21 ммоль) 3-(2-хлорфенил)-1-(3-пиридил)-2-пропин-1-она и 43 мкл (0,31 ммоль) триэтиламина в мл дихлорметана нагревали при 55°С в запаянном сосуде в течение ночи. Реакционную смесь охлаждали и разбавляли простым эфиром, промывали насыщенным хлоридом натрия и сушили над сульфатом магния. Осушитель отфильтровывали и эфир удаляли на роторном испарителе. Неочищенный продукт очищали препаративной ТСХ, получая 50 мг (0,11 ммоль) 5-(2-хлорфенил)-3-(2,4-дихлорбензил)-4-[(3-пиридил)карбонил]изоксазола. 1Н ЯМР (СDCl3): 4,23 (с, 2), 7,48 (д, 1), 7,88 (дд, 1), 8,66 (уш.д, 1) и 8,70 м.д. (уш.с, 1). МС m/z: 442,9 (M+H).
К раствору 50 мг (0,11 ммоль) 5-(2-хлорфенил)-3-(2,4-дихлорбензил)-4-[(3-пиридил)карбонил]изоксазола в 15 мл ТГФ добавляли 21 мг (0,56 ммоль) борогидрида натрия при комнатной температуре. Через 2 ч раствор разбавляли этилацетатом, промывали насыщенным раствором хлорида натрия и сушили над сульфатом магния. Осушитель отфильтровывали и растворитель удаляли на роторном испарителе. Неочищенный продукт очищали препаративной ТСХ, получая 39 мг (0,088 ммоль) 5-(2-хлорфенил)-3-(2,4-дихлорбензил)-4-[(3-пиридил)гидроксиметил]изоксазола. 1Н ЯМР (СDCl3): 3,91 (д, 1), 4,00 (д, 1), 6,97 (уш.с, 1), 7,64 (д, 1), 8,42 м.д. (уш.м, 2). МС m/z: 445,0 (M+H).
Пример 9
5-(3-Хлорфенил)-3-(2-фтор-5-трифторметилфенил)-4-[(3-пиридил)гидроксиметил]изоксазол (соединение 29)
К раствору 643 мг (3,10 ммоль) оксима 2-фтор-5-трифторметилбензальдегида в 5 мл диметилформамида (ДМФА) добавляли 456 мг (3,41 ммоль) N-хлорсукцинимида (см. K.C. Liu, B.R. Shelton and R.K. Howe, J. Org. Chem. 1980, 45, 3916). Реакционную смесь перемешивали при комнатной температуре в течение ночи и затем разбавляли этилацетатом. Этилацетатный раствор промывали насыщенным раствором хлорида натрия и сушили над сульфатом магния. Осушитель отфильтровывали и растворитель удаляли на роторном испарителе, получая 675 мг (2,79 ммоль) чистого белого кристаллического 2-фтор-5-трифторметил-N-гидроксибензолкарбоксимидоилхлорида.
Смесь 60 мг (0,25 ммоль) 2-фтор-5-трифторметил-N-гидроксибензолкарбоксимидоилхлорида, 50 мг (0,21 ммоль) 3-(3-хлорфенил-1-(3-пиридил)-2-пропин-1-она (полученного аналогично методикам, указанным выше, из 3-хлорфенилацетилида лития и 3-пиридинкарбоксальдегида, с последующим IBX окислением) и 26 мг (0,36 ммоль) бикарбоната натрия в 2,5 мл изопропилового спирта нагревали при 55°С в течение ночи при встряхивании. Добавляли дополнительные 30 мг карбоксимидоилхлорида и 15 мг бикарбоната натрия и реакционную смесь нагревали в течение следующих 24 ч. Реакционную смесь охлаждали и разбавляли простым эфиром. Эфирную фракцию промывали насыщенным хлоридом натрия и сушили над сульфатом магния. Осушитель отфильтровывали и растворитель удаляли на роторном испарителе. Остаток очищали препаративной ТСХ, получая 56 мг (0,13 ммоль) 5-(3-хлорфенил)-3-(2-фтор-5-трифторметилфенил)-4-[(3-пиридил)карбонил]изоксазола. 1Н ЯМР (СDCl3): 7,10 (т, 1), 7,41 (м, 1), 7,52 (м, 1), 8,65 (уш.с, 1) и 8,86 м.д. (уш.с, 1). МС m/z: 447,0 (M+H).
К раствору 56 мг (0,13 ммоль) 5-(3-хлорфенил)-3-(2-фтор-5-трифторметилфенил)-4-[(3-пиридил)карбонил]изоксазола в 2 мл этанола добавляли 24 мг (0,63 ммоль) борогидрида натрия. После перемешивания в течение 2 ч при комнатной температуре реакционную смесь разбавляли этилацетатом. Раствор промывали насыщенным хлоридом натрия и сушили над сульфатом магния. Осушитель отфильтровывали и растворитель удаляли на роторном испарителе. Остаток очищали препаративной ТСХ, получая 44 мг (0,098 ммоль) 5-(3-хлорфенил)-3-(2-фтор-5-трифторметилфенил)-4-[(3-пиридил)гидроксиметил]изоксазола. 1Н ЯМР (СDCl3): 6,01 (с, 1), 7,01 (м, 1), 7,83 (м, 1), 8,27 (м, 1) и 8,35 м.д. (уш.с, 1). МС m/z: 449,0 (M+H).
Пример 10
Биологический скрининг
Фунгицидную активность для соединений, описанных в данном изобретении, определяли, используя титрационный микропланшет. В первичном скрининге тестируемые соединения в 1 мкл диметилсульфоксида (ДМСО) помещают в индивидуальные лунки 96-луночного титрационного микропланшета. Затем в каждую лунку помещают 100 мкл минимальной среды, состоящей из 1,5% агара, и дают возможность охладиться. Наконец, инокуляцию осуществляют добавлением 10 мкл водной суспензии грибковых спор на поверхность твердого агара. Планшеты закрывают и инкубируют в контролируемой окружающей среде при 20°С. Фунгицидную активность определяют визуальной оценкой и фотометрическим анализом роста грибов через 3-5 дней в зависимости от патогена. Коммерческие стандарты (азоксистробин, беномил, каптан, хлороталонил, фамоксадон, флузилазол и пропиконазол) включают во все анализы. Тестируемые патогены включают Septoria tritici, Stagonospora nodorum, Phytophthora infestans и Botrytis cinerea. Данные по дозе-ответу для соединений с выявленной фунгицидной активностью при первичном скрининге получают скринингом 3-кратных серийных разведений тестируемого соединения. Фунгицидная активность, указанная как IC50 величины в мкМ концентрации, для некоторых соединений, рассмотренных в данном изобретении, включена в следующую таблицу 1. Коэффициент вариации (отношение стандартного отклонения к среднему), выраженный в процентах, приведен в скобках.
| Таблица 1 |
| Соединение, номер |
B. cinerea |
P. infestans |
S. nodorum |
S. tritici |
| 1 |
E |
E |
E |
C(b) |
| 3 |
B(b) |
E |
B(d) |
A(b) |
| 4 |
B(d) |
E |
A(b) |
A(c) |
| 7 |
B(c) |
E |
E |
E |
| 12 |
B(c) |
E |
B(d) |
A(b) |
| 13 |
B(b) |
E |
B(d) |
A(b) |
IC50 (мкМ): А=0-0,1; В=0,11-1,0; С=1,1-10; D=11-100; E=>100
С.V. (%): (a)=0-5; (b)=6-15; (c)=16-30;; (d)=>30
Пример 11
Опыт с соединением 4 на газонной траве
Фунгицидный опыт проводили весной на 15-летнем травостое полевицы белой сорта Penncross. Травостой поддерживали, используя агротехнические приемы, аналогичные приемам, используемым для ухода за зелеными лужайками для гольфа из полевицы на юге США. Обработки проводили на делянках (0,5×1,0 м) по полной схеме рандомизированных блоков в четырех повторностях. Соединение 4 применяли в виде тонко размолотого смачивающегося порошка с 25% активного ингредиента (масса/масса). Дозы применения соединения 4 были следующими (граммы активного ингредиента на 1000 квадратных футов): 2,2, 4,4 и 8,8. Все другие фунгициды применяли согласно их этикеткам (Banner MAXX 1.3ME и Insignia 20WG). Травостой инокулировали автоклавированными семенами овсяницы, зараженными Sclerotinia homoeocarpa (обычное название: долларовая пятнистость ), через шесть часов после проведения начальных профилактических обработок. На делянки подавали приблизительно 0,24 дюйма ирригационной воды в сутки в течение 1700 часов для обеспечения лиственной влажности по ночам для инфекции. Применяли оценочную шкалу Horstfall-Barratt для визуального определения тяжести заболевания с приблизительно 7-дневными интервалами от начальной даты применения. Качество травостоя оценивали по шкале 0-9, где 0=некротический слабый лиственный покров и 9=темно-зеленый плотный лиственный покров. Величины, характеризующие заболевание и качество, подвергали анализу рассеяния и средние значения статистически выделяли по методу кластерного анализа Scott-Knott.
Тяжесть долларовой пятнистости была высокой, достигающей пика >50% заболевания на необработанных делянках. В процессе исследования все обработки, обеспечивающие значительное (а 0,05) подавление заболевания, сравнивали с необработанным контролем. Средние оценки заболевания <3,0% считали приемлемыми для зеленых лужаек из полевицы для гольфа. С учетом приемлемости, обработки с помощью Banner MAXX и соединения 4 были единственными, которые обеспечили эффективную борьбу с долларовой пятнистостью в течение большей части опытного периода.
Все обработки значительно (а 0,05) улучшали качество травостоя по сравнению с необработанным контролем. Оценки качества >6 рассматривали как приемлемые для зеленых лужаек из полевицы для гольфа. Наивысшие показатели качества относились к делянкам, обработанным либо Banner MAXX, либо соединением 4. Поддающейся оценке фитотоксичности не наблюдали ни на одной из делянок. Снижение качества травостоя происходило, главным образом, от долларовой пятнистости.
Пример 12
Опыт с соединением 4 на злаке
Полевой опыт с соединением 4 проводили на мягкой краснозерной озимой пшенице сорта Sisson. Очень сухая погода привела к подъему низкой природной заболеваемости поздней листовой ржавчиной (Puccinia recognita: PUCCRT) в опыте. Соединение 4 применяли в виде эмульгируемого концентрата с 9,5% активного ингредиента (масса/масса) следующего состава (каждая масса/масса): 9,5% соединения 4, 9,5% м-пирола, 65% Surfadon LP-100, 6% Surfadon LP-300, 5% Toximul 3463F и 5% Toximul 3464F. Дозы применения соединения 4 были следующими (граммы активного ингредиента на гектар: г а.и./га, 140, 280 и 421.
Соединение 4 показало хороший эффект в борьбе с заболеваемостью ржавчиной, статистически подобный коммерческим стандартам, использованным в опыте [стратего/Stratego (91 и 183 г а.и./га), абсолют/Absolute (91 и 182 г а.и./га), хилт/Quilt (101 и 160 г а.и./га), тилт/Tilt (126 г а.и./га), квадрис/Quadris (170 г а.и./га), Headline (82 и 110 г а.и./га)]. Повышение урожая наблюдали для наивысшей дозы соединения 4, сопоставимое с коммерческим стандартом.
Вышеизложенное представляет собой иллюстрацию данного изобретения и не должно восприниматься как его ограничение. Изобретение определено следующей формулой изобретения с эквивалентами пунктов изобретения, предназначенными для включения в нее.
Формула изобретения
1. Соединение формулы I:
 где R1 означает алкил; фенилалкил, необязательно замещенный галогеном; фенил, необязательно замещенный галогеном, галогеналкилом или алкокси; тиенил, необязательно замещенный галогеном; или бензо[b]тиенил, необязательно замещенный галогеном; R2 означает пиридил или пиримидинил; R3 означает алкил; галогеналкил; фенилоксиалкил, необязательно замещенный галогеном или алкилом; фенил, необязательно замещенный галогеном, алкилом или алкокси; тиенил или алкилсилил; R4 означает Н; или его соль.
2. Соединение по п.1, где R1 означает фенил, необязательно замещенный галогеном, галогеналкилом или алкокси; тиенил, необязательно замещенный галогеном, или бензо[b]тиенил, необязательно замещенный галогеном; или его соль.
3. Соединение по п.1, где R1 означает 4-хлорфенил, 2,4-дихлорфенил, 2,4-дифторфенил или 2-тиенил.
4. Соединение по п.1, где R1 означает алкил или фенилалкил, необязательно замещенный галогеном.
5. Соединение по п.1, где R1 означает н-пентил.
6. Соединение по п.1, где R2 означает 3-пиридил или 5-пиримидинил.
7. Соединение по п.1, где R3 означает фенил, необязательно замещенный галогеном, алкилом или алкокси; тиенил или алкилсилил.
8. Соединение по п.1, где R3 означает фенил, 3-хлорфенил, 4-хлорфенил, 4-фторфенил, 3,5-дифторфенил, 4-метилфенил, 2-тиенил, 3-тиенил, трет-бутил или триметилсилил.
9. Соединение по п.1, где R4 означает Н или его соль.
10. Соединение по п.1, где R1 означает фенил, необязательно замещенный галогеном, галогеналкилом или алкокси; или тиенил, необязательно замещенный галогеном; или бензо[b]тиенил, необязательно замещенный галогеном; R2 означает пиридил или пиримидинил; R3 означает алкил; фенил, необязательно замещенный галогеном, алкилом или алкокси; тиенил или алкилсилил; и R4 означает Н; или его соль.
11. Соединение по п.10, где R1 означает 4-хлорфенил, 2,4-дихлорфенил, 2,4-дифторфенил или 2-тиенил.
12. Соединение по п.10, где R2 означает 3-пиридил или 5-пиримидинил.
13. Соединение по п.10, где R3 означает фенил, 3-хлорфенил, 4-хлорфенил, 4-фторфенил, 3,5-дифторфенил, 4-метилфенил, 2-тиенил, 3-тиенил, трет-бутил или триметилсилил.
14. Соединение по п.1, выбранное из группы, состоящей из: 3-(2,6-дихлорфенил)-4-[(3-пиридил)гидроксиметил]-5-триметилсилилизоксазола (соединение 1); 5-(3-хлорфенил)-3-(2,4-дихлорфенил)-4-[(3-пиридил)гидроксиметил]изоксазола (соединение 4); 3-(2,4-дихлорфенил)-5-(1,1-диметиэтил)-4-[(3-пиридил)гидроксиметил]изоксазола (соединение 7); 3-(2,4-дихлорфенил)-4-[(3-пиридил)гидроксиметил]-5-(2-тиенил)изоксазола(соединение 12); 3-(2,4-дихлорфенил)-4-[(3-пиридил)гидроксиметил]-5-(3-тиенил)изоксазола (соединение 13); 3-(4-хлорфенил)-5-(3,5-дифторфенил)-4-[(3-пиридил)гидроксиметил]изоксазола (соединение 105); 3-(4-хлорфенил)-5-(3-хлорфенил)-4-[(5-пиримидинил)гидроксиметил]изоксазола (соединение 107); 5-(3-хлорфенил)-3-(5-хлор-2-тиенил)-4-[(5-пиримидинил)гидроксиметил]изоксазола (соединение 108); и его соли.
15. Композиция для борьбы и предупреждения растительных патогенных микроорганизмов, содержащая соединение по п.1 вместе с подходящим носителем.
16. Композиция по п.15, дополнительно содержащая, по меньшей мере, один добавочный фунгицид или индуктор системно приобретенной устойчивости.
17. Способ борьбы или предупреждения заражения, заменяющий культивируемых растений, патогенными микроорганизмами, включающий: нанесение соединения по п.1 на указанные растения, их части или их месторасположение в количестве, эффективном для борьбы с указанными микроорганизмами.
18. Способ по п.17, где микроорганизм представляет собой грибковый организм.
19. Способ по п.18, где указанный грибковый организм выбран из группы, состоящей из Septoria tritici, Staganospora nodorum, Phytophthora infestans, Botrytis cinerea, Sclerotinia homoeocarpa и Puccinia recondita.
20. Способ борьбы или профилактики заражения растительного посадочного материала патогенными микроорганизмами, включающий: нанесение соединения по п.1 на указанный растительный посадочный материал в количестве, эффективном для борьбы с указанными микроорганизмами.
21. Способ по п.20, где указанный растительный посадочный материал включает семена.
22. Способ по п.20, где микроорганизм представляет собой грибковый организм.
23. Способ получения соединения формулы I:
 где R1, R2, R3 и R4 имеют значения, определенные в п.1, включающий: взаимодействие карбоксимидоилхлорида формулы II
 где R1 принимает значения, приведенные выше, с ацетиленовым карбинолом формулы III:
 где R2 и R3 принимают значения, приведенные выше, в инертном или протонном растворителе в присутствии основания с образованием соединения формулы I.
24. Способ по п.23, где указанный растворитель представляет собой инертный растворитель и указанное основание представляет собой органическое основание.
25. Способ по п.23, где указанный растворитель представляет собой протонный растворитель и указанное основание представляет собой неорганическое основание.
26. Способ получения соединения формулы I:
 где R1, R2, R3 и R4 имеют значения, определенные в п.1, включающий: взаимодействие карбоксимидоилхлорида формулы II
 где R1 принимает значения, приведенные выше, с ацетиленовым кетоном формулы VI:
 где R2 и R3 принимают значения, приведенные выше, в инертном или протонном растворителе в присутствии основания с последующим восстановлением борогидридом натрия в спиртовом растворителе с образованием соединения формулы I.
27. Способ получения соединения формулы VI:
 где R2 и R3 имеют значения, определенные в п.1; включающий: окисление ацетиленового спирта формулы III
 окислителем в присутствии инертного растворителя с образованием соединения формулы VI.
28. Способ по п.27, где указанный окислитель представляет собой о-иодозобензойную кислоту.
29. Соединение формулы VI
 где R2 означает 3-пиридил или 5-пиримидинил; R3 означает алкил; фенил, необязательно замещенный галогеном; или алкилсилил.
|
|