Патент на изобретение №2391899
|
||||||||||||||||||||||||||||||||||||||||||||||||||||||||||||||||||||||||||||||||||||||||||||||||||||||||||||||||||||||||||||||||||||||||||||||||||||||||||||||||||||||||||||||||||||||||||||||||||||||||||||||||||||||||||||||||||||||||||||||||||||||||||||||||||||||||||||||||||||||||||||||||||||||||||||||||||||||||||||||||||||||||||||||||||||||||||||||||||||||||||||||||||||||||||||||||||||||||||||||||||||||||||||||||||||||||||||||||||||||||||||||||||||||||||||||||||||||||||||||||||||||||||||||||||||||||
(54) СПОСОБ ОЦЕНКИ ОГРАНИЧЕНИЯ ЖИЗНЕДЕЯТЕЛЬНОСТИ ДЕТЕЙ ПСИХОНЕВРОЛОГИЧЕСКОГО ПРОФИЛЯ
(57) Реферат:
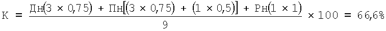
Изобретение относится к медицине, конкретно к неврологии. Оценка ограничения жизнедеятельности детей психоневрологического профиля проводится на основе определения степени выраженности функциональных расстройств путем тестирования по типам функциональных нарушений, оценки полученных показателей в баллах и последующего определения коэффициента функционального состояния. В качестве типов (В) функциональных нарушений учитывают двигательные (Дн), включающие виды (i) нарушений: мышечной силы, мышечного тонуса, объема активных движений, позы и положения сегментов конечностей, координации движений, характеристику гиперкинезов; нарушения психических функций (Пн), включая нарушения (i): эмоционально-волевой сферы, мышления, психического развития, недоразвитие интеллектуальной сферы; нарушения речи (Рн). Каждый из входящих в функциональные нарушения вид (i) разделяют на пять уровней (j) по тяжести проявления нарушения и оценивают в балльной шкале (bj) от bj=0 – сильная степень проявления нарушения при j=1 до bj=1 – отсутствие нарушения при j=5. Вычисляют коэффициент функционального состояния (К) по формуле где n – количество нарушений в каждом типе функционального нарушения; m – общее количество оцениваемых нарушений; В – тип функционального нарушения Дн, Пн или Рн; Bi – наличие вида нарушения: да – 1, нет – 0; bj – оценочный балл, который при j=1, b1=0; j=2, b2=0,25; j=3, b3=0,5; j=4, b4=10,75; j=5, b5=1. При значении К более 75% фиксируют легкую степень ограничения жизнедеятельности, при К от 50 до 75% – среднюю степень и при К от 0 до 49% – сильную степень ограничения жизнедеятельности. Способ позволяет объективизировать оценку ограничения жизнедеятельности детей психоневрологического профиля, повысить эффективность проведенного курса лечебных мероприятий, разработать стратегию и план дальнейших мероприятий при назначении повторных реабилитационных циклов. 3 табл.
Изобретение относится к медицине, конкретно к неврологии, и может быть использовано в специализированных учреждениях с целью объективизации оценки функциональных нарушений у детей психоневрологического профиля, эффективности проведенного курса лечебных мероприятий, разработки стратегии и плана дальнейшей мероприятий при назначении повторных реабилитационных циклов, в частности для детей с детским церебральным параличом. На фоне динамичного совершенствования и развития законодательной базы по обеспечению прав и интересов детей-инвалидов, растущее число реабилитационных учреждений, совершенствование их материально-технической базы в детской реабилитологии остается немало нерешенных проблем. Одной из них является отсутствие объективной системы оценки ограничения жизнедеятельности детей, позволяющей охарактеризовать уровень их функциональных навыков, определить эффективность реабилитации детей психоневрологического профиля. Согласно мнению многих авторов, пока нет ни теоретических ни практических разработок квалифицированных показателей медико-социального плана, объективно отражающих не только качественную, но и количественную оценку потенциала конкретного больного (Современные технологии реабилитации в педиатрии. Под ред. Е.Т.Лильина “ОДИ international” M. – 2000; Шипицина Л.М., Мамайчук И.И. Детский церебральный паралич СПб., М. – 2001 г.). Как правило, методики, оценивающие ограничение жизнедеятельности пациента, учитывают не более одного – двух функциональных нарушений ребенка, не рассматривая ограничение жизнедеятельности как единое целое. Давая оценку одному – двум видам функциональных нарушений, невозможно объективно оценить степень выраженности функциональных расстройств ребенка, уровень его социальной адаптации. Предложена балльная оценка психоэмоциональной сферы ребенка с ДЦП на основе коэффициента мотивационной готовности к деятельности (Симонова Т.Н. / автореф. дисс. «Оценка эффективности трансдисциплинарного подхода к реабилитации детей с детским церебральным параличом», канд. мед. наук. – Саратов, 2002, 27 с.). Для оценки психоэмоциональной активности проводят обследование мотивационной готовности с определением ее коэффициента по 4 параметрам, каждый из которых оценивался по 5-балльной шкале: устойчивость эмоциональной сферы, мотивация, тревожность и познавательная активность. Считают, что коэффициент мотивационной готовности (КМГ) наиболее адекватно отражает готовность ребенка к коррекционным воздействиям и различным видам деятельности. Однако отмечается, что он достоверно применим только для детей с тяжелыми и среднетяжелыми функциональными расстройствами, поскольку уровень мотивации у этих детей находится в прямой связи с развитием навыков общения, самообслуживания и сидения. В патенте РФ Однако способ основан на использовании всего двух типов функциональных нарушений: двигательного и психологического характера, не позволяет сделать вывод о степени выраженности функциональных расстройств ребенка, уровне его социальной адаптации. Таким образом, проведенный поиск среди известных заявителю источников информации не выявил решений, направленных как на объективизацию оценки ограничения жизнедеятельности как единого целого, так и объективизацию эффективности проведенного курса реабилитационных мероприятий, позволяющую оперативно контролировать динамику функционального состояния детей и корректировать процесс реабилитации с целью его оптимизации для конкретного больного и повышения эффективности реабилитационных мероприятий. Задачей настоящего изобретения является разработка нового комплексного и объективного способа оценки ограничений жизнедеятельности детей психоневрологического профиля на основе оценки степени выраженности функциональных расстройств ребенка с учетом всех основных типов функциональных нарушений. Поставленная задача решается способом оценки ограничения жизнедеятельности детей психоневрологического профиля на основе определения степени выраженности функциональных расстройств путем тестирования по типам функциональных нарушений, оценки полученных показателей в баллах и последующего определения коэффициента функционального состояния, при этом в качестве функциональных нарушений учитывают следующие типы нарушений: двигательные (Дн), включающие следующие виды (i) нарушений: мышечной силы, мышечного тонуса, объема активных движений, позы и положения сегментов конечностей, координации движений, характеристику гиперкинезов; нарушения психических функций (Пн), включая нарушения (i): эмоционально-волевой сферы, мышления, психического развития, недоразвитие интеллектуальной сферы; нарушения речи (Рн). Каждый из входящих в функциональные нарушения вид (i) разделяют в соответствии с таблицами 1-3 на пять уровней (j) по тяжести проявления нарушения и оценивают в балльной шкале (bj) от bj=0 – сильная степень проявления нарушения при j=1 до bj=1 – отсутствие нарушения при j=5, оценивают коэффициент функционального состояния (К) по формуле где n – количество нарушений в каждом типе функционального нарушения, m – общее количество оцениваемых нарушений; В – тип функционального нарушения Дн, Пн или Рн; Bi – наличие вида нарушения: да – 1, нет – 0; bj – оценочный балл, который при j=1, b1=0; j=2, b2=0,25; j=3, b3=0,5; j=4, b4=0,75; j=5, b5=1, и при значении К более 75% фиксируют легкую степень ограничения жизнедеятельности, при К от 50 до 75% – среднюю степень и при К от 0 до 49% – сильную степень ограничения жизнедеятельности. Предложенный способ оценки степени ограничения жизнедеятельности детей психоневрологического профиля по коэффициенту функционального состояния ребенка позволяет объективно оценить уровень функциональных возможностей ребенка, его способность интегрирования в общество. Кроме того, оценив коэффициент функционального состояния до и после проведенных реабилитационных мероприятий, способ позволяет объективно оценить результативность проведенных мероприятий как в целом, так и по отдельным типам функциональных нарушений. Технический результат изобретения заключается в выявлении достоверного объективного показателя степени выраженности функциональных расстройств на основе коэффициента функционального состояния, позволив выделить три степени ограничения жизнедеятельности: I степень (незначительное ограничение жизнедеятельности) – более 75%. Дети с легкими нейродинамическими и речевыми нарушениями, нормальным интеллектом или задержкой психического развития практически не нуждались в посторонней помощи. Они самостоятельно передвигались, обслуживали себя, их поступки и действия были осознанными, речь понятна окружающим. Дети старших возрастов могли самостоятельно пользоваться общественным транспортом. II степень (среднее ограничение) – от 50-75%. В связи с выраженными нарушениями в сфере двигательных возможностей, проблемами в освоении бытовых и общеобразовательных навыков, когнитивных или интеллектуальных расстройств дети нуждались в определенной помощи посторонних лиц. Часть детей пользовалась дополнительными техническими средствами передвижения. III степень (сильное ограничение) – от 0-49%. В данную группу вошли дети с грубыми нарушениями в двигательной сфере, сформированными патологическим мышечным тонусом и апраксией, ортопедической патологией или патологией формирования навыков сидения, стояния, передвижения. У большинства детей имелись выраженные речевые нарушения. В эту же группу были отнесены дети с умеренными двигательными расстройствами, но выраженными сенсорными, интеллектуальными, поведенческими или когнитивными нарушениями, которые нуждались в постоянном постороннем уходе. Предлагаемая заявителем градация степени ограничения жизнедеятельности детей психоневрологического профиля на основе коэффициента функционального состояния основывается на основе многолетнего опыта практической работы, позволившем сделать вывод о необходимости комплексного учета всех основных типов функциональных нарушений, которые имеют место у всех детей-инвалидов с ДЦП, а именно двигательных нарушений (Дн), нарушений психических функций (Пн), нарушения речи (Рн), и предложить универсальную, объективную оценку степени ограничения жизнедеятельности, позволяющую количественное выражение оценки, а также возможность сравнения данных в динамике. Для реализации поставленной цели в течение трех лет на базе ГУЗ «Краевой центр восстановительной медицины и реабилитации» (далее Центр) проводилось исследование процесса реабилитации детей-инвалидов с ДЦП. Методом сплошной выборки в эксперимент были включены 913 детей с детским церебральным параличом в возрасте от 6 мес. до 18 лет, состоявшие на диспансерном учете в Центре. Мальчиков было 512 (56%), девочек 401 (44%). Все дети с установленным диагнозом и оформленной инвалидностью. Основную группу составили 547 (59,9%) детей и подростков, контрольную – 366 (40,1%). Главным критерием в формировании основной группы явилась регулярность прохождения данными детьми 3-недельного комплексного курсового лечения на базе Центра при кратности 2-4 курсов в течение календарного года. Реабилитационные мероприятия проводились в соответствии с Программой медико-социальной и психолого-педагогической реабилитации, учитывающей возраст, форму и уровень тяжести заболевания. Дети контрольной группы лечились не регулярно, без программного обеспечения. Каждая группа была разделена на четыре возрастные подгруппы: 6 мес – 2 года 11 мес; 3 года – 6 лет 11 мес; 7 лет – 12 лет 11 мес; 13 лет – 17 лет 11 мес. Деление детей на данные возрастные группы продиктовано использованием соответствующих возрасту различных видов, методов и методик реабилитации, при едином (строго индивидуальном) подходе к восстановительному лечению детей-инвалидов. Оценка состояния находившихся под нашим наблюдением детей-инвалидов проводилось с учетом имевшихся у них стойких ограничений жизнедеятельности по четырем основным типам нарушений (В) (двигательные сфера, психическое состояние, уровень психологического развития, речевая сфера), включающим различное количество видов нарушений, характеризующих данные типы. Двигательные нарушения являются ведущим дефектом у больных с ДЦП. Они существуют с рождения, взаимосвязаны с сенсорными расстройствами, недостаточностью ощущений собственных движений. У детей с ДЦП задержано или нарушено формирование всех двигательных функций от удержания головы, навыков сидения и стояния до ходьбы и манипулятивной деятельности. Неправильные схемы движений у детей с ДЦП могут закрепляться и приводить к формированию патологических поз положений тела и конечностей, что становится еще более серьезным препятствием на пути к развитию движений, навыков самообслуживания, овладению предметно-практической деятельностью. Двигательные расстройства у детей с ДЦП редко носят изолированный характер, как правило, они сопровождаются нарушением интеллектуальных, речевых, перцептивных и коммуникативных функций. Наличие физического дефекта затрудняет процесс общего развития ребенка, сказывается на его познавательной сфере и ведет к значительному своеобразию в формировании личности. Наиболее часто встречающимися при ДЦП видами речевых расстройств являются дизартрии. Особенностью дизартрии при ДЦП, отражающей общность нарушений скелетной и речевой мускулатуры, является недостаточность кинестетического восприятия. Ребенок не только с трудом и в ограниченном объеме выполняет движения, но и слабо ощущает положение и движение своих конечностей и органов артикуляции, что затрудняет выполнение целенаправленных действий и усиливает нарушения звукопроизношения. Взаимосвязь нарушений общей и речевой моторики при ДЦП проявляются также в том, что тяжесть нарушений артикуляционной моторики обычно коррелирует с тяжестью нарушений функции рук. Была разработана оценочная шкала функционального состояния детей, представляющая собой балльную оценку уровня функциональных навыков по типам нарушений (В), представленным в таблицах 1 -3, где «*» – соответствует балльной оценке тяжести выявленного вида нарушения. Предлагаемая оценочная шкала отражает в процентном соотношении физические способности данного ребенка к нормальным показателям в данном возрасте.
Способ позволяет каждый из типов функциональных нарушений рассматривать как в комплексе с другими нарушениями, так и изолированно, получая при этом различную степень ограничения жизнедеятельности, однако только комплексный учет всех типов позволяет объективно оценить степень ограничения жизнедеятельности как показатель истинного состояния ребенка, его возможности интегрирования в общество. Способ осуществляют следующим образом. Специалистами в данной области проводится балльная оценка состояния ребенка по четырем типам функциональных нарушений: двигательные сфера, психическое состояние, уровень психологического развития, речевая сфера, включающим заявляемые виды нарушений на основе предложенной оценочной шкалы (табл.1-3), которая отражает физические способности данного ребенка к нормальным показателям в данном возрасте. Вычисляют коэффициент (К) функционального состояния ребенка по предложенной формуле, величина которого показывает степень выраженности функциональных расстройств. Проведение аналогичной процедуры с вычислением величины (К) после проведенных реабилитационных мероприятий позволяет сделать вывод об эффективности реабилитации, оценить динамику реабилитации в целом и, при необходимости, по отдельному типу функционального нарушения скорректировать на основании полученных данных процесс реабилитации. Улучшение показателя К на одну оценочную шкалу дает возможность перевода ребенка в группу детей с меньшей степенью тяжести. Ниже приведены примеры осуществления предлагаемого способа Пример 1 Роман А., 4 года. Впервые обратился за помощью в Центр в сентябре 2005 г. по поводу ДЦП, правостороннего гемипареза. Ребенок из благополучной семьи. У 32-летней матери были срочные роды с длительным, безводным периодом и стимуляцией родовой деятельности. В год родители обратили внимание, что ребенок плохо опирается на правую ножку и берет предметы преимущественно левой рукой. Клиника нарастала, в 3-летнем возрасте ребенку был установлен диагноз ДЦП. Ребенок обследован: на компьютерной томографии головного мозга патологических изменений не выявлено, на ЭЭГ отмечалась периодически регистрируемая судорожная готовность. Судорожных приступов не было. С года по месту жительства (г.Партизанск, Приморский край) ребенок получал общепринятое при данном заболевании медикаментозное (ноотропы, церебролизин, витамины) и физиотерапевтическое (массаж, ЛФК, лазеротерапия) лечение. Воспитывался дома. При поступлении в Центр восстановительной медицины и реабилитации ребенок с трудом вступает в контакт, замкнут.Правая рука приведена к туловищу, согнута в локтевом суставе, супинация ограничена, активное отведение правого плеча – 45°, умеренный гипертонус мышц-сгибателей конечности. При ходьбе приволакивает правую ногу, правая стопа ротирована внутрь, в области правой голени и стопы имеются зоны пониженной чувствительности. По лестнице передвигается с трудом, держась за поручень. У мальчика стертая форма псевдобульбарной дизартрии, речь с трудом, но понятна окружающим. Умеренная задержка психического развития. Исходная оценка ограничения жизнедеятельности ребенка: 1. В=Дн, n=4 (мышечная сила, мышечный тонус, объем активных движений; вынужденное положение сегментов конечностей: bj=0,5; нарушений координации движений и гиперкинезов у ребенка не было – параметры не учитывались). 2. В=Пн, n=4 (Нарушения эмоционально-волевой сферы – bj=0,25; нарушения психического развития, мышления и интеллектуальной сферы: bj=0,5). 3. В=Рн, n=1, речь больного дизартрична, речь с трудом, но понятна окружающим и bj=0,5. m=9. Таким образом, на момент исследования коэффициент ограничения жизнедеятельности ребенка был равен: В течение года ребенок прошел три курса комплексной реабилитации. При оценке показателей двигательной сферы оставалось незначительное снижение силы, легкое повышение мышечного тонуса, походка практически нормализовалась, активные движения в суставах конечностей стали возможны в полных объемах, но без удержания их под сознательным контролем. В сфере психологического развития и социальной адаптации ребенка его мышление, пространственно-временные представления и мелкая моторика улучшились до значений, соответствующих норме, улучшились эмоциональные реакции, экспрессивная речь и мотивация. В сфере психических нарушений позитивный сдвиг всех показателей наблюдения произошел до уровня незначительной задержки психического развития. Речь восстановилась полностью. Коэффициент К после реабилитации составил 66,6%. Ребенок устроен в детский сад. Мать планирует выйти на работу. Рекомендации. С целью закрепления достигнутых результатов и улучшения показателей функционального развития ребенку показано дальнейшее комплексное восстановительное лечение и реабилитация в Центре. Необходимо проведение занятий в домашних условиях, в соответствии с рекомендациями, полученными в учреждении. Пример 2 Ольга, 17 лет. Семья благополучная. Родители имеют высшее образование. Диагноз: детский церебральный паралич, гиперкинетическая форма, спастико-гиперкинетическая дизартрия. Лечилась в стационарах, санаториях, поликлинике по месту жительства. Прошла несколько курсов массажа и иглорефлексотерапии в Китае. Положительной динамики практически не отмечалось. В неврологическом статусе: постоянные гиперкинезы типа хореатетоза с атетоидным компонентом в пальцах рук, распространяющиеся на нижние и верхние конечности, мышцы туловища. Гиперкинезы усиливаются при движении, разговоре, эмоциональных нагрузках, при этом выражены гиперкинезы лицевой мускулатуры. В помещении, придерживаясь о леер или стену, может сделать до 15 шагов. При ходьбе балансирует руками, плохо удерживает равновесие. Правая рука со сгибательными контрактурами в правом локтевом и лучезапястном суставах слегка отведена назад. В позе Ромберга неустойчива, по улице не ходит. Самостоятельно не ест, не причесывается, не может одеваться, пишет с трудом, быстро утомляется. Интеллект выше нормы. Девочка владеет английским языком, окончила общеобразовательную среднюю школу на 4 и 5. Черепно-мозговые нервы без патологии. Сухожильные и периостальные рефлексы с нижних и верхних конечностей высокие. Симптом Бабинского положителен с обеих сторон. На ЭЭГ при сохранности основного коркового ритма и достаточной амплитуде корковых потенциалов обнаруживались тэта-ритмы, особенно в центральных отделах, признаки патологической активности диэнцефальных структур. Суммарный коэффициент исходного функционального состояния девочки (К): 1. В=Дн, n=6 (мышечная сила, объем активных движений в суставах, положение сегментов конечностей, координация движений bj=0,75; мышечный тонус bj=1; наличие гиперкинезов bj=0,5). 2. В=Пн, n=0, психических нарушений у девочки не обнаружено. 3. В=Рн, n=1, речь понимают только мать и самые близкие люди и bj=0,25. Таким образом, на момент исследования коэффициент ограничения жизнедеятельности девочки был равен: В течение года девочка прошла 4 курса комплексных реабилитационных мероприятий. Уже после второго курса лечения снизилась интенсивность гиперкинезов в мимических мышцах лица и в мышцах рук, уменьшилась их зависимость от эмоционального фона. Улучшились осанка и походка, стала ходить в помещении без опоры, с меньшей балансировкой руками. Научилась медленно, но полностью себя обслуживать. Эмоциональный фон улучшился, перестала стесняться общения с окружающими. Речь стала вполне понятной. Писать стала лучше и без прежней усталости. Через год лечения гиперкинезы стали появляться только при волнении, выраженных эмоциях. Начала ходить одна на улицу, пользоваться общественным транспортом. Появились содружественные движения рук при ходьбе. Самостоятельно ест и одевается, помогает матери при уборке в квартире. Клинические результаты оказались стойкими, девочка поступила в институт. Коэффициент функционального состояния после реабилитации (К) соответствует: В=Дн, n=6 (мышечная сила, тонус мышц и положение сегментов конечностей bj=1; объем активных движений, гиперкинезы и координация движений bj=0,75); В=Рн, bj=0,5 Девочке установлена первая степень ограничения жизнедеятельности. Рекомендации. Девочка снята с диспансерного учета в связи с достижением 18-летнего возраста. Надеемся, что высокий уровень ее интеллектуального развития и возросшая мотивация к лечению не позволят ей прекратить занятия в соответствии с нашими рекомендациями. Итак, использование разработанной нами системы расчета степени ограничения жизнедеятельности достаточно просто, удобно и доступно. Предложенные оценочные шкалы целесообразно применять также в реабилитационных учреждениях для оперативной оценки функционального состояния ребенка-инвалида в целях своевременного проведения коррекции реабилитационного процесса.
Формула изобретения
Способ оценки ограничения жизнедеятельности детей психоневрологического профиля на основе определения степени выраженности функциональных расстройств путем тестирования по типам функциональных нарушений, оценки полученных показателей в баллах и последующего определения коэффициента функционального состояния, при этом в качестве типов (В) функциональных нарушений учитывают двигательные (Дн), включающие виды (i) нарушений: мышечной силы, мышечного тонуса, объема активных движений, позы и положения сегментов конечностей, координации движений, характеристику гиперкинезов; нарушения психических функций (Пн), включая нарушения (i): эмоционально-волевой сферы, мышления, психического развития, недоразвитие интеллектуальной сферы; нарушения речи (Рн), каждый из входящих в функциональные нарушения вид (i) разделяют на пять уровней (j) по тяжести проявления нарушения и оценивают в бальной шкале (bj) от bj=0 – сильная степень проявления нарушения при j=1 до bj=1 – отсутствие нарушения при j=5, вычисляют коэффициент функционального состояния (К) по формуле
|
||||||||||||||||||||||||||||||||||||||||||||||||||||||||||||||||||||||||||||||||||||||||||||||||||||||||||||||||||||||||||||||||||||||||||||||||||||||||||||||||||||||||||||||||||||||||||||||||||||||||||||||||||||||||||||||||||||||||||||||||||||||||||||||||||||||||||||||||||||||||||||||||||||||||||||||||||||||||||||||||||||||||||||||||||||||||||||||||||||||||||||||||||||||||||||||||||||||||||||||||||||||||||||||||||||||||||||||||||||||||||||||||||||||||||||||||||||||||||||||||||||||||||||||||||||||||

1, 2007. ЗЕЙГАРНИК Б.В. Патопсихология, М.: ЭКСМО, 2008. АНАНЬЕВ В.А. Практикум по психологии здоровья. Речь. – СПб., 2007. МЕНДЕЛЕВИЧ В.Д. Клиническая медицинская психология, МЕДпресс, 1999, с.10-62. СИДОРОВ П.И. и др. Клиническая психология, М.: ГЭОТАР-МЕД, 2002, с.139-178; 206-239.






