|
|
(21), (22) Заявка: 2008126206/09, 28.11.2006
(24) Дата начала отсчета срока действия патента:
28.11.2006
(30) Конвенционный приоритет:
28.11.2005 KR 10-2005-0114306 04.07.2006 KR 10-2006-0062467 07.07.2006 KR 10-2006-0064091
(43) Дата публикации заявки: 10.02.2010
(46) Опубликовано: 10.06.2010
(56) Список документов, цитированных в отчете о поиске:
RU 2258306 С2, 10.08.2005. ЕР 1065855 A1, 03.01.2001. RU 2242819 C2, 20.12.2004. WO 2005/104412 A1, 03.11.2005. US 2005036481 A1, 17.02.2005.
(85) Дата перевода заявки PCT на национальную фазу:
30.06.2008
(86) Заявка PCT:
KR 2006/005060 20061128
(87) Публикация PCT:
WO 2007/061272 20070531
Адрес для переписки:
129090, Москва, ул. Б.Спасская, 25, стр.3, ООО “Юридическая фирма Городисский и Партнеры”, пат.пов. Ю.Д.Кузнецову, рег. 595
|
(72) Автор(ы):
ХАН Сеунг Хее (KR), НОХ Мин Сеок (KR), КВОН Йеон Хиеон (KR), ПАРК Хиун Хва (KR), ЛИ Хиун Воо (KR), КИМ Донг Чеол (KR)
(73) Патентообладатель(и):
ЭлДжи ЭЛЕКТРОНИКС ИНК. (KR)
|
(54) СПОСОБ И УСТРОЙСТВО ДЛЯ ГЕНЕРАЦИИ И ПЕРЕДАЧИ КОДОВОЙ ПОСЛЕДОВАТЕЛЬНОСТИ В СИСТЕМЕ БЕСПРОВОДНОЙ СВЯЗИ
(57) Реферат:
Изобретение относится к способу генерации и передачи кодовой последовательности и, более конкретно, к способу и устройству для генерации и передачи кодовой последовательности в системе беспроводной связи. Способ генерации кодовой последовательности включает в себя распознавание желательной длины кодовой последовательности, генерацию кодовой последовательности, имеющей длину L, и расширение сгенерированной кодовой последовательности, чтобы она имела длину L, посредством циклического расширения сгенерированной кодовой последовательности, причем циклическое расширение сгенерированной кодовой последовательности выполняется таким образом, что часть сгенерированной кодовой последовательности, имеющей длину, соответствующую разности между длиной Х и длиной L, добавляется либо в начало, либо в конец сгенерированной кодовой последовательности. Технический результат – повышение эффективности генерирования управляющей информации с использованием кодовой последовательности. 2 н. и 12 з.п. ф-лы, 20 ил.
Область техники, к которой относится изобретение
Изобретение относится к способу генерации и передачи кодовой последовательности и, более конкретно, к способу и устройству для генерации и передачи кодовой последовательности в системе беспроводной связи.
Уровень техники изобретения
Обычно пилот-сигнал или начальная часть сообщения системы беспроводной связи являются опорным сигналом, используемым для начальной синхронизации, поиска соты и оценки канала. Кроме того, начальная часть состоит из кодовой последовательности, и кодовая последовательность, кроме того, содержит ортогональный или квази-ортогональный код, который означает хорошие свойства взаимной корреляции (кросс-корреляционные свойства).
Например, матрица Адамара 128×128 используется в мобильном Интернете (PI) для помещения кодовой последовательности в частотную область. Таким образом, используется 127 типов кодовых последовательностей.
Хотя кодовая последовательность Адамара и многофазная кодовая последовательность Нулевой Автокорреляции Постоянной Амплитуды (CAZAC) являются ортогональными кодами, число кодов, используемых для поддержания ортогональности, ограничено. Например, число N ортогональных кодов в матрице Адамара NxN составляет N, и число N ортогональных кодов, которые могут быть выражены кодами CAZAC, составляет N, и простое число, меньшее N (David C.Chu,”Polyphase Codes with Good Periodic Correlation Properties”, Information Yheory IEEE Trans., v.18, issue 4, pp.531-532, July1972). Что касается типов Последовательности CAZAC, то часто используются GCL CAZAC и Zadoff-Chu CAZAC.
Если кодовая последовательность генерируется с использованием кодов Адамара, то генерируется число N типов последовательности, соответствующих всей длине кодов. Однако, если кодовая последовательность генерируется с использованием кодов CAZAC, то генерируется только половина, или число N/2 типов последовательности.
Раскрытие изобретения
Соответственно настоящее изобретение ориентировано на способ и устройство для генерации и передачи кодовой последовательности в системе беспроводной связи, которые по существу устраняют одну или несколько проблем, обусловленных ограничениями и недостатками соответствующей области техники.
Задача настоящего изобретения состоит в том, чтобы предоставить способ генерации кодовой последовательности в системе беспроводной связи.
Другая задача настоящего изобретения состоит в том, чтобы предоставить устройство для генерации кодовой последовательности в системе беспроводной связи.
Дополнительные достоинства, задачи и особенности изобретения частично формулируются в нижеследующем описании и в основном будут очевидны для специалистов обычной квалификации в данной области техники после изучения этого описания или могут быть усвоены при практической реализации изобретения. Задачи и другие достоинства изобретения могут быть достигнуты и реализованы посредством структуры, рассмотренной в описании и обозначенной в соответствующих формулах, а также показанной на приложенных чертежах.
Для выполнения этих задач и реализации других преимуществ и в соответствии с задачей изобретения, реализованной и подробно описанной здесь, способ генерации кодовой последовательности в системе беспроводной связи включает в себя распознавание желательной длины кодовой последовательности, генерацию кодовой последовательности, имеющей длину, отличную от желательной длины, и модификацию длины сгенерированной кодовой последовательности, чтобы она сравнялась с желательной длиной. В данном случае этап модификации включает в себя отбрасывание, по меньшей мере, одного элемента сгенерированной кодовой последовательности или вставку, по меньшей мере, одного нулевого элемента в сгенерированную кодовую последовательность.
В другом объекте настоящего изобретения способ генерации кодовой последовательности в системе беспроводной связи включает в себя распознавание желательной длины первой кодовой последовательности, генерацию второй кодовой последовательности, имеющей длину, отличную от желательной длины первой кодовой последовательности, и модификацию длины второй кодовой последовательности, чтобы она сравнялась с желательной длиной первой кодовой последовательности. В данном случае этап модификации включает в себя отбрасывание, по меньшей мере, одного элемента модифицированной кодовой последовательности, если длина модифицированной кодовой последовательности больше, чем желательная длина первой кодовой последовательности или вставку, по меньшей мере, одного нулевого элемента в модифицированную кодовую последовательность, если длина модифицированной второй кодовой последовательности меньше, чем желательная длина первой кодовой последовательности.
В другом объекте настоящего изобретения устройство для генерации кодовой последовательности в системе беспроводной связи включает в себя модуль выбора последовательности для распознавания желательной длины кодовой последовательности, генерации кодовой последовательности, имеющей длину, отличную от желательной длины, и модификации длины сгенерированной кодовой последовательности, чтобы она сравнялась с желательной длиной, причем модуль выбора последовательности отбрасывает, по меньшей мере, один элемент сгенерированной кодовой последовательности или вставляет, по меньшей мере, один нулевой элемент в сгенерированную кодовую последовательность, модифицируя длину сгенерированной кодовой последовательности, и передающий модуль для передачи модифицированной сгенерированной кодовой последовательности через, по меньшей мере, одну антенну.
Следует понимать, что и предшествующее общее описание и нижеследующее подробное описание настоящего изобретения являются примерными и пояснительными и предоставляют дополнительную информацию по изобретению в соответствии с заявленной формулой изобретения.
Краткое описание чертежей
Соответствующие чертежи, включенные в заявку для лучшего понимания изобретения и составляющие его часть, показывают вариант(ы) реализации изобретения и вместе с описанием служат для объяснения принципа изобретения. На чертежах дано:
Фиг.1 – структура устройства для передачи данных с использованием Мультиплексирования с Ортогональным Частотным Секторением (OFDM) или схема OFDM Доступа (OFDMA);
Фиг.2 – структура устройства для приема данных с использованием схемы OFDM/OFDMA;
Фиг.3 – блок-схема последовательности операций регулировки кодовой последовательности;
Фиг.4 – кросс-корреляционные свойства сгенерированной кодовой последовательности;
Фиг.5 – сгенерированная последовательность CAZAC aNseq_N xN с использованием N (=1024);
Фиг.6 – кросс-корреляционные свойства кумулятивной функции распределения (CDF) кодовых последовательностей, которые могут быть сгенерированы в соответствии с кодовой последовательностью aNseq_M xN и последовательность CAZAC aNseq_N xN, когда N=1024;
Фиг.7 – кросс-корреляционные свойства CDF кодовых последовательностей, которые могут быть сгенерированы на основе последовательности CAZAC, сгенерированной с использованием простого числа N=1031 и кодовой последовательности aNseq_N xN, имеющей длину 1024 (семь (7) элементов удалены);
Фиг.8 – способ генерации последовательности CAZAC с использованием длины, требуемой системой связи;
Фиг.9 – способ генерации последовательности CAZAC с использованием дополняющего участка;
Фиг.10 – примерное применение циклического сдвига;
Фиг.11 – примерная схема применения циклического сдвига к сгенерированной кодовой последовательности после того, как элементы кодовой последовательности удалены;
Фиг.12 – примерная схема применения циклического сдвига к сгенерированной кодовой последовательности до удаления элементов кодовой последовательности;
Фиг.13 – примерная схема применения циклического сдвига к сгенерированной кодовой последовательности после того, как дополняющий участок присоединен;
Фиг.14 – примерная схема применения циклического сдвига к сгенерированной кодовой последовательности до присоединения дополняющего участка;
Фиг.15 – примерная схема дополняющего участка кодовой последовательности, в которой дополняющий участок используется как ограничение полосы пропускания со стороны низких частот;
Фиг.16 – структурная схема для передачи кодовой последовательности. В зависимости от того, сделана ли передача кодовой последовательности в нисходящем направлении, или восходящем направлении, структура может иметь отличающийся вид;
Фиг.17 – структурная схема модуля генерации абсолютной кодовой последовательности и модуль регулировки длины кодовой последовательности;
Фиг.18 – кросс-корреляционные характеристики кодовой последовательности;
Фиг.19 – кросс-корреляционные характеристики кодовой последовательности; и
Фиг.20 – примерная схема повышения мощности сгенерированной кодовой последовательности.
Наилучший вариант реализации изобретения
Ниже подробно рассматриваются предпочтительные варианты реализации настоящего изобретения, примеры которых показаны на соответствующих чертежах. Всюду где это возможно, одни и те же цифровые обозначения на чертежах используются для одинаковых или подобных частей.
На Фиг.1 показана структура устройства для передачи данных с использованием Мультиплексирования с Ортогональным Частотным Разделением (OFDM) или схема Доступа OFDM (OFDMA). На Фиг.2 показана структура устройства для приема данных с использованием схемы OFDM/OFDMA.
На Фиг.1 данные трафика и данные управления мультиплексируются в мультиплексоре 11. Здесь данные трафика используются, чтобы предоставить услугу от передающего конца на приемный конец, и данные управления используются, чтобы облегчить передачу от передающего конца на приемный конец. В настоящем изобретении рассматривается кодовая последовательность, относящаяся к типу кодовой последовательности данных управления. Кодовая последовательность может использоваться для начальной синхронизации, сотового поиска или оценки канала.
В зависимости от системы связи кодовая последовательность может использоваться в различных формах. Например, кодовая последовательность в широкополосной беспроводной системе доступа IEEE 802.16 может быть использована в преамбуле или формате пилот-сигнала, и в системе множественного ввода-вывода (MIMO) кодовая последовательность может быть использована как средний формат.
После обработки в мультиплексоре 11 мультиплексный трафик и данные управления кодируются в канале посредством канального кодирующего модуля 12. Канальное кодирование используется, чтобы позволить на приемном конце исправлять ошибку, которая может произойти в течение передачи, добавляя биты четности. Примеры канального кодирования включают в себя сверточное кодирование, турбокодирование и кодирование с проверкой четности низкой плотности (LDPC).
Затем закодированные данные канала модулируются модулем 13 цифровой модуляции, в котором символы данных отображаются с использованием таких алгоритмов, как, например, квадратурная фазовая манипуляция (QPSK) или 16-ти квадратурная амплитудная модуляция (16QAM). Отображенные символы данных затем обрабатываются модулем 14 модуляции подканала, через который символы данных отображаются для каждой поднесущей системы OFDM или системы OFDMA. Затем символы данных, отображенные для поднесущих, обрабатываются модулем 15 обратного быстрого преобразования Фурье (IFFT), который преобразовывает символы данных во временной сигнал. Преобразованные символы данных затем обрабатываются фильтром 16 и, кроме того, обрабатываются модулем 17 цифроаналогового преобразования (DAC), где отфильтрованные символы данных преобразуются в аналоговые сигналы. Наконец, аналоговые сигналы преобразуются RF модулем 18 в радиочастотные (RF) сигналы, которые затем передаются через антенну 19 на приемный конец.
Исходя из типа сгенерированного кода (например, кода CAZAC), этапы канального кодирования, и/или отображения символа, могут быть опущены. На Фиг.2 показан приемный конец, процессы в котором являются обратными к таковым в передающем конце.
Кодовая последовательность используется для передачи управляющей информации, которая включает в себя идентификацию (ID) и информацию о синхронизации, для классификации типов последовательностей в системе связи. Для более эффективного приема управляющей информации с использованием кодовой последовательности кодовая последовательность может быть отрегулирована или модифицирована. Кроме того, кодовая последовательность может быть применена ко всем каналам, которые используют кодовую последовательность для передачи управляющих сигналов, например канала произвольного доступа (RACH), опорного символа нисходящей/восходящей связи, информации о качестве канала (CQI), и Подтверждение (ACK)/Отрицательное Подтверждение (NACK).
На Фиг.3 показана блок-схема последовательности операций регулировки кодовой последовательности. Более конкретно, длина кодовой последовательности определена как N, число кодов в кодовой последовательности определено как Nseq_N, и ряд кодовой последовательности определен как aNseq_N xN. При работе ряд кодовой последовательности aNseq_N xN, имеющий число Nseq_N, кодов, может быть расширен до ряда кодовой последовательности aNseq_M xN, имеющего число Nseq_M кодов.
Уравнение для aNseq_N xN представляет собой матрицу порядка Nseq_N x вида aNseq_N xN = (формула), и ak Nseq_N xN является вектор-строкой вида (формула). Кроме того, ak Nseq_N xN(n) указывает n (= 0,1,2, ,N-1) элементов k (= 0,1,2, , Nseq_N-1) кодовой последовательности.
Относительно Фиг.3 набор кодовой последовательности aNseq_M xМ, имеющий число Nseq_M кодовой последовательности(-ей), где каждая кодовая последовательность имеет длину М, может быть сгенерирована на основе алгоритма кодовой генерации исходя из типа кода, в котором значение длины M является натуральным числом, большим значения длины N (S301). Здесь типы кода включают в себя код Адамара, код Псевдо Шума (PN) и Код Нулевой Автокорреляции Постоянной Амплитуды (CAZAC), среди других, используемых для начальной синхронизации, сотового поиска и оценки канала в системе беспроводной связи. Набор кодовой последовательности, имеющий длину М на каждый тип кода, может быть сгенерирован в соответствии с различными рассматриваемыми схемами. Что касается кода CAZAC, значение длины М является наименьшим простым числом, предпочтительно большим значения длины N.
Соответственно может быть сгенерирован набор кодовой последовательности aNseq_M xМ, имеющий число Nseq_M кодовых последовательностей, где образующаяся длина кодовой последовательности есть длина N. Более конкретно набор кодовой последовательности aNseq_M xМ, имеющий число Nseq_M кодовой последовательности, где каждая кодовая последовательность имеет длину М (от этапа S301), может иметь элементы удаленной кодовой последовательности. Таким образом, элементы, которые содержат каждую кодовую последовательность, могут быть удалены из кодовой последовательности, позволяющей отрегулировать или сократить длину кодовой последовательности. Здесь число M-N элементов может быть удалено из кодовой последовательности, длина которой соответствует длине M. Удалением элементов из кодовой последовательность с длиной М может быть сгенерирована кодовая последовательность, имеющая длину N. Как отмечалось – N меньше чем M. Соответственно, может быть сгенерирован набор кодовой последовательности aNseq_M xМ, имеющий число Nseq_M кодовых последовательностей, в котором каждая кодовая последовательность имеет длину N (S302).
Кодовая последовательность используется для передачи управляющей информации, которая включает в себя идентификацию (ID) и информацию синхронизации для классификации типов последовательностей в системе связи. В настоящее время в Долгосрочном Развитии (LTE) Партнерского Проекта 3-го Поколения (3GPP) рассматривается последовательность CAZAC.
Последовательность CAZAC может использоваться каналами для вывода различных ID и информации. Каналы включают в себя каналы для синхронизации нисходящей связи (например, канал первичной синхронизации, канал вторичной синхронизации и широковещательный канал), синхронизации восходящей связи (например, канал произвольного доступа) и пилот-каналы (например, пилот-сигнал данных и пилот-сигнал качества канала). Кроме того, последовательность CAZAC может использоваться при скремблировании, а также в каналах, которые используют такую кодовую последовательность, как RACH.
Хотя есть различные типы последовательностей CAZAC, имеются два типа часто используемых последовательностей CAZAC – GCL CAZAC и Zadoff-Chu CAZAC. Последовательность Zadoff-Chu CAZAC может быть определена следующими уравнениями:

здесь k обозначает индекс последовательности, N обозначает длину генерируемой CAZAC и М обозначает последовательность ID.
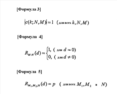
Если последовательность Zadoff-Chu CAZAC и последовательность GCL CAZAC выражены посредством c(k;N,M), как показано в Уравнениях (1) и (2), то последовательности имеют следующие три (3) характеристики, как представлено в следующих уравнениях:

Согласно Уравнению (3) последовательность CAZAC всегда имеет размер 1, и последовательность CAZAC Уравнения (4) имеет функцию автокорреляции, выражаемую дельта-функцией. В данном случае автокорреляция основана на круговой корреляции. Кроме того, Уравнение (5) представляет собой кросс-корреляцию, которая постоянна, если N есть простое число.
Если длина, применяемая в системе беспроводной связи для генерации последовательности CAZAC, обозначена как L, способ генерации последовательности CAZAC устанавливает N Уравнений (1) и (2) как равное L (N=L) – идентифицировано как этап 1. Этап 2 может быть идентифицирован способом, где значение N устанавливается как простое число, большее значения длины L для генерации последовательности CAZAC.
Что касается характеристик сгенерированной последовательности CAZAC, имеющей заданную длину L, то если L не есть простое число, то сгенерированная последовательность CAZAC может включать в себя число М=1,2… L-1 кодов, некоторые из которых являются повторяющимися кодами. Другими словами, число отличающихся кодов меньше числа L-1 кодов. Напротив, если L есть простое число, то имеется число L-1 отличающихся кодов. Вышеупомянутые описания могут также быть применены к другим типам кодовых последовательностей и не ограничиваются последовательностью Zadoff-Chu CAZAC.
Далее рассмотрим следующую методику. Более конкретно, если длина кода, применяемого для системы, не является простым числом и имеется большое количество используемых кодов, то выбирается наименьшее простое число, большее L. Используя выбранное простое число, генерируется последовательность CAZAC, и отбрасывается или удаляется, по меньшей мере, один элемент используемой сгенерированной последовательности CAZAC. Эта методика отличается от методики, введенной в связи с этапом 1.
Например, предположим, что число кодов кодовой последовательности CAZAC (N) равно 1024. Следующее уравнение может быть использовано для выражения алгоритма генерации кода Zadoff-Chu CAZAC:

В Уравнении (6) A и М – натуральные числа, и индекс (A) (=0,1,2, , Nseq_M-1) есть индекс A в порядке возрастания. Для расширения последовательности CAZAC, с N=1024, используется наименьшее простое число, большее 1024. Таким образом, наименьшее простое число, большее 1024, есть 1031. Таким образом, набор кодовой последовательности aNseq_M xМ где к М=1031 применяется к Уравнению (6).
Поскольку M (=1031) – простое число, то Nseq_M=1030. Кроме того, A может рассматриваться как случайное значение, используемое для генерации кодовой последовательности, поддерживающей свойства CAZAC. Если M есть простое число, то может быть сгенерировано в общей сложности число M-1 кодовых последовательностей. Другими словами, например, если M=1024, то в общей сложности генерируется число 512 (=1024/2 или N/2) кодовых последовательностей. Однако, если M=1031, то в общей сложности генерируется число 1030 M-1 кодовых последовательностей. Кроме того, кросс-корреляционные свойства сгенерированной кодовой последовательности лучше, если M есть простое число, а не сложное число.
Для корректировки или модификации набора кодовой последовательности CAZAC aNseq_M xМ, где M=1031, до набора кодовой последовательности aNseq_M xМ, длина которой есть N=1024, число M–N элементов может быть удалено из индекса n=N, , M-1, генерируя набор кодовой последовательности aNseq_M xМ.
При определении значения M, хотя число кодовых последовательностей может увеличиваться с увеличением значения N, предпочтительно определить значение M исходя из кодовой последовательности, длина которой есть N, которое обеспечивает хорошие кросс-корреляционные свойства. В случае кода CAZAC оптимальные кросс-корреляционные свойства могут быть получены, если значение длины M есть наименьшее простое число, большее значения длины N.
Если набор кодовой последовательности aNseq_N xN, сгенерированный с использованием длины N=1024, сравнивается с набором кодовой последовательности aNseq_M xN, полное число кодовых последовательностей первого может быть представлено как N/2 или 512 (=1024/2) кодовых последовательностей, имеющих индекс 0,1,2, , N/2-1 (N=1024), и общее количество кодовых последовательностей последнего может быть представлено как M-1 или 1030, имеющих индекс 0,1,2, , M-2 (M=1031).
На Фиг.4 показаны кросс-корреляционные свойства сгенерированной кодовой последовательности. Более конкретно, кросс-корреляционные свойства ak Nseq_M xN (V (k=1, 2, , Nseq_M-1), связанные с сохранением Nseq_M (1029) кодовых последовательностей для a0 Nseq_M xN кодовой последовательности набора кодовой последовательности aNseq_M xN. На чертеже показано это относительно амплитуды, кодового индекса и индекса времени.
Далее, на Фиг.5 показана сгенерированная последовательность CAZAC aNseq_N xN с использованием N (=1024). Более конкретно, на чертежах показаны кросс-корреляционные свойства ak Nseq_M xN (k=1, 2, , Nseq_M-1) относительно сохранения Nseq_N (511) кодовых последовательностей. На чертеже это показано относительно амплитуды, индекса кода и индекса времени. Что касается Фиг.4 и 5, то кросс-корреляционные свойства сгенерированной кодовой последовательности на Фиг.4 лучше.
На Фиг.6 показаны кросс-корреляционные свойства кумулятивной функции распределения (CDF) кодовых последовательностей, которые могут быть сгенерированы в соответствии с кодовой последовательностью aNseq_M xN и последовательностью CAZAC aNseq_N xN, когда N=1024.
На Фиг.7 показаны кросс-корреляционные свойства CDF кодовых последовательностей, которые могут быть сгенерированы на основе последовательности CAZAC, сгенерированной с использованием простого числа N=1031 и набора кодовой последовательности aNseq_M xN, имеющей длину 1024 (семь (7) удаленных элементов). Характеристические линии на Фиг.4-7 показывают, что набор кодовой последовательности с семью (7) удаленными элементами имеет эквивалентные кросс-корреляционные свойства по сравнению с первоначальным набором кодовой последовательности.
Как указано, возможны коды в дополнение к коду CAZAC, например, код PN и код Адамара. Рассмотрение кодовой последовательности CAZAC может также быть отнесено и к коду PN, и к коду Адамара. Относительно кода PN модульный генератор сдвигового регистра используется для генерации кодовой последовательности. Если число сгенерированных сдвиговых регистров представлено посредством N, то генерируется кодовая последовательность, имеющая длину 2N-1. Затем значение “1” добавляется к сдвиговому регистру, приводя к длине 2N+1-1, а затем длина корректируется, чтобы она сравнялась с 2N.
Относительно кодов Адамара, множество кодовых последовательностей, которые равны длине кодовой последовательности, составляют кодовую последовательность. Однако, например, если требуется число M кодовых последовательностей, имеющих длину N (M>N), то генерируется число M кодовых последовательностей, имеющих длину M, вслед за удалением определенного числа элементов, чтобы сделать длину кодовой последовательности равной длине N.
На Фиг.8 показан способ генерации последовательности CAZAC с использованием длины, требуемой системой связи. Таким образом, требуемая (или желательная) длина последовательности CAZAC может быть отображена длиной L. Кроме того, типы кодов могут быть расширены. Однако, поскольку сгенерированная кодовая последовательность может быть усечена или иметь отброшенные элементы для соответствия желательной длине L, автокорреляционные и кросс-корреляционные свойства усеченной кодовой последовательности могут стать хуже. Аналогично, даже если участок кодовой последовательности добавлен/присоединен к сгенерированной кодовой последовательности (например, нулевой-дополняющий или циклический префикс), чтобы соответствовать желательной длине L, автокорреляционные и кросс-корреляционные свойства могут стать хуже. В данном случае автокорреляционные свойства соответствуют значению автокорреляции, равному 1, когда задержка составляет 0. Иначе, значение автокорреляции равно 0, когда задержка имеет значение, отличное от 0. Кроме того, ухудшаются кросс-корреляционные свойства, имеющие постоянное значение.
Предполагая, что кодовая последовательность, имеющая слабые автокорреляционые и кросс-корреляционные свойства удалена, остающееся число кодовых последовательностей может быть меньше чем L-1.
Для достижения желательной длины и максимального числа типов последовательности CAZAC, соответствующих желательной длине, может быть выбрано наименьшее простое число X, большее желательной длины L (X>L). Хотя последовательность CAZAC может быть сгенерирована с использованием X, из-за ухудшения свойств корреляции, корреляционные свойства последовательности CAZAC, как показано в Уравнениях (4) и (5), не могут быть достигнуты. Кроме того, при выборе длины сгенерируемой кодовой последовательности может быть выбрана длина, которая наиболее близка к желательной длине L, находящейся между наименьшим простым числом, большим желательной длины, или наибольшим простым числом, меньшим желательной длины.
Относительно Фиг.8 – сгенерированная последовательность CAZAC имеет длину X. Затем сгенерированная последовательность CAZAC, имеющая длину X, имеет удаленные (или усеченные) элементы кодовой последовательности, так, чтобы сделать длину сгенерированной последовательности CAZAC, соответствующей желательной длине L.
На Фиг.9 показан способ генерации последовательности CAZAC с использованием дополняющего участка. Как указано, сгенерированная последовательность CAZAC усечена. Относительно автокорреляционных и кросс-корреляционных свойств задержка 0 указывает значение автокорреляции 1, как показано в Уравнении (4), и задержка, не равная 0, указывает значение 0. Кроме того, свойства, где кросс-корреляционное значение всегда есть простое число, не ухудшаются, посредством чего поддерживается эффективная корреляция. Кроме того, дополнительная управляющая информация может быть передана посредством использования информации, введенной в модуль замираний.
Что касается Фиг.9, то сгенерированная последовательность CAZAC имеет длину X. Здесь значение X есть наибольшее простое число, меньшее значения L. Другими словами, X есть простое число, меньшее L. Затем к сгенерированной последовательности CAZAC, имеющей длину X, добавляются элементы или дополняющий участок так, чтобы сделать длину сгенерированной последовательности CAZAC, соответствующей желательной длине L. Здесь C1 отображает длину последовательности CAZAC, имеющей длину X, и C2 отображает дополняющий участок. При объединении C1 и C2 (C1+C2) сгенерированная последовательность CAZAC может иметь длину, соответствующую желательной длине L.
На Фиг.10 показано примерное применение циклического сдвига. Циклический сдвиг обычно применяется для увеличения количества управляющей информации, переданной на систему связи. Таким образом, например, обратный участок последовательности перераспределен на передний участок последовательности и, соответственно, остающаяся последовательность сдвигается в направлении обратного участка последовательности на величину (или длину), соответствующую перераспределенному обратному участку, как показано на Фиг.2. Кроме того, если определенная управляющая информация применяет циклический сдвиг, как описано выше, то количество управляющей информации, которое может быть передано через соответствующую последовательность, увеличивается.
Вышеприведенное рассмотрение относится к способам генерации последовательности с использованием желательной длины L и способам увеличения передаваемой управляющей информации с использованием циклического сдвига. Если эти способы применяются при генерации последовательности, то имеют место следующие процессы. Во-первых, выбирается наименьшее простое число, большее L, или наибольшее простое число, меньшее L, который обозначается как X. Во-вторых, удаляется, или добавляется, элемент последовательности, имеющий длину, соответствующую X-L или L-X. В-третьих, к получающейся последовательности применяется циклический сдвиг.
На Фиг.11 показана примерная схема применения циклического сдвига к сгенерированной кодовой последовательности после того, как элементы кодовой последовательности удалены. Что касается Фиг.11, кодовая последовательность 1102 генерируется на основе длины X, которая является наименьшим простым числом, большим длины L. Другими словами, сгенерированная кодовая последовательность 1102 имеет длину, равную длине X, которая больше желательной длины L. От сгенерированной кодовой последовательности 1102 участок, имеющий длину, соответствующую длине X–L, удален, приводя к кодовой последовательности с длиной L 1103. Затем к получающейся сгенерированной кодовой последовательности 1103 с длиной L применяется циклический сдвиг, что приводит к кодовой последовательности 1104.
На Фиг.12 показана примерная схема применения циклического сдвига к сгенерированной кодовой последовательности до удаления элементов кодовой последовательности. Другими словами, циклический сдвиг выполняется для сгенерированной последовательности CAZAC, имеющей длину X, и после того, как выполнен циклический сдвиг, элементы кодовой последовательности удаляются.
Что касается Фиг.12, кодовая последовательность 1202 генерируется на основе длины X, которая является наименьшим простым числом, большим длины L. Другими словами, сгенерированная кодовая последовательность 1202 имеет длину, равную длине X, которая больше желательной длины L. Затем для сгенерированной кодовой последовательности 1203 с длиной X выполняется циклический сдвиг. После этого участок сгенерированной кодовой последовательности, имеющий длину, соответствующую длине X-L, удаляется, что приводит к кодовой последовательности 1204 с длиной L.
На Фиг.13 показана примерная схема применения циклического сдвига к сгенерированной кодовой последовательности после того, как присоединен дополняющий участок. Что касается Фиг.13, кодовая последовательность 1302 генерируется на основе длины X, которая является наибольшим простым числом, меньшим значения длины L. К сгенерированной последовательности CAZAC 1302 добавлен дополняющий участок 1303. Длина дополняющего участка соответствует длине L-X. Как указано, дополняющий участок может содержать нулевой или циклический префикс/постфикс. С добавлением дополняющего участка длина последовательности CAZAC равняется желательной длине L. После этого к получившейся сгенерированной кодовой последовательности, имеющей длину L 1303, применяется циклический сдвиг, что приводит к последовательности CAZAC 1304.
На Фиг.14 показана примерная схема применения циклического сдвига к сгенерированной кодовой последовательности до прикрепления дополняющего участка. Другими словами, циклический сдвиг выполняется для сгенерированной последовательности CAZAC, имеющей длину X, и после того, как выполнен циклический сдвиг, прикрепляется дополняющий участок.
Что касается Фиг.14, кодовая последовательность 1402 генерируется на основе длины X, которая является наибольшим простым числом, меньшим значения желательной длины L. Для сгенерированной последовательности CAZAC 1402 выполняется циклический сдвиг. Циркулярно-сдвинутая последовательность CAZAC 1403 имеет при этом длину X. К последовательности CAZAC 1403 добавляется дополняющий участок, что приводит к последовательности CAZAC 1404. Длина дополняющего участка соответствует длине L-X. Как было указано, дополняющий участок может состоять из нулевого или циклического префикса/постфикса. С добавлением дополняющего участка длина последовательности CAZAC 1404 равняется желательной длине L.
Между Фиг.11 и 12 различие заключается в том, что циклический сдвиг выполнен или до, или после того, как элементы последовательности CAZAC удалены. Посредством выполнения циклического сдвига перед удалением элементов (или корректировки длины, чтобы она сравнялась с желательной длиной), может быть снижено ухудшение корреляции. Для возможности различающегося введения последовательность CAZAC не имеет прерывистых кодов.
Между Фиг.13 и 14 различие заключается в том, что циклический сдвиг выполнен или до, или после того, как дополняющий участок добавлен к сгенерированной последовательности CAZAC. Посредством прикрепления дополняющего участка после выполнения циклического сдвига можно получить лучшие кросс-корреляционные свойства, особенно потому, что дополняющий участок помещен в конце кодовой последовательности.
Кроме того, в соответствии со сказанным выше, сначала распознается желательная длина L (или требуемая длина). Как показано на Фиг.11-14, сгенерированная кодовая последовательность отрегулирована/модифицирована исходя из желательной длины L. Основываясь на этом, после распознавания желательной длины L может быть выполнено определение того, должна ли сгенерированная длина X быть сокращена или расширена. Другими словами, определение может быть выполнено либо для удаления, либо отбрасывания, по меньшей мере, одного элемента сгенерированной кодовой последовательности, или добавления, или вставки, по меньшей мере, одного элемента к сгенерированной кодовой последовательности. Как было указано, вставляемыми элементами может быть нулевой (0) элемент (например, нулевое дополнение) или, например, циклический префикс/постфикс. Для выполнения определения между отбрасыванием элемента(-ов) или добавлением элемента(-ов) система может стремиться выбрать длину, ближайшую к желательной длине L.
Например, если желательная длина L есть 75, значение наименьшего простого числа, большего 75, есть 79, и значение наибольшего простого числа, меньшего 75, есть 73. В данном случае может быть выбрано простое число 73, поскольку 73 ближе к 75, чем 79.
Хотя выше показан выбор простого числа, ближайшего к желательной длине L, выбор при удалении или добавлении элемента(-ов) не ограничен вышеупомянутым примером и возможны другие варианты.
Что касается дополнения, то имеется пять (5) схем, посредством которых дополнение может быть реализовано. В качестве первой схемы дополнения дополняющий участок может состоять из постоянного числа (например, 0). Хотя дополняющий участок используется для заполнения участка кодовой последовательности таким образом, чтобы длина кодовой последовательности совпадала с желательной длиной, возможно чтобы дополняющий участок не завершал заполнение. Другими словами, возможно, чтобы длина кодовой последовательности с дополненным участком не была бы равной, или меньшей, кодовой последовательности с желательной длиной. Таким образом, когда кодовая последовательность используется для функций, которые считаются менее важными, например для сотового поиска, или произвольного доступа, нет необходимости использовать всю длину кодовой последовательности, и при этом дополняющий участок не должен занимать весь интервал, чтобы соответствовать желательной длине кодовой последовательности.
В качестве второй схемы дополнения дополняющий участок может состоять из повторного участка. Другими словами участок, соответствующий величине L-X кодовой последовательности 1204, может быть дублирован и вставлен/присоединен к концу кодовой последовательности 1204. Это может быть обозначено как циклический постфикс. В данном случае кодовая последовательность использует всю длину L. При определении идентификации (ID) кодовой последовательности используется вся длина L для облегчения ID кодовой последовательности. В то же самое время сгенерированная кодовая последовательность не испытывает искажения при использовании всей длины L. В вышеприведенном рассмотрении используется циклический постфикс. Альтернативно может также быть использован циклический префикс.
В качестве третьей схемы дополнения дополняющий участок может состоять из дополнительной информации, посредством которой могут быть поставлены различные сообщения. Более конкретно желательная длина L кодовой последовательности может быть использована для генерации дополнительной кодовой последовательности, длина которой равна желательной длине L (N=L). Участок кодовой последовательности, соответствующий L-X, извлекается из дополнительной кодовой последовательности и вставляется/присоединяется к сгенерированной кодовой последовательности как дополняющий участок.
В качестве четвертой схемы дополнения участок, соответствующий длине L-X, извлекается из кодовой последовательности и вставляется как дополняющий участок. В данном случае кодовая последовательность, вставленная к дополняющий участок, может быть последовательностью, отличающейся от кодовой последовательности 1204. По-другому, кодовая последовательность, вставленная к холостому участку, может быть последовательностью CAZAC, имеющей длину M, например, которая отличается от кодовой последовательности 1204, имеющей длину L. Кроме того, кодовая последовательность, вставленная к холостому участку, может быть отличающейся от последовательности CAZAC кодовой последовательностью. Посредством использования отличающейся кодовой последовательности можно предоставить дополнительную информацию, включая информацию, связанную с типом корректировок кодовой последовательности.
В качестве пятой схемы дополнения дополняющий участок может быть использован как интервал ограничения полосы пропускания со стороны низких частот. Во время передачи управляющей информации с использованием предписанной последовательности возможны такие сценарии, как, например, передача данных без установления синхронизации с каналом доступа, передача данных многочисленными пользователями в пределах системы связи и искажение частоты принятых данных.
Кроме того, дополняющие участки могут быть помещены на обоих концах кодовой последовательности, чтобы использовать дополняющие участки как интервалы ограничения полосы пропускания со стороны низких частот. Следовательно, может осуществляться более надежное получение управляющей информации из принятых данных, несмотря на искаженные по частоте сигналы. В дополняющих участках, используемых как интервалы ограничения, могут быть использованы постоянные числа (например, 0) или могут быть использованы циклический префикс либо постфикс сгенерированной кодовой последовательности.
Если дополняющие участки помещены на обоих концах кодовой последовательности и используются как интервалы ограничения полосы пропускания со стороны низких частот, то кодовые последовательности могут быть защищены от частотных искажений сигнала. Кроме того, если между интервалами ограничения вставлены, или иначе введены в пределах кодовой последовательности, нули, то помехи соседних кодов могут быть снижены. Альтернативно, если циклический префикс/постфикс используются как интервалы ограничения, то кодовые последовательности могут быть защищены от частотных искажений и могут быть использованы для передачи управляющей информации, содержащей ID последовательности, если отсутствует частотное искажение.
На Фиг.15 показана примерная схема дополняющего участка кодовой последовательности, в которой дополняющий участок используется как интервал ограничения полосы пропускания со стороны низких частот. Что касается Фиг.15, то кодовая последовательность 1501 может быть разделена на три (3) участка – участок (С1), который генерируется на основе длины X, и два других участка (C2 и C3), присоединенные к обоим концам кодовой последовательности 1501.
Выше были приведены пять (5) схем дополнения. Однако схемы дополнения не ограничены рассмотренными схемами, и возможны другие типы схем дополнения.
Помимо первой схемы дополнения, при которой не вставляется никакая информация, в других четырех схемах дополнения в дополняющие участки вставляется дополнительная информация, чтобы позволить расширение кодовой последовательности и/или передачу сообщения(-ий). В дополняющий участок может быть вставлена различная информация, включая, например, информацию начального доступа, информацию запланированного обновления, информацию запроса ресурса, пользовательскую ID информацию, информацию о качестве канала (CQ1), ID информацию пользовательской группы, связанную с каналом произвольного доступа (RACH). Кроме того, информация может включать в себя ID информацию соты, информацию множественного ввода-вывода (MIMO) и информацию о синхронизации канала синхронизации (SCH), например. Кроме того, дополняющий участок может использоваться для передачи данных при передаче сообщения, а также произвольной информации, используя кодовую последовательность с длиной L-X.
На Фиг.16 показана структурная схема для передачи кодовой последовательности. В зависимости от того, выполняется ли передача кодовой последовательности в нисходящем направлении или восходящем направлении, структура может быть различной. Так, Фиг.16 соответствует общему передающему концу для передачи управляющего сигнала.
Что касается Фиг.16, то передающий конец 1601 содержит модуль 1602 выбора последовательности и передающий модуль 1603. Модуль 1602 выбора последовательности используется для генерации кодовой последовательности для передачи управляющей информации. Более конкретно модуль 1602 выбора последовательности выполняет операцию выбора кодовой последовательности, имеющей желательную длину L. Другими словами, модуль 1602 выбора последовательности сохраняет значение желательной длины L, и затем выбирает соответствующую кодовую последовательность для отображения управляющей информации, передаваемой при кодовой последовательности с длиной L.
Кодовая последовательность, которая может быть выбрана модулем 1602 выбора последовательности, имеет длину L, как показано в Фиг.12 и 14 (например, кодовая последовательность 1204 и кодовая последовательность 1404). Кроме того, кодовая последовательность подвергается циклическому сдвигу (например, кодовая последовательность 1203 и 1403), для которого дополняющий участок, соответствующий длинам L-X или X-L удален либо вставлен/добавлен. В результате в пределах кодовой последовательности не образуются прерывистые части, что обеспечивает хорошие корреляционные параметры.
Хотя предпочтительно использовать длину X, которая является наименьшим простым числом, большим длины L, или наибольшим простым числом, меньшим длины L, пока значение длины X является простым числом, отличающиеся или другие простые числа могут использоваться как значение длины X.
На Фиг.17 показаны структурная схема модуля генерации последовательности абсолютного кода и модуль регулировки длины кодовой последовательности. На Фиг.17, модуль 1701 генерации последовательности абсолютного кода дополнительно содержит модуль 1701a генерации кодовой последовательности и модуль 1701b применения циклического сдвига. Модуль 1701a генерации кодовой последовательности используется для генерации первой кодовой последовательности (C1). В данном случае C1 может быть определена как кодовая последовательность, имеющая длину X, причем значение длины X является наименьшим простым числом, большим значения длины L, или как кодовая последовательность, имеющая длину X, причем значение длины X является наибольшим простым числом, меньшим значения длины L. Затем C1 подвергается циклическому сдвигу посредством модуля 1701b применения циклического сдвига. Более конкретно модуль 1701b применения циклического сдвига принимает C1 с длиной X, применяет циклический сдвиг и выводит вторую кодовую последовательность (C2) на модуль 1702 регулировки длины кодовой последовательности.
Модуль 1702 регулировки длины кодовой последовательности дополнительно содержит управляющий модуль 1702a, модуль 1702b удаления кодовой последовательности и дополняющий модуль 1702c. Более конкретно управляющий модуль 1702a принимает C2, а также значение длины L. Управляющий модуль 1702a определяет, удалить ли участок/сектор C2 или вставить/добавить участок/сектор к C2. Исходя из определения управляющего модуля 1702a C2 поставляется на модуль 1702b удаления последовательности, в котором удаляется участок/сектор C2, соответствующий длине X-L. Альтернативно C2 можно подать на дополняющий модуль 1702c для вставки/добавления участка/сектора C2, длина которого соответствует длине L-X.
Если C2 и значение длины L предоставлены управляющему модулю 1702a, то управляющий модуль 1702a сравнивает значение длины X, которая идентифицирует длину C2 со значением длины L. В данном случае, если X больше чем L, то C2 вводится в модуль 1702b удаления последовательности. От C2, длина участка C2, соответствующая длине X–L, удаляется, приводя к C3. Однако, если X меньше L, то C2 вводится в дополняющий модуль 1702c. От C2, длина дополняющего участка, соответствующая длине L-X, вставляется/добавляется к C2, приводя к C4. В данном случае дополняющий участок может быть вставлен в любой конец, или в оба конца C2.
На Фиг.18 и 19 показаны кросс-корреляционные характеристики кодовой последовательности. Иллюстрации Фиг.18 и 19 основаны на значении длины X, которая является наименьшим простым числом, большим значения желательной длины L; однако, иллюстрации не ограничиваются наименьшим простым числом, большим длины L, но могут иметь значение простого числа длины X, меньшей значения длины L.
Что касается Фиг.18 и 19, то x-ось отображает значения циклического сдвига, а y-ось отображает ненормализованные кросс-корреляционные значения. Кроме того, более тонкая линия отображает значение кросс-корреляции кодовой последовательности с примененным к ней циклическим сдвигом, после того, как участок кодовой последовательности, имеющий длину X-L, удален. Более темная/толстая линия отображает значения кодовой последовательности, к которой циклический сдвиг применен до удаления участка кодовой последовательности, соответствующего длине X-L. Более конкретно, на Фиг.7 показан график, где L составляет 75 и X – 79, что является наименьшим простым числом, большим 75. Кроме того, на Фиг.8 показан график, где L8 составляет 225, и X – 227, что является наименьшим простым числом, большим 225.
На Фиг.18 и 19, если значение циклического сдвига есть 0, установлено иначе, если нет никакого сдвига, то высокое значение корреляции обозначено только когда значение автокорреляции соответствует кодовой последовательности, и в других случаях, поддерживается умеренная корреляция. Напротив, если кодовая последовательность с сектором, соответствующим длине X-L, удалена и затем подвергнута циклическому сдвигу, то возникают значительные колебания значений корреляции, что приводит к ухудшению параметров корреляции. Также если кросс-корреляция используется для анализа кодовой последовательности, то кодовая последовательность в соответствии с вариантами реализации настоящего изобретения имеет хорошие характеристики и превосходит таковые для обычной кодовой последовательности.
На Фиг.20 показана примерная схема увеличения мощности сгенерированной кодовой последовательности. Как было указано, кодовая последовательность генерируется на основе длины X, и дополняющий участок, длина которого соответствует длине L-X, присоединен к кодовой последовательности (например, последовательности CAZAC). Затем участок кодовой последовательности, соответствующий длине X, используется при длине L, поделенной на длину X(L/X). Результат деления составляет значение, на которое мощность может быть увеличена. Кроме того, значение, на которое может быть увеличена мощность, может быть применено к кодовой последовательности, длина которой составляет длину X. Когда приемный конец принимает кодовую последовательность с увеличенной мощностью, могут быть получены более эффективные параметры детектирования, поскольку снижаются помехи.
Однако относительно кодовой последовательности, сгенерированной с дополняющим участком с прикрепленным циклическим префиксом/постфиксом, нет никакой необходимости в увеличении мощности, поскольку все кодовые последовательности, соответствующие длине L, используются для получения ID информации последовательности.
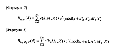
На приемном конце принимается информация, связанная с сгенерированной кодовой последовательностью, и длина X, использованная для генерации кодовой последовательности. Из кодовой последовательности участок, соответствующий длине X, обрабатывается для получения управляющей информации. На этом конце важно сначала получить информацию синхронизации принятых данных. Уравнение (7) и Уравнение (8) могут быть использованы для получения информации синхронизации. В данном случае Уравнение (7) относится к автокорреляции, и Уравнение (8) относится к кросс-корреляции:

Уравнение (7) используется для получения значения(-ий) автокорреляции из принятой кодовой последовательности, ID последовательности которой есть M. Кроме того, полученное значение d автокорреляции, которое является значением, отличным от 0, используется для получения синхронизации.
Уравнение (8) используется для получения корреляционного значения(-ий) кодовой последовательности, ID которой составляет M2 от принятой кодовой последовательности, ID последовательность которой составляет M1. С помощью полученного значения может быть достигнута синхронизация.
Обычно, если система беспроводной связи представляет собой синхронную сеть, то используется автокорреляция для получения информации синхронизации, и если система представляет собой асинхронную сеть, используется кросс-корреляция для получения информации синхронизации. Однако в соответствии с вариантами реализации настоящего изобретения информация синхронизации может быть получена с использованием любой или, по меньшей мере, одной из схем корреляции.
После того, как информация синхронизации принятой кодовой последовательности получена, приемный конец анализирует принятую кодовую последовательность для получения ID последовательности, как показано в Уравнениях (9) и (10):

В Уравнениях (9) и (10) ус(k; M, X) обозначает разностную последовательность принятых последовательностей. Уравнение (9) используется для получения ID информации принятой последовательности с использованием разностной последовательности, соответствующей полной длине принятой последовательности. Уравнение (9) может также использоваться для получения ID информации кодовой последовательности, которая была сгенерирована с дополняющим участком циклического префикса/постфикса. Уравнение (10) используется для получения ID информации принятой последовательности с использованием наименьшего простого числа, соответствующего длине X.
Как было указано, если разностная последовательность последовательности CAZAC рассчитана с использованием Уравнения (9) или (10), генерируется значение k индекса последовательности, и результат при этом преобразуется посредством схемы Фурье преобразования, приводя к единственному пиковому значению. Затем посредством детектирования пикового значения может быть получена ID информация последовательности.
Вышеприведенное рассмотрение относится к применению кодовой последовательности либо набора кодовой последовательности к системе Партнерского Проекта 3-го Поколения (3GPP) или системе 3GPP2, а также к системе Wibro или системе Wimax.
Специалистам в данной области техники должно быть очевидно, что в настоящем изобретении возможны различные модификации и вариации без отступления от сущности или объема притязаний изобретения. Имеется в виду, что настоящее изобретение охватывает модификации и вариации данного изобретения, если они находятся в рамках приложенных формул и их эквивалентов.
Формула изобретения
1. Способ генерации кодовой последовательности в системе беспроводной связи, причем способ содержит: генерацию кодовой последовательности, имеющей длину X; и расширение сгенерированной кодовой последовательности таким образом, чтобы она имела длину L, посредством циклического расширения сгенерированной кодовой последовательности; причем длина Х представляет собой наибольшее простое число, меньшее длины L, и причем циклическое расширение сгенерированной кодовой последовательности выполняется таким образом, что часть сгенерированной кодовой последовательности, имеющая длину, соответствующую разности между длиной Х и длиной L, добавляется либо в начало, либо в конец сгенерированной кодовой последовательности.
2. Способ по п.1, в котором часть сгенерированной кодовой последовательности содержит, по меньшей мере, одно из циклического префикса или циклического постфикса.
3. Способ по п.1, в котором циклическое расширение сгенерированной кодовой последовательности выполняется таким образом, что циклический постфикс сгенерированной кодовой последовательности, имеющий длину, соответствующую разности между длиной X и длиной L, добавляется в конец сгенерированной кодовой последовательности.
4. Способ по п.1, дополнительно содержащий выполнение циклического сдвига сгенерированной кодовой последовательности, имеющей длину X.
5. Способ по п.1, дополнительно содержащий выполнение циклического сдвига сгенерированной кодовой последовательности, расширенной таким образом, чтобы она имела длину L.
6. Способ по п.1, в котором кодовая последовательность представляет собой последовательность Zadoff-Chu.
7. Способ по п.1, в котором сгенерированная кодовая последовательность используется в качестве последовательности опорного сигнала.
8. Устройство для передачи кодовой последовательности в системе беспроводной связи, причем устройство содержит: генератор кодовой последовательности для генерации кодовой последовательности, имеющей длину X, и расширения сгенерированной кодовой последовательности таким образом, чтобы она имела длину L, посредством циклического расширения сгенерированной кодовой последовательности; передающий модуль для передачи сгенерированной кодовой последовательности, расширенной таким образом, чтобы она имела длину L; причем длина Х представляет собой наибольшее простое число, меньшее длины L, и причем циклическое расширение сгенерированной кодовой последовательности выполняется таким образом, что часть сгенерированной кодовой последовательности, имеющая длину, соответствующую разности между длиной Х и длиной L, добавляется либо в начало, либо в конец сгенерированной кодовой последовательности.
9. Устройство по п.8, в котором часть сгенерированной кодовой последовательности содержит, по меньшей мере, одно из циклического префикса или циклического постфикса.
10. Устройство по п.8, в котором циклическое расширение сгенерированной кодовой последовательности выполняется таким образом, что циклический постфикс сгенерированной кодовой последовательности, имеющий длину, соответствующую разности между длиной Х и длиной L, добавляется в конец сгенерированной кодовой последовательности.
11. Устройство по п.8, в котором генератор кодовой последовательности выполнен с возможностью дополнительно выполнять циклический сдвиг сгенерированной кодовой последовательности, имеющей длину X.
12. Устройство по п.8, в котором генератор кодовой последовательности выполнен с возможностью дополнительно выполнять циклический сдвиг сгенерированной кодовой последовательности, расширенной таким образом, чтобы она имела длину L.
13. Устройство по п.8, в котором кодовая последовательность представляет собой последовательность Zadoff-Chu.
14. Устройство по п.8, в котором сгенерированная кодовая последовательность используется в качестве последовательности опорного сигнала.
РИСУНКИ
|
|