|
|
(21), (22) Заявка: 2007109066/09, 29.07.2005
(24) Дата начала отсчета срока действия патента:
29.07.2005
(30) Конвенционный приоритет:
13.08.2004 GB 0418178.0 13.08.2004 US 60/601,219
(43) Дата публикации заявки: 20.09.2008
(46) Опубликовано: 10.06.2010
(56) Список документов, цитированных в отчете о поиске:
WO 2004/057525 A, 08.07.2004. RU 2175777 C2, 10.11.2001. WO 00/45344 A1, 03.08.2000. EP 1418542 A1, 12.05.2004. EP 1273461 A2, 08.01.2003. EP 0278058 A1, 17.08.1988.
(85) Дата перевода заявки PCT на национальную фазу:
13.03.2007
(86) Заявка PCT:
GB 2005/002989 20050729
(87) Публикация PCT:
WO 2006/016112 20060216
Адрес для переписки:
129090, Москва, ул. Б.Спасская, 25, стр.3, ООО “Юридическая фирма Городисский и Партнеры”, пат.пов. Ю.Д.Кузнецову, рег. 595
|
(72) Автор(ы):
КАУБЕРН Расселл П. (GB)
(73) Патентообладатель(и):
ИНДЖЕНИА ХОЛДИНГС ЛИМИТЕД (VG)
|
(54) СПОСОБЫ, ПРОДУКЦИЯ И УСТРОЙСТВА ПРОВЕРКИ ПОДЛИННОСТИ
(57) Реферат:
Изобретение относится к средствам защиты и проверки подлинности изделий. Техническим результатом является повышение достоверности идентификации изделия. В способе и устройстве определяют сигнатуры класса по изделию, сделанному из бумаги или картона, для того, чтобы идентифицировать родовой тип класса, к которому принадлежит изделие. Оптический пучок подсвечивает изделие, а детекторная подсистема накапливает измерительные точки из света, рассеиваемого с многих разных частей изделия по мере сканирования изделия пучком. Сигнатура класса является производной от собственных свойств, приданных бумаге/картону во время изготовления, предположительно посредством сетчатого экрана, используемого во время обезвоживания бумажной массы. Детектирование сигнатуры класса предоставляет производителю или конкретному механизму изготовления бумаги, которые изготавливали бумагу, возможность идентифицироваться. 5 н. и 26 з.п. ф-лы, 29 ил.
Изобретение относится к способам защиты, более точно, проверке подлинности изделия, такого как карта идентификации (ID) личности, банкнота, продаваемый продукт, документ или другой предмет, сделанный из волокнистого листового материала, такого как бумага или картон.
Многие традиционные системы защиты проверкой подлинности полагаются на последовательность операций, которую трудно выполнять кому бы то ни было, иному, чем производитель, где трудность может быть продиктована расходами на основное оборудование, сложностью технического ноу-хау или предпочтительно и тем и другим. Примерами являются предоставление водяного знака на банкнотах и голограммы на кредитных картах или паспортах. К сожалению, злоумышленники становятся более искушенными и могут воспроизводить практически все что угодно, что может сделать первоначальный изготовитель.
Вследствие этого есть известный подход к системам защиты проверкой подлинности, который полагается на создание маркеров доступа с использованием некоторой последовательности операций, обусловленной законами природы, которая приводит к тому, что каждый маркер является уникальным и, что более важно, обладает уникальной характеристикой, которая является измеримой и, соответственно, может использоваться в качестве основы для последующей проверки. Согласно этому подходу маркеры изготавливаются и обмеряются установленным образом для получения уникальной характеристики. Характеристика, в таком случае, может сохраняться в компьютерной базе данных или удерживаться иным образом. Маркеры этого типа могут быть встроены в несущее изделие, например банкноту, паспорт, ID-карту, важный документ. Впоследствии несущее изделие может вновь подвергаться измерению, а измеренная характеристика сравниваться с характеристиками, сохраненными в базе данных, для установления, если есть совпадение.
В рамках этого общего подхода было предложено использовать разные физические эффекты. Один из физических эффектов, который был рассмотрен в некотором количестве документов [1-4] предшествующего уровня техники, заключается в том, чтобы использовать лазерный спекл от собственных свойств изделия, типично, в виде специального маркера для предоставления уникальной характеристики. Согласно этим технологиям большая область, такая как вся у специального маркера, подсвечивается коллимированным лазерным пучком, а значительная часть телесного угла результирующей спекл-структуры экспонируется с помощью прибора с зарядовой связью (ПЗС, CCD), тем самым получая изображение спекл-структуры подсвеченной области, составленное из большого массива измерительных точек.
Позднее была разработана новая основанная на лазерном спекле технология [5], в которой уникальная характеристика получается посредством сканирования сфокусированным лазерным пучком по изделию и сбора многих измерительных точек, в типичном случае, 500 или более, по свету, рассеиваемому со многих разных частей изделия, чтобы накопить большое количество независимых измерительных точек. Посредством накопления большого количества независимых сигнальных вкладов, специфичных для многих разных частей изделия, может быть вычислена цифровая сигнатура, которая уникальна для области изделия, которое было просканировано. Эта технология является допускающей предоставление уникальной сигнатуры с поверхностей широкого многообразия изделий, в том числе непропитанной бумаги, картона и пластика.
Важным применением этой технологии является защитная проверка по базе данных сохраненных сигнатур, упоминаемой как «главная база данных» в последующем. Например, на парфюмерной фабрике каждая коробочка с флаконом духов может быть просканирована считывателем для получения сигнатуры, а эти сигнатуры введены в главную базу данных. Главная база данных включает в себя сигнатуру с каждого произведенного изделия, например коробочки духов. Позже для проверки в полевых условиях считыватель может использоваться для сканирования любой коробочки с духами, чтобы получать сигнатуру, а эта сигнатура сопоставляется с главной базой данных, чтобы установить, есть ли совпадающая сигнатура, удерживаемая в главной базе данных. Если совпадения нет, изделие считается поддельным. Если совпадение есть, то изделие считается неподдельным.
Во многих применениях, например, относящихся к национальной безопасности, гражданской документации или большому объему снабженных товарными знаками товаров, количество сигнатур, сохраненных в главной базе данных, может быть очень большим. Количеством записей, возможно, могут быть миллионы, десятки миллионов или даже сотни миллионов. Например, это могло бы иметь место, если схема используется для проверки паспорта или водительских прав в густонаселенной стране.
Для большинства, если не для всех, применений необходимо, чтобы поиск по главной базе данных выполнялся за приемлемое время. Приемлемое время будет изменяться от применения к применению, но для многих применений максимально приемлемое время будет всего лишь несколькими секундами. Это может становиться трудным для достижения, если становится большим количество изделий.
Поэтому было бы желательным быть способным выполнять разные виды проверки изделий на основании свойства, которое является присущим всем настоящим вещам, возможно, без обращения к базе данных. Несмотря на то что это могло бы не быть заслуживающим доверия настолько, насколько последовательность операций положительной проверки на основании уникального свойства каждого изделия, оно было бы более легким для выполнения и предоставления отрицательного испытания, которое различало бы многие очевидные подделки и фальшивки. Например, оно могло бы использоваться в качестве испытания предварительного отбора перед проверкой, основанной на уникальной сигнатуре.
СУЩНОСТЬ ИЗОБРЕТЕНИЯ
Во время первоначальной разработки заявителем, основанной на лазерном спекле технологии защиты, заявитель был изумлен обнаружить, что расчетная вероятность случайного совпадения между характеристическими сигналами, измеренными для двух образцов бумаги, взятых из одной и той же стопки бумаги, была не так низка, как могло бы ожидаться по теории. В одном конкретном эксперименте расчеты показывали, что был приблизительно 1 шанс к 106 предположительно случайных характеристических сигнатур двух заданных образцов бумаги, совпадающих с точностью до установленного порога погрешности. Однако во время испытаний совпадения этого качества на практике наблюдались несколько раз за день. Это показывало, что характеристические сигнатуры не были полностью случайны и содержали составляющие информации, которые оставались постоянными от одного листа бумаги к другому.
Последующие исследования показывали, что бумага возбуждает артефактный сигнал, который ответственен за повышенный риск случайного ошибочного совпадения между образцами бумаги. Поэтому для того, чтобы уменьшить вероятность ложной идентификации изделий, разработанное заявителем устройство заблаговременно задействовалось для устранения влияния артефактных сигналов.
Сами артефактные сигналы появляются в виде одной или более частотных составляющих, обнаруживаемых в выходном сигнале, выводимом из фотодетектора, в то время как сканируется поверхность. Период и количество частотных составляющих, создаваемых любым конкретным артефактным сигналом, зависит от ориентации сканирующего пучка относительно поверхности бумаги.
Следуя анализу последовательности операций изготовления бумаги, заявитель в настоящее время полагает, что артефактные сигналы происходят от сетчатых экранов, используемых для удаления воды из бумажной массы во время последовательности операций отжима [6, 7, 8, 9, 10, 11, 12, 13]. Такие сетчатые экраны, в типичном случае, формируются с использованием проволочной сетки, обладающей постоянным интервалом. Несмотря на то что такие сетчатые экраны, в типичном случае, конструируются в стремлении не оставлять никаких видимых отпечатков на бумаге, выходит, что сетчатые экраны все же сообщают существенный отпечаток бумаге во время обычного производственного процесса. Заявители полагают, что артефактные сигналы, которые они способны обнаруживать, обусловлены отпечатками, сообщенными сетчатыми экранами.
Дальнейшие эксперименты показали, что артефактные сигналы часто обычны для листов бумаги, взятых из одной и той же стопки бумаги. Дополнительно, исследование показало, что артефактные сигналы постоянны во времени и остаются наличествующими, даже когда конкретный лист бумаги повреждается смятием, истиранием и т.п. Однако, что интересно, было обнаружено, что бумага от разных поставщиков обычно обладает разными артефактными сигналами.
Соответственно, обнаруживается, что артефактные сигналы несут полезную информацию, так как они оказываются характеризующими любую бумагу, сделанную с использованием конкретного сетчатого экрана или типа продукции сетчатых экранов. Более того, при условии большого многообразия типов сетчатых экранов, материалов и форм этот эффект кажется подходящим для предоставления сигнатуры класса для идентификации бумаги из конкретного источника, то есть бумаги, сделанной с использованием конкретного сетчатого экрана или типа сетчатого экрана.
Посредством использования артефактных сигналов для предоставления сигнатуры класса может быть идентифицирован источник изготовления бумаги. Хотя это, само по себе, дает только довольно низкий уровень защиты, оно предусматривает полезную технологию для выполнения отрицательного испытания на подлинность, так как неудачный исход ясно показывает, что изделие не может быть неподдельным, невзирая на его уникальную индивидуальную сигнатуру.
Более того, использование этой технологии гарантирует, что не каждый лист бумаги, который изготовлен, должен сканироваться так, чтобы обладать предопределенной характеристической сигнатурой. Эта технология тем самым может аннулировать или уменьшать потребность в хранении большого набора данных таких предопределенных характеристических сигнатур. Дополнительно, для получения сигнатуры класса бумага может сканироваться где угодно на ее поверхности. Это помогает снизить потребность в точном совмещении изделия, сканируемого сканирующим пучком.
Отсюда согласно первому аспекту изобретения предоставлено устройство для анализа сделанного из бумаги или картона изделия, размещенного в пространстве считывания. Устройство содержит сканер для сканирования изделия оптическим пучком, детекторную подсистему для накопления набора измерительных точек по сигналам, полученным, когда пучок сканирует пространство считывания, и модуль сбора и обработки данных для обработки набора измерительных точек, с тем, чтобы определять, обладает ли изделие предопределенной сигнатурой класса, которая идентифицирует изделия известного родового типа по собственным свойствам изделия. Разные из измерительных точек относятся к сигналам, полученным в разные моменты времени в течение сканирования. В различных вариантах осуществления установлен источник для направления когерентного пучка на пространство считывания, так что когерентный пучок будет встречаться с изделием при почти нормальном падении. В различных вариантах осуществления сканер сконфигурирован для проецирования пучка на изделие при почти нормальном падении.
Периодические изменения в собственных свойствах изделия может вызывать артефактный сигнал, который может использоваться для предоставления сигнатуры класса. В различных вариантах осуществления сигнатура класса получается выполнением математического преобразования набора измерительных точек для определенной сигнатуры класса. Соответствие между измеренной сигнатурой класса и предопределенной сигнатурой класса, в таком случае, служит показателем того, что изделие принадлежит к родовому типу, ассоциированному с классом этой предопределенной сигнатуры класса. В различных вариантах осуществления одно или более преобразований Фурье (FT) набора измерительных точек рассчитываются для того, чтобы идентифицировать артефактные сигналы. Спектр FT, либо один или несколько его пиков, затем могут использоваться в качестве сигнатуры класса.
Выбранные подмножества из набора измерительных точек также могут анализироваться. Например, такие подмножества могут анализироваться для того, чтобы определять, какие подмножества вызывают наибольшие амплитудные пики в преобразованном наборе измерительных точек. Такие подмножества могут включать в себя измерительные точки, которые соответствуют сканированиям, выполненным над изделием при разных ориентациях. Например, подмножество может содержать измерительные точки, полученные по дуге, образующей часть снимка вещательного сканирования.
Предопределенные сигнатуры класса могут быть предусмотрены в базе данных, которая может быть расположена удаленно или заключена в ручном считывателе. Поскольку устройство использует сигнатуры класса, база данных может быть относительно небольшой. Предопределенные сигнатуры класса также могут шифроваться для усиленной защиты. Сопоставлением сигнатур класса с предопределенными сигнатурами класса устройство, включающее в себя этот признак, может обеспечивать начальный защитный отбор для изделий, сделанных из бумаги/картона, по производителю/механизму и т.п. Например, устройство может указывать оператору, что изделие сделано не из бумаги паспортов США, сделано не из бумаги банкнот Соединенного Королевства и т.д.
Устройство дополнительно может содержать модуль кодера/декодера для измерения относительного положения пучка и изделия во время сканирования. Модуль сбора и обработки данных также может быть дополнительно выполнен с возможностью линеаризации набора измерительных данных перед определением сигнатуры класса посредством использования информации измеренных относительных положений, получаемой из модуля кодера/декодера. Модифицированием набора измерительных точек для того, чтобы гарантировать, что следующие одна за другой измерительные точки в наборе являются равноудаленными по времени или положению их сбора в течение сканирования, связанные с нелинейным перемещением артефакты, привнесенные процессом сканирования, могут быть в значительной степени устранены.
Детекторная подсистема может включать в себя множество детекторных каналов, выполненных с возможностью и сконфигурированных для восприятия рассеяния из соответственных разных частей пространства считывания. Каждый такой детекторный канал может предоставлять набор временной последовательности (или, равнозначно, последовательности положений линейного сканирования). Две или более таких соответственных сигнатур класса могут усредняться для предоставления измерения сигнатуры класса, обладающей улучшенным отношением сигнал/шум. Поскольку многочисленные детекторы используются в различных вариантах осуществления для определения уникальных отличительных характеристик, включение функциональной возможности усреднения незначительно повышает стоимость или сложность устройства.
В некоторых вариантах осуществления разные из измерительных точек получаются посредством линейного сканирования пучка в пространстве считывания. Сканирование влечет за собой относительное перемещение между пучком и пространством считывания. Использование линейного сканирования является выгодным, так как оно является механически простым и относительно недорогим для реализации. Линейное сканирование также полезно там, где предопределена ориентация отпечатков, которые дают начало сигнатуре класса (например, где бумага всегда обрезается конкретным способом по отношению к сетчатому экрану, на котором она изготавливается). Линейные сканирования обычно являются относительно быстрыми при определении сигнатуры класса, так как набор измерительных точек, который формируется, требует всего лишь минимальной обработки для того, чтобы извлекать такую сигнатуру класса.
Для различных других вариантов осуществления разные из измерительных точек получаются посредством вращательного сканирования пучка в пространстве считывания. Для этих вариантов осуществления нет необходимости точно позиционировать изделия при считывании сигнатуры класса, в то время как последующая обработка измерительных точек может использоваться для определения сигнатуры класса. Преимущественно, в тех случаях, когда вращательное сканирование выполняется с использованием портативного ручного сканера, такой сканер может размещаться где угодно на изделии. Ручные сканеры этого типа поэтому полезны персоналу, такому как таможенники, которым может потребоваться выполнять быстрое прямое сканирование выборочного набора изделий из большой партии изделий.
Различные варианты осуществления изобретения работоспособны для выполнения как сканирования для проверки сигнатуры класса, так и сканирования для проверки уникальной характеристической сигнатуры. Проверка характеристической сигнатуры может следовать условно за проверкой сигнатуры класса или может быть обязательной.
Согласно второму аспекту изобретения предоставлен способ анализа изделия, сделанного из бумаги или картона. Способ содержит размещение изделия в пространстве считывания, сканирование изделия оптическим пучком, накопление набора измерительных точек по сигналам, полученным, когда пучок сканирует пространство считывания, и обработку набора измерительных точек для определения того, обладает ли изделие предопределенной сигнатурой класса, которая идентифицирует изделия известного родового типа по собственным свойствам изделия. Разные из измерительных точек относятся к сигналам, полученным в разные моменты времени в течение сканирования.
Способ согласно этому аспекту изобретения может дополнительно содержать этапы для выполнения одной или более функций/операций, которые могут быть реализованы или предусмотрены устройством согласно первому аспекту изобретения, описанному в материалах настоящей заявки.
Устройство согласно первому аспекту изобретения может использоваться для реализации способа согласно второму аспекту изобретения. Например, устройство согласно первому аспекту изобретения может использоваться для проверки подлинности изделия посредством выполнения способа анализа изделия. Устройство может использоваться для проверки того, обладает ли конкретное изделие предполагаемой сигнатурой класса. Например, может ожидаться, что коробочка духов обладает сигнатурой класса, выводимой из артефактного сигнала, являющегося результатом отпечатка прямоугольной сетки с интервалами 250×400 микрометров, или что банкнота обладает сигнатурой класса, выведенной из артефактного сигнала, являющегося результатом отпечатка равносторонней шестиугольной сетки с 300-микрометровым разделением параллельных сторон. Также возможно использовать сигнатуры класса, которые происходят от сложнопрофилированных отпечатков. Например, сигнатуры класса могут происходить от отпечатков, которые являются сердцеобразными, звездообразными и т.п.
Более того, устройство может использоваться для восстановления информации, которая сознательно закодирована в бумагу/картон посредством отпечатывания предопределенного орнамента. Такому орнаменту не требуется быть видимым. Например, информация может восстанавливаться по сигнатуре класса, которая закодирована в бумаге посредством сделанного на заказ сетчатого экрана, используемого во время изготовления бумаги.
Согласно третьему аспекту изобретения предоставлен сетчатый экран для изготовления бумажного или картонного изделия. Сетчатый экран содержит множество элементов, выполненных с возможностью и сконфигурированных для придания сделанного на заказ печатного орнамента бумажному или картонному изделию для обеспечения предопределенной сигнатуры класса, которая идентифицирует изделие как являющееся принадлежащим к известному родовому типу. Сетчатый экран предназначен для сознательного придания отпечатка изделию с тем, чтобы обеспечивать предопределенную сигнатуру класса. Сетчатый экран является сделанным на заказ сетчатым экраном, который обеспечивает отпечатки, орнамент которых в настоящее время не встречается в сетчатых экранах, используемых в отрасли промышленности изготовления бумаги. Такие сделанные на заказ сетчатые экраны могут дополнительно предусматривать сложнопрофилированные печатные орнаменты.
Как указано, этот аспект относится к намеренному приданию отпечатка изделию с тем, чтобы обеспечить предопределенную сигнатуру класса. Сетчатый экран может быть любым средством, которое придает требуемый отпечаток бумаге или картону во время или после того, как они изготавливаются. Например, сетчатый экран может быть перфорированной поверхностью или может быть составленным из пластин, проволок и т.п.
Традиционный сетчатый экран содержит элементы, которые пространственно скомпонованы так, чтобы придавать периодический печатный орнамент бумаге или картону. Посредством использования периодического орнамента сканирование для определения сигнатуры класса может выполняться где угодно на бумаге. Такой периодический печатный орнамент также дает измерительные точки с устойчивыми частотными составляющими, которые пригодны для детектирования с использованием FT или других технологий анализа.
Однако также есть возможность изготовления специально структурированных сетчатых экранов, чтобы использовать в своих интересах эффект отпечатывания для передачи пространственной модуляции поверхностной структуры бумаги, сопровождающей многообразие функциональных форм, симметрий и т.п.
Пространственная модуляция может использоваться для кодирования данных, таких как, например, биты двоичных данных. Пространственная модуляция может предусматриваться, например, для кодирования данных с использованием внутриимпульсной линейной частотной модуляции, модуляции суперпериодичностью, амплитудной модуляции, модуляции фазовой манипуляцией или модуляции частотной манипуляцией.
Печатный орнамент может заключать в себе сложные формы. Например, ассиметричные формы, такие как звезды, сердца и т.п., или формы, имеющие различные изменяющиеся степени симметрии, могут быть включены в состав для предоставления многочисленных частотных составляющих в артефактный сигнал. Использование смешанных многочисленных частотных составляющих для опознавания сигнатуры класса делает копирование более трудным и к тому же увеличивает количество сигнатур класса, которые могут распознаваться.
Одна или более битовых последовательностей также могут кодироваться в бумагу или картон посредством использования печатного орнамента для кодирования. Это обеспечивает многочисленные возможности для включения информации в бумагу или картон. Например, информация, идентифицирующая производителя, механизм, на котором изготавливалась бумага, зашифрованную информацию, относящуюся к предполагаемой сигнатуре класса, и т.д., может кодироваться в самой бумаге. Более того, как показано ранее, эта информация может сохраняться помехоустойчиво и невидимо.
Согласно четвертому аспекту изобретения предусмотрен способ изготовления бумажного или картонного изделия, включающего в себя сделанный на заказ печатный орнамент. Способ согласно этому аспекту изобретения содержит использование сетчатого экрана согласно третьему аспекту изобретения для придания сделанного на заказ печатного орнамента.
Согласно пятому аспекту изобретения предусмотрено бумажное или картонное изделие, содержащее сделанный на заказ печатный орнамент для предоставления сигнатуры класса для идентификации изделия в качестве принадлежащего известному родовому типу. Печатный орнамент может не быть видимым. Например, печатный орнамент может быть невидимым невооруженному глазу.
Сделанный на заказ печатный орнамент бумаги/картона может быть периодическим. В различных вариантах осуществления печатный орнамент заключает в себе пространственную модуляцию, предусмотренную согласно одной или более из следующих схем: внутриимпульсной линейной частотной модуляции, модуляции суперпериодичностью, модуляции фазовой манипуляцией и модуляции частотной манипуляцией. Также возможно использовать печатный орнамент, который кодирует одну или более битовых последовательностей в бумагу или картон.
Основные варианты осуществления описаны относительно чертежей. Эти варианты осуществления могут использоваться для детектирования сигнатуры класса, а также, в необязательном порядке, уникальной характеристической сигнатуры. Детекторные каналы могут быть составленными из дискретных детекторных компонентов в виде простых фототранзисторов, когда должна детектироваться характеристическая сигнатура. Могли бы использоваться другие простые дискретные компоненты, такие как (регулируемые резистивные) PIN-диоды или фотодиоды. Интегрированные детекторные компоненты, такие как детекторная матрица, также могли бы использоваться, хотя это увеличило бы стоимость и сложность устройств.
По начальным экспериментам, которые изменяли угол подсветки пучка на изделии, которое должно подвергаться сканированию, также представляется важным на практике, что пучок является падающим приблизительно под прямым углом к поверхности, сканируемой для того, чтобы получить характеристику, которая может повторно измеряться с той же самой поверхности, с небольшим изменением, даже когда изделие повреждается между измерениями.
Поэтому может быть полезным устанавливать источник с тем, чтобы направлять пучок в пространство считывания так, что он будет падать на изделие почти при нормальном падении. Под почти нормальным падением подразумевается ±5, 10 или 20 градусов. В качестве альтернативы, пучок будет направляться так, чтобы обладать наклонным падением на изделия. Это обычно будет оказывать отрицательное влияние в случае, когда пучок подвергается сканированию по изделию.
Также отмечено, что в считывателях, описанных в подробном описании, детекторная подсистема скомпонована в пределах отражения, чтобы детектировать излучение, обратнорассеиваемое из пространства считывания. Однако, если изделие является прозрачным, детекторы могли бы компоноваться в пределах пропускания.
В одной группе вариантов осуществления модуль сбора и обработки данных выполнен с возможностью дополнительного анализа измерительных точек, чтобы идентифицировать сигнальные составляющие, которые придерживаются предопределенного протокола кодирования, и чтобы формировать из них предопределенную характеристическую сигнатуру. Характеристика предопределенного протокола кодирования предусмотрена являющейся основанной на контрастности, то есть интенсивности сигнала рассеяния, в большинстве вариантов осуществления. В частности, может использоваться традиционный штрихкодовый протокол, при котором штрихкод напечатан или иным образом нанесен на изделие в виде полос, в случае (одномерного) 1D-штрихкода или более сложной конфигурации для (двумерного) 2D-штрихкода. В этом случае модуль сбора и обработки данных может быть выполнен с возможностью осуществления сравнения, чтобы устанавливать, совпадает ли предопределенная характеристическая сигнатура с характеристической сигнатурой, полученной посредством считывания изделия, которое было помещено в пространство считывания. Следовательно, изделие, такое как образец бумаги, может маркироваться, чтобы нести обозначенный в цифровой форме вариант своей собственной характеристической сигнатуры, такой как штрихкод. Предопределенная характеристическая сигнатура должна получаться из характеристической сигнатуры изделия с помощью односторонней функции, например, использующей алгоритм асимметричного шифрования, который требует личного ключа. Это действует в качестве препятствия неуполномоченной третьей стороне со считывателем, которая желает считывать фальшивые изделия и печатать на них этикетку, которая представляет снимок сканирования считывателя согласно схеме шифрования. В типичном случае этикетка со штрихкодом или другая маркировка могла бы представлять криптограмму, поддающуюся расшифровке открытым ключом, а личный ключ мог бы резервироваться для уполномоченной стороны с машиной для наклейки ярлыков.
Может быть предусмотрена база данных сигнатур, таких как предопределенная характеристическая сигнатура или сигнатура класса. Модуль сбора и обработки данных может быть выполнен с возможностью осуществления доступа к базе данных и выполнения сравнения, чтобы устанавливать, содержит ли база данных совпадение с характеристической сигнатурой или сигнатурой класса изделия, которое было помещено в пространство считывания. База данных может быть частью запоминающего устройства большой емкости, которое формирует часть устройства-считывателя, или может быть в удаленном местоположении и подвергаться доступу считывателем через линию дистанционной связи. Линия дистанционной связи может принимать любую традиционную форму, включая беспроводные и стационарные линии связи, и может быть доступна по сети Интернет. Модуль сбора и обработки данных может быть выполнен с возможностью, по меньшей мере, в некоторых рабочих режимах предоставления характеристической сигнатуре или сигнатуре класса возможности добавляться в базу данных, если никакого совпадения не обнаружено. Эта возможность обычно будет предоставляться только уполномоченным лицам по очевидным причинам.
При использовании базы данных, в дополнение к сохранению сигнатур, также может быть полезным ассоциировать сигнатуры в базе данных с другой информацией об изделии, такой как отсканированная копия документа, фотография владельца паспорта, подробности о месте и времени производства продукта или подробности о планируемых пунктах назначения продаж продаваемых товаров (например, для отслеживания серого импорта).
Устройства-считыватели, как описанные выше, могут использоваться для того, чтобы заполнять базу данных характеристическими сигнатурами посредством считывания непрерывного ряда изделий, например, на производственной линии, и/или для того, чтобы впоследствии проверять подлинность изделия, например, при использовании в полевых условиях.
Изобретение предоставляет возможность идентификации изделий, изготовленных из многообразия разных видов в целом плотных волокнистых листовых материалов, таких как бумага и картон.
Различные варианты изобретения предоставляют возможность удостовериться в том, было ли изделие подделано. Это возможно, если адгезивным образом присоединенные прозрачные пленки, такие как липкая лента, покрывают сканируемую область, используемую для создания характеристической сигнатуры. Если лента должна быть удалена для тайной подделки изделия, например для вскрытия упаковочной коробки, может быть выбрано соединение склеиванием, так что оно будет неизбежно изменять лежащую в основе поверхность. Следовательно, даже если похожая лента используется для вторичного запечатывания коробки, это будет обнаруживаемым.
Под бумагой или картоном авторы имеют в виду любое изделие, сделанное с использованием обработки древесной массы. Бумага или картон могут обрабатываться покрытиями или пропитками либо покрываться прозрачным материалом, таким как целлофан. Если долговременная стабильность поверхности вызывает особое беспокойство, бумага может обрабатываться, например, акриловым напыленным прозрачным покрытием.
Изобретение считается особенно полезным для бумажных или картонных изделий из следующего перечня примеров:
1) ценные бумаги, такие как паевые сертификаты, банкноты, транспортные накладные, паспорта, межправительственные соглашения, уставы, водительские права, свидетельства техосмотра транспортных средств, любые доверенности;
2) любой документ для целей мониторинга или отслеживания, например конверты для почтовой системы;
3) упаковка для продаваемой продукции;
4) марочные этикетки на дизайнерских товарах, таких как предметы моды;
5) упаковка косметики, лекарственных препаратов или другой продукции.
Изобретение также предоставляет возможность идентификации изделий многообразия разных типов, в том числе упаковки, документов и одежды. Изделие может содержаться в упаковке, а упаковка, в необязательном порядке, может быть запечатана защищенным от ненадлежащего обращения образом. В качестве альтернативы, упаковка может быть приложением к изделию, таким как этикетка, закрепленная соединителем, которая не может быть оторвана, не будучи заметно поврежденной. Это может быть особенно полезным, например, для фармацевтической продукции, косметических товаров и парфюмерии, а также запасных частей для летательного аппарата либо наземных или водных транспортных средств.
Таким образом, характеристическая сигнатура или сигнатура класса могут быть, в некоторых случаях, получены из чего-то дополнительного по отношению к продаваемому продукту, такого как его упаковка, а в других случаях получены по самому объекту, например, из поверхностной структуры документа или продаваемого продукта. Изобретение может найти много практических применений, например, для контроля импорта серого рынка или контрафакции. Для таких применений портативные считыватели могли бы использоваться таможенниками или торговыми инспекторами.
Характеристическая сигнатура или сигнатура класса могут кодироваться в качестве цифровой сигнатуры для большинства применений. Типичные размеры цифровым образом кодированной сигнатуры при современной технологии могли бы быть в диапазоне от 200 бит до 8 Кбит, причем в настоящее время предпочтительно иметь размер цифровой сигнатуры приблизительно в 2 килобита для высокой степени защиты. Сигнатура класса может кодироваться с использованием меньшего количества битов, чем характеристическая сигнатура, так как она предусматривает менее защищенный механизм для идентификации изделий. Кодированные в цифровой форме сигнатуры сами по себе могут кодироваться с использованием алгоритма шифрования.
КРАТКОЕ ОПИСАНИЕ ЧЕРТЕЖЕЙ
Для лучшего понимания изобретения и чтобы показать, каким образом вышеупомянутое может быть осуществлено, далее будет сделана ссылка, в качестве примера, на прилагаемые чертежи, среди которых:
фиг.1 – схематичный вид сбоку устройства-считывателя, воплощающего изобретение;
фиг.2 – схематичный вид в перспективе, показывающий, каким образом пространство считывания устройства-считывателя подвергается выборочному контролю n раз посредством сканирования по нему вытянутым пучком;
фиг.3 – структурная схема функциональных компонентов устройства-считывателя;
фиг.4 – вид в перспективе варианта осуществления устройства-считывателя, показывающий его внешнюю форму;
фиг.5 – схематичный вид в перспективе альтернативного варианта осуществления устройства-считывателя;
фиг.6А схематично показывает в боковой проекции альтернативную компоновку получения изображения для считывателя, воплощающего изобретение на основании улавливания направленного света и общей подсветки;
фиг.6В схематично показывает в горизонтальной проекции оптическую зону охвата дополнительной альтернативной компоновки получения изображения для считывателя, воплощающего изобретение, в котором направленные детекторы используются в сочетании с локализованной подсветкой вытянутым пучком;
фиг.7А – набор измерительных точек, взятых из одиночного фотодетектора после линеаризации сигналом кодера;
фиг.7B – FT-набора измерительных точек, показанного на фиг.7А;
фиг.8A показывает, каким образом амплитуда пика FT изменяется по мере поворачивания бумаги относительно направления сканирования;
фиг.8B показывает, каким образом длина волны самого интенсивного пика FT изменяется в зависимости от угла по мере поворачивания бумаги относительно направления сканирования;
фиг.9 – блок-схема последовательности операций способа, показывающая, каким образом сигнатура класса измеряется по изделию и подвергается проверке подлинности или записывается;
фиг.10А – исходные данные из одиночного фотодетектора, использующего считыватель по фиг.1, которые состоят из сигнала фотодетектора и сигнала кодера;
фиг.10В – данные фотодетектора по фиг.10А после линеаризации сигналом кодера и усреднения амплитуды;
фиг.10С – данные по фиг.10В после оцифровки по среднему уровню;
фиг.11 – блок-схема последовательности операций способа, показывающая, каким образом характеристическая сигнатура изделия формируется по снимку сканирования;
фиг.12 – блок-схема последовательности операций способа, показывающая, каким образом сигнатура изделия, полученная из снимка сканирования, может быть сверена с базой данных сигнатур;
фиг.13А – поворотный сканер для использования в устройстве вращательного сканирования для определения сигнатуры класса по изделию, сделанному из бумаги или картона;
фиг.13В – крышка для установки на корпус поворотного сканера, показанного на фиг.13А;
фиг.14А и 14В вместе иллюстрируют блок-схему последовательности операций способа, показывающую, каким образом сигнатура класса измеряется с изделия с использованием вращательного сканирования и подвергается проверке подлинности или записывается;
фиг.15 – блок-схема последовательности операций способа, показывающая, каким образом работает устройство согласно варианту осуществления изобретения;
фиг. с 16А по 16G – различные сделанные на заказ сетчатые экраны, воплощающие изобретение.
ПОДРОБНОЕ ОПИСАНИЕ
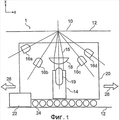
Фиг.1 – схематичный вид сбоку устройства-считывателя 1, воплощающего изобретение. Оптическое устройство-считыватель 1 предназначено для измерения сигнатуры класса и характеристической сигнатуры с изделия (не показано), расположенного в пространстве считывания устройства. Пространство считывания образовано проемом 10 считывания, который является прорезью в корпусе 12. Корпус 12 вмещает основные оптические компоненты устройства. Прорезь обладает большей своей протяженностью в направлении х (смотрите координатные оси на чертеже). Основными оптическими компонентами являются лазерный источник 14 для формирования когерентного лазерного пучка 15 и детекторная подсистема 16, составленная из большого количества k элементов фотодетекторов, где k=4 в этом примере, помеченных 16а, 16b, 16с и 16d. Лазерный пучок 15 фокусируется цилиндрической линзой 18 в вытянутый фокус, тянущийся в направлении y (перпендикулярном плоскости чертежа) и лежащий в плоскости проема считывания. В примерном прототипном считывателе вытянутый фокус имеет размер большой оси около 2 мм и размер малой оси около 40 микрометров. Эти оптические компоненты содержатся в сборочном узле 20. В проиллюстрированном варианте осуществления четыре элемента 16а d детекторов рассредоточены по каждой стороне оси пучка смещенными под разными углами во встречно-гребенчатой компоновке от оси пучка, чтобы улавливать свет, рассеянный при отражении от изделия, находящегося в пространстве считывания. В примерном прототипе углы смещения составляют -70, -20, +30 и +50 градусов. Углы с каждой стороны от оси пучка выбраны так, чтобы не быть одинаковыми, с тем, чтобы измерительные точки, которые они собирают, были независимыми настолько, насколько возможно. Все четыре детекторных элемента скомпонованы на общей плоскости. Детекторные элементы 16а d детектируют свет, рассеянный с помещенного на корпус изделия, когда когерентный пучок рассеивается из пространства считывания. Как проиллюстрировано, источник установлен, чтобы направлять лазерный пучок 15 с его осью пучка в направлении z, так что он будет ударять в изделие в проеме считывания при нормальном падении.
Вообще, желательно, чтобы глубина фокуса была большой с тем, чтобы любые отличия в позиционировании изделия в направлении z не приводили к существенным изменениям в размере пучка в плоскости проема считывания. В примерном прототипе глубина фокуса составляет приблизительно 0,5 мм, каковая является достаточно большой, чтобы давать хорошие результаты.
Параметры глубины фокуса, числовой апертуры и рабочего расстояния являются независимыми, приводя к хорошо известному компромиссу между размером пятна и глубиной фокуса.
Приводной электродвигатель 22 скомпонован в корпусе 12 для обеспечения прямолинейного сканирующего движения оптического сборочного узла 20 с помощью подходящих подшипников 24 или другого средства, как указано стрелками 26. Приводной электродвигатель 22 таким образом служит для линейного перемещения когерентного пучка в направлении х по проему 10 считывания, так что пучок 15 подвергается сканированию в направлении, перпендикулярном большой оси вытянутого фокуса. Так как когерентному пучку 15 заданы размеры в его фокусе, чтобы обладать поперечным сечением в плоскости xz (плоскости чертежа), которое является гораздо меньшим, чем проекция пространства считывания на плоскость под прямым углом к когерентному пучку, то есть в плоскости стенки корпуса, в которой установлен проем считывания, проход при сканировании приводного электродвигателя 22 будет заставлять когерентный пучок 15 осуществлять выборочный контроль многих разных частей пространства считывания под действием приводного электродвигателя 22.
Фиг.2 включена в состав для иллюстрации выборочного контроля, обеспечиваемого сканированием, и является схематичным видом в перспективе, показывающим, каким образом область считывания подвергается выборочному контролю n раз посредством сканирования по ней вытянутым пучком. Положения выборочного контроля сфокусированного лазерного пучка, в то время как он подвергается сканированию по проему считывания под действием привода, изображены смежными прямоугольниками, пронумерованными с 1 по n, которые осуществляют выборочный контроль области длиной в ‘l’ и шириной в ‘w‘. Сбор данных выполняется с тем, чтобы улавливать сигнал в каждом из n положений, в то время как привод проходит при сканировании вдоль прорези. Следовательно, накапливается последовательность из k×n измерительных точек, которые относятся к рассеянию с n разных проиллюстрированных частей пространства считывания. Каждый детектор k таким образом получает ассоциированную последовательность измерительных точек, полученных в разные моменты времени, в то время как когерентный пучок сканирует пространство считывания.
Также схематично проиллюстрированы метки 28 расстояния, сформированные на нижней стороне корпуса 12, прилегающей к прорези 10 вдоль направления х, то есть направления сканирования. Примерный интервал между метками в направлении х составляет 300 микрометров. Эти метки подвергаются выборке срезом вытянутого фокуса и предусматривают линеаризацию данных в направлении х, как более подробно дополнительно описано ниже. Измерение выполняется дополнительным фототранзистором 19, который является направленным детектором, выполненным с возможностью улавливать свет из области меток 28, прилегающей к прорези.
В альтернативном варианте осуществления, метки 28 считываются специализированным модулем 19 излучателя/детектора кодера, который является частью оптического сборочного узла 20. Модули излучателя/детектора кодера используются в считывателях штрихкодов. Например, авторами использовался модуль Agilent HEDS-1500, который основан на фокусированном светоизлучающем диоде (СИД, LED) и фотодетекторе. Сигнал модуля подается в аналогоцифровой преобразователь (АЦП, ADC) программируемого контроллера прерываний (PIC) в качестве добавочного детекторного канала.
В типичном случае, отпечатанные признаки, предусмотренные на бумаге во время производственного процесса, имеют периодичность между приблизительно от 200 мкм до 600 мкм. Выборка измерительных точек таким образом должна производиться по меньшей мере каждые 100 мкм или менее для того, чтобы детектировать наименьшие, по возможности, печатные признаки, которые могут присутствовать. В одном из режимов работы устройство может выполнять быстрое, но относительно грубое начальное сканирование, чтобы получать одну измерительную точку каждые 90 мкм или около этого для того, чтобы наполнять набор измерительных точек для k детекторов. Один или более наборов измерительных точек затем могут анализироваться с использованием технологий, описанных ниже, чтобы определять сигнатуру класса. Если совпадение с сигнатурой класса обнаружено, устройство затем может пытаться измерять уникальную характеристическую сигнатуру отдельного изделия.
Позднее, или в качестве альтернативы, может быть выполнено сканирование с более высокой разрешающей способностью. Это сканирование может использоваться для измерения характеристической сигнатуры или как сигнатуры класса, так и характеристической сигнатуры. Например, при примерном малом размере фокуса в 40 микрометров и длине сканирования в направлении х в 2 см, n=500, предоставляя 2000 измерительных точек при k=4. Типичным диапазоном значений для k×n, в зависимости от требуемого уровня защиты, типа изделия, количества детекторных каналов ‘k‘ и других факторов, предполагается 100<k×n<10000. Также было обнаружено, что увеличение количества детекторов k также улучшает нечувствительность измерений к разрушению поверхности изделия вследствие обращения, печатания и т.п. На практике, с прототипами, используемыми до настоящего времени, эмпирическое правило состоит в том, что общим количеством независимых измерительных точек, то есть k×n, должно быть 500 или более, чтобы давать приемлемо высокий уровень защиты в случае широкого многообразия поверхностей.
Фиг.3 – структурная схема функциональных компонентов устройства-считывателя. Электродвигатель 22 подключен к программируемому контроллеру прерываний (PIC) 30 через электрическую линию 23 связи. Детекторы 16a d детекторного модуля 16 присоединены через соответственные линии 17a d электрических соединений к аналогоцифровому преобразователю (АЦП), который является частью PIC 30. Подобная линия 21 электрического соединения присоединяет детектор 19 считывания метки к PIC 30. Будет понятно, что оптические или беспроводные линии связи могут использоваться взамен или в сочетании с электрическими линиями связи. PIC 30 сопряжен с персональным компьютером (ПК, РС) 34 через последовательное соединение 32. ПК 34 может быть настольным компьютером или переносным компьютером. В качестве альтернативы ПК, могут использоваться другие интеллектуальные устройства, например персональный цифровой секретарь (PDA) или специализированные электронные узлы. PIC 30 и ПК 34 вместе формируют модуль 36 сбора и обработки данных для определения сигнатуры изделия по набору измерительных точек, собранных детекторами 16a d. ПК 34 имеет доступ к базе 40 данных (dB) через интерфейсное соединение 38. База 40 данных может находиться резидентно на ПК 34, в памяти, или храниться на его накопителе. В качестве альтернативы, база 40 данных может быть удаленной от ПК 34 и доступной посредством беспроводной связи, например, с использованием служб мобильной телефонии или беспроводной локальной сети (LAN) в сочетании с сетью Интернет. Более того, база 40 данных может храниться локально на ПК 34, но периодически подгружаться из удаленного источника.
База 40 данных имеет в своем составе библиотеку предварительно записанных сигнатур класса и характеристических сигнатур. В варианте по этому варианту осуществления база 40 данных содержит только библиотеку предопределенных сигнатур класса. ПК 34 запрограммирован так, что при использовании он осуществляет доступ к базе 40 данных и выполняет сравнение, чтобы установить, содержит ли база 40 данных совпадение для сигнатуры изделия, которое было помещено в пространство считывания. ПК 34 также может быть запрограммирован, чтобы обеспечивать возможность добавления сигнатуры в базу данных, если совпадение не найдено. Этот режим использования зарезервирован для использования уполномоченными пользователями и может быть исключен из систем, которые должны использоваться в полевых условиях исключительно для целей проверки.
Фиг.4 – вид в перспективе устройства-считывателя 1, показывающий его внешнюю форму. Корпус 12 и щелевой проем 10 считывания наглядны. Средство 42 физического размещения также видно и предусмотрено для позиционирования изделия заданной формы в фиксированном положении по отношению к проему 10 считывания. В проиллюстрированном примере средство 42 физического размещения выполнено в виде прямоугольного кронштейна, в котором может быть размещен угол документа или упаковочной коробки. Это гарантирует, что одна и та же часть изделия может располагаться в проеме 10 считывания всякий раз, когда изделию необходимо подвергнуться сканированию. Простой угловой кронштейн или его эквивалент достаточен для изделий с вполне определенным углом, таких как листы бумаги, паспорта, ID-карты и упаковочные коробки.
Автоподатчик документов мог бы быть предусмотрен, чтобы гарантировать, что расположение изделия было постоянным. Например, устройство могло бы придерживаться любого традиционного формата для сканеров документов, фотокопировальных устройств или систем управления документооборотом. Для упаковочных коробок альтернатива могла бы состоять в том, чтобы предоставить подходящее направляющее отверстие, например отверстие прямоугольного поперечного сечения для приема основания прямоугольной коробки или отверстие круглого поперечного сечения для приема основания трубчатой коробки (то есть цилиндрической коробки).
Средство 42 физического размещения предусмотрено в том случае, когда устройство-считыватель 1 проверяет как сигнатуры класса, так и характеристические сигнатуры. Однако этому признаку или его функциональному эквиваленту не требуется быть присутствующим в вариантах устройства-считывателя 1, которое выполняет только проверку сигнатур класса.
Фиг.5 – схематичный вид в перспективе альтернативного варианта осуществления, показывающий устройство-считыватель 1′, предназначенное для контроля партий изделий. Считыватель основан на конвейерной ленте 44, на которой могут помещаться изделия в упаковке, только одно изделие 5 проиллюстрировано для простоты представления. Область 10′ считывания на изделии 5 сканируется неподвижным лазерным пучком 15, в то время как изделие 5 проходит по конвейерной ленте 44. Лазерный пучок 15 формируется лазерным источником 14, скомпонованным неподвижным в положении рядом с конвейерной лентой 44. Лазерный источник 14 содержит неразъемную линзу фокусирования пучка (не показана) для формирования подобного карандашу почти коллимированного пучка, который перемещается в направлении z (то есть горизонтально полу), чтобы проходить над конвейерной лентой 44 на высоте ‘h‘, тем самым пересекаясь с изделием 5 на высоте ‘h‘ для сканирования по области 10’ считывания. Поперечное сечение пучка может быть пятном, то есть круговым (например, формируемым с помощью неразъемной сферической линзы), или линией, тянущейся в направлении y (например, формируемой с помощью неразъемной цилиндрической линзы). Хотя показано только одно изделие, будет принято во внимание, что подряд может перемещаться и сканироваться поток подобных изделий, в то время как они проходят через пучок 15.
Функциональные компоненты основанного на конвейере устройства-считывателя подобны таковым у автономного устройства-считывателя, дополнительно описанного выше. Единственное отличие по существу состоит в том, что перемещается изделие, а не лазерный пучок, для того, чтобы создавать требуемое относительное перемещение между сканирующим пучком и изделием.
Задумано, что основанный на конвейере считыватель может использоваться на производственной линии или в среде товарного склада для заполнения базы данных сигнатурами класса/характеристик посредством считывания непрерывного ряда изделий. В качестве контроля, каждое изделие может быть вновь просканировано для удостоверения в том, что записанная сигнатура может быть верифицирована. Это могло бы делаться с помощью двух систем, работающих последовательно, или одной системы, через которую каждое изделие проходит дважды. Сканирование партии также могло бы применяться в терминале для розничной торговли (POS) или с использованием устройства-считывателя, которое основано на компонентах оборудования POS.
Вышеописанные варианты осуществления основаны на локализованном возбуждении когерентным световым пучком небольшого поперечного сечения в сочетании с детекторами, которые принимают световой сигнал, рассеянный по гораздо большей области, которая включает в себя локальную область возбуждения. Возможно сконструировать функционально эквивалентную оптическую систему, которая взамен основана на направленных детекторах, которые улавливают свет только из локализованных областей, в сочетании с возбуждением гораздо большей области.
Фиг.6А схематично показывает в боковой проекции такую формирующую изображение компоновку для считывателя, воплощающего изобретение, который основан на направленном улавливании света и общей подсветке когерентным пучком. Матричный детектор 48 скомпонован в сочетании с матрицей 46 цилиндрических микролинз, так что смежные полосы детекторной матрицы 48 улавливают свет только из соответствующих смежных полос в пространстве считывания. Со ссылкой на фиг.2, каждая цилиндрическая микролинза выполнена с возможностью улавливать световой сигнал с одной из n полос выборочного контроля. Когерентная подсветка может происходить с общей подсветкой всего пространства считывания (не показано на иллюстрации).
Гибридная система с сочетанием локализованного возбуждения и локализованного детектирования также может быть полезной в некоторых случаях.
Фиг.6В схематично показывает в горизонтальной проекции оптическую зону охвата такой гибридной компоновки формирования изображения для считывателя, воплощающего изобретение, в котором направленные детекторы используются в сочетании с локализованной подсветкой вытянутым пучком. Этот вариант осуществления может считаться развитием варианта осуществления по фиг.1, в котором предусмотрены направленные детекторы. В этом варианте осуществления предоставлены три гребенки направленных детекторов, каждая гребенка является нацеленной для улавливания света из трех разных участков вдоль полосы возбуждения ‘l×w‘. Области улавливания с плоскости пространства считывания показаны пунктирными кругами, так что первая гребенка, например 2, детекторов улавливает световой сигнал с верхней части полосы возбуждения, вторая гребенка детекторов улавливает световой сигнал со средней части полосы возбуждения, а третья гребенка детекторов улавливает свет с нижней части полосы возбуждения. Каждая гребенка детекторов показана содержащей круговую область сбора диаметром приблизительно l/m, где m – количество подразделений полосы возбуждения, причем m=3 в настоящем примере. Таким образом, количество независимых измерительных точек может быть увеличено в соответствии с коэффициентом m для заданной длины l сканирования. Как дополнительно описано ниже, одна или более разных гребенок направленных детекторов могут использоваться для цели, иной, чем улавливание светового сигнала, который выборочно контролирует спекл-структуру. Например, одна из гребенок может использоваться для улавливания светового сигнала способом, оптимизированным для сканирования штрихкодов. Если дело обстоит именно так, для этой гребенки, в целом, будет достаточно содержать только один детектор, поскольку не будет преимущества получения взаимных корреляций при сканировании только для противопоставления.
Имея в распоряжении описанные принципиальные структурные компоненты и функциональные компоненты различных устройств-считывателей, подходящих для осуществления изобретения, далее описана математическая обработка, используемая для определения сигнатур класса и характеристических сигнатур. Будет понятно, что эта математическая обработка реализована по большей части в компьютерной программе, которая работает на ПК 34, с некоторыми элементами, подчиненными PIC 30.
Фиг.7А показывает данные, набор измерительных точек, взятых из одиночного фотодетектора 16a d считывателя по фиг.1 после линеаризации сигналом кодера. Количество точек по оси x соответствует измерительным точкам, выбранным со стандартного листа A4 бумаги, размещенного в пространстве считывания и отсканированного когерентным пучком.
Фиг.7B показывает FT линеаризованного набора измерительных точек, показанных на фиг.7А.
Несмотря на то что измерительные точки на фиг.7А кажутся совершенно случайными, на фиг.7В отмечается интенсивный пик при длине волны в 422 мкм. Мы получили одну и ту же сигнатуру класса в разных местах на поверхности листа бумаги и для разных листов, взятых из одной и той же стопки бумаги. Подобное сканирование и FT, использующие лист бумаги от разных производителей, давали пиковую длину волны в 287 мкм, показывая, каким образом пиковая длина волны может использоваться для предоставления сигнатуры класса, которая может проводить различие между бумагами, сделанными на разных сетках.
Длина волны пика FT найдена зависящей от направления, в котором бумага ориентирована по отношению к направлению сканирования когерентного пучка. Например, первый лист бумаги давал пиковую длину волны в 422 мкм при сканировании в «портретной» ориентации и пиковую длину волны в 274 мкм при сканировании в «альбомной» ориентации. Дополнительно, одна сторона бумаги часто дает более сильный пик FT, чем другая сторона. Авторы полагают это обусловленным более интенсивными поверхностными неровностями, возникающими на стороне бумаги, которая была в соприкосновении с сеткой во время изготовления бумаги.
Авторами были выполнены испытания на прочность над бумагой для того, чтобы посмотреть, заставляют ли сигнатуру изменяться или становиться нечитаемой естественное и умышленное ухудшение и повреждение по отношению к бумаге. В частности, авторы сильно измяли бумагу и истерли ее поверхность. Никакие сильные изменения не обнаруживались в сигнатуре класса, хотя больший шум появлялся на краю более низкой длины волны спектров. Мы также подвергли бумагу пару высокого давления в медицинском автоклаве. Несмотря на то что пик FT был все еще ясно видимым после автоклавной обработки, было выявлено уменьшение его длины волны на 1,7%, с 426 мкм до 418 мкм. Авторы приписывают это стягиванию бумажных волокон после просушивания от пара. Визуальный осмотр бумаги показал, что она сильно была испорчена в автоклаве. Однако эта степень повреждения не предполагается для нормальных применений.
Фиг.8A показывает, каким образом амплитуда пика FT изменяется по мере поворачивания бумаги вплоть до 90° относительно направления сканирования. Вмятины бумаги предполагаются образующими прямоугольную сетку размера в 408 мкм×274 мкм. При 0° направление сканирования пучка происходит под прямым углом к расположенным с периодическими промежутками в 408 мкм сетчатым вмятинам. Мощные сигналы возникают приблизительно при 0°, 45° и 90°. Сигнал, соответствующий 90°, возникает, когда направление сканирования является перпендикулярным к расположенным с периодическими промежутками в 274 мкм сетчатым вмятинам.
Фиг.8B показывает, каким образом длина волны самого интенсивного пика FT изменяется в зависимости от угла, на который бумага повернута относительно направления сканирования. Длина волны самого интенсивного пика FT является почти совершенно неизменной, приблизительно при 408 мкм, когда угол поворачивается с 0° до приблизительно 10°. Авторы находят, что пик в FT, соответствующем сигнатуре класса, является лучше всего детектируемым, когда направление сканирования лазера находится в пределах приблизительно ±10° от длинной оси рифлений поверхности, происходящих от производственной сетки. Это происходит потому, что проецирование вытянутого лазерного пятна (приблизительно 2 мм длиной) становится сопоставимым с интервалами между рифлениями, как только угол поворота превышает приблизительно 10°.
Фиг.9 – блок-схема последовательности операций способа, показывающая, каким образом сигнатура класса измеряется по изделию и подвергается проверке подлинности или записывается.
Этапом А1 является начальный этап, во время которого запускается электродвигатель сканирования. Электродвигатель сканирования запрограммирован для движения при частоте вращения .
Этапом A2 является этап сбора данных, во время которого оптическая интенсивность в каждом из фотодетекторов собирается приблизительно каждую 1 мс, в течение всей продолжительности сканирования. Временным интервалом между точками выборки является t. Одновременно в качестве функции времени получается сигнал кодера. Замечено, что если электродвигатель сканирования обладает высокой степенью точности линеаризации (например, которую мог бы иметь шаговый двигатель), то выполнение сбора в отношении сигнала кодера не требуется. Данные собираются посредством PIC 30, снимающего данные с АЦП 31. Измерительные точки передаются в реальном времени из PIC 30 в ПК 34. В качестве альтернативы, измерительные точки могли бы сохраняться в памяти в PIC 30, а затем передаваться в ПК 34 по окончании сканирования. Количество n измерительных точек на детекторный канал, накапливаемых при каждом сканировании, в последующем определено как N. Кроме того, значение ak(i) определено как i-е сохраненное значение интенсивности из фотодетектора k, где i пробегает от 1 до N. Примеры двух наборов исходных данных, полученных из такого снимка сканирования, проиллюстрированы на фиг.10А.
Этап А3 является этапом возврата головки сканирования. Электродвигатель сканирования реверсируется для повторной установки механизма сканирования в его начальное положение при подготовке для следующей операции сканирования.
Этап А4 является необязательным этапом линеаризации. Если он выполняется, то этот этап применяет численную интерполяцию для локального расширения и сжатия ak(i), так что переходы кодера являются равноотстоящими во времени. Это вносит поправки в набор данных измерительных точек касательно локальных изменений в частоте вращения электродвигателя. Этот этап выполняется в ПК 34 под управлением компьютерной программы.
Этап А5 является этапом FT, на котором рассчитывается амплитудный спектр Ak(i) FT преобразования Фурье по ak(i). Этап выполняется в ПК 34 под управлением компьютерной программы посредством применения быстрого преобразования Фурье (БПФ, FFT) к отдельному из k наборов измерительных точек. В необязательном порядке, усредненный амплитудный спектр FT может рассчитываться по соответственному из k отдельных амплитудных спектров.
Этап А6 является этапом идентификации, на котором определяется значение i, которое максимизирует Ak(i), исключая i=0 (DC-составляющую (постоянного тока)). Этот индекс, ipeak, идентифицируется в ПК 34 под управлением компьютерной программы.
Этап А7 является этапом расчета, на котором длина волны, ассоциированная с ipeak, определяется в ПК 34 согласно равенству peak=2 /(ipeak×v t). Пиковая длина peak волны затем используется в качестве сигнатуры класса.
Этап А8 является точкой принятия решения. Если изделие является обладающим записываемой сигнатурой класса, следующим этапом будет этап А9. Тогда как, если подлинность изделия подтверждается измерением его сигнатуры класса, следующим этапом будет этап А10. ПК 34 запрограммирован определять, какой этап следует за этапом А8.
Этап А9 является этапом сохранения сигнатуры класса. Запись, содержащая значение peak сигнатуры класса, ассоциированное с набором признаков бумаги, сохраняется посредством ПК 34 в базе 40 данных. База 40 данных может быть расположена удаленно от устройства 1 оптического считывателя, и запись может шифроваться защищенным образом перед передачей между ними.
Этап А10 является этапом сверки сигнатуры класса. ПК 34 сравнивает peak со всеми записями в базе 40 данных до тех пор, пока не обнаруживается совпадение с точностью до предопределенной допустимой погрешности. ПК 34 затем отображает описание составляющей записи для совпадающего типа бумаги, если какой-нибудь найден. Если никакая совпадающая запись не найдена, ПК 34 может, в необязательном порядке, попытаться расширить поиск на другие базы данных. В необязательном порядке, может отображаться сообщение, утверждающее, что в распоряжении нет никакого совпадения. В необязательном порядке, независимо от того, обнаружено ли или нет какое-нибудь совпадение класса, ПК 34 затем может пытаться выполнять анализ, чтобы определить, совпадает ли характеристическая сигнатура с изделия с предопределенной характеристической сигнатурой, для того, чтобы попытаться уникально идентифицировать изделие.
Фиг.10А показывает исходные данные из одного из фотодетекторов 16а d считывателя по фиг.1. График изображает интенсивность I сигнала в условных единицах (у.е.) в зависимости от номера n точки (смотрите фиг.2). Более высокая кривая, колеблющаяся между I=0-250, является данными исходного сигнала из фотодетектора 16а. Более низкая кривая является сигналом кодера, считанным с меток 28 (смотрите фиг.2), которая находится приблизительно при I=50.
Фиг.10В показывает данные фотодетектора по фиг.10А после линеаризации сигналом кодера. В дополнение, среднее значение интенсивности было вычислено и вычтено из значений интенсивности. Таким образом, значения обработанных данных колеблются выше и ниже нуля.
Фиг.10С показывает данные по фиг.10В после оцифровки для предоставления характеристической сигнатуры. Принятой схемой оцифровки является простая бинарная, в которой любые положительные значения интенсивности устанавливаются в значение 1, а любые отрицательные значения интенсивности устанавливаются в ноль. Будет принято во внимание, что взамен может использоваться оцифровка многими состояниями или любой из многих других возможных подходов оцифровки. Основной важный признак оцифровки состоит единственно в том, что согласованно применяется одна и та же схема оцифровки.
Фиг.11 – блок-схема последовательности операций способа, показывающая, каким образом характеристическая сигнатура изделия формируется по снимку сканирования.
Этапом S1 является этап сбора данных, во время которого оптическая интенсивность в каждом из фотодетекторов собирается приблизительно каждую 1 мс, в течение всей длительности сканирования. Одновременно, как функция времени получается сигнал кодера. Замечено, что если электродвигатель сканирования обладает высокой степенью точности линеаризации (например, которую мог бы иметь шаговый двигатель), то линеаризация данных может не потребоваться. Данные собираются посредством PIC 30, снимающего данные с АЦП 31. Измерительные точки передаются в реальном времени из PIC 30 в ПК 34. В качестве альтернативы, измерительные точки могли бы сохраняться в памяти в PIC 30, а затем передаваться в ПК 34 по окончании сканирования. Количество n измерительных точек на детекторный канал, накапливаемых при каждом сканировании, в последующем определено как N. Кроме того, значение ak(i) определено как i-е сохраненное значение интенсивности из фотодетектора k, где i пробегает от 1 до N. Примеры двух наборов исходных данных, полученных из такого снимка сканирования, проиллюстрированы на фиг.10А.
Этап S2 использует численную интерполяцию для локального расширения и сжатия ak(i), так что переходы кодера являются равноотстоящими во времени. Это вводит поправку на локальные изменения в частоте вращения электродвигателя. Этот этап выполняется в ПК 34 компьютерной программой.
Этап S3 является необязательным этапом. Если он выполняется, то этот этап численно дифференцирует данные по времени. Также может быть желательным применять к данным функцию слабого сглаживания. Дифференцирование может быть полезным для высокоструктурированных поверхностей, так как служит для ослабления некоррелированных вкладов от сигнала, относительно коррелированных вкладов (спекла).
Этапом S4 является этап, на котором для каждого фотодетектора по N измерительным точкам берется среднее записанного сигнала. Среднее значение соответствует артефактному сигналу, упомянутому ранее. Для каждого фотодетектора это среднее значение вычитается из всех измерительных точек, так что данные распределяются вокруг нулевой интенсивности. Сделана ссылка на фиг.10В, которая показывает пример набора данных сканирования после линеаризации и вычитания вычисленного среднего значения.
Этап S5 оцифровывает аналоговые данные фотодетектора для вычисления цифровой сигнатуры, представляющей снимок сканирования. Цифровая сигнатура получается применением правила: ak(i)>0 отображаетcя в двоичную ‘1’, а ak(i)<=0 отображается в двоичный ‘0’. Набор оцифрованных данных определен как dk(i), где i пробегает от 1 до N. Сигнатура изделия преимущественно может включать в себя дополнительные составляющие в дополнение к оцифрованной сигнатуре данных интенсивности, только что описанной. Эти дополнительные необязательные составляющие сигнатуры описаны далее.
Этап S6 является необязательным этапом, на котором создается меньшая цифровая «эскизная» сигнатура. Это делается либо посредством совместного усреднения соседних групп из m показаний или более предпочтительно посредством отбора каждой c-й измерительной точки, где c является коэффициентом сжатия эскиза. Последнее является предпочтительным, поскольку усреднение может непропорционально усиливать шум. Идентичное правило оцифровки, используемое на этапе S5, затем применяется к уменьшенному набору данных. Оцифровка эскиза определена как tk(i), где i пробегает от 1 до N/c, а c является коэффициентом сжатия.
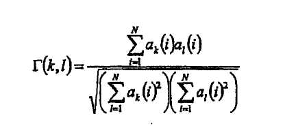
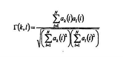
Этап S7 является необязательным этапом, применимым, когда существуют многочисленные детекторные каналы. Дополнительный компонент является компонентом взаимной корреляции, рассчитанной между данными интенсивности, полученными из разных фотодетекторов. При 2 каналах есть один возможный коэффициент взаимной корреляции, при 3 каналах – до 3, и при 4 каналах – до 6 и т.д. Коэффициенты взаимной корреляции полезны, поскольку было обнаружено, что они являются хорошими признаками типа материала. Они таким образом могут использоваться для подтверждения информации, полученной из анализа сигнатуры класса. Например, для конкретного типа документа, такого как паспорт заданного типа или бумага для лазерного принтера, коэффициенты взаимной корреляции всегда оказываются лежащими в предсказуемых диапазонах. Нормализованная взаимная корреляция может рассчитываться между ak(i) и al(i), где k l и k, l изменяются по всем номерам каналов фотодетекторов. Функция нормализованной взаимной корреляции определена как
.
Использование коэффициентов взаимной корреляции при обработке сверкой характеристических сигнатур дополнительно описано ниже.
Этап S8 является другим необязательным этапом, который должен вычислять простое среднее значение интенсивности, указывающее на распределение интенсивности сигнала. Таковое может быть общим средним значением каждого из средних значений для разных детекторов или средним значением для каждого детектора, таким как среднеквадратическое (rms) значение ak(i). Если детекторы скомпонованы парами с каждой стороны нормального падения, как в считывателе, описанном выше, может использоваться среднее значение для каждой пары детекторов. Было обнаружено, что значение интенсивности является хорошим грубым фильтром для типа материала, поскольку оно является простым показателем общей отражательной способности и шероховатости образца. Например, в качестве значения интенсивности можно использовать значение ненормированного rms после удаления среднего значения, то есть фона DC.
Данные сигнатуры, полученные из сканирования изделия, могут сравниваться с записями, удерживаемыми в базе данных сигнатур, для целей проверки и/или записываться в базу данных для добавления новой записи сигнатуры, чтобы расширять существующую базу данных.
Новая запись базы данных будет включать в себя цифровую сигнатуру, полученную на этапе S5, а также, в необязательном порядке, меньший вариант ее эскиза, полученный на этапе S6 для каждого канала фотодетектора, и коэффициенты взаимной корреляции, полученные на этапе S7, и среднее значение(я), полученное на этапе S8. В качестве альтернативы, эскизы могут сохраняться в отдельной базе данных по ним самим, оптимизированной для быстрого поиска, а оставшаяся часть данных (в том числе эскизов) – в основной базе данных.
Фиг.12 – блок-схема последовательности операций способа, показывающая, каким образом характеристическая сигнатура изделия, полученная из снимка сканирования, может быть сверена с базой данных предопределенных характеристических сигнатур.
В простой реализации, по базе данных мог бы просто осуществляться поиск для нахождения совпадения на основании полного набора данных характеристической сигнатуры. Однако для ускорения последовательности операций проверки последовательность операций предпочтительно использует меньшее контрольное изображение и предварительный отбор на основании вычисленных средних значений и коэффициентов взаимных корреляций, как описано далее.
Этапом V1 проверки является первый этап последовательности операций проверки, который состоит в том, чтобы сканировать изделие согласно последовательности операций, описанной выше, то есть, чтобы выполнять этапы с S1 по S8 сканирования.
Этап V2 проверки берет каждую из записей эскиза изображения и оценивает количество совпадающих битов между ней и tk(i+j), где j – битовый сдвиг, который изменяется, для компенсации ошибок в размещении сканируемой области. Определяется значение j, а затем запись эскиза изображения, которая дает максимальное количество совпадающих битов. Это является ‘попаданием’, используемым для дальнейшей обработки.
Этапом V3 проверки является необязательное испытание предварительного отбора, которое выполняется перед анализом полной цифровой сигнатуры, сохраненной для записи, по отношению к отсканированной цифровой сигнатуре. При этом предварительном отборе значения rms, полученные на этапе S8 сканирования, сравниваются с соответствующими сохраненными значениями в записи попадания базы данных. ‘Попадание’ считается неприемлемым для дальнейшей обработки, если соответственные средние значения не совпадают с точностью до предопределенного диапазона. Изделие, в таком случае, отбрасывается как неподтвержденное (то есть перейти на этап V6 проверки и выдать неудачный результат).
Этапом V4 проверки является дополнительное необязательное испытание предварительного отбора, которое выполняется перед анализом полной цифровой сигнатуры. При этом предварительном отборе коэффициенты взаимной корреляции, полученные на этапе S7 сканирования, сравниваются с соответствующими сохраненными значениями в записи попадания базы данных. ‘Попадание’ исключается из дальнейшей обработки, если соответственные коэффициенты взаимной корреляции не совпадают с точностью до предопределенного диапазона. Изделие, в таком случае, отбрасывается как неподтвержденное (то есть перейти на этап V6 проверки и выдать неудачный результат). В необязательном порядке, предварительный отбор может быть основан на результатах сигнатуры класса изделия.
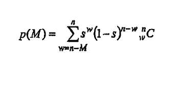
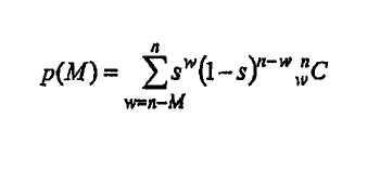
Этапом V5 проверки является основное сравнение между отсканированной цифровой сигнатурой, полученной на этапе S5 сканирования, и соответствующими сохраненными значениями в записи попадания базы данных. Полная сохраненная оцифрованная сигнатура dk db(i) разбивается на n блоков из q смежных битов по k детекторным каналам, то есть есть qk битов на блок. Типичным значением для q является 4, и типичным значением для k является 4, в типичном случае образуя 16 битов на блок. qk битов затем сопоставляются с qk соответствующими битами в сохраненной цифровой сигнатуре dk db(i+j). Если количество совпадающих битов в пределах блока является большим или равным некоторому предопределенному пороговому значению zthresh, то количество совпадающих блоков инкрементируется. Типичным значением для zthresh является 13. Это повторяется для всех n блоков. Вся эта последовательность операций повторяется для разных значений сдвига j для компенсации ошибок в размещении сканируемой области, пока не найдено максимальное количество совпадающих блоков. Определяя M в качестве максимального количества совпадающих блоков, рассчитывается вероятность случайного совпадения посредством оценки
,
где s – вероятность случайного совпадения между любыми двумя блоками (которая, в свою очередь, зависит от выбранного значения zthreshold), M – количество совпадающих блоков, а p(M) – вероятность случайного совпадения M или более блоков. Значение s определяется посредством сравнения блоков в пределах базы данных из снимков сканирования разных объектов из подобных материалов, например, некоторого количества снимков сканирования бумажных документов и т.п. Для случая q=4, j=4 и zthreshold=13 находим, что типичным значением s является 0,1. Если qk битов были полностью независимыми, то теория вероятностей дала бы s=0,01 для zthreshold=13. Тот факт, что авторы эмпирически находят более высокое значение, имеет место вследствие корреляций между k детекторными каналами, а также корреляций между смежными битами в блоке, обусловленных конечной шириной лазерного пятна. Типичное сканирование образца бумаги дает около 314 совпадающих блоков из суммарного количества в 510 блоков при сравнении с записью базы данных для такого образца бумаги. Установка M=314, n=510, s=0,1 для вышеприведенного равенства дает вероятность случайного совпадения в 10-177.
Этап V6 проверки выдает результат последовательности операций проверки. Результат вероятности, полученный на этапе V5 проверки, может использоваться при испытании приемки/браковки, в котором эталоном является предопределенное пороговое значение вероятности. В этом случае пороговое значение вероятности может устанавливаться в некоторый уровень системой или может быть переменным параметром, устанавливаемым в некоторый уровень, выбранный пользователем. В качестве альтернативы, результат вероятности может выдаваться пользователю в виде доверительного уровня, либо в исходном виде, в качестве самой вероятности, либо в модифицированном виде, с использованием относительных показателей (например, нет совпадения/недостаточное совпадение/хорошее совпадение/отличное совпадение) или другой классификации.
Будет принято во внимание, что возможны многие варианты. Например, взамен обработки коэффициентов взаимной корреляции в качестве компонентов предварительного отбора они могли бы обрабатываться вместе с данными оцифрованной интенсивности в качестве части основной сигнатуры. Например, коэффициенты взаимной корреляции/сигнатуры класса могли бы оцифровываться и добавляться к данным оцифрованной интенсивности. Коэффициенты взаимной корреляции/сигнатуры класса также могли бы оцифровываться сами по себе и использоваться для формирования битовых строк или тому подобного, которые затем могли бы отыскиваться таким же образом, как описанный выше для эскизов данных оцифрованной интенсивности для того, чтобы находить попадания.
Вышеприведенные примеры относились к линейному сканеру, в котором изделие сканируется только в одном направлении. В таком сканере необходимо, чтобы изделие или более точно печатный орнамент были выровнены управляемым и воспроизводимым образом. Далее описан поворотный сканер, который преодолевает эти ограничения посредством сканирования всех возможных направлений.
Фиг.13А показывает поворотный сканер 100 для использования в устройстве вращательного сканирования для определения сигнатуры класса по изделию, сделанному из бумаги или картона. Сканер 100 содержит головку 102 сканирования, с возможностью поворота смонтированную в корпусе 110. Головка 102 сканирования смонтирована на вращающемся рычаге 104, примыкающем к положению модуля 106 кодера. Вращающийся рычаг функционально связан с приводным электродвигателем 108.
Фиг.13В показывает крышку 120 для установки на корпус 110 поворотного сканера 100, показанного на фиг.13А. Крышка 120 содержит участок 122 плоской поверхности, содержащий дугообразную прорезь 124, определенную в ней. Дугообразная прорезь 124 образует угол в 360° минус угол 126. В этом варианте осуществления, дугообразная прорезь 124 образует угол 270°. Это предоставляет головке 102 сканирования возможность просканировать приблизительно 270 градусов по дуге, таким образом делая выборки по всем возможным ориентациям бумаги.
Устройство вращательного сканирования, показанное на фиг.13А и 13В, может быть включено в систему сканирования, подобную устройству линейного сканирования, описанному ранее. В этом случае, сенсорная система устройства линейного сканирования замещена поворотным вариантом по фиг.13А и 13В, в то время как устройство обработки данных перепрограммировано для реализации способа, описанного ниже по отношению к фиг.14.
Есть два принципиальных преимущества этого варианта осуществления. Во-первых, нет необходимости знать относительную ориентацию бумаги и сканера, так как подгонка между наблюдаемым набором спектров и базой данных типов бумаги может производиться для разных углов запуска, пока не получено совпадение. Это означает, что сканер может опускаться где угодно на поверхности бумаги, а сигнатура класса – сообщаться. Во-вторых, обеспечивается больший уровень защиты, так как сигнатура класса теперь может быть состоящей из сочетания признаков, взятых из разных направлений сканирования. Например, преобразованный набор измерительных точек, формирующих сигнатуру класса, мог бы использоваться для выборки двух отдельных периодичностей прямоугольной сетчатой структуры. Другой пример мог бы состоять в том, чтобы определять порядок осевой симметрии сетки, например, чтобы идентифицировать шестиугольную сетку заданной периодичности и отличать ее от квадратной сетки такой же периодичности.
Фиг.14А и 14В вместе иллюстрируют блок-схему последовательности операций способа, показывающую, каким образом сигнатура класса измеряется с изделия с использованием вращательного сканирования и подвергается проверке подлинности или записывается.
Этапом R1 является начальный этап, во время которого запускается электродвигатель сканирования. Электродвигатель сканирования запрограммирован для движения при частоте вращения .
Этапом R2 является этап сбора данных, во время которого оптическая интенсивность в каждом из фотодетекторов собирается приблизительно каждую 1 мс, в течение всей продолжительности сканирования. Временным интервалом между точками выборки является t. Одновременно, как функция времени получается сигнал кодера. Замечено, что если электродвигатель сканирования обладает высокой степенью точности линеаризации (например, которую мог бы иметь шаговый двигатель), то выполнение сбора в отношении сигнала кодера не требуется. Сигнал кодера может быть предоставлен посредством детектирования, когда модуль 106 кодера положения проходит метки, предоставленные на крышке 120 примыкающими к прорези 124. Данные собираются посредством PIC 30, снимающего данные с АЦП 31. Измерительные точки передаются в реальном времени из PIC 30 в ПК 34. В качестве альтернативы, измерительные точки могли бы сохраняться в памяти в PIC 30, а затем передаваться в ПК 34 по окончании сканирования. Количество n измерительных точек на детекторный канал, накапливаемых при каждом сканировании, в последующем определено как N. Кроме того, значение ak(i) определено как i-е сохраненное значение интенсивности из фотодетектора k, где i пробегает от 1 до N.
Этап R3 является этапом возврата головки сканирования. Электродвигатель сканирования реверсируется для повторной установки механизма сканирования в его начальное положение при подготовке для следующей операции сканирования.
Этап R4 является необязательным этапом линеаризации. Если он выполняется, то этот этап применяет численную интерполяцию для локального расширения и сжатия ak(i), так что переходы кодера являются равноотстоящими во времени. Это вносит поправки в набор данных измерительных точек касательно локальных изменений в частоте вращения электродвигателя. Этот этап выполняется в ПК 34 под управлением компьютерной программы.
Этап R5 является этапом инициализации, на котором i0 устанавливается в ноль.
Этап R6 является этапом, на котором каждое подмножество измерительных точек создается из полного снимка сканирования. Создаются подмножества bk(i) из ak(i), которые пробегают от I=i0– i до i0+ I. Как показано выше в связи с фиг.8В, I может соответствовать приблизительно 10° дуги сканера.
Этап R7 является этапом FT, на котором рассчитывается амплитудный спектр Bk(i) FT преобразования Фурье по bk(i). Этап выполняется в ПК 34 под управлением компьютерной программы посредством применения быстрого преобразования Фурье (БПФ) к отдельному из k наборов измерительных точек. В необязательном порядке, усредненный амплитудный спектр FT может рассчитываться по соответственному из k отдельных амплитудных спектров, если многочисленные детекторы предусмотрены в головке 102 сканера. Вследствие более коротких последовательностей данных, используемых в каждом преобразовании, пики FT являются более широкими и менее интенсивным, чем для линейного сканирования. Тем не менее при определенных условиях набор спектров формирует хорошую сигнатуру класса для бумаги.
Этап R8 является этапом идентификации, на котором определяется значение i, которое максимизирует Bk(i), исключая i=0 (DC-составляющую). Этот индекс, ipeak, идентифицируется в ПК 34 под управлением компьютерной программы.
Этап R9 является этапом, на котором определяется среднеквадратическое (r.m.s) значение по Bk(i). Значение r.m.s по Bk(i) рассчитывается, используя

Для заданного углового сканирования находим максимальную высоту пика в амплитудном спектре и делим ее на значение r.m.s амплитудного спектра. Авторы называют это отношение значимостью пика, так как оно сообщает, на сколько пик выше, чем оставшаяся часть спектра. Значимости пика ниже приблизительно от трех до четырех означают, что нет явно выраженного пика. Значимости пика выше приблизительно четырех указывают хорошо выраженный пик. Если значимость пика является превышающей приблизительно от трех до четырех, авторы измеряют длину волны в центре пика. Если значимость пика является меньшей чем примерно от трех до четырех авторы отбрасывают данные и переходят к следующему значению . Таким образом, авторы способны начертить график пиковой длины волны в зависимости от , но ограниченный частями дуги, где существует хорошо выраженный пик. Этот график формирует сигнатуру класса для такой отсканированной бумаги.
Фиг.8А показывает для реального измерения с листа бумаги отношение амплитуды самого интенсивного пика в амплитудном спектре к значению r.m.s амплитудного спектра. Безусловно, значимый пик можно видеть в угловом диапазоне 0-15 градусов, с более слабыми пиками, появляющимися около 45 градусов и 90 градусов. Фокусируясь по самому интенсивному пику вплотную к нулю градусов, фиг.8В показывает длину волны этого пика в качестве функции угла. Найдена приближенно постоянная длина волны в 408 мкм, которая формирует сигнатуру класса для этого листа бумаги. Незначительный направленный вверх изгиб в зависимости длины волны от угла, который можно видеть на фиг.8В, обусловлен проецированием 1/cos(угла) длины волны, по мере изменения направления сканирования.
Этап R10 является этапом определения отношения. Отношение B(ipeak)/r.m.s. рассчитывается и сохраняется.
Этап R11 является этапом инкрементирования, на котором инкрементируется i0.
Этап R12 является этапом проверки конца цикла, который обуславливает повторное выполнение этапа R6, если не удовлетворено i0=N. Если i0=N, то выполняется этап R13.
Этап R13 является этапом определения измерительной точки глобального пика, на котором определяется ipeak, значение i0, которое максимизирует B(ipeak)/r.m.s.
Этап R14 является этапом расчета, на котором длина волны, ассоциированная с ipeak, определяется в ПК 34 согласно равенству peak=2 /(ipeak×v t). Пиковая длина peak волны затем используется в качестве сигнатуры класса.
Этап R15 является точкой принятия решения. Если изделие является обладающим записываемой сигнатурой класса, следующим этапом будет этап R16. Тогда как, если подлинность изделия подтверждается измерением его сигнатуры класса, следующим этапом будет этап R17. ПК 34 запрограммирован определять, какой этап следует за этапом R15.
Этап R16 является этапом сохранения сигнатуры класса. Запись, содержащая значение peak сигнатуры класса, ассоциированное с набором признаков бумаги, сохраняется посредством ПК 34 в базе 40 данных. База 40 данных может быть расположена удаленно от устройства 1 оптического считывателя, и запись может шифроваться защищенным образом перед передачей между ними.
Этап R17 является этапом сверки сигнатуры класса. ПК 34 сравнивает peak со всеми записями в базе 40 данных до тех пор, пока не обнаруживается совпадение с точностью до предопределенной допустимой погрешности. ПК 34 затем отображает описание составляющей записи для совпадающего типа бумаги, если какой-нибудь найден. Если никакая совпадающая запись не найдена, ПК 34 может, в необязательном порядке, попытаться расширить поиск на другие базы данных. В необязательном порядке, может отображаться сообщение, утверждающее, что в распоряжении нет никакого совпадения. В необязательном порядке, независимо от того, обнаружено ли или нет какое-нибудь совпадение класса, ПК 34 может затем пытаться выполнять анализ, чтобы определить, совпадает ли характеристическая сигнатура с изделия с предопределенной характеристической сигнатурой, для того, чтобы попытаться уникально идентифицировать изделие.
Фиг.15 – блок-схема последовательности операций способа, показывающая, каким образом работает устройство согласно варианту осуществления изобретения.
Этап А1 является началом последовательности операций. Последовательность операций находится под управлением ПК 34.
Этап А2 является этапом размещения изделия, которое должно анализироваться, в пространстве считывания. Этот этап может выполняться вручную или автоматически. Например, автоподатчик листов может использоваться для размещения бумажных/картонных изделий в пространстве считывания устройства, либо ручной сканер может помещаться на изделие.
Этап А3 является этапом сканирования изделия. В одном из вариантов осуществления, это включает в себя перемещение пучка относительно изделия с использованием линейного сканирования. Однако вращательное сканирование описанного в материалах настоящей заявки типа может использоваться для выполнения этого этапа.
Этап А4 является этапом измерения положения сканирования по отношению к пространству считывания. Информация, относящаяся к положению сканера в течение периода времени сканирования, записывается. Этот этап выполняется посредством ПК 34, отслеживающего положения сканера посредством считывания данных из кодера/декодера 19 через PIC 30, пока выполняется сканирование.
Этап А5 является этапом накопления данных, в течение которого последовательно наполняется набор измерительных точек. Каждый набор измерительных точек из детекторов 16a-d усредняется посредством ПК 34 и сохраняется в виде усредненного набора измерительных точек.
Этап А6 является этапом линеаризации. ПК линеаризует набор измерительных точек для определения сигнатуры класса посредством использования информации относительного измеренного положения, полученной на этапе А4, чтобы модифицировать набор измерительных точек для того, чтобы гарантировать, что последовательные измерительные точки в наборе являются равноотстоящими по времени или положению их сбора во время сканирования.
Этап А7 является этапом преобразования. ПК 34 применяет быстрое преобразование Фурье (БПФ) к усредненному набору измерительных точек. БПФ или другое преобразование может использоваться для предоставления преобразованных данных, содержащих один или более пиков.
Этап А8 включает в себя определение сигнатуры класса. Амплитудные пики преобразования, найденного на этапе А7, подвергаются пороговой обработке для получения цифрового сигнала. Этот цифровой сигнал используется в качестве сигнатуры класса.
Этап А9 является этапом сравнения. Сигнатура класса сравнивается с базой данных предопределенных сигнатур класса, сохраненных в базе 40 данных.
Этап А10 является точкой принятия решения. Если никакого совпадения для сигнатуры класса не найдено в базе 40 данных, устройство переходит на этап А11. Иначе, в случае, когда найдено совпадение для сигнатуры класса, устройство переходит на этап А12 для того, чтобы верифицировать характеристическую сигнатуру.
Этап А11 является этапом отклонения, на котором устройство может предупреждать оператора устройства, что сигнатура класса изделия не была опознана. Оператор впоследствии может решать, каким образом действовать при этом предупреждении.
Этап А12 является этапом определения характеристической сигнатуры. Этот этап может содержать этапы определения характеристической сигнатуры, такие как описанные выше. Однако перед осуществлением поиска по базе 40 данных на предмет всех характеристических сигнатур в базе данных для сравнения с измеренной характеристической сигнатурой ПК 34 может выбирать подмножество предопределенных характеристических сигнатур для поиска. Это ускоряет поиск совпадения с измеренной характеристической сигнатурой. Дополнительно, в этом варианте осуществления устройство может использовать те же самые наборы измерительных точек, полученные во время сканирования, для получения как сигнатуры класса, так и характеристической сигнатуры.
Этап А13 является еще одной точкой принятия решения. Если никакого совпадения для сигнатуры класса не найдено в базе 40 данных, устройство переходит на этап А11, который описан выше.
Этап А14 является этапом, который достигается, если распознаны как сигнатура класса, так и характеристическая сигнатура. На этом этапе могут возникать различные показания и действия. Например, показание, что бумажное/картонное изделие было правильно идентифицировано, может отображаться оператору устройства, может активизироваться освобождение автоблокировки и т.п., по желанию.
Из вышеприведенного подробного описания будет понятно, каким образом изделие, сделанное из материала, такого как бумага или картон, может идентифицироваться посредством облучения материала когерентным излучением, накопления набора измерительных точек, которые измеряют рассеяние когерентного излучения с материала, и определения сигнатуры класса/характеристической сигнатуры изделия по набору измерительных точек.
Также будет понятно, что область сканирования является, по существу, произвольной в показателях ее размера или местоположения на изделии. Если требуется, сканирование, например, могло бы быть линейным сканированием, разворачиваемым, чтобы покрывать, например, большую двухмерную область.
Более того, будет понятно, как оно может применяться для идентификации продукта по его упаковке, документа или снабженного этикеткой предмета одежды посредством облучения изделия когерентным излучением, накопления набора измерительных точек, которые измеряют рассеяние когерентного излучения с собственной структуры изделия, и определения сигнатуры класса/характеристической сигнатуры продукта по набору точек измерения.
Из вышеприведенного описания математической обработки будет понятно, что ухудшение локализации пучка (например, увеличение поперечного сечения пучка в пространстве считывания по причине подоптимального фокуса когерентного пучка) не будет катастрофичным для системы, а только ухудшит ее характеристики повышением вероятности случайного совпадения. Устройство таким образом устойчиво к изменениям устройства, давая скорее устойчивое постепенное ухудшение характеристик, чем внезапную неустойчивую неисправность. В любом случае, просто выполнять самотестирование считывателя, тем самым выявляя любые проблемы оборудования, посредством выполнения автокорреляции над накопленными данным для выяснения характеристического размера минимального элемента в ответных данных.
Дополнительная мера безопасности, которая может применяться к бумаге или картону, например, состоит в том, чтобы адгезивным образом присоединять прозрачный изолирующий слой (например, клейкую ленту) поверх сканируемой области. Клей выбирается достаточно крепким, чтобы его удаление разрушало структуру лежащей в основе поверхности, которую важно сохранять для того, чтобы выполнять проверочное сканирование характеристической сигнатуры.
Как описано выше, считыватель может быть воплощен в устройстве, сконструированном специально для реализации изобретения. В других случаях, считыватель будет конструироваться добавлением надлежащих вспомогательных компонентов к устройству, спроектированному в основном с другими функциональными возможностями по замыслу, такому как фотокопировальная машина, сканер документов, система управления документооборотом, POS-устройство, ATM, считыватель посадочных талонов авиабилетов или другое устройство.
Фиг.16A-G показывают сделанные на заказ сетчатые экраны согласно различным вариантам осуществления изобретения. Сетчатые экраны могут использоваться в стандартной последовательности операций изготовления бумаги. Отпечатки могут предусматриваться для предоставления требуемой сигнатуры класса. Такие отпечатки могут заключать в себе одномерные или двумерные варианты орнамента. Отпечатанные орнаменты могут быть периодическими, с периодичностью, которая является меньшей чем или равной длине снимка сканирования, для того, чтобы гарантировать, что сканер детектирует требуемые частотные составляющие орнамента.
Сделанные на заказ сетчатые экраны могут использоваться для замещения стандартных сетчатых экранов изготовления бумаги.
Различные технологии и материалы для изготовления сетчатых экранов хорошо известны в данной области техники (например, смотрите ссылки с [6] по [13]), и они также могут использоваться для сделанных на заказ сетчатых экранов. Например, сетчатые экраны могут быть изготовлены с использованием проволоки, пластин и т.п., выполненных из нержавеющей стали, полимерных материалов и т.п.
Фиг.16A показывает сделанный на заказ сетчатый экран 160 согласно варианту осуществления изобретения. Сделанный на заказ сетчатый экран 160 содержит сетку из проволок 161a-n, расположенных с промежутками при постоянных интервалах 163 в первом направлении (ось y). Расположенные с промежутками группы расположенных с равными интервалами отдельных проволок 162a-n предусмотрены на равных интервалах 164 во втором направлении (ось x), поперечном первому направлению. Отпечаток, оставляемый этим сетчатым экраном 160, таким образом обладает одиночной частотной составляющей в первом направлении. Он к тому же обладает двумя частотными составляющими во втором направлении. Первая составляющая отражает интервал группы проволок 164, а вторая – межпроволочный интервал 165.
Фиг.16B показывает сделанный на заказ сетчатый экран 170 согласно варианту осуществления изобретения. Сделанный на заказ сетчатый экран 170 содержит сетку из проволок 171a-n, расположенных с промежутками при постоянных интервалах 173 в первом направлении (ось y). Расположенные с промежутками группы проволок 172a-n предусмотрены на равных интервалах 174 во втором направлении (ось x), поперечном первому направлению. Группы проволок 172a-n, предусмотренные во втором направлении, размещены с промежутками согласно орнаменту с линейной частотной модуляцией, при котором интервал между отдельными проволоками в группе линейно возрастает.
Отпечаток, оставляемый этим сетчатым экраном, таким образом обладает одиночной частотной составляющей в первом направлении. Он также обладает расширенным частотным сигналом во втором направлении, который происходит от линейной частотной пространственной модуляции, примененной к проволокам в группах 172a-n, а также частотной составляющей, происходящей от интервала 174 между группами во втором направлении.
Фиг.16С показывает сделанный на заказ сетчатый экран 180 согласно варианту осуществления изобретения. Сделанный на заказ сетчатый экран 180 содержит сетку из проволок 181a-n, расположенных с промежутками при постоянных интервалах в первом направлении (ось y). Различные группы проволок 182a-n предусмотрены на равных интервалах 184 во втором направлении (ось x), поперечном первому направлению. Там, где могла быть расположена одна такая группа, в этом варианте осуществления предусмотрена группа 182c, включающая в себя более плотно упакованную группу проволок.
Отпечаток, оставляемый этим сетчатым экраном, обладает одиночной частотной составляющей в первом направлении. Он к тому же обладает сигналом с тремя частотными составляющими во втором направлении. Первая составляющая отражает интервал групп проволок 184, а вторая – межпроволочный интервал. Однако третья составляющая также является присутствующей на частоте, более высокой, чем первая составляющая. Третья составляющая происходит от более плотного упаковывания проволок в группе 182c.
Посредством детектирования третьей частотной составляющей может выявляться использование во время производства бумаги группы проволок, обладающей интервалом группы 182c. Это может использоваться для кодирования двоичного сигнала. Другие межпроволочные интервалы группы также могут предусматриваться для предоставления возможности кодирования последовательности двоичных разрядов или байта. Как хорошо известно, такие байты могут использоваться для кодирования различной информации.
Фиг.16D показывает сделанный на заказ сетчатый экран 190 согласно варианту осуществления изобретения. Сделанный на заказ сетчатый экран 190 содержит сетку из проволок 191a-n, расположенных с промежутками при постоянных интервалах 193 в первом направлении (ось y). Расположенные с промежутками группы проволок 192a-n предусмотрены на равных интервалах 194 во втором направлении (ось x), поперечном первому направлению. Проволоки 192a-n в группах расположены с интервалами согласно синусоидально изменяющемуся орнаменту.
Отпечаток, оставляемый этим сетчатым экраном, обладает одиночной частотной составляющей в первом направлении. Он также обладает расширенным частотным сигналом во втором направлении, который происходит от синусоидальной пространственной модуляции, примененной к проволокам в группах 192a-n. В различных вариантах осуществления, синусоидальная пространственная модуляция действует в качестве носителя частоты, которая сама по себе может модулироваться для обеспечения различных схем кодирования. Например, модуляция фазовой манипуляцией может применяться к несущей синусоиде и кодироваться в орнамент, который должен наноситься на бумагу посредством надлежащего расположения с интервалом проволок.
Фиг.16E показывает сделанный на заказ сетчатый экран 200 согласно варианту осуществления изобретения. Сделанный на заказ сетчатый экран 200 содержит сетку из групп проволок 201a-n, расположенных с промежутками при постоянных интервалах 203 в первом направлении (ось y). Проволоки в группах 201a-n сами расположены с промежутками на равных интервалах 206. Расположенные с промежутками группы расположенных с равными интервалами проволок 202a-n предусмотрены на равных интервалах 204 во втором направлении (ось x), поперечном первому направлению.
Отпечаток, оставляемый этим сетчатым экраном 200, обладает двумя частотными составляющими в первом направлении и двумя частотными составляющими во втором направлении. Первая составляющая в первом направлении отражает интервал 203 групп проволок 201a-n, а вторая – межпроволочный интервал 206. Первая составляющая во втором направлении отражает интервал 204 групп проволок 202a-n, а вторая – межпроволочный интервал 205.
Фиг.16F показывает сделанный на заказ сетчатый экран 210 согласно варианту осуществления изобретения. Сделанный на заказ сетчатый экран 210 содержит пластину 201, содержащую множество крестообразных перфораций 202, расположенных с интервалами в правильном двумерном орнаменте. Такой сетчатый экран может формироваться гравированием или перфорированием листового материала.
Фиг.16G показывает сделанный на заказ сетчатый экран 220 согласно варианту осуществления изобретения. Сделанный на заказ сетчатый экран 220 содержит пластину 221, содержащую множество повторяющихся схем перфораций 222, 224, расположенных с интервалами в правильном двумерном орнаменте. Орнамент содержит повторяющуюся последовательность чередующихся групп круговых перфораций 222, 224 разного размера и количеств, расставленных в сетчатой компоновке, расположенных с равными интервалами 223. Первая группа круговых перфораций 222 состоит из матрицы 3×3 круговых отверстий, сгруппированных вместе. Вторая группа круговых перфораций 224 состоит из матрицы 2×2 круговых отверстий, сгруппированных вместе. Первая и вторая группы 222, 224 занимают приблизительно одинаковую площадь поверхности пластины 221.
Отпечаток, оставляемый сетчатым экраном 220, обладает частотными составляющими, происходящими от интервала 223 сетки, плюс более сложной частотной характеристикой, являющейся результатом групп перфораций 222, 224. Такая частотная характеристика может измеряться и использоваться для предоставления сигнатуры класса для бумажных/картонных изделий, изготовленных с использованием сделанного на заказ сетчатого экрана 220.
Будет принято во внимание, что отпечатки, сделанные проиллюстрированными сетчатыми экранами, все являются поддающимися функциональному анализу для определения сигнатуры класса с использованием преобразований Фурье или другим разновидностям анализа преобразований.
Будет принято во внимание, что, несмотря на то, что были описаны конкретные варианты осуществления изобретения, многие модификации/дополнения и/или замещения могут быть сделаны в пределах сущности и объема настоящего изобретения.
Источники информации
1. Kravolec «Plastic tag makes foolproof ID» Technology Research News, 2 October 2002.
2. R. Anderson «Security Engineering: a guide to building dependable distributed systems» Wiley 2001, pages.251-252 ISBN 0-471-38922-6.
3. US 5521984.
4. US 5325167.
5. GB 0405641.2 (GB 2,411,954, включенный в материалы настоящей заявки во всей его полноте посредством ссылки).
6. US 4564051.
7. US 6546964.
8. US 4546964.
9. US 5152326.
10. US 5358014.
11. US 6546964.
12. US 2004/0011491.
13. WO 2004/020734.
Формула изобретения
1. Устройство для анализа сделанного из бумаги или картона изделия, помещенного в пространство считывания, содержащее: сканер, выполненный с возможностью сканирования изделия когерентным оптическим пучком; детекторную подсистему, выполненную с возможностью накопления набора, содержащего группы измерительных точек, по сигналам, полученным, когда когерентный пучок отражается из пространства считывания, при этом разные из групп измерительных точек относятся к сигналам, полученным в разные моменты времени в течение сканирования пространства считывания; и модуль сбора и обработки данных для обработки набора групп измерительных точек, с тем, чтобы определять, обладает ли изделие предопределенной поверхностной структурой, которая дает предопределенную сигнатуру класса, которая идентифицирует изделия известного родового типа по собственным свойствам поверхностной структуры изделия.
2. Устройство по п.1, в котором модуль сбора и обработки данных выполнен с возможностью анализа набора групп измерительных точек, чтобы определять, содержат ли они информацию сигнатуры класса, указывающую на периодические изменения в собственных свойствах изделия.
3. Устройство по п.1, в котором модуль сбора и обработки данных выполнен с возможностью получения измеренной сигнатуры класса из результата математического преобразования, примененного к измерительным точкам, и сравнения измеренной сигнатуры класса с одной или более предопределенными сигнатурами классов, при этом соответствие между измеренной сигнатурой класса и предопределенной сигнатурой класса указывает, что изделие принадлежит к родовому типу, ассоциированному с соответствующей предопределенной сигнатурой класса.
4. Устройство по п.1, дополнительно содержащее: модуль кодера/детектора для измерения относительного положения когерентного пучка и изделия во время сканирования; и при этом модуль сбора и обработки данных дополнительно выполнен с возможностью линеаризации набора измерительных точек перед определением сигнатуры класса посредством использования информации относительного измеренного положения, полученной из модуля кодера/детектора, чтобы модифицировать набор измерительных точек для того, чтобы гарантировать, что последовательные группы измерительных точек в наборе являются равноотстоящими по времени или положению их сбора в течение сканирования.
5. Устройство по п.1, в котором модуль сбора и обработки данных дополнительно выполнен с возможностью определения характеристической сигнатуры по набору измерительных точек, причем характеристическая сигнатура является предназначенной для различения отдельных изделий от других изделий того же самого родового типа.
6. Устройство по п.1, в котором собственные свойства поверхностной структуры изделия являются отпечатками, приданными бумаге или картону во время обычного производственного процесса.
7. Устройство по п.1, в котором сканер выполнен с возможностью функционирования в режиме линейного сканирования.
8. Устройство по п.1, в котором сканер выполнен с возможностью функционирования в режиме вращательного сканирования.
9. Устройство по п.1, в котором сканер сконфигурирован для проецирования когерентного пучка на изделие при почти нормальном падении.
10. Устройство по п.1, в котором детекторная подсистема включает в себя множество детекторных каналов, выполненных с возможностью и сконфигурированных для восприятия рассеяния из соответственных разных частей пространства считывания.
11. Устройство по п.10, в котором модуль сбора и обработки данных дополнительно выполнен с возможностью усреднения множества наборов измерительных точек, накопленных по множеству измерительных каналов, и определения сигнатуры класса по усредненному набору данных.
12. Способ анализа изделия, сделанного из бумаги или картона, содержащий этапы, на которых размещают изделие в пространстве считывания; сканируют изделие когерентным оптическим пучком; накапливают набор, содержащий группы измерительных точек, по сигналам, полученным, когда когерентный пучок отражается из пространства считывания, при этом разные из групп измерительных точек относятся к сигналам, полученным в разные моменты времени в течение сканирования пространства считывания; и обрабатывают набор групп измерительных точек для определения того, обладает ли изделие предопределенной поверхностной структурой, которая дает предопределенную сигнатуру класса, которая идентифицирует изделия известного родового типа по собственным свойствам поверхностной структуры изделия.
13. Способ по п.12, в котором обработка набора групп измерительных точек содержит этап, на котором анализируют набор групп измерительных точек, чтобы определять, содержит ли он информацию сигнатуры класса, указывающую на периодические изменения в собственных свойствах изделия.
14. Способ по п.12, в котором обработка набора групп измерительных точек содержит этапы, на которых получают измеренную сигнатуру класса из результата математического преобразования, примененного к измерительным точкам, и сравнивают измеренную сигнатуру класса с одной или более предопределенными сигнатурами классов, при этом соответствие между измеренной сигнатурой класса и предопределенной сигнатурой класса указывает, что изделие принадлежит к родовому типу, ассоциированному с соответствующей предопределенной сигнатурой класса.
15. Способ по п.12, дополнительно содержащий этапы, на которых измеряют относительное положение когерентного пучка и изделия во время сканирования; и линеаризуют набор групп измерительных точек перед определением сигнатуры класса посредством использования информации относительного измеренного положения, чтобы модифицировать набор измерительных точек для того, чтобы гарантировать, что последовательные группы измерительных точек в наборе являются равноотстоящими по времени или положению их сбора в течение сканирования.
16. Способ по п.12, дополнительно содержащий этап, на котором обрабатывают набор измерительных данных, чтобы определять характеристическую сигнатуру по набору измерительных точек, при этом характеристическая сигнатура предназначена для различения отдельных изделий от других изделий некоторого родового типа.
17. Способ по п.12, в котором собственные свойства поверхностной структуры изделия являются отпечатками, приданными бумаге или картону во время обычного производственного процесса.
18. Способ по п.12, в котором при сканировании изделия выполняют линейное сканирование.
19. Способ по п.12, в котором при сканировании изделия выполняют вращательное сканирование.
20. Способ по п.12, содержащий этап, на котором проецируют когерентный пучок на изделие при почти нормальном падении.
21. Способ по п.12, дополнительно содержащий этап, на котором накапливают множество наборов измерительных точек по множеству детекторных каналов, выполненных с возможностью и сконфигурированных для восприятия рассеяния из соответственных частей пространства считывания.
22. Способ по п.21, дополнительно содержащий этап, на котором усредняют множество наборов измерительных точек, накопленных по множеству детекторных каналов, для предоставления набора данных, используемого впоследствии для определения сигнатуры класса.
23. Сетчатый экран для производства бумажного или картонного изделия, при этом сетчатый экран содержит множество элементов, выполненных с возможностью и сконфигурированных придавать выполненный на заказ печатный орнамент предопределенной поверхностной структуры бумажному или картонному изделию для обеспечения, в ответ на сканирование когерентным пучком и обработку набора групп измерительных точек, полученных на основе этого сканирования, предопределенной сигнатуры класса, которая идентифицирует изделие в качестве являющегося принадлежащим к известному родовому типу, при этом печатный орнамент заключает в себе пространственную модуляцию, предусмотренную согласно одной или более из следующих схем: внутриимпульсной линейной частотной модуляции, модуляции суперпериодичностью, модуляции фазовой манипуляцией и модуляции частотной манипуляцией.
24. Сетчатый экран по п.23, в котором печатный орнамент является периодическим.
25. Сетчатый экран по п.23, в котором печатный орнамент кодирует одну или более битовых последовательностей в бумаге или картоне.
26. Способ изготовления бумажного или картонного изделия, включающего в себя сделанный на заказ печатный орнамент, состоящий в том, что используют сетчатый экран по п.23 для придания сделанного на заказ печатного орнамента изделию.
27. Бумажное или картонное изделие, содержащее сделанный на заказ печатный орнамент предопределенной поверхностной структуры для обеспечения сигнатуры класса, когда улавливается рассеяние от когерентного пучка, падающего на изделие, для идентификации изделия в качестве принадлежащего к известному родовому типу.
28. Бумажное или картонное изделие по п.27, в котором печатный орнамент является невидимым.
29. Бумажное или картонное изделие по п.27, в котором печатный орнамент является периодическим.
30. Бумажное или картонное изделие по п.27, в котором печатный орнамент заключает в себе пространственную модуляцию, предусмотренную согласно одной или более из следующих схем: внутриимпульсной линейной частотной модуляции, модуляции суперпериодичностью, модуляции фазовой манипуляцией и модуляции частотной манипуляцией.
31. Бумажное или картонное изделие по п.27, в котором печатный орнамент кодирует одну или более битовых последовательностей в бумаге или картоне.
РИСУНКИ
|
|