|
(21), (22) Заявка: 2008149499/28, 15.12.2008
(24) Дата начала отсчета срока действия патента:
15.12.2008
(46) Опубликовано: 10.06.2010
(56) Список документов, цитированных в отчете о поиске:
RU 2178229 C2, 10.01.2002. RU 2229135 C2, 20.05.2004. RU 2143121 C1, 20.12.1999. SU 1539697 A1 30.01.1990. JP 5034423 A, 09.02.1993. JP 20004144658 A, 20.05.2004. GB 2418993 A, 12.04.2006.
Адрес для переписки:
630088, г.Новосибирск, ул. Сибиряков-Гвардейцев, 56, НПО “ЭЛСИБ” ОАО
|
(72) Автор(ы):
Шарипов Азад Мухамеджанович (RU)
(73) Патентообладатель(и):
Научно-производственное объединение “ЭЛСИБ” открытое акционерное общество (RU)
|
(54) СПОСОБ ОПРЕДЕЛЕНИЯ ПАРАМЕТРОВ И РАБОЧИХ ХАРАКТЕРИСТИК АСИНХРОННОГО ДВИГАТЕЛЯ БЕЗ СОПРЯЖЕНИЯ С НАГРУЗОЧНЫМ УСТРОЙСТВОМ
(57) Реферат:
Изобретение относится к измерительной технике. Сущность: измеряют потребляемую мощность, напряжение и ток в режиме холостого хода при номинальном напряжении или близком к нему. Вычисляют по ним коэффициент мощности и индуктивное сопротивление статора. Затем отключают двигатель от источника питания. При этом регистрируют скачок напряжения статора, кривую затухания напряжения статора и измеряют сопротивление статора. По скачку напряжения, току, измеренному до отключения, коэффициенту мощности и сопротивлению вычисляют реактивное сопротивление рассеяния статора. По кривой затухания определяют постоянные времени ротора соответственно при разомкнутом статоре и статоре, условно включенном на сеть бесконечно большой мощности. С использованием полученных значений рассчитывают коэффициенты рассеяния статора и ротора, реактивное сопротивление взаимоиндукции, приведенное к статору реактивное сопротивление рассеяния ротора, приведенное к статору активное сопротивление ротора. С использованием полученных параметров рассчитывают по «Т»- или «Г»-образной схемам замещения с одним контуром на роторе рабочие характеристики. Технический результат: определение большего количества параметров. 2 ил., 2 табл.
Изобретение относится к крупному электромашиностроению и может быть использовано на электромашиностроительных заводах, ремонтных предприятиях и в эксплуатации.
Рабочие характеристики асинхронного двигателя – это зависимость потребляемой мощности, тока статора, коэффициента мощности, коэффициента полезного действия и скольжения ротора от полезной мощности при номинальных значениях напряжения и частоты. ГОСТ 7217-87 «Машины электрические вращающиеся, двигатели асинхронные, методы испытаний» требует определения рабочих характеристик машин мощностью до 1000 кВт из опытов непосредственной нагрузки. Для двигателей мощностью выше 1000 кВт, вертикального исполнения, двигателей на частоту, отличную от 50 Гц, а также при отсутствии необходимого оборудования допускается определять рабочие характеристики из опытов непосредственной нагрузки при пониженном напряжении по схемам замещения с одним контуром на роторе.
Для определения параметров рабочего контура схемы замещения с одним контуром на роторе без проведения опыта непосредственной нагрузки используется опыт короткого замыкания при пониженной частоте или опыт холостого хода при сильно пониженном напряжении.
Для выполнения опыта короткого замыкания при пониженной частоте для крупных машин требуются источники питания с частотой f=1÷3 Гц, которые обычно на заводах отсутствуют, кроме того, измерения на таких частотах довольно сложны, проблематичны и не обеспечивают достаточной точности.
В опыте холостого хода при сильно пониженном напряжении параметры определяются при пониженном напряжении, и приведение их к состоянию машины, соответствующему номинальному напряжению и току, производится пересчетом токов из характеристики короткого замыкания при частоте 50 Гц и напряжений по начальной части характеристики холостого хода.
В обоих методах невозможно разделение реактивностей рассеяния статора и ротора, определение реактивности взаимоиндукции и полной реактивности ротора, постоянных времени ротора для двух состояний.
Поэтому для расчетов используется только «Г»-образная схема замещения с намагничивающим контуром, вынесенным за активное сопротивление фазы статора, не требующая разделения реактивности рассеяния статора и ротора. Ссылка на возможность применения «Т»-образной схемы замещения с использованием реактивности статора, определяемой из опыта с удаленным ротором по ГОСТ 10169-77 «Машины электрические трехфазные синхронные, методы испытаний» недостаточно правомерна.
Как показывает практика, реактивность, определяемая из этого опыта для асинхронных машин, более близка к суммарной реактивности рассеяния статора и ротора в режиме короткого замыкания, чем к реактивности рассеяния статора в рабочем режиме.
Наиболее близким способом того же назначения к заявленному способу – прототипом – является способ определения реактивности рассеяния и активного сопротивления ротора с последующим расчетом рабочих характеристик по схеме замещения с одним контуром на роторе из опыта холостого хода при пониженном напряжении, в котором измеряются потребляемые ток I, напряжение U, мощность P1 и скольжение ротора по ГОСТ 7217-87.
Задачей предлагаемого изобретения является создание способа определения параметров и рабочих характеристик без сопряжения с нагрузкой, позволяющего определять большее количество параметров при номинальном напряжении с использованием обычной измерительной аппаратуры и производить расчет рабочих характеристик по «Т»- или «Г»-образным схемам замещения.
Недостатками устройства, принятого за прототип, является то, что в известном способе определяются параметры ротора не при номинальном напряжении, не определяется реактивность рассеяния статора, не определяются реактивности взаимоиндукции и полной реактивности ротора, коэффициенты рассеяния статора и ротора, постоянные времени ротора для двух состояний статора, невозможно использование Т-образной схемы замещения.
Технический результат достигается тем, что способ определения параметров и рабочих характеристик асинхронного двигателя без сопряжения с нагрузочным устройством заключается в измерении потребляемой мощности, напряжения и тока на холостом ходу, расчете реактивности рассеяния двигателя и активного сопротивления ротора R2 с последующим расчетом по схеме замещения с одним контуром на роторе рабочих характеристик, при этом потребляемую мощность, напряжение и ток в режиме холостого хода измеряют и регистрируют при номинальном напряжении или близком к нему, вычисляют по ним коэффициент мощности и реактивное сопротивление статора, затем отключают двигатель от источника питания, регистрируют скачок напряжения статора, кривую затухания напряжения статора и измеряют сопротивление статора r1, по скачку напряжения, току, измеренному до отключения, коэффициенту мощности и сопротивлению фазы вычисляют реактивное сопротивление рассеяния x1 статора, по кривой затухания определяют постоянные времени Т0 и Т’ ротора соответственно при разомкнутом статоре и статоре, условно включенном на сеть бесконечно большой мощности, с использованием полученных значений рассчитывают коэффициенты рассеяния 1 и 2 статора и ротора, реактивное сопротивление взаимоиндукции X12, приведенное к статору реактивное сопротивление рассеяния x’2 ротора, приведенное к статору активное сопротивление R’2 ротора, с использованием полученных параметров рассчитывают по «Т»- или «Г»-образной схемам замещения с одним контуром на роторе рабочие характеристики.
На фиг.1 показана зависимость напряжения двигателя от времени перед отключением и после отключения от источника питания.
На фиг.2 показаны в полулогарифмических координатах кривые затухания напряжения: медленно меняющаяся – U и быстро меняющаяся – U’.
Последовательность работ по заявляемому изобретению выполняется следующим образом.
Опыт отключения двигателя от источника питания производят из состояния холостого хода при номинальном напряжении или близком к нему. Перед отключением регистрируют линейное напряжение U0, ток в трех фазах I0, мощность P0, после отключения двигателя – сопротивление фазы r1. По измеренным значениям до отключения двигателя вычисляют реактивное сопротивление статора по формулам:


Перед отключением и после отключения регистрируется напряжение статора (фиг.1). Рекомендуется непосредственное измерение скачка напряжения U, например, в виде разности выпрямленных напряжений источника UИСТ и затухающего напряжения.
До отключения двигателя: U=UИСТ-UДВ=0
По построенной в полулогарифмических координатах кривой затухания напряжения (фиг.2) определяют мгновенный скачок напряжения U в момент отключения (фиг.2). В соответствии со схемой замещения и векторной диаграммой асинхронного двигателя

где r1 – активное сопротивление статора.
Отсюда

Постоянная времени Т0 определяется по фиг.2 как время, в течение которого медленно меняющаяся часть напряжения U затухает до 1/ =0,368 своего начального значения.
Если после отключения двигатель выбегает, необходимо ввести поправку на уменьшение частоты вращения

где Тизм – измеренная постоянная времени, с;
P0 – мощность, тормозящая машину в момент отключения.
В случае холостого хода – это потери в стали и потери механические;
J0 – момент инерции вращающихся частей;
1 – синхронная угловая частота вращения

n0 – синхронная частота вращения, об/мин.
Постоянную времени ротора Т’ определяют по фиг.2 как время, в течение которого быстро изменяющаяся составляющая напряжения U’ на разомкнутой обмотке статора, проявляющаяся несколько первых периодов, затухает до 1/ =0,368 своего начального значения после отключения машины от источника питания при номинальной частоте вращения.
Для этого разность быстро меняющейся и медленно меняющейся составляющей напряжения во времени строят в полулогарифмических координатах.
Масштаб по времени для этой составляющей должен быть взят крупнее, например, в 10 раз. При необходимости вводят поправку на выбег
,
где Т’изм – измеренная переходная постоянная времени, с.
Коэффициент рассеяния статора 1 рассчитывают по формуле:
,
где I0 – ток холостого хода при номинальном напряжении,
x1– реактивное сопротивление рассеяния статора.
Реактивное сопротивление взаимоиндукции Х12 определяется по формуле:
X12=X(1- 1).
Коэффициент рассеяния ротора 2 рассчитывается по формуле:

Реактивное сопротивление ротора Х2 определяется по формуле:
Х2=X12(1+ 2).
Коэффициент магнитной связи рассчитывается по одной из формул:


Определяется суммарное реактивное сопротивление рассеяния статора и ротора x’:

Реактивное сопротивление рассеяния ротора x2 (приведенное к статору – x’2) определяется по формулам:
,

Расхождение между этими значениями в 10% и менее говорит о достаточной точности всех измерений в опыте отключения питания.
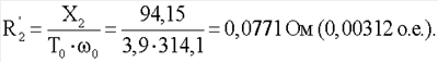
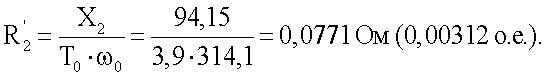
Приведенное к статору активное сопротивление ротора R’2 определяется из опыта отключения статора от источника питания:
.
Так же как реактивность рассеяния ротора х’2, полученное значение R’2 может быть использовано для рабочих режимов, т.е. при скольжениях и токах в пределах номинального. Для крупных двигателей – до скольжений соответствующих максимальному моменту. Значение R’2 соответствует температуре, при которой был проведен опыт отключения.
Таким образом, техническим результатом заявляемого изобретения является получение активного R’2 и реактивного сопротивления рассеяния ротора при номинальном напряжении х’2, реактивного сопротивления рассеяния статора x1 для расчетов по «Т»- или «Г»-образной схемам замещения с одним контуром на роторе рабочих характеристик, а также дополнительно коэффициентов рассеяния статора и ротора 1 и 2, взаимоиндукции µ, реактивного сопротивления взаимоиндукции X12, постоянных времени ротора при разомкнутом статоре Т0 и статоре, условно включенном на сеть бесконечной мощности Т’. Реализацию предложенного способа рассмотрим на примере шестиполюсного асинхронного двигателя мощностью 1250 кВт.
Пример расчета точки рабочей характеристики шестиполюсной машины с короткозамкнутым ротором мощностью 1250 кВт, 6000 В с использованием Т-образной схемы замещения по параметрам, полученным из опыта отключения двигателя от источника питания
Данные опыта холостого хода до отключения двигателя:
Напряжение, U0 – 6000 В.
Ток холостого хода, I0 – 37 А.
Потери холостого хода, Р0 – 53300 Вт.
Коэффициент мощности, cos 0 – 0,1384 о.е.
Намагничивающий ток, Iµ=I0·sin 0=36,64 А.
Сопротивление фазы обмотки статора, r0=0,13 Ом.
Реактивное сопротивление статора определяется по формуле:

Базовое сопротивление составляет:

где Iн – номинальный ток двигателя.
Опыт отключения машины от источника питания из режима холостого хода:
Напряжение до отключения – 6000 В.
Мгновенный скачок напряжения, U=170,4 В.

По построенной в полулогарифмических координатах кривой затухания напряжения определены:
постоянная времени ротора при разомкнутом статоре Т0=3,9 с (1225 рад).
Постоянная времени Т’=0,1 с (31,4 рад).
Коэффициент рассеяния статора 1:

Реактивное сопротивление взаимоиндукции X12:

Определяется коэффициент рассеяния ротора 2:

Реактивное сопротивление ротора Х2:

Коэффициент магнитной связи µ:

Реактивное сопротивление ротора x2‘
Суммарное реактивное сопротивление рассеяния статора и ротора:

Реактивное сопротивление рассеяния ротора x2 (x’2):

или

Разница в определении х’2 составляет 4,8%.
Активное сопротивление ротора R2 (R’2) при температуре 26°С.

Активное сопротивление ротора R’2, приведенное к расчетной температуре 115°С, составляет:

Далее по «Т»- или «Г»-образным схемам замещения в соответствии с ГОСТ 7217-87 (приложение 1, форма 2) рассчитывают параметры намагничивающего и рабочего контуров и рассчитывают по форме 4 приложения 1 рабочие характеристики. Ниже проведено сопоставление результатов расчета с опытом непосредственной нагрузки.
Сопоставление результатов расчета из Т-образной схемы замещения с одним контуром на роторе по параметрам, определенным из опыта отключения от источника питания, с результатами непосредственной нагрузки приведено в таблице 1.
| Таблица 1 |
| Параметр |
Расчет из Т-образной схемы замещения |
Опыт непосредственной нагрузки |
Сходимость, % |
| Р2, Вт |
1250000 |
1250000 |
– |
| I, А |
141,8 |
140,4 |
+1,0 |
, % |
94,4 |
94,41 |
0 |
cos |
0,8985 0,9 |
0,907 |
-0,94 |
| S, % |
0,4205 |
0,438 |
-4,6 |
Сопоставление параметров ротора, рассчитанных из опыта непосредственной нагрузки по «Т»- и «Г»-образным схемам замещения, с параметрами, определенными из опыта отключения питания, приведено в таблице 2.
| Таблица 2 |
| Параметр |
Т-образная схема из опыта непосредственной нагрузки |
Г-образная схема из опыта непосредственной нагрузки |
Из опыта отключения питания |
| Реактивные сопротивления рассеяния x1, x’2, Ом |
 |
 |
x1=2,67 |
| x’2=2,767 |
x1+x’2=5,193 |
x’2=2,521 |
 |
 |
x1+x’2=5,191 |
| R’2, Ом |
0,1102 (при температуре опыта) |
0,1171 (при температуре опыта) |
0,1045 (115°С) |
Формула изобретения
Способ определения параметров и рабочих характеристик асинхронного двигателя без сопряжения с нагрузочным устройством, заключающийся в измерении потребляемой мощности, напряжения и тока на холостом ходу, расчете реактивности рассеяния двигателя и активного сопротивления ротора R2 с последующим расчетом по схеме замещения с одним контуром на роторе рабочих характеристик, отличающийся тем, что потребляемую мощность, напряжение и ток в режиме холостого хода измеряют и регистрируют при номинальном напряжении или близком к нему, вычисляют по ним коэффициент мощности и индуктивное сопротивление статора, затем отключают двигатель от источника питания, регистрируют скачок напряжения статора, кривую затухания напряжения статора и измеряют сопротивление статора r1, по скачку напряжения, току, измеренному до отключения, коэффициенту мощности и сопротивлению фазы вычисляют реактивное сопротивление рассеяния x1 статора, по кривой затухания определяют постоянные времени Т0 и Т’ ротора соответственно при разомкнутом статоре и статоре, условно включенном на сеть бесконечно большой мощности, с использованием полученных значений рассчитывают коэффициенты рассеяния 1 и 2 статора и ротора, реактивное сопротивление взаимоиндукции X12, приведенное к статору реактивное сопротивление рассеяния X2‘ ротора, приведенное к статору активное сопротивление R2‘ ротора, с использованием полученных параметров рассчитывают по «Т»- или «Г»-образной схемам замещения с одним контуром на роторе рабочие характеристики.
РИСУНКИ
|