|
(21), (22) Заявка: 2009117011/28, 04.05.2009
(24) Дата начала отсчета срока действия патента:
04.05.2009
(46) Опубликовано: 10.06.2010
(56) Список документов, цитированных в отчете о поиске:
RU 2212677 С2, 20.09.2003. GB 1179337 А, 28.01.1970. SU 1242762 А1, 07.07.1986. SU 1150556 А1, 15.04.1985.
Адрес для переписки:
305040, г.Курск, ул. 50 лет Октября, 94, Государственное образовательное учреждение Высшего профессионального образования Курский государственный технический университет
|
(72) Автор(ы):
Иванов Владимир Ильич (RU), Титов Виталий Семенович (RU), Голубов Дмитрий Александрович (RU), Ставровский Михаил Евгеньевич (RU), Олейник Андрей Владимирович (RU)
(73) Патентообладатель(и):
Государственное образовательное учреждение Высшего профессионального образования Курский государственный технический университет (RU)
|
(54) СПОСОБ И УСТРОЙСТВО ИЗМЕРЕНИЯ ПАРАМЕТРОВ МНОГОЭЛЕМЕНТНЫХ ДВУХПОЛЮСНИКОВ
(57) Реферат:
Изобретение относится к измерительной технике. Измерение параметров пассивных многоэлементных двухполюсников осуществляют при питании объекта измерения импульсами тока, изменяющегося в течение их длительности по закону степенной функции времени, и интегрировании напряжения на двухполюснике. По дискретным отсчетам выходного напряжения интегратора после окончания переходного процесса до конца импульса вычисляют значения интеграла напряжения на двухполюснике в пределах и смежных интервалах времени. Результаты интегрирования подставляют в n уравнений с n неизвестными обобщенными параметрами комплексного сопротивления двухполюсника и по установленным в результате решения уравнений значениям обобщенных параметров вычисляют искомые параметры элементов двухполюсника. Технический результат заключается в расширении функциональных возможностей, упрощении и унификации алгоритма измерения параметров R-C, R-L и R-L-C двухполюсников, имеющих различные схемы замещения. 2 н.п. ф-лы, 2 ил.
Изобретение относится к измерительной технике, в частности к технике измерения параметров объектов в виде пассивных двухполюсников с сосредоточенными параметрами, имеющих многоэлементную схему замещения.
Известно устройство (патент РФ 2212677) для определения параметров многоэлементных двухполюсных цепей с измерительным преобразователем (ИП), выполненным на операционном усилителе (ОУ) с отрицательной обратной связью, в цепь которой включают измеряемый двухполюсник R-C или R-L типа, а также образцовый резистор [1]. На вход ИП подают прямоугольный импульс эталонного напряжения, из выходного напряжения ОУ выделяют свободную составляющую переходного процесса и подвергают операции интегрирования, в процессе интегрирования в момент времени t1 измеряют первое значение интеграла от указанного напряжения, далее в момент времени 2t1 измеряют второе значение интеграла от указанного напряжения, и из полученных значений интеграла вычисляют постоянную времени и амплитуду переходного процесса на выходе измерительного преобразователя, после чего по интегральным характеристикам свободной составляющей осуществляют вычисление параметров двухполюсной цепи.
Интегрирование выходного напряжения ИП применяется для уменьшения влияния случайной составляющей погрешности измерений, а использование свободной составляющей переходного процесса – для устранения влияния на результат измерения аддитивной погрешности измерительного канала.
Недостатками этого способа являются:
1) узкие функциональные возможности, позволяющие измерять параметры небольшого числа двухполюсников только с двумя или тремя элементами;
2) необходимость менять точки подключения измеряемого двухполюсника либо в цепь обратной связи, либо во входную цепь ОУ в зависимости от конфигурации схемы объекта измерения;
3) погрешности измерения, обусловленные влиянием частотных свойств
ОУ на характеристики переходного процесса.
Известен способ (патент РФ 2310872) определения параметров многоэлементных двухполюсных цепей, который заключается в использовании воздействия на исследуемую двухполюсную R-С или L-R цепь сигналом ступенчатой формы и применении операции интегрирования при определении параметров R и С двухполюсника R-С или параметров L и R двухполюсника L-R. [2]. В процессе интегрирования свободной составляющей переходного процесса измеряют первое значение интеграла от указанного напряжения на участке [0 t1]. Далее измеряют второе значение интеграла от указанного напряжения на участке [t1 2t1], далее определяют значения постоянной времени и амплитуды переходного процесса и по измеренным интегральным характеристикам переходного процесса вычисляют значения параметров двухполюсника.
Этот способ имеет те же недостатки, что и упомянутое выше устройство по патенту 2212677.
Наиболее близким по технической сущности к предлагаемому является способ (патент РФ 2180966) измерения параметров четырехэлементных двухполюсников, основанный на анализе переходных процессов в измерительном преобразователе (ИП), выполненном на базе операционного усилителя, в цепи отрицательной обратной связи которого включен измеряемый четырехэлементный двухполюсник R-C типа, а в цепи инвертирующего входа ОУ – образцовый резистор [3]. Параметры двухполюсника вычисляются по значениям четырех дискретных отсчетов выходного напряжения измерительной схемы путем решения системы из четырех уравнений с четырьмя неизвестными. При подаче на вход ИП скачка постоянного напряжения в измерительной цепи начинается переходный процесс, состоящий из суммы постоянной, линейно изменяющейся и экспоненциальной составляющих. В моменты времени t1, 2t1, 3t1 и 4t1 после начала переходного процесса аналого-цифровой преобразователь (АЦП) измеряет напряжение переходного процесса, и по результатам измерений микропроцессорный контроллер вычисляет постоянную составляющую, крутизну линейно изменяющейся составляющей, значения постоянной времени и амплитуды экспоненциальной составляющей переходного процесса, и по этим величинам – параметры исследуемого двухполюсника. Недостатками этого способа являются:
4) узкие функциональные возможности, позволяющие измерять параметры весьма ограниченного количества вариантов двухполюсников;
5) необходимость менять точки подключения измеряемого двухполюсника либо в цепь ОС, либо во входную цепь ОУ в зависимости от конфигурации схемы объекта измерения;
6) погрешности измерения, обусловленные влиянием паразитных цепей и частотных свойств ОУ на характеристики переходного процесса. Задача, на решение которой направлено изобретение, состоит в расширении функциональных возможностей, позволяющих измерять параметры различных видов многоэлементных пассивных двухполюсников:
R-С, R-L и R-L-C, упрощении процедуры определения параметров объектов измерения.
Технический результат достигается тем, что питание многоэлементного пассивного двухполюсника осуществляется от генератора импульсов тока, изменяющегося в течение его длительности по закону функции n-й степени времени, где n определяется числом элементов и конфигурацией схемы замещения измеряемого двухполюсника. При этом импульс принужденной составляющей напряжения на двухполюснике представляет собой сумму импульсов, имеющих форму степенной функции времени с показателями степени от 0 до n, амплитуды которых зависят от параметров двухполюсника. Предложенный способ основан на интегрировании напряжения на двухполюснике на n интервалах времени в промежутке от окончания переходного процесса и до окончания импульса и вычислении параметров многоэлементных двухполюсников путем решения системы уравнений. Применение операции интегрирования позволяет уменьшить влияние случайных погрешностей на результат определения параметров.
Сущность изобретения поясняется для случая четырехэлементного двухполюсника. Генератор вырабатывает импульсы тока кубичной формы, изменяющегося по закону третьей степени времени:

где Im – амплитуда импульса, tи – длительность. Операторное изображение тока имеет вид

а операторное изображение напряжения на измеряемом двухполюснике

где Z(p) – операторное изображение сопротивления двухполюсника.
Для четырехэлементного двухполюсника, имеющего конечное (не нулевое и не бесконечное) сопротивление на постоянном токе, сопротивление в операторной форме в общем случае можно представить дробно рациональной функцией

где коэффициенты полиномов знаменателя a0, a1, a2 и числителя b0, b1, b2 определяются компонентами схемы замещения двухполюсника. Отсюда операторное изображение напряжения можно представить в виде суммы простых дробей:

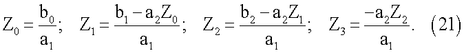
где Z0, Z1, Z2, Z3 – параметры комплексного сопротивления двухполюсника. При ненулевых значениях a0 и b0, что имеет место для большой группы реальных двухполюсников, величины Z0, Z1, Z2, Z3 определяются значениями параметров элементов двухполюсника:

Для двухполюсника с операторным сопротивлением вида (4) a3=0 и b3=0. Последнее слагаемое в скобках формулы (5) определяет свободную составляющую, а остальные – принужденную составляющую импульса напряжения на двухполюснике, которое устанавливается по окончании переходного процесса.
Величины, характеризующие переходный процесс,

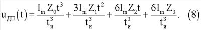
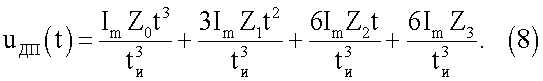
Установившееся напряжение на двухполюснике представляет собой сумму импульсов кубичной, квадратичной, линейной и прямоугольной форм:

Как видно из (8), амплитудные значения этих составляющих содержат информацию о параметрах двухполюсника.
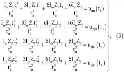
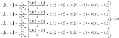
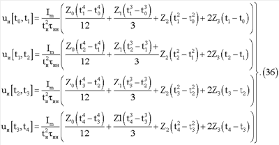
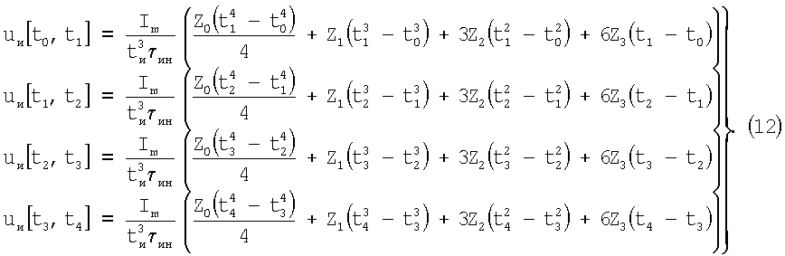
Для определения четырех неизвестных величин достаточно произвести измерения напряжения в четырех точках установившегося процесса в моменты времени t = t1, t2, t3, t4 и решить относительно Z0, Z1, Z2, Z3 систему четырех уравнений:

после чего можно вычислить значения параметров элементов двухполюсника, – сопротивления резисторов, емкости конденсаторов, индуктивности катушек.
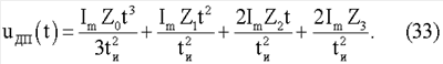
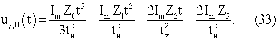
Для уменьшения ошибок, обусловленных погрешностями одиночных измерений напряжения на двухполюснике, это напряжение поступает на вход интегратора с постоянной времени ин. Выходное напряжение интегратора

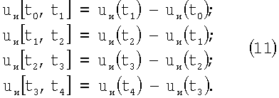
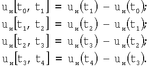
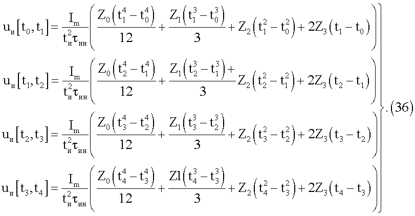
В пяти точках при t=t0, t1, t2, t3, t4, которые служат границами четырех примыкающих друг к другу интервалов интегрирования, измеряют выходное напряжение интегратора: uи(t0), uи(t1), uи(t2), uи(t3), uи(t4) и вычисляют значения интеграла напряжения на двухполюснике в границах каждого интервала:

На фиг.1 приводятся графики напряжения uдп(t) (кривая a) и напряжения uи(t) (кривая б). Площади заштрихованных участков под графиком uдп(t0) соответствуют значениям интеграла на четырех интервалах, указанных в выражении (11). Полученные значения интеграла подставляют в уравнения относительно величин Z0, Z1, Z2, Z3:

Решение системы уравнений (12) относительно величин Z0, Z1, Z2, Z3 позволяет вычислить параметры элементов двухполюсника.
Если двухполюсник имеет нулевое сопротивление на постоянном токе, то в выражении операторного сопротивления b0=0. Вынесем оператор p из числителя как общий множитель:

Этот множитель является символом дифференцирования, которое понижает степень импульса напряжения на двухполюснике на единицу. Поэтому чтобы обеспечить отсчет всех искомых параметров двухполюсника, необходимо увеличить степень импульса тока, в случае четырехэлементного двухполюсника – до четырех:

Операторное изображение тока

Установившееся напряжение на двухполюснике представляет собой сумму импульсов кубичной, квадратичной, линейной и прямоугольной форм:

В этом случае в выражениях для параметров Z0, Z1, Z2, Z3 индексы коэффициентов числителя смещаются на единицу, т.е.
 
Если двухполюсник имеет бесконечное сопротивление (разрыв цепи) на постоянном токе, то в выражении операторного сопротивления a0=0. Вынесем оператор p из знаменателя как общий множитель:

Этот множитель является символом интегрирования, которое повышает степень импульса напряжения на двухполюснике на единицу. Поэтому чтобы обеспечить отсчет четырех искомых параметров двухполюсника, достаточно использовать квадратичный импульс тока. Импульс тока 2-й степени

Операторное изображение тока

Установившееся напряжение на двухполюснике представляет собой сумму импульсов кубичной, квадратичной, линейной и прямоугольной форм:

В этом случае в выражениях для параметров Z0, Z1, Z2, Z3 индексы коэффициентов знаменателя смещаются на единицу, т.е.

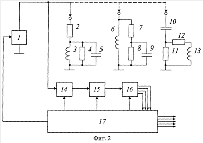
Схема и работа устройства для реализации предлагаемого способа измерения параметров четырехэлементных пассивных двухполюсников поясняются на фиг.2.
Измеритель параметров содержит генератор 1, формирующий последовательность импульсов тока, изменяющегося по закону n-й степени времени. Генератор импульсов имеет вход синхронизации, его общая шина заземлена. Выход генератора 1 соединен с первым полюсом двухполюсника объекта измерения. Второй полюс двухполюсника заземлен. На чертеже в качестве примеров приведены три варианта четырехэлементных двухполюсников с разнородными реактивными элементами: R-L-R-C типа с конечным сопротивлением для постоянного тока, L-R-R-С типа с нулевым сопротивлением для постоянного тока и C-R-R-L типа с бесконечным сопротивлением для постоянного тока. В обозначениях двухполюсников каждого типа символы элементов указаны в том порядке, в каком вычисляются их параметры. Первый двухполюсник (R-L-R-C) объекта измерения состоит из первого резистора 2, последовательно с которым включены параллельно соединенные катушка 3 индуктивности, второй резистор 4 и конденсатор 5. Второй двухполюсник (L-R-R-C) объекта измерения содержит катушку 6 индуктивности, параллельно которой включены последовательно соединенные первый резистор 7 и параллельно включенные второй резистор 8 и конденсатор 9. Третий двухполюсник (C-R-R-L) объекта измерения содержит последовательно соединенные конденсатор 10 и первый резистор 11, параллельно которому подключены последовательно соединенные второй резистор 12 и катушка 13 индуктивности.
Измеритель параметров двухполюсников содержит также интегратор 14, устройство выборки-хранения (УВХ) 15, аналого-цифровой преобразователь (АЦП) 16 и микропроцессорный контроллер (МПК) 17. Вход интегратора 14 подключен к точке соединения выхода генератора 1 с измеряемым двухполюсником. Выход интегратора 14 соединен с первым (сигнальным) входом УВХ 15, выход которого объединен с аналоговым входом АЦП 16. Цифровой выход АЦП 16 соединен с шиной данных МПК 17. Сигналы управления от МПК 17 подаются на генератор 1 импульсов тока (сигнал синхронизации), на интегратор 14 (инициализация начала интегрирования), на УВХ 15 (стробирование выборки напряжения интегратора) и на АЦП 16 (считывание цифрового кода напряжения интегратора).
Устройство работает следующим образом.
Пример 1. Рассмотрим случай четырехэлементного двухполюсника, имеющего конечное сопротивление на постоянном токе, а именно R-L-R-С типа. По сигналу синхронизации из МПК 17 генератор 1 вырабатывает импульс тока кубичной формы, изменяющегося по закону третьей степени от времени:

где Im – амплитуда импульса, tи – длительность. При этом на двухполюснике
объекта измерения формируется импульс напряжения, которое содержит принужденную и свободную составляющие. Принужденная составляющая напряжения uдп(t) на многоэлементном двухполюснике после окончания переходного процесса состоит из напряжений кубичной, квадратичной, линейной и плоской (прямоугольной) формы:

Для двухполюсника с элементами R2-L3-R4-С5 операторное сопротивление выражается в виде

а параметры сопротивления двухполюсника

Импульс напряжения на двухполюснике uдп(t0) поступает на вход интегратора с постоянной времени ин. При нулевых начальных условиях выходное напряжение интегратора имеет вид

По командам из МПК 17, поступающим в УВХ 15 и АЦП 16, при пяти значениях времени t=t0, t1, t2, t3, t4, которые служат границами четырех примыкающих друг к другу интервалов интегрирования, измеряется выходное напряжение интегратора: uи(t0), uи(t1), uи(t2), uи(t3), uи(t4) (см. фиг.1). МПК вычисляет значения интеграла напряжения на двухполюснике в границах каждого интервала:

Полученные значения интеграла подставляются в уравнения (12). Решение системы уравнений (12) относительно величин Z0, Z1, Z2, Z3 используется для вычисления параметров двухполюсника:

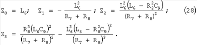
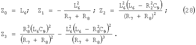
Пример 2. Рассмотрим двухполюсник с нулевым сопротивлением на постоянном токе с элементами L6-R7-R8-C9. Его операторное сопротивление выражается в виде

Вынесем оператор р из числителя как общий множитель:

Чтобы обеспечить отсчет четырех искомых параметров двухполюсника, необходимо использовать импульсы тока 4-й степени:

Установившееся напряжение на двухполюснике представляет собой сумму импульсов кубичной, квадратичной, линейной и прямоугольной форм:

В этом случае параметры сопротивления Z0, Z1, Z2, Z3 равны

Выходное напряжение интегратора имеет вид

а система уравнений для определения величин Z0, Z1, Z2, Z3

Решение системы уравнений (30) относительно величин Z0, Z1, Z2, Z3 позволяет вычислить параметры элементов двухполюсника L6, R7, R8, C9 с помощью формул (28).
Пример 3. Рассмотрим двухполюсник с элементами C101-R11-R12-L13, который имеет бесконечное сопротивление (разрыв цепи) на постоянном токе. Его операторное сопротивление выражается в виде

Вынесем оператор p из знаменателя как общий множитель:

Чтобы обеспечить отсчет четырех искомых параметров двухполюсника, достаточно использовать квадратичный импульс тока

Установившееся напряжение на двухполюснике представляет собой сумму импульсов кубичной, квадратичной, линейной и прямоугольной форм:

Здесь

Выходное напряжение интегратора имеет вид

а система уравнений для определения величин Z0, Z1, Z2, Z3

Решение системы уравнений (36) относительно величин Z0, Z1, Z3, Z3 используется для вычисления параметров элементов двухполюсника С10, R11, R12, L13 с помощью формул (34).
Таким образом, предлагаемые способ и устройство существенно увеличивают количество вариантов измеряемых многоэлементных пассивных двухполюсников. Использование обобщенных величин Z0, Z1, Z2, Z3 позволяет унифицировать процедуру вычисления параметров двухполюсников разнообразной конфигурации схемы замещения.
Источники информации
1. Патент РФ 2212677, G01R 27/02. Устройство для определения параметров многоэлементных двухполюсных цепей / Н.Н.Хрисанов, Д.Б.Фролагин, опубл. 20.09.2003.
2. Патент РФ 2310872, G01R 27/02. Способ определения параметров многоэлементных двухполюсных цепей / Н.Н.Хрисанов, опубл. 20.11.2007.
3. Патент РФ 2180966, G01R 27/26. Способ определения параметров двухполюсников / М.Р.Сафаров, Л.В.Сарваров, Ю.Д.Коловертнов, Г.Ю.Коловертнов, опубл. 27.03.2002.
Формула изобретения
1. Способ измерения параметров многоэлементных двухполюсников, основанный на воздействии на двухполюсник объекта измерения импульсами тока и анализе напряжения на измеряемом двухполюснике, отличающийся тем, что импульсы тока в измеряемом двухполюснике в течение их длительности изменяют по закону n-й степени времени, где n определяется числом измеряемых параметров и конфигурацией схемы замещения двухполюсника, напряжение на двухполюснике, которое после завершения переходного процесса и до окончания импульса тока содержит сумму колебаний, имеющих форму степенных функций времени с показателями степени от 0 до n, подвергают интегрированию и по дискретным отсчетам выходного напряжения интегратора вычисляют значения интеграла напряжения на двухполюснике в пределах и смежных интервалов времени, результаты интегрирования подставляют в n уравнений с n неизвестными обобщенными параметрами комплексного сопротивления двухполюсника, и по установленным в результате решения уравнений значениям обобщенных параметров вычисляют искомые параметры элементов двухполюсника.
2. Устройство измерения параметров многоэлементных двухполюсников, содержащее генератор импульсов, выход которого подключен к первому полюсу измеряемого многоэлементного двухполюсника, второй полюс двухполюсника заземлен, общая точка соединения выхода генератора импульсов и первого полюса измеряемого двухполюсника соединена с входом интегратора, выход интегратора подключен к сигнальному входу устройства выборки-хранения, выход которого соединен с аналоговым входом аналого-цифрового преобразователя (АЦП), вход синхронизации генератора импульсов подключен к первому выходу микропроцессорного контроллера (МПК), вход запуска интегратора соединен с вторым выходом МПК, стробирующий вход устройства выборки-хранения подключен к третьему выходу МПК, вход считывания АЦП соединен с четвертым выходом МПК, выходная цифровая шина АЦП подключена к шине данных МПК, отличающееся тем, что в качестве генератора импульсов включен генератор последовательности импульсов тока, изменяющегося в течение их длительности по закону n-й степени времени, причем показатель степени n устанавливают в соответствии с числом элементов и конфигурацией схемы измеряемого двухполюсника.
РИСУНКИ
|