|
|
(21), (22) Заявка: 2008153058/15, 29.12.2008
(24) Дата начала отсчета срока действия патента:
29.12.2008
(46) Опубликовано: 10.06.2010
(56) Список документов, цитированных в отчете о поиске:
RU 2108579 C1, 10.04.1998. RU 2067764 С1, 10.10.1996. US 5907399 А, 25.05.1999. JP 10267827 А, 09.10.1998. MINDUKSHEV IGOR V. et. al. A new method for studying platelets, based upon the low-angle light scattering technique. 1. Theoretical and experimental foundation of the method. Spectroscopy, Amsterdam, Netherlands, 2005, 19 (5-6), 235-246.
Адрес для переписки:
190000, Санкт-Петербург, ВОХ 1234, ЛЮМЭКС, А.А. Строганову (для И.С. Бочаровой)
|
(72) Автор(ы):
Миндукшев Игорь Викторович (RU)
(73) Патентообладатель(и):
Общество с ограниченной ответственностью “ВИНТЕЛ” (RU)
|
(54) СПОСОБ ОПРЕДЕЛЕНИЯ АГРЕГАЦИОННОЙ АКТИВНОСТИ ТРОМБОЦИТОВ И УСТРОЙСТВО ДЛЯ ЕГО ОСУЩЕСТВЛЕНИЯ
(57) Реферат:
Группа изобретений относится к медицине, точнее к диагностическим методам оценки состояния тромбоцитарного звена гемостаза. Предложен способ определения агрегационной активности тромбоцитов, включающий получение обогащенной тромбоцитами плазмы из крови, разбавление плазмы солевой средой не менее чем в 10 раз с последующей регистрацией интенсивности светорассеяния в малых углах в условиях однократного светорассеяния. При этом определяют параметры агрегационной активности тромбоцитов, включая начальную скорость агрегации, определяемую по начальной скорости уменьшения светорассеяния отдельными тромбоцитами и увеличения светорассеяния их димерами после действия агонистов, степень прохождения агрегации, определяемую по величине максимальной амплитуды интенсивности рассеяния, и концентрацию клеток, определяемую по разнице сигналов интенсивности светорассеяния, полученных при фотометрировании кюветы со средой до и после добавления обогащенной тромбоцитами плазмы. Предложено устройство, создающее гидродинамический режим с развитой турбулентностью без образования пузырей воздуха, которое обеспечивает при концентрации тромбоцитов в диапазоне 1·105-5·107 кл/мл и их полной активации прохождение полной агрегации в течение не более 20 минут. Изобретение позволяет повысить достоверность и диагностическую ценность тромбоцитарного анализа. 2 н. и 3 з.п. ф-лы, 14 ил., 2 табл.
Изобретение относится к способам оценки функциональной активности тромбоцитов, конкретно к количественной оценке агрегации этих клеток, и может быть использовано клинико-диагностическими лабораториями медицинских учреждений для выполнения диагностики предтромбоза и тромботических состояний, фармацевтическими предприятиями для тестирования действия фарм-препаратов и научными лабораториями для исследования молекулярных механизмов функционирования тромбоцитов и принципов организации сигнальных систем.
Анализ агрегации тромбоцитов относится к важнейшим задачам гематологии, поскольку диагностика тромбозов широко распространена в клинической практике и играет важную роль в оценке патогенеза многих заболеваний. Летальность от ишемической болезни сердца и тромбозов сосудов головного мозга составляет в развитых странах 40-50% от общей летальности взрослого населения.
Микроскопический метод оценки форм тромбоцитов, обладая простотой и доступностью в клинической практике (А.С.Шитикова “Изменение формы тромбоцитов как показатель их внутрисосудистой активации”. В сб. “Клинико-лабораторная диагностика предтромбоза и тромботических состояний”, С-Петербург, 1991, с.38-52), является трудоемким в исполнении, не реализуется в автоматизированном апаратурном исполнении и не позволяет проводить кинетических исследований.
1642385. кл. G01N 33/49, 1989 г.). Возможности этих методов ограничены тем, что полученные результаты сильно зависят от гидродинамических характеристик измерительного прибора. Позволяя получить хорошее разрешение активационного и агрегационного процесса (в отличие от метода Борна), эти методы не позволяют различать активационные стадии (сферизация и образование псевдоподий). Недостатком этих методов также как и в методе Борна, является то, что, все они реализованы в условиях плазмы с низким нефизиологическим значением концентрации ионов кальция в среде.
Другим примером использования техники светорассеивания является способ, включающий получение обогащенной тромбоцитами плазмы (PRP) из крови, разбавление обогащенной тромбоцитами плазмы обедненной тромбоцитами плазмой, помещение разбавленной тромбоцитной плазмы в кюветное отделение фотометра, снабженного перемешивающим устройством, и измерение амплитудно-частотной характеристики интенсивности светорассеяния в 40 градусном угле, который позволяет независимо регистрировать активацию (не разделяя ее по стадиям) и агрегацию тромбоцитов (Affolter.H., Pletscher.A. Rheo-optical shape analysis of human blood platelets. Thromb. Haemostas. – 1982. – V.48(2) – P.204-207).
К сожалению, данному способу присущи те же недостатки, что и вышеперечисленным, а именно невозможность проводить измерения при значениях ионов кальция в среде, близким к физиологическим (около 1 mM) и невозможность использовать интенсивность светорассеяния для идентификации активационных стадий. Указанные недостатки обусловлены тем, что для разбавления обогащенной тромбоцитами плазмы использована обедненная тромбоцитами плазма.
Использование светорассеивающих характеристик тромбоцитов и изменение методологии оценки, достигнутое в патенте RU 2108579 (Деркачев Э.Ф., Миндукшев И.В., Кривченко А.И., Крашенниников А.А. “Способ исследования активации и агрегации тромбоцитов”) позволило не только проводить оценку функциональной активности тромбоцитов в условиях, близких к физиологическим, но регистрировать две стадии активации этих клеток. Этот патент выбран в качестве прототипа к предлагаемому изобретению. Данный способ включает получение обогащенной тромбоцитами плазмы из крови, помещение солевой физиологической среды в кювету, находящуюся в кюветном отделении прибора, снабженного перемешивающим устройством, с последующим добавлением обогащенной тромбоцитами плазмы, таким образом, что эта плазма разбавляется солевой средой в 20-100 раз, пропускание светового луча через кювету, и измерение интенсивности светорассеяния в углах от 0 до 20 градусов после действия агонистов.
Недостатком данного способа является, то что, при таком разбавлении обогащенной тромбоцитами плазмы стандартные перемешивающие устройства, которые используются в агрегометрах, не могут обеспечить прохождение агрегации в течение 10-15 минут в течение промежутка времени, не превосходящего 20 минут. В стандартных агрегометрах применяется магнитная мешалка, в которой используется волчок в виде небольшого стержня с защищенной поверхностью. Данная конструкция волчка при скорости оборотов мешалки около 1500 об/мин позволяет обеспечить прохождение агрегации при использовании обогащенной тромбоцитами плазмы (ОТП) (platelet-rich plasma – PRP) с концентрацией клеток в диапазоне 1·109-7·109 кл/мл. Но при разбавлении плазмы в 20-100 раз данная конструкция не позволяет внести достаточную мощность, чтобы обеспечить высокую вероятность столкновения клеток, что является необходимым условием прохождения агрегации. Существенное увеличение скорости оборотов мешалки в этих условиях приводит как к образованию газовых пузырей, так и повреждению клеток. Кроме того, данный метод плохо адаптирован для клинической практики, для которой требуется введение количественных параметров, имеющих диагностическую ценность.
Устройства лазерных анализаторов частиц достаточно хорошо представлены рядом патентов (патент USA 3,563,660, 1971 г., патент USA 4,348,111, 1982 г., патент USA 4,387,993, 1983 г., патент USA 4,842,406, 1989 г., патент USA 4,957,363, 1990 г., патент USA 5,426,501, 1995 г., патент USA 6,999,171, 2006 г.).
В качестве прототипа устройства выбран патент Y.Shirasawa, T.Yamamoto (Патент USA 5,907,399, 1999 г.). В качестве источника излучения в прототипе используется полупроводниковый лазер (40 мВТ), луч света фокусируется в коллиматоре и проходит через кювету, в которую помещена суспензия тромбоцитов или других клеток крови. Кювета снабжена перемешивающим устройством, состоящая из перемешивающего волчка (stirring bar) и магнитной мешалки, обеспечивающей перемешивание со скоростью 1000 об/мин. Кювета также термостатируется при температуре 37°С. Рассеянный тромбоцитами (или другими клетками), свет регистрируется множеством фотодиодов, электрический сигнал с которых усиливается и преобразовывается в АЦП, и далее поступает на компьютер. Данный патент реализует регистрацию размеров отдельных агрегатов в условиях, когда агрегация проходит в обогащенной тромбоцитами плазме.
Недостатком прототипа является то, что данное устройство не позволяет регистрировать агрегацию тромбоцитов в условиях концентрации клеток в диапазоне 1·105-5·107 кл/мл.
Задачей настоящего изобретения является определение параметров агрегационной активности тромбоцитов, позволяющих количественно определять агрегационный статус тромбоцитов при физиологической концентрации ионов кальция и рН в среде. Это позволяет расширить информационную ценность клинических, фармакологических и научных работ в этой области.
Для решения поставленной задачи предлагается способ определения агрегационной активности тромбоцитов, включающий получение обогащенной тромбоцитами плазмы из крови, помещение солевой физиологической среды в кювету, находящуюся в кюветном отделении прибора, снабженного перемешивающим устройством, с последующим получением клеточной суспензии путем добавления обогащенной тромбоцитами плазмы в солевую физиологическую среду в кювете, причем плазма разбавляется солевой средой не менее чем в 10 раз, пропускание светового луча через кювету, измерение интенсивности светорассеяния солевой физиологической среды и полученной клеточной суспензии в кювете, добавку агонистов в клеточную суспензию, измерение динамики изменения интенсивности светорассеяния после добавки агонистов, определение кинетики агрегации тромбоцитов по уменьшению светорассеяния отдельными клетками тромбоцитов и увеличению светорассеяния их димерами, причем при измерении интенсивности светорассеяния в кювете производят вихревое перемешивание клеточной суспензии, а интенсивность перемешивания выбирают в диапазоне, нижний предел которого обеспечивает в течение не более 20 минут после добавки насыщающей дозы агониста образование не менее чем 90% димеров тромбоцитов при концентрации тромбоцитов в диапазоне 1·105-5·107 кл/мл и при температуре не более 38°С, а верхний предел не превосходит интенсивности перемешивания, при которой происходит образование газовых пузырей в перемешиваемой среде, причем по динамике изменения интенсивности светорассеяния под углом, предпочтительно выбранном в диапазоне 0.5-6 градусов, определяют параметры агрегационной активности тромбоцитов, включая начальную скорость агрегации, определяемую по начальной скорости уменьшения светорассеяния отдельными тромбоцитами, и увеличения светорассеяния их димерами после действия агонистов, степень прохождения агрегации, определяемую по величине максимальной амплитуды интенсивности рассеяния и концетрацию, определямую по разнице сигналов интенсивности светорассеяния, полученных при фотометрировании кюветы со средой до и после добавления обогащенной тромбоцитами плазмы.
Для реализации указанного способа предлагается устройство, содержащее источник излучения, измерительную кювету, средства перемешивания, приемник излучения, электронный блок, включающий плату усилителей и аналого-цифровой преобразователь, причем средства перемешивания выполнены с возможностью перемешивания в кювете солевой физиологической среды с тромбоцитами с заданной интенсивностью перемешивания в диапазоне, нижний предел которого обеспечивает образование не менее чем 90% димеров тромбоцитов в течение не более 20 минут после добавки насыщающей дозы агониста и при начальной концентрации тромбоцитов в диапазоне 1·105-5·107 кл/мл и при температуре не более 38°С, а верхний предел не превосходит интенсивности перемешивания, при которой происходит образование газовых пузырей в перемешиваемой среде.
Указанная совокупность позволяет регистрировать агрегацию тромбоцитов в условиях разбавления обогащенной плазмы тромбоцитов более чем в 10 раз солевой средой, что позволяет определять параметры агрегационной активности тромбоцитов при физиологической концентрации ионов кальция и значения рН в среде.
Сущность предлагаемого изобретения поясняется чертежами, где
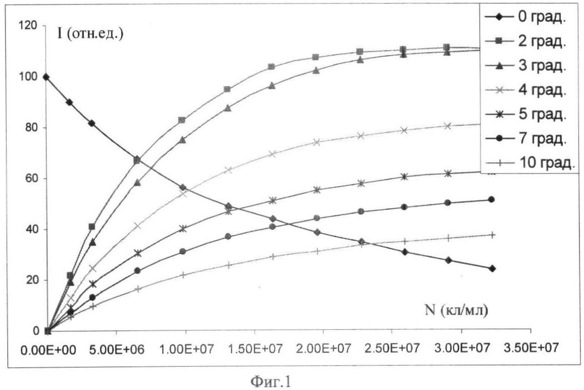
фиг.1. Представляет зависимость интенсивности света в диапазоне углов 0-10 градусов (I) от концентрации тромбоцитов человека в NaCl-среде. Значения по оси абсцисс даны в научном формате числа (2Е+06 2·106);
фиг.2. Приведена графическая оценка параметров агрегации и активации тромбоцитов, регистрируемой по динамике интенсивности светорассеяния в 2 градусном углу;
фиг.3. Приведена зависимость в двойных обратных координатах константы второго порядка агрегации (~Vn/N2) от концентрации ионов кальция в среде при разной скорости оборотов мешалки (АДФ – 0,6 µМ);
фиг.4. Даны теоретические индикатрисы для ансамбля частиц 3 и 6 мкм с заданным характером распределения частиц по размерам;
фиг.5. Приведена зависимость величины Amax от величины угла;
фиг.6. Приведен характер зависимости начальной скорости агрегации от концентрации АДФ. Показаны записи в двух углах 2 и 12 градусов;
фиг.7. Приведен стандартный протокол количественной оценки статуса тромбоцитов. Определение величин EC50 и Umax сделано компьютерными (Excel) и графическими средствами;
фиг.8. Приведен протокол исследования функциональной активности тромбоцитов;
фиг.9. Приведена полная динамика трансформации тромбоцитов. Наблюдается первичная агрегация, дезагрегация, вторичная агрегация и процесс свертывания. Показана динамика при 2, 4, 6, 8 и 12 градусах; для удобства представления значения сигналов при 8 и 12 градусах увеличены в несколько раз;
фиг.10. Приведена компьютерная обработка динамики сигнала в 2 градусном угле. Графически показано определение величины времени наступления процесса свертывания;
фиг.11.а) представлена зависимость нормированной начальной скорости агрегации тромбоцитов (Un) от концентрации АДФ для здорового пациента (контроль) и для больного ишемической болезнью сердца (ИБС); б) представлена зависимость в двойных обратных координатах;
фиг.12. Приведена зависимость нормированной начальной скорости агрегации тромбоцитов (Umax) от концентрации АДФ для здорового донора (контроль) и для больного с искусственным сердечным клапаном;
фиг.13. Представлена структурная схема используемого в патенте устройства;
фиг.14. Представлены варианты кюветы со средствами перемешивания.
Для корректного применения метода малоуглового светорассеяния необходимо, чтобы проходящий через измерительную кювету свет только один раз рассеивался на частице (клетке) и вторично не рассеивался на другой частице (многократное рассеяние). Это достигается ограничением создаваемой концентрации частиц. Критерием однократности рассеяния является сохранение близкое к линейной зависимости между интенсивностью светорассеяния и концентрацией частиц (Ван де Хюлст Г., 1961). На фиг.1 показана зависимость интенсивности светорассеяния в разных углах от концентрации тромбоцитов. Видно, что это условие соблюдается при концентрациях клеток не выше 107 кл/мл. Ограничение создаваемой концентрации клеток для соблюдения однократности рассеяния зависит от их размера, чем крупнее клетки, тем меньше этот порог концентрации.
В условиях однократного рассеяния величина сигнала интенсивности рассеяния от концентрации тромбоцитов в суспензии хорошо описывается линейным трендом. Таким образом, сделав калибровку добавками обогащенной тромбоцитами плазмы с известной концентрацией клеток по сигналу одного из датчиков (например, используя датчик, расположенный в 2 градусном угле), в дальнейшем определяют концентрацию тромбоцитов по этой калибровке. Соответственно, введя коэффициент разбавления обогащенной тромбоцитами плазмы (ОТП) физиологической средой рассчитывают концентрацию тромбоцитов в ОТП.
Соблюдение принципа однократного рассеяния приводит к тому, что обогащенная тромбоцитами плазма разбавляется в 20-100 раз, при этом концентрация тромбоцитов в кювете находится в диапазоне от 1·105 до 2·107 кл/мл. При такой концентрации вероятность соударения частиц, и соответственно скорость образования агрегатов, согласно уравнению Смолуховского, уменьшается в 100-10000 раз. Соответственно, необходимо многократно увеличить мощность, вносимую системой перемешивания. Вызванная агонистами агрегация происходит при активации тромбоцитов, при которой происходит сборка гликопротеинового комплекса GPIIb/IIIa (интегринового рецептора IIb 3
В солевой среде (140 мМ NaCl, pH 7.4 Трис-буфер, [Са2+]0-1 мМ, при концентрации тромбоцитов около 106 кл/мл) агрегация, регистрируемая по интенсивности светорассеянию в 2 градусном угле, носит близкий к экспоненциальному от времени характер во всем диапазоне концентрации АДФ. Такой характер дает возможность характеризовать агрегацию следующими величинами (см. фиг.2): начальной величиной сигнала I(2)0 – пропорциональной концентрации клеток No, начальной скоростью агрегации (Vn), и конечной величиной сигнала I(2).
Предлагается математический алгоритм, который реализован в компьютерной программе, позволяющей адекватно определять параметры, обозначенные на фиг.2. Алгоритм реализуется по следующей схеме:
Предварительно производим медианную фильтрацию исходного сигнала для удаления случайных выбросов и линейное сглаживание для уменьшения шума сигнала. На выделенном маркерами диапазоне определяется фоновый участок, как участок линейности, начиная с начала выбранного диапазона. Начиная с точки окончания фонового участка, определяется участок скачка в сторону увеличения сигнала. Находится точка максимума скорости роста экспериментальной зависимости. Поиск производится на диапазоне заданной продолжительности, начиная с точки окончания участка линейности. Точка максимума сигнала находится методом перебора на участке от конца участка линейности до конца, выбранного для анализа диапазона. Помимо абсолютного значения сигнала в данной точке рассчитывается значение сигнала относительно участка линейности, как разность сигнала в точке максимума и значения функции регрессии участка линейности, экстраполированной в данную точку. Так же рассчитывается разность сигнала в точке максимума и значения сигнала на фоновом участке, как значения сигнала в точке максимума относительно фона.
Кинетика агрегации (и/или коагуляции) описывается теорией столкновений (Смолуховский цит. по Дерягину Б.В., 1987, Frisch H.L, 1956), в рамках которой, скорость реакции (агрегации) определяется вероятностью и эффективностью столкновения клеток. Теория предсказывает, что кинетика агрегации является реакцией второго порядка относительно концентрации клеток, и первоначально образовавшие агрегаты представлены преимущественно димерами.
Ранее было показано, что реакция агрегации является реакцией второго порядка относительно концентрации клеток (No) (Деркачев Э.Ф., Миндукшев И.В., Кривченко А.И., Крашенниников А.А. “Способ исследования активации и агрегации тромбоцитов”. Патент RU 2108579 С1, 6 G01N 33/49. 1998. Бюллетень Изобретений 10 (II). С.298.
Константа второго порядка kex реакции определяется уравнением:

с единицами размерности (мин·кл/мл)-1. Или в относительных единицах:

Известно, что величина kex зависит от вероятности и эффективности столкновения. Поэтому влияние скорости оборотов мешалки (W) (фактор вероятности столкновения) и концентрации ионов кальция в среде ([Ca2+]o) (фактор эффективности соударения) на агрегацию оценивается относительно величины .
На фиг.3 представлена в двойных обратных координатах зависимость величины от концентрации ионов кальция в среде ([Са2+]o) при разных оборотах мешалки. Константа полунасыщения концентрации свободного кальция в среде (K0,5) графически определяется ~0,25 мМ (0,24±0,7 мМ по 5 животным).
Зависимость величины от скорости оборотов мешалки (W) при разных концентрациях кальция в среде определяется степенной функцией с показателем m<1.
На основании этих данных уравнение начальной скорости агрегации в солевой среде при максимальной активации тромбоцитов в условиях развитой турбулентности имеет вид:

Из уравнения видно, что между факторами, определяющими скорость агрегации (концентрация клеток, концентрация ионов кальция в среде, обороты мешалки), существует определенная эквивалентность, и их можно взаимно заменять. Но в то же время изменение оборотов мешалки и концентрации ионов кальция в среде не меняет порядок реакции.
Скорость агрегации максимальна при рН среды 7.8, и уменьшается при закислении среды. При рНо 6.0 агрегация отсутствует.
Экспериментально найдены условия по минимальной концентрации клеток , когда агрегация не будет наблюдаться. Она была оценена около 105 кл/мл, причем и Сао, и рНо, и W меняют эту величину. (Миндукшев И.В. Исследование кинетики активации и агрегации тромбоцитов методом малоуглового светорассеяния. Диссертация на соискание ученой степени. СПбГУ, 1996. 103 с.).
Кроме начальной скорости агрегации, другой важной характеристикой является полнота прохождения агрегации (An). В традиционном методе Борна за 100% принимается начальный сигнал, и амплитуда уменьшения сигнала (просветление) характеризует полноту прохождения агрегации. В предлагаемом методе агрегация характеризуется повышением сигнала. Соответственно, эта величина соотносится с начальным значением сигнала и вычисляется по следующему уравнению (см. фиг.2):

По существу эта величина характеризует образование димеров из одиночных клеток. По нашим экспериментальным данным эта величина достигает величины AMAX ~ 5-6.
Теоретический расчет индикатрис одиночных клеток и димеров устанавливает, что эта величина зависит от начального распределения клеток по размерам и распределения димеров от размеров.
При используемой длине волны лазера (0.67 мкм) индикатриса светорассеяния частицами размером до 10 мкм удовлетворительно описываются приближением Релея-Ганса (Шифрин К.С. (1951), Ван де Хюлст Г. (1961), Борен К. (1986). На фиг.4 показаны зависимости логарифма интенсивности (In I) от угла рассеяния ( ), рассчитанные по уравнению Релея-Ганса, для частиц диаметром d=3 мкм (как приближенную модель тромбоцита), и частиц диаметром d=6 мкм (приближение для агрегата, образованного двумя частицами), с заданными Гаусовским характером распределения частиц по размерам. Абсолютные значения интенсивности света для 6 мкм частиц в 2 раза ниже, что обусловлено уменьшением концентрации частиц при образовании из мономеров димеров. Эти расчетные зависимости представлены для частиц с заданными функциями распределения частиц по размерам (показаны на фиг.4), что приводит к сглаживанию дифракционной картины.
На фиг.5 представлена рассчитанная по представленным индикатрисам (фиг.4) величины Amax от величины угла. Если использовать в качестве оценки агрегации динамику сигнала в 2 градусном углу, то рассчитанная величина Amax=5.4. Тогда степень прохождения агрегации А% определяется по формуле (реализация патента по п.3):

Для агрегации, оцененной по динамике 2 градусного угла, расчет величины А% проводиться по следующей формуле:

Степень прохождения агрегации можно рассчитывать по любому углу в диапазоне углов 0.5-6 градусов, т.к. в этом диапазоне величина монотонно убывает (фиг.4), например для 1 градусного угла величина Amax=7.37.
Приведенные расчетные характеристики позволяют предсказать динамику агрегационного ответа, в ближних углах (до 5 градусов) при агрегации интенсивность будет увеличиваться, тогда как в дальних углах (около 10 градусов) интенсивность сигнала будет снижаться, соответственно дезагрегационный процесс будет давать обратную картину.
Исследования действия АДФ на тромбоциты показали, что агрегация вызывается большими дозами агониста, чем активация тромбоцитов. Активация связана только с повышением внутриклеточной концентрации кальция. Необходимым условием агрегации является образование гликопротеинового комплекса GPIIb/IIIa (интегринового рецептора IIb 3). Для этого процесса мобилизация внутриклеточного кальция является необходимым, но не достаточным звеном, и требуется активация ряда киназных систем.
Метод малоуглового светорассеяния позволяет стандартизовать условия исследования по солевому составу (тоничности, рН, ионов кальция). В этих условиях во всех экспериментах наблюдается дозовая зависимость начальной скорости агрегации от концентрации АДФ (V=f([АДФ]) (фиг.6). Эта зависимость носит насыщающий характер (Ленгмюровского типа), и количественно характеризуется двумя величинами: ЕС50 – концентрация вещества, необходимая для достижения половины максимального эффекта и Vmax – максимальная скорость реакции при насыщающей дозе вещества. Удобно то, что можно использовать как графическую оценку этих величин в координатах Лайнуивера-Берка, так и применять статистический метод линейного тренда. Обе получаемые величины (ЕС50 и Umax) отражают функциональный статус тромбоцитов, где ЕС50 – характеризует чувствительность действия АДФ, a Umax – отражает максимально возможное количество мест связывания на поверхности клетки при действии насыщающей дозы АДФ (коррелирует с количеством фибриногеновых рецепторов на одной клетке).
Методическая последовательность экспериментальных определений величин ЕС50 и Umax следующая:
– Проводится регистрация начальной скорости агрегации, вызванная разными дозами АДФ. 4-6 доз АДФ в области концентраций 100-1000 нМ (При различных нарушениях статуса тромбоцитов диапазон концентраций может варьироваться). Проводится оценка начальных скоростей агрегации.
– Начальные скорости нормируются (см. уравнение 2) согласно уравнению: 
– Приводятся таблица данных зависимости нормированных скоростей Un от концентрации АДФ.
– Вычисляются обратные величины (1/Un и 1/[АДФ]).
– Статистическими методами проводится оценка величин ЕС50 и Umax, на основании уравнения:

Реализация этого алгоритма представлена на фиг.7.
Применяемая дозо-зависимая оценка более точно характеризует агрегационную активность тромбоцитов, чем оценка по одной дозе в методе Борна, что повышает достоверность этого тромбоцитарного анализа. Это особенно важно в условиях, когда фармакологические препараты или патологические условия привели к трансформации внутриклеточного статуса тромбоцитов, при котором низкие дозы агониста вызывают повышенную агрегацию, а высокие – пониженную (смешанный тип действия), и в этих условиях оценка по одной дозе ошибочно характеризует агрегационную активность клеток.
Представленный метод позволяет качественно и количественно характеризовать функциональный статус тромбоцитов, что особенно важно для исследования сложных патологий, связанных с нарушением тромбоцитарного звена гемостаза.
В таблице 1 приведены сравнительные характеристики традиционного метода, и метода, основанного на технике малоуглового светорассеяния. Существенное достоинство предлагаемого метода – это возможность физиологической концентрации ионов кальция, существенно влияющего на скорость протекания ряда ферментативных/рецепторных процессов.
Следует отметить, что метод может быть применен для тестирования других (отличных от АДФ) агонистов, таких как, – тромбин, PAV, адреналин, коллаген, фибриноген, фактор Вилебранта и др. При таких клинических анализах достаточно выполнение метода по п.1, где определяется степень прохождения агрегации при предъявлении разных агонистов с выбранной дозой. На Фиг.8 представлен протокол такого исследования нарушения гемостаза у пациентки, выполненный в Новосибирской Медицинской Академии, демонстрирующий возможности разработанного способа по п.1. На основании этих исследований тромбоцитарного звена гемостаза (представленным способом) и параллельных исследований плазменного звена гемостаза врачом-гемостазиологом делается развернутое клиническое заключение.
В предыдущих примерах определение агрегационной активности тромбоцитов основывалось на оценке начальной агрегации тромбоцитов. Реально кинетика трансформации тромбоцитов более сложная. На фиг.9 представлена полная динамика трансформации клеток. Можно выделить несколько процессов: первичная агрегация, дезагрегация, вторичная агрегация и процесс свертывания (образование фибринового сгустка). Одновременная регистрация этих процессов в разных углах регистрации позволяет их хорошо идентифицировать. Отличительной особенностью прохождение процесса свертывания от агрегации (или дезагрегации), является то, что сигналы во всех углах убывают. При агрегации сигналы в ближних углах увеличиваются, а в дальних углах убывают, а при дезагрегации, наоборот, в ближних углах увеличиваются, а в дальних – убывают. Такой характер динамики предсказывается и теоретическими расчетами (фиг.4).
Для определения времени наступления процесса свертывания проводится дифференцирование кинетической кривой, отражающей динамику изменения интенсивности светорассеяния. Предпочтительно использовать динамику в 2 градусном угле. На фиг.15 показана динамика сигнала в 2 градусном угле, и дифференцированный вид этой кривой. Время наступления процесса свертывания Тсвер определяется после прохождения первичной агрегации по скачку первой производной изменения интенсивности рассеяния. На фиг.10 показан пример графической оценки параметра Тсвер.
Структурная схема устройства представлена на фиг.13.
Устройство содержит источник излучения 1, включающий лазер, драйвер лазера и коллиматор; измерительную кювету 2 с волчком; средства перемешивания 3, содержащее кюветное отделение и магнитную мешалку; приемник излучения 4 (например, в виде линейки фотодиодов), электронный блок 5, включающий плату усилителей, аналого-цифровой преобразователь и микроконтроллер; панели управления 6, блока питания 7 и выход на компьютер 8.
Лазерный луч, испускаемый источником излучения 1, направлен перпендикулярно к стенкам прямоугольной кюветы 2 и сфокусирован на первый фотодиод приемника излучения 4. Проходящий через кювету свет рассеивается клеточной суспензией, которая помещена в кювету 2 и непрерывно перемешивается с помощью соответствующего устройства 3. Прошедший и рассеянный свет поступает на приемник излучения 4, в котором происходит преобразование световых сигналов в электрические. Эти электрические сигналы передаются на электронный блок 5, в котором усиливаются, преобразовываются в цифровой вид и через микроконтроллер поступают на порт компьютера 8. Через панель управления 6 осуществляется управление электронным блоком 5, устройствами перемешивания 2 и источником излучения 1. Все эти модули снабжены электрическим питанием через блок питания 7.
Полученная из крови обогащенная тромбоцитами плазма разбавляется более чем в 10 раз, для того чтобы обеспечить прохождение агрегации в течение не более 20 минут после добавки агониста при начальной концентрации тромбоцитов в диапазоне 1·105-5·107 кл/мл необходимо новое перемешивающее устройство.
На фиг.14 представлены варианты средств перемешивания. Для того чтобы использовать овальный по профилю волчок (фиг.14В) и исключить образование воронки и захват пузырей, создается закрытое пространство, целиком заполненное жидкостью. При этом можно увеличивать достаточно сильно скорость оборотов мешалки. Для облегчения обслуживания и уменьшения травмирующего воздействия на клетки предлагается исполнение перемешивающего устройства, при котором перемешивание достигается большой поверхностью цилиндрического волчка. Причем его можно размещать сверху (фиг.14С), так и снизу под пучком света (фиг.14А). Большая плоская поверхность цилиндрического волчка с оборотами мешалки порядка 1200-1500 об/мин создает гидродинамический режим с развитой, однородной по всему объему кюветы турбулентностью, при которой локальные вихревые потоки равномерно распределяются в объеме жидкости. Существенно то, что при работе такого волчка не образуется большая воронка, которая приводит к образованию пузырей воздуха. Нижний вариант расположения цилиндрического волчка (фиг.14А) более удобен в обслуживании. В этом варианте, для того чтобы волчок не прецессировал, создано коническое углубление и волчок своим коническим выступом фиксируется в точке вращения и не бьет по стенкам кюветы (эффект вращающейся в углублении юлы).
Клинические примеры реализации способа определения агрегационной активности тромбоцитов
1. Исследование функциональной активности тромбоцитов у больных ишемической болезнью сердца.
Изменение функциональной активности тромбоцитов играет важную роль в патогенезе ишемических и постишемических расстройств микроциркуляции. Наблюдаются значительные изменения морфофункционального состояния тромбоцитов и их поверхностных свойств при ИБС. По данным Шитиковой А.С. и соавторов (1997 г.) при ИБС увеличивается количество активированных форм тромбоцитов в 2,8 раза и в 1,6 раза увеличивается число тромбоцитов, вовлеченных в агрегаты. Было показано, что наблюдается активация фибриногенновых рецепторов (гликопротеиновый IIb/IIIa комплекс), приводящее к увеличению адгезионных свойств тромбоцитов и последующему их депонированию (Neumann F.J. et al., 1998). С другой стороны, если в ранних работах была отмечена корреляция между агрегационной активностью тромбоцитов и ИБС (Elwood PC et al., 1991) то в более поздних работах такой корреляции не отмечается (Meade T.W. et al., 1997).
Была обследована группа больных мужского пола (13 человек), страдающих ИБС (стенокардией напряжения I и II функционального класса) и перенесших 1 или более инфарктов миокарда в возрасте до 45 лет (срок от последнего инфаркта миокарда не менее 1 года). Контрольную группу составили 7 здоровых людей. Как для контрольной группы, так и для больных были сделаны анализы общего холестерина (ОХ), триглицеридов (ТГ) и содержания липопротеидов высокой (ХСЛПВП), низкой (ХСЛПНП) и промежуточной плотности (ХСЛПОНП).
У контрольной группы испытуемых были получены следующие значения: концентрация тромбоцитов N=240000±25000 кл/л, EC50=160±36 нМ, Umax=47.6±12.8, OX=162±37, ТГ=206±112, ХСЛПВП=46.4±7.0, ХСЛПНП=74.7±31.6 и ХСЛПОНП=41.3±22.5.
В группе больных средние значения следующие: N=212000±57000 кл/л, EC50=413±294 нМ (р<0.05), Umax=55.4±16.0, ОХ=227±37, ТГ=506±362, ХСЛПВП=28.0±14.1, ХСЛПНП=109±41 иХСЛПОНП=101±72.
На Фиг.11А представлены данные по зависимости нормированной начальной скорости агрегации от концентрации АДФ для здорового испытуемого (контроль) и для больного ишемической болезнью сердца (ИБС). По величине Umax опыт и контроль дают близкие значения. По всей видимости, количество фибриногеновых рецепторов на поверхности тромбоцитов у больных близко к норме. Иная картина наблюдается по отношению к чувствительности к АДФ (EC50). Для представленного больного (фиг.11В) эта величина повышена более чем в 6 раз, т.е. имеется выраженная толерантность.
Если по концентрации тромбоцитов и по величине Umax средние значения и величина разброса у больных ИБС близки к контрольной группе, то достоверно получено увеличение величины ЕС50 (снижение чувствительности к АДФ). Можно отметить, что в каждом образце достаточно хорошо сохраняется зависимость, представленная уравнением (8), но наблюдается достаточно высокий разброс в значениях концентрации АДФ, необходимой для достижения половины максимального эффекта агрегации (EC50). Анализ этого показателя следующий: у 3 пациентов – значения ЕС50 близки к значениям контрольной группы (гиперхолестеринемии не наблюдается), у 4-х – значения EC50 лежат в предела 600-1000 нМ. Для этой группы характерно наличие гиперхолестеринемии.
Таким образом, метод позволил не только выявить снижение агрегационной активности тромбоцитов у больных ИБС, но и выявить фактор риска у этих больных. Показано, что гипехолестеринемия является значимым фактором, которая приводит к снижению агрегационной активности. По данным литературы оценка этой активности у больных ИБС традиционными методами дает противоречивые результаты: отмечается как снижение, так и повышение агрегационной активности тромбоцитов.
2. Оценка агрегации тромбоцитов у пациентов с искусственным сердечным клапаном.
Изменение гемодинамических параметров, как и увеличение сдвигового напряжения у пациентов с искусственным сердечным клапаном, может стать причиной тромботической окклюзии сосудов. Основную роль в развитии этой патологии играют тромбоциты.
Состояние тромбоцитов, их готовность к взаимодействию между собой и с сосудистой стенкой имеют огромное значение в механизме тромботических осложнений в отдаленные сроки после протезирования клапанов сердца. Исследователи продолжают поиск наиболее информативных методов лабораторной оценки функционального состояния тромбоцитов. Комплексный подход к этой проблеме позволяет охарактеризовать как индуцированную, так и спонтанную агрегацию тромбоцитов, а также получить сведения о самых ранних процессах активации, предшествующих образованию агрегатов.
Совместно с клиникой госпитальной хирургии 2 СПбГМУ им. акад. И.П.Павлова (зав. кафедрой, профессор В.В.Гриценко) исследовались 12 больных, оперированных по поводу протезирования клапанов сердца (сроки после операции – >1,5 лет, протезирование одноклапанное, аортальное или митральное, средний возраст больных – 35,9±8,7 лет). В обследованиях были использованы традиционные методы коагулологического контроля, оценка внутрисосудистой активации тромбоцитов по А.С.Шитиковой (ВСА), а также метод малоуглового светорассеяния с регистрацией активации и агрегации тромбоцитов. Для каждого исследования была изучена контрольная группа доноров (7 человек).
Все пациенты получали оральные антикоагулянты для профилактики тромбо-эмболических осложнений, у 4-х терапия была дополнена аспирином.
Величины EC50 и Umax были использованы для оценки функционального состояния тромбоцитов.
На фиг.12 представлены данные в двойных обратных координатах по зависимости нормированной начальной скорости агрегации от концентрации АДФ для здорового пациента (контроль) и для больного с искусственным сердечным клапаном. Анализируя линейный тренд больного видно, что прямая смещена влево, свидетельствуя об одновременном уменьшении величин ЕС50 и Umax.
| Таблица.2 |
| Данные исследования тромбоцитов для больных с искусственным сердечным клапаном. N – концентрация тромбоцитов. |
| Пациент |
N 109/л |
EC50 nM |
Umax |
| 1 |
149 |
57.31 |
33.6 |
| 2 |
171 |
70.69 |
61.3 |
| 3 |
180 |
70.95 |
38.9 |
| 4 |
236 |
73.96 |
38.9 |
| 5 |
226 |
63.40 |
71.6 |
| 6 |
245 |
29.15 |
27.3 |
| 7 |
306 |
31.65 |
27.7 |
| 8 |
218 |
58.06 |
36.0 |
| 9 |
174 |
53.10 |
24.0 |
| 10 |
247 |
36.99 |
46.2 |
| 11 |
278 |
97.64 |
26.2 |
| 12 |
168 |
99.01 |
30.8 |
Среднее значение Стан. отклонение |
216.50 |
61.83 |
38.5 |
| 48.73 |
22.73 |
14.7 |
 |
| Контроль (7 доноров) |
N 109/л |
EC50 nM |
Umax |
Среднее значение Стан. отклонение |
239.53 |
160.29 |
47.58 |
| 28.01 |
36.06 |
12.85 |
Величина EC50 показывает чувствительность тромбоцитов к АДФ (чем она меньше, тем выше чувствительность). Для приведенных данных эта величина почти в два раза ниже, чем в контроле. Величина Umax понижена у больных с искусственным сердечным клапаном.
В табл.2 приведены данные для всех больных, внизу для сравнения показаны средние значения в контрольной группе. Видно, что чувствительность тромбоцитов к АДФ у больных значительно выше, – величина EC50 снижена. Величина Umax также меньше для опытной группы. Усредненные значения концентрации тромбоцитов ниже для группы больных. Проведенные исследования показали повышенную чувствительность тромбоцитов к АДФ. Повышенная чувствительность тромбоцитов к АДФ у больных с искусственным сердечным клапаном отражает отсутствие (или значительное подавление) у клеток цАМФ блока. Уровень цАМФ внутри клетки должен быть значительно понижен. Это может быть связано с двумя причинами: или в крови повышен уровень катехоламинов (адреналин, норадреналин), которые вызывают угнетение аденилатциклазы (однако, подобный статус не может быть длительным), или у самих тромбоцитов изменено состояние внутриклеточных систем сигнализации (отношение Cai/цАМФ) – клетки трансформированы.
Полученные данные выявили у обследованных больных нарушения, свидетельствующие о развитии хронического ДВС-синдрома и нарушениях в сосудисто-тромбоцитарном звене гемостаза: тромбоцитопения, гипофибриногенемия, относительно высокий протромбиновый индекс, ускорение лизиса эуглобулинов, положительная реакция на Д-димер, увеличение суммы активных форм тромбоцитов до 53% (23,9±2,31, доноры 13,2±1,24), числа тромбоцитов, вовлеченных в агрегаты, до 37% (18,2±3,75, доноры 6,8±1,16), увеличение чувствительности больных к АДФ (снижение величины ЕС50 до 61±23 нМ и Umax до 38,5±14,7 при аналогичных показателях у доноров 160±36 нМ и 47,6±12,8).
Наиболее чувствительным методом оценки дисфункции тромбоцитов явился метод малоуглового светорассеяния. Его показатели отличались от доноров более чем в 2,5 раза и были изменены у всех больных. У 9 пациентов эти нарушения были подтверждены исследованиями внутрисосудистой активации тромбоцитов.
Применение предлагаемого метода впервые позволило характеризовать данную категорию больных с гиперчувствительным статусом тромбоцитов. Данный статус не может быть выявлен традиционными методами оценки тромбоцитов, т.к. тестирование клеток этими методами проводится при концентрации АДФ в области 5-10 мкМ, а статус характеризуется предлагаемым способом вызванной агрегаций в области 50-200 нМ.
Предлагаемый способ и устройство определения параметров агрегации тромбоцитов позволяет более точно количественно характеризовать функциональный статус тромбоцитов по сравнению с традиционными диагностическими методами (например, метод Борна). Это достигается за счет тестирования тромбоцитов при физиологической концентрации ионов кальция и значения рН в среде. Используемая для тестирования концентрация АДФ (агониста агрегации) находится в физиологическом диапазоне концентраций, что позволяет характеризовать функциональной чувствительности тромбоцитов, обоснованными количественными параметрами. Это особенно важно при сложных патологических состояниях, в которых угроза тромбообразования очень высока.
Формула изобретения
1. Способ определения агрегационной активности тромбоцитов, включающий получение обогащенной тромбоцитами плазмы из крови, помещение солевой физиологической среды в кювету, находящуюся в кюветном отделении прибора, снабженного перемешивающим устройством, с последующим получением клеточной суспензии путем добавления обогащенной тромбоцитами плазмы в солевую физиологическую среду в кювете, причем плазма разбавляется солевой средой не менее чем в 10 раз, пропускание светового луча через кювету, измерение интенсивности светорассеяния солевой физиологической среды и полученной клеточной суспензии в кювете в диапазоне углов от 0 до 20°, добавку агонистов в клеточную суспензию, измерение динамики изменения интенсивности светорассеяния после добавки агонистов, определение кинетики агрегации тромбоцитов по уменьшению светорассеяния отдельными клетками тромбоцитов и увеличению светорассеяния их димерами, отличающийся тем, что при измерении интенсивности светорассеяния в кювете производят вихревое перемешивание клеточной суспензии, причем интенсивность перемешивания выбирают в диапазоне, нижний предел которого обеспечивает в течение не более 20 мин после добавки насыщающей дозы агониста образование не менее чем 90% димеров тромбоцитов при концентрации тромбоцитов в диапазоне 1·105-5·107 кл/мл и при температуре не более 38С°, а верхний предел не превосходит интенсивности перемешивания, при которой происходит образование газовых пузырей в перемешиваемой среде, причем по динамике изменения интенсивности светорассеяния под углом, предпочтительно выбранном в диапазоне 0,5-6°, определяют параметры агрегационной активности тромбоцитов, включая начальную скорость агрегации, определяемую по начальной скорости уменьшения светорассеяния отдельными тромбоцитами и увеличения светорассеяния их димерами после действия агонистов, степень прохождения агрегации, определяемую по величине максимальной амплитуды интенсивности рассеяния, и концентрацию клеток, определяемую по разнице сигналов интенсивности светорассеяния, полученных при фотометрировании кюветы со средой до и после добавления обогащенной тромбоцитами плазмы.
2. Способ по п.1, отличающийся тем, что по начальной скорости агрегации и концентрации клеток определяют нормированную скорость агрегации.
3. Способ по п.2, отличающийся тем, что по значениям нормированной скорости агрегации, которые определены по меньшей мере с тремя разными дозами агониста, определяют концентрацию вещества агониста, необходимую для достижения половины максимального эффекта (ЕС50), и максимальную скорость реакции при насыщающей дозе агониста (UMAX).
4. Способ по п.1, отличающийся тем, что по максимуму скорости изменения интенсивности рассеяния определяют время наступления процесса свертывания.
5. Устройство для определения агрегационной активности тромбоцитов, содержащее источник излучения, измерительную кювету, средства перемешивания, приемник излучения, электронный блок, включающий плату усилителей и аналого-цифровой преобразователь, отличающееся тем, что средства перемешивания выполнены с возможностью перемешивания в кювете солевой физиологической среды с тромбоцитами с заданной интенсивностью перемешивания в диапазоне, нижний предел которого обеспечивает образование не менее чем 90% димеров тромбоцитов в течение не более 20 мин после добавки насыщающей дозы агониста и при начальной концентрации тромбоцитов в диапазоне 1·105-5·107 кл/мл и при температуре не более 38С°, а верхний предел не превосходит интенсивности перемешивания, при которой происходит образование газовых пузырей в перемешиваемой среде.
РИСУНКИ
|
|