Патент на изобретение №2391662
|
||||||||||||||||||||||||||
(54) СПОСОБ ОЦЕНКИ АДАПТИВНЫХ ВОЗМОЖНОСТЕЙ ГЕНОМА ЧЕЛОВЕКА
(57) Реферат:
Изобретение относится к медицине и биологии. Предложен способ, который заключается в том, что из локтевой вены обследуемого берется кровь для культивирования лимфоцитов, готовятся препараты метафазных хромосом с последующим изучением активности ЯОР хромосом, при этом анализ хромосомных препаратов проводят в 250 метафазных пластинках и определяют соотношение показателей D ЯОР/10 AgЯOP, G ЯОР/10 AgЯOP, D ЯОР/ G ЯОР, окраски хромосомных препаратов с помощью красителя Романовского-Гимзы с оценкой каждого обследуемого на предмет уровня хромосомных аберраций по показателям: количество клеток с хромосомными аберрациями, количество хромосомных аберраций (на 100 кл.), общее количество фрагментов хромосом, количество обменов, количество одиночных фрагментов, количество парных фрагментов, количество хромосомных обменов, количество хроматидных обменов с вычислением средних арифметических значений всех оцениваемых показателей с последующей обработкой результатов исследования с помощью системного многофакторного анализа, переводящего каждый из определяемых показателей в сопоставимые относительные величины, на основании которых с учетом весового коэффициента, определяемого для каждого показателя на основании среднеквадратического отклонения для данного показателя и постоянного множителя, равного 0,1, и рассчитывают величину, интегрально характеризующую уровень активности генетической информации, обеспечивающей способность человека к адаптации. Изобретение обеспечивает повышение точности определения.
Изобретение относится к медицине и биологии в области цитологии и генетики человека и может быть использовано для точного определения уровня адаптивных возможностей генома человека. В качестве ближайших аналогов заявленного способа можно считать (Амелина И.В. Активность ядрышкообразующих районов хромосом в популяции жителей города Курска, автореф. дисс. канд. биол. наук, г.Саранск, 2006). Отличие заявленного изобретения от известного заключается в том, что одновременно определяют уровень генетической стабильности хромосом и соотношение показателей ядрышкообразующих районов хромосом (ЯОР) D ЯОР/10 AgЯOP, G ЯОР/10 AgЯOP, D ЯОР/ G ЯОР с последующей обработкой полученных результатов с помощью системного многофакторного анализа, позволяющего установить значение уровня адаптивных возможностей генома человека (УАВГЧ). Техническим результатом является повышения точности определения уровня адаптации генома человека. Целью изобретения является повышение точности определения уровня адаптации генетических структур человека к внешней среде, оценивая тем самым его жизнеспособность. Сущность заявляемого способа заключается в том, что для оценки УАВГЧ учитываются соотношения показателей ЯОР хромосом в клетках, для оценки которых из локтевой вены обследуемого берется кровь для культивирования лимфоцитов, готовятся препараты метафазных хромосом с последующим изучением активности ЯОР хромосом и определяется уровень хромосомных аберраций в клетках. Последующая обработка полученных данных системным многофакторным анализом позволяет вычислить УАВГЧ. Способ отличается тем, что с применением нескольких технически простых и не требующих дорогостоящих реактивов, оборудования, затрат сил и времени методов возможно определение уровня УАВГЧ у каждого конкретного человека, что позволит судить у него о «запасе прочности организма» и способности к сопротивлению неблагоприятным факторам внешней среды. Постановка культуры лимфоцитов и приготовление препаратов метафазных хромосом Используется гепарин фирмы “Ricter” (Венгрия), фитогемагглютинин фирмы “Difko-P” (США), среда 199, сыворотка крупного рогатого скота, колхицин, хлорид калия, метанол, ледяная уксусная кислота, серная кислота концентрированная, дихромат калия, нитрат серебра, раствор желатина, цитрат натрия, хлорид натрия, гидроортофосфат натрия, дигидроортофосфат калия, краситель Гимза фирмы “Merck” (США). Реактивы отечественного производства должны быть марки “ХЧ” и “ОСЧ”.
Фиксацию проводят на 72 часу культивирования. После центрифугирования и отсасывания надосадочной жидкости клетки инкубируют с предварительно подогретым до 37°С 0,75 М раствором хлорида калия в течение 20 минут при 37°С. После гипотонизации проводят центрифугирование и отбор надосадочной жидкости. Клетки фиксируют в фиксаторе Карнуа (метанол + уксусная кислота) в соотношении 3:1 в течение трех и более часов. За это время производят три смены фиксатора. После полного обесцвечивания суспензии клеток ее раскапывают на обезжиренные предметные стекла, смоченные дистиллированной холодной водой. Препараты высушивают на воздухе и шифруют. Посадку, культивирование лимфоцитов крови и приготовление препаратов проводят строго стандартно во всех случаях. После приготовления препараты выдерживают при комнатной температуре для окраски нитратом серебра 7-14 дней, а для рутинного окрашивания для изучения уровня хромосомных аберраций – 2-3 дня. Окраска хромосомных препаратов раствором нитрата серебра – Ag-окрашивание 3C6H5O7 · 5,5 H2O и 0,3 М раствор NaCl в соотношении 1:1) и выдерживают при 56,7°С в течение 10 мин. Обезвоживают в 70% и 96% этиловом спитре. Препараты высушивают на воздухе и окрашивают раствором красителя Романовского-Гимзы (250 мкл красителя растворяют в 5 мл буферного раствора (хлорид натрия + цитрат натрия). Оценка хромосомных препаратов на количество активных ЯОР проводится следующим образом. Количество активных ЯОР хромосом определяют с помощью светового микроскопа “Биолам” (увеличение окуляра 10, увеличение объектива 90). Сумма размеров 10 AgЯOP (ЯОР 10 акроцентрических хромосом) характеризует количество транскрипционно активных ЯОР в клетке и служит основой для сравнения индивидуальных геномов по этому признаку (Ag-полиморфизм). Число окрашенных ЯОР подсчитывают в каждой анализируемой метафазной пластинке. Если данная акроцентрическая хромосома содержала в коротком плече зерна серебра, то такой ЯОР оценивается как транскрипционно активный, если он был неокрашен, то расценивался как неактивный. Для исключения возможности недоокраски ЯОР серебром для анализа отбирают метафазные пластинки с полной (завершенной) окраской. На хромосомах, окрашенных серебром не полностью, в ЯОР появляется гомогенное, слабо окрашенное пятно вместо хорошо контурированных спутничных нитей, в то время как проксимальная часть короткого плеча и длинные плечи хромосом остаются неизменными. В полностью окрашенных серебром ЯОР таких слабо окрашенных пятен нет. Для оценки окрашенных серебром хромосом всех просматриваемых метафазных пластинок используются следующие показатели: D ЯОР/10 AgЯOP, G ЯОР/10 AgЯOP, D ЯОР/ G ЯОР, характеризующие транскрипционную активность 10 AgЯOP данного индивида. Оценка транскрипционной активности ЯОР акроцентрических хромосом проводится у каждого индивида по приведенным выше показателям в 250 метафазных пластинках с расчетом среднего арифметического каждого показателя. Нормативные показатели получали на группе здоровых лиц численностью не менее 20 человек с расчетом по каждому показателю среднего арифметического значения. Определение уровня хромосомных аберраций Для проведения исследований на мутагенез хромосомные препараты окрашивали с помощью красителя Романовского-Гимзы на воде в соотношении 1:50 без предварительной обработки. Время окрашивания в наших исследованиях 10 мин. Метафазные пластинки должны быть хорошо окрашены без наложений друг на друга хромосом. На метафазных пластинках не должно быть «подложки» – остатков ядерной оболочки, что говорит о недостаточном времени культивирования. Готовые препараты изучали под микроскопом, при этом у одного человека в нашем исследовании наблюдали 250 метафазных пластинок, их заносили в протокол, где указывался тип повреждения хромосомы, ее группа и координаты метафазной пластинки. По всем оцениваемым показателям уровня хромосомных аберраций (количество клеток с хромосомными аберрациями, количество хромосомных аберраций (на 100 кл.), общее количество фрагментов хромосом, количество обменов, количество одиночных фрагментов, количество парных фрагментов, количество хромосомных обменов, количество хроматидных обменов) вычисляли среднеарифметические значения. Для определения весомости всех оцениваемых параметров и вычисления общего потенциала жизнеспособности особи у обследованных применяется системный многофакторный анализ, позволяющий перевести исследуемые многомерные количественные характеристики с несопоставимыми абсолютными значениями в сопоставимые относительные величины (Углова М.В., Углов Б.А., Архипов В.В., Горшкова Т.В., Петунина Н.А., Оль Т.Л., Прохуровская М.А., Шубин С.И. Применение методов морфометрии и статистического анализа в морфологических исследованиях. Куйбышев, 1982 – 47 с.). Метод дает возможность выразить все показатели генетической стабильности хромосом единым интегральным показателем. Расчет производится по формулам
где
где Pi – весовой коэффициент (коэффициент влияния), а – постоянный множитель (в наших исследованиях а=0,1), где Нормативные значения получают при обследовании тщательно отобранных здоровых людей (n не менее 20) с вычислением среднеарифметических значений по каждому из оцениваемых показателей. Обработка полученных результатов системным многофакторным анализом позволяет определить уровень адаптивных возможностей генома человека
где Уровень адаптивных возможностей генома человека Внедрение данного способа оценки уровня адаптивных возможностей генома человека в практику лечебных учреждений, центров планирования семьи и медикогенетических консультаций позволит решить ряд насущных социально-экономических проблем современности. Своевременное и адекватное назначение корректирующего подхода для нормализации Пример 1. Жительница г.Курска, 34 года, практически здорова, ведущая здоровый образ жизни, обследована во время профилактического осмотра по месту жительства. У обследованной была взята кровь и исследована по изложенной выше схеме с оценкой уровня соотношений D ЯОР/10 АgЯОР=0,55, G ЯОР/10 АgЯОР=0,44, D ЯОР/ G ЯОР=1,23. У обследуемой были найдены следующие значения хромосомной стабильности: количество клеток с хромосомными аберрациями 1,09, количество хромосомных аберраций (на 100 кл.) 1,13, общее количество фрагментов хромосом 1,23, количество обменов 0,112, количество одиночных фрагментов 0,58, количество парных фрагментов 0,42, количество хромосомных обменов 0,074, количество хроматидных обменов 0,056. Полученные результаты были обработаны с помощью системного многофакторного анализа. В качестве нормативных значений взяты результаты обследования тщательно отобранных здоровых людей (n=28) (D ЯОР/10 AgЯOP=0,54, G ЯОР/10 АgЯОР=0,45, D ЯОР/ G ЯОР=1,20, количество клеток с хромосомными аберрациями 1,07±0,08, количество хромосомных аберраций (на 100 кл.) 1,11±0,09, общее количество фрагментов хромосом 1,22±0,08, количество обменов 0,12±0,03, количество одиночных фрагментов 0,56±0,06, количество парных фрагментов 0,43±0,05, количество хромосомных обменов 0,07±0,02, количество хроматидных обменов 0,05±0,03). Установлено, что у обследованной Xj составлял для D ЯОР/10 AgЯOP 0,0185, для G ЯОР/10 AgЯOP – 0,0222, для D ЯОР/ G ЯОР 0,025, для количества клеток с хромосомными аберрациями 0,0187, для количества хромосомных аберраций (на 100 кл.) 0,0180, для общего количества фрагментов хромосом 0,0082, для количества обменов 0,0667, для количества одиночных фрагментов 0,0357, для количества парных фрагментов 0,0233, для количества хромосомных обменов 0,0571, для количества хроматидных обменов 0,12, Pi составлял для D ЯОР/10 AgЯOP 5882,35, для G ЯОР/10 AgЯOP 5882,35, для D ЯОР/ G ЯОР 667,67, для количества клеток с хромосомными аберрациями 1428,57, для количества хромосомных аберраций (на 100 кл.) 1428,57, для общего количества фрагментов хромосом 5882,35, для количества обменов 9090,91, для количества одиночных фрагментов 1428,57, для количества парных фрагментов 5882,35, для количества хромосомных обменов 33333,33, для количества хроматидных обменов 16667,67, S2 составлял для D ЯОР/10 АgЯОР 0,00005, для G ЯОР/10 AgЯOP 0,00005, для D ЯОР/ G ЯОР 0,00045, для количества клеток с хромосомными аберрациями 0,0002, для количества хромосомных аберраций (на 100 кл.) 0,0002, для общего количества фрагментов хромосом 0,00005, для количества обменов 0,000032, для количества одиночных фрагментов 0,0002, для количества парных фрагментов 0,00005, для количества хромосомных обменов 0,000008, для количества хроматидных обменов 0,000018. Определение уровня адаптивных возможностей генома человека
позволило оценивать его в целом Обследуемой было рекомендовано и далее вести здоровый образ жизни. Пример 2. Житель Курской области, 42 года, имеющий у близких родственников язвенную болезнь двенадцатиперстной кишки, обследован во время профилактического осмотра по месту жительства. У больного была взята кровь и исследована по изложенной выше схеме с оценкой уровня D ЯOP/10AgЯOP=0,65, G ЯОР/10АgЯОР=0,35, D ЯОР/ G ЯОР=1,83. У обследуемого было найдено, что количество клеток с хромосомными аберрациями составляет 1,11, количество хромосомных аберраций (на 100 кл.) 1,11, общее количество фрагментов хромосом 1,26, количество обменов 0,115, количество одиночных фрагментов 0,54, количество парных фрагментов 0,44, количество хромосомных обменов 0,078, количество хроматидных обменов 0,047. Полученные результаты были обработаны с помощью системного многофакторного анализа. В качестве нормативных значений взяты результаты обследования тщательно отобранных здоровых людей (n=28) (D ЯОР/10 AgЯOP=0,54, G ЯОР/10 AgЯOP=0,45, D ЯОР/ G ЯОР=1,20, количество клеток с хромосомными аберрациями 1,07±0,08, количество хромосомных аберраций (на 100 кл.) 1,11±0,09, общее количество фрагментов хромосом 1,22±0,08, количество обменов 0,12±0,03, количество одиночных фрагментов 0,56±0,06, количество парных фрагментов 0,43±0,05, количество хромосомных обменов 0,07±0,02, количество хроматидных обменов 0,05±0,03). Установлено, что у обследованного Xj составлял для D ЯОР/10 AgnOP 0,2037, для G ЯОР/10 AgЯOP – 0,2222, для D ЯОР/ G ЯОР 0,525, для количества клеток с хромосомными аберрациями 0,0374, количества хромосомных аберраций (на 100 кл.) 0,009, общего количества фрагментов хромосом 0,0328, количества обменов – 0,042, количества одиночных фрагментов – 0,0357, количества парных фрагментов 0,0233, количества хромосомных обменов 0,1143, количества хроматидных обменов – 0,006, Pi составлял для D ЯОР/10 AgЯOP 24,8, для G ЯОР/10 AgЯOP 59,99, для D ЯОР/G ЯОР 1,51, для количества клеток с хромосомными аберрациями 374,95, для количества хромосомных аберраций (на 100 кл.) 5988,02, для общего количества фрагментов хромосом 374,95, для количества обменов 24003,84, для количества одиночных фрагментов 1499,25, для количества парных фрагментов 5988,02, для количества хромосомных обменов 9372,07, для количества хроматидных обменов 59880,24, S2 составлял для D ЯОР/10 AgЯOP 0,0121, для G ЯОР/10 AgЯOP 0,005, для D ЯОР/ G ЯОР 0,1985, для количества клеток с хромосомными аберрациями 0,0008, для количества хромосомных аберраций (на 100 кл.) 0,00005, для общего количества фрагментов хромосом 0,0008, для количества обменов 0,0000125, для количества одиночных фрагментов 0,0002, для количества парных фрагментов 0,00005, для количества хромосомных обменов 0,000032, для количества хроматидных обменов 0,000005. Определение
что позволило оценивать уровень адаптивных возможностей генома, составившего Больному на фоне стандартной противоязвенной терапии было рекомендована диета, богатая витамином В5, морепродуктами и прием антиоксиданта – токоферола ацетата 0,2 г по 1 капсуле 3 раза в день на 2 месяца, что позволило нормализовать Пример 3. Жительница г.Курска, 68 лет, прооперирована 1/2 года назад по поводу рака желудка II ст., обследована во время профилактического осмотра по месту жительства. У больной была взята кровь и исследована по изложенной выше схеме с оценкой уровня D ЯОР/10 АgЯОР=0,62, G ЯОР/10 AgЯOP=0,37, D ЯОР/G ЯОР=1,64. У больной было найдено, что количество у нее клеток с хромосомными аберрациями составляло 1,08, количество хромосомных аберраций (на 100 кл.) 1,13, общее количество фрагментов хромосом 1,24, количество обменов 0,11, количество одиночных фрагментов 0,58, количество парных фрагментов 0,41, количество хромосомных обменов 0,06, количество хроматидных обменов 0,047. Полученные результаты были обработаны с помощью системного многофакторного анализа. В качестве нормативных значений взяты результаты обследования тщательно отобранных здоровых людей (n=28) (D ЯОР/10 АgЯОР=0,54, G ЯОР/10 AgЯOP=0,45, D ЯОР/ G ЯОР=1,20, количество клеток с хромосомными аберрациями 1,07±0,08, количество хромосомных аберраций (на 100 кл.) 1,11±0,09, общее количество фрагментов хромосом 1,22±0,08, количество обменов 0,12±0,03, количество одиночных фрагментов 0,56±0,06, количество парных фрагментов 0,43±0,05, количество хромосомных обменов 0,07±0,02, количество хроматидных обменов 0,05±0,03). Установлено, что у обследованной Xj составлял для D ЯОР/10 AgЯOP 0,1481, для G ЯОР/10 AgЯOP 0,1778, для D ЯОР/G ЯОР 0,3667, для количества клеток с хромосомными аберрациями 0,0093, количества хромосомных аберраций (на 100 кл.) 0,018, общего количества фрагментов хромосом 0,0164, количества обменов 0,0833, количества одиночных фрагментов 0,0357, количества парных фрагментов 0,0465, количества хромосомных обменов 0,1429, количества хроматидных обменов 0,06, Pi составлял для D ЯОР/10 AgЯОP 90,91, для G ЯОР/10 AgЯOP 90,91, для D ЯОР/G ЯОР=3,10, для количества клеток с хромосомными аберрациями 5882,35, для количества хромосомных аберраций (на 100 кл.) 1428,57, для общего количества фрагментов хромосом 1428,57, для количества обменов 5882,35, для количества одиночных фрагментов 1428,57, для количества парных фрагментов 1428,57, для количества хромосомных обменов 5882,35, для количества хроматидных обменов 66666,67, S2 составлял для D ЯОР/10 AgЯOP 0,0032, для G ЯОР/10 AgЯOP 0,0032, D ЯОР/G ЯОР 0,0968, для количества клеток с хромосомными аберрациями 0,00005, для количества хромосомных аберраций (на 100 кл.) 0,0002, для общего количества фрагментов хромосом 0,0002, для количества обменов 0,00005, для количества одиночных фрагментов 0,0002, для количества парных фрагментов 0,0002, для количества хромосомных обменов 0,00005, для количества хроматидных обменов 0,0000045. Определение
позволив оценивать в целом уровень адаптивных возможностей ее генома, который составил Больной было рекомендована диета, богатая молочными продуктами, витамином В5, морепродуктами и прием токоферола ацетат 0,2 г по 2 капсулы 4 раза в день и дуовит 1 красная таблетка и 1 синяя таблетка в сутки на 4 месяца. Через 4 мес у больной нормализовался показатель
Формула изобретения
Способ оценки уровня адаптивных возможностей генома человека путем взятия крови, постановки культуры лимфоцитов, приготовления препаратов метафазных хромосом, окраски хромосомных препаратов с нитратом серебра и проведения анализа хромосомных препаратов в метафазных пластинках на предмет уровня активности ЯОР и количества хромосомных аберраций, отличающийся тем, что анализ хромосомных препаратов проводят в 250 метафазных пластинках и определяют соотношение показателей D ЯОР/10 AgЯOP, G ЯОР/10 AgЯOP, D ЯОР/ G ЯОР, окраски хромосомных препаратов с помощью красителя Романовского-Гимзы с оценкой каждого обследуемого на предмет уровня хромосомных аберраций по показателям – количество клеток с хромосомными аберрациями, количество хромосомных аберраций (на 100 кл.), общее количество фрагментов хромосом, количество обменов, количество одиночных фрагментов, количество парных фрагментов, количество хромосомных обменов, количество хроматидных обменов с вычислением средних арифметических значений всех оцениваемых показателей с последующей обработкой результатов исследования с помощью системного многофакторного анализа, переводящего каждый из определяемых показателей в сопоставимые относительные величины, на основании которых с учетом весового коэффициента, определяемого для каждого показателя на основании среднеквадратического отклонения для данного показателя и постоянного множителя, равного 0,1, рассчитывают величину, интегрально характеризующую уровень активности генетической информации, обеспечивающей способность человека к адаптации в относительных единицах –
|
||||||||||||||||||||||||||

4. ТРУБНИКОВА Е.В. и др. Оценка уровня спонтанного мутагенеза у работников ГОК. Ученые записки. Электронный научный журнал Курского государственногоуниверситета, 2007 www.scientific-notes.ru/pdt/sq12.pdt. И.В АМЕЛИНА. Активность ядрышкообразующих районов хромосом в популяции жителей города Курска. Автореф., г.Саранск, 2006, с.7-9. JP 2002045199 А, 12.02.2002. GOTON E. et al. Detection and evaluation of chromosomal aberrations induced by high doses of y-irradiation. International J. Radiation Biology, 1996, 70(5), p.517-520.
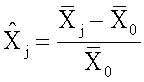
– исследуемый параметр,
– нормативный параметр,
– относительная разность.
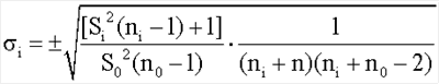
j – среднеквадратическое отклонение значения 
– дисперсия исследуемого параметра Xi, ni – количество наблюдений при определении Xi,
– дисперсия нормативного параметра Х0, n0 – количество наблюдений при определении Х0.
у обследуемых по приведенной ниже формуле
– величина, интегрально характеризующая уровень активности генетической информации, обеспечивающей способность особи к адаптации в относительных единицах.
у обследованной проведено по формуле
как высокий.
проведено у обследованного по формуле
, что указывало на его снижение у обследуемого и риск развития какого-либо заболевания. Обследованный отказался нормализовать свой образ жизни и через 3 мес у него была впервые выявлена язвенная болезнь двенадцатиперстной кишки со снижением УАВГЧ до 0,038.
через 2 месяца коррекции.
проведено у больной по формуле
, что указывало на выраженное снижение адаптивных возможностей генома и наличие тем самым риска рецедивирования опухоли.
. Больной было предложено соблюдать в дальнейшем данные ей рекомендации.
: при значении