Патент на изобретение №2391661
|
||||||||||||||||||||||||||||||||||||||||||||||||||||||||||||||||||||||||||||||||||||||||||||||||||||||||||||||||||||||||||||||||||||||||||||||||||||||||||||||||||||||||
(54) СПОСОБ ОПРЕДЕЛЕНИЯ ХИМИЧЕСКОЙ СТАБИЛЬНОСТИ АВТОМОБИЛЬНЫХ БЕНЗИНОВ
(57) Реферат:
Изобретение относится к лабораторной оценке эксплуатационных свойств автомобильных бензинов применительно к определению возможного срока их хранения на предприятиях, потребляющих и производящих автомобильные бензины. Способ включает размещение пробы в сосуде, который помещают в бомбу и выдерживают в жидкостном термостате при повышенной температуре в течение заданного времени, после чего охлаждают в течение заданного времени, по окончании которого определяют химическую стабильность по величине информационного показателя, рассчитываемого по математической зависимости, причем в герметичную бомбу с пробой подают кислород до достижения избыточного давления 800±10 кПа, которое фиксируют, замеряют температуру окружающего воздуха, бомбу помещают в жидкостный термостат, предварительно нагретый до температуры 120°С, при которой выдерживают бомбу в течение 180 минут, затем бомбу извлекают из жидкостного термостата, выдерживают при температуре окружающего воздуха в течение 180 минут, после чего замеряют температуру окружающего воздуха и давление кислорода в бомбе, а за информационный показатель А принимают долю поглощенного кислорода, которую рассчитывают из заданного соотношения, и при значении А
Изобретение относится к лабораторным методам оценки эксплуатационных свойств автомобильных бензинов, в частности к способам определения химической стабильности, и может быть использовано при определении возможного срока хранения автомобильных бензинов на складах, базах нефтепродуктов и других предприятиях, потребляющих и производящих автомобильные бензины. Одним из эксплуатационных свойств автомобильных бензинов является сохраняемость, характеризующая способность бензинов противостоять изменениям качества под действием физических и химических процессов. Повышенные требования к сохраняемости автомобильных бензинов предъявляются при осуществлении длительного хранения значительных объемов автомобильных бензинов. Химическая стабильность автомобильных бензинов, или способность автомобильных бензинов противостоять изменению качества под действием химических процессов, оценивается по показателям качества – кислотность, концентрация фактических смол, индукционный период, сумма продуктов окисления. [Сафонов А.С., Ушаков А.И., Чечкенев И.В. Автомобильные топлива. Химмотология. Эксплуатационные свойства. Ассортимент. – СПб.: НПИКЦ, 2002. – с.185-187]. Авторами была поставлена задача – разработать метод оценки химической стабильности автомобильных бензинов, соответствующий следующим требованиям: – окисление бензина должно происходить в жидкой фазе, чтобы механизм окисления в условиях определения соответствовал механизму окисления в реальных условиях хранения; – для повышения скорости процесса окисление должно происходить при повышенной температуре; – для того чтобы не допустить испарение легких фракций бензина при повышенной температуре процесс необходимо проводить при давлении, превышающем давление насыщенных паров бензина при заданной температуре испытания; – условия испытания должны обеспечивать получение численного значения информационного параметра для автомобильного бензина любого компонентного и углеводородного составов; – продолжительность испытания не должна превышать продолжительности одного рабочего дня лаборанта (7 часов); – результаты испытания должны позволять достоверно определять – возможно ли длительное хранение испытанного автомобильного бензина или нет. Известно, что существуют способы, решающие эту задачу – определение химической стабильности. Известен способ определения химической стабильности автомобильных бензинов по сумме продуктов окисления (СПО), который заключается в определении суммарного количества продуктов окисления – содержания фактических смол, количества смол, растворимых в ацетоне, и массы осадка после фильтрования окисленного бензина. Первоначально проводится окисление 25 мл бензина кислородом воздуха при атмосферном давлении и температуре 110°С в течение 6 часов в бомбе прибора ЛСАРТ-77. После чего определяется масса осадка. Затем проводится повторное окисление той же пробы бензина в приборе ПОС-77 струей перегретого водяного пара при температуре 160°С для определения содержания фактических смол и количества смол, растворимых в ацетоне. За результат определения принимают сумму содержания фактических смол, количества смол, растворимых в ацетоне и массы осадка. [ГОСТ 22054-76. Бензины автомобильные и авиационные. Метод оценки химической стабильности]. Основной недостаток метода определения СПО заключается в том, что для заданных условий окисления (температура 110°С, атмосферное давление) до 50% испытуемого бензина испаряется и переходит в газовую фазу. Поэтому в этих условиях окисление более тяжелой части автомобильных бензинов будет происходить в жидкой фазе, а окисление фракций испаряющихся до 110°С будет происходить в газовой фазе. Однако известно, что наряду с наличием некоторых общих черт реакции окисления углеводородов в жидкой и газовой фазе во многом существенно различаются, так как с переходом в газовую фазу меняется механизм всех четырех основных стадий процесса (зарождения, продолжения, разветвления и обрыва цепи). Поэтому окисление углеводородов в условиях определения СПО и в условиях фактического хранения (где окисление углеводородов происходит в жидкой фазе) будут протекать по разным механизмам. [Эмануэль Н.М., Заиков Г.Е., Майзус З.К. Роль среды в радикально-цепных реакциях окисления органических соединений. – М.: Наука, 1973 – с.234]. Кроме того, метод определения СПО очень длителен (время, необходимое для проведения испытания, составляет не менее 48 часов), имеет высокие значения фактической погрешности при проведении параллельных испытаний, превышающие нормативные значения сходимости для большинства измерений, что вынуждает увеличивать количество параллельных определений (повторять измерение еще два раза) для получения окончательного результата испытаний. Таким образом, затраты времени на получение окончательного результата могут достигать 96 часов и более. Также известен способ определения химической стабильности автомобильных бензинов по величине индукционного периода (ИП), который заключается в определении времени, в течение которого 50 мл испытуемого бензина, находящегося в герметичной бомбе при заданном соотношении жидкой и газовой фаз под избыточным давлением кислорода (700 кПа) при повышенной температуре (100°С), не окисляется. За индукционный период принимают время пребывания бомбы с бензином в бане при температуре 100°С до момента падения давления в бомбе не менее чем на 28 кПа за 30 минут. [ГОСТ Р 52068-2003 Бензины. Определение стабильности в условиях ускоренного окисления (индукционный период)]. Проведенное авторами исследование показало, что для большинства автомобильных бензинов невозможно получить конкретные пределы числовых значений ИП, так как падение давления кислорода в бомбе происходит со скоростью меньшей, чем требует ГОСТ Р 52068 для фиксации значения ИП (более 28 кПа за 30 мин). Было установлено, что скорость падения давления кислорода в бомбе зависит от содержания непредельных углеводородов в испытуемом бензине – только для бензинов, содержащих более 15% непредельных углеводородов, скорость падения давления кислорода превышает 28,0 кПа за 30 минут (что позволяет зафиксировать значение ИП). Данный результат подтверждается практикой работы испытательных лабораторий нефтеперерабатывающих заводов – в большинстве паспортов качества результаты измерения ИП записываются как «более 1200 мин» без указания фактического значения. Например, в паспорте качества Недостатками этого способа определения химической стабильности автомобильных бензинов является то, что объективная информация о значении ИП может быть получена только для автомобильных бензинов, содержащих более 15% непредельных углеводородов, кроме того, метод отличается высоким уровнем производственной сложности и большой продолжительностью определения (от 8 до 29 часов). Наиболее близким по технической сущности и взятым за прототип является способ оценки химической стабильности в запаянных ампулах (далее – метод «запаянных ампул»), который реализуется следующим образом: исследуемый бензин в количестве 40 мл помещают в ампулу емкостью 550 мл. Газовая фаза в ампуле – воздух. Ампулу с бензином выдерживают в бане со снегом при температуре 0°С в течение 40 мин и затем запаивают ручной горелкой. Запаянную ампулу помещают в жидкостный термостат и выдерживают 300 мин при температуре 100°С. После окисления ампулу охлаждают до комнатной температуры, затем выдерживают при температуре 0°С в течение 40 мин, после чего количество поглощенного кислорода определяют путем замера газовой бюреткой вакуума, образовавшегося в ампуле. При запаивании ампулы и замере количества поглощенного кислорода фиксируют величину атмосферного давления. Объем поглощенного кислорода вычисляют по формуле:
где Vприв. – объем поглощенного кислорода, приведенный к давлению 760 мм рт.ст., мл; Vамп. – объем газовой фазы в ампуле до погружения в термомстат, мл; Vзам. – объем поглощенного кислорода, замеренный по газовой бюретке, мл; P1 – атмосферное давление при запайке ампулы, мм рт.ст.; P2 – атмосферное давление при замере объема поглощенного кислорода, мм рт.ст. [Гуреев А.А. Исследование влияния металлов и металлорганических антидетонаторов на окисление топлив, содержащих непредельные углеводороды. Канд. дисс. М., 1954. – с.38-40]. Метод «запаянных ампул» сложен для реализации – требуется обеспечить высокую четкость выполнения операции разгерметизации ампулы и соединения ее с газовой бюреткой, необходимо обеспечить герметичность всех соединений, требуется особая осторожность и четкость выполнения операций, чтобы не допустить возгорания испытуемого бензина при запайке ампулы на открытом огне. Кроме того, измеряемый параметр – объем поглощенного кислорода – не позволяет оценить степень поглощения кислорода, так как неизвестно, сколько кислорода находится в ампуле на момент начала окисления, что в свою очередь не позволяет дифференцировать испытуемые бензины по уровню химической стабильности. Технический результат изобретения – повышение достоверности и сокращение времени определения химической стабильности автомобильных бензинов любого углеводородного состава, за счет создания условий ускоренного жидкофазного окисления автомобильных бензинов, с одновременным определением срока хранения автомобильных бензинов. Указанный технический результат достигается тем, что в известном способе определения химической стабильности автомобильных бензинов, включающем размещение пробы в сосуде, который помещают в бомбу и выдерживают в жидкостном термостате при повышенной температуре в течение заданного времени, после чего охлаждают в течение заданного времени, по окончании которого определяют химическую стабильность по величине информационного показателя, рассчитываемого по математической зависимости, согласно изобретению в герметичную бомбу с пробой подают кислород до достижения избыточного давления 800±10 кПа, которое фиксируют, замеряют температуру окружающего воздуха, бомбу помещают в жидкостный термостат, предварительно нагретый до температуры 120°С, при которой выдерживают бомбу в течение 180 минут, затем бомбу извлекают из жидкостного термостата, выдерживают при температуре окружающего воздуха в течение 180 минут, после чего замеряют температуру окружающего воздуха и давление кислорода в бомбе, а за информационный показатель принимают долю поглощенного кислорода, который рассчитывают по следующей зависимости:
где А – информационный показатель – доля поглощенного кислорода автомобильным бензином в ходе испытания, %; P1 – давление кислорода в бомбе до помещения в жидкостный термостат, кПа; Р2 – давление кислорода в бомбе после охлаждения, кПа; t1 – температура окружающего воздуха до помещения бомбы в жидкостный термостат, °С. t2 – температура окружающего воздуха после охлаждения бомбы, °С; и при значении А Физическая сущность изобретения заключается в том, что массу газа находящегося в замкнутом пространстве можно вычислить, используя характеристическое уравнение состояния идеального газа:
где Р – давление, кПа; V – объем, м3; m – масса кислорода, кг; R – молярная газовая постоянная, Дж/кг·К, для кислорода R=260 Дж/кг·К; Т – температура, К. [Берд Дж. Физика. От теории к практике. Механика, оптика, термодинамика / Пер. с англ. – М.: Издательский дом «Додэка-XXI», 2006. – с.208]. При условии V=const (герметичность реакционного сосуда) задача определения массы газа в реакционном сосуде сводится к измерению величины давления и температуры. Для обоснования режимных параметров были исследованы автомобильные бензины с разным уровнем химической стабильности (СПО) по ГОСТ 22054-76: – бензин каталитического крекинга Московского НПЗ, СПО=94,6 мг на 100 см3 – малостабильный бензин; – автобензин АИ-95 Московского НПЗ, СПО=36 мг на 100 см3 – стабильный бензин; – фракция 75-85°С Хабаровского НПЗ, СПО=8,6 мг на 100 см3 – высокостабильный бензин. Значения СПО этих бензинов перекрывают весь возможный диапазон значений СПО – от 0 до 100 мг на 100 см3. Фактические значения СПО были установлены авторами в соответствии с требованиями ГОСТ 22054-76. Окисление указанных автомобильных бензинов проводили заявляемым способом, изменяя значения режимных параметров. Результаты представлены в табл.1.
Из представленных результатов видно, что максимальная величина доли поглощенного кислорода получена в опытах Поэтому в качестве оптимальных условий испытания приняты условия опыта Способ осуществляется следующим образом. Пробу бензина объемом 50 см3 заливают в стеклянный стаканчик специальной формы и закрывают крышкой, обеспечивающей доступ кислорода в стаканчик. Стаканчик с автомобильным бензином помещают в герметичную металлическую бомбу, оснащенную устройством и запорной арматурой для подачи кислорода, а также манометром для измерения давления. Соотношение объемов жидкой и газовой фаз в бомбе Vж:Vг=1:5. Бомбу сначала продувают, а затем заполняют кислородом до достижения давления 800±10 кПа. Фиксируют точное давление кислорода (P1) в бомбе и замеряют температуру окружающего воздуха (t1). Затем заполненную бомбу помещают в предварительно нагретый до температуры 120°С жидкостный термостат и выдерживают ее в течение 180 минут. Затем бомбу охлаждают на воздухе в течение 180 минут, после чего измеряют давление кислорода в бомбе (Р2) и температуру окружающего воздуха (t2). Химическую стабильность оценивают по информационному показателю – доле поглощенного кислорода, которую рассчитывают по следующей зависимости:
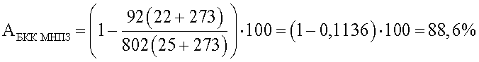
где А – информационный показатель – доля поглощенного кислорода автомобильным бензином в ходе испытания, %; P1 – давление кислорода в бомбе до помещения в жидкостный термостат, кПа; P2 – давление кислорода в бомбе после охлаждения, кПа; t1 – температура окружающего воздуха до помещения бомбы в жидкостный термостат, °С. t2 – температура окружающего воздуха после охлаждения бомбы, °С. Пример 1. Необходимо дать рекомендации по возможному сроку хранения автобензина АИ-95 Московского НПЗ, для чего измеряют химическую стабильность данного бензина. Берут 50 см3 автобензина АИ-95 производства Московского НПЗ и помещают в стеклянный стаканчик и закрывают крышкой. Стеклянный стаканчик с автомобильным бензином помещают в герметичную металлическую бомбу, оснащенную устройством и запорной арматурой для подачи кислорода, а также манометром для измерения давления. Заполненную бомбу сначала продувают, а затем заполняют кислородом до достижения давления 800±10 кПа. Затем фиксируют давление кислорода {P1=808 кПа) в бомбе и замеряют температуру окружающего воздуха (t1=22°С). Затем заполненную бомбу помещают в предварительно нагретый до температуры 120°С жидкостный термостат и выдерживают в течение 180 минут, после чего бомбу охлаждают на воздухе при комнатной температуре в течение 180 минут и измеряют давление кислорода в бомбе (Р2=635 кПа) и температуру окружающего воздуха (t2=24°С). Определяют химическую стабильность (по доле поглощенного кислорода): Так как ААИ-95 МНПЗ<25, делают вывод – автомобильный бензин АИ-95 производства Московского НПЗ считается химически высокостабильным и пригодным для длительного хранения. Пример 2. Необходимо дать рекомендации по возможному сроку хранения бензина каталитического крекинга производства Московского НПЗ, для чего измеряют химическую стабильность данного бензина. Берут 50 см3 бензина каталитического крекинга производства Московского НПЗ и помещают в стеклянный стаканчик и закрывают крышкой. Стеклянный стаканчик с автомобильным бензином помещают в герметичную металлическую бомбу, оснащенную устройством и запорной арматурой для подачи кислорода, а также манометром для измерения давления. Заполненную бомбу сначала продувают, а затем заполняют кислородом до достижения давления 800±10 кПа. Затем фиксируют давление кислорода (Р1=802 кПа) в бомбе и замеряют температуру окружающего воздуха (t1=22°С). Затем заполненную бомбу помещают в предварительно нагретый до температуры 120°С жидкостный термостат и выдерживают в течение 180 минут, после чего бомбу охлаждают на воздухе при комнатной температуре в течение 180 минут и измеряют давление кислорода в бомбе (Р2=92 кПа) и температуру окружающего воздуха (t2=25°С). Определяют химическую стабильность (по доле поглощенного кислорода): Так как АБКК МНПЗ>81, делают вывод – автомобильный бензин АИ-95 производства Московского НПЗ считается химически нестабильным и непригодным для хранения. Заявляемым способом были исследованы товарные низкооктановые и высокооктановые автомобильные бензины (табл.2) с известным групповым углеводородным составом (столбцы 3, 4, 5) и известным уровнем химической стабильности (столбцы 6, 7, 8, 9, 10). Проведенные исследования позволили установить, что доля поглощенного кислорода зависит от содержания непредельных углеводородов. Наиболее четко прослеживается, что бензины, содержащие до 11% непредельных углеводородов, поглощают до 25% кислорода. Бензины, содержащие от 11 до 19% непредельных углеводородов, поглощают от 25 до 85% кислорода. Бензины, содержащие более 19% непредельных углеводородов, поглощают более 85% кислорода. Полученные результаты согласуются, с одной стороны, с результатами определения химической стабильности известными стандартными методами (СПО по ГОСТ 22054-76) – чем больше величина СПО, тем больше доля поглощенного кислорода. С другой стороны полученные результаты согласуются с известными положениями теории окисления углеводородов – чем выше содержание непредельных углеводородов в автомобильном бензине, тем выше склонность бензина к окислению. [Гуреев А.А. Применение автомобильных бензинов. – М.: Химия, 1972. – с.225]. Для подтверждения возможности использования полученных результатов оценки химической стабильности по доле поглощенного кислорода для определения возможного срока хранения автомобильного бензина было проведено опытное хранение образцов автомобильного бензина в стальных канистрах КС-20 в неотапливаемом хранилище в средней климатической зоне (Московская область) в течение 30 месяцев. Критерием изменения качества бензина при опытном хранении было выбрано изменение концентрации фактических смол (определение проводилось по ГОСТ 1567-97) как показателя качества наиболее склонного к изменению в процессе длительного хранения. [Инструкция об организации обеспечения качества горючего в Вооруженных Силах Российской Федерации. – М.: Воениздат, 1994. – с.132]. Изменение качества хранимых бензинов оценивалось через каждые шесть месяцев хранения (табл.3). Для данного опытного хранения скорость окисления была рассчитана как прирост концентрации фактических смол за единицу времени (столбцы 5, 7, 9, 11, 13, 14 табл.3):
где WОП.ХР. – скорость окисления АБ при опытном хранении, мг/мес.; Ci – концентрация фактических смол на i-месяце хранения, мг; Cj – концентрация фактических смол на j-сроке хранения, мг; Р – периодичность определения концентрации фактических смол при опытном хранении, мес. А возможный срок хранения был рассчитан как отношение запаса качества по концентрации фактических смол к средней скорости окисления автомобильного бензина (столбец 15 табл.3):
где WОП.ХР. – скорость окисления АБ при опытном хранении, мг/мес.; Спред. – предельно допустимая концентрация фактических смол, мг; Сисх. – концентрация фактических смол до начала хранения хранения, мг. Анализ данных по изменению качества АБ при хранении в стальных канистрах в течение 30 месяцев показывает, что скорость окисления автомобильных бензинов при хранении коррелируется с уровнем химической стабильности (по доле поглощенного кислорода) – чем больше доля поглощенного кислорода (столбец 2 табл.3), тем выше скорость окисления (столбец 14 табл.3) и тем быстрее концентрация фактических смол достигает предельно допустимого значения (5 мг/100 мл). Образцы с долей поглощенного кислорода более 85% в течение первого года хранения достигли предельного допустимого значения по концентрации фактических смол (5 мг/100 мл). А после 24 месяцев хранения концентрация фактических смол в данных образцах превысила уровень допустимых отклонений качества горючего при применении на вооружении и военной технике (10 мг/100 мл). Средняя скорость окисления составила 0,32-0,38 мг/мес. Образцы с долей поглощенного кислорода от 45 до 85% через 30 месяцев хранения достигли предельного допустимого значения по концентрации фактических смол. Средняя скорость окисления составила 0,10-0,11 мг/мес. При этом образцы с долей поглощенного кислорода от 70 до 85% практически достигли предельно допустимого значения по концентрации фактических смол через 24 месяца хранения, а в течение следующих 6 месяцев хранения их качество практически не изменилось (прирост значения концентрации фактических смол составил 0,2-0,3 мг/100 мл). Образцы с долей поглощенного кислорода до 25% через 30 месяцев хранения имеют запас качества по концентрации фактических смол. Средняя скорость окисления составила 0,03-0,09 мг/мес. При этом образцы с долей поглощенного кислорода до 12% имеют более существенный запас качества в 38-80% от предельно допустимого значения (1,9-4,1 мг/100 мл). Средняя скорость окисления составила 0,03-0,067 мг/мес. А образцы с долей поглощенного кислорода от 12 до 25% имеют меньший запас качества в 20-26% от предельно допустимого значения (1,0-1,3 мг/100 мл). Средняя скорость окисления составила 0,077-0,090 мг/мес. Полученные данные позволяют сделать вывод о наличии корреляции между уровнем химической стабильности (по доле поглощенного кислорода) и возможным сроком хранения АБ – чем больше доля поглощенного кислорода (столбец 2 табл.3), тем меньше возможный срок хранения бензина (столбец 15 табл.3), а также установить нормативные химической стабильности (по доле поглощенного кислорода): – для длительного хранения (в течение 3-5 лет) пригодны АБ с долей поглощенного кислорода до 25%; – для кратковременного хранения (до 1 года) пригодны АБ с долей поглощенного кислорода от 25 до 85%; – немедленному использованию по назначению подлежат АБ с долей поглощенного кислорода более 85%. Применение изобретения позволит повысить достоверность и сократить время определения химической стабильности автомобильных бензинов любого углеводородного состава, за счет создания условий ускоренного жидкофазного окисления автомобильных бензинов, с одновременным определением срока хранения автомобильных бензинов. Изобретение способствует увеличению количества способов определения химической стабильности автомобильных бензинов различных марок без понижения достоверности.
Формула изобретения
Способ определения химической стабильности автомобильных бензинов, включающий размещение пробы в сосуде, который помещают в бомбу и выдерживают в жидкостном термостате при повышенной температуре в течение заданного времени, после чего охлаждают в течение заданного времени, по окончании которого определяют химическую стабильность по величине информационного показателя, рассчитываемого по математической зависимости, отличающийся тем, что в герметичную бомбу с пробой подают кислород до достижения избыточного давления 800±10 кПа, которое фиксируют, замеряют температуру окружающего воздуха, бомбу помещают в жидкостный термостат, предварительно нагретый до температуры 120°С, при которой выдерживают бомбу в течение 180 мин, затем бомбу извлекают из жидкостного термостата, выдерживают при температуре окружающего воздуха в течение 180 мин, после чего замеряют температуру окружающего воздуха и давление кислорода в бомбе, а за информационный показатель принимают долю поглощенного кислорода, которую рассчитывают по следующей зависимости:
|
||||||||||||||||||||||||||||||||||||||||||||||||||||||||||||||||||||||||||||||||||||||||||||||||||||||||||||||||||||||||||||||||||||||||||||||||||||||||||||||||||||||||

25% автомобильный бензин считают химически высокостабильным и пригодным для длительного хранения, а при значении 25<А
01994 на бензин автомобильный неэтилированный Регуляр-92, выданном 08.03.2009 г. ЗАО «Рязанская нефтеперерабатывающая компания», в графе «Фактическое значение» для индукционного периода указано «более 1200 мин».








