|
|
(21), (22) Заявка: 2008100378/28, 09.01.2008
(24) Дата начала отсчета срока действия патента:
09.01.2008
(43) Дата публикации заявки: 20.07.2009
(46) Опубликовано: 10.06.2010
(56) Список документов, цитированных в отчете о поиске:
Киреев И.В. и др. Качественный хромато-масс-спектрометрический анализ высокотоксичных производных алкилфторфосфонатов и алкилтиофосфонатов. – Журн. аналит. химии, том 57, 8, 842-851; 2002. Киреев И.В. и др. Идентификация производных алкилфосфоновых кислот методами масс- и ИК-спектрометрии. – Журнал аналит. химии, том 55, 9, 933-941,2000 г. Лебедев и др. Масс-спектрометрическая идентификация высокотоксичных алкилфторфосфонатов. – Журнал Масс-спектрометрия, том 3, 4, 2006 г. RU 2308716 C1, 20.10.2007. US 2005127288 A1, 16.06.2005. JP 2003217503 A, 31.07.2003.
Адрес для переписки:
412918, Саратовская обл., г. Вольск-18, ФГУ 33 ЦНИИИ МО РФ
|
(72) Автор(ы):
Фоменко Павел Викторович (RU), Морозик Юрий Иванович (RU), Лоскутов Анатолий Юрьевич (RU), Жохов Александр Константинович (RU), Полякова Галина Юрьевна (RU)
(73) Патентообладатель(и):
Федеральное государственное учреждение 33Центральный научно-исследовательский испытательный институт Министерства обороны РФ (RU)
|
(54) СПОСОБ ИДЕНТИФИКАЦИИ ВЫСОКОТОКСИЧНЫХ СОЕДИНЕНИЙ РЯДА O-АЛКИЛАЛКИЛФТОРФОСФОНАТОВ И ПРОГНОЗИРОВАНИЯ МАСС-СПЕКТРОВ ХИМИКАТОВ ЭТОГО РЯДА
(57) Реферат:
Изобретение относится к способу и может быть использовано для хромато-масс-спектрометрической идентификации контролируемых токсичных химикатов в сложных многокомпонентных смесях. Способ идентификации на основе масс-спектрометрии заключается в том, что из полного масс-спектра исследуемого соединения путем вычитания пиков, соответствующих фосфорорганической части спектра, выделяют углеводородную составляющую, содержащую информацию о структуре углеродного скелета O-алкильного радикала в целом. Далее опознают спектр углеводородной составляющей с использованием компьютерной программы NIST и сопоставляют предложенные структуры машинного ответа с характеристиками строения исследуемого O-алкилалкилфторфосфоната. Техническим результатом изобретения является расширение функциональных возможностей масс-спектрометрического метода при идентификации высокотоксичных веществ ряда O-алкилалкилфторфосфоната. 2. н. и 1 з.п. ф-лы, 7 табл., 3 ил.
Изобретение относится к исследованию или анализу материалов путем определения их химических или физических свойств, конкретно путем разделения на составные части (компоненты) с использованием адсорбции и их исследования с помощью электрических, электрохимических или магнитных средств.
Изобретение может быть использовано для хромато-масс-спектрометрической идентификации контролируемых токсичных химикатов в сложных многокомпонентных смесях в рамках мероприятий по выполнению Конвенции о запрещении производства, накопления и применения химического оружия, а также его уничтожения /Конвенция о запрещении производства, накопления и применения химического оружия, а также его уничтожении. М.: Комитет по конвенциальным проблемам химического и биологического оружия при Президенте Российской Федерации, 1994, 133 с./.
Объектом настоящего исследования являются токсичные химикаты списка 1 Конвенции, принадлежащие к гомологическому ряду O-алкилалкилфторфосфонатов (ААФФ):

где R, R* – нециклические алкильные радикалы с числом углеродных атомов от 1 до 3 для R и от 1 до 10 для R*.
Известны способы групповой идентификации производных алкилфосфоновых кислот методом масс- и ИК-спектрометрии / Киреев А.Ф., Рыбальченко И.В., Савчук В.И., Суворкин В.Н., Типухов В.Н., Хамиди Б.А. Качественный хромато-масс-спектрометрический анализ высокотоксичных производных алкилфторфосфонатов и алкилтиофосфонатов. Жури. аналит. химии. 2002, том 57, 8, 842-851; Киреев А.Ф., Рыбальченко И.В., Савчук В.И., Суворкин В.Н., Холстов В.И. Идентификация производных алкилфосфоновых кислот методами масс- и ИК-спектрометрии. Журнал аналит. химии. 2000, том 55, 9, 933-941/. Способы заключаются в использовании корреляций между характерными структурными фрагментами молекул токсичных химикатов и их масс- и ИК-характеристиками. Учитывая сложность задачи идентификации, Организация по запрещению химического оружия (ОЗХО) приняла временный критерий, согласно которому идентификация списочных фосфорорганических соединений является достаточной и без специфической идентификации алкильного радикала при связи РО-С. Вместе с тем радикал при связи Р-С следует идентифицировать точно. Сочетание масс- и ИК-характеристик, создание библиотеки данных спектральных фрагментов и алгоритма их идентификации в программной оболочке для обработки ИК- и масс-спектров позволило повысить достоверность определения строения углеводородного радикала при связи Р-С, что является необходимым условием идентификации фосфорорганических соединений по критерию ОЗХО.
Способ групповой идентификации химикатов ряда ААФФ на основе масс-спектрометрии получил дальнейшее развитие и совершенствование в работе / Лебедев А.Т., Лебедев К.С., Мясоедов Б.Ф., Рыбальченко И.В., Сигейкин Г.И., Суворкин В.Н. Масс-спектрометрическая идентификация высокотоксичных алкилфторфосфонатов. Масс-спектрометрия. 2006, том 3, 4/. Данный способ является ближайшим из аналогов предлагаемого способа.
Способ групповой идентификации содержит анализ основных направлений фрагментации ААФФ в условиях электронной ионизации, что позволяет разделить их на восемь самостоятельных подгрупп; установление основных путей распада молекулярных ионов этих соединений и создание алгоритма для установления принадлежности образца к классу ААФФ и отнесения его к соответствующей подгруппе.
При несомненных достоинствах способов-аналогов, однако, ни один из них не позволяет точно установить структуру (однозначно идентифицировать) анализируемого соединения из числа десятков тысяч претендентов.
Задача настоящего изобретения заключается в разработке способа определения строения О-алкильного радикала в молекулах веществ, отнесенных на этапе групповой идентификации к гомологическому ряду ААФФ, и алгоритма прогнозирования масс-спектров неизученных представителей этого гомологического ряда.
Решение поставленной задачи предполагает технический результат, заключающийся в расширении функциональных возможностей масс-спектрометрического метода при идентификации высокотоксичных веществ ряда ААФФ. На базе полученных результатов в перспективе представляется возможной реализация программного продукта для идентификации и предсказания масс-спектров электронной ионизации для соединений исследуемого ряда, что позволит значительно повысить объективность проводимых исследований.
Поставленная задача решается тем, что в способе идентификации на основе масс-спектрометрии согласно предлагаемому решению из полного масс-спектра исследуемого соединения путем вычитания пиков, соответствующих фосфорорганической части спектра, выделяют углеводородную составляющую, содержащую информацию о структуре углеродного скелета О-алкильного радикала в целом;
опознают спектр углеводородной составляющей с использованием компьютерной программы NIST и сопоставляют предложенные структуры машинного ответа с характеристиками строения исследуемого О-алкилалкилфторфосфоната.
Для прогнозирования масс-спектра токсичного химиката ряда О-алкилалкил-фторфосфонатов к известному масс-спектру модельного олефина добавляют прогнозируемые пики фосфорсодержащих ионов.
При этом интенсивность основного пика определяют по формуле:
Im/z=99=(100/Imax)1000,
где Im/z=99 – интенсивность основного пика с m/z=99, усл.ед.,
Imax – среднее значение относительной интенсивности максимального углеводородного пика (модельного олефина).
Интенсивности остальных характерных пиков фосфорорганической составляющей определяют с учетом разветвления и относительного коэффициента к интенсивности основного пика с m/z, равным 99.
На первом этапе работы по идентификации как и в способе, ближайшем из аналогов, были предприняты попытки выявить основные реакции фрагментации ААФФ, степень протекания которых зависит от строения O-алкильного радикала. Необходимо отметить, что основным направлением распада O-алкилалкилфторфосфонатов / Лебедев А.Т., Лебедев К.С., Мясоедов Б.Ф., Рыбальченко И.В., Сигейкин Г.И., Суворкин В.Н. Масс-спектрометрическая идентификация высокотоксичных алкилфторфосфонатов. Масс-спектрометрия. 2006, том 3, 4/ в условиях электронной ионизации является отщепление олефинового радикала с образованием протонированного иона алкилфторфосфоновой кислоты II:

Нормализация всех пиков в спектрах, рассматриваемых в данной работе, проводилась относительно пика II, интенсивность которого принималась за 100%.
Основные реакции фрагментации ААФФ в условиях электронной ионизации представлены уравнениями (2-6).





Уравнения (1) и (6), описывают очень сходные типы распада. В обоих случаях происходит разрыв связи между атомами эфирного кислорода и первым углеродным атомом О-алкильного радикала. Основное отличие состоит в том, что в ходе реакции (1) заряд локализуется на фосфорсодержащем фрагменте, а в ходе реакции (6) – на олефиновом молекулярном ионе. Степень фрагментации по направлению (6) увеличивается по сравнению с направлением (1) при появлении разветвления в О-алкильном радикале. Этот эффект полностью соответствует теории, поскольку увеличение разветвленности углеродного скелета приводит к уменьшению энергии ионизации соответствующего углеводородного фрагмента. При разрыве химической связи два образующихся фрагмента конкурируют за заряд и неспаренный электрон. Заряд по правилу Стивенсона остается на фрагменте с меньшей энергией ионизации. При неизменном фосфорсодержащем фрагменте интенсивность пика углеводородного фрагментного иона в масс-спектре будет увеличиваться с уменьшением энергии ионизации (увеличением разветвленности) данного фрагмента.
Сущность предлагаемого нами подхода к установлению строения алкоксильного радикала в молекулах ААФФ по масс-спектральным характеристикам заключается в следующем. Масс-спектр ААФФ условно подразделяется на две составляющие: фосфорсодержащую и углеводородную. К фосфорсодержащим ионам относятся ионы II-VI, ион с m/z 47 (фосфорильная группа), а также все ионы, массовое число которых превышает таковое для молекулярного иона, образующегося олефина VII. Обе составляющие рассматриваются как два независимых источника сведений о строении алкоксильного радикала. При этом фосфорсодержащая составляющая позволяет извлекать сведения о типе разветвления алкоксильного радикала. Под типом разветвления понимается характеристика строения углеродной цепи, содержащая информацию о положении разветвления относительно кислородного атома, общем числе разветвлений и числе разветвлений у данного углеродного атома. Так, для представленного ниже O-алкильного радикала:

тип разветвления – ( ) . В скобках указано положение разветвления в боковой (короткой) цепи у -углеродного атома относительно атома кислорода.
Всего для рассматриваемого круга веществ выделено 6 “больших типов” разветвления О-алкильного радикала: неразветвленные; ; ;  ;   ; дальнее разветвление. К большому типу относятся изомеры с типом разветвления собственно , а также  и -дальнее. В последнем случае имеются в виду ААФФ, в молекулах которых имеются разветвления у первого углеродного атома О-алкильного радикала и в любом другом положении, кроме -положения. К большому типу относятся изомеры типа собственно и  . Соединения, принадлежащие к одному и тому же большому типу, обладают характерным спектральным образом. Для каждого из указанных типов нами найдены наборы аналитических признаков, позволяющие их идентифицировать как таковые.
Углеводородная составляющая общего спектра согласно нашим представлениям содержит информацию о структуре углеродного скелета О-алкильного радикала в целом. Предполагается, что последняя в ходе реакции (6) сохраняется, в то время как положение двойной связи в молекулярном олефиновом ионе VII не определено.
В настоящем исследовании преследовалась двоякая цель: во-первых, изучить возможность установления строения О-алкильного радикала в молекуле вещества, отнесенного на этапе групповой идентификации к гомологическому ряду ААФФ, по углеводородной составляющей его масс-спектра и, во-вторых, оценить перспективность конструирования (прогнозирования) масс-спектров неизученных соединений ряда ААФФ, используя в качестве основы известный спектр соответствующего олефина.
В данной работе мы ограничиваемся О-алкилметилфторфосфонатами (АМФФ) с нециклическими алкильными заместителями. Предполагается, что, используя алгоритм способа ближайшего из аналогов предлагаемого способа, установлена принадлежность исследуемого вещества к этому ряду, найдены число углеродных атомов и вид большого типа разветвления О-алкильного радикала. Для выделения углеводородной составляющей из полного масс-спектра АМФФ необходимо удалить из него пики фосфорсодержащих ионов II-VI, а также иона с m/z 47 (фосфорильная группа). Массовые числа ионов II, V и VI в спектрах АМФФ постоянны и составляют 99, 81 и 82 а.е.м. соответственно. Массовые числа ионов III и IV описываются уравнениями (7) и (8).


где nCP – число углеродных атомов в радикале, непосредственно связанном с атомом фосфора (Р-алкильном);
n – число углеродных атомов в боковой цепи у первого углеродного атома O-алкильного радикала.
Трудности при разделении общего спектра АМФФ на две составляющие возникают из-за возможности наложения пиков углеводородных (олефиновых) и упомянутых выше фосфорсодержащих ионов. В таблицах 1 и 2 представлены данные по интенсивностям пиков в спектрах олефинов, массовые числа которых совпадают с таковыми для фосфорсодержащих ионов II-VI, а также иона с m/z 47. Здесь и далее Jcp – среднее значение интенсивности, s – стандартное отклонение, n – число соединений.
| Таблица 1 |
| Интенсивности пиков с m/z 81, 82, 99, 47 в масс-спектрах олефинов /NIST Mass Spect. Search Prog. for the NIST/EPA/NIH Mass Spect. Libr. Vers.2.0 Jul.1. 2002/ |
| Название олефина |
Число соединений, n |
m/z 81 |
m/z 82 |
m/z 99 |
m/z 47 |
| Jcp |
s |
Jcp |
s |
Jcp |
s |
Jcp |
s |
| Гексены |
21 |
0 |
0 |
0 |
0 |
– |
– |
0 |
0 |
| Гептены |
44 |
1 |
1 |
0 |
1 |
– |
– |
0 |
0 |
| Октены |
50 |
2 |
1 |
1 |
1 |
0 |
0 |
0 |
0 |
| Нонены |
43 |
2 |
2 |
2 |
2 |
0 |
0 |
0 |
0 |
| Децены |
50 |
2 |
2 |
2 |
3 |
0 |
0 |
0 |
0 |
| Таблица 2 |
| Интенсивности пиков в масс-спектрах олефинов, массовые числа которых совпадают с таковыми для фосфорсодержащих ионов |
| Название олефина |
Число соединений, n |
m/z 112 |
m/z 125 |
m/z 126 |
m/z 139 |
m/z 140 |
| Jcp |
s |
Jcp |
s |
Jcp |
s |
Jcp |
s |
Jcp |
s |
| Октены |
50 |
18 |
10 |
– |
– |
 |
– |
– |
– |
– |
– |
| Нонены |
43 |
0 |
0 |
0 |
0 |
14 |
10 |
– |
– |
– |
– |
| Децены |
50 |
2 |
4 |
1 |
3 |
0 |
0 |
0 |
0 |
12 |
9 |
Из представленных в таблицах 1, 2 данных видно, что ион с m/z 47, а также ион II (m/z 59) являются “чисто фосфорсодержащими”.
В таблице 3 приведены средние значения интенсивностей пиков ионов III, IV, V, VI, иона с m/z 47, а также максимального углеводородного пика в спектрах АМФФ.
С учетом того факта, что в таблицах 1 и 2 интенсивности указаны относительно именно этого пика, сопоставление данных таблиц 1, 2 и 3 позволяет сделать вывод, что вклад углеводородных ионов в интенсивность пиков V (m/z 81) и VI (m/z 82) мал. Поэтому в настоящей работе эти пики также условно рассматриваются как “чисто фосфорсодержащие” и при выделении углеводородной составляющей удаляются из спектра вместе с пиками основного иона II (m/z 99) и фосфорильного фрагмента (m/z 47).
Сопоставление данных таблиц 2 и 3 показывает, что трудности разделения возрастают с увеличением числа атомов O-алкильного радикала (nCO), и позволяет выявить сложные случаи. Так, например, в масс-спектрах АМФФ с разветвлением в -положении O-алкильного радикала наблюдается интенсивный пик с m/z 112 (Jcp=80%, таблица 3). Как видно из таблицы 2, этот пик можно относить исключительно к фосфорсодержащему иону IV для всех изомеров, кроме O-октил- и O-децилметилфторфосфонатов, в спектрах которых вклад углеводородной составляющей в его интенсивность является заметным.
Наиболее просто выделяется углеводородная составляющая из общего спектра, когда число углеродных атомов O-алкильного радикала не превышает 7. В этом случае просто отбрасываются все пики с массовым числом более 98, а также упомянутые выше пики с m/z 47, 81, 82.
Общая процедура выделения углеводородной составляющей несколько более сложна. На основании анализа полного спектра АМФФ делается вывод об отнесении вещества к одному из указанных выше больших типов (неразветвленные; ; ;  ;   ; дальнее разветвление). Далее из полного спектра удаляют все пики с массовым числом, превышающим таковое для олефина VII, пик фосфорильного фрагмента (m/z 47), пики II (m/z 99), V (m/z 81)и VI (m/z 82). Затем, в зависимости от типа разветвления О-алкильного радикала, удаляют пики III или IV. Пик III удаляется, если тип разветвления О-алкильного радикала – и  , а пик IV для изомеров с типом разветвления и   . В тех немногочисленных случаях, когда имеет место наложение «фосфорорганических» пиков с молекулярными пиками алкенов, интенсивности последних в спектре выделенной углеводородной составляющей принимаются равными средним значениям для алкена с данным числом углеродных атомов (таблица 2). Так, в полных спектрах О-октильных производных пик с m/z 112 считается чисто углеводородным для всех соединений, кроме изомеров типа . В последнем случае вклад фосфорсодержащей составляющей в его интенсивность является преобладающим (таблица 3). При выделении углеводородной составляющей таких изомеров интенсивность пика с m/z 112 принималась равной среднему значению для октенов (18%, таблица 2). Разумеется, при таком подходе ухудшается селективность идентификации углеродного скелета алкена, однако ошибка в определении интенсивности одной из многочисленных спектральных линий, по нашему мнению, не должна сильно повлиять на результат.
Полученные результаты позволяют сформулировать алгоритм установления углеродного скелета О-алкильного радикала в молекуле вещества, отнесенного на этапе групповой идентификации к гомологическому ряду ААФФ, по углеводородной составляющей его масс-спектра. Алгоритм заключается в выделении углеводородной составляющей из полного масс-спектра по описанным выше правилам. Далее спектр углеводородной составляющей предъявляется системе NIST для опознания. После этого первые 4 (nCO=7) или 5 (nCO=8-10) структур из списка машинного ответа сопоставляются с характеристиками строения исследуемого АМФФ, извлеченными из фосфорорганической части спектра. Структуры, не согласующиеся с этими характеристиками, отбрасываются. В результате число возможных структур-кандидатов существенно сокращается.
Что касается моделирования (прогнозирования) масс-спектров АМФФ, выше уже указывалось, что подавляющее большинство пиков в них имеют “олефиновое” происхождение, т.е. принадлежат молекулярному иону олефина и продуктам его распада. Отсюда вытекает, что масс-спектр АМФФ можно спрогнозировать, добавляя к масс-спектру соответствующего олефина несколько “фосфорорганических” пиков. Такая возможность представляется реальной, так как изомеры АМФФ с тем или иным типом разветвления O-алкильного радикала имеют в фосфорорганической составляющей общего масс-спектра свой характерный образ. Все пики фосфорорганической составляющей подразделяются на общие и специфические для изомеров с данным типом разветвления. Для АМФФ общими являются пики ионов II (m/z 99), V (m/z 81), VI (m/z 82) и пик фосфорильного фрагмента с m/z 47. К специфическим относятся пики ионов III, IV, массовые числа которых описываются уравнениями (7) и (8) соответственно.
Интенсивность пика с m/z 99 всегда принимается за 100%. Для изомеров следующих больших типов: неразветвленные, дальнее разветвление, , (кроме типа  ) интенсивности как общих, так и специфических пиков изменяются в довольно узких пределах. Некоторые особенности имеют изомеры большого типа , которые обсуждаются ниже.
Исходные данные для моделирования спектров изомеров с различными типами разветвления содержатся в таблице 3. Во всех случаях сначала определяют интенсивность основного пика (m/z 99) относительно максимального углеводородного пика по формуле (9):

где Im/z=99 – интенсивность основного пика с m/z = 99, усл.ед.,
Imax – среднее значение относительной интенсивности максимального углеводородного (олефинового) пика в масс-спектре АМФФ с данным типом разветвления (предпоследний столбец таблицы 3).
Далее к спектру исходного олефина добавляют основной пик (m/z 99) с рассчитанной по формуле (9) интенсивностью, а также пики V (m/z 81) и VI (m/z 82). Расчет интенсивностей этих пиков с учетом относительных коэффициентов по отношению к основному пику с m/z=99 по данным таблицы 3 вполне очевиден и не нуждается в пояснениях.
Таким образом, алгоритм построения прогнозируемого масс-спектра АМФФ сводится к следующим операциям:
определение типа разветвления изомера, спектр которого прогнозируется,
определение структуры и выбор масс-спектра исходного олефина из библиотеки NIST или других источников,
определение относительной интенсивности основного пика (m/z 99), определение массовых чисел и интенсивностей остальных пиков фосфорорганической составляющей общего спектра по данным таблицы 3,
добавление к масс-спектру исходного олефина пиков фосфорорганической составляющей, общая нормировка спектра.
Пример осуществления способа
В качестве объекта идентификации на фигуре 1а представлен полный масс-спектр O-(1,4-диметилпентил)метилфторфосфоната /MIST Mass Sped Search Prog. for the NIST/EPA/NIH Mass Spect. Libr. Vers.2.0 Jul.1. 2002/.
В спектре имеется интенсивный пик III с m/z 125, позволяющий сделать вывод о наличии разветвления в -положении O-алкильного радикала. Однако на этапе выделения это обстоятельство в данном случае большого значения не имеет, поскольку все пики с массовым числом, превышающим 98 а.е.м. (молекулярная масса гептена), удаляются. Спектр углеводородной составляющей представлен в верхней части 1В (фигура 1).
На фигуре 1 (1Б) приведен спектр O-(3,7-диметилоктил)метилфторфосфоната. Рассматривая его как спектр неизвестного представителя ряда O-алкилметилфторфосфонатов, не удается обнаружить в нем каких-либо признаков разветвления в – или -положениях O-алкильного радикала. Таким образом, возможны два варианта: O-алкильный радикал не разветвлен; имеются разветвления в дальних положениях O-алкильного радикала. Выделенный по стандартной процедуре спектр углеводородной составляющей изображен в верхней части фигуры 1Г. Отредактированные спектры АМФФ предъявлялись затем для опознания поисковой системе NIST /OPCW Central Analytical Database. Heulweg, 28-30, 2288 GN Rijswijk. The Nethelands/. Поиск ограничивался только веществами с молекулярной массой, равной таковой для соответствующего олефина. Все вещества, не принадлежащие к гомологическому ряду олефинов (подавляющее большинство из них составляют циклоалканы), удалялись из машинного ответа. На фигуре 1 (1В и 1Г) спектры углеводородной составляющей для двух рассмотренных выше АМФФ сопоставлены со спектрами наиболее вероятных веществ-кандидатов, предлагаемых системой NIST. В обоих случаях – это ожидаемые структуры: 5-метилгексен-2 и 3,7-диметилоктен-1. Близкое сходство отредактированных спектров АМФФ и спектров идентифицированных олефинов не вызывает сомнения (фигура 1, 1В и 1Г). Отметим, что в ходе реакции (6) нельзя исключать возможности миграции двойной связи. Поэтому все олефиновые структуры с таким же углеродным скелетом, как у O-алкильного радикала в молекуле анализируемого АМФФ, рассматриваются как правильные.
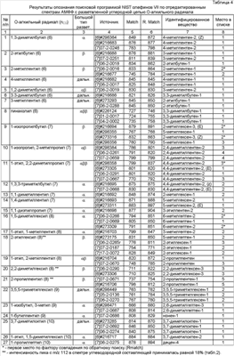
В таблице 4 представлены результаты идентификации олефинов VII по отредактированным спектрам АМФФ преимущественно с разветвленной углеродной цепью O-алкильного радикала. Для большинства соединений приведены данные из различных источников, полученные в различных экспериментальных условиях и на различных приборах. В третьем столбце указан большой тип разветвления O-алкильных радикалов. В пятом и шестом столбцах приведены показатели совпадения по прямому и по обратному поиску соответственно. В седьмом столбце приведено название первой предлагаемой программой NIST структуры с правильным углеродным скелетом, в восьмом столбце – ее место в списке машинного ответа.
Как видно из данных таблицы 4, для O-гексильных гомологов результат идентификации почти всегда безошибочен. Лишь для одного соединения из восьми правильная структура оказалась на втором месте в списке машинного ответа. Этот факт подтверждает правильность подхода в целом, однако для практических целей важно определять строение углеродного скелета в молекулах АМФФ с более длинным O-алкильным радикалом. Здесь результаты не столь однозначны, однако из 20 таких соединений лишь в двух случаях ожидаемая структура не вошла в первую тройку веществ-кандидатов ( 10 и 22 в таблице 4).

Наблюдается некоторый разброс результатов при использовании спектров одного и того же вещества, взятых из различных источников. Так, для соединений 9, 11, 20 в таблице 4 место правильной структуры варьирует от первого до третьего. Можно надеяться, что при унификации условий масс-спектрального эксперимента наблюдаемый разброс существенно уменьшится.
Трудности и возможности определения правильной структуры наглядно иллюстрируются с помощью данных таблицы 5, где приведен список машинного ответа для О-1-изопропил, 2-метилпропилметилфторфосфоната (соединение 10 в таблице 4).

Приведенный случай представляется на первый взгляд весьма неблагоприятным. Правильная структура – 2,4-диметилпентен-2 первый раз упоминается лишь под номером 5, однако, поскольку под номерами 2 и 4 приведена одна и та же структура -4,4-диметилпентен-2, правильный олефин занимает фактически 4 место в списке, как и указано в таблице 4. Обращает на себя внимание весьма малое различие в коэффициентах совпадения Match и R.Match, по крайней мере, для кандидатов, представленных в первых 12 строках машинного ответа. Из приведенных данных видно, что место в списке одной и той же структуры сильно меняется в зависимости от источника. Так, приведенный первым 3,4-диметилпентен-2 далее приводится восьмой, девятой и двенадцатой строкой. В то же время вплоть до 14 строки в списке упоминаются одни и те же 4 структуры, т.е. программа NIST выделяет довольно узкую группу структур-кандидатов. Такая ситуация является типичной. По-видимому, из нее следует сделать вывод, что для АМФФ с 7 углеродными атомами в O-алкильном радикале первые 3-4 структуры в списке машинного ответа следует рассматривать как равноправные, если их значения Match и R.Match близки. Далее необходимо привлекать сведения, взятые из фосфорорганической составляющей общего масс-спектра. Так, общий масс-спектр O-1-изопропил, 2-метилпропилметилфторфосфоната, рассматриваемый как масс-спектр неизвестного АМФФ, позволяет заключить, что исследуемый изомер относится к типу  . При этом число углеродных атомов в боковой цепи у -углеродного атома, судя по массовому числу пика III (m/z 153), равно трем. Анализируя первые три структуры из списка машинного ответа: 3,4-диметилпентен-2, 4,4-диметилпентен-2, 2,3,3-триметилпентен-2, нетрудно убедиться, что они не согласуются с приведенными выше характеристиками строения исследуемого АМФФ. Лишь правильная структура 2,4-диметилпентен-2 им соответствует.
Необходимо отметить, что в случае O-алкильных радикалов, разветвленных только в -положении, их линейная углеродная структура определяется однозначно (первое место в списке машинного ответа). В качестве примера приведены соединения 25 и 28 в таблице 4.
Отметим также, что для гептильного радикала имеется 9 вариантов углеродной структуры, для октильного – 18, нонильного – 35.
В целом, можно сделать вывод, что неопределенность идентификации O-алкильного радикала по предлагаемому методу обуславливается следующими причинами:
различиями в масс-спектрах одного и того же вещества, измеренными различными исследователями и в различных условиях;
близким сходством масс-спектров некоторых олефинов и, следовательно, углеводородных составляющих масс-спектров некоторых АМФФ.
В свою очередь, это означает, что использование какого-либо другого метода идентификации O-алкильных радикалов, основанного только на масс-спектральных данных, едва ли приведет к принципиальному улучшению результатов.
На фигуре 2А) и Б) приведены примеры построения масс-спектров известных АМФФ по предлагаемому алгоритму. В верхней части фигуры приведен прогнозируемый спектр вещества, а в нижней – спектр наиболее вероятного претендента, предлагаемого системой NIST.
Как видно из фигуры 2А) и Б), в обоих случаях поисковая система предложила первой строкой именно то соединение, спектр которого мы моделировали, причем прогнозируемый и экспериментальный спектры тождественны.
Результаты опознания поисковой системой NIST ряда O-алкилметилфторфосфонатов с различными типами разветвления O-алкильного радикала по прогнозируемым нами масс-спектрам приведены в таблице 6.
Как видно из данных таблицы 6, рассчитанные масс-спектры опознаются с высокими показателями совпадения по прямому и обратному поиску. При этом правильные структуры находятся на первом месте в списке предлагаемых структур.
В сводной таблице 7 представлены результаты прогнозирования масс-спектров соединений класса АМФФ по разработанному алгоритму.
Можно видеть, что, обрабатывая спрогнозированные спектры, система NIST ставит истинную структуру на первое место в 8 случаях из 10. Во всех случаях истинная структура попадает в первую тройку списка. Оценивая результаты, приведенные в таблице 6, следует учесть, что спектры многих ААФФ очень похожи друг на друга и, кроме того, межприборная и межлабораторная ошибка в значениях интенсивностей пиков при записи масс-спектров довольно велика (обычно приводят цифру ± 30%).

| Продолжение таблицы 6 |
| 1 |
2 |
3 |
4 |
5 |
| О-алкильный радикал с дальним разветвлением |
| О-3-метилпентил |
852 |
859 |
48,8 |
О-3-метилпентилметилфторфосфонат |
| 796 |
810 |
9,31 |
О-4-метилпентилметилфторфосфонат |
| 784 |
802 |
6,2 |
О-гексилметилфторфосфонат |
| 781 |
789 |
5,5 |
О-октилметилфторфосфонат |
| 779 |
786 |
5,1 |
О-2-гексилметилфторфосфонат |
| О-3,7-диметилоктил |
903 |
903 |
43,7 |
О-3,7-диметилоктилметилфторфосфонат |
| 862 |
879 |
9,96 |
О-октилметилфторфосфонат |
| 857 |
861 |
8,03 |
О-нонилметилфторфосфонат |
| 852 |
854 |
6,47 |
О-3,7-диметилоктилметилфторфосфонат |
| 851 |
858 |
6,22 |
О-3,7-димегилоктилметилфторфосфонат |
| Таблица 7. |
| Результаты прогнозирования масоспектров О-алкилметилфторфосфонатов по разработанному алгоритму |
| Число спрогнозированных спектров |
Место истинной структуры в списке предлагаемых системой NIST вариантов |
| 1 место |
2 место |
3 место |
| 20 |
17 |
2 |
1 |
Необходимо отметить, что в используемых базах данных содержатся около 60000 различных соединений. Тот факт, что поисковая система NIST не только правильно определяет принадлежность к гомологическому ряду, но и полную молекулярную структуру вещества по моделируемому масс-спектру, говорит, на наш взгляд, о достаточно высокой прогнозирующей способности предлагаемого подхода.
На фигуре 3 представлен прогнозируемый масс-спектр неизученного изомера – О-2-метилоктилметилфторфосфоната, принадлежащего к типу по нашей классификации. Исходный олефин – 2-метилоктен-1 [6, NIST#: 227609]. Интересно, что при идентификации вещества по этому спектру в первых 25 строчках машинного протокола содержатся правильные ответы о наличии АМФФ с разветвлением в -положении О-алкильного радикала.
Проверка алгоритма прогнозирования масс-спектров химикатов ряда ААФФ осуществлена на выборке из 20 соединений В результате проверки истинные структуры надежно опознаны из 60 тысяч предлагаемых структур. Полученные данные свидетельствуют о работоспособности способа, что позволяет прогнозировать масс-спектры соединений исследуемого ряда, отсутствующих в существующих базах данных
Формула изобретения
1. Способ идентификации высокотоксичных соединений ряда O-алкилалкилфторфосфонатов на основе масс-спектрометрии, отличающийся тем, что из полного масс-спектра исследуемого соединения путем вычитания пиков, соответствующих фосфорорганической части спектра, выделяют углеводородную составляющую, содержащую информацию о структуре углеродного скелета O-алкильного радикала в целом; опознают спектр углеводородной составляющей с использованием компьютерной программы NIST и сопоставляют предложенные структуры машинного ответа с характеристиками строения исследуемого O-алкилалкилфторфосфоната.
2. Способ прогнозирования масс-спектров химикатов этого ряда O-алкилалкилфторфосфонатов на основе масс-спектрометрии, отличающийся тем, что к известному масс-спектру модельного олефина добавляют прогнозируемые пики фосфорсодержащих ионов.
3. Способ по п.2, отличающийся тем, что относительную интенсивность основного пика с массовым числом, равным 99, определяют по формуле: Im/z=99=(100/Imax)1000, где Im/z=99 – интенсивность основного пика с массовым числом, равным 99 (m/z=99), усл.ед., Imax – среднее значение относительной интенсивности максимального углеводородного пика модельного олефина; а интенсивности остальных характерных пиков фосфорорганической составляющей определяют с учетом разветвления и относительного коэффициента к интенсивности основного пика с массовым числом, равным 99.
РИСУНКИ
|
|