|
|
(21), (22) Заявка: 2009116481/28, 29.04.2009
(24) Дата начала отсчета срока действия патента:
29.04.2009
(46) Опубликовано: 10.06.2010
(56) Список документов, цитированных в отчете о поиске:
SU 1615578 A1, 23.12.1990. RU 2006980 C1, 30.01.1994. RU 2251087 C2, 27.04.2005. RU 2055334 С1, 27.02.1996. RU 2137249 C1, 10.09.1999.
Адрес для переписки:
440026, г.Пенза, ул. Красная, 40, Пензенский Государственный Университет
|
(72) Автор(ы):
Белозубов Евгений Михайлович (RU), Белозубова Нина Евгеньевна (RU), Васильев Валерий Анатольевич (RU), Васильева Светлана Александровна (RU)
(73) Патентообладатель(и):
Государственное образовательное учреждение высшего профессионального образования “Пензенский государственный университет” (ПГУ) (RU)
|
(54) ДАТЧИК ДАВЛЕНИЯ ТЕНЗОРЕЗИСТИВНОГО ТИПА С ТОНКОПЛЕНОЧНОЙ НАНО- И МИКРОЭЛЕКТРОМЕХАНИЧЕСКОЙ СИСТЕМОЙ
(57) Реферат:
Изобретение относится к измерительной технике, в частности к датчикам, предназначенным для использования в различных областях науки и техники, связанных с измерением давления в условиях воздействия нестационарных температур и повышенных виброускорений. Техническим результатом изобретения является уменьшение погрешности измерения в условиях воздействия нестационарной температуры окружающей среды и повышенных виброускорений за счет уменьшения суммарной интегральной
термоЭДС путем оптимизации соотношений характеристик элементов конструкции. Датчик давления с тонкопленочной нано- и микроэлектромеханической системой (НиМЭМС) содержит корпус, установленную в нем НиМЭМС, состоящую из круглой мембраны, жестко заделанной по контуру, сформированной на ней гетерогенной структуры из тонких пленок материалов. В гетерогенной структуре образованы тензорезисторы, состоящие из идентичных тензоэлементов в форме квадратов, соединенные тонкопленочными перемычками из низкоомного материала и включенные в противоположные плечи измерительного моста окружные и радиальные тензорезисторы, выполненные в виде соединенных тонкопленочными перемычками одинакового количества, имеющих одинаковую форму тензоэлементов, расположенных по окружности на периферии мембраны. Выводные проводники соединяют тензорезисторы с гермовыводами. Трнкопленочные перемычки, которыми соединены тензоэлементы окружных и радиальных тензорезисторов, частично замкнуты дополнительными перемычками. Характеристики элементов конструкции датчика связаны соответствующим соотношением, приведенным в описании. 4 ил.
Предлагаемое изобретение относится к измерительной технике, в частности к датчикам, предназначенным для использования в различных областях науки и техники, связанных с измерением давления в условиях воздействия нестационарных температур и повышенных виброускорений.
Известна конструкция датчика давления тензорезистивного типа [1] с тонкопленочной нано- и микроэлектромеханической системой (НиМЭМС), который предназначен для измерения давления в условиях воздействия нестационарной температуры измеряемой среды. Датчики такого типа относятся к изделиям нано- и микросистемной техники [2].
Датчик давления [1] содержит корпус, тонкопленочную нано- и микроэлектромеханическую систему, состоящую из упругого элемента в виде круглой жесткозащемленной мембраны, выполненной за одно целое с основанием, на которой расположены соединенные в мостовую схему окружные и радиальные тензорезисторы. Они выполнены в виде соединенных низкоомными перемычками и равномерно размещенных по периферии мембраны идентичных тензоэлементов.
Недостатком известной конструкции является сравнительно большая погрешность измерения давления в условиях воздействия нестационарной температуры измеряемой среды вследствие различного влияния дополнительных низкоомных перемычек, соединяющих окружные и радиальные тензорезисторы, на сопротивления этих тензорезисторов в процессе изменения температуры. Это вызвано достаточно большим изменением сопротивлений низкоомных перемычек при изменении температуры из-за существенно большего (примерно на 2 порядка) температурного коэффициента сопротивления (ТКС) материала перемычек по сравнению с тензорезистивным материалом, а также различными конфигурацией и размерами перемычек, соединяющих окружные и радиальные тензорезисторы.
Известна конструкция датчика давления тензорезистивного типа [3] с тонкопленочной нано- и микроэлектромеханической системой (НиМЭМС), который предназначен для измерения давления в условиях воздействия нестационарной температуры измеряемой среды, выбранная в качестве прототипа, содержащая корпус, тонкопленочную нано- и микроэлектромеханическую систему, состоящую из упругого элемента в виде круглой жесткозащемленной мембраны, выполненной за одно целое с основанием, на которой расположены соединенные в мостовую схему окружные и радиальные тензорезисторы, выполненные в виде соединенных тонкопленочными перемычками одинакового количества имеющих одинаковую форму тензоэлементов, расположенных по окружности на периферии мембраны, выводные проводники, соединяющие тензорезисторы с гермовыводами, причем тонкопленочные перемычки, которыми соединены тензоэлементы окружных и радиальных тензорезисторов, частично замкнуты дополнительными перемычками.
Окружные и радиальные тензорезисторы, их тезоэлементы, тонкопленочные перемычки, а также контактные площадки образованы в гетерогенной структуре из тонких пленок материалов (тонкопленочные диэлектрические, тензорезистивные, контактные и т.п. слои материалов).
Типичная гетерогенная структура состоит из нано- и микроразмерных слоев, сформированных на металлической мембране с высотой микронеровностей не более 50-100 нм. По данным последних исследований, толщина тензорезистивного слоя может иметь размеры от 40 до 100 нм.
Недостатком известной конструкции является большая погрешность при воздействии нестационарной температуры окружающей среды, направленной не вдоль оси симметрии датчика. В этом наиболее реальном случае воздействия нестационарной температуры окружающей среды вследствие несимметричной относительно мест размещения тензорезисторов плотности теплового потока тензорезисторы нагреваются или охлаждаются неравномерно. Различная температура тензорезисторов приводит к дополнительному изменению выходного сигнала мостовой измерительной схемы датчика, в которую включены тензорезисторы. Одной из причин является взаимодействие множества последовательно и встречно включенных термоЭДС, возникающих на границах разделов тензоэлементов и перемычек вследствие случайным образом распределенных по поверхности чувствительного элемента неоднородностей структуры и неидентичности физических характеристик тензоэлементов и перемычек, находящихся в нестационарном температурном поле.
Недостатком известной конструкции является также сравнительно большая погрешность при воздействии повышенных (более 10000 мс-2) виброускорений, которые вызывают несимметричное и неравномерное повышение температуры элементов конструкции и соответственно аналогичные явления, описанные при воздействии нестационарной температуры окружающей среды.
Задачей предлагаемого изобретения является уменьшение погрешности измерения в условиях воздействия нестационарной температуры окружающей среды и повышенных виброускорений за счет уменьшения суммарной интегральной термоЭДС путем оптимизации соотношений характеристик элементов конструкции.
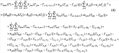
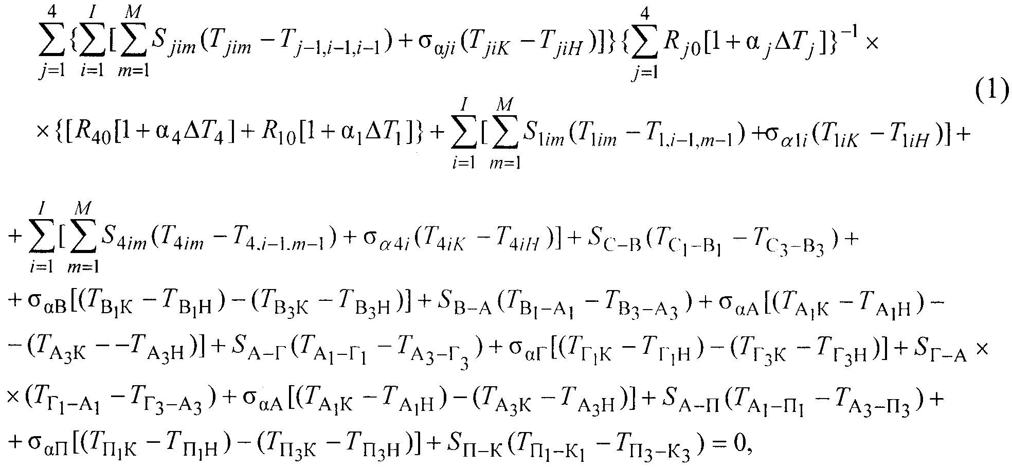
Поставленная задача достигается тем, что в датчике давления тензорезистивного типа с тонкопленочной нано- и микроэлектромеханической системой (НиМЭМС), содержащем корпус, установленную в нем НиМЭМС, состоящую из упругого элемента – круглой мембраны, жестко заделанной по контуру, сформированной на ней гетерогенной структуры из тонких пленок материалов, в которой образованны тензорезисторы, состоящие из идентичных тензоэлементов в форме квадратов, соединенные тонкопленочными перемычками из низкоомного материала и включенные соответственно в противоположные плечи измерительного моста окружные и радиальные тензорезисторы, выполненные в виде соединенных тонкопленочными перемычками одинакового количества имеющих одинаковую форму тензоэлементов, расположенных по окружности на периферии мембраны, выводные проводники, соединяющие тензорезисторы с гермовыводами, причем тонкопленочные перемычки, которыми соединены тензоэлементы окружных и радиальных тензорезисторов, частично замкнуты дополнительными перемычками, при этом характеристики элементов конструкции датчика связаны соотношением

где Sjim – коэффициент термоЭДС контактирующих материалов m-ой термоэлектрической структуры i-ого тензоэлемента j-ого тензорезистора;
Tjim – температура контактирующих материалов m-ой термоэлектрической структуры i-ого тензоэлемента j-ого тензорезистора;
Rj0 – сопротивление j-ого тензорезистора при начальной среднеинтегральной температуре j-ого тензорезистора;
j– температурный коэффициент сопротивления j-ого тензорезистора;
Tj – изменение среднеинтегральной температуры j-ого тензорезистора;
SC-B, SB-A, SA-Г, SГ-А, SA-П, Sп-к – коэффициент термоЭДС контактирующих материалов соответственно “контактная площадка – выводной проводник”, “выводной проводник – адгезионное покрытие гермовывода”, адгезионное покрытие гермовывода – гермовывод”, “гермовывод – адгезионное покрытие гермовывода”, “адгезионное покрытие гермовывода – провод”, “провод – контакт разъема”;
-температура на границе “контактная площадка МЭМС-структуры – выводной проводник”, “выводной проводник – адгезионное покрытие гермовывода”, “адгезионное покрытие гермовывода – гермовывод”, “гермовывод – адгезионное покрытие гермовывода”, “адгезионное покрытие гермовывода – провод”, “провод – контакт разъема” соответственно первой и третьей цепи.
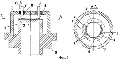
На фиг.1 изображен предлагаемый датчик давления. На фиг.2 изображена термоэлектрическая модель НиМЭМС тонкопленочного датчика давления, на фиг.3-структурная схема датчика давления с точки зрения термоэлектрических неоднородностей, на фиг.4 – термоэлектрическая модель датчика давления тензорезистивного типа с тонкопленочной НиМЭМС.
На фиг.1 обозначены: 1 – корпус, 2 – мембрана, 3 – периферийное основание, 4 – тонкопленочная перемычка, 5 – окружной тензорезистор, 6 – радиальный тензорезистор, 7 – тензоэлемент, 8 – выводной проводник, 9 – гермовывод, 10 – провод, соединяющий гермовыводы с внешней измерительной схемой, 11 – изолятор гермовывода, 12 – изоляционная пленка, 13 -уплотнительная поверхность. Соотношения размеров для наглядности несколько изменены.
Датчик давления тензорезистивного типа содержит корпус 1, установленную в нем тонкопленочную нано- и микроэлектромеханическую систему (НиМЭМС), состоящую из круглой мембраны 2 с периферийным основанием 3, по которому мембрана закреплена в корпусе, сформированной на ней гетерогенной структуры из тонких пленок материалов, в которой образованны тензорезисторы, состоящие из идентичных тензоэлементов в форме квадратов, соединенные тонкопленочными перемычками 4 из низкоомного материала и включенные соответственно в противоположные плечи измерительного моста окружные 5 и радиальные 6 тензорезисторы, выполненные в виде соединенных тонкопленочными перемычками 4 одинакового количества имеющих одинаковую форму тензоэлементов 7, расположенных по окружности на периферии мембраны, находящейся около ее границы. Мембрана 2 с периферийным основанием 3 выполнена из сплава 36НКВХБТЮ.
Выводные проводники 8 соединяют тензорезисторы с гермовыводами 9. Провода 10 соединяют гермовыводы с внешней измерительной схемой. Изоляторы 11 электрически изолируют гермовыводы от корпуса. На планарную сторону мембраны последовательно методами тонкопленочной технологии нанесена гетерогенная структура: тонкая изоляционная пленка 12 из моноокиси кремния с подслоем хрома. Тензоэлементы 7, выполненные из сплава Х20Н75Ю, и перемычки 4, выполненные из золота 3л 999,9 с подслоем ванадия, образуют вместе тензосхему. Тонкопленочные перемычки, которыми соединены тензоэлементы окружных и радиальных тензорезисторов, частично замкнуты дополнительными перемычками.
Датчик давления тензорезистивного типа с тонкопленочной НиМЭМС работает следующим образом. Измеряемое давление воздействует на мембрану 2 со стороны, противоположной расположению тензосхемы. На планарной поверхности мембраны возникают радиальные и тангенциальные напряжения и деформации, которые воспринимаются тензоэлементами 7 окружных и радиальных 6 тензорезисторов. Воздействие деформации от измеряемого давления на окружные тензорезисторы 5 приводит к увеличению их сопротивлений, а воздействие деформации от измеряемого давления на радиальные тензорезисторы 6 приводит к уменьшению их сопротивлений. Так как окружные 5 и радиальные 6 тензорезисторы включены соответственно в противоположные плечи измерительного моста, то при подаче на него питающего напряжения моста формируется выходной сигнал, величина которого однозначно связана с измеряемым давлением. Выводные проводники 8 и гермовыводы 9 обеспечивают подачу на измерительный мост напряжения питания и снятие выходного сигнала.
При измерении давления в условиях воздействия нестационарной температуры окружающей среды, направленной под углом к оси датчика, например в диапазоне температур 50-200°С, на датчик, установленный на агрегате жидкостного реактивного двигателя, захоложенного до температуры жидкого кислорода или водорода, в датчике возникает в общем случае нестационарное температурное поле. К аналогичному явлению приводит воздействие на датчик повышенных виброускорений. Минимизация напряжения нескомпенсированной термоЭДС за счет выполнения элементов конструкции в соответствии с заявляемым соотношением приводит к уменьшению погрешности от воздействия нестационарной температуры окружающей среды и повышенных виброускорений заявляемой конструкции по сравнению с прототипом.
Для обоснования наличия причинно-следственной связи между совокупностью признаков и достигаемым техническим результатом рассмотрим более подробно конструкцию датчика давления тензорезистивного типа с тонкопленочной НиМЭМС в условиях воздействия нестационарной температуры окружающей среды, направленной под углом к оси датчика, и повышенных виброускорений.
При всем многообразии конструктивно-технологических решений, применяемых при создании датчиков давления тензорезистивного типа с тонкопленочными НиМЭМС для экстремальных условий эксплуатации, в их структуре можно выделить общие подсистемы и элементы, определяющие характер термоэлектрических явлений при воздействии нестационарных температур и виброускорений. К ним можно отнести: чувствительный элемент в виде НиМЭМС, выводные проводники, адгезионное покрытие гермовыводов, гермовыводы, провода, контакты разъема.
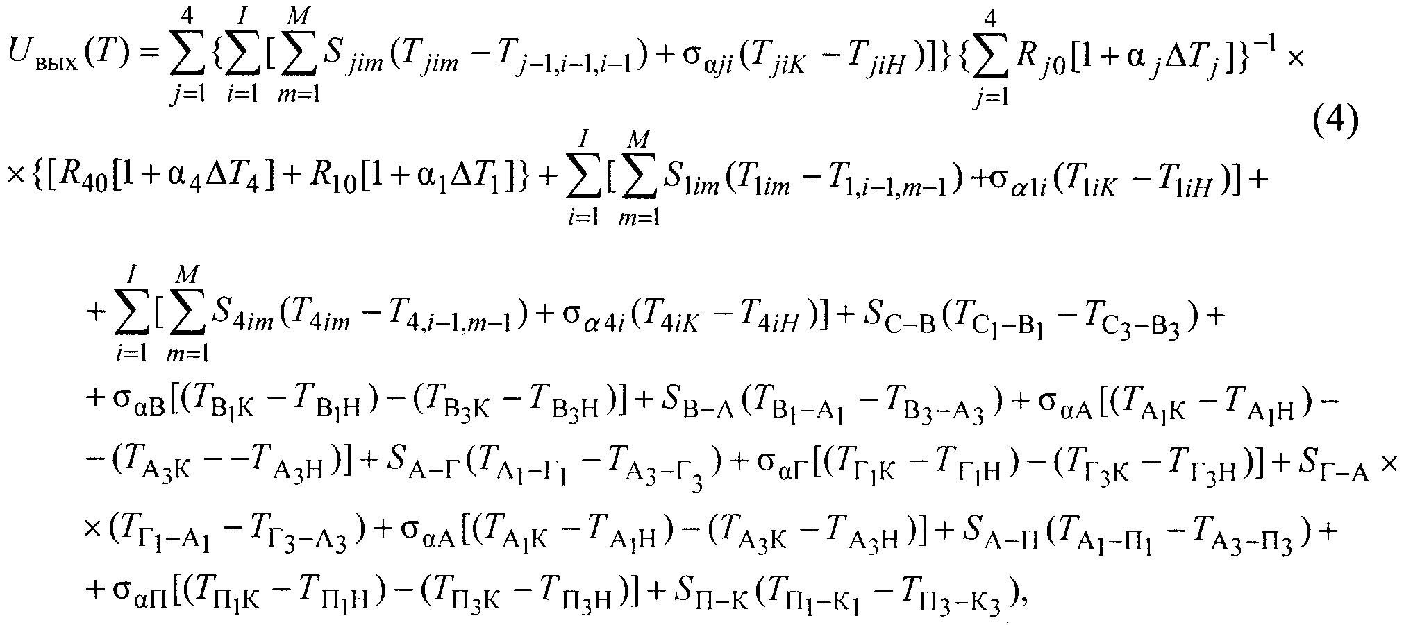
Выводные проводники предназначены для соединения контактных площадок НиМЭМС с гермовыводами (через адгезионное покрытие). Гермовыводы обеспечивают соединение герметизированной НиМЭМС с внешними элементами. Провода соединяют гермовыводы с контактами разъема. Характеристики датчиков во многом определяются характеристиками их НиМЭМС. Термоэлектрическую модель НиМЭМС можно представить в виде, изображенном на фиг.2. Здесь условно изображено по одному тензоэлементу в тензорезисторе. Фактически в каждом тензорезисторе современных датчиков используется от 1 до 20 тензоэлементов.
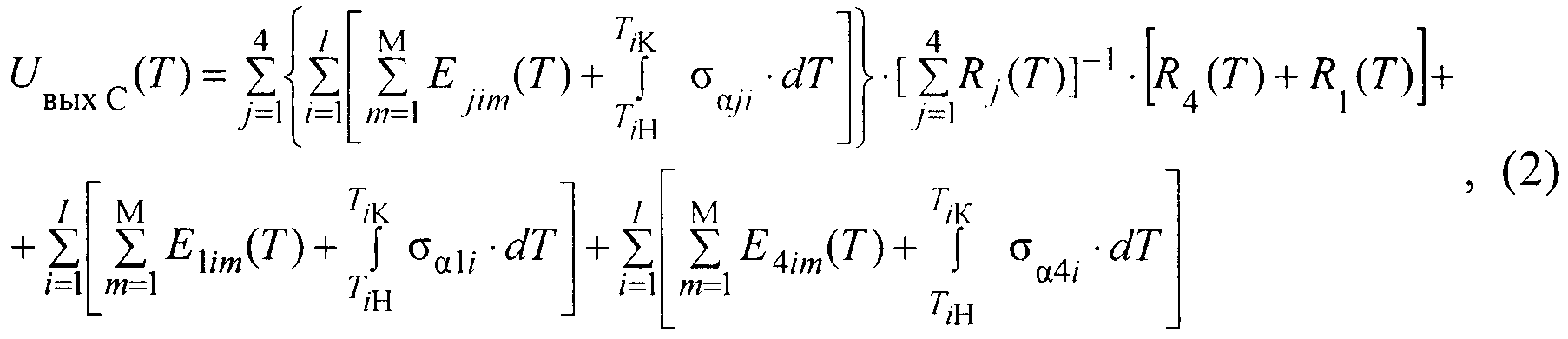
На фиг.2 обозначено: Ejim(Т) – m-ая термоЭДС i-ого тензоэлемента j-ого тензорезистора, T – температура, Rji(T) – сопротивление j-ого тензоэлемента j-ого тензорезистора, 1C, 2C, 3C, 4C – контактные площадки НиМЭМС. В соответствии с термоэлектрической моделью НиМЭМС, учитывая второе правило Кирхгофа, используя законы термоэлектрических явлений [3, 4], представим модель неинформативного преобразования термоэдс НиМЭМС датчика в выходной сигнал при воздействии нестационарных температур в виде

где 4 – количество тензорезисторов в мостовой измерительной схеме МЭМС-структуры;
I – количество тензоэлементов в тензорезисторе;
М – количество термоэлектрических структур в тензоэлементе;
Ejim(T) – m-ая термоЭДС i-ого тензоэлемента j-ого тензорезистора;
TjiH – температура в начале i-ого тензоэлемента j-ого тензорезистора;
ТjiK – температура в конце i-ого тензоэлемента j-ого тензорезистора;
 ji – коэффициент Томсона для материала i-ого тензоэлемента j-ого тензорезистора;
– сопротивление j -ого тензорезистора.
В реальных условиях эксплуатации не только НиМЭМС, но и все другие элементы и подсистемы датчика подвергаются воздействию нестационарной температуры измеряемой среды, нестационарной температуры окружающей среды и виброускорений. При этом возникающая в результате воздействия виброускорений температура носит нестационарный характер. Поэтому в выражении (2) и далее температура T в общем случае является функцией от нестационарной температуры измеряемой среды Tни, нестационарной температуры окружающей среды Тно и виброускорений W, т.е. Т= (Tни,Tно,W).
С точки зрения термоэлектрических неоднородностей структурную схему датчиков, предназначенных для эксплуатации в экстремальных условиях, можно представить в виде, изображенном на фиг.3.
На фиг.3 обозначено: 1 – НиМЭМС; 2 – граница “контактная площадка НиМЭМС – выводной проводник”, 3 – граница “выводной проводник – адгезионное покрытие гермовывода”, 4 – граница “адгезионное покрытие гермовывода – гермовывод”, 5 – граница “гермовывод – адгезионное покрытие гермовывода”, 6 – граница “адгезионное покрытие гермовывода -провод”, 7 – граница “провод – контакт разъема”.
В соответствии с термоэлектрической моделью НиМЭМС и структурной схемой датчика термоэлектрическую модель всего датчика можно представить в виде, изображенном на фиг.4.
На фиг.4 обозначено: термоЭДС на границе “контактная площадка НиМЭМС – выводной проводник” соответственно первой, второй, третьей, четвертой цепи, термоэдс на границе “выводной проводник – адгезионное покрытие гермовывода” соответственно первой, второй, третьей, четвертой цепи, термоЭДС на “границе адгезионное покрытие гермовывода – гермовывод” соответственно первой, второй, третьей, четвертой цепи, термоЭДС на границе “гермовывод – адгезионное покрытие гермовывода” соответственно первой, второй, третьей, четвертой цепи, термоЭДС на границе “адгезионное покрытие гермовывода – провод” соответственно первой, второй, третьей, четвертой цепи, термоЭДС на границе “провод – контакт разъема” соответственно первой, второй, третьей, четвертой цепи, 1, 2, 3, 4 – контакты разъема, причем 1, 3 – измерительные цепи, 2, 4 – цепи питания.
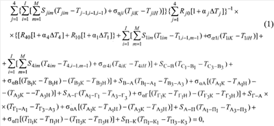
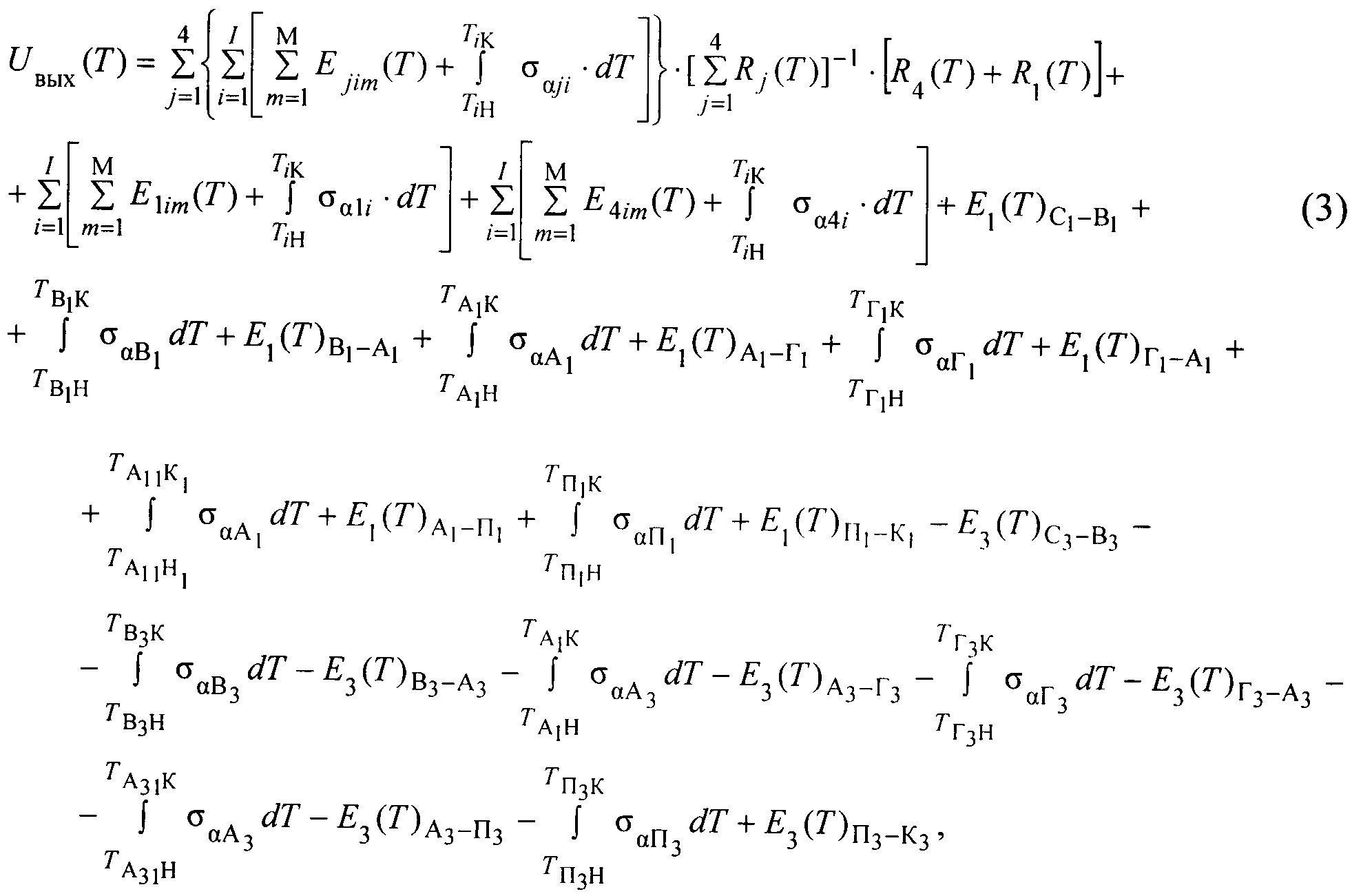
При источнике питания, отключенном от контактов 2 и 4 разъема датчика, элементы второй и четвертой цепи электрически не замкнуты, следовательно, они не будут влиять на выходной сигнал датчика. При источнике питания, подключенном к контактам 2 и 4 разъема датчика, влияние сигналов, вызванных термоэлектрическими явлениями, будет проявляться в изменении напряжения питания датчика. В реальных конструкциях датчиков термоЭДС, вызванные термоэлектрическими явлениями во второй и четвертой цепях, в 500-1000 раз меньше напряжения питания, поэтому их влиянием можно пренебречь. В связи с этим можно в соответствии с термоэлектрической моделью датчика с учетом выражения (2) и общих законов термоэлектрических явлений [4, 5] записать выражение для математической модели неинформативного преобразования термоЭДС в выходной сигнал датчика при воздействии нестационарных температур и виброускорений

где Т = f(ТНИ, ТНО, W);
– температура в начале выводного проводника соответственно первой и третьей цепи;
– температура в конце выводного проводника соответственно первой и третьей цепи;
– коэффициент Томпсона для материала выводного проводника соответственно первой и третьей цепи;
– температура в начале адгезионного покрытия гермовывода, расположенного со стороны выводных проводников, соответственно первой и третьей цепи;
– температура в конце адгезионного покрытия гермовывода, расположенного со стороны выводных проводников, соответственно первой и третьей цепи;
– коэффициент Томпсона для материала адгезионного покрытия соответственно первой и третьей цепи;
– температура в начале адгезионного покрытия гермовывода, расположенного со стороны проводов, соответственно первой и третьей цепи;
– температура в конце адгезионного покрытия гермовывода, расположенного со стороны проводов, соответственно первой и третьей цепи;
– температура в начале гермовывода (без адгезионного покрытия) соответственно первой и третьей цепи;
– температура в конце гермовывода (без адгезионного покрытия) соответственно первой и третьей цепи;
– коэффициент Томпсона для материала гермовывода (без адгезионного покрытия) соответственно первой и третьей цепи;
– температура в начале провода соответственно первой и третьей цепи;
– температура в конце провода соответственно первой и третьей цепи;
– коэффициент Томпсона для материала провода соответственно первой и третьей цепи.
Рассмотрим полученную модель при достаточно малых различиях температур элементов. В этом случае, условно пренебрегая нелинейным характером распределения температур в пределах конкретных элементов, можно представить выражение для упрощенной математической модели неинформативного преобразования термоэдс в выходной сигнал датчика в виде

где Sjim – коэффициент термоЭДС контактирующих материалов m-ой
термоэлектрической структуры j-ого тензоэлемента j-ого тензорезистора;
Тjim – температура контактирующих материалов m-ой термоэлектрической структуры i-ого тензоэлемента j-ого тензорезистора;
Rj0 – сопротивление j-ого тензорезистора при начальной среднеинтегральной температуре j-ого тензорезистора;
аj – температурный коэффициент сопротивления j-ого тензорезистора;
Tj– изменение среднеинтегральной температуры j-ого тензорезистора;
SC-B, SB-A, SA-Г, SГ-А, SА-П, SП-К – коэффициент термоЭДС контактирующих материалов соответственно “контактная площадка – выводной проводник”, “выводной проводник – адгезионное покрытие гермовывода”, адгезионное покрытие гермовывода – гермовывод”, “гермовывод – адгезионное покрытие гермовывода”, “адгезионное покрытие гермовывода – провод”, “провод – контакт разъема”;
– температура на границе “контактная площадка НиМЭМС – выводной проводник”, “выводной проводник – адгезионное покрытие гермовывода”, “адгезионное покрытие гермовывода – гермовывод”, “гермовывод -адгезионное покрытие гермовывода”, “адгезионное покрытие гермовывода -провод”, “провод – контакт разъема” соответственно первой и третьей цепи.
Погрешность датчика при воздействии нестационарной температуры будет минимизирована при UВЫХ(Т)=0. Поэтому, приравняв выражение (4) нулю, получим заявляемое соотношение. Таким образом, преимуществом заявляемого решения является уменьшение погрешности измерения при воздействии нестационарной температуры окружающей среды, вызванной в том числе виброускорениями, за счет минимизации напряжения нескомпенсированной термоЭДС путем оптимизации соотношений характеристик элементов конструкции.
Источники известности
1. RU. Патент 1615578, МПК G01L 9/04, Бюл. 47. 23.12.90.
. 12. – С.49-51.
3. RU. Патент 2312319, МПК G01L 9/04. Бюл. 34. 10.12.2007.
4. Гордов А.Н. Основы температурных измерений. М.: Энергоатомиздат, 1992.
5. Куинн Т. Температура: Пер. с англ. – М.: Мир, 1985. – 448 с.
Формула изобретения
Датчик давления с тонкопленочной нано- и микроэлектромеханической системой (НиМЭМС), содержащий корпус, установленную в нем НиМЭМС, состоящую из упругого элемента – круглой мембраны, жестко заделанной по контуру, сформированной на ней гетерогенной структуры из тонких пленок материалов, в которой образованны тензорезисторы, состоящие из идентичных тензоэлементов в форме квадратов, соединенные тонкопленочными перемычками из низкоомного материала и включенные соответственно в противоположные плечи измерительного моста, окружные и радиальные тензорезисторы, выполненные в виде соединенных тонкопленочными перемычками одинакового количества, имеющих одинаковую форму тензоэлементов, расположенных по окружности на периферии мембраны, выводные проводники, соединяющие тензорезисторы с гермовыводами, причем тонкопленочные перемычки, которыми соединены тензоэлементы окружных и радиальных тензорезисторов, частично замкнуты дополнительными перемычками, отличающийся тем, что характеристики элементов конструкции датчика связаны соотношением  где Sjim – коэффициент термоЭДС контактирующих материалов m-й термоэлектрической структуры i-го тензоэлемента j-го тензорезистора; Tjim – температура контактирующих материалов m-й термоэлектрической структуры i-го тензоэлемента j-го тензорезистора; Rj0 – сопротивление j-го тензорезистора при начальной среднеинтегральной температуре j-го тензорезистора;
j – температурный коэффициент сопротивления j-го тензорезистора;
Tj – изменение среднеинтегральной температуры j-го тензорезистора; SC-B, SB-A, SА-Г, SГ-A, SА-П, SП-К – коэффициент термоЭДС контактирующих материалов соответственно “контактная площадка – выводной проводник”, “выводной проводник – адгезионное покрытие гермовывода”, “адгезионное покрытие гермовывода – гермовывод”, “гермовывод – адгезионное покрытие гермовывода”, “адгезионное покрытие гермовывода – провод”, “провод – контакт разъема”;
– температура на границе “контактная площадка НиМЭМС – выводной проводник”, “выводной проводник – адгезионное покрытие гермовывода”, “адгезионное покрытие гермовывода – гермовывод”, “гермовывод – адгезионное покрытие гермовывода”, “адгезионное покрытие гермовывода – провод”, “провод – контакт разъема” соответственно первой и третьей цепи;
 ji – коэффициент Томсона для материала i-го тензоэлемента j-го тензорезистора;
 B – коэффициент Томпсона для материала выводного проводника цепи;
 A – коэффициент Томпсона для материала адгезионного покрытия цепи;
 П – коэффициент Томпсона для материала провода цепи;
 Г – коэффициент Томпсона для материала гермовывода (без адгезионного покрытия) цепи.
РИСУНКИ
|
|