|
|
(21), (22) Заявка: 2009106513/28, 24.02.2009
(24) Дата начала отсчета срока действия патента:
24.02.2009
(46) Опубликовано: 10.06.2010
(56) Список документов, цитированных в отчете о поиске:
SU 1615578 A1, 23.12.1990. RU 2006980 C1, 30.01.1994. RU 2251087 C2, 27.04.2005. RU 2055334 C1, 27.02.1996. RU 2137249 C1, 10.09.1999.
Адрес для переписки:
440026, г.Пенза, ул. Красная, 40, Пензенский Государственный Университет
|
(72) Автор(ы):
Белозубов Евгений Михайлович (RU), Васильев Валерий Анатольевич (RU), Васильева Светлана Александровна (RU), Громков Николай Валентинович (RU), Тихонов Анатолий Иванович (RU)
(73) Патентообладатель(и):
Государственное образовательное учреждение высшего профессионального образования “Пензенский государственный университет” (ПГУ) (RU)
|
(54) ТЕНЗОРЕЗИСТОРНЫЙ ДАТЧИК ДАВЛЕНИЯ НА ОСНОВЕ ТОНКОПЛЕНОЧНОЙ НАНО- И МИКРОЭЛЕКТРОМЕХАНИЧЕСКОЙ СИСТЕМЫ
(57) Реферат:
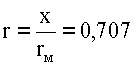
Изобретение относится к измерительной технике и может быть использовано для измерения давления в условиях нестационарных температур (термоудара) измеряемой среды. Техническим результатом изобретения является повышение точности измерения давления в условиях воздействия термоудара за счет улучшения линейности и уменьшения влияния температурных деформаций мембраны на выходной сигнал измерительного моста. Тензорезисторный датчик давления на основе тонкопленочной нано- и микроэлектромеханической системы (НиМЭМС) содержит корпус, установленную в нем НиМЭМС, состоящую из упругого элемента – мембраны, жестко заделанной по контуру, сформированной на ней гетерогенной структуры из тонких пленок материалов, герметизирующей контактной колодки, соединительных проводников. В герметизирующей контактной колодке образованные в гетерогенной структуре тензорезисторы, установленные по дуге окружности и в радиальном направлении, состоят из идентичных тензоэлементов в форме квадратов, соединенных тонкопленочными перемычками, включенными в измерительный мост. Центры окружных и радиальных тензоэлементов размещены по окружности, радиус r которой определен по соотношению r=0,707 rм, где rм – радиус мембраны. 10 ил.
Предлагаемое изобретение относится к измерительной технике и может быть использовано для измерения давления в условиях воздействия нестационарных температур (термоудара) измеряемой среды.
Известны тензорезисторные датчики давления с тензорезисторами, расположенными на мембране в радиальном направлении и соединенными в мостовую измерительную цепь [1, 2]. Их общим недостатком является низкая точность в условиях воздействия нестационарных температур (термоудара) измеряемой среды, они требуют дополнительных термокомпенсационных элементов (терморезисторов) и их подстройки. Это связано с появлением градиента температуры по радиусу мембраны, наличием температурного коэффициента сопротивления тензорезисторов, неравномерного нагрева тензорезисторов и его частей. В результате появляется разбаланс мостовой измерительной цепи, не связанный с измеряемым давлением, точность измерения давления резко снижается. Погрешность от воздействия термоудара может достигать 30-60%, тогда как в обычных условиях обеспечивается погрешность 0,5-1,5%. Воздействие термоудара можно наблюдать, к примеру, при заполнении приемной полости датчика жидким азотом.
Наиболее близким по технической сущности к предлагаемому решению является тензорезисторный датчик давления [3], основой которого является тонкопленочная нано- и микроэлектромеханическая система (НиМЭМС) с гетерогенной структурой. Под гетерогенными структурами в общем смысле понимают структуры, разнородные по своему составу или происхождению (принадлежности к той или иной форме, типу, группе, классу, системе). Датчики такого типа относятся к изделиям нано- и микросистемной техники [4].
Тензорезисторный датчик давления [3] содержит вакуумированный корпус 1 (фиг.1), тонкопленочную нано- и микроэлектромеханическую систему, состоящую из упругого элемента в виде круглой жесткозащемленной мембраны 2, выполненной за одно целое с основанием 3, на которой расположены соединенные в мостовую схему окружные 4 и радиальные 5 тензорезисторы. Они выполнены в виде соединенных низкоомными перемычками 6 и равномерно размещенных по периферии мембраны идентичных тензоэлементов 7. Каждый из них касается двумя вершинами 8 границы 9 мембраны. Диэлектрик 10 выполнен в виде тонкопленочной структуры Cr-SiO-SiO2, тензоэлементы 7 – в виде структуры Х20Н75Ю, перемычки 6 – в виде структуры V-Au.
Поскольку тензоэлементы идентичны и находятся на периферии мембраны на одинаковом расстоянии от ее центра, то, несмотря на нестационарный характер изменения температуры (Ti) на планарной стороне мембраны температуры тензоэлементов окружных и радиальных тензорезисторов, изменяясь, со временем будут одинаковы в каждый момент времени. Одинаковая температура радиальных и окружных тензорезисторов в каждый момент времени вызывает практически одинаковые изменения сопротивлений тензорезисторов, которые вследствие включения тензорезисторов в мостовую схему взаимно компенсируются.
Недостатком известной конструкции является сравнительно большая нелинейность измерительной цепи, которая обусловлена тем, что расположенные на периферии мембраны окружные и радиальные тензорезисторы неодинаково деформируются. Окружные тензорезисторы, находящиеся на периферии мембраны, испытывают меньшие деформации (окружные,  ), чем испытывают деформации (радиальные, r) радиальные тензорезисторы. Вследствие этого происходит неодинаковое изменение сопротивлений тензорезисторов смежных плеч мостовой измерительной цепи. Появляется погрешность от нелинейности.
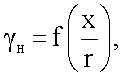
Между деформациями и приложенным давлением существует связь (функция преобразования) [1]:


где х – текущая координата радиуса; rм – радиус мембраны; Е – модуль упругости материала мембраны; µ – коэффициент Пуассона; B , Br – конструктивные коэффициенты чувствительности мембраны к давлению для случаев использования окружных и радиальных деформаций; S , Sr – чувствительности мембраны при использовании окружных и радиальных деформаций соответственно.
Как показывают выражения (1) и (2), функция преобразования определяется геометрическими размерами мембраны (радиусом и толщиной), характеристикой материала (модулем упругости) и коэффициентом Пуассона и зависит от того, какая деформация (радиальная или окружная) используется в качестве рабочей. Кроме того, она зависит от величины текущего радиуса.
Как видно из формул (1) и (2), функция преобразования прямо пропорциональна конструктивным коэффициентам чувствительности мембраны к давлению для случаев использования окружных и радиальных деформаций:


Приняв µ=0,3 (так как для изготовления упругих элементов обычно используются металлы), можно получить зависимости коэффициентов B и Br от текущего радиуса мембраны, которые представлены на фиг.2.
Из фиг.2 видно, что у мембраны имеются три зоны деформаций. Одна зона расположена в пределах и соответствует использованию окружных деформаций. В этой зоне конструктивный коэффициент чувствительности имеет максимальное значение в центре мембраны и равен 0,341. Вторая и третья зоны деформаций соответствуют использованию радиальных деформаций и расположены в пределах и соответственно. Для второй зоны максимальное значение конструктивного коэффициента также равно 0,341, а для третьей зоны – 0,683.
Очевидно, что при расположении окружных и радиальных тензорезисторов на периферии мембраны в области различных по величине относительных деформаций  и r относительные изменения сопротивлений окружных и радиальных тензорезисторов будут различны. При этом возникает нелинейность измерительной цепи датчика, которая зависит от коэффициента симметрии k и относительных изменений сопротивлений плеч измерительной цепи 1, 2, 3, 4 [5]. На фиг.3 показан измерительный мост с тензорезисторами R1, R2, R3 и R4, которым соответствуют относительные изменения сопротивлений 1, 2, 3, 4 при воздействии деформаций.
Для тензорезисторных датчиков, у которых относительное изменение сопротивления одного плеча обычно не превышает 0,01, при k=1 величина нелинейности составляет ~0,3÷0,6%, если рабочими являются два плеча.
Таким образом, в прототипе при размещении тензорезисторов на периферии мембраны возникает погрешность от нелинейности измерительной цепи, которая обусловлена возникновением несимметрии сопротивлений и различием относительных изменений сопротивлений окружных и радиальных тензорезисторов при деформациях мембраны, так как восприятие относительных деформаций радиальными и окружными тензоэлементами отличаются друг от друга.
Недостатком известной конструкции является также и то, что при расположении окружных и радиальных тензорезисторов на периферии мембраны температурные деформации окружных ( (T)) и радиальных ( r(T)) тензорезисторов при воздействии нестационарных температур (термоудара) различны. Так, в начальный момент времени при заполнении приемной полости датчика жидкостью с температурой, отличающейся от температуры датчика, возникает неравномерное температурное поле по поверхности мембраны. Градиент температуры между центром мембраны и ее периферией в первые секунды с момента начала действия термоудара может превышать десятки градусов [6]. При воздействии криогенных температур происходит сжатие центральной части мембраны, которое влечет за собой растяжение радиальных тензорезисторов, установленных на периферии мембраны. При этом вследствие разной ориентации относительно радиуса мембраны сопротивления окружных и радиальных тензоэлементов меняются на разные величины. В результате возникает температурная погрешность, обусловленная различным восприятием тензоэлементов температурных деформаций мембраны.
Задачей предлагаемого изобретения является повышение точности измерения путем улучшения линейности выходной характеристики в условиях воздействия нестационарных температур (термоудара) измеряемой среды за счет расположения окружных тензорезисторов в зонах одинаковых по величине положительных деформаций, равных по модулю отрицательным деформациям зон, в которых расположены радиальные тензорезисторы. Кроме того, задачей предлагаемого изобретения является повышение точности измерения путем уменьшения температурной погрешности, обусловленной температурными деформациями мембраны при воздействии нестационарных температур, за счет расположения окружных и радиальных тензорезисторов в зонах близких по величине температурных деформаций и компенсации влияния температурных деформаций мембраны в мостовой измерительной цепи.
Поставленная задача достигается тем, что в тензорезисторном датчике давления на основе тонкопленочной нано- и микроэлектромеханической системы (НиМЭМС), содержащем корпус, установленную в нем НиМЭМС, состоящую из упругого элемента – мембраны, жестко заделанной по контуру, сформированной на ней гетерогенной структуры из тонких пленок материалов, герметизирующей контактной колодки, соединительных проводников, в которой образованные в гетерогенной структуре тензорезисторы, установленные по дуге окружности и в радиальном направлении, состоят из идентичных тензоэлементов в форме квадратов, соединенных тонкопленочными перемычками, включенными в измерительный мост, центры окружных и радиальных тензоэлементов размещены по окружности, радиус которой г определен по соотношению r=0,707 rм, где rм – радиус мембраны.
Тензорезисторный датчик давления содержит корпус 1 со штуцером 2 (фиг.4), установленную в нем тонкопленочную нано- и микроэлектромеханическую систему (НиМЭМС) 3, выводные проводники 4, кабельную перемычку 5. Тонкопленочная НиМЭМС 3 представляет собой конструктивно законченный модуль, обеспечивающий высокую технологичность сборки датчика.
На фиг.5 отдельно показана тонкопленочная нано- и микроэлектромеханическая система (НиМЭМС) датчика. Она состоит из упругого элемента – круглой мембраны 6, жестко заделанной по контуру, с периферийным основанием 7 за границей 8 мембраны, гетерогенной структуры 9, контактной колодки 10, герметизирующей втулки 11, соединительных проводников 12, выводных колков 13, диэлектрических втулок 14. Гетерогенная структура 9 из тонких пленок материалов (тонкопленочные диэлектрические, тензорезистивные, контактные и т.п. слои материалов) сформирована на мембране 6 методами нано- и микроэлектронной технологии.
К примеру, гетерогенная структура 9 состоит из четырех нано- и микроразмерных слоев, сформированных на металлической мембране 6 (в качестве материала мембраны может быть сталь 36НХТЮ) с высотой микронеровностей не более 50-100 нм (при высоте микронеровностей мембраны более 100 нм становится принципиально невозможным получение устойчивых тонкопленочных структур, а следовательно, и новых качественных показателей, характерных для датчика).
Первый слой – подслой диэлектрика. Подслой диэлектрика, во-первых, служит демпфером между упругим элементом и диэлектриком для снятия температурных напряжений, возникающих в процессе напыления, а, во-вторых, обеспечивает адгезию диэлектрической пленки с материалом упругого элемента. Толщина подслоя равна 150-300 нм. Материалом подслоя диэлектрика может быть хром, Cr.
Второй – диэлектрический слой. Его задачей является обеспечение электрической изоляции между тензосхемой и упругим элементом в широком диапазоне температур. Поэтому к диэлектрику предъявляются жесткие требования по пористости, высокому удельному сопротивлению и в связи с тем, что он работает при воздействии значительных механических нагрузок, высоким прочностным характеристикам. В качестве диэлектрического слоя может быть тонкопленочная структура SiO-SiO2.
Третий – резистивный слой. Его толщина составляет 40 100 нм. К нему предъявляются очень жесткие требования: максимальный коэффициент тензочувствительности; высокие механические характеристики; большое удельное сопротивление; высокая температурная стабильность; хорошая адгезия с диэлектрическим слоем и материалом контактных групп; низкое значение температурного коэффициента сопротивления (ТКС); широкий рабочий диапазон температур (от криогенных до 300°C); его температурный коэффициент тензочувствительности (ТКТ) должен быть близок к температурному коэффициенту модуля упругости (ТКМУ) материала упругого элемента и др. Материалом резистивного слоя может быть Х20Н75Ю.
Четвертый слой – контактная группа (площадки, перемычки, проводники). К нему предъявляются следующие требования: хорошая адгезия и низкое переходное сопротивление с материалом тензорезистора; низкое удельное сопротивление; малый уровень тепловой и электромиграции; хорошая свариваемость с выводными проводниками при минимальной толщине; широкий диапазон рабочих температур; низкий уровень окисления при воздействии рабочих температур и во времени. Толщина контактных площадок и проводников для исключения отслоения от диэлектрика, особенно при воздействии широкого диапазона температур, должна быть не более 100 нм. В качестве контактной группы может быть структура V-Au.
В гетерогенной структуре 9 (фиг.6 а, б) образованы тензорезисторы 15-18 (фиг.6, а), установленные по дуге окружности (15, 18) и в радиальном направлении (16, 17), состоящие из идентичных тензоэлементов в форме квадратов, соединенных тонкопленочными перемычками 19. Тензорезисторы 15-18 объединены в измерительный мост. Контактные площадки 20 служат для подключения напряжения питания и съема выходного сигнала с измерительного моста из тензорезисторов 15-18.
Тензорезисторы, установленные в окружном направлении 15, 18 и в радиальном направлении 16, 17 и соответственно идентичные тензоэлементы в форме квадратов, размещены вдали от периферии (периферийного основания 7) мембраны в зоне с одинаковыми, но противоположными по знаку окружными и радиальными деформациями (0,577 rмм), причем так, что центры окружных и радиальных тензоэлементов тензорезисторов 15-18 размещены по окружности, радиус которой г определен по соотношению: r=0,707 rм, где rм – радиус мембраны.
Датчик давления работает следующим образом. Измеряемое давление приводит к деформации мембрану 6, на которой расположены тензорезисторы 15-18, возникают окружные и радиальные деформации, которые воспринимаются тензоэлементами окружных 15, 18 и радиальных 16, 17 тензорезисторов. Воздействие деформации от измеряемого давления на окружные тензорезисторы 15, 18 приводит к увеличению их сопротивлений, а воздействие деформации от измеряемого давления на радиальные тензорезисторы 16, 17 приводит к уменьшению их сопротивлений. Так как окружные 15, 18 и радиальные 16, 17 тензорезисторы включены соответственно в противоположные плечи измерительного моста, то при подаче на него питающего напряжения формируется выходной сигнал, величина которого связана с измеряемым давлением.
При измерении давления в условиях воздействия нестационарной температуры измеряемой среды, например, при воздействии на датчик, установленный на агрегате жидкостного реактивного двигателя, находящегося в нормальных климатических условиях, давления жидкого кислорода или водорода, на поверхности мембраны возникает нестационарное температурное поле. Нестационарное температурное поле возникает и при резком воздействии на датчик жидкого азота. На фиг.7 представлен график температурных полей на мембране в различные моменты времени с начала действия термоудара (воздействие жидкого азота) для случая, когда окружающей средой между мембраной и корпусом датчика является вакуум. Кривые построены для мембраны с диаметром d=5 мм, заделкой z=1,5 мм, толщиной h=0,31 мм с использованием алгоритма и программы [7].
В предлагаемом тензорезисторном датчике давления на основе тонкопленочной НиМЭМС, как и в прототипе, тензоэлементы идентичны, но тензорезисторы 15, 18 и 16, 17, составленные из идентичных тензоэлементов, расположены по окружности не на периферии мембраны вблизи ее границы 8 (см. фиг.6), а вдали от периферии по окружности с радиусом r=0,707 rм. При таком расположении, так же как и в прототипе, несмотря на нестационарный характер изменения, температуры (Ti) на планарной стороне мембраны температуры тензоэлементов окружных и радиальных тензорезисторов, изменяясь, со временем будут одинаковы в каждый момент времени. Одинаковая температура радиальных и окружных тензорезисторов в каждый момент времени вызывает практически одинаковые изменения сопротивлений тензорезисторов, которые вследствие включения тензорезисторов в мостовую схему взаимно компенсируются.
Кроме того, при расположении окружных и радиальных тензорезисторов по окружности с радиусом r=0,707 rм улучшается линейность и уменьшается влияние температурных деформаций мембраны на выходной сигнал датчика.
Обоснование заявляемого соотношения проведем исходя из следующих соображений.
Структурная схема тонкопленочного тензорезисторного датчика давления представлена на фиг.8.
Измеряемое давление действует на мембрану, которая деформируется и на ее поверхности возникают относительные окружные  и радиальные деформации r, определяемые выражениями (1) и (2).
Деформации  и r воспринимаются тензорезисторами, установленными на мембране в окружном и радиальном направлениях и преобразуются в относительное изменение сопротивления тензорезисторов:

где S – коэффициент тензочувствительности.
Измерительная схема является выходным преобразователем датчика и преобразует относительное изменение сопротивления тензорезисторов в величину выходного напряжения датчика.
Функция преобразования мембранного упругого элемента, преобразующего давление в деформацию [1]

где ВмP=|B |+|Вr| – конструктивный коэффициент чувствительности мембраны к давлению Р.
Самой оптимальной, с точки зрения повышения линейности и уменьшения погрешности от температурных деформаций, областью мембраны, где следует располагать тензорезисторы, является область, в которой значения B и Вr равны.
Приравняем выражения (3) и (4)

Выберем, к примеру, радиус мембраны rм=2,25 мм. При таком радиусе соотношение (7) выполняется при х=1,59 мм.
Относительный радиус, при котором |B |=|Br|

На фиг.9 показан график зависимости
,
из которого видно, что 
при

При относительном радиусе r=0,707 конструктивные коэффициенты чувствительности B =0,170, Br=-0,170. В этом случае конструктивный коэффициент чувствительности мембраны к давлению

С учетом этого, функция преобразования мембраны (6) предлагаемого датчика

Обычно номинальный выходной сигнал датчика задается в относительных единицах и равным 6·10-3, коэффициент тензочувствительности металлопленочных тензорезисторов S=2,1. Исходя из этого можно определить м:

Подставляя (11) в (10), можно найти толщину мембраны h при выбранном радиусе мембраны rм для заданного предела измерения давлений Р.
Оценить нелинейность предлагаемого тензорезисторного датчика давления можно по функции преобразования. Для этого примем за линейную функцию преобразования

а за нелинейную функцию преобразования

И нелинейность будем оценивать в относительных единицах:

или

Подставив (12) и (13) в формулу (15), получим

На фиг.10 представлен график зависимости рассчитанный по выражению (16) вблизи r=0,707. Из графика видно, что при относительном радиусе r=0,707 нелинейность н практически равна нулю.
Преимуществом заявляемой конструкции является улучшение линейности выходной характеристики в условиях действия нестационарных температур (термоудара) измеряемой среды, тем самым повышается точность и достоверность получаемой информации о величине давления.
В предлагаемой конструкции при размещении всех тензорезисторов на мембране по окружности с радиусом r, равным 0,707 rм, и равенстве их номинальных значений не возникает погрешность от нелинейности измерительной цепи, так как не возникает несимметрия плеч измерительного моста при деформации благодаря равенству окружных и радиальных деформаций в местах установки тензорезисторов. При этом относительные изменения сопротивлений окружных и радиальных тензорезисторов равны.
В предлагаемой конструкции при размещении всех тензорезисторов на мембране по окружности с радиусом r, равным 0,707 rм, и равенстве их номинальных значений не возникает погрешность от температурных деформаций мембраны. При расположении тензорезисторов не на периферии, а вдали от места заделки, по окружности с радиусом, равным 0,707 rм, окружные и радиальные температурные деформации мембраны практически равны. Одинаковые температурные деформации радиальных и окружных тензорезисторов при воздействии нестационарных температур приводят к одинаковым изменениям сопротивлений тензорезисторов и разбаланс мостовой измерительной цепи не происходит. В результате не возникает температурная погрешность, обусловленная температурными деформациями мембраны. Тем самым повышается точность и достоверность получаемой информации о величине давления.
В результате испытаний экспериментальных образцов тонкопленочных датчиков давления, изготовленных в соответствии с формулой изобретения, установлено, что датчики позволяют повысить точность измерения в условиях воздействия нестационарных температур (термоудара). При воздействии нестационарной температуры от 25±10°C до минус 196°C погрешность не превышает 0,5% от предела измерений.
Заявляемое техническое решение позволяет обеспечить точностные свойства тензорезисторного датчика давления при воздействии нестационарных температур.
Предлагаемый тонкопленочный тензорезисторный датчик давления выгодно отличается от известных и может найти широкое применение для измерения давлений в условиях действия нестационарных температур (термоудара) измеряемой среды.
Источники информации
4. – С.97-108.
2. Белозубов Е.М. Патент РФ 2031355, 6 G01B 7/16. Способ термокомпенсации тензомоста. Бюл. 8 от 20.03.95.
3. Белозубов Е.М. Патент РФ 1615578, 5 G01L 9/04. Датчик давления. Опубл. 23.12.90. Бюл. 47.
. 12. – С.49-51.
1. – С.3-20.
12. – С.16-21.
7. Белозубов Е.М., Васильев В.А., Измайлов Д.А. Алгоритм и программа «Моделирование влияния нестационарных температур на датчики мембранного типа». Св-во об отрасл. peг. разработки в отраслевом фонде алгоритмов и программ 10700 от 26.05.2008 г. Зарегистрировано в «Национальном информационном фонде неопубликованных документов» ФАО ГКЦИТ, г.Москва, 02.06.2008 г. гос. рег. 50200801123.
Формула изобретения
Тензорезисторный датчик давления на основе тонкопленочной нано- и микроэлектромеханической системы (НиМЭМС), содержащий корпус, установленную в нем НиМЭМС, состоящую из упругого элемента – мембраны, жестко заделанной по контуру, сформированной на ней гетерогенной структуры из тонких пленок материалов, герметизирующей контактной колодки, соединительных проводников, в которой образованные в гетерогенной структуре тензорезисторы, установленные по дуге окружности и в радиальном направлении, состоят из идентичных тензоэлементов в форме квадратов, соединенных тонкопленочными перемычками, включенными в измерительный мост, отличающийся тем, что центры окружных и радиальных тензоэлементов размещены по окружности, радиус которой r определен по соотношению r=0,707 rм, где rм – радиус мембраны.
РИСУНКИ
|
|