Патент на изобретение №2391466

Published by on




РОССИЙСКАЯ ФЕДЕРАЦИЯ



ФЕДЕРАЛЬНАЯ СЛУЖБА
ПО ИНТЕЛЛЕКТУАЛЬНОЙ СОБСТВЕННОСТИ,
ПАТЕНТАМ И ТОВАРНЫМ ЗНАКАМ
(19) RU (11) 2391466 (13) C2
(51) МПК

E03D1/38 (2006.01)

(12) ОПИСАНИЕ ИЗОБРЕТЕНИЯ К ПАТЕНТУ

Статус: по данным на 09.08.2010 – действует

(21), (22) Заявка: 2007135215/03, 21.02.2006

(24) Дата начала отсчета срока действия патента:

21.02.2006

(30) Конвенционный приоритет:

22.02.2005 US 11/064,117

(43) Дата публикации заявки: 27.03.2009

(46) Опубликовано: 10.06.2010

(56) Список документов, цитированных в отчете о
поиске:
RU 2155904 C2, 10.09.2000. EP 0107974 A1, 09.05.1984. US 4106136 A, 15.08.1978. US 5218725 A, 15.06.1993.

(85) Дата перевода заявки PCT на национальную фазу:

24.09.2007

(86) Заявка PCT:

US 2006/006032 20060221

(87) Публикация PCT:

WO 2006/091563 20060831

Адрес для переписки:

129090, Москва, ул. Б.Спасская, 25, стр.3, ООО “Юридическая фирма Городисский и Партнеры”, пат.пов. А.В.Мицу

(72) Автор(ы):

ХЭЛЛОРАН Дэниел Н. (US),
БОГАРД Дуглас Е. (US),
ДЕНЗИН Питер В. (US),
МУКЕРДЖИ Судип (US)

(73) Патентообладатель(и):

КОУЛЕР КО. (US)

(54) ПРОМЫВНОЙ КЛАПАН С ПРОТОЧНЫМ КАНАЛОМ, СУЖАЮЩИМСЯ НЕЛИНЕЙНО

(57) Реферат:

Изобретение относится к области санитарной техники. Промывной клапан для регулирования потока воды из смывного бачка для воды содержит корпус клапана, имеющий седло клапана и образующий первое отверстие и внутреннюю поверхность, образующую границы проточного канала, который сужается нелинейно в направлении от седла клапана в соответствии с многочленным выражением, имеющим горизонтальные и вертикальные компоненты с различным размещением ко второму отверстию на втором конце, противоположном седлу клапана. При этом второе отверстие имеет меньший размер по сравнению с первым отверстием и расположено на расстоянии от первого отверстия в аксиальном направлении, в котором внутренняя поверхность выполнена круглой в горизонтальном поперечном сечении и в котором внутренняя поверхность сужается более значительно рядом с первым отверстием, чем со вторым отверстием, и сужается более плавно ближе ко второму отверстию. Промывной клапан также имеет затвор, выполненный с возможностью его установки на седло клапана и перекрытия седла клапана. Технический результат заключается в простоте и надежности устройства. 3 н. и 13 з.п. ф-лы, 8 ил.

Настоящее изобретение относится к промывным клапанам, которые обеспечивают регулирование потока воды из смывных бачков в унитазы, и, в частности, к промывным клапанам с улучшенными параметрами потока.

Известны системы для регулирования струи воды из смывного бачка, поступающей в унитаз, см., например, патенты США 4172299 и 6178567. Подобные системы имеют клапан для впуска воды в бачок, как правило, регулируемого поплавком, который «распознает» уровень воды в бачке. Створка обеспечивает регулирование потока воды из бачка через выпускное отверстие в днище бачка. Опускание рычага управления приводит к смещению створки с позиции, так что вода может выпускаться из бачка в унитаз. По мере выпуска воды из бачка поплавок опускается вместе с уровнем воды в бачке, тем самым обеспечивая инициирование входного потока воды. Уровень воды падает быстрее по сравнению с впуском поступающей воды, так что створка может опуститься вниз с повторным закрытием выпускного отверстия, и уровень воды в бачке может быть восстановлен. По мере повторного заполнения бачка поплавок поднимается вместе с водой и в конце концов обеспечивает закрытие впускного клапана для перекрытия подачи воды.

Способность туалета, в особенности туалетов с малым расходом воды, работать эффективно во время цикла смывания в значительной степени зависит от траектории, по которой вода должна проходить для выхода из туалета. Данная траектория проходит от промывного клапана и через стекловидный канал унитаза. Были разработаны различные конфигурации траектории для оптимизации параметров потока во время цикла смывания.

Сравнительно малое число из предыдущих попыток улучшить характеристики смывания было направлено на изменение воздействия промывного клапана бачка. Обычные промывные клапаны, как правило, имеют круглое отверстие с цилиндрическим каналом, ведущим вниз к выпускному отверстию бачка, см., например, патент США No. 5325547. Цилиндрическая конструкция подобных клапанов может привести к созданию воздушного кармана на траектории потока после начала смывания, поскольку поток воды в резервуаре сужается по мере его ускорения под действием силы тяжести при проходе потока через клапан. Были разработаны промывные клапаны с нецилиндрическими каналами. Например, в патенте США No. 5195190 раскрыт промывной клапан с каналом в виде конического участка. Уменьшающийся диаметр канала в подобном клапане способствует уменьшению объема нежелательного воздуха. Однако несмотря на усовершенствование, канал с формой усеченного конуса обеспечивает отнюдь не оптимальную эффективность смывания.

Другая часть промывного клапана, которая может иметь низкую эффективность потока, – это переливное устройство. Переливное устройство используется в туалете для обеспечения сливного канала для избыточной воды в бачке, которая может возникнуть, если подача воды была вовремя не перекрыта, например, вследствие неисправности уплотнения впускного отверстия или вследствие того, что поплавок вызвал перекрытие впускного клапана слишком поздно. Переливное устройство соединено с выходом промывного клапана, так что избыточная вода может проходить в унитаз и в канализационные магистрали. Обычные трубы переливного устройства представляют собой длинные вертикальные цилиндры с нижним концом, сообщающимся с основным проточным каналом промывного клапана, и с верхним концом, выступающим немного выше над заданным уровнем воды в бачке, соответствующим нормальному полному заполнению, см., например, патент США No. 4433446. Подобные цилиндрические трубы переливного устройства имеют аналогичный недостаток, заключающийся в отнюдь не оптимальных параметрах потока и свойственный цилиндрическим промывным клапанам.

В обоих патентах США No.No. 6401269 и 6651264 раскрыты промывные клапанные узлы, которые имеют прочные, прямоугольные трубы переливного устройства с относительно большими входными отверстиями на верхних концах и с сужающимися стенками. Несмотря на то, что широкое входное отверстие и сужающаяся конструкция оказывают влияние на эффективность потока по сравнению с обычными цилиндрическими трубами переливного устройства, по существу, прямоугольное поперечное сечение по-прежнему обеспечивает отнюдь не идеальный поток.

Таким образом, задачей настоящего изобретения является создание промывного клапана с улучшенными параметрами потока.

В соответствии с настоящим изобретением разработан промывной клапан для туалета, который имеет улучшенные параметры потока в результате наличия проточного канала с нелинейно сужающимся профилем потока, который более точно соответствует сужению, характерному для потока падающей воды, когда она ускоряется под действием силы тяжести. Нелинейный профиль потока в проточном канале клапана обеспечивает уменьшение наличия воздуха в клапане после инициирования цикла смывания, так что может быть достигнута более высокая эффективность смывания. Промывной клапан также может иметь сужающееся переливное устройство, предпочтительно сужающееся нелинейно, с тем чтобы обеспечить аналогичное улучшение характеристик потока в ситуации перелива.

В частности, в соответствии с одним вариантом осуществления изобретения разработан промывной клапан для регулирования потока воды из смывного бачка с водой. Корпус клапана имеет седло клапана и проточный канал, идущий от седла клапана. Внутренняя поверхность корпуса клапана определяет границы проточного канала таким образом, что, по меньшей мере, часть проточного канала сужается нелинейно от седла клапана. Затвор может устанавливаться на седло клапана для перекрытия седла клапана. Нелинейная поверхность корпуса клапана может быть получена из вычислений и выражена в виде полиномиального уравнения.

В корпусе клапана образованы два отверстия на каждом конце, одно – на верхнем конце с седлом клапана и другое – на нижнем конце, который присоединен к выходу бачка. Принимая во внимание сужение проточного канала, следует отметить, что нижнее отверстие имеет меньший диаметр, чем отверстие седла клапана.

Промывной клапан может иметь затвор в виде створки с полой внутренней полостью и хомутом (скобой), имеющим две лапки (каждая из которых имеет отверстие, определяющее ось шарнира), так что затвор в виде створки является поворотным относительно корпуса клапана. Затвор в виде створки и/или хомут может иметь место присоединения для присоединения соединителя для переключения, приводимого в действие для смещения затвора в виде створки с позиции.

Промывной клапан также может иметь усовершенствованное переливное устройство. Переливное устройство определяет границы переливного канала, сообщающегося с проточным каналом корпуса клапана, который сужается между верхним отверстием с широкой входной частью переливного устройства и нижним отверстием переливного устройства. Переливной канал предпочтительно сужается от его широкой входной части на некоторой части его длины или на всей его протяженности до нижнего отверстия некоторым образом, например, в виде воронки, или более предпочтительно нелинейно. Переливное устройство может представлять собой отдельный компонент и может быть присоединено к корпусу клапана постоянно или с возможностью снятия.

Преимущества изобретения станут очевидными из подробного описания и чертежей. Ниже представлены предпочтительные варианты осуществления настоящего изобретения. Для оценки полного объема изобретения следует рассмотреть формулу изобретения, поскольку предпочтительные варианты осуществления не предусмотрены в качестве единственно возможных вариантов осуществления в пределах объема изобретения.

Сущность изобретения поясняется на чертежах, где

фиг.1 представляет собой выполненный с частичным разрезом вид спереди промывного клапанного узла по настоящему изобретению, смонтированного в смывном бачке;

фиг.2 представляет собой вид в перспективе узла по фиг.1, показанного без присоединенного затвора в виде створки;

фиг.3 представляет вид в плане сверху данного узла;

фиг.4 представляет собой вертикальный вид данного узла;

фиг.5 представляет собой сечение, выполненное по линии 5-5 на фиг.4;

фиг.6 представляет собой схематический чертеж, показывающий профиль потока в промывном клапане по настоящему изобретению в сравнении с коническим и цилиндрическим профилями; и

фиг.7 и 8 иллюстрируют другой вариант осуществления промывного клапанного узла.

На фиг.1 показан туалет 10, который включает в себя бачок 12 для воды и унитазную часть (не показана). Бачок 12 имеет нижнюю горизонтальную стенку 16 с выпускным отверстием 18, которое ведет к каналу в верхнем ободе унитаза. Внутри бачка размещена обычная труба 20 для подачи воды с клапаном 24 для подачи, приводимым в действие посредством поплавка 22 и предназначенным для регулирования потока воды, подаваемой в бачок 12. Промывной клапанный узел 26 размещен внутри бачка 12 над выпускным отверстием 18 для регулирования потока воды из бачка 12 в унитаз во время цикла смывания.

Промывной клапанный узел 26 расположен вертикально в бачке 12 и включает в себя корпус 28 клапана, переливную трубу 30 и затвор 32 в виде створки. Корпус 28 клапана и переливное устройство 30 предпочтительно выполнены из некорродирующего материала, такого как пригодный пластик. Нижний конец корпуса 28 клапана имеет три выступа 36, которые используются для сцепления с нижней стороной горизонтальной стенки 16, и наружный фланец 38 с соответствующей прокладкой 40 входит в контакт с верхней стороной стенки 16, что обеспечивает крепление промывного клапанного узла 26 к бачку 12. Данное соединение аналогично соединению, раскрытому в патенте США 4433446, который переуступлен правопреемнику по настоящему изобретению и описание которого, в частности фиг.2 и 4А-6 и их соответствующее описание, включено в настоящее описание в качестве ссылки.

Как показано на фиг.1-5, корпус 28 клапана является полым и определяет границы вертикального проточного канала 44, который проходит между нижним отверстием 46 у выпускного отверстия 18 бачка и верхним отверстием 48 у седла 50 клапана. Внутренняя поверхность корпуса 28 клапана, которая образует границы проточного канала 44, имеет нелинейный профиль в вертикальном сечении и является круглой в горизонтальном поперечном сечении. Как показано в сечении по фиг.5, профиль потока имеет наибольший диаметр у верхнего отверстия 48 и наименьший у нижнего отверстия 46 для образования непрерывно сужающегося проточного канала 44. Сужение является более значительным рядом с верхним отверстием 48 и затем становится более плавным ближе к нижнему отверстию 46. Следует отметить, что даже у верхнего отверстия 48 сужение представляет собой часть полученного путем вычислений нелинейного профиля потока, обеспечиваемого проточным каналом 44, и не представляет собой простой радиус закругления, какой, возможно, имеется на верхнем крае обычных промывных клапанов.

По мере ускорения потока воды под действием силы тяжести площадь поперечного сечения потока воды уменьшается. Данное сужение имеет нелинейный характер. Профиль потока в клапане создан таким, чтобы он более точно соответствовал естественной траектории, которую образует вода, когда она падает под действием силы тяжести. При образовании профиля потока в клапане таким образом обеспечивают присутствие меньшего количества воздуха в проточном канале во время цикла смывания. Уменьшение количества воздуха в проточном канале способствует более эффективному смыванию, поскольку в ином случае воздух должен быть отведен или захвачен водой, что приводит к уменьшению эффективности смывания, обеспечиваемой туалетом.

Как показано на фиг.6, в обычных промывных клапанах с полностью цилиндрическими профилями потока довольно большой объем воздуха, определяемый зонами А + В при вращении их вокруг вертикальной осевой линии проточного канала, захватывается в проточном канале после инициирования цикла смывания в пространстве между внутренней поверхностью клапана и поверхностью воды. Другие обычные промывные клапаны имеют профили в виде конических участков, которые приводят к наличию меньшего объема воздуха, определяемого зоной В при ее вращении. Тем не менее, даже данный объем воздуха отрицательно влияет на эффективность смывания. Воспроизведение профиля потока в соответствии с естественным профилем потока падающей воды так, как в настоящем изобретении, позволяет, по существу, устранить нежелательный воздух (не тот воздух, который имеется в проточном канале перед смыванием) и таким образом обеспечивает повышенную эффективность смывания.

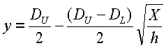
Профиль может быть получен посредством вычислений из многочленного выражения. Выражение может варьироваться с тем, чтобы оно соответствовало различным параметрам, таким как разное расстояние в аксиальном направлении между отверстиями 46 и 48 или отверстия 46 и 48 с разными размерами. В предпочтительном примере по фиг.1-5 многочленное выражение может иметь вид:

,

в котором DU – диаметр верхнего отверстия 48, и DL – диаметр нижнего отверстия 46, и h – длина проточного канала 44. Однако, как упомянуто, могут быть использованы другие полученные путем вычислений математические выражения для получения нелинейного профиля потока, который является оптимальным для других параметров клапана, включая подобные выражения любого порядка, меньшего или большего единицы.

При одном типоразмере (показанном на фиг.1-5) диаметр верхнего отверстия 48 составляет приблизительно 3 1/4 дюйма (8,3 см), и диаметр нижнего отверстия 46 у выпускного отверстия бачка составляет приблизительно 2 5/16 дюйма (5,9 см), при этом расстояние от верхнего отверстия 48 до нижнего отверстия 46 в вертикальном направлении составляет приблизительно 5 дюймов (12,7 см). При другом типоразмере промывного клапана 26А (показанного на фиг.7-8) диаметр верхнего отверстия составляет приблизительно 3 3/8 дюйма (8,6 см), и верхнее отверстие находится над нижним отверстием на расстоянии от него, составляющем приблизительно 1 3/4 дюйма (4,5 см), при этом диаметр нижнего отверстия составляет приблизительно 2 3/4 дюйма (7 см). Несмотря на то, что данные два примера являются предпочтительными, диаметр отверстия клапана может составлять, по меньшей мере, от 2 до 4 дюймов (от 5 до 10 см), диаметр нижнего отверстия может составлять, по меньшей мере, от 2 до 3 дюймов (от 5 до 7,6 см) при условии, что нижнее отверстие меньше отверстия клапана, и два отверстия могут находиться на расстоянии друг от друга, составляющем, по меньшей мере, от 1 до 6 дюймов (от 2,5 до 15,25 см).

Если снова обратиться к фиг.1-5, то можно видеть, что корпус 28 клапана имеет выступающую часть 52 на одной стороне, в которой образован канал 54, сообщающийся с проточным каналом 44 под седлом 50 клапана. Выступающая часть 52 образует гнездо 56, где переливное устройство 30 соединяется с корпусом 28 клапана. Гнездо 56 образует плотную посадку посредством подгонки поверхностей вместе с наружной стороной нижней цилиндрической части 58 переливного устройства 30 на участке, соответствующем нижним 2/3 гнезда 56. Как показано на фиг.5, участок, соответствующий верхней 1/3 гнезда 56, выполнен со скосом для образования приемного гнезда для клея, который может быть нанесен вокруг соединения для фиксации механического соединения.

В переливном устройстве 30 образован переливной канал 58, сообщающийся с проточным каналом 44 корпуса 28 клапана посредством канала 54 выступающей части 52. Переливное устройство 30 имеет верхнее отверстие 60 с широкой входной частью и сужается в верхней части 62 до цилиндрической части 58 с нижним отверстием 64, при этом на всей длине переливного канала его горизонтальные поперечные сечения являются круглыми. Внутренняя поверхность переливного устройства 30 в сужающейся верхней части 62 предпочтительно определяет границы сужающегося нелинейно переливного канала, так что могут быть достигнуты преимущества с точки зрения потока, аналогичные преимуществам, получаемым посредством проточного канала 44. Кроме того, подобно проточному каналу 44 соответствующее многочленное выражение может быть использовано для образования внутренней стенки переливного устройства для достижения предпочтительного нелинейно сужающегося профиля.

Тем не менее, поскольку переливное устройство 30 используется для нечастых ситуаций перелива, в которых скорость потока значительно меньше типичной скорости цикла смывания, верхняя часть (верхний участок) переливного устройства может соответствовать простому профилю конического участка, такому как профиль воронки, который более прост в изготовлении и тем не менее по-прежнему обеспечивает улучшенные характеристики по сравнению с прямолинейным цилиндрическим профилем. В любом случае широкая входная часть верхнего отверстия 60 обеспечивает увеличение периметра переливного устройства для обеспечения возможности быстрого перехода большего объема избыточной воды из бачка в переливной канал 58 и затем вниз в канализационную сеть.

Диаметр верхнего отверстия 60 предпочтительно составляет, по меньшей мере, 1 1/2 дюйма (3,8 см), и при одном типоразмере (показанном на фиг.1-5) он составляет приблизительно 2 1/2 дюйма (6,4 см), диаметр нижнего отверстия 64 составляет 1 5/16 дюйма (3,3 см). Длину переливного устройства 30 выбирают в соответствии с глубиной бачка, что обеспечивает возможность работы с многочисленными конфигурациями туалетов. Длина приведенного в качестве примера переливного устройства, показанного на фиг.1-5, составляет приблизительно 5 1/2 дюйма (13,3 см).

Если снова обратиться на фиг.1-3, то можно видеть, что выступающая часть 52 имеет две поворотные консоли 70, которые выступают наружу от противоположных сторон для образования оси поворота для створки 32. Створка 32 включает в себя хомут (скобу) 72 с двумя параллельными лапками 74 (показана одна), соединенными с возможностью поворота с поворотными консолями 70, полый корпус 76 с полой внутренней полостью и кольцо 78 для уплотнения корпуса клапана. Створка может быть выполнена из одного материала или получена совместным формованием из композиционного материала, при этом, по меньшей мере, уплотнительное кольцо выполнено из материала, пригодного для обеспечения уплотнения, например из каучука на основе сополимера этилена, пропилена и диенового мономера или из силикона. Створка 32 имеет место 80 присоединения для присоединения тягового элемента (непоказанного), такого как цепь или струна, противоположной конец которого присоединен к устройству для инициирования смывания (непоказанному), доступному обычным образом с наружной стороны бачка 12.

Перед выполнением операции смывания промывной клапан находится в положении, показанном на фиг.1, при этом створка 32 опирается на седло 50 промывного клапана и уровень воды в бачке 12 «полный». Инициирование смывания приводит к возникновению тягового усилия, действующего на створку 32 в направлении вверх в достаточной степени для того, чтобы вызвать ее поворот вверх и смещение от седла. Створка 32 исходно удерживается выталкивающей силой воды, действующей на створку 32. Вода, находящаяся в бочке 12, может проходить через корпус 28 клапана и наружу через выпускное отверстие 18 бачка в унитаз. Вода и выделения [отходы] в унитазе отводятся в канализационные магистрали обычным образом через затвор (непоказанный). Когда вода в бачке 12 вытечет до достаточно низкого уровня, масса створки 32 вызовет ее опускание под действием силы тяжести и установку на седле клапана. Цикл смывания завершается после того, как бачок 12 будет снова заполнен водой в достаточной степени для того, чтобы перекрыть клапан подачи.

Следует понимать, что выше были описаны просто предпочтительные варианты осуществления изобретения. Однако многие модификации и изменения предпочтительных вариантов осуществления будут очевидными для специалистов в данной области техники, при этом указанные модификации и изменения будут находиться в пределах сущности и объема изобретения. Следовательно, изобретение не следует ограничивать описанными вариантами осуществления. Для определения полного объема изобретения следует рассмотреть нижеприведенную формулу изобретения.

Формула изобретения

1. Промывной клапан для регулирования потока воды из смывного бачка для воды, содержащий:
корпус клапана, имеющий седло клапана и образующий первое отверстие и внутреннюю поверхность, образующую границы проточного канала, который сужается нелинейно в направлении от седла клапана в соответствии с многочленным выражением, имеющим горизонтальные и вертикальные компоненты с различным размещением ко второму отверстию на втором конце, противоположном седлу клапана, так что второе отверстие имеет меньший размер по сравнению с первым отверстием и расположено на расстоянии от первого отверстия в аксиальном направлении, в котором внутренняя поверхность выполнена круглой в горизонтальном поперечном сечении и в котором внутренняя поверхность сужается более значительно рядом с первым отверстием, чем со вторым отверстием и сужается более плавно ближе ко второму отверстию; и
затвор, выполненный с возможностью его установки на седло клапана и перекрытия седла клапана.

2. Промывной клапан по п.1, в котором диаметр первого отверстия составляет от 2 до 4 дюймов.

3. Промывной клапан по п.1, в котором диаметр второго отверстия составляет от 2 до 3 дюймов.

4. Промывной клапан по п.1, в котором расстояние в аксиальном направлении составляет от 1 до 6 дюймов.

5. Промывной клапан по п.1, в котором диаметр первого отверстия составляет приблизительно 3 3/8 дюйма, и диаметр второго отверстия составляет приблизительно 2 3/4 дюйма, и расстояние в аксиальном направлении составляет приблизительно 1 3/4 дюйма.

6. Промывной клапан по п.1, в котором диаметр первого отверстия составляет приблизительно 3 1/4 дюйма, и диаметр второго отверстия составляет приблизительно 2 5/16 дюйма, и расстояние в аксиальном направлении составляет приблизительно 5 дюймов.

7. Промывной клапан по п.1, в котором затвор выполнен в виде створки.

8. Промывной клапан по п.7, в котором створка имеет хомут, соединенный с возможностью поворота с корпусом клапана.

9. Промывной клапан по п.8, в котором створка имеет полую внутреннюю полость.

10. Промывной клапан по п.1, дополнительно включающий в себе переливное устройство, образующее границы переливного канала, сообщающегося с проточным каналом корпуса клапана, при этом переливной канал сужается между первым отверстием и вторым отверстием, имеющим меньший размер по сравнению с первым отверстием.

11. Промывной клапан по п.10, в котором первое и второе отверстия переливного устройства имеют круглые поперечные сечения.

12. Промывной клапан по п.10, в котором переливное устройство выполнено с возможностью отделения его от седла клапана.

13. Промывной клапан по п.10, в котором, по меньшей мере, участок переливного канала сужается в направлении от первого отверстия переливного устройства.

14. Промывной клапан для туалета, содержащий корпус клапана с седлом клапана и проточным каналом, ведущим от седла клапана, причем проточный канал образован поверхностью, определяемой многочленным выражением, имеющим вертикальные и горизонтальные компоненты различного порядка так, что проточный канал сужается нелинейно от первого отверстия на первом конце с седлом клапана до второго отверстия на втором конце, противоположном седлу клапана, в котором поверхность, образующая проточный канал, выполнена круглой в горизонтальном поперечном сечении и в котором поверхность, образующая проточный канал сужается более значительно рядом с первым отверстием, чем со вторым отверстием и сужается более плавно ближе ко второму отверстию.

15. Промывной клапан для туалета, содержащий:
корпус клапана, в котором образовано первое отверстие у седла клапана и проточный канал, ведущий от первого отверстия ко второму отверстию на конце корпуса клапана, противоположном седлу клапана, в котором корпус клапана имеет внутреннюю поверхность, образующую границы проточного канала таким образом, что он сужается нелинейно от первого отверстия до второго отверстия, в соответствии с многочленным выражением, в котором горизонтальные и вертикальные компоненты являются компонентами различного порядка, причем внутренняя поверхность является круглой в горизонтальном поперечном сечении, а внутренняя поверхность сужается более значительно рядом с первым отверстием, чем со вторым отверстием и сужается более плавно ближе ко второму отверстию;
затвор, предназначенный для размещения его на седло клапана и закрытия первого отверстия; и
переливное устройство, образующее границы переливного канала, сообщающегося с проточным каналом корпуса клапана, причем переливной канал выполнен сужающимся между первым отверстием переливного устройства и вторым отверстием переливного устройства.

16. Промывной клапан по п.15, в котором переливной канал выполнен сужающимся нелинейно между первым и вторым отверстиями переливного устройства.

РИСУНКИ

Categories: BD_2391000-2391999