|
|
(21), (22) Заявка: 2008149876/11, 18.12.2008
(24) Дата начала отсчета срока действия патента:
18.12.2008
(46) Опубликовано: 10.06.2010
(56) Список документов, цитированных в отчете о поиске:
RU 2287039 C2, 10.11.2006. RU 2312180 C2, 10.12.2007. RU 2131803 C1, 20.06.1999. FR 1236303 A, 15.07.1960. CH 693960 A5, 14.05.2004. WO 03/042458 A2, 22.05.2003.
Адрес для переписки:
107174, Москва, ул. Новая Басманная, 2, ОАО “РЖД”, ЦУИС, директору ОАО “РЖД” по вопросам управления интеллектуальной собственностью Р.Ю. Тимофееву
|
(72) Автор(ы):
Аксенов Владимир Алексеевич (RU), Ильиных Андрей Степанович (RU), Щелоков Сергей Вячеславович (RU)
(73) Патентообладатель(и):
Открытое акционерное общество “Российские железные дороги” (RU)
|
(54) СПОСОБ ОБРАБОТКИ ПОВЕРХНОСТИ ГОЛОВКИ РЕЛЬСА
(57) Реферат:
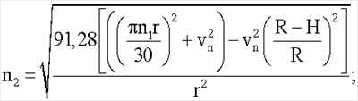
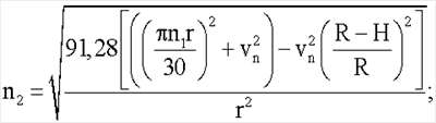
Изобретение относится к способу обработки поверхности головки рельса в условиях рельсового пути с применением рельсообрабатывающих поездов. Способ включает установку на разных участках вдоль и поперек рельса со смещением относительно друг друга обрабатывающих инструментов. Обрабатывающие инструменты перемещаются вдоль рельса и вращаются вокруг своих осей. Оси расположены в поперечных сечениях рельса так, что перпендикулярные осям рабочие торцовые плоскости обрабатывающих инструментов касательны к расчетной направляющей ходовой поверхности рельса. Скорость обрабатывающих инструментов относительно перемещения вдоль рельса составляет не менее одной десятой оптимальной скорости резания материала рельса. Согласно способу при обработке рельса в кривых участках пути частоту вращения инструмента, работающего по внутренней плети рельсового пути, увеличивают до значения, определяемого из выражения:n2= 91,28[(( n1r/30)2+v2 n)-v2 n(R-H/R)2]/r2, где n2 – частота вращения инструмента, работающего по внутренней плети рельсового пути, n1 – частота вращения инструмента, работающего по внешней плети рельсового пути, r – радиус инструмента, vn – скорость движения рельсообрабатывающего поезда, R – радиус криволинейного участка по оси симметрии рельсового пути, Н – ширина рельсовой колеи. Достигается улучшение качества обработки головки рельса при работе рельсообрабатывающих поездов. 1 ил.
Изобретение относится к способам обработки поверхности головки рельса в условиях рельсового пути с применением рельсообрабатывающих поездов.
Известен способ обработки поверхности головки рельса шлифованием, одновременно несколькими вращающимися инструментами, шлифовальными кругами, установленными на разных участках вдоль и поперек рельса со смещением относительно друг друга, их перемещение вдоль рельса и вращение вокруг своих осей с расположением осей в поперечных сечениях рельса так, что перпендикулярные им рабочие торцовые плоскости инструментов касательны к расчетной направляющей ходовой поверхности рельса (см. патент США 4843765, МКИ Е01В 31/17, 1989).
Известен способ обработки поверхности головки рельса, включающий установку на разных участках вдоль и поперек рельса со смещением относительно друг друга обрабатывающих инструментов, их перемещение вдоль рельса и вращение вокруг своих осей, с расположением осей в поперечных сечениях рельса так, что перпендикулярные им рабочие торцовые плоскости инструментов касательны к расчетной направляющей ходовой поверхности рельса, и скорость их относительного перемещения вдоль рельса составляет не менее одной десятой оптимальной скорости резания материала рельса (см. патент РФ 2287039, МКИ Е01В 31/17, Е01В 31/13).
Недостатком данных способов является отсутствие учета изменения суммарной скорости резания металла рельса при работе рельсообрабатывающих поездов в кривых. Наиболее заметно изменение суммарной скорости резания металла на внешней и внутренней рельсовой плети при производстве работ в кривых малого радиуса, что влечет за собой снижение качества обработки поверхности головки рельса.
Техническая задача – устранение факторов, влияющих на качество обработки поверхности головки рельса при работе рельсообрабатывающих поездов в кривых.
Поставленная задача достигается тем, что в способе обработки поверхности головки рельса, включающем установку на разных участках вдоль и поперек рельса со смещением относительно друг друга обрабатывающих инструментов, их перемещение вдоль рельса и вращение вокруг своих осей, с расположением осей в поперечных сечениях рельса так, что перпендикулярные им рабочие торцовые плоскости инструментов касательны к расчетной направляющей ходовой поверхности рельса, и скорость их относительного перемещения вдоль рельса составляет не менее одной десятой оптимальной скорости резания материала рельса, при обработке рельсов в кривых участках пути частоту вращения инструмента, работающего по внутренней плети рельсового пути, увеличивают до значения, определяемого из выражения:

где n2 – частота вращения инструмента, работающего по внутренней плети рельсового пути;
n1 – частота вращения инструмента, работающего по внешней плети рельсового пути;
r – радиус инструмента;
vn – скорость движения рельсообрабатывающего поезда;
R – радиус криволинейного участка по оси симметрии рельсового пути;
H – ширина рельсовой колеи.
При этом скорость вращения инструмента является величиной переменной и зависящей от изменения скорости перемещения инструмента вдоль рельса, при сохранении общей результирующей скорости резания материала постоянной.
На приведенном чертеже изображена схема результирующих скоростей резания.
Способ реализуется следующим образом.
Рельсообрабатывающий поезд движется по железнодорожному пути и производит обработку поверхности головки рельса режущими инструментами, закрепленными на его оборудовании. При движении его в прямом участке пути продольные подачи режущего инструмента по обеим рельсовым плетям равны одной величине – скорости движения рельсообрабатывающего поезда.
При движении рельсообрабатывающего поезда в криволинейном участке пути продольные подачи режущего инструмента по обеим рельсовым плетям различны и определяются радиусом криволинейного участка пути R и шириной рельсовой колеи Н.
Для выравнивания результирующих скоростей производят увеличение частоты вращения инструмента, работающего по внутренней плети рельсового пути, до требуемого значения, определяемого из выражения:

Реализация данного способа обработки поверхности головки рельса позволит устранить влияние разницы кривизны внутренней и внешней плетей рельсового пути на качество получаемой после обработки поверхности. Полученный при этом результат будет наиболее заметен при работе рельсообрабатывающего поезда в кривых малого радиуса.
Предлагаемый способ позволяет увеличить качество обработки поверхности рельсов в пути независимо от радиуса кривизны участка пути.
Формула изобретения
Способ обработки поверхности головки рельса, включающий установку на разных участках вдоль и поперек рельса со смещением относительно друг друга обрабатывающих инструментов, их перемещение вдоль рельса и вращение вокруг своих осей с расположением осей в поперечных сечениях рельса так, что перпендикулярные им рабочие торцовые плоскости инструментов касательны к расчетной направляющей ходовой поверхности рельса и скорость их относительного перемещения вдоль рельса составляет не менее одной десятой оптимальной скорости резания материала рельса, отличающийся тем, что при обработке рельсов в кривых участках пути частоту вращения инструмента, работающего по внутренней плети рельсового пути, увеличивают до значения определяемого из выражения
 где n2 – частота вращения инструмента, работающего по внутренней плети рельсового пути; n1 – частота вращения инструмента, работающего по внешней плети рельсового пути; r – радиус инструмента; vn – скорость движения рельсообрабатывающего поезда; R – радиус криволинейного участка по оси симметрии рельсового пути; Н – ширина рельсовой колеи.
РИСУНКИ
|
|