|
|
(21), (22) Заявка: 2008147592/04, 03.12.2008
(24) Дата начала отсчета срока действия патента:
03.12.2008
(46) Опубликовано: 10.06.2010
(56) Список документов, цитированных в отчете о поиске:
РОЗЕН A.M. и др. Радиохимия, 1975, т.17, 2, с.237-243. РОЗЕН А.М. и др. Радиохимия, 1975, т.17, 5, с.709-719. РОЗЕН А.М. и др. Радиохимия, 1975, 5, с.772-777.
Адрес для переписки:
142432, Московская обл., Ногинский р-н, г. Черноголовка, Школьный б-р, 14, кв.133, В.Е. Баулину
|
(72) Автор(ы):
Цивадзе Аслан Юсупович (RU), Баулин Владимир Евгеньевич (RU), Баулин Дмитрий Владимирович (RU), Тананаев Иван Гундарович (RU), Сафиулина Алфия Минеровна (RU)
(73) Патентообладатель(и):
Учреждение Российской Академии Наук Институт физической химии и электрохимии им. А.Н. Фрумкина РАН (RU)
|
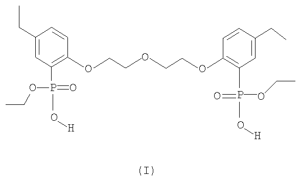
(54) 1,5-БИС[2-(ОКСИЭТОКСИФОСФИНИЛ)-4-(ЭТИЛ)ФЕНОКСИ]-3-ОКСАПЕНТАН В КАЧЕСТВЕ ЛИГАНДА ДЛЯ ИЗБИРАТЕЛЬНОГО ИЗВЛЕЧЕНИЯ ТОРИЯ (IV) В РЯДУ УРАНА (VI) И ЛАНТАНА(III) ИЗ АЗОТНОКИСЛЫХ СРЕД
(57) Реферат:
Настоящее изобретение относится к фосфорорганическому соединению формулы (I), которое может быть использовано для избирательного извлечения тория (IV) из растворов, содержащих смеси соединений тория (IV), урана (VI) и лантана (III).

Технический результат – разработка нового высокоэффективного средства для селективного извлечения тория из смесей с соединениями урана и лантана. 2 табл.
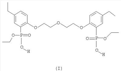
Изобретение относится к химии фосфорорганических соединений с Р-С-связью, а именно к новому полиэфирному соединению формулы (II), которое может быть использовано в качестве лиганда для избирательного связывания тория (IV) в ряду урана (VI) и лантана (III).
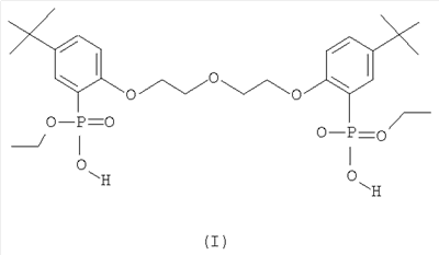
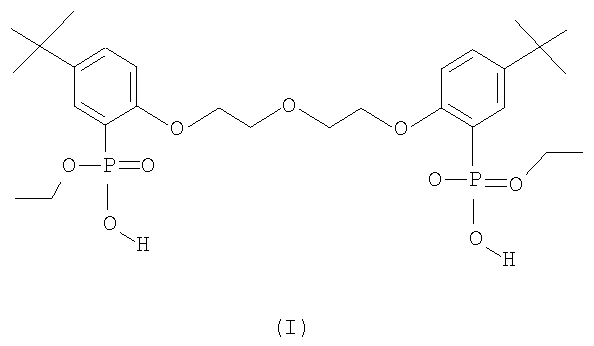
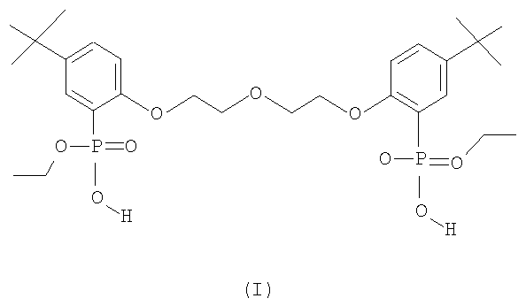
Наиболее близким аналогом к предлагаемому техническому решению является фосфорорганическое соединение 1,5-Бис[2-(оксиэтоксифосфинил)-4-(трет-бутил)фенокси]-3-оксапентан (I), которое признано в качестве лиганда для избирательного извлечения тория (IV) в ряду урана (VI) и лантана (III) из азотнокислых сред (положительное решение о выдаче патента на изобретение от 06 ноября 2008 г. по заявке 2008101642/04 (001800) от 23.01.2008 г.).

Целью изобретения является повышение избирательности фосфорорганических лигандов к связыванию тория (IV) в ряду в ряду урана (VI) и лантана (III), что достигается использованием соединения формулы (II).

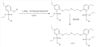
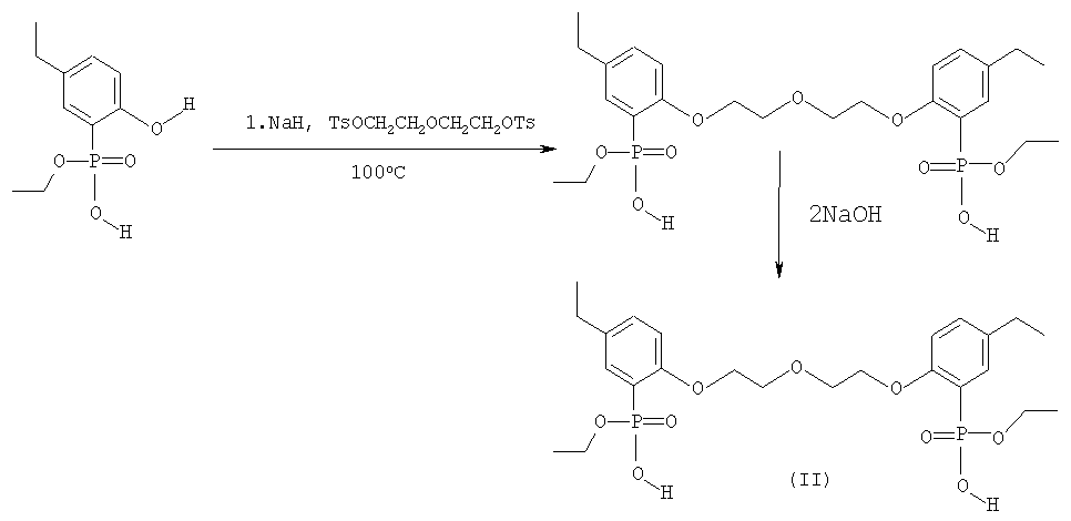
Соединение формулы (II) 1,5-Бис[2-(оксиэтоксифосфинил)-4-(этил)-фенокси]-3-оксапентан синтезируют в две стадии исходя из 2-диэтоксифосфинил-4-этилфенола, взаимодействие которого с дитозилатом диэтиленгликоля в присутствии гидрида натрия в кипящем диоксане дает промежуточное соединение -1,5-Бис[2-(диэтоксифосфинил)-4-третбутил-фенокси]-3-оксапентан. Последующий щелочной гидролиз его приводит к целевому соединению (II) (схема 1).

Следующие примеры иллюстрируют изобретение.
1,5-Бис[2-(оксиэтоксифосфинил)-4-(этил)-фенокси]-3-оксапентан (II).
К раствору 4.00 г (0.0174 моль) 2-диэтоксифосфинил-4-этилфенола в 35 мл сухого диоксана добавили 0.76 г (0.0174 моль) 55% суспензии гидрида натрия в вазелиновом масле, смесь перемешивали 15 мин и затем добавили 3.60 г (0.0087 моль) дитозилата диэтиленгликоля, нагрели до кипения, перемешивали 16 ч и упарили в вакууме. К остатку добавили 50 мл воды и смесь экстрагировали хлороформом (3×30 мл). Экстракт промыли водой (3×25 мл), высушили сульфатом натрия и упарили в вакууме. К остатку добавили раствор, содержащий 1,00 г (1.025 моль) едкого натра. Реакционную смесь кипятили при перемешивании 4 ч, разбавили 100 мл воды, подкислили концентрированной НСl до Н=1 и отфильтровали осадок. Выход (I) 3.51 г (76%), после перекристаллизации из смеси Н2O- МеОН получено 2.92 г (I) т.пл.=144-145°С. Найдено, %: С 54.18, Н 6.48, Р 11.48. С24Н36О9Р2. Вычислено, %: С 54.34, Н 6.84, Р 11.68. Спектр ПМР, , м.д. (СDСl3): 1.16 т (6Н, 3Jн-н=7.0 Гц CH3CH2-Ar), 1.37т
(6H, 3Jн-н=7.0 Гц СН3СН2O), 2.68 м (4Н, СН2СН3), 4.13 м, (4Н, ОСН2СН3)+(8Н, 2ОСН2СН2О), 6.84 м (2Н, Ar-Н), 7.26 м (2Н, Аr-Н.), 7.57 м (2Н, Аr-Н). Спектр ЯМР 31Р, , м.д.(СDСl3): 19.22.
Методика испытаний экстракционной способности заявляемого соединения (I) и его аналога (II).
В пробирку с притертой пробкой вводили 1,5 мл HNO3 (концентрации 0,06 моль/л, 0,59 моль/л, 0,92 моль/л, 2,81 моль/л, 5,40 моль/л), 0,5 мл раствора гексагидроуранилнитрата UO2(NO3)2·6Н2O, гексагидрата нитрата лантана La(NO3)3·6H2O, пентагидрата нитрата тория Th(NO4)4·5H2O с концентрацией 0,01 моль/л, 2 мл органической фазы (0,01 моль/л раствор органического реагента готовили по точной навеске в дихлорэтане). Контакт фаз осуществляли перемешиванием в течение 20 мин. Расслаивание фаз осуществляли центрифугированием. Разделяли фазы и отбирали аликвоту для спектрофотометрического анализа с арсеназо III. Спектрофотометрическое определение металлов в обеих фазах осуществляли с применением спектрофотометра Cary50Scan (Varian). Анализ проводили в кварцевых кюветах (l=1 см) при длине волны 652 нм с относительным квадратичным отклонением 0,0015% ошибки 4,5%. Данные по извлечению тория(IV) в ряду урана (VI) и лантана (III) из азотнокислых сред соединениями (I) и (II) представлены в таблицах 1 и 2.
| Таблица 1. |
| Коэффициенты распределения тория (IV), урана (VI) и лантана (III) при экстракции 0,01 моль/л раствором соединения (I) в дихлорэтане в зависимости от концентрации азотной кислоты |
| [HNO3], моль/л |
DU |
DTh |
DLa |
| 0,06 |
1.43 |
58 |
0.07 |
| 0,59 |
1.43 |
65 |
0.07 |
| 0,92 |
1.41 |
63 |
0.10 |
| 2,81 |
1.39 |
65 |
0.15 |
| 5,40 |
1.23 |
63 |
0.16 |
| Таблица 2. |
| Коэффициенты распределения тория (IV), урана (VI) и лантана (III) при экстракции 0,01 моль/л раствором соединения (II) в дихлорэтане в зависимости от концентрации азотной кислоты |
| [HNO3], моль/л |
DU |
DTh |
DLa |
| 0,06 |
45.6 |
6000 |
0.08 |
| 0,59 |
45.6 |
6000 |
0.05 |
| 0,92 |
34.0 |
6000 |
0.13 |
| 2,81 |
51.5 |
6000 |
0.15 |
| 5,40 |
29.0 |
6000 |
0.16 |
Таким образом, по способности избирательно извлекать торий (IV) в ряду урана (VI) и лантана (III) соединение (II) является эффективным селективным лигандом, превосходя при этом известные лиганды аналогичного типа. Величины DTh, DU и DLa практически не изменяются в широком интервале концентраций HNO3 от 0.06 моль/л до 5.4 моль/л и максимально составляют 6000; 45,6; 0,16 соответственно. При этом факторы разделения в одну стадию экстракции в указанном диапазоне концентраций HNO3 составляют Th(IV)/U(VI)=132, Th(IV)/La(III)=37500. Это позволяет селективно извлекать и концентрировать Th(IV) из растворов различного состава.
Формула изобретения
1,5-бис[2-(оксиэтоксифосфинил)-4-(этил)фенокси]-3-оксапентан (I)
 в качестве лиганда для избирательного извлечения тория (IV) в ряду урана (VI) и лантана (III) из азотнокислых сред.
|
|