|
|
(21), (22) Заявка: 2007117764/04, 05.10.2005
(24) Дата начала отсчета срока действия патента:
05.10.2005
(30) Конвенционный приоритет:
14.10.2004 US 60/618,672
(43) Дата публикации заявки: 20.11.2008
(46) Опубликовано: 10.06.2010
(56) Список документов, цитированных в отчете о поиске:
RU 2152385 C1, 10.07.2000. WO 2004047760 A2, 10.06.2004. WO 2004006916 A1, 22.01.2004. WO 2004007491 A1, 22.01.2004.
(85) Дата перевода заявки PCT на национальную фазу:
14.05.2007
(86) Заявка PCT:
EP 2005/010702 20051005
(87) Публикация PCT:
WO 2006/040049 20060420
Адрес для переписки:
101000, Москва, М.Златоустинский пер., 10, кв.15, “ЕВРОМАРКПАТ”, пат.пов. И.А.Веселицкой, рег. 11
|
(72) Автор(ы):
ЧЭНЬ Шаоцзин (US), СИДДУРИ Ахютарао (US)
(73) Патентообладатель(и):
Ф.ХОФФМАНН-ЛЯ РОШ АГ (CH)
|
(54) НОВЫЕ АЗАИНДОЛТИАЗОЛИНОНЫ В КАЧЕСТВЕ ПРОТИВОРАКОВЫХ АГЕНТОВ
(57) Реферат:
Настоящее изобретение относится к соединениям формулы I и их фармацевтически приемлемым солям. Соединения настоящего изобретения обладают ингибирующей активностью в отношении CDK1 и/или CDK2 киназы. В формуле I

R1 выбран из водорода, гидроксинизшего алкила, С3-С6циклоалкила и R2-(X)n; X выбран из низшего алкилена, гидроксинизшего алкилена, зациклизованного низшего алкилена и низшего алканоилоксинизшего алкилена; R2 представляет собой ; и выбран из фенила и 5- или 6-членного гетероароматического кольца, содержащего 1 или 2 гетероатома, выбранных из группы, состоящей из серы и азота; R5 и R6 независимо выбраны из группы, состоящей из водорода, низшего алкила, галогена и низшего алкокси; и n имеет значение 0 или 1. Изобретение также относится к фармацевтической композиции, предназначенной для лечения или контроля заболеваний, состояние при которых может быть улучшено с помощью ингибирования CDK1 и/или CDK2 киназы, содержащей в эффективном количестве соединение формулы I. 2 н. и 45 з.п. ф-лы.
Область настоящего изобретения относится к производным азаиндолтиазолинона, которые демонстрируют CDK1 и CDK2 антипролиферативную активность и полезны в качестве противораковых агентов.
Циклинзависимые киназы (CDK) являются серинтреонинпротеинкиназами, которые играют критические роли в регулировании перехода с различных фаз клеточного цикла, такого как прогрессия с неподвижной стадии G1 (промежуток между митозом и началом репликации ДНК нового круга клеточного деления) до S (период активного синтеза ДНК), или прогрессия с G2 до М фазы, на которой происходит активный митоз и клеточное деление. (См., например, статьи Science, 1996, 274, сс.1643-1677 и Ann. Rev. Cell Dev. Biol., 1997, 13, сс.261-291). CDK комплексы образуются в процессе ассоциации регуляторной субъединицы циклина (например, циклин A, B1, В2, D1, D2, D3 и Е) и каталитической субъединицы киназы (например, CDK1, CDK2, CDK4, CDK5 и CDK6). Как видно из названия, CDK проявляют абсолютную зависимость от субъединицы циклина для того, чтобы фосфорилировать их субстраты мишени, и различные пары киназа/циклин функционируют для регулирования прогрессии в ходе конкретных фаз клеточного цикла.
Исходя из вышеизложенного видно, что эти протеинкиназы представляют собой класс белков (ферментов), которые регулируют различные клеточные функции. Это сопровождается фосфорилированием конкретных аминокислот в белковых субстратах, что приводит к конформационному изменению белкового субстрата. Конформационное изменение модулирует активность субстрата или его способность взаимодействовать с другими партнерами связывания. Ферментативная активность протеинкиназы связана со скоростью, с которой киназа добавляет фосфатные группы к субстрату. Она может быть измерена, например, определением количества субстрата, который превратился в продукт, как функции от времени. Фосфорилирование субстрата происходит на активном сайте протеинкиназы.
Ввиду указанных выше свойств эти киназы играют важную роль в развитии преобразования сигнала фактора роста, которое приводит к клеточной пролиферации, дифференциации и миграции. Фактор роста фибробластов (FGF) и васкулярный эндотелиальный фактор роста (VEGF) были описаны как важные медиаторы ангиогенеза, вызванного опухолью. VEGF активирует эндотелиальные клетки путем передачи сигнала между двумя рецепторами с высоким сродством, одним из которых является рецептор, содержащий встраиваемый в киназу домен (KDR). (См. статью Hennequin L.F. И др., J. Med. Chem., 2002, 45(6), сс.1300. FGF активирует эндотелиальные клетки путем передачи сигнала между FGF рецепторами (FGFR). Твердые опухоли зависят от способности роста новых кровеносных сосудов (ангиогенез). Соответственно ингибиторы рецепторов FGFR и KDR, которые влияют на рост сигнальной трансдукции и тем самым замедляют или предотвращают ангиогенез, являются полезными агентами для профилактики и лечения твердых опухолей. (См. статью Klohs W.E. и др.. Current Opinion m Biotechnology, 1999, 10, с.544).
Благодаря тому что CDK, такие как CDK1, выступают в качестве общих активаторов клеточного деления, ингибиторы CDK1 могут использоваться в качестве антипролиферативных агентов. Эти ингибиторы могут использоваться для разработки терапевтического вмешательства для подавления прогрессии нерегулируемого клеточного цикла.
В соответствии с настоящим изобретением было обнаружено, что соединение формулы I:

где R1 выбран из водорода, низшего алкила, гидроксинизшего алкила, циклоалкила, низшего алкоксинизшего алкила и R2 – (Х)n;
Х выбран из низшего алкилена, гидроксинизшего алкилена, циклоалкилена, низшего алкоксинизшего алкилена и низшего алканоилоксинизшего алкилена;
R2 представляет собой
; и
выбран из
арильного кольца;
4-6-членного гетероциклоалкильного кольца, содержащего 3-5 атомов углерода и 1 или 2 гетероатома, выбранных из группы, состоящей из кислорода, азота и серы; и
5- или 6-членного гетероароматического кольца, содержащего 1 или 2 гетероатома, выбранных из группы, состоящей из кислорода, серы и азота;
R5 и R6 независимо выбраны из группы, состоящей из гидрокси, гидроксинизшего алкила, водорода, низшего алкила, галогена, перфторнизшего алкила и низшего алкокси; и
n имеет значение 0 или 1; или
N-оксиды соединений, где R2 содержит атом азота в гетероароматическом кольце, сульфоны, где R2 содержит атом серы в гетероциклоалкильном кольце или гетероароматическом кольце; или
его фармацевтически приемлемые соли, ингибируют активность CDK, в частности CDK1 и CDK2.
Эти агенты по изобретению и фармацевтические композиции, содержащие такие агенты, являются полезными для лечения различных заболеваний или болезненных состояний, связанных с неконтролируемой или нежелательной клеточной пролиферацией, такой как рак, аутоиммунные заболевания, вирусные заболевания, грибковые заболевания, нейродегенеративные нарушения и сердечно-сосудистые заболевания.
Ингибирование и/или модулирование активности CDK, в частности CDK1 и CDK2, делает эти соединения формулы и композиции, содержащие эти соединения, полезными для лечения заболеваний, обусловленных активностью киназы, особенно в качестве противоопухолевых агентов для лечения рака, более конкретно рака груди, рака простаты, рака толстой кишки и рака легких.
Как отмечено выше, соединения формулы I являются потенциальными антипролиферативными агентами и являются полезными для медирования и/или ингибирования активности CDK, в частности CDK1, тем самым обеспечивая противоопухолевые агенты для лечения рака или других заболеваний, связанных с неконтролируемой или ненормальной клеточной пролиферацией.
Среди предпочтительных соединений формулы I описаны соединения формулы:

где R1‘ представляет собой водород, низший алкил, гидроксинизший алкил, низший алкоксинизший алкил или циклоалкил; или
их фармацевтически приемлемые соли; и соединения формулы:

где
R1” представляет собой R2-(Х)n, и R2, Х и n являются такими, как определено выше; или
N-оксиды соединений, когда R2 содержит атом азота в гетероароматическом кольце, сульфоны, когда R2 содержит атом серы в гетероциклоалкильном кольце или гетероароматическом кольце; или
их фармацевтически приемлемые соли.
В соединениях I и I-B, где R2 и Х представляют собой заместители, содержащие арильную группу, предпочтительная арильная группа представляет собой фенил.
В предпочтительном варианте осуществления настоящего изобретения описаны соединения формулы I-A, где
R1‘ представляет собой водород, гидрокси-(С1-С6)алкил или циклопропил.
В другом предпочтительном варианте осуществления настоящего изобретения описаны соединения формулы I-B, где n обозначает 1, Х представляет собой (С1-С6)алкилен, гидрокси-(С1-С6)алкилен, (С1-С6)алканоилокси-(С1-С6)алкилен или циклопропилен;
R2 представляет собой тиофенил, пиразинил или фенил; и
R5 и R6 независимо выбраны из водорода, галогена и (С1-С6)алкила.
Как здесь используется, галоген включает все четыре галогена, такие как хлор, фтор, бром и йод. Фтор и хлор являются особенно предпочтительными.
Как используется в описании, термин “низший алкил”, отдельно или в комбинации, обозначает моновалентную линейную или разветвленную насыщенную углеводородную алкильную группу, содержащую от 1 до 6 атомов углерода, такую как метил, этил, н-пропил, изопропил, н-бутил, втор-бутил, изобутил, трет-бутил, н-пентил, н-гексил и им подобные.
Термин “циклоалкил” обозначает циклонизший алкильный заместитель, который представляет собой моновалентное незамещенное 3-6-членное насыщенное карбоциклическое углеводородное кольцо. Предпочтительными циклоалкильными заместителями являются циклопропил, циклобутил, циклогексил и т.д., где циклопропил является особенно предпочтительным.
Термин “низший алкокси” обозначает линейную или разветвленную алкоксигруппу, образованную низшим алкилом, содержащим от 1 до 6 атомов углерода, такую как метокси, этокси, н-пропокси, изопропокси, н-бутокси, трет-бутокси и им подобные.
Термин “арил” обозначает моновалентеное моно- или бициклическое незамещенное ароматическое углеводородное кольцо, такое как фенил или нафтил, где фенил является предпочтительным.
Термин “гетероциклоалкил” относится к 4-6-членному моноциклическому насыщенному кольцу, содержащему от 3 до 5 атомов углерода и один или два гетероатома, выбранных из группы, состоящей из кислорода, азота или серы. Предпочтительные гетероциклические алкильные группы включают морфолинил, тиопиранил или тетрагидропиранил.
Термин “гетероароматическое кольцо” обозначает моновалентеное 5- или 6-членное моноциклическое гетероароматическое кольцо, содержащее 4 или 5 атомов углерода и 1 или 2 гетероатома, выбранных из группы, состоящей из кислорода, азота или серы. Предпочтительные гетероароматические группы включают тиофенил, тиазолил, пиридинил, фуранил и т.д.
Термин “низший алкилен” обозначает дивалентный насыщенный линейный или разветвленный углеводородный заместитель, содержащий от одного до шести атомов углерода.
Термин “низший алканоилокси” обозначает моновалентный остаток насыщенной алифатической карбоновой кислоты, содержащий 2-6 атомов углерода, где атом водорода в карбоксигруппе (-СООН) удален. Предпочтительные низшие алканоилоксигруппы включают ацетилокси, пропаноилокси и бутирилокси.
Термин “циклоалкилен” обозначает дивалентный циклонизший алкилен, который представляет собой дивалентное незамещенное 3-6-членное насыщенное карбоциклическое углеводородное кольцо. Предпочтительными циклоалкиленовыми заместителями являются дивалентный циклопропил и дивалентный циклобутил.
Термин “низший алканоилокси низший алкилен” обозначает низший алкиленовый заместитель, замещенный, предпочтительно монозамещенный, низшей алканоилоксигруппой, где низший алканоилокси является таким, как определено выше.
Термин “низший алкоксинизший алкилен” обозначает низший алкиленовый заместитель, как определено выше, замещенный, предпочтительно монозамещенный, низшей алкоксигруппой, где низший алкокси является таким, как определено выше.
Термин “гидроксинизший алкилен” обозначает низший алкиленовый заместитель, замещенный, предпочтительно монозамещенный, гидроксигруппой.
Термин “арилокси” обозначает арилоксизаместитель, где арил является таким, как описано выше. Предпочтительной арильной группой является фенил, и предпочтительной арилоксигруппой является фенокси.
Термин “перфторнизший алкил” обозначает любую группу низшего алкила, где все атомы водорода группы низшего алкила замещены фтором. Предпочтительными группами перфторнизшего алкила являются трифторметил, пентафторэтил, гептафторпропил и т.д., где трифторметил является особенно предпочтительным.
Термин “фармацевтически приемлемые соли” относится к обычным кислотным аддитивным солям или основным аддитивным солям, которые сохраняют биологическую эффективность и свойства соединений формул I, I-A и I-B, и образованы с подходящими нетоксичными органическими или неорганическими кислотами, или органическими или неорганическими основаниями. Примеры кислотных аддитивных солей включают соли, образованные с неорганическими кислотами, такими как хлористоводородная кислота, бромистоводородная кислота, йодистоводородная кислота, серная кислота, сульфаминовая кислота, фосфорная кислота и азотная кислота, и соли, образованные с органическими кислотами, такими как п-толуолсульфоновая кислота, салициловая кислота, метансульфоновая кислота, щавелевая кислота, янтарная кислота, лимонная кислота, яблочная кислота, молочная кислота, фумаровая кислота и им подобные. Примеры основных аддитивных солей включают соли, образованные с гидроксидами аммония, калия, натрия и четвертичных аммониевых оснований, таких как, например, гидроксид тетраметиламмония. Химическая модификация фармацевтического соединения (то есть лекарственного средства) в соль является способом, хорошо известным химикам-фармацевтам для обеспечения повышенной физической и химической стабильности, гигроскопичности, сыпучести и растворимости соединений. См., например, книгу Н. Ansel и др. Pharmaceutical Dosage Forms and Drug Delivery Systems (6-ое издание, 1995) с.196 и сс.1456-1457.
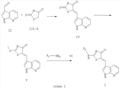
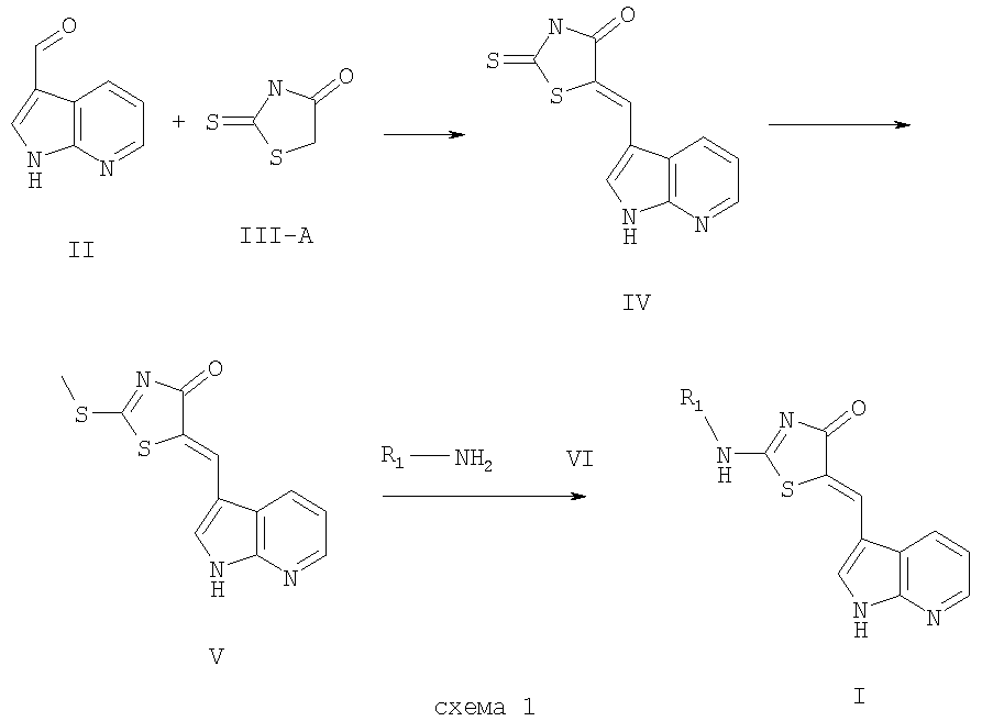
В соответствии с настоящим изобретением соединения формулы I могут быть получены из соединения формулы II:
.
Соединение формулы II превращают в соединение формулы I с помощью следующей реакционной схемы 1, где R1 является таким, как определено выше.

В соответствии с настоящим изобретением соединение формулы II подвергают реакции с соединением формулы III-A [роданин (2-тио-4-тиазолин-4-он)] с помощью реакции Кневенагеля с получением соединения формулы IV. Любые из условий, подходящие для проведения реакции Кневенагеля, могут использоваться для проведения этой конденсации. Обычно эту реакцию осуществляют при температуре кипения растворителя в присутствии ацетата щелочного металла и уксусной кислоты. На следующей стадии этого синтеза полученный замещенный тиазолидин формулы IV обрабатывают метилирующим агентом для метилирования тиогруппы в соединении формулы IV с получением соединения формулы V. Предпочтительным метилирующим агентом является метилйодид. Эту реакцию осуществляют в присутствии основания органического амина, такого как диизопропилэтиламин (DIEA). При осуществлении этой реакции температура и давление не являются критическими факторами, и эта реакция может осуществляться при комнатной температуре и атмосферном давлении. Фактически при проведении этой реакции могут использоваться любые условия, обычные для метилирования тиогруппы.
На следующей стадии этого синтеза соединение формулы V подвергают реакции с соединением формулы VI с получением соединения формулы I. Соединение формулы VI представляет собой амин и при проведении этой реакции могут использоваться любые способы, обычно используемые при замещении амином метилтиогруппы. В соответствии с одним вариантом осуществления это замещение проводят при реакции соединения формулы VI с соединением формулы V в присутствии обычного растворителя, такого как ацетонитрил. Обычно эту реакцию проводят в присутствии основания амина, такого как диизопропилэтиламин.
С другой стороны, соединение формулы I может быть получено реакцией соединения формулы II с соединением формулы:

где R1 является таким, как определено выше.
Реакцию соединения формулы VII с соединением формулы II с получением соединения формулы I осуществляют в высококипящем органическом растворителе, таком как бензол или толуол, при высокой температуре от 50°С до 200°С в закрытой системе. Этим способом эту реакцию осуществляют при высоких значениях температуры и давления. Кроме того, эта реакция идеально подходит для получения соединения формулы I, где R1 представляет собой водород. Соединение формулы VII может быть непосредственно получено прямым замещением реакцией соединения формулы:

где R1 является таким, как определено выше,
с соединением формулы III-A. Реакцию замещения обычно осуществляют в присутствии активатора для тиенильной группы в соединении тиенила формулы IX и в присутствии аминного основания. Предпочтительным активатором является дихлорид ртути. Эту реакцию проводят в инертном органическом растворителе. Может использоваться любой обычный инертный органический растворитель, такой как ацетонитрил, метиленхлорид и т.д. При осуществлении этой реакции используют основание амина, такое как диизопропилэтиламин. При осуществлении этой реакции температура и давление не являются критическими факторами, и эта реакция может осуществляться при комнатной температуре и атмосферном давлении. При осуществлении этой реакции может использоваться любой обычный способ замещения тиенильной группы амином.
В соединении формулы VI, где R1 представляет собой X, n обозначает 1 и Х представляет собой гидроксинизший алкилен, эти соединения могут быть получены из соответствующих аминокислот или эфиров аминокислот восстановлением боргидридом щелочного металла. С другой стороны, эти гидроксинизшие алкиленовые соединения могут быть получены из соответствующих эфиров цианокарбоновых кислот восстановлением литийалюмогидридом. Реакция приводит к восстановлению цианогруппы в аминогруппу и сложноэфирной группы в гидроксигруппу. Это восстановление должно происходить перед реакцией соединения формулы VI с соединением формулы V.
Когда кольцо представляет собой N-оксид атома азота в азотсодержащем кольце, который образует кольцо , эти N-оксиды могут быть получены из третичного атома азота кольца реакцией окисления. Может использоваться любой обычный способ окисления третичного атома азота в N-оксид. Предпочтительный окислительный агент представляет собой метахлорпербензойную кислоту (МСРВА).
Соединение формулы I-A включает соединения, где R1‘ представляет собой водород. Другой класс соединений среди соединений формулы I-A представляет собой соединения, где R1‘ представляет собой циклонизший алкил, предпочтительно циклопропил. Другой класс соединений среди соединений формулы 1А представляет собой соединения, где R1‘ представляет собой гидроксинизший алкил или низший алкокси низший алкил, где гидроксинизший алкил является особенно предпочтительным.
В соединениях формулы I-B, где R1” представляет собой R2-(X)n, n может обозначать 0 или 1. Когда n обозначает 0, предпочтительный класс соединений представляет собой соединения, где представляет собой фенил. Предпочтительный класс соединений, где n обозначает 0 и R2 представляет собой фенил, представляет собой соединения, где R5 и R6 либо оба представляют собой водород, либо один из R5 и R6 представляет собой водород, а другой представляет собой низший алкокси или низший алкил.
С другой стороны, другой предпочтительный класс соединений формулы I-В представляет собой соединения, где R1” представляет собой R2-(Х)n и n обозначает 1. В этот класс включены соединения, в которых Х представляет собой циклонизший алкилен, предпочтительно циклопропилен. В этот класс соединений, где n обозначает 1 и Х представляет собой циклонизший алкилен, включены соединения, в которых представляет собой фенил и R5 и R6 оба представляют собой водород или один из R5 и R6 представляет собой водород, а другой представляет собой низший алкил. Другой класс соединений формулы I-В, где R2 представляет собой фенил, представляет собой соединения, в которых R5 и R6 представляют собой водород или галоген, где по крайней мере один из R5 и R6 представляет собой галоген. Другой класс соединений формулы I-B, где n обозначает 1, представляет собой соединения, в которых Х представляет собой низший алканоилокси низший алкилен. В этот класс соединений, где R1” представляет собой R2-(Х)n и n обозначает 1 и Х представляет собой низший алканоилокси низший алкилен, включены соединения, в которых R2 представляет собой и представляет собой фенил, соединения, где оба R5 и R6 представляют собой водород или один из R5 и R6 представляет собой водород, а другой представляет собой низший алкенил или галоген. В соответствии с другим вариантом осуществления изобретения предпочтительными являются соединения формулы I-B, где n обозначает 1 и Х представляет собой низший алкенил. Предпочтительными вариантами осуществления в этом классе соединений являются соединения, в которых R2 представляет собой и представляет собой фенил. В этом варианте осуществления изобретения предпочтительным вариантом осуществления являются соединения, в которых R5 и R6 оба представляют собой водород, или R5 и R6 представляют собой водород или низший алкил или галоген, где по крайней мере один из R5 и R6 является отличным от водорода. Другой класс соединений формулы I-B, где n обозначает 1 и Х представляет собой низший алкилен, включает соединения, в которых представляет собой гетероароматическое кольцо, содержащее 1 или 2 гетероатома, выбранных из группы, состоящей из кислорода, азота и серы. Предпочтительными соединениями этого класса соединений, в которых представляет собой гетероароматическое кольцо, являются соединения с гетероароматическими кольцами, которые содержат 1 гетероатом, предпочтительно атом серы. В этом случае R5 и R6 оба могут представлять собой водород или один из R5 и R6 может представлять собой водород, а другой представляет собой галоген или низший алкил.
Другим классом соединений формулы I-B, где n обозначает 1, являются соединения, в которых Х представляет собой гидроксинизший алкилен. В этом классе соединений, где Х представляет собой гидроксинизший алкилен, описаны соединения, в которых представляет собой фенильное кольцо. В этот предпочтительный класс соединений включены соединения, в которых R5 и R6 оба представляют собой водород, и соединения, в которых R5 и R6 представляют собой водород, низший алкил, низший алкокси или галоген, где по крайней мере один из R5 и R6 является отличным от водорода.
Фармацевтические композиции в соответствии с настоящим изобретением могут, альтернативно или вместе с соединением Формулы I, содержать в качестве активного ингредиента фармацевтически приемлемые пролекарства, фармацевтически активные метаболиты и фармацевтически приемлемые соли таких соединений и метаболитов. Такие соединения, пролекарства, мультимеры, соли и метаболиты здесь вместе иногда обозначены как “активные агенты” или “агенты”.
В случае агентов, которые являются твердыми, специалисту в данной области техники ясно, что соединения и соли по изобретению могут существовать в различных кристаллических или полиморфных формах, каждая из которых входит в объем настоящего изобретения и представленных формул.
Терапевтически эффективные количества активных агентов по изобретению могут использоваться для лечения заболеваний, опосредованных модулированием или регулированием протеинкиназ CDK1. “Эффективное количество” обозначает то количество агента, которое существенно ингибирует пролиферацию и/или предотвращает дедифференциацию эукариотической клетки, например, клетки млекопитающего, насекомого, растения или грибка, и является эффективным для проявления применимости, например, конкретного специфического лечения.
Количество данного агента, которое соответствует такому количеству, зависит от факторов, таких как конкретное соединение, болезненное состояние и его степень тяжести, особенность (например, вес) пациента или организма, нуждающегося в лечении, но может, тем не менее, обычно определяться способом, известным специалисту в данной области техники, в соответствии с конкретными обстоятельствами дела, включая, например, конкретный вводимый агент, способ введения, излечиваемое состояние и излечиваемый пациент или организм. “Лечение” обозначает по крайней мере облегчение болезненного состояния у субъекта, такого как млекопитающее (например, человек), которое подвержено, по крайней мере частично, активности CDK1 протеинкиназы и включает: профилактику болезненного состояния, встречающегося у млекопитающего, особенно у млекопитающего, которое предрасположено к болезненному состоянию, но еще не имеет этот диагноз; модулирование и/или ингибирование болезненного состояния; и/или облегчение болезненного состояния.
Настоящее изобретение также относится к способам модулирования или ингибирования активности протеинкиназы CDK1, например, в ткани млекопитающего, введением агента по изобретению. Активность агентов в качестве антипролиферативных легко измеряется известными способами, например, с помощью цельных клеточных культур в анализе МТТ. Активность агентов по изобретению в качестве модуляторов активности протеинкиназы CDK1 может быть измерена любым способом, доступным специалисту в данной области техники, включая анализы in vivo и/или in vitro. Примеры подходящих анализов для измерений активности включают анализы, описанные в WO 99/21845; статье Parast и др. Biochemistry, 1998, 37, сс.16788-16801; Connell-Crowley и Harpes, Cell Cycle: Materials and Methods (под ред. Michele Pagano, Springer, Berlin, Germany) (1995); WO 97/34876 и WO 96/14843. Эти свойства могут быть оценены, например, с помощью одной или нескольких наборов биологических процедур для тестирования в примерах, приведенных ниже.
Активные агенты по изобретению могут быть введены в фармацевтические композиции, как описано ниже. Фармацевтические композиции настоящего изобретения включают эффективное модулирующее, регулирующее или ингибирующее количество соединения формулы I и инертный, фармацевтически приемлемый носитель или разбавитель. В одном варианте осуществления фармацевтических композиций эффективные уровни агентов по изобретению поддерживаются таким образом, чтобы обеспечить терапевтические преимущества, включая антипролиферативную активность. Под “эффективными уровнями” подразумевают уровни, при которых ингибируется или контролируется пролиферация. Эти композиции получают в форме дозированных единиц, подходящих для определенного способа введения, например, парентерального или перорального введения.
Агент по изобретению может вводиться в обычной дозированной форме, полученной объединением терапевтически эффективного количества агента (например, соединения формулы I) в качестве активного ингредиента с подходящими фармацевтическими носителями или разбавителями в соответствии с обычными методиками. Эти методики могут включать смешение, гранулирование и прессование или растворение ингредиентов, до получения желаемого состава.
Применяемый фармацевтический носитель может быть либо твердым, либо жидким. Примерами твердых носителей являются лактоза, сахароза, тальк, желатин, агар, пектин, акация, стеарат магния, стеариновая кислота и им подобные. Примерами жидких носителей являются сахарный сироп, арахисовое масло, оливковое масло, вода и им подобные. Аналогично носитель или разбавитель может включать задерживающий материал или высвобождающий во времени материал, известный из уровня техники, такой как глицерилмоностеарат или глицерилдистеарат отдельно или вместе с воском, этилцеллюлозой, гидроксипропилметилцеллюлозой, метилметакрилатом и им подобные.
Могут использоваться различные фармацевтические формы. Таким образом, если используется твердый носитель, состав может быть таблетирован, помещен в твердую желатиновую капсулу в форме порошка или гранулы или в форме пастилки или леденца. Количество твердого носителя может варьироваться. Если используется жидкий носитель, состав может существовать в форме сиропа, эмульсии, мягкой желатиновой капсулы, стерильного инъекционного раствора или суспензии в ампуле или сосуде или неводной жидкой суспензии.
Для получения стабильной водорастворимой дозированной формы фармацевтически приемлемая соль агента по изобретению может быть растворена в водном растворе органической или неорганической кислоты. Если образование растворимой соли невозможно, агент может быть растворен в подходящем сорастворителе или комбинации сорастворителей.
Ясно, что истинные дозировки агентов, используемых в композициях настоящего изобретения, изменяются в соответствии с конкретным используемым комплексом, конкретной составленной композицией, способом введения и конкретным участком, организмом и заболеванием, подлежащих лечению. Оптимальные дозировки для данного набора условий могут быть определены специалистом в данной области техники, используя обычные тесты для определения дозировки, основываясь на экспериментальных данных агента.
Композиции по изобретению может быть получены способами, обычно известными для получения фармацевтических композиций, например, с помощью обычных методик, таких как смешение, растворение, гранулирование, изготовление драже, растирание в порошок, эмульгирование, инкапсулирование, включение в капсулу или лиофилизация. Фармацевтические композиции могут быть получены обычным способом, используя один или несколько физиологически приемлемых носителей, которые могут быть выбраны из эксципиентов и добавок, которые облегчают введение активных соединений в составы, которые могут использоваться фармацевтически.
Для перорального введения соединения могут быть легко составлены объединением соединений с фармацевтически приемлемыми носителями, известными из уровня техники. Такие носители дают возможность составлять соединения по изобретению в таблетки, пилюли, драже, капсулы, жидкости, гели, сиропы, взвеси, суспензии и им подобные, для перорального использования пациентом, подлежащим лечению. Фармацевтические составы для перорального применения могут быть получены с помощью твердого эксципиента в смеси с активным ингредиентом (агентом), с необязательным измельчением полученной смеси и обработкой смеси гранул после добавления подходящих добавок, при необходимости, для получения таблеток или ядер драже.
Настоящее изобретение далее иллюстрируется следующими примерами, которые не предназначены для ограничения объема изобретения. Если конкретно не указано иное, температуры указаны в градусах Цельсия (°С).
Примеры
Пример 1
5-[1-(1Н-Пирроло[2,3-b]пиридин-3-ил)мет-(Z)-илидин]-2-[(тиофен-2-илметил)амино]тиазол-4-он

а) Получение 3-бром-1H-пирроло[2,3-b]пиридина

К раствору 7-азаиндола (5 г, 42,2 ммоля) в ТГФ (400 мл) добавляли сначала твердый N-бромсукцинимид (8 г, 45,0 ммолей), затем 20 капель конц. серной кислоты при комнатной температуре. При перемешивании в течение 2 дней образовывалась суспензия. Смесь разбавляли насыщенным раствором хлорида аммония и два слоя разделяли. Водный слой экстрагировали этилацетатом (4×150 мл). Объединенные органические экстракты промывали насыщенным раствором хлорида натрия и высушивали безводным сульфатом магния. Фильтрация высушивающего агента и удаление растворителя в вакууме приводили к получению сырого желтого твердого вещества. Это твердое вещество растворяли в этилацетате (~100 мл) при нагревании и затем выдерживали в холодильнике в течение ночи. Твердое вещество собирали фильтрацией и промывали этилацетатом. После высушивания на воздухе выделяли 6,2 г (75% выход) 3-бром-1H-пирроло[2,3-b]пиридина в виде желтого твердого вещества: EI-HRMS m/e рассчит. для C7H5BrN2 (М+) 195, 9636, обнаруж. 195, 9636.
б) Получение 1H-пирроло[2,3-b]пиридин-3-карбальдегида

К суспензии 3-бром-1H-пирроло[2,3-b]пиридина (9,85 г, 50,0 ммолей) в ТГФ (300 мл) добавляли по каплям 2,5М раствор н-бутиллития в гексане (42 мл, 105,0 ммолей, 2,1 эквив.) при -70°С. Температуру реакционной смеси повышали до -60°С в процессе добавления и получали прозрачный раствор. Полученный кирпично-красный раствор медленно нагревали до -10°С в течение 1 ч и затем перемешивали в течение 4 ч при той же температуре. Смесь снова охлаждали до -70°С и по каплям добавляли раствор диметилформамида (8,5 мл, 110,0 ммолей) в ТГФ (30 мл). После добавления смесь нагревали до комнатной температуры и перемешивали в течение 15 ч. Затем смесь разбавляли насыщенным раствором хлорида аммония и два слоя разделяли. Водный слой экстрагировали этилацетатом (2×150 мл). Объединенные органические экстракты промывали насыщенным раствором хлорида натрия и высушивали безводным сульфатом магния. Фильтрация высушивающего агента и удаление растворителя в вакууме приводили к получению сырого коричневого твердого вещества, которое растворяли в этилацетате (~70 мл) при нагревании и затем выдерживали в холодильнике в течение ночи. Твердое вещество собирали фильтрацией и промывали этилацетатом. После высушивания на воздухе выделяли 6,05 г (83% выход) 1H-пирроло[2,3-b]пиридин-3-карбальдегида в виде желтого твердого вещества: EI-HRMS m/e рассчит. для C8H6N2O (М+) 146,0480, обнаруж. 146,0478.
в) Одностадийное получение 1H-пирроло[2,3-b]пиридин-3-карбальдегида

К суспензии 1H-пирроло[2,3-b]пиридина (11,80 г, 100 ммолей) в воде, содержащей 33% уксусной кислоты (200 мл), добавляли гексаметилентетрамин (16,8 г, 120 ммолей) при комнатной температуре. Этот раствор нагревали до 110-120°С (температура масляной бани) и перемешивали в течение 15 ч. Затем реакционную смесь охлаждали до комнатной температуры и в течение этого времени образовывалось твердое вещество. Эту суспензию выливали в химический стакан (2 л), содержащий лед, и колбу промывали водой (50 мл). Смесь затем медленно нейтрализовали насыщенным раствором бикарбоната натрия. После нейтрализации твердое вещество собирали фильтрацией и промывали водой. После высушивания на воздухе выделяли 9,5 г (65% выход) 1H-пирроло[2,3-b]пиридин-3-карбальдегида в виде белого твердого вещества: EI-HRMS m/e рассчит. для C8H6N2O (M+) 146,0480, обнаруж. 146,0478.
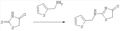
г) Получение 2-[(тиофен-2-илметил)амино]тиазол-4-она

К суспензии тиофен-2-илметиламина (22,63 г, 200 ммолей) и роданина (13,32 г, 100 ммолей) в ацетонитриле (200 мл) добавляли диизопропилэтиламин (DIPEA) (34,8 мл, 45,0 ммолей) при комнатной температуре. Затем в течение 2 мин получали прозрачный раствор и этот раствор охлаждали до 0°С. К раствору добавляли хлорид ртути (27,15 г, 100 ммолей) тремя порциями в течение 15 мин. После добавления суспензию нагревали до комнатной температуры и перемешивали в течение 2 дней. Полученное твердое вещество отфильтровывали через слой целита и промывали дихлорметаном (500 мл) и метанолом (1,0 л). Объединенные растворители удаляли в вакууме и сырой остаток разбавляли водой (250 мл) и этилацетатом (250 мл). Два слоя разделяли и водный слой экстрагировали дихлорметаном (2×250 мл). Два органических экстракта промывали отдельно насыщенным раствором хлорида натрия и высушивали безводным сульфатом магния. Фильтрация высушивающего агента и удаление растворителя в вакууме приводили к получению сырого твердого вещества. Это твердое вещество растворяли в ацетонитриле (~100 мл) при нагревании и затем выдерживали в холодильнике в течение ночи. Твердое вещество собирали фильтрацией и промывали холодным ацетонитрилом. После высушивания на воздухе выделяли 12,32 г (58% выход) 2-[(тиофен-2-илметил)амино]тиазол-4-она в виде белого аморфного твердого вещества: EI-HRMS m/e рассчит. для C8H8N2OS2 (M+) 212,0078, обнаруж. 212,0083.
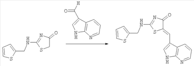
д) Получение 5-[1-(1Н-пирроло[2,3-b]пиридин-3-ил)мет-(Z)-илидин]-2-[(тиофен-2-илметил)амино]тиазол-4-она

К суспензии 2-[(тиофен-2-илметил)амино]тиазол-4-она (225 мг, 1,06 ммоля) и 1H-пирроло[2,3-b]пиридин-3-карбальдегида (193,6 мг, 1,35 ммоля) в толуоле (2 мл) в пробирке для микроволновой печи добавляли бензойную кислоту (13 мг, 0,11 ммоля) и пиперидин (11 мкл, 0,11 ммоля) при комнатной температуре. Пробирку для микроволновой печи закрывали и нагревали при 150°С в закрытой микроволновой печи в течение 1 ч. Затем смесь охлаждали до комнатной температуры и разбавляли толуолом. Твердое вещество собирали фильтрацией и промывали толуолом. После высушивания на воздухе выделяли 330 мг (91,5% выход) 5-[1-(1Н-пирроло[2,3-b]пиридин-3-ил)мет-(Z)-илидин]-2-[(тиофен-2-илметил)амино]тиазол-4-она в виде беловатого твердого вещества: tпл 243-246°С; HRES(+) m/e рассчит. для C16H12N4OS2 (М+H)+ 341,0526, обнаруж. 341,0528.
Пример 2
5-[1-(1Н-Пирроло[2,3-b]пиридин-3-ил)мет-(Z)-илидин]-2-[(тиофен-2-илметил)амино]тиазол-4-он, гидрохлоридная соль

К суспензии 5-[1-(1Н-пирроло[2,3-b]пиридин-3-ил)мет-(Z)-илидин]-2-[(тиофен-2-илметил)амино]тиазол-4-она (50 мг, 0,15 ммоля) в метаноле (2 мл) добавляли по каплям триметилхлорсилан (19 мкл, 0,15 ммоля) при комнатной температуре. Смесь становилась прозрачным раствором через 1 ч, и его перемешивали в течение 2 ч. Затем смесь разбавляли трет-бутилметиловым эфиром (10 мл). Полученное твердое вещество собирали фильтрацией и промывали трет-бутилметиловым эфиром. После высушивания на воздухе выделяли 40 мг (73% выход) 5-[1-(1Н-пирроло[2,3-b]пиридин-3-ил)мет-(Z)-илидин]-2-[(тиофен-2-илметил)амино]тиазол-4-она в виде гидрохлоридной соли в виде аморфного твердого вещества: HRES(+) m/e рассчит. для C16H12N4OS2 (М+Н)+ 341,0526, обнаруж. 341,0528.
Пример 3
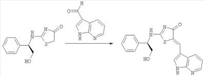
2-(2-Гидрокси-1-(R)-фенилэтиламино)-5-[1-(1Н-пирроло[2,3-b]пиридин-3-ил)мет-(Z)-илидин]тиазол-4-он

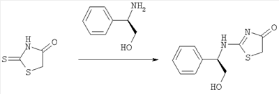
а) Получение 2-(2-(R)гидрокси-1-фенилэтиламино)тиазол-4-она

К суспензии (R)-(-)-2-фенилглицинола (15,34 г, 111,82 ммоля) и роданина (14,65 г, 110 ммолей) в ацетонитриле (200 мл) добавляли DIPEA (20,03 мл, 115 ммолей) при комнатной температуре. Затем получали прозрачный раствор в течение 2 мин и этот раствор охлаждали до 0°С. К нему добавляли хлорид ртути (31,22 г, 115 ммолей) тремя порциями в течение 15 мин. После окончания добавления суспензию нагревали до комнатной температуры и перемешивали в течение 2 дней. Полученное черное твердое вещество отфильтровывали через слой целита и промывали дихлорметаном (500 мл) и метанолом (1,0 л). Объединенные растворители удаляли в вакууме и сырой остаток разбавляли водой (250 мл) и этилацетатом (250 мл). Два слоя разделяли и водный слой экстрагировали дихлорметаном (2×250 мл). Два органических экстракта промывали отдельно насыщенным раствором хлорида натрия и высушивали безводным сульфатом магния. Фильтрация высушивающего агента и удаление растворителя в вакууме приводили к получению сырого желтого твердого вещества. Это твердое вещество растворяли в ацетонитриле (~100 мл) при нагревании и затем выдерживали холодильнике в течение ночи. Твердое вещество собирали фильтрацией и промывали холодным ацетонитрилом (20 мл). После высушивания на воздухе выделяли 12,99 г (50% выход) 2-(2-(R)гидрокси-1-фенилэтиламино)тиазол-4-она в виде белого аморфного твердого вещества: EI-HRMS m/e рассчит. для C11H12N2O2S (М-H2O) 218,0514, обнаруж. 218,0511.
б) Получение 2-(2-гидрокси-1-(R)-фенилэтиламино)-5-[1-(1Н-пирроло[2,3-b]пиридин-3-ил)мет-(Z)-илидин]тиазол-4-она

К суспензии 2-(2-(R)гидрокси-1-фенилэтиламино)тиазол-4-она (100 мг, 0,43 ммоля) и 1H-пирроло[2,3-b]пиридин-3-карбальдегида (77,3 мг, 0,53 ммоля) в толуоле (2 мл) в пробирке для микроволновой печи добавляли бензойную кислоту (5,2 мг, 0,043 ммоля) и пиперидин (4,3 мкл, 0,043 ммоля) при комнатной температуре. Пробирку для микроволновой печи закрывали и нагревали при 150°С в закрытой микроволновой печи в течение 1 ч. Затем смесь охлаждали до комнатной температуры и разбавляли толуолом. Твердое вещество собирали фильтрацией и промывали толуолом. После высушивания на воздухе выделяли 135 мг (87,5% выход) 2-(2-гидрокси-1-(R)-фенилэтиламино)-5-[1-(1Н-пирроло[2,3-b]пиридин-3-ил)мет-(Z)-илидин]тиазол-4-она в виде желтого твердого вещества: tпл 317-319°С; HRES(+) m/e рассчит. для C16H12N4OS2 (М+H)+ 365,1067, обнаруж. 365,1070.
Пример 4
2-(3-Хлор-4-фторбензиламино)-5-[1-(1Н-пирроло[2,3-b]пиридин-3-ил)мет-(Z)-илидин]тиазол-4-он

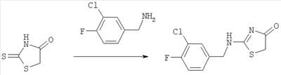
а) Получение 2-(3-хлор-4-фторбензиламино)тиазол-4-она

К суспензии 3-хлор-4-фторбензиламина (2,5 г, 15,66 ммоля) и роданина (2 г, 15 ммолей) в ацетонитриле (50 мл) добавляли DIPEA (5,57 мл, 32 ммоля) при комнатной температуре. Затем этот раствор охлаждали до 0°С и добавляли хлорид ртути (4,34 г, 16 ммолей) двумя порциями в течение 10 мин. После окончания добавления суспензию нагревали до комнатной температуры и перемешивали в течение 2 дней. Полученное черное твердое вещество отфильтровывали через слой целита и промывали дихлорметаном (200 мл) и метанолом (500 мл). Объединенные растворители удаляли в вакууме и сырой остаток разбавляли водой (150 мл) и этилацетатом (150 мл). Два слоя разделяли и водный слой экстрагировали этилацетатом (2×100 мл). Объединенные органические экстракты промывали насыщенным раствором хлорида натрия и высушивали безводным сульфатом магния. Фильтрация высушивающего агента и частичное удаление растворителя в вакууме приводили к получению твердого вещества. После охлаждения в холодильнике твердое вещество собирали фильтрацией и промывали холодным этилацетатом. После высушивания на воздухе выделяли 2,5 г (64% выход) 2-(3-хлор-4-фторбензиламино)тиазол-4-она в виде белого аморфного твердого вещества: EI-HRMS m/e рассчит. для C10H8ClFN2OS (M+) 258,0030, обнаруж. 258,0029.
б) Получение 2-(3-хлор-4-фторбензиламино)-5-[1-(1Н-пирроло[2,3-b]пиридин-3-ил)мет-(Z)-илидин]тиазол-4-она

К суспензии 2-(3-хлор-4-фторбензиламино)тиазол-4-она (100 мг, 0,39 ммоля) и 1H-пирроло[2,3-b]пиридин-3-карбальдегида (71 мг, 0,48 ммоля) в толуоле (2 мл) в пробирке для микроволновой печи добавляли бензойную кислоту (4,8 мг, 0,39 ммоля) и пиперидин (3,9 мкл, 0,039 ммоля) при комнатной температуре. Пробирку для микроволновой печи закрывали и нагревали при 150°С в закрытой микроволновой печи в течение 1 ч. Затем смесь охлаждали до комнатной температуры и разбавляли толуолом. Твердые вещества собирали фильтрацией и промывали толуолом. После высушивания на воздухе выделяли 145 мг (97% выход) 2-(3-хлор-4-фторбензиламино)-5-[1-(1Н-пирроло[2,3-b]пиридин-3-ил)мет-(Z)-илидин]тиазол-4-она в виде желтого твердого вещества: tпл 318-320°С; HRES(+) m/e рассчит. для C16H12N4OS2 (M+H)+ 387,0477, обнаруж. 387,0477.
Пример 5
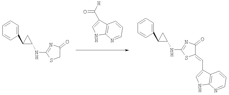
2-((1R,2S)-2-Фенилциклопропиламино)-5-[1-(1Н-пирроло[2,3-b]пиридин-3-ил)мет-(Z)-илидин]тиазол-4-он

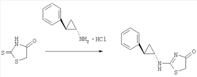
а) Получение 2-((1R,2S)-2-фенилциклопропиламино)тиазол-4-она

К суспензии (1R,2S)-2-фенилциклопропиламина гидрохлорида (0,85 г, 5 ммолей) и роданина (0,68 г, 5 ммолей) в ацетонитриле (20 мл) добавляли DIPEA (2,61 мл, 15 ммолей) при комнатной температуре. Затем этот раствор охлаждали до 0°С и добавляли хлорид ртути (1,35 г, 5 ммоля) двумя порциями в течение 10 мин. После окончания добавления суспензию нагревали до комнатной температуры и перемешивали в течение 2 дней. Полученное черное твердое вещество отфильтровывали через слой целита и промывали этилацетатом (500 мл). Растворитель удаляли в вакууме и сырой остаток разбавляли водой (100 мл) и этилацетатом (100 мл). Два слоя разделяли и водный слой экстрагировали этилацетатом (2×100 мл). Объединенные органические экстракты промывали насыщенным раствором хлорида натрия и высушивали безводным сульфатом магния. Фильтрация высушивающего агента и удаление растворителя в вакууме приводили к получению сырого остатка, который очищали, используя колоночную хроматографию на силикагеле Biotage с получением 0,474 г (42% выход) 2-((1R,2S)-2-фенилциклопропиламино)тиазол-4-она, который выделяли в виде белого аморфного твердого вещества: EI-HRMS m/e рассчит. для C12H12N2OS (М+) 232,0670, обнаруж. 232,0665.
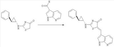
б) Получение 2-((1R,2S)-2-фенилциклопропиламино)-5-[1-(1Н-пирроло[2,3-b]пиридин-3-ил)мет-(Z)-илидин]тиазол-4-она

К суспензии 2-((1R,2S)-2-фенилциклопропиламино)тиазол-4-она (225 мг, 1,06 ммоля) и 1H-пирроло[2,3-b]пиридин-3-карбальдегида (193,6 мг, 1,35 ммоля) в толуоле (2 мл) в пробирке для микроволновой печи добавляли бензойную кислоту (13 мг, 0,11 ммоля) и пиперидин (11 мкл, 0,11 ммоля) при комнатной температуре. Пробирку для микроволновой печи закрывали и нагревали при 150°С в закрытой микроволновой печи в течение 1 ч. Затем смесь охлаждали до комнатной температуры и разбавляли толуолом. Твердые вещества собирали фильтрацией и промывали толуолом. После высушивания на воздухе выделяли 330 мг (91,5% выход) 2-((1R,2S)-2-фенилциклопропиламино)-5-[1-(1Н-пирроло[2,3-b]пиридин-3-ил)мет-(Z)-илидин]тиазол-4-она в виде темно-коричневого твердого вещества: tпл 308-310°С; HRES(+) m/e рассчит. для C20H16N4OS (M+H)+ 361,1118, обнаруж. 361,1122.
Пример 6
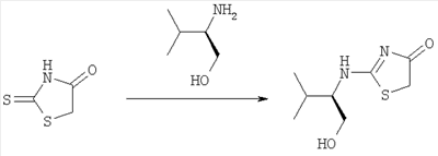
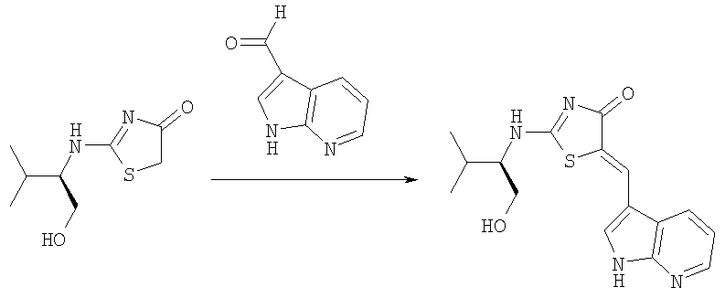
2-(1-(R)гидроксиметил-2-метилпропиламино)-5-[1-(1Н-пирроло[2,3-b]пиридин-3-ил)мет-(Z)-илидин]тиазол-4-он

а) Получение 2-(1-(R)гидроксиметил-2-метилпропиламино)тиазол-4-она

К суспензии (R)-валинола (1 г, 9,69 ммоля) и роданина (1,3 г, 9,69 ммоля) в ацетонитриле (40 мл) добавляли DIPEA (5,06 мл, 29 ммолей) при комнатной температуре. Затем этот раствор охлаждали до 0°С и добавляли хлорид ртути (2,72 г, 10 ммолей) двумя порциями в течение 10 мин. После окончания добавления суспензию нагревали до комнатной температуры и перемешивали в течение 2 дней. Полученное черное твердое вещество отфильтровывали через слой целита и промывали этилацетатом (500 мл). Фильтрат удаляли в вакууме и сырой остаток разбавляли водой (100 мл) и этилацетатом (100 мл). Два слоя разделяли и водный слой экстрагировали этилацетатом (2×50 мл). Объединенные органические экстракты промывали насыщенным раствором хлорида натрия и высушивали безводным сульфатом магния. Фильтрация высушивающего агента и удаление растворителя в вакууме приводили к получению сырого остатка, который очищали, используя колоночную хроматографию на силикагеле Biotage с получением 0,82 г (42% выход) 2-(1-(R)гидроксиметил-2-метилпропиламино)тиазол-4-она, который выделяли в виде белого аморфного твердого вещества: EI-HRMS m/e рассчит. для C8H14N2O2S (М+) 202,0776, обнаруж. 202,0778.
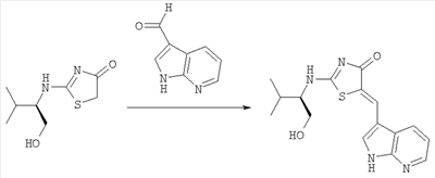
б) Получение 2-(1-(R)гидроксиметил-2-метилпропиламино)-5-[1-(1Н-пирроло[2,3,b]пиридин-3-ил)мет-(Z)-илидин]тиазол-4-она

К суспензии 2-(1-(R)гидроксиметил-2-метилпропиламино)тиазол-4-она (70 мг, 0,35 ммоля) и 1H-пирроло[2,3-b]пиридин-3-карбальдегида (63 мг, 0,43 ммоля) в толуоле (700 мкл) в пробирке для микроволновой печи добавляли бензойную кислоту (4,3 мг, 0,035 ммоля) и пиперидин (3,5 мкл, 0,035 ммоля) при комнатной температуре. Пробирку для микроволновой печи закрывали и нагревали при 150°С в закрытой микроволновой печи в течение 1 ч. Затем смесь охлаждали до комнатной температуры и разбавляли толуолом. Твердое вещество собирали фильтрацией и промывали толуолом. Полученное твердое вещество обрабатывали дихлорметаном и метанолом для удаления цвета и других примесей. Фильтрация твердого вещества и высушивание на воздухе приводили к получению 14 мг (36,7% выход) 2-(1-(R)гидроксиметил-2-метилпропиламино)-5-[1-(1Н-пирроло[2,3-b]пиридин-3-ил)мет-(Z)-илидин]тиазол-4-она в виде желтого твердого вещества: tпл 269-271°С; HRES(+) m/e рассчит. для C16H18N4O2S (M+) 331,1223, обнаруж. 331,1226.
Пример 7
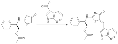
2-[4-Оксо-5-(1Н-пирроло[2,3,b]пиридин-3-илметилен)-4,5-дигидротиазол-2-иламино1-2-(R)-фенилэтиловый эфир уксусной кислоты

а) Получение 2-[4-оксо-4,5-дигидротиазол-2-иламино]-2-(R)-фенилэтилового эфира уксусной кислоты

К раствору 2-(2-(R)гидрокси-1-фенилэтиламино)тиазол-4-она (6,37 г, 26,9 ммоля) в дихлорметане (200 мл) добавляли триэтиламин (7,52 мл, 54 ммоля) и затем ацетилхлорид (2,3 мл, 32,28 ммоля) при 5°С. После окончания добавления раствор нагревали до комнатной температуры и перемешивали в течение 2 дней. Этот раствор переносили в отдельную воронку и промывали насыщенным раствором хлорида натрия и высушивали безводным сульфатом магния. Фильтрация высушивающего агента и удаление растворителя в вакууме приводили к получению сырого желтого масла, которое очищали, используя колоночную хроматографию на силикагеле Biotage (40 м) с получением 4,6 г (61,5% выход) желаемого 2-[4-оксо-4,5-дигидротиазол-2-иламино]-2-(R)-фенилэтилового эфира уксусной кислоты в виде белого аморфного твердого вещества: ES-LRMS m/e рассчит. для C13H14N2O3S (М+) 279,33, обнаруж. 279,1.
б) Получение 2-[4-оксо-5-(1Н-пирроло[2,3,b]пиридин-3-илметилен)-4,5-дигидротиазол-2-иламино1-2-(R)-фенилэтилового эфира уксусной кислоты

К суспензии 2-[4-оксо-4,5-дигидротиазол-2-иламино]-2-(R)-фенилэтилового эфира уксусной кислоты (400 мг, 1,43 ммоля) и 1H-пирроло[2,3-b]пиридин-3-карбальдегида (77,3 мг, 0,53 ммоля) в толуоле (5 мл) в пробирке для микроволновой печи добавляли бензойную кислоту (17,64 мг, 0,144 ммоля) и пиперидин (14,5 мкл, 0,144 ммоля) при комнатной температуре. Пробирку для микроволновой печи закрывали и нагревали при 150°С в закрытой микроволновой печи в течение 1 ч. Затем смесь охлаждали до комнатной температуры и разбавляли толуолом. Твердое вещество собирали фильтрацией и промывали толуолом и дихлорметаном. После высушивания на воздухе выделяли 313 мг (53,6% выход) 2-[4-оксо-5-(1Н-пирроло[2,3,b]пиридин-3-илметилен)-4,5-дигидротиазол-2-иламино]-2-(R)-фенилэтилового эфира уксусной кислоты в виде белого твердого вещества: 1пл 243,7-246,8°С; HRES(+) m/e рассчит. для C21H18N4O3S (M+H)+ 407,1173, обнаруж. 407,1172.
Пример 8
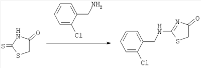
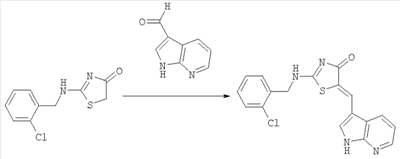
2-(2-Хлорбензиламино)-5-[1-(1Н-пирроло[2,3-b]пиридин-3-ил)мет-(Z)-илидин]тиазол-4-он

а) Получение 2-(2-хлорбензиламино)тиазол-4-она

К суспензии 2-хлорбензиламина (7,88 г, 55 ммолей) и роданина (6,65 г, 50 ммолей) в ацетонитриле (150 мл) добавляли DIPEA (19,15 мл, 110 ммолей) при комнатной температуре. Затем этот раствор охлаждали до 0°С и добавляли хлорид ртути (13,5 г, 50 ммолей) тремя порциями в течение 15 мин. После окончания добавления суспензию нагревали до комнатной температуры и перемешивали в течение 3 дней. Полученное черное твердое вещество отфильтровывали через слой целита и промывали дихлорметаном (1 л) и метанолом (500 мл). Объединенные растворители удаляли в вакууме и сырой остаток разбавляли водой (150 мл) и этилацетатом (150 мл). После встряхивания образовывалось твердое вещество, которое собирали фильтрацией с получением 1,25 г конечного продукта. Затем два слоя разделяли и этилацетатный слой промывали насыщенным раствором хлорида натрия и высушивали безводным сульфатом магния. После фильтрации этилацетатный раствор частично удаляли и затем выдерживали в холодильнике. Полученное твердое вещество собирали фильтрацией с получением 2,67 г конечного продукта. Затем водный слой экстрагировали дихлорметаном (2×150 мл). Дихлорметановые экстракты промывали насыщенным раствором хлорида натрия и высушивали безводным сульфатом магния. Фильтрация высушивающего агента и удаление растворителя в вакууме приводили к получению сырого остатка, который очищали, используя колоночную хроматографию на силикагеле Biotage (40 м) с получением 4,2 г (общий продукт 8,12 г, 67,5% выход) 2-(2-хлорбензиламино)тиазол-4-она в виде белого аморфного твердого вещества: EI-HRMS m/e рассчит. для C10H9ClN2OS (М+) 240,0124, обнаруж. 240,0122.
б) Получение 2-(2-хлорбензиламино)-5-[1-(1Н-пирроло[2,3-b]пиридин-3-ил)мет-(Z)-илидин]тиазол-4-она

К суспензии 2-(2-хлорбензиламино)тиазол-4-она (120 мг, 0,5 ммоля) и 1Н-пирроло[2,3-b]пиридин-3-карбальдегида (88 мг, 0,6 ммоля) в толуоле (3 мл) в пробирке для микроволновой печи добавляли бензойную кислоту (7,5 мг, 0,06 ммоля) и пиперидин (5,9 мкл, 0,06 ммоля) при комнатной температуре. Пробирку для микроволновой печи закрывали и нагревали при 150°С в закрытой микроволновой печи в течение 30 мин. Затем смесь охлаждали до комнатной температуры и разбавляли толуолом. Твердое вещество собирали фильтрацией и промывали толуолом. Его суспендировали в метаноле (15 мл) и нагревали воздушной сушилкой. Оно не растворялось полностью, однако его охлаждали до комнатной температуры и твердое вещество собирали фильтрацией и промывали метанолом. После высушивания на воздухе выделяли 175 мг (95% выход) 2-(2-хлорбензиламино)-5-[1-(1Н-пирроло[2,3-b]пиридин-3-ил)мет-(Z)-илидин]тиазол-4-она в виде желтого твердого вещества. HRES(+) m/e рассчит. для C18H13ClN4OS (M+H)+ 369,0572, обнаруж. 369,0574.
Пример 9
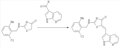
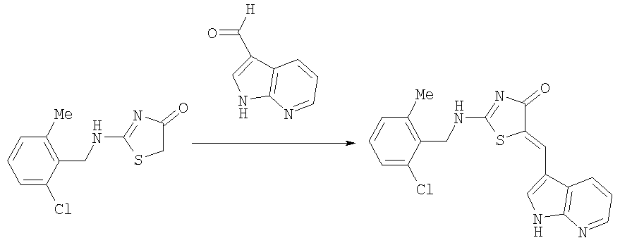
2-(2-Хлор-6-метилбензиламино)-5-[1-(1Н-пирроло[2,3-b]пиридин-3-ил)мет-(Z)-илидин]тиазол-4-он

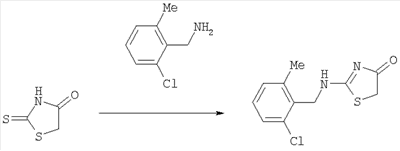
а) Получение 2-(2-хлор-6-метилбензиламино)тиазол-4-она

К раствору 2-хлор-6-метилбензиламина (650 мг, 4,2 ммоля) и роданина (559 мг, 4,2 ммоля) в ацетонитриле (25 мл) добавляли DIPEA (1,74 мл, 10 ммолей) при комнатной температуре. Затем этот раствор охлаждали до 0°С и добавляли хлорид ртути (1,22 г, 4,5 ммоля) одной порцией. После окончания добавления суспензию нагревали до комнатной температуры и перемешивали в течение 3 дней. Полученное черное твердое вещество отфильтровывали через слой целита и промывали дихлорметаном (500 мл) и метанолом (250 мл). Объединенные растворители удаляли в вакууме и сырой остаток растворяли в этилацетате (25 мл) при нагревании и выдерживали в холодильнике в течение ночи. Затем твердое вещество собирали фильтрацией и промывали этилацетатом. После высушивания на воздухе выделяли 305 мг (28,5% выход) 2-(2-хлор-6-метилбензиламино)тиазол-4-она в виде белого аморфного твердого вещества: EI-HRMS m/e рассчит. для C11H11ClN2OS (М+) 254,0281, обнаруж. 254,0282.
б) Получение 2-(2-хлор-6-метилбензиламино)-5-[1-(1Н-пирроло[2,3-b]пиридин-3-ил)мет-(Z)-илидин]тиазол-4-она

К суспензии 2-(2-хлор-6-метилбензиламино)тиазол-4-она (63 мг, 0,25 ммоля) и 1H-пирроло[2,3-b]пиридин-3-карбальдегида (44 мг, 0,3 ммоля) в толуоле (2 мл) в пробирке для микроволновой печи добавляли бензойную кислоту (3,8 мг, 0,03 ммоля) и пиперидин (3 мкл, 0,03 ммоля) при комнатной температуре. Пробирку для микроволновой печи закрывали и нагревали при 150°С в закрытой микроволновой печи в течение 30 мин. Затем смесь охлаждали до комнатной температуры и разбавляли толуолом. Твердое вещество собирали фильтрацией и промывали толуолом. Это твердое вещество суспендировали в метаноле (10 мл) и нагревали воздушной сушилкой. Хотя оно не растворялось полностью, однако его охлаждали до комнатной температуры и твердое вещество собирали фильтрацией и промывали метанолом. После высушивания на воздухе выделяли 58 мг (61% выход) 2-(2-хлор-6-метилбензиламино)-5-[1-(1Н-пирроло[2,3-b]пиридин-3-ил)мет-(Z)-илидин]тиазол-4-она в виде светло-зеленого твердого вещества. HRES(+) m/e рассчит. для C19H15ClN4OS (M+H)+ 383,0730, обнаруж. 383,0728.
Пример 10
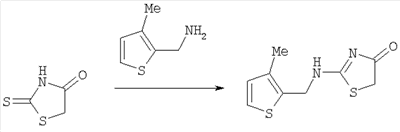
2-[(3-Метилтиофен-2-илметил)амино)-5-[1-(1Н-пирроло[2,3-b]пиридин-3-ил)мет-(Z)-илидин]тиазол-4-он

а) Получение 2-[(3-метилтиофен-2-илметил)амино]тиазол-4-она

К раствору 3-метилтиофен-2-илметиламина (700 мг, 5,5 ммоля) и роданина (732 мг, 5,5 ммоля) в ацетонитриле (30 мл) добавляли DIPEA (1,91 мл, 11 ммолей) при комнатной температуре. Затем этот раствор охлаждали до 0°С и добавляли хлорид ртути (1,52 г, 5,6 ммоля) одной порцией. После окончания добавления суспензию нагревали до комнатной температуры и перемешивали в течение 3 дней. Полученное черное твердое вещество отфильтровывали через слой целита и промывали ацетонитрилом (200 мл) и этилацетатом (250 мл). Объединенные растворители удаляли в вакууме и сырой остаток растворяли в дихлорметане (150 мл) и промывали водой (100 мл) и насыщенным раствором хлорида натрия. После высушивания безводным сульфатом магния, фильтрат удаляли в вакууме и остаток растворяли в дихлорметане (10 мл) и разбавляли гексаном (10 мл). После охлаждения в холодильнике в течение ночи твердое вещество собирали фильтрацией и промывали дихлорметаном. После высушивания на воздухе выделяли 390 мг (31,5% выход) 2-[(3-метилтиофен-2-илметил)амино]тиазол-4-она в виде светло-желтого аморфного твердого вещества: EI-HRMS m/e рассчит. для C9H10N2OS2 (M+) 226,0235, обнаруж. 226,0232.
б) Получение 2-[(3-метилтиофен-2-илметил)амино)-5-[1-(1Н-пирроло[2,3-b]пиридин-3-ил)мет-(Z)-илидин]тиазол-4-она

К суспензии 2-[(3-метилтиофен-2-илметил)амино]тиазол-4-она (57 мг, 0,25 ммоля) и 1H-пирроло[2,3-b]пиридин-3-карбальдегида (44 мг, 0,3 ммоля) в толуоле (2 мл) в пробирке для микроволновой печи добавляли бензойную кислоту (3,8 мг, 0,03 ммоля) и пиперидин (3 мкл, 0,03 ммоля) при комнатной температуре. Пробирку для микроволновой печи закрывали и нагревали при 150°С в закрытой микроволновой печи в течение 30 мин. Затем смесь охлаждали до комнатной температуры и разбавляли толуолом (2 мл) и ацетонитрилом (2 мл) и смесь нагревали воздушной сушилкой. После охлаждения до комнатной температуры твердое вещество собирали фильтрацией и промывали толуолом. Это твердое вещество суспендировали в метаноле (10 мл) и нагревали воздушной сушилкой. После охлаждения до комнатной температуры твердое вещество собирали фильтрацией и промывали метанолом. После высушивания на воздухе выделяли 35 мг (39,5% выход) 2-[(3-метилтиофен-2-илметил)амино)-5-[1-(1Н-пирроло[2,3-b]пиридин-3-ил)мет-(Z)-илидин]тиазол-4-она в виде аморфного желтого твердого вещества. HRES(+) m/e рассчит. для C17H14N4OS (М+Н)+ 355,0682, обнаруж. 355,0686.
Пример 11
2-(2-Хлор-4-фторбензиламино)-5-[1-(1Н-пирроло[2,3-b]пиридин-3-ил)мет-(Z)-илидин]тиазол-4-он

а) Получение 2-(2-хлор-4-фторбензиламино)тиазол-4-она

К раствору 2-хлор-4-фторбензиламина (4,5 г, 28,19 ммоля) и роданина (3,75 г, 28,2 ммоля) в ацетонитриле (170 мл) добавляли DIPEA (9,82 мл, 56,4 ммоля) при комнатной температуре. Затем этот раствор охлаждали до 0°С и добавляли хлорид ртути (8,42 г, 31,02 ммоля) двумя порциями в течение 10 мин. После окончания добавления суспензию нагревали до комнатной температуры и перемешивали в течение 3 дней. Полученное черное твердое вещество отфильтровывали через слой целита и промывали ацетонитрилом (1,0 L) и этилацетатом (500 мл). Объединенные растворители удаляли в вакууме и сырой остаток растворяли в этилацетате (150 мл) и промывали водой (100 мл) и насыщенным раствором хлорида натрия (100 мл). После высушивания сульфатом магния фильтрат удаляли в вакууме и остаток растворяли в этилацетате (50 мл). После охлаждения в холодильнике в течение ночи твердые вещества собирали фильтрацией и промывали гексаном. После высушивания на воздухе выделяли 1,2 г (16,5% выход) 2-(2-хлор-4-фторбензиламино)тиазол-4-она в виде белого аморфного твердого вещества: EI-HRMS m/e рассчит. для C10H8FN2OS2 (M+) 258,0030, обнаруж. 258,0027.
б) Получение 2-(2-хлор-4-фторбензиламино)-5-[1-(1Н-пирроло[2,3-b]пиридин-3-ил)мет-(Z)-илидин]тиазол-4-она

К суспензии 2-(2-хлор-4-фторбензиламино)тиазол-4-она (130 мг, 0,5 ммоля) и 1H-пирроло[2,3-b]пиридин-3-карбальдегида (88 мг, 0,6 ммоля) в толуоле (4 мл) в пробирке для микроволновой печи добавляли бензойную кислоту (7,5 мг, 0,06 ммоля) и пиперидин (6 мкл, 0,06 ммоля) при комнатной температуре. Пробирку для микроволновой печи закрывали и нагревали при 150°С в закрытой микроволновой печи в течение 30 мин. Затем смесь охлаждали до комнатной температуры и разбавляли толуолом (2 мл) и ацетонитрилом (2 мл) и смесь нагревали воздушной сушилкой. После охлаждения до комнатной температуры твердое вещество собирали фильтрацией и промывали толуолом. Это твердое вещество растворяли в ДМСО (5 мл) при нагревании и разбавляли ацетонитрилом (25 мл). После охлаждения в холодильнике в течение ночи твердые вещества собирали фильтрацией и промывали ацетонитрилом. После высушивания на воздухе выделяли 69 мг (36% выход) 2-(2-хлор-4-фторбензиламино)-5-[1-(1Н-пирроло[2,3-b]пиридин-3-ил)мет-(Z)-илидин]тиазол-4-она в виде аморфного зеленого твердого вещества. HRES(+) m/e рассчит. для C18H12ClFN4OS (M+H)+ 387,0477, обнаруж. 387,0476.
Пример 12
2-[(5-Метилпиразин-2-илметил)амино]-5-[1-(1Н-пирроло[2,3-b]пиридин-3-ил)мет-(Z)-илидин]тиазол-4-он

а) Получение 2-[(5-метилпиразин-2-илметил)амино)тиазол-4-она

К раствору 2-(аминометил)-5-метилпиразина (3,69 г, 30 ммолей) и роданина (3,59 г, 27 ммолей) в ацетонитриле (100 мл) добавляли DIPEA (10,45 мл, 60 ммолей) при комнатной температуре. Затем этот раствор охлаждали до 0°С и добавляли хлорид ртути (8,15 г, 30 ммолей) двумя порциями в течение 10 мин. После окончания добавления суспензию нагревали до комнатной температуры и перемешивали в течение 3 дней. Полученное черное твердое вещество отфильтровывали через слой целита и промывали ацетонитрилом (1,0 л) и этилацетатом (500 мл). Объединенные растворители удаляли в вакууме и сырой остаток растворяли в ацетонитриле (25 мл) при нагревании. После охлаждения в холодильнике в течение ночи твердое вещество собирали фильтрацией и промывали ацетонитрилом. После высушивания на воздухе выделяли 1,5 г (25% выход) 2-[(5-метилпиразин-2-илметил)амино)тиазол-4-она в виде белого твердого вещества: HRES(+) m/e рассчит. для C9H10N4OS (M+H)+ 223,0648, обнаруж. 223,0648.
б) Получение 2-[(5-метилпиразин-2-илметил)амино]-5-[1-(1Н-пирроло[2,3-b]пиридин-3-ил)мет-(Z)-илидин]тиазол-4-она

К суспензии 2-[(5-метилпиразин-2-илметил)амино)тиазол-4-она (112 мг, 0,5 ммоля) и 1H-пирроло[2,3-b]пиридин-3-карбальдегида (88 мг, 0,6 ммоля) в толуоле (4 мл) в пробирке для микроволновой печи добавляли бензойную кислоту (7,5 мг, 0,06 ммоля) и пиперидин (6 мкл, 0,06 ммоля) при комнатной температуре. Пробирку для микроволновой печи закрывали и нагревали при 150°С в закрытой микроволновой печи в течение 30 мин. Затем смесь охлаждали до комнатной температуры и разбавляли толуолом (2 мл) и ацетонитрилом (2 мл) и смесь нагревали воздушной сушилкой. После охлаждения до комнатной температуры твердое вещество собирали фильтрацией и промывали толуолом. После высушивания на воздухе выделяли 80 мг (45,7% выход) 2-[(5-метилпиразин-2-илметил)амино]-5-[1-(1Н-пирроло[2,3-b]пиридин-3-ил)мет-(Z)-илидин]тиазол-4-она в виде аморфного зеленого твердого вещества. HRES(+) m/e рассчит. для C17H14N6OS (М+Н)+ 351,1023, обнаруж. 351,1021.
Пример 13
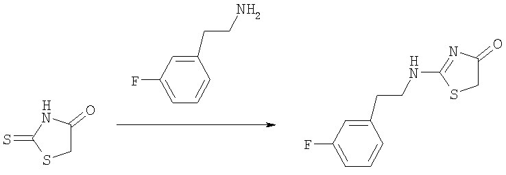
2-[2-(3-Фторфенил)этиламино]-5-[1-(1Н-пирроло[2,3-b]пиридин-3-ил)мет-(Z)-илидин]тиазол-4-он

а) Получение 2-[2-(3-фторфенил)этиламино]тиазол-4-она

К раствору 3-фторфенэтиламина (3,06 г, 22 ммоля) и роданина (2,66 г, 20 ммолей) в ацетонитриле (70 мл) добавляли DIPEA (7,66 мл, 44 ммоля) при комнатной температуре. Затем этот раствор охлаждали до 0°С и добавляли хлорид ртути (5,97 г, 22 ммоля) двумя порциями в течение 10 мин. После окончания добавления суспензию нагревали до комнатной температуры и перемешивали в течение 2 дней. Полученное черное твердое вещество отфильтровывали через слой целита и промывали ацетонитрилом (1,0 л) и этилацетатом (500 мл). Объединенные растворители удаляли в вакууме и сырой остаток растворяли в этилацетате (100 мл) и воде (100 мл). Два слоя разделяли и водный слой экстрагировали этилацетатом (2×100 мл). Объединенные экстракты промывали насыщенным раствором хлорида натрия и высушивали безводным сульфатом магния. После фильтрации высушивающего агента фильтрат удаляли в вакууме и сырой остаток растворяли в ацетонитриле (25 мл) при нагревании. После охлаждения в холодильнике в течение ночи твердые вещества собирали фильтрацией и промывали ацетонитрилом. После высушивания на воздухе выделяли 3,65 г (76,6% выход) 2-[2-(3-фторфенил)этиламино]тиазол-4-она в виде белого твердого вещества: HRES(+) m/e рассчит. для C11H11FN2OS (M+H)+ 239,0649, обнаруж. 239,0647.
б) Получение 2-[2-(3-фторфенил)этиламино]-5-[1-(1Н-пирроло[2,3-b]пиридин-3-ил)мет-(Z)-илидин]тиазол-4-она

К суспензии 2-[2-(3-фторфенил)этиламино]тиазол-4-она (120 мг, 0,5 ммоля) и 1H-пирроло[2,3-b]пиридин-3-карбальдегида (88 мг, 0,6 ммоля) в толуоле (4 мл) в пробирке для микроволновой печи добавляли бензойную кислоту (7,5 мг, 0,06 ммоля) и пиперидин (6 мкл, 0,06 ммоля) при комнатной температуре. Пробирку для микроволновой печи закрывали и нагревали при 150°С в закрытой микроволновой печи в течение 30 мин. Затем смесь охлаждали до комнатной температуры и разбавляли толуолом (2 мл) и ацетонитрилом (2 мл) и смесь нагревали воздушной сушилкой. После охлаждения до комнатной температуры твердое вещество собирали фильтрацией и промывали ацетонитрилом. После высушивания на воздухе выделяли 170 мг (93% выход) 2-[2-(3-фторфенил)этиламино]-5-[1-(1Н-пирроло[2,3-b]пиридин-3-ил)мет-(Z)-илидин]тиазол-4-она в виде желтого твердого вещества. HRES(+) m/e рассчит. для C19H15FN4OS (M+H)+ 367,1024, обнаруж. 367,1021.
Пример 14
2-Циклопропиламино-5-[1-(1Н-пирроло[2,3-b]пиридин-3-ил)мет-(Z)-илиден]тиазол-4-он

а) Получение 2-метилсульфанил-5-(1Н-пирроло[2,3-b]пиридин-3-илметилен)тиазол-4-она

Суспензию 1Н-пирроло[2,3-b]пиридин-3-карбальдегида (пример 16, 1,2 г, 8,22 ммоля), роданина (1,09 г, 8,22 ммоля) и ацетата натрия (2,69 г, 32,8 ммоля) в уксусной кислоте (12 мл) перемешивали при кипении с обратным холодильником в течение 12 ч. После охлаждения до комнатной температуры добавляли воду (150 мл). Твердое вещество собирали фильтрацией, промывали водой и высушивали с получением 5-(1Н-пирроло[2,3-b]пиридин-3-илметилен)-2-тиоксотиазолидин-4-она (2,2 г, 100%) в виде коричневого твердого вещества. LC-MS m/e 262 (МН+).
Суспензию 5-(1Н-пирроло[2,3-b]пиридин-3-илметилен)-2-тиоксотиазолидин-4-она (2,2 г, 8,22 ммоля), йодометана (1,05 мл, 16,8 ммоля) и DIEA (3,0 мл, 16,8 ммоля) в безводном этаноле (110 мл) перемешивали при 100°С в течение 2 ч. После добавления воды (200 мл) твердое вещество собирали фильтрацией, промывали водой и высушивали с получением 2-метилсульфанил-5-(1Н-пирроло[2,3-b]пиридин-3-илметилен)тиазол-4-она (1,48 г, 60,8%) в виде серого твердого вещества. LC-MS m/e 276 (МН).
б) Получение 2-метилсульфанил-5-(1Н-пирроло[2,3-b]пиридин-3-илметилен)тиазол-4-она
Суспензию 2-метилсульфанил-5-(1Н-пирроло[2,3-b]пиридин-3-илметилен)тиазол-4-она (55 мг, 02 ммоля, пример 14а), циклопропиламина (23 мг, 0,4 ммоля) и диизопропилэтиламина (DIEA) (70 мкл, 0,4 ммоля) в ацетонитриле (1,0 мл) перемешивали при 80°С в течение 12 ч. После охлаждения до комнатной температуры, твердое вещество собирали фильтрацией, промывали небольшим количеством ацетонитрила и высушивали. Ускоренная хроматография (силикагель Merck 60, 230-400 меш, 0%-10% метанол в метиленхлориде в течение 30 мин) приводила к получению 2-циклопропиламино-5-[1-(1Н-пирроло[2,3-b]пиридин-3-ил)мет-(Z)-илиден]тиазол-4-она (40 мг, 71%) в виде светло-желтого твердого вещества. LC-MS m/e 285 (МН+).
Пример 15
2-Амино-5-[1-(1Н-пирроло[2,3-b]пиридин-3-ил)мет-(Z)-илиден]тиазол-4-он

Суспензию 1Н-пирроло[2,3-b]пиридин-3-карбальдегида (пример 16, 200 мг, 1,4 ммоля), псевдотиогидантоина (159 мг, 1,4 ммоля) и ацетата натрия (459 мг, 5,6 ммоля) в уксусной кислоте (2 мл) перемешивали при кипении с обратным холодильником в течение 12 ч. После охлаждения до комнатной температуры добавляли воду. Твердое вещество собирали фильтрацией, промывали водой и высушивали с получением 2-амино-5-[1-(1Н-пирроло[2,3-b]пиридин-3-ил)мет-(Z)-илиден]тиазол-4-она (280 мг, 82%) в виде светло-желтого твердого вещества. LC-MS m/e 245 (МН+).
Пример 16
2-((R)-1-Гидроксиметил-3-метилбутиламино)-5-[1-(1Н-пирроло[2,3-b]пиридин-3-ил)мет-(Z)-илиден]тиазол-4-он

Использовали аналогичную методику, как описано в примере 146, исходя из 2-метилсульфанил-5-(1Н-пирроло[2,3-b]пиридин-3-илметилен)тиазол-4-она (пример На), 2-((R)-1-гидроксиметил-3-метилбутиламина и DIEA с получением 2-((R)-1-гидроксиметил-3-метилбутиламино)-5-[1-(1Н-пирроло[2,3-b]пиридин-3-ил)мет-(Z)-илиден]тиазол-4-она. LC-MS m/e 345 (МН+).
Пример 17
2-[(R)-1-(4-Фторфенил)-2-гидроксиэтиламино1-5-[1-(1Н-пирроло[2,3-b]пиридин-3-ил)мет-(Z)-илиден]тиазол-4-он

а) Получение (R)-2-(4-фторфенил)-1-гидроксиметилэтиламина
К раствору боргидрида натрия (0,54 г, 14,2 ммоля) в ТГФ (10 мл) добавляли D-4-фторфенилглицин (1,0 г, 5,9 ммоля). После охлаждения до 0°С по каплям добавляли раствор йода (1,5 г, 5,9 ммоля) в ТГФ (10 мл). Полученную смесь перемешивали при кипении с обратным холодильником в течение 18 ч. После охлаждения до комнатной температуры добавляли метанол (7 мл) для остановки реакции. После удаления растворителя добавляли 20% гидроксид калия (50 мл). Смесь перемешивали в течение 4 ч и экстрагировали метиленхлоридом (3×50 мл). Объединенные органические слои высушивали сульфатом натрия, отфильтровывали и концентрировали в вакууме. Ускоренная хроматография (силикагеле Merck 60, 70-230 меш, 0%-10% метанол в 0%-5% метанол в метиленхлориде в течение 30 мин) приводила к получению (R)-2-(4-фторфенил)-1-гидроксиметилэтиламина (0,63 г, 69%).
б) Получение 2-[(R)-1-(4-фторфенил)-2-гидроксиэтиламино]-5-[1-(1Н-пирроло[2,3-b]пиридин-3-ил)мет-(Z)-илиден]тиазол-4-она
Использовали аналогичную методику, как описано в примере 14б, исходя из 2-метилсульфанил-5-(1Н-пирроло[2,3-b]пиридин-3-илметилен)тиазол-4-она (пример 14а), 2-[(R)-1-(4-фторфенил)-2-гидроксиэтиламина и DIEA с получением 2-[(R)-1-(4-фторфенил)-2-гидроксиэтиламино]-5-[1-(1Н-пирроло[2,3-b]пиридин-3-ил)мет-(Z)-илиден]тиазол-4-она. LC-MS m/e 383 (МН+).
Пример 18
2-(2-Метоксифениламино)-5-[1-ОН-пирроло[2,3-b]пиридин-3-ил)мет-(Z)-илиден]тиазол-4-он

Использовали аналогичную методику, как описано в примере 14б, исходя из 2-метилсульфанил-5-(1Н-пирроло[2,3-b]пиридин-3-илметилен)тиазол-4-она (пример 14а), 2-(2-метоксифениламина и DIEA с получением 2-(2-метоксифениламино)-5-[1-(1Н-пирроло[2,3-b]пиридин-3-ил)мет-(Z)-илиден]тиазол-4-она. LC-MS m/e 351 (МН+).
Пример 19
Фармакологические испытания
Фармакологические свойства соединений настоящего изобретения могут быть подтверждены рядом фармакологических анализов. Следующие представленные в примерах фармакологические анализы осуществляли с соединениями в соответствии с настоящим изобретением и их солями. Соединения по изобретению проявляют активность в отношении CDK1/циклин В и СОК2/ЦИКЛИН Е со значениями Ki менее 5,0 мкМ. Это показывает, что все эти соединения являются активными при ингибировании CDKl/циклин В и СВК2/циклин Е.
Для определения ингибирующей активности в отношении CDK1 осуществляли либо FlashPlate (NEN -Life Science Products) анализ, либо HTRF анализ. Оба типа анализов с киназой осуществляли с помощью рекомбинатного комплекса CDK1/циклин В человека. GST-циклин В (GST-cycB) и кДНК CDK1 клоны в бакуловирусных векторах получали от Dr. W. Harper в Baylor College of Medicine, Houston, TX. Белки соэкспрессировали в High Five клетках и комплекс очищали на глутатионовой смоле Sepharose (Pharmacia, Piscataway, NJ), как описано ранее (статья Harper, J.W. и др. Cell 1993, 75, сс.805-816). 6х-гистидин-меченую усеченную форму белка ретинобластомы (Rb) (аминокислоты 386-928) использовали в качестве субстрата для анализа с CDK1/циклин В (экспрессированную плазмиду получали от Dr. Veronica Sullivan, Department of Molecular Virology, Roche Research Centre, Welwyn Garden City, United Kingdom). Белок Rb является природным субстратом для фосфорилирования CDK1 (см. статью Herwig и Strauss, Eur. J. Biochem., 1997, Т. 246, сс.581-601 и ссылки, указанные здесь). Экспрессию белка 62Kd проводили под контролем IPTG индуцибельного промотера в штамме Ml 5 Е. coli. Клетки лиофилизовали обработкой ультразвуком и очистку проводили при связывании лизатов с рН 8,0 на колонке с Ni-хелатированной агарозой, предварительно обработанной 1 мМ имидазолом. Смолу затем промывали несколько раз буферами с возрастающими значениями рН до рН 6,0, и элюировали 500 мМ имидазола. Элюированный белок подвергали диализу 20 мМ HEPES с рН 7,5, 30% глицерина, 200 мМ NaCl и 1 мМ DTT. В очищенном слитом белке Rb количественно определяли концентрацию белка, делили на аликвоты и хранили при -70°С.
Для анализа с киназой FlashPlate 96-луночные планшеты FlashPlates покрывали белком Rb в концентрации 10 мкг/мл, используя 100 мкл на лунку. Планшеты инкубировали при 4°С в течение ночи или при комнатной температуре в течение 3 часов на шейкере. Для контроля неспецифического фосфорилирования один ряд лунок покрывали 100 мкл/лунка буфером для покрытия (20 мМ HEPES, 0,2 M NaCl). Планшеты затем промывали дважды промывочным буфером (0,01% Tween 20 в фосфатном буферном соляном растворе). Тестируемые соединения (“тестируемые соединения”) добавляли в лунки с конечной 5х концентрацией. Реакции инициировали немедленным добавлением 40 мкл реакционной смеси (25 мМ HEPES, 20 мМ MgCl2, 0,002% Tween 20, 2 мМ DTT, 1 мкМ АТФ, 4 нМ ЗЗР-АТФ) и достаточного количества фермента с получением конечных значений, которые по крайней мере в 10 раз выше базового уровня. Планшеты инкубировали при комнатной температуре на шейкере в течение 30 минут. Планшеты промывали четыре раза промывочным буфером, закрывали и количественно определяли на сцинтилляционном счетчике TopCount (Packard Instrument Co., Downers Grove, IL]. Процентное ингибирование фосфорилирования Rb, которое измеряли по ингибированию активности CDK, определяли в соответствии со следующей формулой:

где “тестируемое соединение” обозначает средние значения в минуту тестируемых дубликатов, “неспецифическое” обозначает средние значения в минуту без добавления комплекса CDK1/циклин В, и т.д., и “общее” обозначает средние значения в минуту без добавления соединения. Значение IC50 представляет собой концентрацию тестируемого соединения, которая снижает на 50% введение радиоактивной метки, обусловленное белком киназой, в описанных условиях теста. Значение константы ингибирования Ki рассчитывали следующим образом: Ki=IC50/(l+[S]/Km), где [S] представляет собой концентрацию АТФ и Km представляет собой константу Михаэлиса.
Анализ с киназой гомогенной флуоресценции с временным разрешением (HTRF) осуществляли в 96-луночных полипропиленовых планшетах (BD Biosciences, Bedford, МА). Тестируемые соединения сначала растворяли в ДМСО и затем разбавляли буфером для анализа киназы 1 (25 мМ HEPES, рН7,0, 8 мМ MgCl2, 1,5 мМ DTT и 162 мкМ АТФ) с концентрацией ДМСО 15%. Фермент CDK1/циклин В разбавляли буфером для анализа киназы 2 (25 мМ HEPES, рН 7,0, 8 мМ MgCl2, 0,003% Tween 20, 0,045% БСА, 1,5 мМ DTT и 0,675 мкМ белка Rb). Для инициирования киназной реакции 20 мкл раствора соединения смешивали с 40 мкл раствора CDK1/циклин В в планшетах для анализа с конечной концентрацией CDK1/циклин В и Rb 0,1 мкг/мл и 0,225 мкМ соответственно и инкубировали при 37°С в течение 30 мин 15 мкл антифосфо-Rb (Ser 780) антитела (Cell Signaling Technology, Beverly, MA,) с разбавлением антитела 1:7692. Инкубирование продолжали при 37°С в течение 25 мин, после чего в лунки добавляли LANCE Eu-W1024 меченый анти-IgG кролика (1 нМ, PerkinElmer, Wellesley, MA) и анти-His антитело, конъюгированное с SureLight-аллофукоцианином (20 нМ, PerkinElmer, Wellesley, MA). Инкубирование продолжали при 37°С в течение 40 мин. После окончания инкубирования 35 мкл реакционной смеси переносили в чистые 384-луночные черные планшеты из полистирола (Corning Incorporated, Corning, NY) и подсчитывали на счетчике флуоресценции с длиной волны возбуждения 340 нм и длиной волны поглощения 665/615 нм.
Для определения ингибирования активности CDK2 использовали аналогичную методику, как описано выше для анализа CDK-1/циклин В для активности СОК2/циклин Е, за исключением того, что в анализе использовали комплекс СОК2/циклин Е.
Значения Ki, показывающие активность в отношении Cdk1/циклина В, для соединений настоящего изобретения составляют от около 0,001 мкМ до около 5,000 мкМ. Конкретные данные для некоторых примеров являются следующими:
| Пример |
CDK1, Ki (мкМ) |
CDK2, Ki (мкМ) |
| 5 |
0,010 |
0,017 |
| 10 |
0,048 |
0,018 |
| 15 |
0,83 |
0,252 |
| 18 |
1,15 |
0,187 |
Формула изобретения
1. Соединение формулы:
 где R1 выбран из водорода, гидрокси-низшего алкила, С3-С6циклоалкила и R2-(X)n; Х выбран из низшего алкилена, гидрокси-низшего алкилена, зациклизованного низшего алкилена и низшего алканоилокси-низшего алкилена; R2 представляет собой
; и выбран из фенила и 5- или 6-членного гетероароматического кольца, содержащего 1 или 2 гетероатома, выбранных из группы, состоящей из серы и азота; R5 и R6 независимо выбраны из группы, состоящей из водорода, низшего алкила, галогена и низшего алкокси; и n имеет значение 0 или 1; их фармацевтически приемлемые соли.
2. Соединение по п.1, где указанное соединение имеет формулу I-A:
 где R1‘ выбран из водорода, гидрокси-низшего алкила и С3-С6циклоалкила; или его фармацевтически приемлемые соли.
3. Соединение по п.2, где указанное соединение представляет собой 2-амино-5-[1-(1Н-пирроло[2,3-b]пиридин-3-ил)мет-(Z)-илиден]тиазол-4-он.
4. Соединение по п.2, где R1‘ представляет собой С3-С6циклоалкил.
5. Соединение по п.4, где указанное соединение представляет собой 2-циклопропиламино-5-[1-(1Н-пирроло[2,3-b]пиридин-3-ил)мет-(Z)-илиден]тиазол-4-он.
6. Соединение по п.2, где R1‘ представляет собой гидрокси-низший алкил.
7. Соединение по п.6, где указанное соединение представляет собой 2-((R)-1-гидроксиметил-3-метилбутиламино)-5-[1-(1Н-пирроло[2,3-b]пиридин-3-ил)мет-(Z)-илиден]тиазол-4-он.
8. Соединение по п.6, где указанное соединение представляет собой 2-(1-(R)гидроксиметил-2-метилпропиламино)-5-[1-(1Н-пирроло[2,3-b]пиридин-3-ил)мет-(Z)-илидин]тиазол-4-он.
9. Соединение по п.1, где указанное соединение имеет формулу I-B:
 где R1” представляет собой R2-(X)n-; и R2, n и X являются такими, как определено в п.1; или его фармацевтически приемлемые соли.
10. Соединение по п.9, где n обозначает 1.
11. Соединение по п.10, где Х представляет собой зациклизованный низший алкилен.
12. Соединение по п.11, где указанный зациклизованный низший алкилен представляет собой циклопропилен.
13. Соединение по п.12, где R2 представляет собой ;
представляет собой фенил; и R5 и R6 имеют значения, приведенные в п.1.
14. Соединение по п.13, где указанное соединение представляет собой 2-((1R,2S)-2-фенилциклопропиламино)-5-[1-(1Н-пирроло[2,3-b]пиридин-3-ил)мет-(Z)-илидин]тиазол-4-он.
15. Соединение по п.10, где Х представляет собой низший алканоилокси-низший алкилен.
16. Соединение по п.15, где R2 представляет собой ;
представляет собой фенил; и R5 и R6 имеют значения, приведенные в п.1.
17. Соединение по п.16, где указанное соединение представляет собой 2-[4-оксо-5-(1Н-пирроло[2,3,b]пиридин-3-илметилен)-4,5-дигидротиазол-2-иламино]-2-(R)-фенилэтиловый эфир уксусной кислоты.
18. Соединение по п.10, где Х представляет собой низший алкилен.
19. Соединение по п.18, где R2 представляет собой ;
представляет собой фенил; и R5 и R6 имеют значения, приведенные в п.1.
20. Соединение по п.19, где R5 и R6 представляют собой водород.
21. Соединение по п.19, где R5 независимо представляет собой галоген или низший алкил; a R6 представляет собой водород, галоген или низший алкил.
22. Соединение по п.21, где указанное соединение представляет собой 2-(2-хлорбензиламино)-5-[1-(1Н-пирроло[2,3-b]пиридин-3-ил)мет-(Z)-илидин]тиазол-4-он.
23. Соединение по п.21, где указанное соединение представляет собой 2-(2-хлор-6-метилбензиламино)-5-[1-(1Н-пирроло[2,3-b]пиридин-3-ил)мет-(Z)-илидин]тиазол-4-он.
24. Соединение по п.21, где указанное соединение представляет собой 2-(3-хлор-4-фторбензиламино)-5-[1-(1Н-пирроло[2,3-b]пиридин-3-ил)мет-(Z)-илидин]тиазол-4-он.
25. Соединение по п.21, где указанное соединение представляет собой 2-(2-хлор-4-фторбензиламино)-5-[1-(1Н-пирроло[2,3-b]пиридин-3-ил)мет-(Z)-илидин]тиазол-4-он.
26. Соединение по п.21, где указанное соединение представляет собой 2-[2-(3-фторфенил)этиламино]-5-[1-(1Н-пирроло[2,3-b]пиридин-3-ил)мет-(Z)-илидин]тиазол-4-он.
27. Соединение по п.18, где R2 представляет собой ; и представляет собой гетероароматическое кольцо, содержащее 1 или 2 гетероатома, выбранных из группы, состоящей из азота и серы; и R5 и R6 имеют значения, приведенные в п.1.
28. Соединение по п.27, где указанное гетероароматическое кольцо содержит 1 гетероатом.
29. Соединение по п.28, где указанный гетероатом представляет собой атом серы.
30. Соединение по п.28, где R5 и R6 представляют собой водород или низший алкил.
31. Соединение по п.30, где указанное соединение представляет собой 5-[1-(1Н-пирроло[2,3-b]пиридин-3-ил)мет-(Z)-илидин]-2-[(тиофен-2-илметил)амино]тиазол-4-он.
32. Соединение по п.30, где указанное соединение представляет собой 2-[(3-метилтиофен-2-илметил)амино)-5-[1-(1Н-пирроло[2,3-b]пиридин-3-ил)мет-(Z)-илидин]тиазол-4-он.
33. Соединение по п.27, где указанное гетероароматическое кольцо содержит два гетероатома.
34. Соединение по п.33, где оба указанных гетероатома представляют собой атом азота.
35. Соединение по п.34, где R5 и R6 независимо выбраны из группы, состоящей из водорода и низшего алкила.
36. Соединение по п.35, где указанное соединение представляет собой 2-[(5-метилпиразин-2-илметил)амино]-5-[1-(1Н-пирроло[2,3-b]пиридин-3-ил)мет-(Z)-илидин]тиазол-4-он.
37. Соединение по п.10, где Х представляет собой гидрокси-низший алкилен.
38. Соединение по п.37, где R2 представляет собой ;
представляет собой фенил; и R5 и R6 имеют значения, приведенные в п.1.
39. Соединение по п.38, где R5 и R6 независимо выбраны из галогена, водорода и низшего алкила.
40. Соединение по п.39, где указанное соединение представляет собой 2-(2-гидрокси-1-(R)-фенилэтиламино)-5-[1-(1Н-пирроло[2,3-b]пиридин-3-ил)мет-(Z)-илидин]тиазол-4-он.
41. Соединение по п.39, где указанное соединение представляет собой 2-[(R)-1-(4-фтор-фенил)-2-гидроксиэтиламино]-5-[1-(1Н-пирроло[2,3-b]пиридин-3-ил)мет-(Z)-илиден]тиазол-4-он.
42. Соединение по п.9, где n обозначает 0; и R2 представляет собой ;
представляет собой фенил; и R5 и R6 имеют значения, приведенные в п.1.
43. Соединение по п.42, где R5 и R6 независимо выбраны из водорода, низшего алкила и низшего алкокси.
44. Соединение по п.43, где указанное соединение представляет собой 2-(2-метоксифениламино)-5-[1-(1Н-пирроло[2,3-b]пиридин-3-ил)мет-(Z)-илиден]тиазол-4-он.
45. Соединение формулы I по п.1, обладающее ингибирующей активностью в отношении CDK1 и/или CDK2 киназы.
46. Фармацевтическая композиция, предназначенная для лечения или контроля заболеваний, состояние при которых может быть улучшено с помощью ингибирования CDK1 и/или CDK2 киназы, содержащая в эффективном количестве соединение формулы I по п.1 в качестве активного ингредиента, вместе с фармацевтически приемлемыми вспомогательными веществами.
47. Фармацевтическая композиция по п.46, предназначенная для приготовления лекарственного средства для лечения рака, в частности рака груди, рака простаты, рака толстой кишки и рака легких.
|
|