|
|
(21), (22) Заявка: 2007118538/04, 07.10.2005
(24) Дата начала отсчета срока действия патента:
07.10.2005
(30) Конвенционный приоритет:
19.10.2004 EP 04105145.9
(43) Дата публикации заявки: 27.11.2008
(46) Опубликовано: 10.06.2010
(56) Список документов, цитированных в отчете о поиске:
US 2004/152704 A1, 05.08.2004. WO 02/076925 A, 03.10.2002. RU 2077532 C1, 20.04.1997. RU 2170730 C2, 10.10.2000. WO 02/092571 A, 21.11.2002.
(85) Дата перевода заявки PCT на национальную фазу:
21.05.2007
(86) Заявка PCT:
EP 2005/010814 20051007
(87) Публикация PCT:
WO 2006/045416 20060504
Адрес для переписки:
101000, Москва, М.Златоустинский пер., 10, кв.15, “ЕВРОМАРКПАТ”, пат.пов. И.А.Веселицкой, рег. 11
|
(72) Автор(ы):
ГАТТИ-МАКАРТУР Сильвиа (CH), ХЕРТЕЛЬ Корнелиа (CH), НЕТТЕКОВЕН Маттиас Генрих (DE), РАБ Зузанне (CH), РИХТЕР Ханс (DE), РОШЕ Оливье (FR), РОДРИГЕС-САРМЬЕНТО Роса-Мария (CH), ШУЛЕР Франц (CH)
(73) Патентообладатель(и):
Ф.ХОФФМАНН-ЛЯ РОШ АГ (CH)
|
(54) ПРОИЗВОДНЫЕ ХИНОЛИНА
(57) Реферат:
Настоящее изобретение относится к соединению формулы I, где R1 выбирают из группы, включающей водород, низший алкил, циклоалкил или низший циклоалкилалкил, где циклоалкильное кольцо может быть замещено низшим алкоксиалкилом, низший алкоксиалкил, и тетрагидропиранил и низший гетероциклилалкил, где гетероциклическое кольцо представляет собой оксетанил или тетрагидропиранил, которое может быть замещено галогеном; R2 выбирают из группы, включающей водород, низший алкил, циклоалкил или низший циклоалкилалкил, где циклоалкильное кольцо может быть замещено низшим алкоксиалкилом, низший алкоксиалкил, и тетрагидропиранил и низший гетероциклилалкил, где гетероциклическое кольцо представляет собой оксетанил или тетрагидропиранил, которое может быть замещено галогеном; или R1 и R2 вместе с атомом азота, к которому они присоединены, образуют 4-, 5- или 6-членное насыщенное или частично ненасыщенное гетероциклическое кольцо, необязательно содержащее, к тому же, гетероатом, выбранный из кислорода или серы, при этом указанное насыщенное или частично ненасыщенное гетероциклическое кольцо является незамещенным или замещенным одной или двумя группами, независимо выбранными из группы, состоящей из низшего алкила, галогена, галогеналкила, цианогруппы, гидроксигруппы, низшего гидроксиалкила, низшей алкоксигруппы, оксогруппы; А выбирают из A1, A2 и A3, где m обозначает 0 или 1; R3 обозначает низший алкил; n обозначает 0; R4 обозначает низший алкил; р обозначает 1; q обозначает 0, 1 или 2; R5 обозначает водород; и их фармацевтически приемлемые соли. Также изобретение относится к фармацевтической композиции на основе соединения формулы I. Технический результат: получены новые производные хинолина, обладающие антагонистическим действием в отношении рецепторов гистамина 3 (Н3-рецепторов). 2 н. и 16 з.п. ф-лы, 4 табл.

 или 
Настоящее изобретение относится к новым производным хинолина, их получению, содержащим их фармацевтическим композициям и их применению в качестве лекарственных средств. Активные соединения применяются при лечении ожирения и других заболеваний.
В частности, настоящее изобретение относится к соединениям общей формулы

где
R1 выбирают из группы, включающей водород,
низший алкил, низший алкенил,
циклоалкил или низший циклоалкилалкил, где циклоалкилыюе кольцо может быть незамещенным или замещенным одной или двумя группами, выбранными из группы, включающей низший алкил, низший гидроксиалкил и низший алкоксиалкил,
низший гидроксиалкил,
низший алкоксиалкил и
низший гетероциклилалкил, где гетероциклическое кольцо может быть незамещенным или замещенным одной или двумя группами, выбранными из низшего алкила и галогена;
R2 выбирают из группы, включающей водород,
низший алкил, низший алкенил,
циклоалкил или низший циклоалкилалкил, где циклоалкильное кольцо может быть незамещенным или замещенным одной или двумя группами, выбранными из группы, включающей низший алкил, низший гидроксиалкил и низший алкоксиалкил,
низший гидроксиалкил,
низший алкоксиалкил и
низший гетероциклилалкил, где гетероциклическое кольцо может быть незамещенным или замещенным одной или двумя группами, выбранными из низшего алкила и галогена; или
R1 и R2 вместе с атомом азота, к которому они присоединены, образуют 4-, 5-, 6- или 7-членное насыщенное или частично ненасыщенное гетероциклическое кольцо, необязательно содержащее, кроме того, гетероатом, выбранный из азота, кислорода или серы, при этом указанное насыщенное или частично ненасыщенное гетероциклическое кольцо является незамещенным или замещенным одной, двумя или тремя группами, независимо выбранными из группы, включающей низший алкил, галоген, галогеналкил, цианогруппу, гидроксигруппу, гидроксиалкил, низшую алкоксигруппу, оксогруппу, фенил, бензил, пиридил и карбамоил;
А выбирают из
 или 
где
m обозначает 0, 1 или 2;
R3 обозначает низший алкил;
N обозначает 0, 1 или 2;
R7 обозначает низший алкил;
р обозначает 0, 1 или 2;
q обозначает 0, 1 или 2;
R5 обозначает водород или низший алкил; и
их фармацевтически приемлемым солям.
Соединения формулы I являются антагонистами и/или инверсионными агонистами гистамин 3 рецептора (Н3 рецептор).
Гистамин (2-(4-имидазолил)этиламин) является одним из аминэргических нейромедиаторов, которые широко распределены в организме, например в желудочно-кишечном тракте (Burks 1994 in Johnson L.R. ed. Physiology of the Gastrointestinal Tract, Raven Press, NY, pp.211-242). Гистамин регулирует различные патофизиологические проявления типа выделения желудочной кислоты, кишечной моторики (Leurs et al., Br J. Pharmacol. 1991, 102, pp 179-185), вазомоторных ответов, кишечных воспалительных ответов и аллергических реакций (Raithel et al., Int. Arch. Allergy Immunol. 1995, 108, 127-133). В человеческом мозге гистамин синтезируется в гистаминэргических клетках организма, которые сосредоточены в бугорчато-сосковых ядрах заднего базального гипоталамуса. Отсюда следует, что клеточные тела отражают различные области мозга (Panula et al., Proc. Natl. Acad. Sci. USA 1984, 81, 2572-2576; Inagaki et al., J. Сотр. Neurol 1988, 273, 283-300).
Согласно современным представлениям, гистамин опосредует все эти воздействия как в центральной нервной системе (ЦНС), так и в периферической, с помощью четырех различных гистаминовых рецепторов, гистамин H1, H2, Н3 и Н4 рецепторов.
Н3 рецепторы предпочтительно локализованы в ЦНС. В качестве ауторецептора Н3 рецепторы существенно ингибируют синтез и секретирование гистамина из гистаминэргических нейронов (Arrang et al., Nature 1983, 302, 832-837; Arrang et al., Neuroscience 1987, 23, 149-157). В качестве гетерорецепторов Н3 рецепторы модулируют также выделение других нейромедиаторов таких, как ацетилхолин, допамин, серотонин и норадреналин, наряду с другими, как в центральную нервную систему, так и в периферические органы такие, как легкие, сердечно-сосудистая система и желудочно-кишечный тракт (Clapham & Kilpatrik, Br. J. Pharmacol. 1982, 107, 919-923; Blandina et al. in The Histamine Н3 Receptor (Lews RL and Timmermann H eds, 1998, pp 27-40, Elsevier, Amcterdam, The Netherlands). Н3 рецепторы проявляют существенную активность, при этом подразумевается, что даже в отсутствие экзогенного гистамина рецептор тонически активирован. В случае ингибирующего рецептора такого, как Н3 рецептор, эта присущая активность вызывает тоническое торможение выделения нейромедиаторов. Вследствие этого существенно, что H3R антагонист может обладать активностью инверсионного агониста как к обоим блокам экзогенного гистаминового воздействия, так и к переходу рецептора из его конститутивной активной (ингибирующей) формы в нейтральное состояние.
Широкое распространение H3 рецепторов в ЦНС млекопитающих указывает на физиологическую роль этого рецептора. Вследствие этого в различных сообщениях H3 рецептор рассматривается в качестве новой лекарственной мишени, имеющей терапевтический потенциал.
Введение H3R лигандов – в качестве антагонистов, инверсионных агонистов, агонистов или частичных агонистов – может оказывать влияние на гистаминные уровни или выделение нейромедиаторов в мозге или периферийных органах и вследствие этого может быть использовано при лечении различных заболеваний. Такие заболевания включают ожирение (Masaki et al; Endocrinol. 2003, 144, 2741-2748; Hancock et al., European J. of Pharmacol. 2004, 487, 183-197), сердечно-сосудистые заболевания такие, как острый инфаркт миокарда, деменцию и когнитивные расстройства такие, как гиперактивное расстройство, связанное с дефицитом внимания (ADHD), и болезнь Альцгеймера, нейрологические расстройства такие, как шизофрения, депрессия, эпилепсия, болезнь Паркинсона, припадки или конвульсии, расстройства сна, нарколепсию, боль, желудочно-кишечные расстройства, вестибулярную дисфункцию такую, как болезнь Морбус Меньера, лекарственное злоупотребление и болезнь движения (укачивание) (Timmermann, J. Med. Chem. 1990, 33, 4-11).
Вследствие этого в качестве объекта настоящего изобретения предлагаются селективные, непосредственно действующие антагонисты H3 рецептора, соответственно инверсионные агонисты. Такие антагонисты / инверсионные агонисты используются в качестве терапевтически активных веществ, в частности, при лечении и/или профилактике болезней, которые связаны с модуляцией H3 рецепторов.
В настоящем изобретении термин “алкил”, один или в комбинации с другими группами, относится к разветвленному или прямолинейному, моновалентному, насыщенному алифатическому углеводородному радикалу, содержащему от одного до двенадцати атомов углерода, предпочтительно от одного до шестнадцати атомов углерода, более предпочтительно от одного до десяти атомов углерода.
Термин “низший алкил” или “С1-С8-алкил”, один или в комбинации, означает прямолинейную или разветвленную алкильную группу, содержащую от 1 до 8 атомов углерода, предпочтительно прямолинейную или разветвленную алкильную группу, содержащую от 1 до 6 атомов углерода, и особенно предпочтительно прямолинейную или разветвленную алкильную группу, содержащую от 1 до 4 атомов углерода. Примерами прямолинейных и разветвленных алкильных групп, содержащих от 1 до 8 атомов углерода, являются метил, этил, пропил, изопропил, бутил, изобутил, трет-бутил, изомерные пентилы, изомерные гексилы, изомерные гептилы и изомерные октилы, предпочтительно метил и этил, а наиболее предпочтительно метил.
Термин “низший алкенил” или “С2-С8-алкенил”, один или в комбинации, означает прямолинейную или разветвленную алкильную группу, содержащую алкильную группу, включающую олефиновую связь и до 8, предпочтительно до 6, особенно предпочтительно до 4, атомов углерода. Примерами алкенильных групп являются этинил, 1-пропенил, 2-пропенил, изопропенил, 1-бутенил, 2-бутенил, 3-бутенил и изобутенил. Предпочтительным является 2-пропенил.
Термин “алкоксигруппа” относится к группе R/-O-, где R/ обозначает алкил. Термин “низшая алкоксигруппа” относится к группе R/-O-, где R/ обозначает низший алкил, а термин “низший алкил” имеет приведенное ранее значение. Примерами низших алкоксигруппа являются, например, метоксигруппа, этоксигруппа, н-пропоксигруппа, изопропоксигруппа, н-бутоксигруппа, изобутоксигруппа, втор-бутоксигруппа и трет-бутокситруппа, предпочтительно метоксигруппа и этоксигруппа и наиболее предпочтительно метоксигруппа.
Термин “низший алкоксиалкил” или “алкокси-С1-С8-алкил” относится к низшим алкильным группам, определенным выше, где по крайней мере один из атомов водорода низшей алкильной группы замещен алкоксигруппой, определенной выше. К предпочтительным низши алкоксиалкилгруппам относятся метоксиметил, метоксиэтил и этоксиметил, при этом метоксиметил является наиболее предпочтительным.
Термин “галоген” относится к фтору, хлору, брому и йоду, при этом фтор, хлор и бром являются предпочтительными.
Термин “низший галогеналкил” или “галоген-С1-С8-алкил” относится к низшим алкильным группам, определенным выше, где по крайней мере один из атомов водорода низшей алкильной группы замещен атомом галогена, предпочтительно фтором или хлором, наиболее предпочтительно фтором. К предпочтительным галогенированным низшим алкильным группам относятся трифторметил, дифторметил, фторметил и хлорметил, при этом трифторметил является особенно предпочтительным.
Термин “низшая галогеналкоксигруппа” или “галоген-C1-C8-алкоксигруппа” относится к низшим алкоксигруппам, определенным выше, где по крайней мере один из атомов водорода низшей алкоксигруппы замещен атомом галогена, предпочтительно фтором или хлором, наиболее предпочтительно фтором. К предпочтительным галогенированным низшим алкоксигруппам относятся трифторметоксигруппа, дифторметоксигруппа, фторметоксигруппа и хлорметоксигруппа, при этом трифторметоксигруппа является особенно предпочтительной.
Термин “низший гидроксиалкил” или “гидрокси-С1-С8-алкил” относится к низшим алкильным группам, определенным выше, где по крайней мере один из атомов водорода низшей алкильной группы замещен гидроксигруппой. Примерами низших гидроксиалкильных групп являются гидроксиметил или гидроксиэтил.
Термин “циклоалкил” или “С3-С7-пиклоалкил” относится к циклоалкильному кольцу, содержащему от 3 до 7 атомов углерода, такому, как циклопропил, циклобутил, циклопентил, циклогексил или циклогептил. Циклоалкильное кольцо может быть необязательно замещено, как определено в описании. Особенно предпочтительным является циклопирролидин.
Термин “низший циклоалкилалкил” или “С3-С7-циклоалкил-С1-С8-алкил” относится к низшим алкильным группам, определенным выше, где по крайней мере один из атомов водорода низшей алкильной группы замещен циклоалкильной группой, определенной выше. Примерами предпочтительных низших циклоалкилалкильных групп являются циклопропилметил или циклоппропилэтил, где циклопропильная группа замещена низшим алкилом, низшим гидроксиалкилом или низшим алкоксиалкилом, предпочтительно метоксиметилом.
Термин “гетероциклил” означает моновалентное насыщенное или частично ненасыщенное кольцо, включающее один, два или три гетероатома, выбранные из азота, кислорода или серы. Гетероциклическое кольцо может быть необязательно замещено, как определено в описании. Примеры гетероциклических фрагментов включают азетидинил, оксетанил, пирролидинил, имидазолидинил, пиразолидинил, оксазолидинил, изооксазолидинил, тиазолидинил, изотиазолидинил, дигидропиридил, пиперидил, пиперазинил, морфолинил или тиоморфолинил, азепинил, дигидропирролил, пирролидинил, пиразолидинил, имидазолинил, дигидрофурил, тетрагидрофурил, дигидропиранил или тетрагидропиранил. Особенно предпочтительными являются оксетанил, пиперидинил и морфолинил.
Термин “низший гетероциклилалкил” или “гетероциклил-С1-С8-алкил” относится к низшим алкильным группам, определенным выше, где по крайней мере один из атомов водорода низшей алкильной группы замещен гетероциклической группой, определенной выше. Примером предпочтительных низших гетероциклических групп является 3-фтороксетан-3-ил.
Термин “4-, 5-, 6- или 7-членное насыщенное или частично ненасыщенное гетероциклическое кольцо, необязательно содержащее, кроме того, гетероатом, выбранный из азота, кислорода или серы”, относится к насыщенному или частично ненасыщенному N-гетероциклическому кольцу, которое может необязательно содержать дополнительно атом азота, кислорода или серы, такому, как 2,5-дигидропирролидинил, пирролидинил, имидазолидинил, пиразолидинил, оксазолидинил, изооксазолидинил, тиазолидинил, изотиазолидинил, пиперидил, пиперазинил, морфолинил, тиоморфолинил или 3,6-дигидро-2Н-пиридинил. Гетероциклическое кольцо может быть незамещенным или замещенным одной, двумя или тремя группами, независимо выбранными из низшего алкила, низшей алкоксигруппы и галогена.
Термин “карбамоил” относится к группе -CO-NH2.
Термин «фармацевтически приемлемая соль» относится к стандартным кислотно-аддитивным или основно-аддитивным солям, которые являются приемлемыми с биологической или другой точек зрения. Соли получают взаимодействием с неорганическими кислотами такими, как хлористоводородная кислота, бромистоводородная кислота, серная кислота, фосфорная кислота и азотная кислота и подобными им, предпочтительно с хлористоводородной кислотой, и органическими кислотами такими, как уксусная кислота, пропионовая кислота, гликолевая кислота, пировиноградная кислота, щавелевая кислота, малеиновая кислота, малоновая кислота, салициловая кислота, янтарная кислота, фумаровая кислота, винная кислота, лимонная кислота, бензойная кислота, миндальная кислота, коричная кислота, метансульфоновая кислота, этансульфоновая кислота, п-толуолсульфоновая кислота, N-ацетилцистеин и подобными им. Кроме того, эти соли могут быть получены присоединением неорганического или органического основания к свободной кислоте. Соли, полученные из неорганического основания, включают, не лимитируя, соли натрия, калия, лития, аммония, кальция, магния и им подобных. Соли, полученные из органических оснований, включают, не лимитируя, соли первичных, вторичных и третичных аминов, замещенных аминов, включая замещенные амины природного происхождения, циклических аминов и основных ионообменных смол таких, как изопропиламин, триметиламин, диэтиламин, триэтиламин, этаноламин, лизин, аргинин, N-этилпиперидин, пиперидин, полиаминовые смолы и подобные им. Соединения формулы I могут присутствовать также в виде цвиттерионов. Особенно предпочтительными фармацевтически приемлемыми солями соединений формулы I являются гидрохлориды.
Соединения формулы (I) могут быть также сольватированы, например гидратированы. Сольватация может осуществляться в процессе получения или может иметь место, например, вследствие гигроскопических свойств изначально безводного соединения формулы (I) (гидратация). Термин «фармацевтически приемлемые соли» включает также фармацевтически приемлемые сольваты.
«Изомеры» представляют собой соединения, имеющие одинаковые молекулярные формулы, но различающиеся по характеру или последовательности связывания их атомов или расположению их атомов в пространстве. Изомеры, различающиеся расположением атомов в пространстве, называются «стереоизомерами». Стереоизомеры, не являющиеся зеркальным отображением друг друга, называются «диастереоизомерами», а стереоизомеры, зеркальные отображения которых не совпадают, называются «энантиомерами» или, иногда, «оптическими изомерами». Атом углерода, связанный с четырьмя различными заместителями, называется «хиральным центром».
Конкретно, настоящее изобретение относится к соединениям общей формулы

где
R1 выбирают группы, включающей водород,
низший алкил, низший алкенил,
циклоалкил илиr низший циклолалкилалкил, где циклоалкильное кольцо может быть незамещенным или замещенным одной или двумя группами, выбранными из группы, включающей низший алкил, низший гидроксиалкил и низший алкоксиалкил,
низший гидроксиалкил,
низший алкоксиалкил и
низший гетероциклилалкил, где гетероциклическое кольцо может быть незамещенным или замещенным одной или двумя группами, выбранными из низшего алкила и галогена;
R2 выбирают группы, включающей водород,
низший алкил, низший алкенил,
циклоалкил или низший циклоалкилалкил, где циклоалкильное кольцо может быть незамещенным или замещенным одной или двумя группам, выбранными из группы, включающей низший алкил, низший гидроксиалкил и низший алкоксиалкил,
низший гидроксиалкил,
низший алкоксиалкил и
низший гетероциклилалкил, где гетероциклическое кольцо может быть незамещенным или замещенным одной или двумя группами, выбранными из низшего алкила и галогена; или
R1 и R2 вместе с атомом азота, к которому они присоединены, образуют 4-, 5-, 6- или 7-членное насыщенное или частично насыщенное гетероциклическое кольцо, необязательно содержащее, кроме того, гетероатом, выбранный из азота, кислорода или серы, при этом указанное насыщенное или частично ненасыщенное гетероциклическое кольцо является незамещенным или замещенным одной, двумя или тремя группами, независимо выбранными из группы, включающей низший алкил, галоген, галогеналкил, цианогруппу, гидроксигруппу, гидроксиалкил, низшую алкоксигруппу, оксогруппу, фенил, бензил, пиридил и карбамоил;
А выбирают из
 или 
где
m обозначает 0, 1 или 2;
R3 обозначает низший алкил;
n обозначает 0, 1 или 2;
R7 обозначает низший алкил;
р обозначает 0, 1 илиr 2;
q обозначает 0, 1 или 2;
R5 обозначает водород или низший алкил;
и их фармацевтически приемлемым солям.
Предпочтительными соединениями формулы I по настоящему изобретению являются такие соединения, где R1 выбирают группы, включающей водород, низший алкил, низший алкенил, циклолалкил, низший циклолкилалкил, где циклоалкильное кольцо может быть незамещенным или замещенным одной или двумя группами, выбранными из низшего алкила, низшего гидроксиалкила или низшего алкоксиалкила, и низшего гетероциклилалкила, где гетероциклическое кольцо может быть незамещенным или замещенным одной или двумя группами, выбранными из низшего алкила или галогена, и R2 обозначает водород иди низший алкил.
Более предпочтительными являются соединения формулы I по настоящему изобретению, где R1 выбирают группы, включающей низший алкил, циклоалкил, низший циклоалкилалкил, где циклоалкильное кольцо может быть незамещенным или замещенным низшим алкоксиалкилом, низший алкоксиалкил и низший гетероциклилалкил, где гетероциклическое кольцо может быть незамещенным или замещенным одной или двумя группами, выбранными из низшего алкила или галогена, и R2 обозначает водород или низший алкил.
Особенно предпочтительными являются соединения формулы I, где R1 и R2 представляют собой низший алкил.
Другая группа предпочтительных соединения формулы I по настоящему изобретению представляет соединения, где R1 и R2 вместе с атомом азота, к которому они присоединены, образуют 4-, 5-, 6- или 7-членное насыщенное или частично насыщенное гетероциклическое кольцо, необязательно содержащее, кроме того, гетероатом, выбранный из азота, кислорода или серы, при этом указанное гетероциклическое кольцо является незамещенным или замещенным одной, двумя или тремя группами, независимо выбранными из группы, включающей низший алкил, галоген, галогеналкил, цианогруппу, гидроксигруппу, гидроксиалкил, низшую алкоксигруппу, оксогруппу, фенил, бензил, пиридил и карбамоил.
Предпочтительными соединениями формулы I являются соединения, где R1 и R2 вместе с атомом азота, к которому они присоединены, образуют 4-, 5-, 6-или 7-членное насыщенное или частично насыщенное гетероциклическое кольцо, необязательно содержащее, кроме того, гетероатом, выбранный из азота, кислорода или серы, при этом указанное гетероциклическое кольцо является незамещенным или замещенным одной, двумя или тремя группами, независимо выбранными из группы, включающей низший алкил, галоген, галогеналкил, цианогруппу, гидроксигруппу, низшую алкоксигруппу, оксогруппу, фенил, бензил, пиридил и карбамоил.
Более предпочтительными соединениями формулы I являются соединения, где R1 и R2 вместе с атомом азота, к которому они присоединены, образуют 4-, 5-, 6- или 7-членное насыщенное или частично насыщенное гетероциклическое кольцо, необязательно содержащее, кроме того, гетероатом, выбранный из азота, кислорода или серы, при этом указанное гетероциклическое кольцо является незамещенным или замещенным одной, двумя или тремя группами, независимо выбранными из группы, включающей низший алкил, галоген, галогеналкил, цианогруппу, гидроксигруппу, низшую алкоксигруппу и оксогруппу.
Еще более предпочтительными соединениями формулы I являются соединения, где R1 и R2 вместе с атомом азота, к которому они присоединены, образуют гетероциклическое кольцо, выбранное из группы, включающей морфолин, пиперидин, 2,5-дигидропиррол, пирролидин, азепан, пиперазин, азетидин, тиоморфолин и 3,6-дигидро-2Н-пиридин, при этом указанное гетероциклическое кольцо является незамещенным или замещенным одной, двумя или тремя группами, независимо выбранными из группы, включающей низший алкил, галоген, галогеналкил, цианогруппу, гидроксигруппу, низшую алкоксигруппу и оксогруппу.
Особенно предпочтительными соединениями формулы I являются соединения, где R1 и R2 вместе с атомом азота, к которому они присоединены, образуют гетероциклическое кольцо, выбранное из морфолинила, тиоморфонилинила, 1,1-диоксотиоморфолинила, 3,6-дигидро-2Н-пиридинила, пиперидинила, 2-метилпиперидинила, 3-метилпиперидинила, 4-гидроксипиперидинила, 4,4-дифторпиперидинила, 2,5-дигидропирролила, 4-метилпиперидинила, пирролидинила, 2-метилпирролидинила, 2-трифторметилпирролидинила, 2-цианопирролидинила, 3-гидроксипирролидинила и азетидинила.
Кроме того, соединения формулы I по настоящему изобретению, где А обозначает

и где m обозначает 0, 1 или 2 и R3 обозначает низший алкил, являются предпочтительными.
Внутри этой группы такие соединения формулы I являются предпочтительными, где m=0, и вследствие этого пирролидиновые группы являются предпочтительными.
Другая предпочтительная группа включает такие соединения формулы I, где m=1, и вследствие этого пиперидиновые группы также являются предпочтительными.
Также предпочтительными являются соединения формулы I по настоящему изобретению, где А обозначает

и где n обозначает 0, 1 или 2 и R4 обозначает низший алкил, наряду с такими соединениями, где n=0, обозначающими пирролидиновые производные, являющиеся более предпочтительными.
Далее, предпочтительными соединениями формулы I по настоящему изобретению являются такие соединения, где А обозначает

где р обозначает 0, 1 или 2, q обозначает 0, 1 или 2 и R5 обозначает водород или низший алкил.
Внутри этой группы такие соединения формулы I являются предпочтительными, где р=1, и вследствие этого пиперидиновые группы являются предпочтительными. Особенно предпочтительными являются такие соединения формулы I, где р=1 и q=1.
Кроме того, соединения, где R5 обозначает водород, являются предпочтительными.
Примерами предпочтительных соединений формулы I являются следующие:
[6-(1-изопропилпиперидин-4-илокси)хинолин-2-ил]-(4-метоксипиперидин-1-ил)метанон,
(2,5-дигидропиррол-1-ил)-[6-(1-изопропилпиперидин-4-илокси)хинолин-2-ил]метанон,
этилметиламид 6-(1-изопропилпиперидин-4-илокси)хинолин-2-карбоновой кислоты,
[6-(1-изопропилпиперидин-4-илокси)хинолин-2-ил]-(2-метилпирролидин-1-ил)метанон,
трет-бутиламид 6-(1-изопропилпиперидин-4-илокси)хинолин-2-карбоновой кислоты,
циклопропилметилпропиламид 6-(1-изопропилпиперидин-4-илокси)хинолин-2-карбоновой кислоты,
6-(1-изопропилпиперидин-4-илокси)хинолин-2-ил]-(2-метилпиперидин-1-ил)метанон,
(4-гидроксипиперидин-1-ил)-[6-(1-изопропилпиперидин-4-илокси)хинолин-2-ил]метанон,
[6-(1-изопропилпиперидин-4-илокси)хинолин-2-ил]-(3-метилпиперидин-1-ил)метанон,
гидрохлорид(3,4-дигидро-1Н-изохинолин-2-ил)-[6-(3-пиперидин-1-илпропокси)нафталин-2-ил]метанона (1:1),
[6-(1-изопропилпиперидин-4-илокси)хинолин-2-ил]тиоморфолин-4-илметанон,
[6-(1-изопропилпиперидин-4-илокси)хинолин-2-ил]-(2-трифторметилпирролидин-1-ил)метанон,
этил(2-метоксиэтил)амид 6-(1-изопропилпиперидин-4-илокси)хинолин-2-карбоновой кислоты,
азетидин-1-ил-[6-(1-изопропилпиперидин-4-илокси)хинолин-2-ил]метанон,
(3,6-дигидро-2Н-пиридин-1-ил)-[6-(1-изопропилпиперидин-4-илокси)хинолин-2-ил]метанон,
(3-фтороксетан-3-илметил)амид 6-(1-изопропилпиперидин-4-илокси)хинолин-2-карбоновой кислоты,
(1-метоксиметилциклопропилметил)амид 6-(1-изопропилпирролидин-4-илокси)хинолин-2-карбоновой кислоты,
[2-(тетрагидропиран-4-ил)этил]амид{6-(1-изопропилпиперидин-4-илокси)хинолин-2-карбоновой кислоты,
[6-(1-изопропилпиперидин-4-илокси)хинолин-2-ил]морфолин-4-илметанон,
циклогексилметиламид 6-(1-изопропилпиперидин-4-илокси)хинолин-2-карбоновой кислоты,
(4,4-дифторпиперидин-1-ил)-[6-(1-изопропилпиперидин-4-илокси)хинолин-2-ил]метанон,
(3-гидроксипирролидин-1-ил)-[6-(1-изопропилпиперидин-4-илокси)хинолин-2-ил]метанон,
[6-(1-изопропилпиперидин-4-илокси)хинолин-2-ил]пирролидин-1-илметанон,
(R)-1-[6-(1-изопропилпиперидин-4-илокси)хинолин-2-карбонил]пирролидин-2-карбонитрил,
(1,1-диоксотиоморфолин-4-ил)-[6-(1-изопропилпиперидин-4-илокси)хинолин-2-ил]метанон,
диметиламид 6-(1-изопропилпиперидин-4-илокси)хинолин-2-карбоновой кислоты,
(2,5-дигидропиррол-1-ил)-[6-(1-изопропилпирролидин-3-илокси)хинолин-2-ил]метанон,
([6-(1-изопропилпирролидин-3-илокси)хинолин-2-ил]-(4-метоксипиперидин-1-ил)метанон,
этилметиламид 6-(1-изопропилпирролидин-3-илокси)хинолин-2-карбоновой кислоты,
([6-(1-изопропилпирролидин-3-илокси)хинолин-2-ил]-(4-метилпиперидин-1-ил)-метанон,
[6-(1-изопропилпирролидин-3-илокси)хинолин-2-ил]-(2-метилпирролидин-1-ил)-метанон,
трет-бутиламид 6-(1-изопропилпирролидин-3-илокси)хинолин-2-карбоновой кислоты,
циклопропилметилпропиламид 6-(1-изопропилпирролидин-3-илокси)хинолин-2-карбоновой кислоты,
{[6-(1-изопропилпирролидин-3-илокси)хинолин-2-ил]-(2-метилпиперидин-1-ил)метанон,
[6-(1-изопропилпирролидин-3-илокси)хинолин-2-ил]-(3-метилпиперидин-1-ил)метанон,
изопропилметиламид 6-(1-изопропилпирролидин-3-илокси)хинолин-2-карбоновой кислоты,
[6-(1-изопропилпирролидин-3-илокси)хинолин-2-ил]тиоморфолин-4-илметанон,
[6-(1-изопропилпирролидин-3-илокси)хинолин-2-ил]-(2-трифторметилпирролидин-1-ил)метанон,
этил(2-метоксиэтил)амид 6-(1-изопропилпирролидин-3-илокси)хинолин-2-карбоновой кислоты,
азетидин-1-ил-[6-(1-изопропилпирролидин-3-илокси)хинолин-2-ил]метанон,
(3,6-дигидро-2Н-пиридин-1-ил)-[6-(1-изопропилпирролидин-3-илокси)хинолин-2-ил]метанон,
(3-фтороксетан-3-илметил)амид 6-(1-изопропилпирролидин-3-илокси)хинолин-2-карбоновой кислоты,
(1-метоксиметилциклопропилметил)амид 6-(1-изопропилпирролидин-3-илокси)хинолин-2-карбоновой кислоты,
[2-(тетрагидропиран-4-ил)этил]амид 6-(1-изопропилпирролидин-3-илокси)хинолин-2-карбоновой кислоты,
(4,4-дифторпиперидин-1-ил)-[6-(1-изопропилпирролидин-3-илокси)хинолин-2-ил]метанон,
[6-(1-изопропилпиперидин-4-илокси)хинолин-2-ил]морфолин-4-илметанон,
(4-метоксипиперидин-1-ил)-[6-(3-пиперидин-1-илпропокси)хинолин-2-ил]метанон,
(4-метилпиперидин-1-ил)-[6-(3-пиперидин-1-илпропокси)хинолин-2-ил]метанон,
морфолин-4-ил-[6-(3-пиперидин-1-илпропокси)хинолин-2-ил]метанон,
(2-метилпирролидин-1-ил)-[6-(3-пиперидин-1-илпропокси)хинолин-2-ил]метанон,
циклопропилметилпропиламид 6-(3-пиперидин-1-илпропокси)хинолин-2-карбоновой кислоты,
[6-(3-пиперидин-1-илпропокси)хинолин-2-ил]-(2-трифторметилпирролидин-1-ил)метанон,
(2,5-дигидропиррол-1-ил)-[6-(3-пиперидин-1-илпропокси)хинолин-2-ил]метанон,
этил(2-метоксиэтил)амид 6-(3-пиперидин-1-илпропокси)хинолин-2-карбоновой кислоты,
азетидин-1-ил-[6-(3-пиперидин-1-илпропокси)хинолин-2-ил]метанон,
(3,6-дигидро-2Н-пиридин-1-ил)-[6-(3-пиперидин-1-илпропокси)хинолин-2-ил]-метанон,
(4,4-дифторпиперидин-1-ил)-[6-(3-пиперидин-1-илпропокси)хинолин-2-ил]метанон,
циклогексилметиламид 6-(3-пиперидин-1-илпропокси)хинолин-2-карбоновой кислоты,
(1-метоксиметилциклопропилметил)амид 6-(3-пиперидин-1-илпропокси)хинолин-2-карбоновой кислоты,
(3-фтороксетан-3-илметил)амид 6-(3-пиперидин-1-илпропокси)хинолин-2-карбоновой кислоты,
[2-(тетрагидропиран-4-ил)этил]амид 6-(3-пиперидин-1-илпропокси)хинолин-2-карбоновой кислоты,
(тетрагидропиран-4-ил)амид 6-(3-пиперидин-1-илпропокси)хинолин-2-карбоновой кислоты,
(2-метилпиперидин-1-ил)-[6-(3-пиперидин-1-илпропокси)хинолин-2-ил]метанон,
[6-(3-пиперидин-1-илпропокси)хинолин-2-ил]пирролидин-1-илметанон,
(R)-1-[6-(3-пиперидин-1-илпропокси)хинолин-2-карбонил]пирролидин-2-карбонитрил,
(1,1-диоксотиоморфолин-4-ил)-[6-(3-пиперидин-1-ил-пропокси)хинолин-2-ил]метанон,
(4-метилпиперидин-1-ил)-{6-[2-(1-метилпирролидин-2-ил)этокси]хинолин-2-ил}метанон,
{6-[2-(1-метилпирролидин-2-ил)этокси]хинолин-2-ил}пирролидин-1-илметанон,
(R)-1-{6-[2-(1-метилпирролидин-2-ил)этокси]хинолин-2-карбонил}пирролидин-2-карбонитрил,
(1,1-диоксотиоморфолин-4-ил)-{6-[2-(1-метилпирролидин-2-ил)этокси]хинолин-2-ил}метанон,
(4-метоксипиперидин-1-ил)-{6-[2-(1-метилпирролидин-2-ил)этокси]хинолин-2-ил}метанон,
{6-[2-(1-метилпирролидин-2-ил)этокси]хинолин-2-ил}морфолин-4-илметанон,
азетидин-1-ил-{6-[2-(1-метилпирролидин-2-ил)этокси]хинолин-2-ил}метанон,
[2-(тетрагидропиран-4-ил)этил]амид 6-[2-(1-метилпирролидин-2-ил)этокси]хинолин-2-карбоновой кислоты,
(3-фтороксетан-3-илметил)амид 6-[2-(1-метилпирролидин-2-ил)этокси]хинолин-2-карбоновой кислоты,
(2-метилпирролидин-1-ил)-{6-[2-(1-метилпирролидин-2-ил)этокси]хинолин-2-ил}метанон,
(S)-1-[6-(1-изопропилпиперидин-4-илокси)хинолин-2-карбонил]пирролидин-2-карбонитрил,
[6-(1-изопропилпиперидин-4-илокси)хинолин-2-ил]-(4-метилпиперидин-1-ил)метанон,
(4-гидроксиметилпиперидин-1-ил)-[6-(1-изопропилпиперидин-4-илокси)хинолин-2-ил]метанон,
изобутиламид 6-(1-изопропилпиперидин-4-илокси)хинолин-2-карбоновой кислоты,
циклогексилметиламид 6-(1-изопропилпиперидин-4-илокси)хинолин-2-карбоновой кислоты
и их фармацевтически приемлемые соли.
Особенно предпочтительными соединениями формулы I по настоящему изобретению являются следующие:
[6-(1-изопропилпиперидин-4-илокси)хинолин-2-ил]-(4-метоксипиперидин-1-ил)метанон,
[6-(1-изопропилпиперидин-4-илокси)хинолин-2-ил]-(2-метилпирролидин-1-ил)метанон,
[6-(1-изопропилпиперидин-4-илокси)хинолин-2-ил]-(2-трифторметил-пирролидин-1-ил)метанон,
азетидин-1-ил-[6-(1-изопропилпиперидин-4-илокси)хинолин-2-ил]метанон,
(3-фтороксетан-3-илметил)амид 6-(1-изопропилпиперидин-4-илокси)хинолин-2-карбоновой кислоты,
(1-метоксиметилциклопропилметил)амид 6-(1-изопропилпиперидин-4-илокси)хинолин-2-карбоновой кислоты,
[6-(1-изопропилпиперидин-4-илокси)хинолин-2-ил]пирролидин-1-илметанон,
(R)-1-[6-(1-изопропилпиперидин-4-илокси)хинолин-2-карбонил]пирролидин-2-карбонитрил,
азетидин-1-ил-[6-(3-пиперидин-1-илпропокси)хинолин-2-ил]метанон,
(R)-1-[6-(3-пиперидин-1-илпропокси)хинолин-2-карбонил]пирролидин-2-карбонитрил,
(S)-1-[6-(1-изопропилпиперидин-4-илокси)хинолин-2-карбонил]пирролидин-2-карбонитрил
и их фармацевтически приемлемые соли.
Кроме того, фармацевтически приемлемые соли соединений формулы I и фармацевтически приемлемые сложные эфиры соединений формулы I самостоятельно представляются в качестве предпочтительных объектов настоящего изобретения.
Соединения формулы I могут образовать кислотно-аддитивные соли со стандартными фармацевтически приемлемыми кислотами, такие как, например, гидрохлорид, гидробромид, фосфат, ацетат, фумарат, малеат, салицилат, сульфат, пируват, цитрат, лактат, манделат, тартрат и метансульфонат. Предпочтительными солями являются гидрохлориды. Сольваты и гидраты соединений формулы I и их соли составляют часть настоящего изобретения.
Соединения формулы I могут иметь один или более ассиметрических углеродных атомов и могут существовать в форме оптически чистых энантиомеров, таких как, например, рацематы, оптически чистые диастереоизомеры, смеси диастереоизомеров, диастереоизомерные рацематы или смеси диастереоизомерных рацематов. Оптически активные формы могут быть получены, например, разделением рацематов посредством ассиметрического синтеза или ассиметрической хроматографии (хроматография с хиральным адсорбентом или элюэнтом). Изобретение включает также эти формы.
Следует отметить, что соединения общей формулы I по этому изобретению могут быть дериватизированы по функциональным группам с получением производных, которые способны превращаться в исходные соединения в условиях in vivo. Физиологически приемлемые и метаболически лабильные производные, которые способны превращаться в исходные соединения общей формулы I в условиях in vivo, также включены в объем настоящего изобретения.
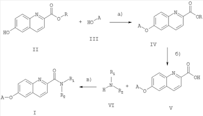
Следующим аспектом настоящего изобретения является способ получения соединений формулы I, определенных выше, который включает
взаимодействие соединения формулы II

где R обозначает низший алкил, со спиртом формулы III

где А определено выше, в присутствии триалкилфосфина или трифенилфосфина и диазосоединения с получением соединения формулы IV

и превращение сложного эфира формулы IV в кислоту формулы V

в кислых или щелочных условиях,
и конденсацию соединения формулы V с амином формулы VI

где R1 и R2 определены выше, с помощью конденсирующего агента в щелочных условиях с получением соединения формулы I

где А, R1 и R2 определены выше, и, если необходимо, превращение
полученного соединения в фармацевтически приемлемую соль.
Конденсирующими агентами для реакции соединений формулы V с аминами формулы VI являются, например, N,N’-карбонилдиимидазол (КДИ), N,N’-дициклогексилкарбодиимид (ДЦК), гидрохлорид 1-(3-диметиламинопропил)-3-этилкарбодиимида (EDCI), гексафторфосфат 1-[бис(диметиламино)метилен]-1Н-1,2,3-триазоло[4,5-b]пиридиний-3-оксида (HATU), тетрафторборат 1-гидрокси-1,2,3-бензотриазола (НОВТ) или тетрафторборат O-бензотриазол-1-ил-N,N,N’,N’-тетраметилурония (ТБТУ).
Более детально, соединения формулы I могут быть получены методами, приведенными ниже, методами, приведенными в примерах, или аналогичными методами. Соответствующие реакционные условия для отдельных реакционных стадий известны специалистам в данной области техники. Исходные соединения либо коммерчески доступны, либо могут быть получены методами, аналогичными методам, приведенным ниже, методами, описанными в цитируемых в тексте публикациях, или методами, известными из уровня техники.
Схема 1

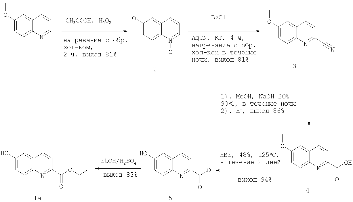
Соединения формулы II могут быть получены, исходя из коммерчески доступного 6-метоксихинолина (1), который может быть превращен в N-оксид (2) реакцией с пероксидом водорода в растворителе типа уксусной кислоты в условиях нагревания с обратным холодильником. 6-Метоксихинолин-1-оксид вводят в реакцию с цианидом серебра и бензоилхлоридом, получая 6-метоксихинолин-2-карбонитрил (3) посредством реакции Райссерта (Ber., 38, 1610 (1905). Гидролиз цианогруппы проводят с использованием кислой или щелочной среды. Нами было найдено, что подходящим для использования основанием является гидроксид натрия, после кислотной обработки которым смеси была получена соответствующая 6-метоксихинолин-2-карбоновая кислота (4). Удаление метильной группы с помощью 48%-ного водного раствора бромистоводородной кислоты дает 6-гидроксихинолин-2-карбоновую кислоту (5). Кислота может быть превращена в сложный эфир 6-гидроксихинолин-2-карбоновой кислоты II, например в этиловый эфир 6-гидроксихинолин-2-карбоновой кислоты (IIa), обработкой ее спиртом, например этанолом, в смеси с кислотой типа серной кислоты.
Получение соединений формулы I по настоящему изобретению может быть проведено с использованием последовательного или конвергентного путей. Синтез согласно изобретению представлен на следующей схеме. Проведение реакции и очистка образующихся продуктов известны специалистам в данной области техники. Заместители и индексы, используемые в следующем описании, имеют приведенные выше значения, если не указано иначе.
Схема 2

Соединения общей формулы I могут быть получены согласно схеме 2 следующим образом:
а) синтез сложных эфиров широко описан в литературе, и методики его проведения известны из уровня техники. (Применяемые для таких реакций реакционные условия, описанные в литературе, см. в: Comprehensive Organic Transformations: A Guide to Functional Group Preparations, 2nd Edition, Richard C. Larock. John Wiley & Sons, New York, 1999.) Превращение может быть проведено с использованием реакционных условий, которые в общем применяются в так называемой «реакции Митцунобу», которая известна специалистам в данной области техники и детально описана (Hughes, David L. The Mitsunobu reaction. Organic Reactions (John Wiley & Sons, New York, 1992, 42, 335-656). Нами были найдены подходящие условия для проведения конденсации сложного эфира формулы II со спиртами формулы III (либо коммерчески доступными, либо доступными с помощью методов, описанных в ссылках, или методов, известных из уровня техники), использующие фосфин, подобный трибутилфосфину ((n-Bu)3,Р), трифенилфосфину (Ph3P), и им подобные, и диазосоединения, такого как диэтилазодикарбоксилат (ДЭАД), диизопропилазодикарбоксилат (ДИАД) (необязательно полимерно связанный), тетраметилазодикарбоксамид и им подобного, в растворителях, обычно используемых в таких реакциях, типа тетрагидрофурана (ТГФ), толуола, дихлорметана и им подобных. Никаких особенных ограничений относительно типа используемого растворителя нет, при условии, что он не оказывает нежелательного воздействия на реакцию или используемые реагенты и что он растворяет реагенты, по крайней мере, до некоторой степени. Реакция может протекать в широком интервале температур, и определенная температура не является критической по данному изобретению. Найденные нами подходящие температурные условия проведения реакции лежат в интервале от комнатной температуры до температуры кипения растворителя. Время проведения реакции также может широко варьироваться в зависимости от многих факторов, а именно от реакционной температуры и природы реагентов. Однако период от 0,5 ч до нескольких дней обычно достаточен для получения соединений формулы IV;
б) гидролиз сложных эфиров широко описан в литературе, и методики его проведения известны из уровня техники. Реакционные условия, описанные в литературе для проведения подобных реакций, например, являются следующими: реакция может осуществляться с использованием кислой или щелочной среды. Нами установлено, что подходящим условием является кислая среда с использованием кислоты, подобной HCl, и растворителя типа диоксана, ТГФ и им подобных. Никаких особых ограничений относительно типа используемого растворителя нет, при условии, что он не оказывает нежелательного воздействия на реакцию или используемые реагенты и что он растворяет реагенты, по крайней мере, до некоторой степени. Реакция может протекать в широком интервале температур, и определенная температура не является критической по данному изобретению. Найденные нами подходящие температурные условия проведения реакции лежат в интервале от комнатной температуры до температуры кипения растворителя. Время проведения реакции также может широко варьироваться в зависимости от многих факторов, а именно от реакционной температуры и природы реагентов. Однако период от 0,5 ч до нескольких дней обычно достаточен для получения соединений формулы VI;
в) конденсация карбоновых кислот с аминами широко описана в литературе, и методики ее проведения известны из уровня техники. Реакционные условия, описанные в литературе для проведения подобных реакций, см., например, в: Comprehensive Organic Transformations: A Guide to Functional Группа Preparations, 2nd Edition, Richard С.Larock. John Wiley & Sons, New York, 1999). 6-Алкоксихинолин-2-карбоновые кислоты формулы IV стандартно могут быть превращены в соответствующие амиды конденсацией с аминами V (либо коммерчески доступными, либо доступными с помощью методов, описанных в ссылках, или методов, известных из уровня техники) с использованием подходящих конденсирующих агентов. Например, конденсирующие агенты типа N,N’-карбонилдиимидазола (КДИ), N,N’-дициклогексилкарбодиимида (ДЦК), гидрохлорида 1-(3-диметиламинопропил)-3-этилкарбодиимида (EDCI), гексафторфосфата 1-[бис(диметиламино)метилен]-1Н-1,2,3-триазоло[4,5-b]пиридиний-3-оксида (HATU), тетрафторбората 1-гидрокси-1,2,3-бензотриазола (НОВТ) или тетрафторбората O-бензотриазол-1-ил-N,N,N’,N’-тетраметилурония (ТБТУ) и им подобные могут в одинаковой мере быть использованы для проведения таких реакций. Нами установлено, что подходящими условиями для проведения реакции является растворитель типа диметилформамида (ДМФ) в присутствии щелочи. Никаких особенных ограничений относительно типа используемого растворителя нет, при условии, что он не оказывает нежелательного воздействия на реакцию или используемые реагенты и что он растворяет реагенты, по крайней мере, до некоторой степени. Примеры подходящих растворителей включают: ДМФ, дихлорметан (ДХМ), диоксан, ТГФ и им подобные. Никаких особенных ограничений относительно типа применяемого основания на этой стадии нет, и поэтому с равным успехом может быть использовано любое основание, обычно используемое в этом типе реакций. Примеры таких оснований включают триэтиламин, диизопропилэтиламин и подобные им. Реакция может протекать в широком интервале температур, и определенная температура не является критической по данному изобретению. Найденные нами подходящие температурные условия проведения реакции лежат в интервале от комнатной температуры до температуры кипения растворителя. Время проведения реакции также может широко варьироваться в зависимости от многих факторов, в частности от реакционной температуры и природы реагентов. При этом интервал от 0,5 ч до нескольких дней обычно достаточен для получения амидных производных формулы I.
Как описано выше, соединения формулы I по настоящему изобретению могут быть применены в качестве лекарственных средств для лечения и/или профилактики болезней, связанных с модуляцией H3 рецепторов. Примерами таких болезней являются: ожирение, метаболический синдром (синдром X), нейрологические заболевания, включающие болезнь Альцгеймера, деменцию, возрастную дисфункцию памяти, среднее когнитивное ухудшение, когнитивный дефицит, гиперактивное расстройство, связанное с дефицитом внимания, эпилепсия, нейропатическая боль, воспалительная боль, мигрень, болезнь Паркинсона, рассеянный склероз, инсульт, головокружение, шизофрения, депрессия, наркомания, укачивание и расстройство сна, включая нарколепсию, и другие болезни, включающие астму, аллергию, вызываемые аллергией ответы дыхательных путей, гиперимию, хроническое деструктивное заболевание легких и желудочно-кишечные заболевания. Применение соединений формулы I, определенных выше, для лечения и/или профилактики ожирения является предпочтительным.
Кроме того, изобретение относится к фармацевтическим композициям, включающим соединение определенных выше и фармацевтически приемлемый носитель и/или адъювант.
Далее, изобретение относится к соединениям определенных выше для применения в качестве терапевтически активных веществ, в частности в качестве терапевтически активных веществ для лечения и/или профилактики болезней, связанных с модуляцией H3 рецепторов. Примерами таких болезней являются: ожирение, метаболический синдром (синдром X), нейрологические заболевания, включающие болезнь Альцгеймера, деменцию, возрастную дисфункцию памяти, среднее когнитивное ухудшение, когнитивный дефицит, гиперактивное расстройство, связанное с дефицитом внимания, эпилепсия, нейропатическая боль, воспалительная боль, мигрень, болезнь Паркинсона, рассеянный склероз, инсульт, головокружение, шизофрения, депрессия, наркомания, укачивание и расстройство сна, включая нарколепсию, и другие болезни, включающие астму, аллергию, вызываемые аллергией ответы дыхательных путей, гиперимию, хроническое деструктивное заболевание легких и желудочно-кишечные заболевания. Применение соединений формулы I, определенных выше, для приготовления лекарственных средств, предназначенных для лечения и/или профилактики ожирения, является предпочтительным.
Другой аспект изобретения относится к способу лечения и/или профилактики болезней, связанных с модуляцией H3 рецепторов. Примерами таких болезней являются: ожирение, метаболический синдром (синдром X), нейрологические заболевания, включающие болезнь Альцгеймера, деменцию, возрастную дисфункцию памяти, среднее когнитивное ухудшение, когнитивный дефицит, гиперактивное расстройство, связанное с дефицитом внимания, эпилепсия, нейропатическая боль, воспалительная боль, мигрень, болезнь Паркинсона, рассеянный склероз, инсульт, головокружение, шизофрения, депрессия, наркомания, укачивание и расстройство сна, включая нарколепсию, и другие болезни, включающие астму, аллергию, вызываемые аллергией ответы дыхательных путей, гиперимию, хроническое деструктивное заболевание легких и желудочно-кишечные заболевания. Способ для лечения и/или профилактики ожирения является предпочтительным.
Изобретение относится далее к применению соединений формулы I, определенных выше, для лечения и/или профилактики болезней, связанных с модуляцией H3 рецепторов. Примерами таких болезней являются: ожирение, метаболический синдром (синдром X), нейрологические заболевания, включающие болезнь Альцгеймера, деменцию, возрастную дисфункцию памяти, среднее когнитивное ухудшение, когнитивный дефицит, гиперактивное расстройство, связанное с дефицитом внимания, эпилепсия, нейропатическая боль, воспалительная боль, мигрень, болезнь Паркинсона, рассеянный склероз, инсульт, головокружение, шизофрения, депрессия, наркомания, укачивание и расстройство сна, включая нарколепсию, и другие болезни, включающие астму, аллергию, вызываемые аллергией ответы дыхательных путей, гиперимию, хроническое деструктивное заболевание легких и желудочно-кишечные заболевания. Применение соединений формулы I, определенных выше, для лечения и/или профилактики ожирения является предпочтительным.
Кроме того, изобретение относится к применению соединений формулы I, определенных выше, для приготовления лекарственных средств, предназначенных для лечения и/или профилактики болезней, связанных с модуляцией H3 рецепторов. Примерами таких болезней являются: ожирение, метаболический синдром (синдром X), нейрологические заболевания, включающие болезнь Альцгеймера, деменцию, возрастную дисфункцию памяти, среднее когнитивное ухудшение, когнитивный дефицит, гиперактивное расстройство, связанное с дефицитом внимания, эпилепсия, нейропатическая боль, воспалительная боль, мигрень, болезнь Паркинсона, рассеянный склероз, инсульт, головокружение, шизофрения, депрессия, наркомания, укачивание и расстройство сна, включая нарколепсию, и другие болезни, включающие астму, аллергию, вызываемые аллергией ответы дыхательных путей, гиперимию, хроническое деструктивное заболевание легких и желудочно-кишечные заболевания. Применение соединений формулы I, определенных выше, для приготовления лекарственных средств, предназначенных для лечения и/или профилактики ожирения, является предпочтительным.
Соединения формулы I и их фармацевтически приемлемые соли обладают различными фармакологическими свойствами. В частности, как было найдено, соединения по настоящему изобретению являются хорошими антагонистами и/или инверсионными агонистами гистамин 3 рецептора (H3R).
Для определения активности соединений формулы (I) был проведен следующий анализ.
Анализ связывания с 3Н-(R) -метилгистамином
Эксперименты насыщения связывания проводят с использованием HR3-СНО мембран, полученных, как описано в: Takahashi, К, Tokita, S., Kotani, H. (2003) J. Pharmacol. Exp.Therapeutics 307, 213-218.
Соответствующее количество мембраны (60 до 80 мг белка/ячейку) инкубируют с дигидрохлоридом 3Н(R) -метилгистамина в увеличивающихся концентрациях (от 0,10 до 10 нМ). Неспецифическое связывание определяют, используя 200-кратный избыток дигидробромида (R) -метилгистамина (конечная концентрация 500 нМ). Инкубирование проводят при комнатной температуре (в глубококлеточном планшете при встряхивании в течение 3 ч). Конечный объем в каждой ячейке составлял 250 мкл. За инкубированием следует быстрое фильтрование на GF/B фильтрах (предварительно пропитанных 100 мкл 0,5% PEI в Tris 50 мкМ, встряхивание при 200 об/мин в течение 2 ч). Фильтрование проводят с использованием клеточного коллектора, после чего планшеты для фильтрования пять раз промывают охлажденным льдом буфером для фильтрования, содержащим 0,5 М NaCl. После харвестирования планшеты высушивают при 55°С в течение 60 мин, затем добавляют сцинцилляционную жидкость (Microscint 40, 40 microl в каждой ячейке) и количество радиоактивности на фильтре определяют на Packard top-счетчике после встряхивания планшетов в течение 2 ч со скоростью 200 об/мин при комнатной температуре.
Буфер для связывания: 50 мМ Tris-HCl pH 7,4 и 5 мМ MgCl2 × 6Н2О рН 7,4.
Буфер для промывания: 50 мМ Tris-HCl рН 7,4 и 5 мМ MgCl2 × 6H2O и 0,5 М NaCl рН 7,4.
Косвенное измерение сродства H3R инверсионных агонистов
Выбранные соединения с 12-кратно увеличенными концентрациями (диапазон от 10 мкМ до 0,3 нМ) тестировались в экспериментах по конкурентному связыванию с использованием мембран человеческой HR3-CHO линии клеток. Соответствующее количество белка, например 500 имп./мин RAMH при Kd, инкубируют в течение 1 ч при комнатной температуре с конечным объемом 250 мкл в 96-ячеистом планшете в присутствии 3Н(R) -метилгистамина (1 нМ конечной концентрации = Kd). Неспецифическое связывание определяют, используя 200-кратный избыток дигидробромида (R) -метилгистамина.
Все соединения протестированы в каждой концентрации в двойном повторе. Соединения, показавшие ингибирование [3H]-RAMH более чем на 50%, были протестированы снова для определения IC50 в эксперименте в сериальном разбавлении. Значения Ki были вычислены из IC50 на основе уравнения Cheng-Prusoff (Cheng, Y, Prusoff, WH (1973) Biochem Pharmacol 22, 3099-3108).
Соединения по настоящему изобретению обладают величинами Кi в области от 1 нМ до приблизительно 1000 нМ, предпочтительно приблизительно от 1 нМ до 100 нМ и более предпочтительно от приблизительно 1 нМ до 30 нМ.
В следующей таблице представлены измеренные значения для некоторых выбранных соединений по настоящему изобретению.
 |
Ki (нМ) |
| Пример 2 |
200 |
| Пример 14 |
78 |
| Пример 64 |
450 |
Соединения формулы (I) и их фармацевтически приемлемые соли и сложные эфиры могут быть использованы в качестве лекарственных средств, например в виде фармацевтических препаратов для энтерального, парентерального или местного введения. Они могут быть введены, например, перорально, например, в форме таблеток, таблеток в оболочке, драже, твердых и мягких желатиновых капсул, растворов, эмульсий или суспензий, ректально, например, в форме суппозиториев, парентерально, например, в форме инъекционных или инфузионных растворов, или местно, например, в форме мазей, кремов или масел.
Изготовление фармацевтических препаратов проводят методами, известными любому специалисту в данной области техники, внесением описанных соединений формулы (I) и их фармацевтически приемлемых солей в фармацевтически вводимые формы вместе с подходящим, нетоксичным, инертным, терапевтически сходным твердым или жидким носителем и, если необходимо, обычными фармацевтическими адъювантами.
Подходящими носителями могут служить не только неорганические, но и органические материалы. Так, например, лактоза, кукурузный крахмал или его производные, тальк, стеариновая кислота или ее соли могут быть использованы в качестве носителей для таблеток, таблеток в оболочке, драже и твердых желатиновых капсул. Подходящими носителями для мягких желатиновых капсул служат, например, растительные масла, воски, жиры и полутвердые и жидкие полиолы (однако, вне зависимости от природы активного ингредиента, в случае твердых желатиновых капсул никакие носители не требуются). Подходящими носителями для изготовления растворов и сиропов являются, например, вода, полиолы, сахароза, инвертный сахар и им подобные. Подходящими носителями для инъекционных растворов являются, например, вода, спирты, полиолы, глицерин и растительные масла. Подходящими носителями для суппозиториев являются, например, натуральные или гидрированные масла, воски, жиры и полутвердые или жидкие полиолы. Подходящими носителями для топических препаратов, являются, например, глицериды, полусинтетические и синтетические глицериды, гидрированные масла, жидкие воска, жидкие парафины, жидкие жирные спирты, стеролы, полиэтиленгликоли и производные целлюлозы.
Обычные стабилизаторы, консерванты, смачивающие и эмульсионные агенты, агенты, улучшающие консистенцию, вкусовые агенты, соли для изменения осмотического давления, буферные субстанции, растворители, красители и маскирующие агенты и антиоксиданты рассматриваются в качестве фармацевтических адъювантов.
Дозирование соединения формулы (I) может варьироваться в широких пределах в зависимости от контролируемой болезни, возраста и индивидуального состояния пациента и способа введения и должно соответствовать, конечно, индивидуальным требованиям в каждом отдельном случае. Для взрослого пациента суточная доза составляет приблизительно от 1 мг до 1000 мг, в частности приблизительно от 1 мг до 100 мг. В зависимости от дозы это соответствует введению суточной дозы несколькими единичными дозами.
Фармацевтические препараты обычно содержат 0,1-500 мг, предпочтительно 0,5-100 мг, соединения формулы (I).
Следующие примеры более детально иллюстрируют настоящее изобретение. Они, однако, ни в коей мере не лимитируют его объема.
Примеры
Промежуточное соединение 1: Этиловый эфир 6-гидроксихинолин-2-карбоновой кислоты
а) 6-Метоксихинолин-1-оксид

6-Метоксихинолин (15 г, 0,094 моля) растворяют в уксусной кислоте (97 мл) и обрабатывают перекисью водорода (37 мл). Смесь перемешивают при 100°С в течение 2 ч. После выпаривания до сухого состояния к остатку добавляют 100 мл воды до появления осадка. Фильтрование и промывка водой дает желтый осадок, который высушивают в вакууме, получая 13,5 г названного в заголовке соединения в виде слегка желтого твердого вещества (выход 82%). MC(m/e): 176,3 (M+Н)+.
б) 6-Метоксихинолин-2-карбонитрил

6-Метоксихинолин-1-оксид (13,48 г, 0,076 моля) в 30 мл хлороформа обрабатывают 3,87 г (0,028 моля) бензоилхлорида и 3,65 г (0,027 моля) цианида серебра. Смесь перемешивают в течение 4 ч при комнатной температуре, а затем нагревают с обратным холодильником при перемешивании в течение 14 ч. После выпаривания растворителя до половины объема смесь охлаждают до 0°С и удаляют осадок серебряной соли. Смесь фильтруют, раствор концентрируют, а остаток твердого вещества промывают диэтиловым эфиром и высушивают в вакууме, получая с выходом 11 г (82%) указанное в заголовке соединение в виде слегка коричневого твердого вещества. МС (m/e): 185,3 (М+Н)+.
в) 6-Метоксихинолин-2-карбоновая кислота

6-Метоксихинолин-2-карбонитрил (9,3 г, 0,050 моля) в 96 мл метанола обрабатывают 240 мл 20%-ного раствора NaOH и смесь нагревают при 120°С в запаянной трубке в течение ночи. После охлаждения до 0°С появляется осадок. Смесь фильтруют, получая натриевую соль, которую суспендируют в воде. Добавляют 25%-ный раствор HCl до величины рН 3-4, получая кислоту в виде осадка, который отфильтровывают и высушивают в вакууме. Маточный раствор первой фильтрации подкисляют 25%-ной HCl до величины рН 3-4 до появления осадка. Осадок фильтруют, твердое вещество промывают водой и высушивают в вакууме, получая 9,6 г (выход 86%) указанного в заголовке соединение в виде слегка коричневого твердого вещества. МС (m/e): 204 (М+Н)+.
г) 6-Гидроксихинолин-2-карбоновая кислота

6-Метоксихинолин-2-карбоновую кислоту (4 г, 0,019 моля) суспендируют в 48%-ном водном растворе бромистоводородной кислоты (80 мл) и смесь нагревают при 125°С в течение ночи. После охлаждения до 0°С добавляют гидроксид аммония до величины рН 6-7, а затем добавляют HCl до величины рН 3-4, после чего соединение выпадает в осадок. Твердое вещество отфильтровывают, промывают водой и высушивают в вакууме, получая 3,5 г (0,0185 моля, выход 97% от теоретического) названного в заголовке соединения в виде твердого вещества МС (m/е): 190,1 (М+Н)+.
д) Этиловый эфир 6-гидроксихинолин-2-карбоновой кислоты

6-Гидроксихинолин-2-карбоновую кислоту (2,3 г, 0,012 моля) растворяют в абсолютном этаноле (150 мл). Добавляют серную кислоту (0,550 мл, 0,0096 моля) и смесь нагревают с обратным холодильником в течение 16 ч. После охлаждения до комнатной температуры выпаривают этанол и добавляют 60 мл этилацетата и 50 мл охлажденной воды. Величину рН доводят до 7 с помощью твердого NaHCO3. Экстрагирование и концентрирование органической фазы дает названный в заголовке продукт в виде слегка желтого твердого вещества, который используют на следующей стадии без дальнейшей очистки (выход 2,1 г, 81% от теоретического). МС (m/e): 218,4 (М+Н)+.
Промежуточное соединение 2: Гидрохлорид (6-(1-изопропилпиперидин-4-илокси)хинолин-2-карбоновой кислоты (1:1)
а) Этиловый эфир 6-(1-изопропилпиперидин-4-илокси)хинолин-2-карбоновой кислоты

Смесь 1 г (0,0046 моля) этилового эфира 6-гидроксихинолин-2-карбоновой кислоты, 2,4 г (0,0092 моля) трифенилфосфина (фирма Fluka), 2,4 г (0,0092 моля) 1-изопропилпиперидин-4-ола и 1,6 мл (0,0092 моля) ди-трет-бутилазадикарбоксилата (40%-ный раствор в толуоле) в 100 мл ТГФ перемешивают в течение длительного периода времени при 35°С. Смесь фильтруют через слой силикагеля и промывают 30 мл ТГФ. Смесь выпаривают до сухого состояния и очищают на силикагеле, элюируя с градиентом ДХМ/МеОН в соотношении 98:2. Полученные фракции выпаривают, а остаток тритурируют с этиловым эфиром, получая после высушивания в вакууме с выходом 1,3 мг (83%) указанное в заголовке соединение в виде белого твердого вещества. МС (m/e): 343,3 (М+Н)+.
б) Гидрохлорид 6-(1-изопропилпиперидин-4-илокси)хинолин-2-карбоновой кислоты (1:1)

Этиловый эфир 6-(1-изопропилпиперидин-4-илокси)хинолин-2-карбоновой кислоты (1,1 г, 0,0033 моля) растворяют в диоксане (25 мл). Затем добавляют 37%-ный раствор HCl (2,06 мл, 0,066 моля) и смесь перемешивают при 85°С в течение 16 ч. Диоксан выпаривают и используют толуол (трижды по 15 мл) для удаления оставшейся воды посредством азеотропной перегонки. После выпаривания толуола и высушивания в вакууме получают указанное в заголовке соединение в виде желтого твердого вещества (выход 1,3 г, 100% от теоретического). МС (m/e): 315,2 (М+Н)+.
Промежуточное соединение 3: Гидрохлорид 6-(1-изопропилпирролидин-3-илокси)хинолин-2-карбоновой кислоты (1:1)
а) Этиловый эфир 6-(1-изопропилпирролидин-3-илокси)хинолин-2-карбоновой кислоты

Смесь 0,960 г (0,0044 моля) этилового эфира 6-гидроксихинолин-2-карбоновой кислоты, 2,32 г (0,0088 ммоля) трифенилфосфина (фирма Fluka), 0,739 г (0,0057 ммоля) 1-изопропил-3-пирролидинола и 1,61 мл (0,0088 ммоля) ди-трет-бутилазадикарбоксилата (40%-ный раствор в толуоле) в 100 мл ТГФ перемешивают в течение длительного периода времени при 35°С. Смесь фильтруют через слой силикагеля и промывают 30 мл ТГФ. Смесь выпаривают до сухого состояния и очищают на силикагеле, элюируя с градиентом ДХМ/МеОН в соотношении 98:2. Полученные фракции выпаривают, а остаток тритурируют с этиловым эфиром, получая после высушивания в вакууме с выходом 1,3 мг (83%) указанное в заголовке соединение в виде белого твердого вещества. МС (m/e): 329,3 (М+H)+.
б) Гидрохлорид 6-(1-изопропилпирролидин-3-илокси)хинолин-2-карбоновой кислоты (1:1)

Этиловый эфир 6-(1-изопропилпирролидин-3-илокси)хинолин-2-карбоновой кислоты (0,5 г, 0,002 моля) растворяют в диоксане (20 мл). Затем добавляют 37%-ный раствор HCl (0,94 мл, 0,03 моля) и смесь перемешивают при 85°С в течение 16 ч. Диоксан выпаривают и используют толуол (трижды по 15 мл) для удаления оставшейся воды посредством азеотропной перегонки. После выпаривания толуола и высушивания в вакууме получают указанное в заголовке соединение в виде желтого твердого вещества (выход 0,570 г, 100% от теоретического). МС (m/e): 301,2 (М+Н)+.
Промежуточное соединение 4: Гидрохлорид 6-(3-пиперидин-1-илпропокси)хинолин-2-карбоновой кислоты 0:1)
а) Этиловый эфир 6-(3-пиперидин-1-илпропокси)хинолин-2-карбоновой кислоты

Смесь 0,400 г (0,002 моля) этилового эфира 6-гидроксихинолин-2-карбоновой кислоты, 0,966 г (0,004 ммоля) трифенилфосфина (фирма Fluka), 0,396 г (0,003 ммоля) 3-пиперидин-1-илпропан-1-ола и 0,68 мл (0,004 ммоля) ди-трет-бутилазадикарбоксилата (40%-ный раствор в толуоле) в 100 мл ТГФ перемешивают в течение длительного периода времени при 35°С. Смесь фильтруют через слой силикагеля и промывают 30 мл ТГФ. Смесь выпаривают до сухого состояния и очищают на силикагеле, элюируя с градиентом ДХМ/MeOH/NH4OH в соотношении от 97:3:0,5 до 90:100:0,5. Полученные фракции выпаривают, а остаток тритурируют с этиловым эфиром, получая после высушивания в вакууме с выходом 0,600 мг (93%) указанное в заголовке соединение в виде белого твердого вещества. МС (m/e): 343,3 (М+Н)+.
б) Гидрохлорид 6-(3-пиперидин-1-илпропокси)хинолин-2-карбоновой кислоты (1:1)

Этиловый эфир 6-(3-пиперидин-1-илпропокси)хинолин-2-карбоновой кислоты (0,6 г, 0,002 моля) растворяют в диоксане (20 мл). Затем добавляют 37%-ный раствор HCl (1,08 мл, 0,035 моля) и смесь перемешивают при 85°С в течение 16 ч. Диоксан выпаривают и используют толуол (трижды по 15 мл) для удаления оставшейся воды посредством азеотропной перегонки. После выпаривания толуола и высушивания в вакууме получают указанное в заголовке соединение в виде желтого твердого вещества (выход 0,592 г, 96% от теоретического). МС (m/e): 315,3 (М+Н)+.
Промежуточное соединение 5: Гидрохлорид 6-[2-(1-метилпирролидин-2-ил)этокси]2-карбоновой кислоты (1:1)
а) Этиловый эфир 6-[2-(1-метилпирролидин-2-ил)этокси]хинолин-2-карбоновой кислоты

Смесь 0,400 г (0,002 моля) этилового эфира 6-гидроксихинолин-2-карбоновой кислоты, 0,966 г (0,004 ммоля) трифенилфосфина (фирма Fluka), 0,396 г (0,003 ммоля) 1-метил-2-пирролидинэтанола и 0,68 мл (0,004 ммоля) ди-трет-бутилазадикарбоксилата (40%-ный раствор в толуоле) в 40 мл ТГФ перемешивают в течение длительного периода времени при 35°С. Смесь фильтруют через слой силикагеля и промывают 30 мл ТГФ. Затем смесь выпаривают до сухого состояния и очищают на силикагеле, элюируя с градиентом ДХМ/MeOH/NH4OH в соотношении от 97:3:0,5 до 90:100:0,5. Полученные фракции выпаривают, а остаток тритурируют с этиловым эфиром, получая после высушивания в вакууме с выходом 0,317 г (53%) указанное в заголовке соединение в виде белого твердого вещества. МС (m/е): 329,2 (М+Н).
б) Гидрохлорид 6-[2-(1-метилпирролидин-2-ил)этокси]хинолин-2-карбоновой кислоты (1:1)

Этиловый эфир 6-[2-(1-метилпирролидин-2-ил)этокси]хинолин-2-карбоновой кислоты (0,310 г, 0,001 моля) растворяют в диоксане (10 мл). Затем добавляют 37%-ный раствор HCl (0,580 мл, 0,019 моля) и смесь перемешивают при 85°С в течение 16 ч. Диоксан выпаривают и используют толуол (трижды по 10 мл) для удаления оставшейся воды посредством азеотропной перегонки. После выпаривания толуола и высушивания в вакууме получают указанное в заголовке соединение в виде желтого твердого вещества (выход 0,395 г, 96% от теоретического). МС (m/e): 301,3 (М+Н)+.
Пример 1: [6-(1-изопропилпиперидин-4-илокси)хинолин-2-ил]-(4-метоксипиперидин-1-ил)метанон
Гидрохлорид 6-(1-изопропилпиперидин-4-илокси)хинолин-2-карбоновой кислоты (1:1) (30 мг, 0,086 ммоля, см. промежуточное соединение 2) растворяют в ДМФ (0,300 мл). Затем добавляют 1,1′-карбонилдиимидазол (17 мг, 0,10 ммоля) и смесь перемешивают в течение получаса. Добавляют 4-метоксипиперидин (6 мг, 0,014 ммоля) и смесь перемешивают в течение ночи. Смесь разбавляют 0,4 мл метанола и очищают с помощью обращенно-фазовой препаративной ВЭЖХ, элюируя с градиентом ацетонитрил/вода/триэтиламин. Полученные фракции выпаривают до сухого состояния, получая с выходом 4,7 мг (14%) указанное в заголовке соединение в виде слегка коричневого твердого вещества. МС (m/e): 412,4 (МН+, 100%).
Согласно методике, описанной для синтеза примера 1, последующие производные синтезируют из гидрохлорида 6-(1-изопропилпиперидин-4-илокси)хинолин-2-карбоновой кислоты (1:1) и соответствующих аминов. Результаты приведены в таблице 1 и включают примеры от 2 до 26.
| Таблица 1 |
Пример  |
Систематическое название |
ММ |
Исходные вещества |
ММ найден. (М+H)+ |
| 2 |
(2,5-Дигидропиррол-1-ил)-[6-(1-изопропилпиперидин-4-илокси)хинолин-2-ил]метанон |
365,4 |
Гидрохлорид 6-(1-изопропилпиперидин-4-илокси)хинолин-2-карбоновой кислоты (1:1) и 5-дигидропиррол (коммерчески доступен) |
366,4 |
| 3 |
Этилметиламид 6-(1-изопропилпиперидин-4-илокси)хинолин-2-карбоновой кислоты |
355,48 |
Гидрохлорид 6-(1-изопропилпиперидин-4-илокси)хинолин-2-карбоновой кислоты (1:1) и этилметиламид (коммерчески доступен) |
356,4 |
Пример  |
Систематическое название |
MM |
Исходные вещества |
ММ найден. (М+H)+ |
| 5 |
трет-Бутиламид 6-(1-изопропилпиперидин-4-илокси)хинолин-2-карбоновой кислоты |
369,51 |
Гидрохлорид 6-(1-изопропилпиперидин-4-илокси)хинолин-2-карбоновой кислоты (1:1) и трет-бутиламид (коммерчески доступен) |
370,3 |
| 6 |
Циклопропилметил-пропиламид 6-(1-изопропилпиперидин-4-илокси)хинолин-2-карбоновой кислоты |
409,57 |
Гидрохлорид 6-(1-изопропилпиперидин-4-илокси)хинолин-2-карбоновой кислоты (1:1) и циклопропилметил-пропиламид (коммерчески доступен) |
410,5 |
| 7 |
6-(1-Изопропилпиперидин-4-илокси)хинолин-2-ил]-(2-метилпиперидин-1-ил)метанон |
395,55 |
Гидрохлорид 6-(1-изопропилпиперидин-4-илокси)хинолин-2-карбоновой кислоты (1:1) и 2-метилпиперидин (коммерчески доступен) |
396,3 |
| 8 |
(4-Гидроксипиперидин-1-ил)-[6-(1-изопропилпиперидин-4-илокси)хинолин-2-ил]метанон |
397,52 |
Гидрохлорид 6-(1-изопропилпиперидин-4-илокси)хинолин-2-карбоновой кислоты (1:1) и 4-гидроксипиперидин (коммерчески доступен) |
398,4 |
| 9 |
[6-(1-Изопропилпиперидин-4-илокси)хинолин-2-ил]-(3-метилпиперидин-1-ил)метанон |
395,55 |
Гидрохлорид 6-(1-изопропилпиперидин-4-илокси)хинолин-2-карбоновой кислоты (1:1) и 3-метилпиперидин (коммерчески доступен) |
396,3 |
| 10 |
Гидрохлорид (3,4-дигидро-lH-изохинолин-2-ил)-[6-(3-пиперидин-1-илпропокси)нафталин-2-ил]метанон (1:1) |
369,51 |
Гидрохлорид 6-(1-изопропилпиперидин-4-илокси)хинолин-2-карбоновой кислоты (1:1) и изопропилметиламин (коммерчески доступен) |
370,4 |
Пример  |
Систематическое название |
ММ |
Исходные вещества |
ММ найден. (М+Н)+ |
| 11 |
[6-(1-Изопропилпиперидин-4-илокси)хинолин-2-ил]-тиоморфолин-4-илметанон |
399,56 |
Гидрохлорид 6-(1-изопропилпиперидин-4-илокси)хинолин-2-карбоновой кислоты (1:1) и тиоморфолин (коммерчески доступен) |
400,4 |
| 12 |
[6-(1-Изопропилпиперидин-4-илокси)хинолин-2-ил]-(2-трифторметилпирролидин-1-ил)метанон |
435,49 |
Гидрохлорид 6-(1-изопропилпиперидин-4-илокси)хинолин-2-карбоновой кислоты (1:1) и 2-трифторметилпирролидин (коммерчески доступен) |
436,4 |
| 13 |
Этил-(2-метоксиэтил)амид 6-(1-изопропилпиперидин-4-илокси)хинолин-2-карбоновой кислоты |
399,53 |
Гидрохлорид 6-(1-изопропилпиперидин-4-илокси)хинолин-2-карбоновой кислоты (1:1) и этил-(2-метоксиэтил)амин (коммерчески доступен) |
400,5 |
| 14 |
Азетидин-1-ил-[6-(1-изопропилпиперидин-4-илокси)хинолин-2-ил]метанон |
353,47 |
Гидрохлорид 6-(1-изопропилпиперидин-4-илокси)хинолин-2-карбоновой кислоты (1:1) и азетидин (коммерчески доступен) |
354,4 |
| 15 |
(3,6-Дигидро-2Н-пиридин-1-ил)-[6-(1-изопропилпиперидин-4-илокси)хинолин-2-ил]метанон |
379,5 |
Гидрохлорид 6-(1-изопропилпиперидин-4-илокси)хинолин-2-карбоновой кислоты (1:1) и 1,2,3,6-тетрагидропиридин (коммерчески доступен) |
380,5 |
| 16 |
(3-Фтороксетан-3-илметил)амид 6-(1-изопропилпиперидин-4-илокси)хинолин-2-карбоновой кислоты |
401,48 |
Гидрохлорид 6-(1-изопропилпиперидин-4-илокси)хинолин-2-карбоновой кислоты 1:1 и (3-фтороксетан-3-ил)-метиламин (коммерчески доступен) |
401,48 |
Пример  |
Систематическое название |
ММ |
Исходные вещества |
ММ найден. (М+H)+ |
| 17 |
(1-Метоксиметилцикло -пропилметил)амид 6-(1-изопропилпиперидин-4-илокси)хинолин-2-карбоновой кислоты |
411,55 |
Гидрохлорид 6-(1-изопропилпиперидин-4-илокси)хинолин-2-карбоновой кислоты (1:1) и (1-метоксиметилцикло-пропилметил)амин (коммерчески доступен) |
412,4 |
| 18 |
[2-(Тетрагидропиран-4-ил)этил]амид{6-(1-изопропилпиперидин-4-илокси)хинолин-2}-карбоновой кислоты |
425,57 |
Гидрохлорид 6-(1-изопропилпиперидин-4-илокси)хинолин-2-карбоновой кислоты (1:1) и 2-(тетрагидропиран-4-ил)этиламин (коммерчески доступен) |
426,4 |
| 19 |
[6-(1-Изопропилпиперидин-4-илокси)хинолин-2-ил]морфолин-4-илметанон |
383,4 |
Гидрохлорид 6-(1-изопропилпиперидин-4-илокси)хинолин-2-карбоновой кислоты (1:1) и морфолин (коммерчески доступен) |
384,3 |
| 20 |
Циклогексилметиламид 6-(1-изопропилпиперидин-4-илокси)хинолин-2-карбоновой кислоты |
409,57 |
Гидрохлорид 6-(1-изопропилпиперидин-4-илокси)хинолин-2-карбоновой кислоты (1:1) и циклогексилметиламид (коммерчески доступен) |
410,6 |
| 21 |
(4,4-Дифторпиперидин-1-ил)-[6-(1-изопропилпиперидин-4-илокси)хинолин-2-ил]метанон |
417,497 |
Гидрохлорид 6-(1-изопропилпиперидин-4-илокси)хинолин-2-карбоновой кислоты (1:1) и 4,4-дифторпиперидин (коммерчески доступен) |
418,3 |
| 22 |
(3-Гидроксипирролидин-1-ил)-[6-(1-изопропилпиперидин-4-илокси)хинолин-2-ил]метанон |
383,4 |
Гидрохлорид 6-(1-изопропилпиперидин-4-илокси)хинолин-2-карбоновой кислоты (1:1) и 3-гидроксипирролидин (коммерчески доступен) |
384,3 |
Пример  |
Систематическое название |
ММ |
Исходные вещества |
ММ найден. (М+Н)+ |
| 23 |
[6-(1-Изопропилпиперидин-4-илокси)хинолин-2-ил]-пирролидин-1-илметанон |
367,49 |
Гидрохлорид 6-(1-изопропилпиперидин-4-илокси)хинолин-2-карбоновой кислоты (1:1) и пирролидин (коммерчески доступен) |
368,2 |
| 24 |
(R)-1-[6-(1-Изопропилпиперидин-4-илокси)хинолин-2-карбонил]пирролидин-2-карбонитрил |
392,5 |
Гидрохлорид 6-(1-изопропилпиперидин-4-илокси)хинолин-2-карбоновой кислоты (1:1) и (R)-пирролидин-2-карбонитрил (коммерчески доступен) |
393,3 |
| 25 |
(1,1-Диоксотиоморфолин-4-ил)-[6-(1-изопропилпиперидин-4-илокси)хинолин-2-ил]метанон |
431,5 |
Гидрохлорид 6-(1-изопропилпиперидин-4-илокси)хинолин-2-карбоновой кислоты (1:1) и 1,1-диоксид тиоморфолина |
432,4 |
| 26 |
Диметиламид 6-(1-изопропилпиперидин-4-илокси)хинолин-2-карбоновой кислоты |
341,5 |
Гидрохлорид 6-(1-изопропилпиперидин-4-илокси)хинолин-2-карбоновой кислоты (1:1) и диметиламид (коммерчески доступен) |
342,2 |
Пример 27: (2,5-Дигидропиррол-1-ил)-[6-(1-изопропилпирролидин-3-илокси)хинолин-2-ил]метанон
Согласно методике, описанной для синтеза соединения примера 1, (2,5-дигидропиррол-1-ил)-[6-(1-изопропилпирролидин-3-илокси)хинолин-2-ил]метанон синтезируют из гидрохлорида 6-(1-изопропилпирролидин-3-илокси)хинолин-2-карбоновой кислоты (1:1) (промежуточное соединение 3) и 2,5-дигидропиррола (коммерчески доступен). Указанное в заголовке соединение получают с выходом 18% (5,7 мг) в виде почти белого твердого вещества. МС (m/e): 352,5 (MH+, 100%).
Соответственно последующие производные получены из гидрохлорида 6-(1-изопропилпирролидин-3-илокси)хинолин-2-карбоновой кислоты (1:1) и соответствующих аминов. Результаты приведены в таблице 2 и включают примеры от 28 до 46.
| Таблица 2 |
Пример  |
Систематическое название |
ММ |
Исходные соединения |
ММ найден. (М+Н)+ |
| 28 |
([6-(1-Изопропилпирролидин-3-илокси)хинолин-2-ил]-(4-метоксипиперидин-1-ил)метанон |
397,52 |
Гидрохлорид 6-(1-изопропилпирролидин-3-илокси)хинолин-2-карбоновой кислоты (1:1) и 4-метоксипиперидин |
398,4 |
| 29 |
Этилметиламид 6-(1-изопропилпирролидин-3-илокси)хинолин-2-карбоновой кислоты |
341,45 |
Гидрохлорид 6-(1-изопропилпирролидин-3-илокси)хинолин-2-карбоновой кислоты (1:1) и этилметиламид (коммерчески доступен) |
342,2 |
| 30 |
([6-(1-Изопропил-пирролидин-3-илокси)хинолин-2-ил]-(4-метилпиперидин-1-ил)метанон |
381,52 |
Гидрохлорид 6-(1-изопропилпирролидин-3-илокси)хинолин-2-карбоновой кислоты (1:1) и 4-метилпиперидин (коммерчески доступен) |
382,3 |
| 31 |
[6-(1-изопропил-пирролидин-3-илокси)-хинолин-2-ил]-(2-метилпирролидин-1-ил)метанон |
367,49 |
Гидрохлорид 6-(1-изопропилпирролидин-3-илокси)хинолин-2-карбоновой кислоты (1:1) и 2-метилпирролидин (коммерчески доступен) |
368,3 |
| 32 |
трет-Бутиламид 6-(1-изопропилпирролидин-3-илокси)хинолин-2-карбоновой кислоты |
355,48 |
Гидрохлорид 6-(1-изопропилпирролидин-3 -илокси)хинолин-2-карбоновой кислоты (1:1) и трет-бутиламид (коммерчески доступен) |
356,4 |
| 33 |
Циклопропилметилпропил-амид 6-(1-изопропил-пирролидин-3-илокси)хинолин-2-карбоновой кислоты |
395,55 |
Гидрохлорид 6-(1-изопропилпирролидин-3-илокси)хинолин-2-карбоновой кислоты (1:1) и циклопропилметил-пропиламид (коммерчески доступен) |
396,3 |
| 34 |
{[6-(1-Изопропил-пирролидин-3-илокси)хинолин-2-ил]-(2-метилпиперидин-1-ил)}метанон |
381,52 |
Гидрохлорид 6-(1-изопропилпирролидин-3-илокси)хинолин-2-карбоновой кислоты (1:1) и 2-метилпиперидин (коммерчески доступен) |
382,3 |
Пример  |
Систематическое название |
ММ |
Исходные соединения |
ММ найден. (М+Н)+ |
| 35 |
[6-(1-Изопропил-пирролидин-3-илокси)хинолин-2-ил]-(3-метилпиперидин-1-ил)метанон |
381,52 |
Гидрохлорид 6-(1-изопропилпирролидин-3-илокси)хинолин-2-карбоновой кислоты (1:1) и 3-метилпиперидин (коммерчески доступен) |
382,3 |
| 36 |
Изопропилметиламид 6-(1-изопропилпирролидин-3 -илокси)хинолин-2-карбоновой кислоты |
355,48 |
Гидрохлорид 6-(1-изопропилпирролидин-3-илокси)хинолин-2-карбоновой кислоты (1:1) и изопропилметиламин (коммерчески доступен) |
356,4 |
| 37 |
[6-(1-Изопропилпирролидин-3-илокси)хинолин-2-ил]-тиоморфолин-4-илметанон |
385,53 |
Гидрохлорид 6-(1-изопропилпирролидин-3-илокси)хинолин-2-карбоновой кислоты (1:1) и тиоморфолин (коммерчески доступен) |
386,3 |
| 38 |
[6-(1-Изопропил-пирролидин-3-илокси)хинолин-2-ил]-(2-трифторметилпирролидин-1-ил)метанон |
421,46 |
Гидрохлорид 6-(1-изопропилпирролидин-3-илокси)хинолин-2-карбоновой кислоты (1:1) и 2-трифторметилпирролидин (коммерчески доступен) |
422,3 |
| 39 |
Этил-(2-метоксиэтил)амид 6-(1-изопропил-пирролидин-3-илокси)хинолин-2-карбоновой кислоты |
385,51 |
Гидрохлорид 6-(1-изопропилпирролидин-3-илокси)хинолин-2-карбоновой кислоты (1:1) и этил(2-метоксиэтил)амин (коммерчески доступен) |
386,4 |
| 40 |
Азетидин-1-ил-[6-(1-изопропилпирролидин-3-илокси)хинолин-2-ил]метанон |
339,44 |
Гидрохлорид 6-(1-изопропилпирролидин-3-илокси)хинолин-2-карбоновой кислоты (1:1) и азетидин (коммерчески доступен) |
340,3 |
| 41 |
(3,6-Дигидро-2Н-пиридин-1-ил)-[6-(1-изопропилпирролидин-3-илокси)хинолин-2-ил]метанон |
365,48 |
Гидрохлорид 6-(1-изопропилпирролидин-3-илокси)хинолин-2-карбоновой кислоты (1:1) и 1,2,3,6-тетрагидропиридин (коммерчески доступен) |
366,2 |
Пример  |
Систематическое название |
ММ |
Исходные соединения |
ММ найден, (М+H)+ |
| 42 |
(3-Фтороксетан-3-илметил)амид 6-(1-изопропилпирролидин-3-илокси)хинолин-2-карбоновой кислоты |
387,45 |
Гидрохлорид 6-(1-изопропил-пирролидин-3-илокси)хинолин-2-карбоновой кислоты (1:1) и (3-фтороксетан-3-ил)метиламин |
388,3 |
| 43 |
(1-Метоксиметил-циклопропилметил)амид 6-(1-изопропилпирролидин-3-илокси)хинолин-2-карбоновой кислоты |
397,52 |
Гидрохлорид 6-(1-изопропилпирролидин-3-илокси)хинолин-2-карбоновой кислоты (1:1) и (1-метоксиметил-циклопропил)метиламин |
398,4 |
| 44 |
[2-(Тетрагидропиран-4-ил)этил]амид 6-(1-изопропилпирролидин-3-илокси)хинолин-2-карбоновой кислоты |
411,55 |
Гидрохлорид 6-(1-изопропилпирролидин-3-илокси)хинолин-2-карбоновой кислоты (1:1) и 2-(тетрагидропиран-4-ил)-этиламин |
412,4 |
| 45 |
(4,4-Дифторпиперидин-1-ил)-[6-(1-изопропил-пирролидин-3-илокси)хинолин-2-ил]метанон |
403,5 |
Гидрохлорид 6-(1-изопропилпирролидин-3-илокси)хинолин-2-карбоновой кислоты (1:1) и 4,4-дифторпиперидин (коммерчески доступен) |
404,4 |
| 46 |
[6-(1-Изопропилпиперидин-4-илокси)хинолин-2-ил]морфолин-4-илметанон |
369,4 |
Гидрохлорид 6-(1-изопропилпирролидин-3-илокси)хинолин-2-карбоновой кислоты (1:1) и морфолин (коммерчески доступен) |
370,3 |
Пример 47: (4-Метоксипиперидин-1-ил)-[6-(3-пиперидин-1-илпропокси)хинолин-2-ил]метанон
Согласно методике, описанной для синтеза соединения примера 1, (4-метоксипиперидин-1-ил)-[6-(3-пиперидин-1-илпропокси)хинолин-2-ил]метанон получают из гидрохлорида 6-(3-пиперидин-1-илпропокси)хинолин-2-карбоновой кислоты (1:1) (промежуточное соединение 4) и 4-метоксипиперидина (коммерчески доступен). Указанное в заголовке соединение получено с выходом 22% (7,8 мг) в виде почти белого твердого вещества. МС (m/e): 412,4 (МН+, 100%).
Соответственно последующие производные получают из гидрохлорида 6-(3-пиперидин-1-илпропокси)хинолин-2-карбоновой кислоты (1:1) и соответствующих аминов. Результаты приведены в таблице 3 и включают примеры от 48 до 66.
| Таблица 3 |
Пример  |
Систематическое название |
ММ |
Исходные соединения |
ММ найден. (М+Н)+ |
| 48 |
(4-Метилпиперидин-1-ил)-[6-(3-пиперидин-1-илпропокси)хинолин-2-ил]метанон |
395,55 |
Гидрохлорид 6-(3-пиперидин-1-ил-пропокси)хинолин-2-карбоновой кислоты (1:1) и 4-метилпиперидин (коммерчески доступен) |
396,3 |
| 49 |
Морфолин-4-ил-[6-(3-пиперидин-1-илпропокси)хинолин-2-ил]метанон |
383,49 |
Гидрохлорид 6-(3-пиперидин-1-ил-пропокси)хинолин-2-карбоновой кислоты (1:1) и морфолин (коммерчески доступен) |
384,3 |
| 50 |
(2-Метилпирролидин-1-ил)[6-(3-пиперидин-1-илпропокси)хинолин-2-ил]метанон |
381,52 |
Гидрохлорид 6-(3-пиперидин-1-ил-пропокси)хинолин-2-карбоновой кислоты (1:1) и 2-метилпирролидин (коммерчески доступен) |
382,4 |
| 51 |
Циклопропилметил-пропиламид 6-(3-пиперидин-1-илпропокси)хинолин-2-карбоновой кислоты |
409,57 |
Гидрохлорид 6-(3-пиперидин-1-илпропокси)хинолин-2-карбоновой кислоты (1:1) и циклопропилметил-пропиламид (коммерчески доступен) |
410,4 |
| 52 |
[6-(3-Пиперидин-1-илпропокси)хинолин-2-ил](2-трифторметил-пирролидин-1-ил)метанон |
435,49 |
Гидрохлорид 6-(3-пиперидин-1-ил-пропокси)хинолин-2-карбоновой кислоты (1:1) и 2-трифторметил-пирролидин (коммерчески доступен) |
436,3 |
Пример  |
Систематическое название |
ММ |
Исходные соединения |
ММ найден. (М+Н)+ |
| 53 |
(2,5-Дигидропиррол-1-ил)-[6-(3-пиперидин-1-илпропокси)хинолин-2-ил]метанон |
365,48 |
Гидрохлорид 6-(3-пиперидин-1-ил-пропокси)хинолин-2-карбоновой кислоты (1:1) и 2,5-дигидропиррол (коммерчески доступен) |
366,3 |
| 54 |
Этил(2-метоксиэтил)амид 6-(3 -пиперидин-1-илпропокси)хинолин-2-карбоновой кислоты |
399,53 |
Гидрохлорид 6-(3-пиперидин-1-ил-пропокси)хинолин-2-карбоновой кислоты (1:1) и этил(2-метокси этил)амин (коммерчески доступен) |
400,3 |
| 55 |
Азетидин-1-ил-[6-(3-пиперидин-1-илпропокси)хинолин-2-ил]метанон |
353,47 |
Гидрохлорид 6-(3-пиперидин-1-илпропокси)хинолин-2-карбоновой кислоты (1:1) и азетидин (коммерчески доступен) |
354,3 |
| 56 |
(3,6-Дигидро-2Н-пиридин-1-ил)-[6-(3-пиперидин-1-илпропокси)хинолин-2-ил]метанон |
379,5 |
Гидрохлорид 6-(3-пиперидин-1-илпропокси)хинолин-2-карбоновой кислоты (1:1) и 1,2,3,6-тетрагидропиридин (коммерчески доступен) |
380,4 |
| 57 |
(4,4-Дифторпиперидин-1-ил)-[6-(3-пиперидин-1-илпропокси)хинолин-2-ил]метанон |
417,5 |
Гидрохлорид 6-(3-пиперидин-1-ил-пропокси)хинолин-2-карбоновой кислоты (1:1) и 4,4-дифторпиперидин (коммерчески доступен) |
418,4 |
| 58 |
Циклогексилметиламид 6-(3-пиперидин-1-илпропокси)хинолин-2-карбоновой кислоты |
409,57 |
Гидрохлорид 6-(3-пиперидин-1-илпропокси)хинолин-2-карбоновой кислоты (1:1) и циклогексилметиламид (коммерчески доступен) |
410,4 |
Пример  |
Систематическое название |
ММ |
Исходные соединения |
ММ найден. (М+Н)+ |
| 59 |
(1-Метоксиметил-циклопропилметил)амид 6-(3-пиперидин-1-илпропокси)хинолин-2-карбоновой кислоты |
411,55 |
Гидрохлорид 6-(3-пиперидин-1-илпропокси)хинолин-2-карбоновой кислоты (1:1) и (1-метоксиметил-циклопропилметил)амин (коммерчески доступен) |
412,4 |
| 60 |
(3-Фтороксетан-3-илметил)амид 6-(3-пиперидин-1-илпропокси)хинолин-2-карбоновой кислоты |
401,48 |
Гидрохлорид 6-(3-пиперидин-1-илпропокси)хинолин-2-карбоновой кислоты (1:1) и (3-фтороксетан 3-ил)метиламин (коммерчески доступен) |
402,4 |
| 61 |
6-(3-пиперидин-1-ил-пропокси)хинолин-2-карбоновой кислоты[2-(тетрагидропиран-4-ил)-этил]амид |
425,57 |
Гидрохлорид 6-(3-пиперидин-1-илпропокси)хинолин-2-карбоновой кислоты (1:1) и 2-(тетрагидропиран-4-ил)этиламин (коммерчески доступен) |
426,3 |
| 62 |
(Тетрагидропиран-4-ил)амид 6-(3-пиперидин-1-илпропокси)хинолин-2-карбоновой кислоты |
397,52 |
Гидрохлорид 6-(3-пиперидин-1-илпропокси)хинолин-2-карбоновой кислоты (1:1) и 4-аминотетрагидро-пиран (коммерчески доступен) |
398,3 |
| 63 |
(2-Метилпиперидин-1-ил)-[6-(3-пиперидин-1-илпропокси)хинолин-2-ил]метанон |
395,55 |
Гидрохлорид 6-(3-пиперидин-1-илпропокси)хинолин-2-карбоновой кислоты (1:1) и 2-метилпиперидин (коммерчески доступен) |
396,3 |
| 64 |
[6-(3-Пиперидин-1-илпропокси)хинолин-2-ил]пирролидин-1-илметанон |
367,49 |
Гидрохлорид 6-(3-пиперидин-1-илпропокси)хинолин-2-карбоновой кислоты (1:1) и пирролидин (коммерчески доступен) |
368,2 |
Пример  |
Систематическое название |
ММ |
Исходные соединения |
ММ найден. (М+Н)+ |
| 65 |
(R)-1-[6-(3-Пиперидин-1-илпропокси)хинолин-2-карбонил]пирролидин-2-карбонитрил |
392,5 |
Гидрохлорид 6-(3-пиперидин-1-илпропокси)хинолин-2-карбоновой кислоты (1:1) и (R)-пирролидин-2-карбонитрил (коммерчески доступен) |
393,3 |
| 66 |
(1,1-Диоксотиоморфолин-4-ил)-[6-(3-пиперидин-1-илпропокси)хинолин-2-ил]метанон |
431,55 |
Гидрохлорид 6-(3-пиперидин-1-илпропокси)хинолин-2-карбоновой кислоты (1:1)) и 1,1-диоксид тиоморфолина |
432,4 |
Пример 67: (4-Метилпиперидин-1-ил)-{6-[2-(1-метилпирролидин-2-ил)этокси]хинолин-2-ил}метанон
Согласно методике, описанной для синтеза соединения примера 1, (4-метилпиперидин-1-ил)-{6-[2-(1-метилпирролидин-2-ил)этокси]хинолин-2-ил}метанон получают из гидрохлорида 6-[2-(1-метилпирролидин-2-ил)этокси]хинолин-2-карбоновой кислоты (1:1) (промежуточное соединение 5) и 4-метилпиперидина (коммерчески доступен). Указанное в заголовке соединение получено с выходом 13% (4,2 мг) в виде белого твердого вещества. МС (m/e): 382,4 (МН+, 100%).
Согласно методике, описанной для синтеза примера 67, последующие производные получают из гидрохлорида 6-[2-(1-метилпирролидин-2-ил)этокси]хинолин-2-карбоновой кислоты (1:1) и соответствующих аминов. Результаты приведены в таблице 4 и содержат примеры от 68 до 76.
| Таблица 4 |
Пример  |
Систематическое название |
ММ |
Исходные соединения |
ММ найденная (M+H)+ |
| 68 |
{6-[2-(1-Метилпирролидин-2-ил)этокси]хинолин-2-ил}пирролидин-1-илметанон |
353,47 |
Гидрохлорид 6-[2-(1-метилпирролидин-2-ил)этокси]хинолин-2-карбоновой кислоты (1:1) и пирролидин (коммерчески доступен) |
354,3 |
| 69 |
(R)-1-{6-[2-(1-Метилпирролидин-2-ил)этокси]хинолин-2-карбонил}пирролидин-2-карбонитрил |
378,48 |
Гидрохлорид 6-[2-(1-метилпирролидин-2-ил)этокси]хинолин-2-карбоновой кислоты (1:1) и (R)-пирролидин-2-карбонитрил (коммерчески доступен) |
379,4 |
| 70 |
(1,1-Диоксотиоморфолин-4-ил)-{6-[2-(1-метилпирролидин-2-ил)этокси]хинолин-2-ил}метанон |
417,53 |
Гидрохлорид 6-[2-(1-метилпирролидин-2-ил)этокси]хинолин-2-карбоновой кислоты (1:1) и 1,1-диоксид тиоморфолина |
418,4 |
| 71 |
(4-Метоксипиперидин-1-ил)-{6-[2-(1-метилпирролидин-2-ил)этокси]хинолин-2-ил}метанон |
397,52 |
Гидрохлорид 6-[2-(1-метилпирролидин-2-ил)этокси]хинолин-2-карбоновой кислоты (1:1) и 4-метоксипиперидин (коммерчески доступен) |
398,3 |
| 72 |
{6-[2-(1-Метил-пирролидин-2-ил)этокси]хинолин-2-ил} морфолин-4-илметанон |
369,46 |
Гидрохлорид 6-[2-(1-метилпирролидин-2-ил)этокси]хинолин-2-карбоновой кислоты (1:1) и морфолин (коммерчески доступен) |
370,3 |
Пример  |
Систематическое название |
ММ |
Исходные соединения |
ММ найденная (М+Н)+ |
| 73 |
Азетидин-1-ил-{6-[2-(1-метилпирролидин-2-ил)этокси]хинолин-2-ил}метанон |
339,44 |
Гидрохлорид 6-[2-(1-метилпирролидин-2-ил)этокси]хинолин-2-карбоновой кислоты (1:1) и азетидин (коммерчески доступен) |
340,3 |
| 74 |
[2-(Тетрагидропиран-4-ил)этил]амид 6-[2-(1-метилпирролидин-2-ил)этокси]хинолин-2-карбоновой кислоты |
411,55 |
Гидрохлорид 6-[2-(1-метилпирролидин-2-ил)этокси]хинолин-2-карбоновой кислоты (1:1) и 2-(тетрагидропиран-4-ил)этиламин (коммерчески доступен) |
412,4 |
| 75 |
(3-Фтороксетан-3-илметил)амид 6-[2-(1-метилпирролидин-2-ил)этокси]хинолин-2-карбоновой кислоты |
387,45 |
Гидрохлорид 6-[2-(1-метилпирролидин-2-ил)этокси]хинолин-2-карбоновой кислоты (1:1) и (3-фтороксетан-3-ил)метиламин (коммерчески доступен) |
388,3 |
| 76 |
(2-Метилпирролидин-1-ил)-{6-[2-(1-метилпирролидин-2-ил)этокси]хинолин-2-ил}метанон |
367,49 |
Гидрохлорид 6-[2-(1-метилпирролидин-2-ил)этокси]хинолин-2-карбоновой кислоты (1:1) и 2-метилпирролидин (коммерчески доступен) |
368,2 |
Пример 77: (S)-1-[6-(1-Изопропилпиперидин-4-илокси)хинолин-2-карбонил]пирролидин-2-карбонитрил
Согласно методике, описанной для синтеза соединения примера 1, (S)-1-[6-(1-изопропилпиперидин-4-илокси)хинолин-2-карбонил]пирролидин-2-карбонитрил получают из гидрохлорида 6-(1-изопропилпиперидин-4-илокси)хинолин-2-карбоновой кислоты (1:1), (S)-цианопирролидина (коммерчески доступен) и тетрафторбората O-(бензотриазол-1-ил)-N,N,N’,N’-тетраметилурония вместо 1,1′-карбонилдиимидазола. Указанное в заголовке соединение получают с выходом 45% (50 мг) в виде бесцветной пены. МС (m/e): 392,9 (М).
Пример 78: [6-(1-Изопропилпиперидин-4-илокси)хинолин-2-ил]-(4-метилпиперидин-1-ил)метанон
Согласно методике, описанной для синтеза соединения примера 1, [6-(1-изопропилпиперидин-4-илокси)хинолин-2-ил]-(4-метилпиперидин-1-ил)метанон получают из гидрохлорида 6-(1-изопропилпиперидин-4-илокси)хинолин-2-карбоновой кислоты (1:1), 4-метилпиперидина (коммерчески доступен) и 1,1′-карбонилдиизоимидазола. МС (m/e): 396,6 (М+Н).
Пример 79: (4-Гидроксиметилпиперидин-1-ил)-[6-(1-изопропилпиперидин-4-илокси)хинолин-2-ил]метанон
Согласно методике, описанной для синтеза соединения примера 1, (4-гидроксиметилпиперидин-1-ил)-[6-(1-изопропилпиперидин-4-илокси)хинолин-2-ил]метанон получают из гидрохлорида 6-(1-изопропилпиперидин-4-илокси)хинолин-2-карбоновой кислоты (1:1), 4-гидроксиметилпиперидина (коммерчески доступен) и 1,1′-карбонилдиизоимидазола. МС (m/e): 412,5 (М+Н).
Пример 80: Изобутиламид 6-(1-изопропилпиперидин-4-илокси)хинолин-2-карбоновой кислоты
Согласно методике, описанной для синтеза соединения примера 1, изобутиламид (6-(1-изопропилпиперидин-4-илокси)хинолин-2-карбоновой кислоты получают из гидрохлорида 6-(1-изопропилпиперидин-4-илокси)хинолин-2-карбоновой кислоты (1:1), изобутиламина (коммерчески доступен) и 1,1′-карбонилдиимидазола. МС (m/e): 370,6 (М+Н).
Пример 81: Циклогексилметиламид 6-(1-изопропилпирролидин-3-илокси)хинолин-2-карбоновой кислоты
Согласно методике, описанной для синтеза соединения примера 27, циклогексилметиламид 6-(1-изопропилпирролидин-3-илокси)хинолин-2-карбоновой кислоты получают из гидрохлорида 6-(1-изопропилпирролидин-3-окси)хинолин-2-карбоновой кислоты (1:1) (промежуточное соединение 3), N-метилциклогексиламина (коммерчески доступен) и 1,1′-карбонилдиимидазола. МС (m/e): 396,4 (М+Н).
Пример А
Таблетки, покрытые оболочкой, содержащие следующие ингредиенты, могут быть получены стандартным методом:
| Ингредиенты |
На таблетку |
 |
| Сердцевина: |
 |
 |
| Соединение формулы (I) |
10,0 мг |
200,0 мг |
| Микрокристаллическая целлюлоза |
23,5 мг |
43,5 мг |
| Водная лактоза |
60,0 мг |
70,0 мг |
| Полидон К30 |
12,5 мг |
15,0 мг |
| Натрий крахмал гликолят |
12,5 мг |
17,0 мг |
| Стеарат магния |
1,5 мг |
4,5 мг |
| (Масса сердцевины) |
120,0 мг |
350,0 мг |
| Оболочка: |
 |
 |
| Гидроксипропилметилцеллюлоза |
3,5 мг |
7,0 мг |
| Полиэтиленгликоль 6000 |
0,8 мг |
1,6 мг |
| Тальк |
1,3 мг |
2,6 мг |
| Оксид железа (желтый) |
0,8 мг |
1,6 мг |
| Диоксид титана |
0,8 мг |
1,6 мг |
Активные ингредиенты просеивают, смешивают с микрокристаллической целлюлозой и гранулируют смесь в растворе поливинилпирролидона в воде. Гранулят смешивают с натрий крахмал гликолятом и стеаратом магния и прессуют, получая сердцевину таблеток массой 120 или 350 мг соответственно. Сердцевину лакируют с помощью водного раствора / суспензии упомянутой выше пленочной оболочки.
Пример Б
Капсулы, содержащие следующие ингредиенты, могут быть получены стандартным методом:
| Ингредиенты |
На капсулу |
| Соединение формулы (I) |
25,0 мг |
| Лактоза |
150,0 мг |
| Кукурузный крахмал |
20,0 мг |
| Тальк |
5,0 мг |
Компоненты просеивают, смешивают и вносят в капсулы размера 2.
Пример В
Инъекционные растворы могут иметь следующий состав:
| Соединение формулы (I) |
3,0 мг |
| Желатин |
150,0 мг |
| Фенол |
4,7 мг |
| Карбонат натрия |
до получения конечного рН 7 |
| Вода для инъекционных растворов |
до 1,0 мл |
Пример Г
Мягкие желатиновые капсулы, содержащие следующие ингредиенты, могут быть получены стандартным методом:
| Содержимое капсул |
 |
| Соединение формулы (I) |
5,0 мг |
| Желтый воск |
8,0 мг |
| Гидрированное соевое масло |
8,0 мг |
| Частично гидрированные растительные масла |
34,0 мг |
| Соевое масло |
110,0 мг |
| Масса содержимого капсул |
165,0 мг |
| Желатиновая капсула |
 |
| Желатин |
75,0 мг |
| Глицерин 85%-ный |
32,0 мг |
| Карион 83 |
8,0 мг (сухого вещества) |
| Диоксид титана |
0,4 мг |
| Оксид железа (желтый) |
1,1 мг |
Активный ингредиент растворяют в теплом расплаве других ингредиентов и смесью заполняют мягкие желатиновые капсулы соответствующего размера. Заполненные мягкие желатиновые капсулы обрабатывают с использованием обычных методов.
Пример Д
Саше, содержащие следующие ингредиенты, могут быть получены стандартным методом:
| Соединение формулы (I) |
50,0 мг |
| Лактоза, мелкоизмельченный порошок |
1015,0 мг |
| Микрокристаллическая целлюлоза (AVICEL РН 102) |
1400,0 мг |
| Натрийкарбоксиметилцеллюлоза |
14,0 мг |
| Поливинилпирролидон К30 |
10,0 мг |
| Стеарат магния |
10,0 мг |
| Вкусовые добавки |
1,0 мг |
Активный ингредиент смешивают с лактозой, микрокристаллической целлюлозой и натрийкарбоксиметилцеллюлозой, а затем гранулируют со смесью поливинилпирролидона в воде. Гранулят смешивают со стеаратом магния и вкусовыми добавками и вносят в саше.
Формула изобретения
1. Соединения общей формулы
 где R1 выбирают из группы, включающей водород, низший алкил, циклоалкил или низший циклоалкилалкил, где циклоалкильное кольцо может быть замещено низшим алкоксиалкилом, низший алкоксиалкил, и тетрагидропиранил и низший гетероциклилалкил, где гетероциклическое кольцо представляет собой оксетанил или тетрагидропиранил, которое может быть замещено галогеном; R2 выбирают из группы, включающей водород, низший алкил, циклоалкил или низший циклоалкилалкил, где циклоалкильное кольцо может быть замещено низшим алкоксиалкилом, низший алкоксиалкил, и тетрагидропиранил и низший гетероциклилалкил, где гетероциклическое кольцо представляет собой оксетанил или тетрагидропиранил, которое может быть замещено галогеном; или R1 и R2 вместе с атомом азота, к которому они присоединены, образуют 4-, 5- или 6-членное насыщенное или частично ненасыщенное гетероциклическое кольцо, необязательно содержащее, к тому же, гетероатом, выбранный из кислорода или серы, при этом указанное насыщенное или частично ненасыщенное гетероциклическое кольцо является незамещенным или замещенным одной или двумя группами, независимо выбранными из группы, состоящей из низшего алкила, галогена, галогеналкила, цианогруппы, гидроксигруппы, низшего гидроксиалкила, низшей алкоксигруппы, оксогруппы; А выбирают из
 или  где m обозначает 0 или 1; R3 обозначает низший алкил; n обозначает 0; R4 обозначает низший алкил; р обозначает 1; q обозначает 0, 1 или 2; R5 обозначает водород; и их фармацевтически приемлемые соли.
2. Соединения формулы I по п.1, где R1 выбирают из группы, включающей водород, низший алкил, циклоалкил или низший циклоалкилалкил, где циклоалкильное кольцо может быть замещено низшим алкоксиалкилом, низший алкоксиалкил, и низший гетероциклилалкил, где гетероциклическое кольцо представляет собой оксетанил или татрагидропиранил, которое может быть замещено галогеном; и R2 обозначает водород или низший алкил.
3. Соединения формулы I по п.1, где R1 выбирают группы, включающей низший алкил, циклоалкил или низший циклоалкилалкил, где циклоалкильное кольцо может быть замещено низшим алкоксиалкилом, низший алкоксиалкил, и низший гетероциклилалкил, где гетероциклическое кольцо представляет собой оксетанил или тетрагидропиранил, которое может быть замещено галогеном; и R2 обозначает водород или низший алкил.
4. Соединения формулы I по п.3, где R1 и R2 обозначают низший алкил.
5. Соединения формулы I по п.1, где R1 и R2 вместе с атомом азота, к которому они присоединены, образуют 4-, 5- или 6-членное насыщенное или частично ненасыщенное гетероциклическое кольцо, необязательно содержащее, к тому же, гетероатом, выбранный из кислорода или серы, при этом указанное гетероциклическое кольцо является незамещенным или замещенным одной или двумя группами независимо выбранными из низшего алкила, галогена, галогеналкила, цианогруппы, гидроксигруппы, низшей алкоксигруппы, оксогруппы.
6. Соединения формулы I по п.1, где R1 и R2 вместе с атомом азота, к которому они присоединены, образуют гетероциклическое кольцо, выбранное из группы, включающей морфолин, пиперидин, 2,5-дигидропиррол, пирролидин, азетидин, тиоморфолин, при этом указанное гетероциклическое кольцо является незамещенным или замещенным одной или двумя группами независимо выбранными из низшего алкила, галогена, галогеналкила, цианогруппы, гидроксигруппы, низшей алкоксигруппы и оксогруппы.
7. Соединения формулы I по п.1, где R1 и R2 вместе с атомом азота, к которому они присоединены, образуют гетероциклическое кольцо, выбранное из морфолинила, тиоморфолинила, 1,1-диоксотиоморфолинила, пиперидинила, 2-метилпиперидинила, 3-метилпиперидинила, 4-гидроксипиперидинила, 4,4-дифторпиперидинила, 2,5-дигидропирролила, 4-метилпиперидинила, пирролидинила, 2-метилпирролидинила, 2-трифторметилпирролидинила, 2-цианопирролидинила, 3-гидроксипирролидинила и азетидинила.
8. Соединения формулы I по п.1, где А обозначает
, где m обозначает 0 или 1, и R3 обозначает низший алкил.
9. Соединения формулы I по п.8, где m обозначает 0.
10. Соединения формулы I по п.8, где m обозначает 1.
11. Соединения формулы I по п.1, где А обозначает
, где n обозначает 0; и R4 обозначает низший алкил.
12. Соединения формулы I по п.1, где А обозначает
 где р обозначает 1, q обозначает 0, 1 или 2, и R5 обозначает водород.
13. Соединения формулы I по п.1, выбранные из группы, включающей: [6-(1-изопропилпиперидин-4-илокси)хинолин-2-ил]-(4-метоксипиперидин-1-ил)метанон, (2,5-дигидропиррол-1-ил)-[6-(1-изопропилпиперидин-4-илокси)хинолин-2-ил]метанон, этилметиламид 6-(1-изопропилпиперидин-4-илокси)хинолин-2-карбоновой кислоты, [6-(1-изопропилпиперидин-4-илокси)хинолин-2-ил]-(2-метилпирролидин-1-ил)метанон, трет-бутиламид 6-(1-изопропилпиперидин-4-илокси)хинолин-2-карбоновой кислоты, циклопропилметилпропиламид 6-(1-изопропилпиперидин-4-илокси)хинолин-2-карбоновой кислоты, 6-(1-изопропилпиперидин-4-илокси)хинолин-2-ил]-(2-метилпиперидин-1-ил)метанон, (4-гидроксипиперидин-1-ил)-[6-(1-изопропилпиперидин-4-илокси)хинолин-2-ил]метанон, [6-(1-изопропилпиперидин-4-илокси)хинолин-2-ил]-(3-метилпиперидин-1-ил)метанон, гидрохлорид (3,4-дигидро-1Н-изохинолин-2-ил)-[6-(3-пиперидин-1-илпропокси)нафталин-2-ил]метанона (1:1), [6-(1-изопропилпиперидин-4-илокси)хинолин-2-ил]тиоморфолин-4-илметанон, [6-(1-изопропилпиперидин-4-илокси)хинолин-2-ил]-(2-трифторметилпирролидин-1-ил)метанон, этил(2-метоксиэтил)амид 6-(1-изопропилпиперидин-4-илокси)хинолин-2-карбоновой кислоты, азетидин-1-ил-[6-(1-изопропилпиперидин-4-илокси)хинолин-2-ил]метанон, (3,6-дигидро-2Н-пиридин-1-ил)-[6-(1-изопропилпиперидин-4-илокси)хинолин-2-ил]метанон, (3-фтороксетан-3-илметил)амид 6-(1-изопропилпиперидин-4-илокси)хинолин-2-карбоновой кислоты, (1-метоксиметилциклопропилметил)амид 6-(1-изопропилпиперидин-4-илокси)хинолин-2-карбоновой кислоты, [2-(тетрагидропиран-4-ил)этил]амид{6-(1-изопропилпиперидин-4-илокси)хинолин-2-карбоновой кислоты, [6-(1-изопропилпиперидин-4-илокси)хинолин-2-ил]морфолин-4-илметанон, циклогексилметиламид 6-(1-изопропилпиперидин-4-илокси)хинолин-2-карбоновой кислоты, (4,4-дифторпиперидин-1-ил)-[6-(1-изопропилпиперидин-4-илокси)хинолин-2-ил]метанон, (3-гидроксипирролидин-1-ил)-[6-(1-изопропилпиперидин-4-илокси)хинолин-2-ил]метанон, [6-(1-изопропилпиперидин-4-илокси)хинолин-2-ил]пирролидин-1-илметанон, (R)-1-[6-(1-изопропилпиперидин-4-илокси)хинолин-2-карбонил]пирролидин-2-карбонитрил, (1,1-диоксотиоморфолин-4-ил)-[6-(1-изопропилпиперидин-4-илокси)хинолин-2-ил]метанон, диметиламид 6-(1-изопропилпиперидин-4-илокси)хинолин-2-карбоновой кислоты, (2,5-дигидропиррол-1-ил)-[6-(1-изопропилпирролидин-3-илокси)хинолин-2-ил]метанон, ([6-(1-изопропилпирролидин-3-илокси)хинолин-2-ил]-(4-метоксипиперидин-1-ил)метанон, этилметиламид 6-(1-изопропилпирролидин-3-илокси)хинолин-2-карбоновой кислоты, ([6-(1-изопропилпирролидин-3-илокси)хинолин-2-ил]-(4-метилпиперидин-1-ил)метанон, [6-(1-изопропилпирролидин-3-илокси)хинолин-2-ил]-(2-метилпирролидин-1-ил)метанон, трет-бутиламид 6-(1-изопропилпирролидин-3-илокси)хинолин-2-карбоновой кислоты, циклопропилметилпропиламид 6-(1-изопропилпирролидин-3-илокси)хинолин-2-карбоновой кислоты, [6-(1-изопропилпирролидин-3-илокси)хинолин-2-ил]-(2-метилпиперидин-1-ил)метанон, [6-(1-изопропилпирролидин-3-илокси)хинолин-2-ил]-(3-метилпиперидин-1-ил)метанон, изопропилметиламид 6-(1-изопропилпирролидин-3-илокси)хинолин-2-карбоновой кислоты, [6-(1-изопропилпирролидин-3-илокси)хинолин-2-ил]тиоморфолин-4-илметанон, [6-(1-изопропилпирролидин-3-илокси)хинолин-2-ил]-(2-трифторметилпирролидин-1-ил)метанон, этил-(2-метоксиэтил)амид 6-(1-изопропилпирролидин-3-илокси)хинолин-2-карбоновой кислоты, азетидин-1-ил-[6-(1-изопропилпирролидин-3-илокси)хинолин-2-ил]метанон, (3,6-дигидро-2Н-пиридин-1-ил)-[6-(1-изопропилпирролидин-3-илокси)хинолин-2-ил]метанон, (3-фтороксетан-3-илметил)амид 6-(1-изопропилпирролидин-3-илокси)хинолин-2-карбоновой кислоты, (1-метоксиметилциклопропилметил)амид 6-(1-изопропилпирролидин-3-окси)хинолин-2-карбоновой кислоты, [2-(тетрагидропиран-4-ил)этил]амид 6-(1-изопропилпирролидин-3-окси)хинолин-2-карбоновой кислоты, (4,4-дифторпиперидин-1-ил)-[6-(1-изопропилпирролидин-3-илокси)хинолин-2-ил]метанон, [6-(1-изопропилпиперидин-4-илокси)хинолин-2-ил]морфолин-4-илметанон, (4-метоксипиперидин-1-ил)-[6-(3-пиперидин-1-илпропокси)хинолин-2-ил]метанон, (4-метилпиперидин-1-ил)-[6-(3-пиперидин-1-илпропокси)хинолин-2-ил]метанон, морфолин-4-ил-[6-(3-пиперидин-1-илпропокси)хинолин-2-ил]метанон, (2-метилпирролидин-1-ил)-[6-(3-пиперидин-1-илпропокси)хинолин-2-ил]метанон, циклопропилметилпропиламид 6-(3-пиперидин-1-илпропокси)хинолин-2-карбоновой кислоты, [6-(3-пиперидин-1-илпропокси)хинолин-2-ил]-(2-трифторметилпирролидин-1 -ил)метанон, (2,5-дигидропиррол-1-ил)-[6-(3-пиперидин-1-илпропокси)хинолин-2-ил]метанон, этил-(2-метоксиэтил)амид 6-(3-пиперидин-1-илпропокси)хинолин-2-карбоновой кислоты, азетидин-1-ил-[6-(3-пиперидин-1-илпропокси)хинолин-2-ил]метанон, (3,6-дигидро-2Н-пиридин-1-ил)-[6-(3-пиперидин-1-илпропокси)хинолин-2-ил]метанон, (4,4-дифторпиперидин-1-ил)-[6-(3-пиперидин-1-илпропокси)хинолин-2-ил]метанон, циклогексилметиламид 6-(3-пиперидин-1-илпропокси)хинолин-2-карбоновой кислоты, (1-метоксиметилциклопропилметил)амид 6-(3-пиперидин-1-илпропокси)хинолин-2-карбоновой кислоты, (3-фтороксетан-3-илметил)амид 6-(3-пиперидин-1-илпропокси)хинолин-2-карбоновой кислоты, [2-(тетрагидропиран-4-ил)этил]амид 6-(3-пиперидин-1-илпропокси)хинолин-2-карбоновой кислоты, (тетрагидропиран-4-ил)амид 6-(3-пиперидин-1-илпропокси)хинолин-2-карбоновой кислоты, (2-метилпиперидин-1-ил)-[6-(3-пиперидин-1-илпропокси)хинолин-2-ил]метанон, [6-(3-пиперидин-1-илпропокси)хинолин-2-ил]пирролидин-1-илметанон, (R)-1-[6-(3-пиперидин-1-илпропокси)хинолин-2-карбонил]пирролидин-2-карбонитрил, (1,1-диоксотиоморфолин-4-ил)-[6-(3-пиперидин-1-илпропокси)хинолин-2-ил]метанон, (4-метилпиперидин-1-ил)-{6-[2-(1-метилпирролидин-2-ил)этокси]хинолин-2-ил}метанон, {6-[2-(1-метилпирролидин-2-ил)этокси]хинолин-2-ил}пирролидин-1-илметанон, (R)-1-{6-[2-(1-метилпирролидин-2-ил)этокси]хинолин-2-карбонил} пирролидин-2-карбонитрил, (1,1-диоксотиоморфолин-4-ил)-{6-[2-(1-метилпирролидин-2-ил)этокси]хинолин-2-ил} метанон, (4-метоксипиперидин-1-ил)-{6-[2-(1-метилпирролидин-2-ил)этокси]хинолин-2-ил}метанон, {6-[2-(1-метилпирролидин-2-ил)этокси]хинолин-2-ил}морфолин-4-илметанон, азетидин-1-ил-{6-[2-(1-метилпирролидин-2-ил)этокси]хинолин-2-ил}метанон, [2-(тетрагидропиран-4-ил)этил]амид 6-[2-(1-метилпирролидин-2-ил)этокси]хинолин-2-карбоновой кислоты, (3-фтороксетан-3-илметил)амид 6-[2-(1-метилпирролидин-2-ил)этокси]хинолин-2-карбоновой кислоты, (2-метилпирролидин-1-ил)-{6-[2-(1-метилпирролидин-2-ил)этокси]хинолин-2-ил}метанон, (S)-1-[6-(1-изопропилпиперидин-4-илокси)хинолин-2-карбонил]пирролидин-2-карбонитрил, [6-(1-изопропилпиперидин-4-илокси)хинолин-2-ил]-(4-метилпиперидин-1-ил)метанон, (4-гидроксиметилпиперидин-1-ил)-[6-(1-изопропилпиперидин-4-илокси)хинолин-2-ил]метанон, изобутиламид 6-(1-изопропилпиперидин-4-илокси)хинолин-2-карбоновой кислоты, циклогексилметиламид 6-(1-изопропилпирролидин-3-илокси)хинолин-2-карбоновой кислоты, и их фармацевтически приемлемые соли.
14. Соединения формулы I по п.1, выбранные из группы, включающей: [6-(1-изопропилпиперидин-4-илокси)хинолин-2-ил]-(4-метоксипиперидин-1-ил)метанон, [6-(1-изопропилпиперидин-4-илокси)хинолин-2-ил]-(2-метилпирролидин-1-ил)метанон, [6-(1-изопропилпиперидин-4-илокси)хинолин-2-ил]-(2-трифторметилпирролидин-1-ил)метанон, азетидин-1-ил-[6-(1-изопропилпиперидин-4-илокси)хинолин-2-ил]метанон, (3-фтороксетан-3-илметил)амид 6-(1-изопропилпиперидин-4-илокси)хинолин-2-карбоновой кислоты, (1-метоксиметилциклопропилметил)амид 6-(1-изопропилпиперидин-4-илокси)хинолин-2-карбоновой кислоты, [6-(1-изопропилпиперидин-4-илокси)хинолин-2-ил]пирролидин-1-илметанон, (R)-1-[6-(1-изопропилпиперидин-4-илокси)хинолин-2-карбонил]пирролидин-2-карбонитрил, азетидин-1-ил-[6-(3-пиперидин-1-илпропокси)хинолин-2-ил]метанон, (R)-1-[6-(3-пиперидин-1-илпропокси)хинолин-2-карбонил]пирролидин-2-карбонитрил, (S)-1-[6-(1-изопропилпиперидин-4-илокси)хинолин-2-карбонил]пирролидин-2-карбонитрил, и их фармацевтически приемлемые соли.
15. Фармацевтические композиции, обладающие антагонистическим действием в отношении рецептора гистамина 3 (Н3-рецепторов), содержащая в качестве активного ингредиента соединение по любому из пп.1-14, а также фармацевтически приемлемый носитель и/или адъювант.
16. Фармацевтические композиции по п.15 для лечения и/или профилактики болезней, связанных с модуляцией Н3-рецепторов.
17. Соединения по п.1, обладающие антагонистическим действием в отношении рецепторов гистамина 3 (Н3-рецепторов).
18. Соединения по п.1 для применения в качестве терапевтически активных веществ для лечения и/или профилактики болезней, связанных с модуляцией Н3-рецепторов.
|
|