|
|
(21), (22) Заявка: 2007117751/04, 14.10.2005
(24) Дата начала отсчета срока действия патента:
14.10.2005
(30) Конвенционный приоритет:
14.10.2004 EP 04024553.2
(43) Дата публикации заявки: 20.11.2008
(46) Опубликовано: 10.06.2010
(56) Список документов, цитированных в отчете о поиске:
WO 2004/067522 A1, 12.08.2004. WO 02/074756 A1, 26.09.2002. EP 0861826 A, 02.09.1998. EP 0074249 A1, 16.03.1983. WO 2004/0011449 A1, 05.02.2004. RU 2194044 C2, 10.12.2002.
(85) Дата перевода заявки PCT на национальную фазу:
14.05.2007
(86) Заявка PCT:
EP 2005/010970 20051014
(87) Публикация PCT:
WO 2006/042678 20060427
Адрес для переписки:
103735, Москва, ул. Ильинка, 5/2, ООО “Союзпатент”, пат.пов. А.П.Агурееву
|
(72) Автор(ы):
ГРАЙВИНГ Хельмут (DE)
(73) Патентообладатель(и):
ВИЛЕКС АГ (DE)
|
(54) СПОСОБ ОЧИСТКИ ПРОИЗВОДНЫХ 3-ГИДРОКСИАМИДИНОФЕНИЛАЛАНИНА ПУТЕМ ОСАЖДЕНИЯ И ПЕРЕКРИСТАЛЛИЗАЦИИ СОЛИ АРОМАТИЧЕСКОЙ СУЛЬФОНОВОЙ КИСЛОТОЙ
(57) Реферат:
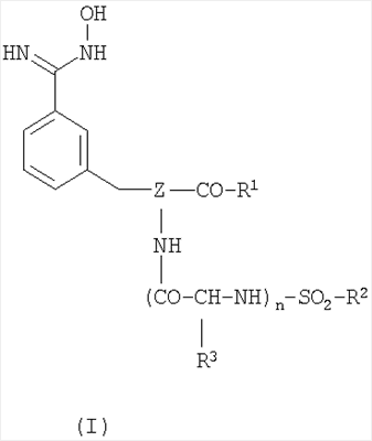
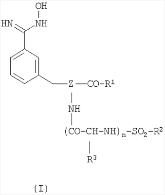
Настоящее изобретение относится к способу очистки производных 3-гидроксиамидинофенилаланина формулы (I), где R1, R2, R3 и Z раскрыты в описании настоящего изобретения. Способ включает в себя следующие этапы: (а) добавление в раствор ароматической сульфоновой кислоты производных, необязательно загрязненных, 3-гидроксиамидинофенилаланина с целью получения осадка, (b) отделение полученного на этапе (а) осадка и (с) рекуперация производного 3-гидроксиамидинофенилаланина из осадка. Кроме того, настоящее изобретение относится к получению высокоочищенных производных 3-амидинофенилаланина из 3-гидроксиамидинофенилаланина. Технический результат – повышение выхода и чистоты целевых продуктов синтеза. 3 н. и 17 з.п. ф-лы, 2 ил.
,
Область техники, к которой относится изобретение
Настоящее изобретение относится к получению высокоочищенных производных 3-гидроксиамидинофенилаланина, которые можно применять в качестве, например, ингибиторов урокиназы. Кроме того, настоящее изобретение относится к использованию высокоочищенных производных 3-гидроксиамидинофенилаланина для получения производных 3-амидинофенилаланина.
Система активатора плазминогенурокиназы (UPA-система) играет основную роль в метастазировании и, кроме того, в росте первичных опухолей, например, при раке груди, пищевода, поджелудочной железы, яичника и других твердых опухолях. Путем ингибирования UPA-системы лечебный эффект может быть достигнут на двух уровнях: во-первых, блокирование метастазирования и, во-вторых, ослабление роста первичной опухоли. Производные 3-амидинофенилаланина относятся к классу сильнодействующих ингибиторов урокиназы.
Получение производных 3-амидинофенилаланина, в частности N- -(2,4,6-триизопропилфенилсульфонил)-3-амидино-(L)-фенилаланин-4-этоксикарбонил-пиперазида (WX-UK1) и использование их в качестве ингибиторов урокиназы описано, например, в СН-А689611, WO 00/04954 и WO 00/17158, а также в статье Stürzebecher et аl. (Bioorg. Med. Chem. Let 9 (1999), 3147-3152). Применявшиеся при этом методы синтезирования обеспечивают, однако, как правило, относительно низкий выход продукта, так как в качестве нежелательного побочного продукта образуется гидролизированный TIPPS-OH. Проблема состоит в том, что желательный продукт реакции можно отделить от побочных продуктов только требующим больших затрат хроматографическим методом.
РСТ/ЕР03/08230 описывает способ получения производных 3-амидинофенилаланина через промежуточное соединение 3-гидроксиамидинофенилаланин. Эти производные оксамидина являются высокоспецифическими и селективными ингибиторами и имеют к тому же преимущество оральной биодоступности. Для известного из РСТ/ЕР03/08230 способа получения характерна, однако, проблема, состоящая в том, что промежуточные соединения оксамидина получают не в чистой форме и необходимы требующие больших затрат способы очистки, чтобы отделить, например, амидные промежуточные продукты. Как для последующего синтеза производных 3-амидинофенилаланина, так и фармацевтического применения самих производных оксамидина было бы, однако, предпочтительным иметь в распоряжении способ, которым можно было бы получать производные оксамидина с хорошей степенью выхода и высокой чистотой.
Раскрытие изобретения
Поэтому задачей настоящего изобретения было разработать такой способ, чтобы можно было получать производные аксамидина в высокочистой форме.
Эта задача решается способом очистки производных 3-гидроксиамидинофенилаланина, включающим 3 этапа:
(a) добавление в раствор ароматической сульфоновой кислоты при определенных условиях и загрязненных производных 3-гидроксиамидинофенилаланина с целью получения соли,
(b) отделение полученного на этапе (а) осадка и
(c) рекуперация (обратное возвращение) производных 3-гидроксиамидинофенилаланина из осадка.
Исходя из сути настоящего изобретения под «ароматической сульфоновой кислотой» понимают ароматическую или гетероароматическую моно- или олигоциклическую систему, которая замещена как минимум одной группой сульфоновой кислоты и/или сульфонатгруппой. Ароматическая или же гетероароматическая циклическая система может, кроме того, нести и другие заместители, которые, например, можно выбрать из C1-С6-алкила, C1-С3-алкокси, гидроксила, карбоксила, сульфонила, нитро, циано, оксо или/и галогена. В число пригодных ароматических или гетероароматических циклических систем входят, например, моно- и бициклы с количеством атомов углерода от 6 до 20 и числом гетероатомов, которые можно выбрать прежде всего из N, О и S, от 0 до 4.
Примерами пригодных ароматических сульфоновых кислот являются толуоловая и бензоловая моно- или/и дисульфоновая кислоты, а также производные нафталин-моно- или/и дисульфоновой кислот. Предпочтительны дисульфоновые кислоты с хорошей предрасположенностью к кристаллизации, например нафталиндисульфоновые кислоты. Наиболее предпочтительна нафталин-1,5-дисульфоновая кислота (кислота Армстронга). Ароматические дисульфоновые кислоты часто используют в красочной промышленности, где они представляют собой промежуточные продукты и проявляющие реагенты различных, в особенности основанных на нафталине, красителей.
Неожиданно оказалось, что ароматические сульфоновые кислоты, в особенности кислота Армстронга, особенно хорошо пригодны для осаждения производных 3-гидроксиамидинофенилаланина (оксамидинов) в форме соответствующих солей. Полученные таким образом соли осаждают из раствора исходных, возможно и загрязненных продуктов производного 3-гидроксиамидинофенилаланина. В качестве растворителей пригодны при этом, например, кетоны типа ацетона и пентанона, сложный эфир типа этилацетата, полярные простые эфиры типа тетрагидрофурана, простого эфира бис-(2-метоксиэтила) (DiGlyme), диоксана и простого эфира метил-трет-бутила, галогенированные растворители типа дихлорметана, а также нитрилы и неполярные спирты. Осадки можно отделять от раствора на последующем этапе (b) простым способом, например путем фильтрации.
Выделенную соль в последующем можно дополнительно очищать известными в уровне техники обычными способами очистки и высушивать. Таким способом можно в соответствии с изобретением повысить степень очистки производного 3-гидроксиамидинофенилаланина в еще большей степени.
Далее на этапе (с) рекупирируют производное 3-гидроксиамидинофенолаланина. Для этого, в соответствии с настоящим изобретением, можно провести реакцию обмена соответствующей соли сульфоновой кислоты, например с основаниями, которые имеют более высокую степень основности, чем у производных гидроксиамидинофенилаланина, в частности гидрокарбонатом натрия, но также и с неорганическими и органическими основаниями.
Тем самым настоящее изобретение дает возможность отделять простым и оригинальным путем загрязненные исходные продукты, промежуточные соединения и нежелательные продукты, прежде всего амидные загрязнители, от оксамидина.
Способ по настоящему изобретению особенно пригоден для очистки соединений оксамидина формулы (I)

которые могут быть представлены рацематами, а также имеющими L- или D-конфигурацию соединениями и в которых R1 обозначает группу формулы , в которой R4 обозначает
(i) в частности, C1-С6-алкил-, C1-С3-алкокси-, гидроксил-, карбоксил-, сульфонил-, нитро-, циано-, оксо- или/и галогензамещенный C1-С6-алкил, как, например, этоксикарбонил- или арил, как, например, фенил, пара-галогенфенил, нафтил,
(ii) насыщенный или ненасыщенный разветвленный или неразветвленный C1-С6-алкокси или
(iii) в частности, C1-С6-алкил-, C1-С3-алкокси-, гидроксил-, карбоксил-, сульфонил-, нитро-, циано-, оксо- или/и галогензамещенный фенокси или бензилоксикарбонил,
R2 обозначает, в частности, C1-С6-алкил-, C1-С3-алкокси-, гидроксил-, карбоксил-, сульфонил-, нитро-, циано-, оксо- или/и галогензамещенный фенильный остаток, как, например, фенил, 4-метилфенил, 2,4,6-триметилфенил, 2,4,6-триизопропилфенил, 4-метокси-2,3,6-триметилфенил,
R3 представляет собой Н или разветвленный или же неразветвленный С1-С4-алкил и
n обозначает 0 или 1,
Z обозначает N или CR9, где R9 является Н или разветвленным или неразветвленным С1-С4-алкилом.
В соответствии с одним из аспектов изобретения способ предпочтительно можно использовать для выделения N- -(2,4,6-триизопропилфенилсульфонил)-3-гидроксиамидино-(L)-фенилаланин-4-этоксикарбонилпиперазида в высокоочищенной форме.
При использовании известных до настоящего времени способов получения производных оксамидина образуется соединение оксамидина, для которого характерны низкая степень чистоты и большое, до 30%, содержание примеси амида, а также наличие примесей исходных продуктов и неизвестных соединений. По способу настоящего изобретения удается получать чистый оксамидин. Предпочтительно получают оксамидин с чистотой более чем 90%, еще предпочтительнее более чем 95% и наиболее предпочтительно более чем 99%.
В соответствии со следующим аспектом настоящего изобретения при соответствующем изобретению способе очистки не происходит рацемирования, поэтому получают энантиомерно чистые продукты оксамидина.
В соответствии с одним из вариантов осуществления изобретения соответствующая изобретению очистка может быть частью способа получения производных 3-амидинофенилаланина. Предпочтительный способ получения включает следующие этапы:
(i) реакция обмена N-защищенного 3-цианофенилаланина с производным пиперазина с образованием N-защищенного 3-цианофенилаланинпиперазида,
(ii) реакция обмена с при необходимости замещенным фенилсульфонилгалогенидом, в частности с TIPPS-галогенидом;
(iii) превращение цианогруппы в гидроксиамидиногруппу,
(iv) очистка ароматической сульфоновой кислотой по вышеописанному способу.
В соответствии с этапом (i) соответствующего изобретению способа происходит реакция обмена N-защищенного 3-цианофенилаланина с производным пиперазина. Термин «производное пиперазина», исходя из существа настоящего изобретения, охватывает пиперазин и его производные, причем при необходимости могут быть замещены до четырех атомов углерода в цикле и/или не более чем один атом азота кольца. Предпочтительно используют производные пиперазина, которые несут на одном из обоих атомов азота один заместитель.
Примерами пригодных заместителей являются C1-С6алкил, насыщенные или ненасыщенный, разветвленный или неразветвленный C1-С6алкокси, фенокси- или фенилоксикарбонил и арил, как, например, фенил, пара-галогенфенил и нафтил. В свою очередь, каждый из них может быть при необходимости замещен независимо друг от друга, например, C1-С6 алкилом, C1-С3алкокси-, гидроксилом, карбоксилом, сульфонилом, нитро, циано, оксо или/и галогеном.
В соответствии с настоящим изобретением для защиты атома аминного азота используемого на этапе (i) 3-цианофенилаланина можно использовать любые защитные группы. Примеры пригодных защитных групп для аминофункций известны из уровня техники и в числе их, например, Cbz (оксикарбонил), Вос (трет-бутилоксикарбонил), DIMOZ (диметоксибензилоксикарбонил), Tfac (трифторацетил), СуОС (циано-трет-бутилоксикарбонил), Phth (фталоил), Врос (2-бифенил-4-изопропоксикарбонил), Ddz (3,5-диметоксифенилизопропоксикарбонил), Fmoc (флуоренил-9-метилоксикарбонил), PALOC (3-(3-пиридил)аллилоксикарбонил), Tos (пара-толуолсульфонил), NPS (2-нитрофенилсульфенил), DNPS (2,4-динитрофенилсульфенил). В соответствии с настоящим изобретением особенно предпочтительно используют защитную группу Boc.
В реакции обмена на этапе (i) соответствующего изобретению способа образуется N-защищенный 3-цианофенилаланинпиперазид.
В соответствии с одним из вариантов осуществления изобретения в последующем N-защитную группу можно опять удалять. Необходимые для отщепления соответствующей защитной группы условия специалистам известны. В соответствии с изобретением особенно предпочтительную группу Вос можно, например, отщеплять в кислой среде, например в органическом растворителе типа диоксана или метанола, насыщенном HCl-газом или трифторацетатом, особенно предпочтительно 4 М HCl (г) в диоксане. В качестве альтернативы на последующем этапе реакции (ii) условия можно выбирать так, чтобы отщепление защитной группы происходило непосредственно здесь же.
На этапе (ii) полученный на этапе (i) 3-цианофенилаланинпиперазид вступает в реакцию обмена с фенилсульфонилгалогенидом, который при необходимости может быть замещенным.
Предпочтительными галогенидами являются при этом фторид, хлорид, бромид и йодид. В качестве примеров заместителей фенилсульфонилгалогенида называют C1-С6-алкил, C1-С3-алкокси, гидроксил, карбоксил, сульфонил, нитро, циано, оксо и галоген. Предпочтительно используемыми фенилсульфонилгалогенидами являются фенил-, 4-метилфенил-, 2,4,6-триметилфенил-, 4-метокси-2,3,6-триметилфенил- и, прежде всего, 2,4,6-триизопропилфенилсульфонил (TIPPS)-галогениды.
На этапе (iii) происходит превращение цианогруппы в гидроксиамидино. Это превращение можно провести, например, с помощью гидрохлорида гидроксиламина в присутствии карбоната натрия или триэтиламина. Пригодные для превращений такого рода способы известны в уровне техники и описаны, например, в WO 03/072559.
Образовавшееся на этапе (iii) производное 3-гидроксиамидинофенилаланина в последующем в соответствии с вышеизложенным способом очистки при использовании органической сульфоновой кислоты получают в высокоочищенной форме. При этом не обязательно сначала изолировать производное 3-гидроксиамидинофенилаланина из этапа (iii).
Таким путем получают производные 3-гидроксиамидинофенилаланина высокой химической чистоты при небольших приборных затратах.
Полученные соответствующим изобретению способом в высокоочищенной форме соединения оксамидина можно, например, использовать орально в качестве ингибиторов урокиназы.
В соответствии со следующим аспектом настоящего изобретения соединения оксамидина можно подвергать дальнейшим превращениям в производные амидинофенилаланина. Так как соответствующий настоящему изобретению амидинофенилаланин представлен высокоочищенной формой, выход конечного амидинопродукта в ходе дальнейшего процесса синтеза значительно выше.
Настоящее изобретение раскрывает, таким образом, способ получения производных 3-амидинофенилаланина, включающий следующие этапы:
(i) получение производного 3-гидроксиамидинофенилаланина в соответствии с одним из вышеописанных способов и
(ii) превращение гидроксиамидиногруппы в амидиногруппу. Группа гидроксиамидино путем восстановления может быть переведена в производное амидина. Это осуществляется обычно путем каталитического гидрирования с применением хорошо известных специалистам реакций, например, как это изложено в WO 03/076391, WO 03/072559, ЕР 1294742, а также у Steinmetzer et al., J. Enzyme Inhibition (ингибирование ферментов), 16, 2001, 241-249; Kent et al., J. Peptide Res., 52, 1998, 201-207 и Stiiber et al., Peptide Res., 8, 1995, 78-85. Например, гидроксиамидиногруппу на этапе (ii) превращают в амидиногруппу путем реакции обмена с ацетангидридом и последующего каталитического гидрирования.
Раскрываемым изобретением способом по сравнению с известными в уровне техники способами можно, таким образом, изолировать соответствующее производное 3-амидинофенилаланина с заметно большим выходом и в более очищенной форме.
Краткое описание чертежей
Фиг.1 показывает HPLC-профиль смеси продукта, получаемой при обычном синтезе N-альфа-(2,4,6-триизопропилфенилсульфонил)-3-гидроксиамидино-(b)-фенилаланин-4-этоксикарбонилпиперазида. Оксамидин обнаруживается при продолжительности времени удержания примерно 21,4 минуты, вслед за этим на 24,3 минуте следует загрязнение амидом.
Фиг.2 показывает HPLC-профиль полученного по изобретению оксамидина N-альфа-(2,4,6-триизопропилфенилсульфонил)-3-гидроксиамидино-(L)-фенилаланин-4-этоксикарбонилпиперазид.
Пример
Этап 1. Алкилирование и декарбоксилирование

Диэтилацетамидомалонат (407 г) добавляют при комнатной температуре в атмосфере азота к этанолу (1 л). Суспензию нагревают примерно до 70°С и добавляют раствор метоксида натрия (130 г) в этанол (900 мл). В последующие 30 минут реакционную смесь перемешивают при такой же температуре. Далее в реакционный сосуд добавляют суспензию 3-бромметилбензонитрила (300 г) в этаноле (1,4 л). В реакционном сосуде в последующие 2,5 часа поддерживают температуру примерно 70°С. В дальнейшем в течение 1,5 часов добавляют по капле разбавленный раствор гидроксида натрия (2 н.; 2,2 л). В последующие 30 мин при температуре примерно 70°С проводят перемешивание и затем суспензию охлаждают до комнатной температуры. При комнатной температуре рН реакционной смеси путем добавления концентрированной соляной кислоты медленно (в течение примерно 1 часа) снижают примерно до 7. Органический растворитель удаляют путем дистилляции при пониженном давлении (<100 мбар; максимальная температура 60°С). Остающийся остаток растворяют в 1 н. NaOH (1 л). Водный раствор подвергают трехкратному экстрагированию этилацетатом (каждый раз по 350 мл). Затем охлаждают до 10°С. Водный раствор подкисляют концентрированной HCl (рН=1). Нужный продукт экстрагируют этилацетатом (три экстракции с использованием каждый раз по 1,2 л этилацетата). Объединенные органические фазы при пониженном давлении сгущают. Необходимый продукт оседает в виде белого осадка. Кристаллы собирают при 5°С в бюхнеровской воронке, промывают небольшим количеством этилацетата и высушивают при 45°С атмосфере азота.
Выход 243 г (68%).
Этап 2. Ферментативное расщепление рацематов

Ацетилцианофенилаланин (940 г) растворяют в 1 н. NaOH (4 л) при 37°С. Начальный рН 12,8 добавлением 4 н. HCl (приблизительно 120 г) снижают до 7,2. Добавляют ацилазу I (37,8 г). Для поддержания рН реакционной смеси на постоянном уровне примерно 7,2 к реакционной смеси непрерывно добавляют NaOH (1 н.). Через 72 часа пребывания при температуре 37°С осажденный продукт изолируют путем фильтрации при температуре 20°С. Кристаллы отмывают водой и в условиях пониженного давления при температуре примерно 40°С высушивают. Если фильтрат сгущают при пониженном давлении до одной трети первоначального объема, в осадок выпадает дополнительный продукт.
Общий выход 261 г (34%).
Этап 3. Защита функциональной NH2-группы с помощью Boc

К суспензии цианофенил-L-аланина (425 г) в метаноле (4,5 л) добавляют триэтиламин (310 мл). При 25°С добавляют ди-трет-бутилдикарбонат (488 г). Реакционную смесь перемешивают в течение ночи. Органический растворитель удаляют при пониженном давлении и температуре 40°С. Остающееся масло оранжевой окраски разбавляют этилацетатом (3 л). Добавляют 1 н. HCl (2,3 л) и гетерогенный раствор в течение 30 минут сильно перемешивают. Проводят разделение фаз. Органическую фазу отделяют, экстрагируют водой и высушивают, применяя MgSO4. После фильтрации органическую фазу при 40°С и пониженном давлении переводят в сухое состояние. Если к остатку добавляют дихлорметан, получают кристаллы. Кристаллы путем фильтрации собирают и высушивают в атмосфере азота при 45°С.
Выход 554 г (85%).
Этап 4. Реакция сочетания

Вос-цианофенилаланин (554 г) и НОВТ (52 г) суспендируют в дихлорметане (2,7 л). Добавляют раствор DCC (453 г) в дихлорметане. Затем суспензию охлаждают до 10-15°С и в течение 30 минут добавляют по капле этоксикарбонилпиперазин, поддерживая в этот период вышеуказанную температуру. Реакционную смесь перемешивают в течение ночи. Мочевину отфильтровывают и удаляют. К фильтрату добавляют насыщенный раствор NaHCO3 (1,8 л). Гетерогенную смесь перемешивают в течение 30 минут и затем проводят разделение фаз. Органическую фазу экстрагируют водой (2 л) и затем, используя MgSO4, высушивают. Отфильтровывают MgSO4 и раствор концентрируют при пониженном давлении и температуре 30°С. Остающееся масло растворяют в этилацетате (300 мл). Раствор нагревают до точки кипения. Медленно добавляют диизопропиловый простой эфир (750 мл) до помутнения раствора. Температуру понижают до 50°С и дают смеси отстояться. Затем в течение 5 часов температуру понижают до 25°С. Продукт отфильтровывают и отмывают простым диизопропиловым эфиром, а затем высушивают в атмосфере азота при 40°С.
Выход 660 г (80%).
Этап 5. Снятие защиты

Вос-цианофенилаланинпипамид (442 г) растворяют в растворе HCl в диоксане (4 н.; 1,2 л). Во время добавления температура повышается с 25 до 32°С. Через 3 часа реакция заканчивается и к раствору прибавляют дихлорметан (1 л). Начинает осаждаться нужный продукт. Суспензию в течение ночи перемешивают. Избыток HCl удаляют путем откачивания. Продукт путем фильтрации отделяют, промывают простым диизопропиловым эфиром и при сильном разрежении высушивают при температуре 45°С.
Выход 552 г (98%).

К суспензии цианофенил-L-аланинпипамида-HCl (257 г) в дихлорметане (1,6 л) при 250C добавляют 2,4,6-триизопропилфенилсульфонилхлорид (212 г). После добавления N-этилдиизопропиламина (238 мл) получают прозрачный раствор. Процесс добавления протекает экзотермично (повышение температуры с 25 до 35°С). К реакционной смеси после того, как ее в течение 2 часов перемешивали при комнатной температуре, добавляют воду (1,1 л). Фазы разделяют и органическую фазу один раз экстрагируют насыщенным раствором NaHCO3 (1,6 л) и один раз водой (0,5 л). Органическую фазу, используя MgSO4, высушивают, фильтруют и при пониженном давлении концентрируют. Получают бесцветное масло, которое при выстаивании в условиях комнатной температуры медленно выкристаллизовывается.
Выход 423 г (примерно 100%).
Этап 7. Получение амидоксима N- -(2,4,6-триизопропилфенилсульфонил)-3-гидроксиамидино-(L)-фенилаланин-4-этоксикарбонилпиперазид

TIPPS-L-цианофенилаланинпирамид (50 г) растворяют в этаноле (350 мл). Друг за другом добавляют гидроксиламин-HCl (7,3 г) и триэтиламин (14,5 мл). Реакционную смесь нагревают до точки кипения (примерно 75°С) и в течение 6 часов кипятят с обратным холодильником. Затем проводят охлаждение до 40°С и заменяют растворитель. Этанол при пониженном давлении удаляют, а к остатку добавляют дихлорметан (300 мл) и воду (100 мл). Проводят разделение фаз. Органическую фазу высушивают, используя MgSO4. После фильтрации растворитель удаляют при пониженном давлении.
Получают белое твердое вещество (57 г), которое растворяют в ацетоне (200 г). Добавляют раствор кислоты Армстронга (15 г) в ацетоне (150 мл). Смесь нагревают за 30 минут до точки кипения ацетона. Нужный продукт в качестве соли кислоты Армстронга кристаллизуется в виде белого твердого вещества. Суспензию охлаждают до комнатной температуры и помешивают в течение 1 часа, а затем проводят фильтрацию. Кристаллы отмывают ацетоном (75 мл), высушивают и после этого растворяют в дихлорметане (600 мл). Добавляют насыщенный раствор NaHCO3 (400 мл). Гетерогенную смесь в течение 20 минут сильно перемешивают и затем разделяют фазы. Органическая фаза экстрагируется водой (400 мл), а после этого путем дистилляции удаляют дихлорметан. Получают белое твердое вещество (45 г). Продукт перекристаллизовывают из этилацетата/простого эфира диизопропила, 45 г растворены в этилацетате (60 мл). Добавляют простой эфир диизопропила (250 мл). Образовавшуюся в результате этого суспензию подогревают за 30 мин до точки кипения и после этого медленно охлаждают до комнатной температуры. Белое аморфное вещество отфильтровывают, промывают простым эфиром диизопропила и при 45°С высушивают в вакууме.
Выход 34 г (65%).
Формула изобретения
1. Способ очистки производных 3-гидроксиамидинофенилаланина формулы (I)
, в которой R1 обозначает группу формулы , где R4 обозначает (i), в частности, C1-С6-алкил-, C1-С3-алкокси-, гидроксил-, карбоксил-, сульфонил-, нитро-, циано-, оксо- или/и галогензамещенный C1-C6-алкил, например этоксикарбонил- или арил, например фенил, пара-галогенфенил, нафтил, (ii) насыщенный или ненасыщенный разветвленный или неразветвленный C1-С6-алкокси, или (iii), в частности, C1-C6-алкил-, C1-С3-алкокси-, гидроксил-, карбоксил-, сульфонил-, нитро-, циано-, оксо- или/и галогензамещенный фенокси или бензилоксикарбонил, R2 обозначает, в частности, C1-С6-алкил-, C1-С3-алкокси-, гидроксил-, карбоксил-, сульфонил-, нитро-, циано-, оксо- или/и галогензамещенный фенильный остаток, например фенил, 4-метилфенил, 2,4,6-триметилфенил, 2,4,6-изопропилфенил, 4-метокси-2,3,6-триметилфенил, R3 представляет собой Н или разветвленный, или неразветвленный С1-С4-алкил и n обозначает 0 или 1, Z обозначает N или CR9, где R9 является Н или разветвленным, или неразветвленным С1-С4-алкилом, включающий следующие этапы: (a) добавление ароматической сульфоновой кислоты к раствору, необязательно загрязненного производного 3-гидроксиамидинофенилаланина для получения осадка, (b) отделение полученного на этапе (а) осадка, и (c) рекуперация свободного производного 3-гидроксиамидинофенилаланина из осадка путем реакции с основанием, которое является более основным, чем производное гидроксиамидинофенила из осадка.
2. Способ по п.1, при котором ароматической сульфоновой кислотой на этапе (а) является кислота Армстронга.
3. Способ по п.1, в котором производное 3-гидроксиамидинофенолаланина является производным N- -(2,4,6-триизопропил-фенилсульфонил-3-гидроксиамидино-(D,L)-фенилаланина, или его L-энантиомером.
4. Способ по п.1, в котором производное 3-гидроксиамидинофенилаланина является N- -ТIРРS-3-гидроксиамидино-(D,L)-фенилаланин-4-этоксикарбонилпиперазидом, или его L-энантиомером.
5. Способ по п.1, в котором на этапе (а) используют раствор производного 3-гидроксиамидинофенилаланина в ацетоне.
6. Способ по п.1, в котором осадок на этапе (b) отделяют путем фильтрации.
7. Способ по п.1, в котором рекуперация на этапе (с) происходит путем реакции обмена с NaНСО3.
8. Способ по п.1, в котором получают производное 3-гидроксиамидинофенилаланина с чистотой более чем 90%.
9. Способ по п.1, в котором получают производное 3-гидроксиамидинофенилаланина с чистотой более чем 95%.
10. Способ по п.1, в котором получают производное 3-гидроксиамидинофенилаланина с чистотой более чем 99%.
11. Способ получения производных 3-гидроксиамидинофенилаланина формулы (I)
, в которой R1 обозначает группу формулы , где R4 обозначает (i), в частности, C1-С6-алкил-, C1-С3-алкокси-, гидроксил-, карбоксил-, сульфонил-, нитро-, циано-, оксо- или/и галогензамещенный С1-С6-алкил, например этоксикарбонил- или арил, например фенил, пара-галогенфенил, нафтил, (ii) насыщенный или ненасыщенный разветвленный или неразветвленный С1-С6-алкокси, или (iii), в частности, C1-С6-алкил-, C1-С3-алкокси-, гидроксил-, карбоксил-, сульфонил-, нитро-, циано-, оксо- или/и галогензамещенный фенокси или бензилоксикарбонил, R2 обозначает, в частности, C1-С6-алкил-, C1-С3-алкокси-, гидроксил-, карбоксил-, сульфонил-, нитро-, циано-, оксо- или/и галогензамещенный фенильный остаток, например фенил, 4-метилфенил, 2,4,6-триметилфенил, 2,4,6-изопропилфенил, 4-метокси-2,3,6-триметилфенил, R3 представляет собой Н или разветвленный, или неразветвленный С1-С4-алкил и n обозначает 0 или 1, Z обозначает N или CR9, где R9 является Н или разветвленным, или неразветвленным С1-С4-алкилом, включающий в себя следующие этапы: (i) реакция обмена N-защищенного 3-цианофенилаланина с производным пиперазина с образованием N-защищенного 3-цианофенилаланин-пиперазида, (ii) реакция обмена с, при необходимости, замещенным фенилсульфонилгалогенидом; (iii) превращение цианогруппы в гидроксиамидиногруппу; (iv) очистка полученного производного 3-гидроксиамидинофенилаланина способом по любому из пп.1-10.
12. Способ по п.11, в котором на этапе (i) используют производное Вос N-защищенного 3-цианофенилаланина.
13. Способ по п.11, в котором производное пиперазина на этапе (i) является этоксикарбонилпиперазином.
14. Способ по п.11, в котором на этапе (ii) происходит реакция замещения с 2,4,6-триизопропилбензолсульфонилхлоридом.
15. Способ по п.11, в котором цианогруппу на этапе (iii) с помощью гидрохлорида гидроксиламина в присутствии карбоната натрия или триэтиламина превращают гидроксиамидиногруппу.
16. Способ по п.11, в котором получают производное 3-гидроксиамидинофенилаланина с чистотой более чем 90%.
17. Способ по п.11, в котором получают производное 3-гидроксиамидинофенилаланина с чистотой более чем 95%.
18. Способ по п.11, в котором получают производное 3-гидроксиамидинофенилаланина с чистотой более чем 99%.
19. Способ получения производных 3-амидинофенилаланина, включающий в себя следующие этапы: (i) получение производного 3-гидроксиамидинофенилаланина способом по любому из пп.11-18, и (ii) превращение гидроксиамидиногруппы в амидиногруппу.
20. Способ по п.19, в котором гидроксиамидиногруппу на этапе (ii) путем реакции обмена с ацетангидридом и последующего каталитического гидрирования превращают в амидиногруппу.
РИСУНКИ
|
|