|
(21), (22) Заявка: 2008119510/04, 19.05.2008
(24) Дата начала отсчета срока действия патента:
19.05.2008
(43) Дата публикации заявки: 27.11.2009
(46) Опубликовано: 10.06.2010
(56) Список документов, цитированных в отчете о поиске:
US 2004176343 A1, 09.09.2004. RU 2240996 С1, 27.11.2004. RU 2033998 С1, 30.04.1995. RU 2151740 С1, 27.06.2000. US 6548541 В1, 15.04.2003. SU 1137698 A1, 27.09.1996. RU 2190618 C2, 10.10.2002. SU 1248203 A1, 10.10.1996.
Адрес для переписки:
119992, Москва, Ленинские горы, Химический факультет, проф. М.Я. Мельникову, Е.М. Будыниной
|
(72) Автор(ы):
Будынина Екатерина Михайловна (RU), Тамм Марина Евгеньевна (RU), Мельников Михаил Яковлевич (RU), Кондаков Сергей Эмильевич (RU)
(73) Патентообладатель(и):
Общество с ограниченной ответственностью “ЦитоСтарт” (RU)
|
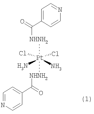
(54) ВОДОРАСТВОРИМЫЙ КОМПЛЕКС ЦИС-ДИАМИНОДИХЛОРПЛАТИНЫ (2+) С ИЗОНИАЗИДОМ И СПОСОБ ЕГО ПОЛУЧЕНИЯ
(57) Реферат:
Изобретение относится к получению физиологически активных соединений, в частности к новому водорастворимому комплексу цис-диаминодихлорплатины (2+) с гидразидом изоникотиновой кислоты формулы Pt(NH3)2Cl2·2L, где L=INH – изониазид, гидразид изоникотиновой кислоты. Способ получения указанного комплекса заключается во взаимодействии цис-диаминодихлорплатины (2+) с гидразидом изоникотиновой кислоты с последующим выделением целевого продукта. Предложенное соединение может быть использовано в медицинской практике как аналог цисплатина по терапевтическому действию, но в более удобной для применения форме вследствие его повышенной растворимости и пониженной токсичности. Кроме того, предложенное соединение расширяет ассортимент водорастворимых противоопухолевых и антиметастатических препаратов. 2 н. и 1 з.п. ф-лы, 6 ил.
Изобретение относится к физиологически активным соединениям и может быть использовано в медицинской практике для лечения онкологических заболеваний как в качестве самостоятельного лекарственного средства, так и в композиции с известными препаратами.
Известно, что цисплатин (Цис-Диаминдихлорплатина (2+)) (коммерческие синонимы: Платидиам, Platidiam, Platinol) широко используется на практике для химиотерапии онкологических больных. Цисплатин представляет собой кристаллический порошок от желтого до желто-оранжевого цвета, который медленно и очень мало растворим в воде и изотоническом растворе хлорида натрия (Машковский М.Д. Лекарственные средства, изд. 12-е. – М.: Медицина, 1992, стр.523-524).
Несмотря на плохую растворимость соединения в воде и водных растворах, основной способ применения цисплатина при терапии – внутривенно. Для этого препарат растворяют из расчета 10 мг сухого вещества на 10 мл стерильной воды для инъекций, и этот раствор разводят в 1 л изотонического раствора натрия хлорида или 5% раствора глюкозы. Для увеличения растворимости цисплатина перед введением раствор рекомендуется предварительно подогреть до температуры 30-36 градусов Цельсия. Раствор вводят струйно (медленно) или в виде длительных инфузий (в течение 6-48 ч).
Известен способ получения цис-диаминдихлордигидроксоплатины (4+) из цис-диаминдихлорплатины (2+) путем обработки суспензии цисплатина 30%-ной перекисью водорода при 60-80°С с последующим отделением твердого остатка (SU 1137698 А1, Желиговская Н.Н. и др., 17.10.1983). Показано, что при проведении химических превращений встраиваемые гидроксигруппы не затрагивают стерического размещения хлор- и аминогрупп.
Также известны производные цисплатина, где один из лигандов замещен на другой биогенный лиганд с целью понижения общей токсичности цисплатина (US6548541, Shaw, 15.04.2003; US7160908, Shaw, 09.01.2007) и создания его растворимой формы (RU2151740 С1, Желиговская Н.Н. и др., 27.06.2000).
Задачей настоящего изобретения является разработка ранее неизвестного комплексного соединения цисплатина (двухвалентной платины), а именно комплекса цис-диаминдихлорплатины (2+) с гидразидом изоникотиновой кислоты (изониазид), отличающегося более высокой растворимостью и пониженной токсичностью, что позволяет отказаться от стадии лиофилизации в процессе получения лекарственной формы и облегчает ее использование, и способа его получения.
Новое комплексное соединение является производным цисплатина (цис-диаминдихлорплатина) формулы: Pt(NH3)2Cl2·2L, где L=INH (изониазид, гидразид изоникотиновой кислоты).

Для получения соединения (1) одну часть цисплатина смешивают с 2 частями изониазида, находящегося в растворе, при температуре раствора в диапазоне 50-80°С при постоянном перемешивании в течение 48 часов до образования гомогенного раствора. Полученное соединение фильтруют через стандартный микробиологический фильтр с размерами пор 0.22 мкм для очистки от нерастворимых фракций.
Патентуемое комплексное соединение является новым, в литературе не описано, не известен и способ его получения.
Ниже приводится детальное описание способа получения патентуемого соединения – комплексного соединения цис-диаминдихлорплатины (2+) с гидразидом изоникотиновой кислоты.
Приготовили раствор 0.274 г (0.002 моль) гидразида изоникотиновой кислоты в 5 мл воды. Полученный раствор нагревали до температуры 50°С и добавили к нему 0.300 г (0.001 моль) цис-диаминдихлороплатины (2+). После смешения реагентов реакционную смесь перемешивали 48 часов при 50°С. Полученный раствор фильтровали через стандартный микробиологический фильтр с размерами пор 0.22 мкм (фирмы Миллипоре). Полученный фильтрат концентрировали в вакууме. Получено 0.563 г (98%) вещества в виде стеклообразной пленки светло-желтого цвета. Комплекс растворим в воде, что значительно упрощает работу с ним на биообъектах, и это является техническим результатом группы изобретений.
Строение и состав полученного комплексного соединения были доказаны методами УФ- и ЯМР-спектроскопии и элементного анализа, а полученные спектры приведены на фиг.1-6:
на фиг.1 представлен спектр ЯМР 1Н исходного изониазида;
на фиг.2 – спектр ЯМР 1Н смеси изониазид + комплекс;
на фиг.3 – спектр ЯМР 1Н смеси изониазид + комплекс (через год);
на фиг.4 – спектр ЯМР 1Н смеси изониазид + комплекс (80°С);
на фиг.5 – спектр ЯМР 1Н смеси изониазид + комплекс (после пропускания через SiO2, элюент – МеОН:Н2O 3:1);
на фиг.6 – спектры поглощения раствора 10-2 М изониазида в воде (кривая 1), растворов комплекса в воде с концентрацией 5·10-2 М (кривая 2) и 10-2 М (кривая 3) (оптический путь 0,1 см).
Видно, что в спектре ЯМР 1Н полученного комплекса по сравнению со спектром исходного изониазида наблюдается смещение сигналов ароматических протонов в более слабое поле, что указывает на образование нового соединения. Величина константы спин-спинового взаимодействия составляет 6.3 Гц, что на 1 Гц больше, чем у исходного лиганда.
Стабильность комплекса была подтверждена сохранением ЯМР-спектра после выдерживания раствора комплекса в течение года, нагревания раствора с комплексом до 80°С и после пропускания раствора комплекса через колонку с селикагелем (SiO2), элюент – СН3OН:Н2O=3:1. Последнее показывает возможность дополнительной очистки получаемого комплекса.
Элементный анализ.
C12H20Cl2N8O2Pt
Найдено 1(%): С 25.48; Н 3.96; Сl 16.13; N 12.80; Pt 32.29;.
Найдено 2(%): С 25.18; Н 3.70; Сl 14.00; N 14.86; Pt 33.01;.
Вычислено (%): С 25.09; Н 3.48; Сl 12.37; N 19.51; Pt 33.97.
Таким образом, предлагаемый способ получения соединения формулы (1) позволяет достичь цели изобретения и получить ранее неизвестное водорастворимое комплексное соединение цисплатина, а именно комплекс цис-диаминдихлорплатины (2+) с гидразидом изоникотиновой кислоты. Полученное соединение может быть использовано в медицинской практике как в качестве самостоятельного противоопухолевого и антиметастатического лекарственного средства, так и в композиции с уже известными препаратами.
Испытания на острую токсичность проводили путем внутрибрюшинного введения раствора препарата мышам линии BDFi. В качестве препарата сравнения использовался исходный цисплатин. Испытания показали, что заявляемый комплекс при расчете на количество введенной платины обладает в несколько раз меньшей токсичностью по сравнению с исходным цисплатином, при этом активность в отношении всех видов испытанных опухолей, на которые действует цисплатин, сохраняется такой же или возрастает.
Эти данные доказывают, что физиологическая активность цисплатина, связанного в комплекс, в отношении опухолевых процессов практически не изменилась, острая токсичность снизилась, а удобство использования при терапии значительно возросло.
Формула изобретения
1. Водорастворимый комплекс цис-[диаминодихлорплатины (2+)] с гидразидом изоникотиновой кислоты формулы (1)

2. Способ получения водорастворимого комплекса общей формулы 1 по п.1, характеризующийся тем, что обработку цис-диаминодихлорплатины (2+) проводят при температуре 50-80°С раствором гидразида изоникотиновой кислоты при мольном соотношении цис-диаминодихлорплатина (2+) / гидразид изоникотиновой кислоты, равном 1:2, с последующим отделением нерастворимого остатка и выделением целевого продукта.
3. Способ по п.2, характеризующийся тем, что сначала готовят 0,4 молярный водный раствор гидразида изоникотиновой кислоты, нагревают его до температуры 50°С и добавляют 0,001 моля цис-диаминодихлорплатины (2+) с получением реакционной смеси, затем реакционную смесь перемешивают при температуре 50-80°С в течение 48 ч и фильтруют, а полученный фильтрат концентрируют в вакууме с выделением целевого продукта.
РИСУНКИ
|