Патент на изобретение №2391328
|
||||||||||||||||||||||||||
(54) АРОМАТИЧЕСКИЕ СУЛЬФОНОВЫЕ КИСЛОТЫ, АМИНЫ И НИТРОФЕНОЛЫ В КОМБИНАЦИИ С СОЕДИНЕНИЯМИ, СОДЕРЖАЩИМИ НИТРОКСИЛЬНЫЙ РАДИКАЛ, ИЛИ С С-НИТРОЗОАНИЛИНАМИ В КАЧЕСТВЕ ИНГИБИТОРОВ ПОЛИМЕРИЗАЦИИ
(57) Реферат:
Изобретение относится к способу ингибирования и замедления преждевременной полимеризации и роста полимеров виниловых ароматических мономеров, а также к композиции для ингибирования и к композиции для получения полимера на основе винилового мономера, содержащей ингибирующую и замедляющую полимеризацию композицию. Заявленный способ заключается в добавлении к мономерам эффективного количества ингибирующей и замедляющей преждевременную полимеризацию композиции. Ингибирующая композиция содержит смесь, ч/млн: 1-500 – по меньшей мере, одной ароматической сульфоновой кислоты, 1-200 – по меньшей мере одного циклического третичного амина, 1-500 – по меньшей мере одного нитрофенола и 1-200 – по меньшей мере одного нитрозоанилина. Количество ингибирующей композиции, вводимое в композицию для получения полимера на основе винилового мономера, составляет от 1 до 1000 ч/млн. Заявленная ингибирующая композиция представляет собой высоэффективную и недорогую смесь, обладающую превосходными характеристиками ингибирования и замедления полимеризации, и обеспечивает эффективное снижение образования полимера после прекращения подачи мономеров. 3 н. и 17 з.п.
Область техники, к которой относится изобретение Настоящее изобретение относится к ингибированию и замедлению полимеризации винильных ароматических мономеров путем прибавления к ним для этой цели комбинаций ароматических сульфоновых кислот, аминов и нитрофенолов с соединениями, содержащими нитроксильные радикалы, или С-нитрозоанилинами. Уровень техники Многие мономеры с этиленовой ненасыщенностью претерпевают нежелательную полимеризацию на различных стадиях их производства, переработки, обработки, хранения и применения. Полимеризация, например термическая полимеризация, во время очистки мономеров приводит к его потерям, т.е. к более низкому выходу, и к увеличению вязкости любых смол, которые могут быть получены. Для переработки и обработки смол с более высокой вязкостью затем требуются более высокие температуры и работа (затраты энергии) по удалению остаточного мономера. Полимеризация может также приводить к загрязнению оборудования, особенно в случае производства акриловых мономеров. Такая полимеризация вызывает потери эффективности производства из-за отложения полимера в используемом оборудовании или на нем. Такие отложения необходимо время от времени удалять, что приводит к дополнительным потерям при производстве мономера. Для ингибирования неконтролируемой и нежелательной полимеризации мономеров с этиленовой ненасыщенностью предлагается и применяется широкий выбор соединений. Однако многие из таких соединений не вполне удовлетворительны. В патенте США 2867672 сообщается, что полимеризация неингибированного стирола, который конденсируется в виде жидкости на поверхностях, содержащих паровоздушное пространство, выше уровня жидкости основной массы стирола в емкости, ее можно свести к минимуму путем распыления ингибитора полимеризации стирола на поверхностях, вмещающих паровоздушное пространство. В патенте США 4086147 раскрывается способ дистилляции легкополимеризующихся винильных ароматических соединений, включающий действие высоких температур на винильные ароматические соединения в системе дистилляции в присутствии ингибитора полимеризации, содержащего м-нитро-п-крезол. Патент США 4468343 описывает соединение и способ применения соединения для предотвращения полимеризации винильных ароматических соединений, таких как стирол, во время нагревания. Композиция включает эффективные количества 2,6-динитро-n-крезола и/или фенилендиамин или 4-трет-бутилкатехол соответственно, для того чтобы действовать как система соингибиторов полимеризации в присутствии кислорода. В патенте США 4670131 описано регулирование загрязнения оборудования, используемого для переработки потоков поступающих органических веществ, содержащих олефиновые соединения, путем проведения переработки в присутствии стабильного свободного радикала, такого как нитроксид, в количестве от около 20 миллиардных долей до менее 10 миллиардных долей. В патенте США 5254760 описано ингибирование полимеризации винильных ароматических соединений, таких как стирол, во время дистилляции или очистки в результате присутствия по меньшей мере одного стабильного соединения нитроксила вместе с по меньшей мере одним ароматическим нитросоединением. Патент США 5290888 раскрывает способ стабилизации мономера или олигомера с этиленовой ненасыщенностью от преждевременной полимеризации путем прибавления стабилизирующего количества N-гидроксизамещенного пространственно затрудненного амина к указанным полимеризующимся мономеру или олигомеру. Термин мономер или олигомер с этиленовой ненасыщенностью включает в себя винильные мономеры, содержащие по меньшей мере один полимеризующийся остаток. Как сообщают, N-гидроксизамещенный пространственно затрудненный амин ингибирует преждевременную полимеризацию в жидкой и/или паровой фазе. Патент США 5446220 раскрывает способы ингибирования полимеризации винильных ароматических мономеров в бескислородных системах для переработки. Указанные способы включают добавление от 1 до около 10000 частей комбинации производного динитрофенола, производного гидроксиламина и производного фенилендиамина на миллион частей мономера. Предпочтительно используют 1-втор-бутил-4,6-динитрофенол или 4,6-динитро-о-крезол в комбинации с бис-(гидроксипропил)гидроксиламином и N,N’-ди-втор-бутил-n-фенилендиамином. В патенте США 5545786 сообщается, что нитроксильные ингибиторы в сочетании с кислородом уменьшают преждевременную полимеризацию винильных ароматических мономеров во время процессов изготовления таких мономеров. Сообщается также, что даже небольшие количества воздуха, используемого в комбинации с нитроксильными ингибиторами, приводят в результате к очень длительным временам ингибирования указанных мономеров. В патенте США 5932735 сообщается, что некоторые производные 1-оксил-2,2,6,6-тетраметил-4-гидроксипиперидина эффективны в качестве ингибиторов, предотвращающих преждевременную полимеризацию акриловых и метакриловых кислот, их сложных эфиров, их амидов, винилацетата и акрилонитрила в присутствии воды. Патент США 6143205 раскрывает смесь для ингибирования преждевременной полимеризации мономеров, которая содержит (А) винилсодержащие мономеры и (В) эффективное количество смеси (i) от 0,05 до 4,5% (мас.) в расчете на всю смесь (В) по меньшей мере одного N-оксильного производного вторичного амина, которое не содержит атомов водорода на В патентах России 1027150; 1139722 и 1558888 раскрывается пониженное образование полимера в нормальных рабочих условиях (истинные ингибиторы), они не защищают систему от полимеризации в чрезвычайных ситуациях прекращения подачи, т.е. отсутствует эффект замедлителя. Приведенные выше данные включены в настоящую заявку в их совокупности путем ссылки. Раскрытие изобретения Согласно настоящему изобретению обнаружено, что соединения, содержащие нитроксильные радикалы, такие, например, как 4-оксо-ТЕМРО, или С-нитрозоанилины, такие, например, как 4-нитрозо-N-(1,4-диметилпентил)анилин, являются превосходными ингибиторами и замедлителями для предотвращения полимеризации виниловых ароматических мономеров при их комбинировании с ароматическими сульфоновыми кислотами, такими как додецилбензолсульфоновая кислота (DBSA), аминами, такими как N-метил-2-пирролидинон (NMP), и нитрофенолами, такими как 2,4-динитро-6-втор-бутилфенол (DNBP). Таким образом, цель настоящего изобретения состоит в том, чтобы разработать высокоэффективную и недорогую смесь, ингибирующую полимеризацию с действительно превосходными характеристиками в качестве ингибитора и замедлителя. Указанная цель и другие цели достигаются настоящим изобретением, которое относится к способу ингибирования и замедления преждевременной полимеризации виниловых ароматических мономеров и роста полимера, включающему прибавление к указанным мономерам эффективного количества смеси ингибитора и замедлителя, содержащей: (A) по меньшей мере одну ароматическую сульфоновую кислоту; (B) по меньшей мере один амин; (C) по меньшей мере один нитрофенол; и (D) по меньшей мере один член группы, состоящей из соединений, содержащих нитроксильные радикалы, и нитрозоанилинов. В еще одном варианте осуществления изобретения настоящее изобретение относится к композиции, содержащей смесь: (A) по меньшей мере одной ароматической сульфоновой кислоты; (B) по меньшей мере одного амина; (C) по меньшей мере одного нитрофенола; и (D) по меньшей мере одного члена группы, состоящей из соединений, содержащих нитроксильные радикалы, и С-нитрозоанилинов. В еще одном варианте осуществления изобретения настоящее изобретение относится к композиции, содержащей винильный ароматический мономер и ингибирующее и замедляющее полимеризацию количество смеси, содержащей: (A) по меньшей мере одну ароматическую сульфоновую кислоту; (B) по меньшей мере один амин; (C) по меньшей мере один нитрофенол; и (D) по меньшей мере один член группы, состоящей из соединений, содержащих нитроксильные радикалы, и нитрозоанилинов. Осуществление изобретения Как указано выше, настоящее изобретение относится к способу ингибирования и замедления преждевременной полимеризации виниловых ароматических мономеров и роста полимера, включающему прибавление к указанным мономерам эффективного количества смеси ингибитора и замедлителя, содержащей: (A) по меньшей мере одну ароматическую сульфоновую кислоту; (B) по меньшей мере один амин; (C) по меньшей мере один нитрофенол; и (D) по меньшей мере один член группы, состоящей из соединений, содержащих нитроксильные радикалы, и С-нитрозоанилинов. Ароматические сульфоновые кислоты, которые можно применять в практике настоящего изобретения, включают, но не ограничиваются ими, кислоты, описанные в опубликованной заявке США
где R представляет собой алкилфенильную или алкилнафтильную группу, причем каждая содержит по меньшей мере одну линейную или разветвленную алкильную группу, содержащую 1-32 атомов углерода; например, толуолсульфоновую кислоту, ксилолсульфоновую кислоту, кумолсульфоновую кислоту, додецилбензолсульфоновую кислоту, пентадецилбензолсульфоновую кислоту, динонилнафталинсульфоновую кислоту и т.п. Предпочтительно, R представляет собой алкилфенильную или алкилнафтильную группу, причем каждая содержит по меньшей мере один алкил с линейной или разветвленной цепью, содержащий 1-18 атомов углерода, включающий (но не ограниченный ими) метил, этил, пропил, бутил, пентил, гексил, гептил, октил, 2-этилгексил, нонил, децил, ундецил, додецил, тридецил, тетрадецил, пентадецил, гексадецил, гептадецил, октадецил, изомеры указанных выше групп и т.п. или циклоалкильные группы, такие как циклопентил, циклогексил, циклогептил, циклооктил и циклододецил. Амины, которые можно применять в практике настоящего изобретения, включают, но не ограничиваются ими, первичные, вторичные или третичные амины и могут содержать алкильные группы, арильные группы или их комбинации. Такие амины включают (но не ограничиваются ими) N-метил-2-пирролидинон, Нитрофенолы, которые можно применять в практике настоящего изобретения, включают 2,6-динитро-4-метилфенол, 2-нитро-4-метилфенол, 2,4-динитро-1-нафтол, 2,4,6-тринитрофенол (пикриновую кислоту), 2,4-динитро-6-метилфенол, 2,4-динитрофенол, 2,4-динитро-6-втор-бутилфенол, 4-циано-2-нитрофенол, 3-иодо-4-циано-5-нитрофенол, м-нитро-n-крезол, 2,6-динитро-n-крезол и т.п. 2,4-Динитро-6-втор-бутилфенол является предпочтительным. Соединения, содержащие нитроксильные радикалы, которые можно применять в практике настоящего изобретения, представляют собой предпочтительно стабильные пространственно затрудненные соединения нитроксила структурной формулы:
где R4 и R7 независимо выбраны из группы, состоящей из водорода, алкила и алкила, замещенного гетероатомом; R5 и R6 независимо выбраны из группы, состоящей из алкила и алкила, замещенного гетероатомом, a X1 и Х2 (1) независимо выбраны из группы, состоящей из галогена, циано, -COOR10, -S-COR10, -OCOR10 (где R10 представляет собой алкил или арил), амидо, -S-С6Н5, карбонила, алкенила или алкила, содержащего 1-15 атомов углерода, или (2) взятые вместе образуют циклическую структуру с азотом. В особенно предпочтительном варианте осуществления изобретения стабильное пространственно затрудненное соединение нитроксила имеет следующую структурную формулу
где R4 и R7 независимо выбраны из группы, состоящей из водорода, алкила и алкила, замещенного гетероатомом; и R5 и R6 независимо выбраны из группы, состоящей из алкила и алкила, замещенного гетероатомом; и представленная ниже
часть формулы обозначает атомы, необходимые для образования пяти-, шести- или семичленного гетероциклического кольца. Соответственно, один из нескольких классов циклических нитроксидов, которые можно применять в практике настоящего изобретения, может быть представлен следующей структурной формулой:
где Z1, Z2 и Z3 независимо выбраны из группы, состоящей из кислорода, серы, вторичных аминов, третичных аминов, фосфора в различных степенях окисления и насыщенных и ненасыщенных атомов углерода, таких, например, как >CH2, >СНСН3, >С=O, >С(СН3)2, >CHBr, >CHCl, >CHl, >CHF, >CHOH, >CHCN, >C(OH)CN, >СНСООН, >СНСООСН3, >СНСООС2Н5, >С(ОН)СООС2Н5, >С(ОН)СООСН3, >С(ОН)СНОНС2Н5, >CR8OR9, >CHNR8R<, XTCONR8R9, >C=NOH, ХТ=СН-С6Н5, >CF2, >CCl2, >CBr2, >Cl2, CR8PR13R14R15 и т.п., где R8 и R9 независимо выбраны из группы, состоящей из водорода, алкила, арила и ацила, и R13, R14 и R15 независимо выбраны из группы, состоящей из неподеленных электронов, алкила, арила, =O, OR16 и NR17R18, где R16, R17 и R18 независимо выбраны из группы, состоящей из водорода, алкила и арила. Там, где R8 и/или R9 представляют собой алкил, предпочтительно, чтобы он был низшим алкилом (т.е. алкилом, содержащим один-пять атомов углерода, например метил, этил, пропил, бутил, пентил и их изомеры). В случаях, где R8 и/или R9 представляют собой арил, предпочтительно, чтобы он был арилом из 6-10 атомов углерода, например фенилом или нафтилом, который, кроме того, может быть замещен не оказывающими помех заместителями, например низшими алкильными группами, галогенами и т.п. В случаях, где R8 и/или R9 представляют собой ацил, предпочтительно, чтобы ацил имел следующую структуру
где R19 представляет собой алкил, арил, OR20 или NR20R21, a R20 и R21 представляют собой алкил, арил или
где R22 представляет собой алкил или арил. Там, где R19, R20, R21 или R22 представляют собой алкил, предпочтительно, чтобы он был алкилом, содержащим 1-15 атомов углерода, более предпочтительно – низшим алкилом, содержащим 1-5 атомов углерода, как описано выше. Еще один класс из нескольких классов циклических нитроксидов, которые можно использовать в практике настоящего изобретения, можно представить следующей структурной формулой
где Z1 и Z2, которые могут быть одинаковыми или разными, обозначают азот или замещенные или незамещенные атомы углерода, такие как =С(Н)-, -С(СН3)-, =С(СООН)-, =С(СООСН3)-, -С(СООС2Н5)-, =С(ОН)-, =C(CN)-, -C(NR8R9)-, -C(CONR8R9)- и т.п., где Z3, R8 и R9 такие, как описано выше. Циклические нитроксиды, используемые в практике настоящего изобретения, могут также быть производными пятичленных циклов. Такие соединения имеют следующую структуру
где Z2 и Z3, которые могут быть одинаковыми или разными, обозначают серу, кислород, вторичные амины, третичные амины, фосфор в различных степенях окисления или замещенные или незамещенные атомы углерода, такие как >СН2, >СНСН3, >С=O, >С(СН3)2, >CHBr, >CHCl, >CHl, >CHF, >CHOH, >CHCN, >C(OH)CN, >CHCOOH, >СНСООСН35 >СНСООС2Н5, >C(OH)COOC2H5, >С(ОН)СООСН3, >С(ОН)СНОНС2Н5, >CR8OR9, >CHNR8R9, >CCONR8R9, >C=NOH, >С=СН-С6Н5, CF2, CCl2, CBr2, Cl2, >CR8PR13R14R15 и т.п. и где несколько групп R такие, как описано выше. Циклические нитроксиды, используемые в практике настоящего изобретения, могут также иметь структуру:
где Z4 и Z5, которые могут быть одинаковыми или разными, могут представлять собой азот или замещенные или незамещенные атомы углерода, например =С(Н)-, =С(СН3), =С(СООН)-, =С(СООСН3)-, =С(СООС2Н5)-, =С(ОН)-, =C(CN)-, =C(NR8R9)-, =C(CONR8R9)- и т.п., где R8 и R9 такие, как описано выше. Еще один класс циклических нитроксидов, которые можно использовать в практике настоящего изобретения, имеют структуру:
где Z2 и Z3, которые могут быть одинаковыми или разными, обозначают серу, кислород, вторичные амины, третичные амины или замещенные или незамещенные атомы углерода, такие как >СН2, >СНСН3, >С=O, >С(СН3)2, >CHBr, >CHCl, >CHI, >CHF, >CHOH, >CHCN, >C(OH)CN, >CHCOOH, >СНСООСН3, >СНСООС2Н5, >С(ОН)СООС2Н5, >С(ОН)СООСН3, >С(ОН)СНОНС2Н5, >CHNR8R9, >CCONR8R9, >CR8OR9, >C=NOH, >C=CH-C6H5, CF2, CCl2, CBr2, Cl2, >CR8PR13R15R15 и т.п., где несколько групп R, такие как описано выше. Кроме того, в одной молекуле могут присутствовать две или несколько нитроксильных групп, например, связанных через один или несколько остатков типа Z связывающей группой Е, как описано в патенте США 5254760, который включен в данную заявку путем ссылки. Как указано выше, для всех приведенных выше структур соединений нитроксила R4 и R7 независимо выбраны из группы, состоящей из водорода, алкила и алкила, замещенного гетероатомом, и R5 и R6 независимо выбраны из группы, состоящей из алкила и алкила, замещенного гетероатомом. Алкильные группы (или алкильные группы, замещенные гетероатомом) R4-R4 могут быть одинаковыми или разными и предпочтительно содержат 1-15 атомов углерода, например метил, этил, пропил, бутил, пентил, гексил, гептил, октил, нонил, децил, ундецил, додецил, тридецил, тетрадецил, пентадецил и т.п. и их изомеры, например трет-бутил, 2-этилгексил и т.п. Более предпочтительно, чтобы R4-R7 представляли собой независимо выбранные низшие алкилы (или низшие алкилы, замещенные гетероатомом), содержащие один-пять атомов углерода (например, метил, этил, пропил, бутил, пентил и их изомеры). Там, где имеются гетероатомные заместители, они могут, например, включать галоген, кислород, серу и т.п.; наиболее предпочтительно, чтобы все заместители R4-R4 представляли собой метил. Примеры подходящих производных свободного нитроксидного радикала, которые можно использовать в комбинации с сульфонированными нитрофенолами в практике настоящего изобретения, включают (но не ограничиваются ими): N,N-ди-/трет-бутилнитроксид; N,N-ди-/трет-амилнитроксид; М-трет-бутил-2-метил-1-фенил-пропилнитроксид; N-трет-бутил-1-диэтилфосфоно-2,2-диметилпропилнитроксид; 2,2,6,6-тетраметилпиперидинилокси; 4-амино-2,2,6,6-тетраметилпиперидинилокси; 4-гидрокси-2,2,6,6-тетраметилпиперидинилокси; 4-оксо-2,2,6,6-тетраметилпиперидинилокси; 4-диметиламино-2,2,6,6-тетраметилпиперидинилокси; 4-этаноилокси-2,2,6,6-тетраметилпиперидинилокси; 2,2,5,5-тетраметилпирролидинилокси; 3-амино-2,2,5,5-тетраметилпирролидинилокси; 2,2,4,4-тетраметил-1-окса-3-азациклопентил-3-окси; 2,2,4,4-тетраметил-1-окса-3-пирролинил-1-окси-3-карбоновая кислота; 2,2,3,3,5,5,6,6-октаметил-1,4-диазациклогексил-1,4-диокси; 4-бром-2,2,6,6-тетраметилпиперидинилокси; 4-хлор-2,2,6,6-тетраметилпиперидинилокси; 4-йод-2,2,6,6-тетраметилпиперидинилокси; 4-фтор-2,2,6,6-тетраметилпиперидинилокси; 4-циано-2,2,6,6-тетраметилпиперидинилокси; 4-карбокси-2,2,6,6-тетраметилпиперидинилокси; 4-карбометокси-2,2,6,6-тетраметилпиперидинилокси; 4-карбэтокси-2,2,6,6-тетраметилпиперидинилокси; 4-циано-4-гидрокси-2,2,6,6-тетраметилпиперидинилокси; 4-метил-2,2,6,6-тетраметилпиперидинилокси; 4-карбэтокси-4-гидрокси-2,2,6,6-тетраметилпиперидинилокси; 4-гидрокси-4-(1-гидроксипропил)-2,2,6,6-тетраметилпиперидинилокси; 4-метил-2,2,6,6-тетраметил-1,2,5,6-тетрагидропиридин-1-оксил; 4-карбокси-2,2,6,6-тетраметил-1,2,5,6-тетрагидропиридин-1-оксил; 4-карбометокси-2,2,6,6-тетраметил-1,2,5,6-тетрагидропиридин-1-оксил; 4-карбэтокси-2,2,6,6-тетраметил-1,2,5,6-тетрагидропиридин-1-оксил; 4-амино-2,2,6,6-тетраметил-1,2,5,6-тетрагидропиридин-1-оксил; 4-амидо-2,2,6,6-тетраметил-1,2,5,6-тетрагидропиридин-1-оксил; 3,4-дикето-2,2,5,5-тетраметилпирролидинилокси; 3-кето-4-оксимино-2,2,5,5-тетраметилпирролидинилокси; 3-кето-4-бензилидин-2,2,5,5-тетраметилпирролидинилокси; 3-кето-4,4-дибром-2,2,5,5-тетраметилпирролидинилокси; 2,2,3,3,5,5-гексаметилпирролидинилокси; 3-карбоксимидо-2,2,5,5-тетраметилпирролидинилокси; 3-оксимино-2,2,5,5-тетраметилпирролидинилокси; 3-гидрокси-2,2,5,5-тетраметилпирролидинилокси; 3-циано-3-гидрокси-2,2,5,5-тетраметилпирролидинилокси; 3-карбометокси-3-гидрокси-2,2,5,5-тетраметилпирролидинилокси; 3-карбэтокси-3-гидрокси-2,2,5,5-тетраметилпирролидинилокси; 2,2,5,5-тетраметил-3-карбоксамидо-2,5-дигидропиррол-1-оксил; 2,2,5,5-тетраметил-3-амино-2,5-дигидропиррол-1-оксил; 2,2,5,5-тетраметил-3-карбэтокси-2,5-дигидропиррол-1-оксил; 2,2,5,5-тетраметил-3-циано-2,5-дигидропиррол-1-оксил; бис(1-оксил-2,2,6,6-тетраметилпиперидин-4-ил)сукцинат; бис(1-оксил-2,2,6,6-тетраметилпиперидин-4-ил)адипат; бис(1-оксил-2,2,6,6-тетраметилпиперидин-4-ил)себацинат; бис(1-оксил-2,2,6,6-тетраметилпиперидин-4-ил)н-бутилмалонат; бис(1-оксил-2,2,6,6-тетраметилпиперидин-4-ил)фталат; бис(1-оксил-2,2,6,6-тетраметилпиперидин-4-ил)изофталат; бис(1-оксил-2,2,6,6-тетраметилпиперидин-4-ил)терефталат; бис(1-оксил-2,2,6,6-тетраметилпиперидин-4-ил)гексагидротерефталат; N,N’-бис(1-оксил-2,2,6,6-тетраметилпиперидин-4-ил)адипамид; N-(1-оксил-2,2,6,6-тетраметилпиперидин-4-ил)капролактам; N-(1-оксил-2,2,6,6-тетраметилпиперидин-4-ил)-додецилсукцинимид; 2,4,6-трис-[N-бутил-N-(1-оксил-2,2,6,6-тетраметилпиперидин-4-ил)]-s-триазин; 4,4′-этиленбис(1-оксил-2,2,6,6-тетраметилпиперазин-3-он) и т.п. В настоящей заявке сокращение TEMPO обозначает 2,2,6,6-тетраметил-1-пиперидинилокси. Следовательно, 4-амино-ТЕМРО обозначает 4-амино-2,2,6,6-тетраметил-1-пиперидинилокси; 4-гидрокси-ТЕМРО обозначает 4-гидрокси-2,2,6,6-тетраметил-1-пиперидинилокси (также именуемый НТЕМРО в данной области техники); 4-оксо-ТЕМРО обозначает 4-оксо-2,2,6,6-тетраметил-1-пиперидинилокси и так далее. Предпочтительно, чтобы один член комбинации, используемый в практике настоящего изобретения, представлял собой 4-амино-ТЕМРО, 4-оксо-ТЕМРО, 4-гидрокси-ТЕМРО или TEMPO. Наиболее предпочтительным является 4-оксо-ТЕМРО. Можно применять также смеси двух или более из указанных выше компонентов, например 4-амино-ТЕМРО и 4-оксо-ТЕМРО. Такие стабильные соединения нитроксидного свободного радикала могут быть получены известными методами (см., например, патенты США 3163677; 3334103; 3372182; 3422144; 3494930; 3502692; 3873564; 3966711 и 4665185; которые включены в настоящую заявку путем ссылки). Они подходят для применения в широком интервале температур, но температуры дистилляции, используемые для мономеров с этиленовой ненасыщенностью, которые стабилизируют способом по настоящему изобретению, обычно составляют от около 60°С до около 180°С, предпочтительно от около 70°С до около 165°С и более предпочтительно – от около 80°С до около 150°С. Такие дистилляции обычно осуществляют при абсолютном давлении в интервале от около 10 до около 1200 мм рт.ст. В случаях, где ингибирующая система по настоящему изобретению содержит нитрозоанилин, предпочтительно, чтобы он имел следующую структуру:
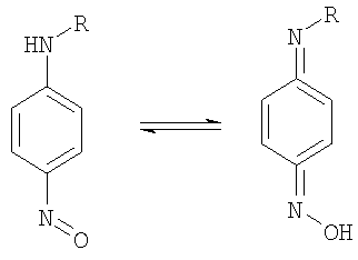
где R31 и R32 независимо выбраны из группы, состоящей из водорода, алкила, арила, ацила, гидроксила, алкокси, нитрозо и сульфонила, или R31 и R32 могут образовывать циклическое кольцо, которое является арильным, циклоалкильным, полиарильным или гетероциклическим. Заместители R33-R37 независимо выбраны из группы, состоящей из водорода, алкила, арила, ацила, гидроксила, алкокси, ацилокси, NR38(R39), нитро, нитрозо, галогена и сульфонила, или любые два соседних R могут образовывать циклическое кольцо, которое является арильным, циклоалкильным, полиарильным или гетероциклическим, при условии, что по меньшей мере один из заместителей R33-R37 должен представлять собой нитрозогруппу и R38 и R39 независимо выбраны из группы, состоящей из водорода, алкила, арила, ацила, и нитрозогруппы. Предпочтительно, чтобы R38 представлял собой водород, а R39 – алкил. Предпочтительно, чтобы нитрозоанилин по настоящему изобретению представлял собой С-нитрозоанилин. Наиболее предпочтительным нитрозоанилином для применения в практике по настоящему изобретению является 4-нитрозо-М-(1,4-диметилпентил)анилин. Специалисты в данной области техники должны знать, что для производных нитрозоанилина подразумевается, что имеет место таутомеризация в производные хинониминоксима, т.е.
См., например Sidgwick, N, V., The Organic Chemistry of Humpogen, Third Edition, Clarendon Press, Oxford, 1966. Следовательно, могут присутствовать обе формы, особенно в растворе при повышенных температурах, и, как можно ожидать, обе вносят вклад в ингибирующую активность таких соединений. Производные С-нитрозоанилина могут быть получены С-нитрозированием соответствующих анилинов любым способом, обычно применяемым для С-нитрозирования ароматических аминов. Например, реакция аминов с холодной азотной кислотой приводит к образованию N-нитрозосоединения, которое под действием избытка хлористоводородной кислоты перегруппировывается и дает n-нитрозоанилин. В некоторых случаях удобнее осуществлять нитрозирование и перегруппировку в одну стадию путем проведения реакции в метанольном растворе в присутствии избытка хлористого водорода в отсутствие влаги. Упомянутая методика описана в патенте США 2046356. Ароматический винильный мономер, преждевременная полимеризация и рост полимера которого является объектом настоящего изобретения, может быть любым таким мономером, для которого непредусмотренная полимеризация и/или рост полимера во время его производства, хранения и/или сбыта является проблемой. Из таких мономеров мономерами, для которых выгодно на практике применение настоящего изобретения, являются: стирол, Винильные ароматические мономеры не обязательно будут неограниченно стабилизироваться наличием ингибитора(ов), особенно, когда мономеры нагревают, как при дистилляции; но они могут рассматриваться как стабилизированные до тех пор, пока А) имеется измеримое увеличение времени, в течение которого их можно нагревать до начала полимеризации и/или роста полимера в статической системе, В) количество полимера, изготовляемого при постоянной температуре, остается постоянным с течением времени в динамической системе, и/или С) скорость роста полимера значительно медленнее, чем в отсутствие системы, ингибирующей рост. Специалисты в данной области техники поймут, что, если требуется, акцепторы свободных радикалов могут быть также включены в практику по настоящему изобретению. Например, можно прибавлять воздух или О2, как описано в патентах США 5545782 и 5545786, ароматические нитросоединения, описанные в патенте США 5254760, дигетерозамещенные производные бензола, содержащие по меньшей мере один подвижный водород, например производное хинона, такое как монометиловый простой эфир гидрохинона, описанный в Европейской патентной заявке 0765856 А1, соединения железа, описанные в WO 98/25872, и другие ингибиторы, например фенольные смолы и некоторые неорганические соли, хорошо известные специалистам в данной области техники. Ингибиторы полимеризации можно вводить в защищаемый мономер любым общепринятым способом. Их можно, например, прибавлять в виде концентрированного раствора в подходящих растворителях противотоком от места желательного применения любым подходящим способом. Кроме того, отдельные ингибирующие компоненты можно вводить по отдельности в установку для дистилляции с подачей на входе и/или через отдельные и многочисленные места ввода при условии, что имеется эффективное распределение ингибирующей композиции. Так как ингибиторы постепенно вырабатываются во время дистилляции, обычно выгодно поддерживать их соответствующее количество в аппаратуре для дистилляции, добавляя их во время дистилляции. Добавление ингибиторов может быть сделано или на непрерывной основе, или с перерывами для того, чтобы поддерживать концентрацию ингибитора выше минимального необходимого уровня. Суммарная концентрация ингибиторов должна составлять около 1-1000 ч./млн по отношению к мономеру, полимеризацию которого ингибируют; предпочтительно около 100-1000 ч./млн в зависимости от условий применения. Предпочтительно, чтобы ароматическая сульфоновая кислота присутствовала в концентрации около 1-500 ч./млн, более предпочтительно около 50-500 ч./млн; предпочтительно, чтобы амин присутствовал в концентрации около 1-200 ч./млн, более предпочтительно около 5-100 ч./млн; предпочтительно, чтобы концентрация соединения типа нитроксильного радикала составляла около 1-200 ч./млн, более предпочтительно – около 5-150 ч./млн; предпочтительно, чтобы нитрозоанилин присутствовал в количестве около 1-200 ч./млн, более предпочтительно около 5-150 ч./млн и предпочтительно, чтобы нитрофенол присутствовал в количестве около 1-500 ч./млн, более предпочтительно – около 50-500 ч./млн. Преимущества и важные признаки по настоящему изобретению станут более очевидными из примеров, приведенных ниже. ПРИМЕРЫ Пример 1 Ингибирующие и замедляющие свойства заявленных комбинаций для стирола испытывают, используя непрерывный динамический Reboiler Test для мониторинга образования полимера методом УФ-спектрофотометрии. В соответствии с указанным тестом ингибитор прибавляют к мономеру стиролу, из которого предварительно удаляют дистилляцией трет-бутилкатехол (ТВС). Приготовленный стирол в количестве 180 граммов помещают в колбу, которую погружают в масляную баню. Температура стирола обычно составляет 116°С. Во время тестирования свежую порцию вещества подают в колбу со скоростью три грамма в минуту и в то же время вещество из колбы выгружают с такой же скоростью. Стадию непрерывного режима продолжают до достижения равновесия. На стадии прекращения подачи загрузку и выгрузку вещества прекращают. Образцы отбирают каждый час при непрерывном режиме и каждые пять-десять минут в режиме прекращения подачи. Анализ комбинации 4-оксо- TEMPO/DBSA/NMP/DNBP при концентрациях 100 м.д./100 м.д./30 м.д./250 м.д. соответственно с использованием непрерывного динамического Reboiler Test показывал в результате 0,0004% полимера через 5 часов в непрерывном режиме и 0,31% полимера после 2 часов в режиме прекращения подачи. Пример 2 Анализ комбинации 4-оксо-TEMPO/DBSA/NMP/DNBP при концентрациях 100 м.д./250 м.д./75 м.д./250 м.д. соответственно с использованием непрерывного динамического Reboiler Test показывал в результате 0,0004% полимера через пять часов в непрерывном режиме и 0,157% полимера после двух часов прекращения подачи. Пример 3 Анализ композиции 4-нитрозо-N-(1,4-диметилпентил)анилин/DBSА/ММР/DNВР при концентрациях 100 м.д./250 м.д./75 м.д./250 м.д. соответственно с использованием непрерывного динамического Reboiler Test показывал в результате 0,0002% полимера через пять часов в непрерывном режиме и 0,007% полимера после двух часов прекращения подачи. Ввиду множества изменений и модификаций, которые могут быть сделаны без отступления от принципов, лежащих в основе изобретения, для понимания объема защиты, предоставляемой изобретению, следует обращать внимание на прилагаемую формулу изобретения.
Формула изобретения
1. Способ ингибирования и замедления преждевременной полимеризации и роста полимеров виниловых ароматических мономеров, включающий добавление к указанным мономерам эффективного количества смеси ингибитора и замедлителя, содержащей: 2. Способ по п.1, в котором ароматическая сульфоновая кислота представляет собой соединение структуры: 3. Способ по п.1, в котором амин представляет собой N-метил-2-пирролидинон. 4. Способ по п.1, в котором нитрофенол выбирают из группы, состоящей из 2,6-динитро-4-метилфенола, 2-нитро-4-метилфенола, 2,4-динитро-1-нафтола, 2,4,6-тринитрофенола (пикриновой кислоты), 2,4-динитро-6-метилфенола, 2,4-динитрофенола, 2,4-динитро-6-втор-бутилфенола, 4-циано-2-нитрофенола, 3-иодо-4-циано-5-нитрофенола, м-нитро-n-крезола и 2,6-динитро-n-крезола. 5. Способ по п.1, где (D) представляет собой нитрозоанилин структуры: 6. Способ по п.1, где степень предварительной полимеризации составляет 0,007% после двух часов прекращения подачи, измеренная в непрерывном динамическом испарителе. 7. Композиция для ингибирования и замедления преждевременной полимеризации и роста полимеров виниловых ароматических мономеров, содержащая смесь: 8. Композиция по п.7, в которой ароматической сульфоновой кислотой является соединение структуры: 9. Композиция по п.7, в которой амин представляет собой N-метил-2-пирролидинон. 10. Композиция по п.7, в которой нитрофенол выбран из группы, состоящей из 2,6-динитро-4-метилфенола, 2-нитро-4-метилфенола, 2,4-динитро-1-нафтола, 2,4,6-тринитрофенола (пикриновой кислоты), 2,4-динитро-6-метилфенола, 2,4-динитрофенола, 2,4-динитро-6-втор-бутилфенола, 4-циано-2-нитрофенола, 3-йод-4-циано-5-нитрофенола, м-нитро-n-крезола и 2,6-динитро-n-крезола. 11. Композиция по п.7, где (D) представляет собой нитрозоанилин структуры: 12. Композиция по п.7, которая демонстрирует степень ингибирования предварительной полимеризации до 0,007% после двух часов прекращения подачи, измеренную в непрерывном динамическом испарителе. 13. Композиция для получения полимера на основе ароматического винилового мономера, содержащая ароматический виниловый мономер и смесь ингибитора и замедлителя полимеризации в количестве от 1 до 1000 ч./млн по отношению к мономеру, содержащей: 14. Композиция по п.13, где ароматическая сульфоновая кислота представляет собой соединение структуры: 15. Композиция по п.13, в которой амин представляет собой N-метил-2-пирролидинон. 16. Композиция по п.13, в которой нитрофенол выбран из группы, состоящей из 2,6-динитро-4-метилфенола, 2-нитро-4-метилфенола, 2,4-динитро-1-нафтола, 2,4,6-тринитрофенола (пикриновой кислоты), 2,4-динитро-6-метилфенола, 2,4-динитрофенола, 2,4-динитро-6-втор-бутилфенола, 4-циано-2-нитрофенола, 3-йод-4-циано-5-нитрофенола, м-нитро-n-крезола и 2,6-динитро-n-крезола. 17. Композиция по п.13, в которой (D) представляет собой нитрозоанилин структуры: 18. Композиция по п.7, в которой (А) представляет собой додецилбензолсульфоновую кислоту, (В) представляет собой N-метил-2-пирролидинон, (С) представляет собой 2,4-динитро-6-втор-бутилфенол и (D) представляет собой 4-нитрозо-N-(1,4-диметилпентил)анилин. 19. Композиция по п.13, в которой (А) представляет собой додецилбензолсульфоновую кислоту, (В) представляет собой N-метил-2-пирролидинон, (С) представляет собой 2,4-динитро-6-втор-бутилфенол и (D) представляет собой 4-оксо-2,2,6,6-тетраметил-1 пиперидинилокси или 4-нитрозо-N-(1,4-диметилпентил)анилин. 20. Композиция по п.13, где степень полимеризации ароматических виниловых мономеров составляет 0,007% после двух часов прекращения подачи, измерения в непрерывном динамическом испарителе.
|
||||||||||||||||||||||||||

-атомах углерода и (ii) от 99,95 до 95,5% (мас.) в расчете на всю смесь (В) по меньшей мере одного нитросоединения.
2004/0147797, т.е. соединения структуры:
-нафтиламин, изопропоксидифениламин, алдоль-












