Патент на изобретение №2391327
|
||||||||||||||||||||||||||||||||||||||||||||||||||||||||||
(54) СОСТАВ ИНГИБИТОРА ПОЛИМЕРИЗАЦИИ СТИРОЛА
(57) Реферат:
Изобретение относится к составу ингибитора полимеризации стирола, содержащему N,N-диметил-3,5-ди-трет-бутил-4-гидроксибензиламин, предельную карбоновую кислоту С7-С17, характеризующемуся тем, что он дополнительно содержит непредельную карбоновую кислоту при следующем соотношении компонентов, мас.%: N,N-диметил-3,5-ди-трет-бутил-4-гидроксибензиламин 66,7-33,3, предельная карбоновая кислота C7-C17 30-6,6, непредельная карбоновая кислота 3,3-60. Применение настоящего ингибитора полимеризации позволяет снизить полимеризацию стирола за счет уменьшения количества образующегося термополимера с 1,13 мас.% до 0 мас.% при меньшем расходе ингибитора. 1 табл.
Изобретение относится к нефтехимической промышленности, в частности к предотвращению самопроизвольной полимеризации стирола в процессе его выделения, очистки, ректификации, хранения, перевозки и в процессе синтеза органических продуктов с использованием стирола. Известно, что стирол является термически нестабильным соединением и самопроизвольно полимеризуется уже при комнатной температуре. Получение чистого стирола при температурах 100°С и выше требует использования ингибитора термополимеризации. Известен состав ингибитора полимеризации стирола, содержащий N,N-диметил-3,5-ди-трет-бутил-4-гидроксибензиламин и предельную карбоновую кислоту, например, стеариновая или пальмитиновая или смесь предельных синтетических жирных кислот (СЖК) или их ангидриды и органический растворитель, например стирол, бензол, толуол, ксилол, этилбензол, ацетофенон при соотношении компонентов, мас.%:
см. RU патент Процесс ингибирования ведут при 101±2°С. Состав ингибитора полимеризации стирола используют в количестве 0,2 мас.%. Содержание термополимера через 3 часа составляет 0,11 мас.%. Недостатком указанного состава ингибитора полимеризации стирола является большой его расход, высокий процент содержания термополимера. Известен также состав ингибитора полимеризации стирола, содержащий: N-диметил-3,5-ди-трет-бутил-4-гидроксибензиламин, предельную карбоновую кислоту, например пальмитиновая, уксусная, адипиновая или непредельную карбоновую кислоту, например, олеиновая и хинон, при следующем соотношении компонентов, мас.%:
см. RU Патент Процесс ингибирования ведут при 150°С. Состав ингибитора полимеризации стирола используют в количестве 0,2 мас.%. Содержание термополимера через 3 часа составляет 0,3 мас.%. Недостатком указанного состава ингибитора полимеризации стирола является большой его расход, состав ингибитора работает при повышенных температурах, в стироле присутствует высокий процент содержания термополимера. Наиболее близким по технической сущности является состав ингибитора полимеризации стирола, содержащий N,N-диметил-3,5-ди-трет-бутил-4-гидроксибензиламин, предельную карбоновую кислоту из ряда С10-С20 при соотношении N,N-диметил-3,5-ди-трет-бутил-4-гидроксибензиламина и предельной карбоновой кислоты из ряда С10-С20 и ароматический растворитель, мас.%:
см. SU авторское свидетельство Недостатком указанного состава ингибитора полимеризации стирола является большой его расход и в стироле присутствует высокий процент содержания термополимера. Задачей изобретения является получение состава ингибитора полимеризации стирола, способного снизить полимеризацию стирола. Техническая задача решается составом ингибитора полимеризации стирола, содержащим N,N-диметил-3,5-ди-трет-бутил-4-гидроксибензиламин, предельную карбоновую кислоту C7-C17, который дополнительно содержит непредельную карбоновую кислоту при следующем соотношении компонентов, мас.%:
Решение технической задачи позволяет уменьшить количество образующегося в стироле термополимера до 0 мас.% при меньшем расходе ингибитора. Для ингибирования полимеризации стирола используют состав в количестве 0,05 мас.%. Состав ингибитора полимеризации стирола получают сплавлением N,N-диметил-3,5-ди-трет-бутил-4-гидроксибензиламина, предельной C7-C17 и непредельной карбоновых кислот. В качестве предельной карбоновой кислоты C7-C17 можно использовать стеариновую (ГОСТ 6484-96), пальмитиновую, адипиновую (ГОСТ 10558-80) карбоновые кислоты. В качестве непредельной карбоновой кислоты можно использовать олеиновую, элаидиновую, линолевую, линоленовую кислоты. Для лучшего понимания изобретения приводим примеры конкретного выполнения. Пример 1 (по прототипу) Предварительно приготовленный состав ингибитора полимеризации стирола, содержащий N,N-диметил-3,5-ди-трет-бутил-4-гидроксибензиламин и стеариновую кислоту, и органический растворитель стирол, при соотношении компонентов, мас.%:
загружают в стирол в количестве 0,05 мас.% от стирола, термостатируют при температуре 120±5°С, через каждые 10 мин времени фиксируют изменение в дилатометре объема реакционной массы, по изменению которого вычисляют содержание термополимера. Содержание термополимера (X) в процентах вычисляют по формуле: X=( Где dt – плотность стирола при температуре опыта, г/см3; V – объем стирола в дилатометре, мл;
k – коэффициент контракции стирола при 120±5°С. Эффективность ингибирующего действия состава ингибитора определяют по времени до начала появления термополимера в стироле и по количеству образовавшегося термополимера, см. Швец В.Ф. Нефтехимический синтез. Лабораторный практикум по химии основного органического и нефтехимического синтеза. М.: Химия, 1992, 240 с. Содержание термополимера при соотношении компонентов, мас.%:
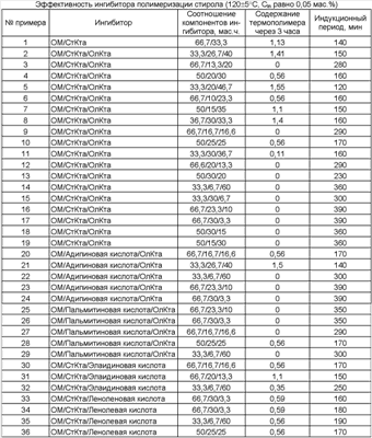
через 3 часа составляет 1,41 мас.%. Примеры 2-4 Состав ингибитора полимеризации стирола, содержащий N,N-диметил-3,5-ди-трет-бутил-4-гидроксибензиламин (ОМ), стеариновую кислоту (СтКта), олеиновую кислоту (ОлКта), при соотношении компонентов, мас.%: N,N-диметил-3,5-ди-трет-бутил-4-гидроксибензиламин 33,3-66,7: стеариновая кислота 20-26,7: олеиновая кислота 20-40, после сплавления указанных компонентов загружают в стирол в количестве CIn, равном 0,05 мас.% от стирола, термостатируют при температуре 120±5°С, через каждые 10 мин времени фиксируют изменение в дилатометре объема реакционной массы, по изменению которого вычисляют содержание термополимера. Процесс ингибирования термополимеризации ведут до появления в системе 5% полистирола, в противном случае затруднена выгрузка продукта.
Примеры 5-19 выполнены аналогично примерам 2,3,4, при соотношении компонентов, мас.%: N,N-диметил-3,5-ди-трет-бутил-4-гидроксибензиламин 66,7-33,3: стеариновая кислота 30-6,6: олеиновая кислота 3,3-60. В качестве ингибитора полимеризации стирола используют 0,05 мас.% состава, см. таблицу. Примеры 20-24 выполнены аналогично примерам 2-4, при соотношении компонентов, мас.%: N,N-диметил-3,5-ди-трет-бутил-4-гидроксибензиламин 66,7-33,3: адипиновая кислота 30-6,6: олеиновая кислота 3,3-60. В качестве ингибитора полимеризации стирола используют 0,05 мас.% состава, см. таблицу. Примеры 25-29 выполнены аналогично примерам 2-4, при соотношении компонентов, мас.%: N,N-диметил-3,5-ди-трет-бутил-4-гидроксибензиламин 66,7-33,3: пальмитиновая кислота 30-6,6: олеиновая кислота 3,3-60. В качестве ингибитора полимеризации стирола используют 0,05 мас.% состава, см. таблицу. Примеры 30-32 выполнены аналогично примерам 2-4, при соотношении компонентов, мас.%: N,N-диметил-3,5-ди-трет-бутил-4-гидроксибензиламин 66,7-33,3: стеариновая кислота 30-6,6: элаидиновая кислота 3,3-60. В качестве ингибитора полимеризации стирола используют 0,05 мас.% состава, см. таблицу. Пример 33 выполнен аналогично примерам 2-4, при соотношении компонентов, мас.%: N,N-диметил-3,5-ди-трет-бутил-4-гидроксибензиламин 66,7-33,3: стеариновая кислота 30-6,6: леноленовая кислота 3,3-60. В качестве ингибитора полимеризации стирола используют 0,05 мас.% состава, см. таблицу. Примеры 34-36 выполнены аналогично примерам 2-4, при соотношении компонентов, мас.%: N,N-диметил-3,5-ди-трет-бутил-4-гидроксибензиламин 66,7-33,3: стеариновая кислота 30-6,6: ленолевая кислота 3,3-60. В качестве ингибитора полимеризации стирола используют 0,05 мас.% состава, см. таблицу. Как видно из примеров конкретного выполнения, заявляемый состав для ингибирования позволяет снизить полимеризацию стирола за счет уменьшения количества образующегося термополимера с 1,13 мас.% до 0 мас.% при расходе ингибитора 0,05 мас.%. Максимальный индукционный период до начала появления полистирола составляет 6,5 ч, тогда как по прототипу – 1,1 ч.
Формула изобретения
Состав ингибитора полимеризации стирола, содержащий N,N-диметил-3,5-ди-трет-бутил-4-гидроксибензиламин, предельную карбоновую кислоту C7-C17, отличающийся тем, что он дополнительно содержит непредельную карбоновую кислоту при следующем соотношении компонентов, мас.%:
|
||||||||||||||||||||||||||||||||||||||||||||||||||||||||||

2075468, МПК6 С07С 7/20, 1997.
V dt 100)/V
k, см. Малкин А.Я., Вольфсон С.А. Полистирол. Физико-химические основы получения и переработки. М.: Химия, 1975, 288 с.
