|
|
(21), (22) Заявка: 2007119836/04, 05.05.2005
(24) Дата начала отсчета срока действия патента:
05.05.2005
(30) Конвенционный приоритет:
05.05.2004 GB 0410015.2
(43) Дата публикации заявки: 10.12.2008
(46) Опубликовано: 10.06.2010
(56) Список документов, цитированных в отчете о поиске:
RU 2251168, 27.04.2005. DE 3246319, 20.06.1984. US 4917857, 17.04.1990.
(85) Дата перевода заявки PCT на национальную фазу:
29.05.2007
(86) Заявка PCT:
GB 2005/001710 20050505
(87) Публикация PCT:
WO 2005/105885 20051110
Адрес для переписки:
191036, Санкт-Петербург, а/я 24, “НЕВИНПАТ”, пат.пов. А.В.Поликарпову
|
(72) Автор(ы):
ЛИНЧ Дэниэл Эрик (GB)
(73) Патентообладатель(и):
Эксилика Лтд (GB)
|
(54) МАТЕРИАЛЫ В ВИДЕ ЧАСТИЦ
(57) Реферат:
Изобретение относится к применению полимерного материала, а именно к применению полимерного материала в виде частиц в качестве носителя для активного агента. Полимерный материал представляет собой полимер, полученный путем сополимеризации пиррола и квадратной или кроконовой кислоты или ее производного. Применение в соответствии с изобретением позволяет использовать полимерный материал как композицию в виде частиц в качестве абсорбента или агента замедленного высвобождения. 5 н. и 11 з.п. ф-лы, 8 ил., 1 табл.
Данное изобретение относится к полимерам в виде частиц, получаемым из них стеклам в виде частиц, к их использованию в качестве емкостей или капсулирующих агентов, к композициям емкостей и капсулирующих агентов и материалам, содержащим эти композиции, в частности к материалам, в которых базовый полимер получают с использованием сочетания ненасыщенного гетероциклического мономера и мононенасыщенного четырех- или пятизвенного дигидрокси-, ди- или триоксомономера, т.е. квадратной кислоты или кроконовой кислоты или ее активированного производного.
Материалы подложки в виде частиц используют в различных областях химии в качестве носителя или средства капсулирования химических соединений, имеющих нужные свойства, например красителей, диагностических агентов, катализаторов, среды для роста и т.п.
Обычно подобные материалы подложки в виде частиц включают пористые, сплошные и пустотелые органические (например, полимерные) и неорганические (например, силикатные) частицы.
В случае подобных материалов подложек в виде частиц часто бывает сложно или дорого обеспечить требуемые свойства с точки зрения размера частиц, распределения частиц по размерам, пористости, характеристик заполнения, характеристик высвобождения, проницаемости для растворителя и т.п. Это особенно верно в случае пустотелых носителей в виде частиц. Таким образом, существует постоянная необходимость в новых материалах, имеющих необходимые свойства в качестве носителей.
Класс полимеров, получаемых сополимеризацией ненасыщенных гетероциклических мономеров и квадратной или кроконовой кислот, был исследован с точки зрения их оптоэлектронных свойств. В качестве примера можно привести обзорную статью Аджаягоша (Ajayaghosh) в Chem. Soc. Rev. 32: 181-191 (2003), содержание которой включено сюда путем ссылки. Однако для этих полимеров не рассматривалась возможность применения в качестве материала подложки, и фактически многие отвергали такую возможность из-за бесполезности ввиду их «неподатливой природы» (см. Аджаягош (выше) на стр.186, левый столбец), поскольку они образуют нерастворимый материал при полимеризации в растворе.
Авторы, однако, обнаружили, что эти неподатливые материалы обладают свойствами, которые делают их особенно пригодными для использования в качестве носителей в виде частиц, в частности способностью абсорбировать нужные вещества, возможностью нанесения слоев неорганического стекла, управляемым сокращением при нагревании, способностью образовывать полые проницаемые стеклянные сферы при термическом разложении полимерной сердцевины и т.п.
Таким образом, в одном из аспектов изобретения предложено применение полимерного материала в виде частиц в качестве носителя активного агента, характеризующееся тем, что указанный полимерный материал представляет собой полимер, полученный путем сополимеризации ненасыщенных гетероциклических мономеров и квадратной или кроконовой кислот или ее производного.
В другом аспекте изобретения предложено применение пустотелых стеклянных частиц в качестве носителя активного агента, характеризующееся тем, что указанные пустотелые стеклянные частицы получены путем пиролиза покрытого стеклом полимера, полученного путем сополимеризации ненасыщенного гетероциклического мономера и квадратной или кроконовой кислот или их производного.
Полимерный материал в виде частиц, используемый в соответствии с изобретением, предпочтительно получают полимеризацией мономеров в растворе, в котором получаемый полимер становится нерастворимым, т.е. в полимеризационной смеси формируются нерастворимые частицы полимера. Используемым растворителем может быть любой подходящий органический растворитель, предпочтительно спирт, например C1-14алканол, такой как бутан-1-ол, гексан-1-ол, декан-1-ол, тетрадеканол и гексадеканол, предпочтительно C2-8алканол, более предпочтительно бутан-1-ол.
Гетероциклический мономер может содержать один гетероцикл (предпочтительно пиррольное кольцо) или два или более гетероциклов, соединенных сочлененными циклами, связью, не сочлененными циклами или цепочкой, возможно содержащей кольцевую структуру. Гетероциклы, участвующие в реакции полимеризации, предпочтительно являются пятичленными кольцами, содержащими атом азота, которые либо не имеют заместителя в положении рядом с азотом (или в обоих положениях рядом с азотом, если в реакции полимеризации принимает участие только один гетероцикл), либо имеют в этом положении в качестве заместителя метиленовую группу. Примеры соответствующих типов структур приведены у Аджаягоша (см. выше). Особенно предпочтительной гетероциклической группой является 2,5-незамещенный пиррол или 5,5′-незамещенный-2,2′-бис-пиррол. В этих соединениях положения 1, 3 и 4 могут при желании содержать заместители, например возможно замещенные алкильные, аралкильные или арильные группы. Обычно необязательные заместители в этих группах могут представлять собой гидроксигруппы, тиольные группы, аминогруппы, оксогруппы, оксагруппы, карбоксигруппы и другие группы и их замещенные варианты (например, содержащие в качестве заместителей алкоксигруппы, алкиламиногруппы, карбоксиалкильные группы, алкильные, арильные или аралкильные группы). В случае 2,2′-бис-пирролов связывание пиррольной группы может происходить, например, с помощью связи, цепочки (например, метиленовой или полиметиленовой цепочки или замещенной цепочки, например 9-этилкарбильной), насыщенного или ненасыщенного кольца (например, фуранового, тиофенового, бензольного, бис-фенильного, пиридинового, антраценового или стильбенового кольца) или цепочки, разделяемой кольцом (например, винил-фенил-винил). При необходимости мономер выбирают так, чтобы в основной цепи полимера двойные связи чередовались, то есть так, чтобы вдоль полимерной цепи возникала делокализованная система электронов.
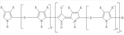
Таким образом, в особенно предпочтительном варианте изобретения полимер имеет структуру

где каждый из R, которые могут быть одинаковыми или разными, представляет собой водород или возможно замещенный алкил; Х является связью или мостиковой группой; y равен нулю или является положительным целым числом (например, 1, 2, 3 или 4), a z – положительное целое число, значение которого определяет молекулярную массу полимера.
Как легко можно понять, при y>1 гетероциклический мономер сам может быть заранее полученным полимером или олигомером.
В гетероциклическом мономере водород кольца предпочтительно является незамещенным или имеет алкильный заместитель, предпочтительно метильную группу.
В используемых мономерах любая алкильная или алкиленовая группа, если не указано другое, предпочтительно содержит до 6 атомов углерода; любое кольцо предпочтительно является 5-, 6- или 7-членным и содержит 0, 1 или 2 гетероатома, предпочтительно атомы О, N или S; и любая система конденсированных колец предпочтительно содержит 2 или 3 кольца.
Полимерные гранулы, получаемые таким образом, обычно по существу монодисперсны, с размером частиц от 0,1 до 5 мкм (определен как максимальный диаметр, как минимум 90% об. частиц имеют такой или меньший размер – это можно определить с помощью аппарата Культера для измерения размера частиц). Размер частиц можно уменьшить, в основном согласованно, путем нагревания до температуры ниже той, при которой начинается пиролиз, например до температуры 400-500°С, в особенности до 430-450°С.
«Активный агент» (или его предшественник) может абсорбироваться в эти частицы из раствора, например, в водном или органическом растворителе. Активный агент или его предшественник, используемый для этой цели, может быть любым органическим или неорганическим веществом или смесью веществ, способной обеспечить желаемые характеристики конечного продукта. Так, например, он может представлять собой органический или неорганический краситель или предшественник красителя (используемый здесь термин обозначает как вещества, поглощающие видимый свет, так и флуоресцирующие и фосфоресцирующие материалы), органический, неорганический или металлоорганический катализатор или предшественник катализатора, биологический материал (например, бактерии или вирусы), радиохимический, диагностический агент (например, парамагнитный или суперпарамагнитный материал, рентгеноконтрастный материал, фторуглерод и т.п.), связывающий агент (например, антитело или фрагмент антитела) и т.д. Если необходимо, частицы можно использовать для переноса смеси веществ (т.е. как минимум двух веществ), а не единичного «активного» компонента. В этом случае частица может быть последовательно или одновременно пропитана растворами веществ, которые она должна переносить. При необходимости активный агент может быть реагентом для выбранной реакции и, разумеется, в разные партии частиц можно загружать различные реагенты, а затем их смешивают, так что при высвобождении реагентов между ними протекает реакция. Однако в основном, в случае пиролиза полимерной подложки, загружаемый в частицы материал представляет собой соединение металла или псевдометалла (например, неорганическое соединение), либо материал можно загружать после пиролиза покрытых стеклом полимерных частиц.
В наиболее предпочтительном варианте изобретения в полимерные частицы, не имеющие покрытия, загружают соединение металла в растворенном виде, например в виде растворенных оксидов, хлоридов, сульфатов, нитратов, фосфатов, ацетатов и т.д., или в виде металлоорганических соединений, например алкилов или алкоксидов металлов. Таким образом, представляется, что в частицы можно загрузить практически любой элемент.
Если это необходимо для получения покрытых стеклом или пустотелых стеклянных частиц, частицы полимера могут быть введены в контакт с керамическим предшественником, например с алкоксидом металла или псевдометалла. Нагревание таких обработанных частиц полимера приводит к образованию стекла (т.е. керамики) за счет разложения алкоксида. Нагревание до температуры, при которой происходит пиролиз полимера, приводит к образованию пустотелых стеклянных частиц, содержащих заранее загруженный активный агент (если он был загружен). Обычно пиролиз происходит при температуре порядка 600°С, например 650-700°С. В таких условиях может оказаться, что «стекло» не должно быть силикатным стеклом и может представлять собой любую другую металлическую или псевдометаллическую керамику, например оксид циркония, титана, гафния и т.п. Поскольку оксид циркония и т.д. могут оказывать каталитическое действие, стеклянная оболочка может представлять собой или содержать активный агент.
Авторы неожиданно обнаружили, что эта стеклянная оболочка, в отличие от оболочек известных микросфер из оксида кремния, является преимущественно проницаемой. Это позволяет загружать активные агенты и предшественники в частицы после образования стеклянной оболочки, а также обеспечивать вымывание активных агентов из оболочек или проникновение внутрь жидкостей (например, воды). Таким образом, эти покрытые стеклянной оболочкой частицы особенно подходят для использования в качестве резервуаров для активных агентов, например, для замедленного высвобождения in vivo или ex vivo. Одним из особенно предпочтительных областей применения таких загруженных пустотелых стеклянных оболочек является замедленное высвобождение фосфоресцирующих материалов в материалах покрытий или поверхности.
Таким образом, еще в одном аспекте изобретения предложена композиция частиц, содержащая частицы субстрата, в которых находится активный агент, причем указанные частицы субстрата представляют собой частицы полимера, полученного сополимеризацией ненасыщенных гетероциклических мономеров и квадратной или кроконовой кислот или ее производного, которые возможно имеют стеклообразующее покрытие, или частицы полимера, полученного сополимеризацией ненасыщенных гетероциклических мономеров и квадратной или кроконовой кислот или ее производного, имеющие стеклообразующее покрытие и подвергнутые пиролизу, причем указанная композиция, возможно, содержит также носитель и, возможно, содержит также образующий матрицу материал.
Носитель в этой композиции обычно представляет собой жидкость, т.е. воду или органический растворитель.
Образующий матрицу агент в этой композиции обычно может быть краской, глазурью, лаком, цементом или основой бетона, т.е. материалом, который может упрочняться с образованием твердого тела или пленки, в которую внедрены частицы.
В следующем аспекте изобретения предложено применение композиции частиц в соответствии с изобретением в качестве абсорбента, катализатора, красителя, агента с замедленным высвобождением, контрастного вещества, хроматографического носителя или реагента для химической реакции.
При необходимости стеклообразующий реагент может быть нагрет в восстановительной среде (например, в атмосфере водорода) для получения металлической или псевдометаллической оболочки, а не стеклообразной оболочки. Полученные в результате частицы и их применение также являются частью данного изобретения.
При пропитке полимера соединением металла он может быть подвергнут пиролизу для получения полых гранул соединения этого металла. Полученные в результате гранулы и их применение также являются частью данного изобретения. Они могут включать оболочки из оксидов титана, кремния или железа, описанные ниже, которые можно использовать сами по себе или после загрузки в них других активных агентов.
Далее изобретение будет проиллюстрировано при помощи ссылки на приводимые примеры, не ограничивающие изобретение.
Пример 1
Получение поли-1-метилпиррол-2-ил-скварена
Поли-(пиррол-2-ил-скварен)ы получали путем нагревания с обратным холодильником эквимолярных количеств производных пиррола и квадратной кислоты в алкиловом спирте (или смеси растворителей, содержащих алкиловый спирт). Стандартная процедура получения, исходя из 1-метилпиррола, является следующей: эквимолярное количество 1-метилпиррола и квадратной кислоты нагревали с обратным холодильником в бутан-1-оле в течение 16 часов. После охлаждения сырой продукт отфильтровали и осушили. Растворимые материалы малой молекулярной массы удалили путем многократной экстракции продукта этилацетатом в течение 16 часов в аппарате Сокслета.
В качестве производных пиррола использовали пиррол, 1-метилпиррол, 2,6-бис(1-метилпиррол-2-ил)-пиридин, а,b-бис(1-метилпиррол-2-ил)-антрацен, 2,2′-бис(1-метилпиррол) и 1-ацетоксиэтилпиррол. Снимок полученного таким образом поли-1-метилпиррол-2-ил-скварена, полученный с помощью сканирующего электронного микроскопа, приведен на фиг.1.
Пример 2
Абсорбция ионов металла на поли-1-метилпиррол-2-ил-скварене
Поли(пиррол-2-ил-скварены) способны абсорбировать ионы элемента при погружении в кислый водный раствор, содержащий растворы солей элемента. В таблице 1 перечислены ионы металлов, которые абсорбировались на поли-(1-метилпиррол-2-ил-скварен). В таблице 1 указаны соли элементов, а также кислоты, использованные для разрушения этих солей.
1 г поли-1-метилпиррол-2-ил-скварена добавляли в 30 см3 раствора, содержащего 1 г соединения элемента или смеси элементов, растворенного(ных) в концентрированной кислоте или водном растворе кислоты. Смесь перемешивали в течение 5 минут и обрабатывали ультразвуком в течение трех секунд, после чего перемешивали 25 минут. Поли-1-метилпиррол-2-ил-скварен затем извлекали из смеси путем фильтрации.
  
нсс = неизвестное соединение, содержащее 
Галлий, селен и ртуть также могут быть включены в таблицу.
Поли-пиррол-2-ил-скварены могут также абсорбировать ионы элементов при выдерживании в водных основных растворах, содержащих растворенные гидроксиды элементов.
1 г поли-пиррол-2-ил-скварена добавляли в 30 см3 водного раствора, который подщелачивали до различной концентрации (от 0 до 2М) путем растворения неорганических оснований. Смесь перемешивали в течение 5 минут и обрабатывали ультразвуком в течение трех секунд, после чего перемешивали 25 минут. Поли-пиррол-2-ил-скварен извлекали из смеси путем фильтрации.
Пример 3
Использование поли-пиррол-2-ил-скварена для получения неорганических материалов
1 г поли-1-метилпиррол-2-ил-скварена добавляли в 30 см3 раствора, содержащего 1 г соединения элемента или смеси элементов в концентрированной кислоте или водном растворе кислоты. Смесь перемешивали в течение 5 минут и обрабатывали ультразвуком в течение трех секунд, после чего перемешивали 25 минут. Поли-1-метилпиррол-2-ил-скварен затем извлекали из смеси путем фильтрации. Неорганические материалы получали путем нагревания содержащего элемент поли-1-метилпиррол-2-ил-скварена в печи от комнатной температуры до 660°С.
Снимок полученного таким образом оксида железа (Fe2O3), полученный с помощью сканирующего электронного микроскопа, приведен на фиг.2.
Пример 4
Использование поли-пиррол-2-ил-скваренов в качестве материала матрицы для получения пустотелых оболочек из диоксида кремния
1 г поли-1-метилпиррол-2-ил-скварена добавляли в 30 см3 раствора, содержащего смесь тетраэтоксисилана и этанола в соотношении 9:1. Смесь перемешивали в течение 5 минут и обрабатывали ультразвуком в течение трех секунд, после чего перемешивали 25 минут. Покрытый кремнийорганическим соединением поли-1-метилпиррол-2-ил-скварен извлекали из смеси путем фильтрации и высушивали путем нагревания (60°С). 1 г покрытого кремнийорганическим соединением поли-1-метилпиррол-2-ил-скварена добавляли в 30 см3 раствора в концентрированной кислоте. Смесь перемешивали в течение 5 минут и обрабатывали ультразвуком в течение трех секунд, после чего перемешивали 25 минут. Покрытый кремнийорганическим соединением поли-1-метилпиррол-2-ил-скварен извлекали из смеси путем фильтрации. Полые оболочки из диоксида кремния получены путем нагревания в печи поли-1-метилпиррол-2-ил-скварена, покрытого кремнийорганическим соединением, от комнатной температуры до 600°С.
Снимок полученных таким образом полых оболочек из диоксида кремния, полученный с помощью сканирующего электронного микроскопа, приведен на фиг.3. На фиг.4 приведен снимок тех же оболочек, полученный с помощью просвечивающего электронного микроскопа.
Пример 5
Использование поли-пиррол-2-ил-скваренов в качестве материала матрицы для получения пустотелых оболочек из оксида титана
1 г поли-1-метилпиррол-2-ил-скварена добавляли в 30 см3 тетраэтилата титана. Смесь перемешивали в течение 5 минут и обрабатывали ультразвуком в течение трех секунд, после чего перемешивали 25 минут. Покрытый соединением титана поли-1-метилпиррол-2-ил-скварен извлекали из смеси путем фильтрации и высушивали путем нагревания (60°С). 1 г покрытого соединением титана поли-1-метилпиррол-2-ил-скварена добавляли в 30 см3 раствора в концентрированной кислоте. Смесь перемешивали в течение 5 минут и обрабатывали ультразвуком в течение трех секунд, после чего перемешивали 25 минут. Покрытый соединением титана поли-1-метилпиррол-2-ил-скварен извлекали из смеси путем фильтрации. Пустотелые оболочки из оксида титана получали путем нагрева покрытого соединением титана поли-1-метилпиррол-2-ил-скварена в печи от комнатной температуры до 660°С.
Снимок полученных таким образом пустотелых гранул из оксида титана, полученный с помощью сканирующего электронного микроскопа, приведен на фиг.5.
Пример 6
Использование пустотелых оболочек в качестве контейнеров для хранения молекул, например органических соединений и/или биологически активных молекул
Пустотелые оболочки пропитывали в растворе на основе органического растворителя, содержащем растворенное органическое вещество. Заполненные оболочки отделяли от смеси фильтрованием и промывали небольшим количеством органического растворителя.
На фиг.6 показан результат заполнения пустотелых оболочек различными цветными органическими красителями по описанному выше способу. В качестве органического растворителя использовали хлороформ.
Натриевую соль диклофенака внедряли в оболочки, используя в качестве растворителя метанол, а также смеси растворителей дихлорметан/метанол и хлороформ/метанол.
Пример 7
Использование пустотелых оболочек в качестве контейнеров для хранения водорастворимых соединений
Пустотелые оболочки пропитывали в насыщенном водном растворе, содержащем растворенное водорастворимое вещество. Смесь четырежды нагревали до 60°С и охлаждали до комнатной температуры, после чего заполненные оболочки отделяли фильтрованием от смеси и промывали небольшим количеством воды.
Эту процедуру использовали для заполнения оболочек трихлоридом трис-(этилен-1,2-диамин)кобальта (III).
Пример 8
Получение пустотелых оболочек из диоксида кремния, содержащих неорганическое вещество
1 г поли-1 -метилпиррол-2-ил-скварена добавляли в 30 см3 смеси тетраэтоксисилана и этанола в соотношении 9:1. Смесь перемешивали в течение 5 минут и обрабатывали ультразвуком в течение трех секунд, после чего перемешивали 25 минут. Покрытый кремнийорганическим соединением поли-1-метилпиррол-2-ил-скварен извлекали из смеси путем фильтрации и высушивали путем нагревания (60°С). 1 г покрытого кремнийорганическим соединением поли-1-метилпиррол-2-ил-скварена добавляли в 30 см3 раствора соединения элемента или смеси элементов в концентрированной кислоте или водном растворе кислоты. Смесь перемешивали в течение 5 минут и гомогенизировали ультразвуком в течение трех секунд, после чего перемешивали 25 минут. Покрытый кремнийорганическим соединением и содержащий соединение элемента поли-1-метилпиррол-2-ил-скварен затем извлекали из смеси путем фильтрации. Пустотелые оболочки из диоксида кремния, содержащие неорганические соединения элементов, получали путем нагревания покрытого кремнийорганическим соединением и содержащего соединение элемента поли-1-метилпиррол-2-ил-скварена в печи от комнатной температуры до 600°С.
Пример 9
Получение пустотелых оболочек из оксида титана, содержащих неорганическое вещество
1 г поли-1-метилпиррол-2-ил-скварена добавляли в 30 см3 тетраэтилата титана. Смесь перемешивали в течение 5 минут и обрабатывали ультразвуком в течение трех секунд, после чего перемешивали 25 минут. Покрытый соединением титана поли-1-метилпиррол-2-ил-скварен затем извлекали из смеси путем фильтрации и высушивали путем нагревания (60°С). 1 г покрытого соединением титана поли-1-метилпиррол-2-ил-скварена добавляли в 30 см3 раствора 1 г соединения элемента или смеси соединений элементов в концентрированной кислоте или водном растворе кислоты. Смесь перемешивали в течение 5 минут и обрабатывали ультразвуком в течение трех секунд, после чего перемешивали 25 минут. Покрытый соединением титана и содержащий соединение элемента поли-1-метилпиррол-2-ил-скварен затем извлекали из смеси путем фильтрации. Пустотелые оболочки из оксида титана, содержащие неорганические соединения элементов, получали путем нагревания в печи поли-1-метилпиррол-2-ил-скварена, покрытого соединением титана и содержащего соединения элементов, от комнатной температуры до 660°С.
В табл.1 представлены неорганические соединения элементов, полученные в ходе описанной выше процедуры при использовании исходных соединений элементов и кислот, перечисленных в табл.1.
Пример 10
Высвобождение веществ из пустотелых оболочек
На фиг.7 т 8 представлены кривые высвобождения ибупрофена и диклофенака из пустотелых оболочек из диоксида кремния согласно изобретению.
Пустотелые оболочки из диоксида кремния заполняли концентрированным раствором каждого из указанных лекарственных средств в метаноле, фильтровали, промывали и сушили. Далее пробы по 100 мг заполненных оболочек помещали в 100 мл жидкости, имитирующей желудочный сок (pH=1,4), при перемешивании со скоростью 200 об/мин. 1 мл пробы извлекли из раствора в указанные моменты времени и определяли поглощение раствора при 276 нм. Через 3,5 ч раствор заменяли на другой, имитирующий кишечный сок (pH=6,8), и продолжали измерения. Замена желудочного сока на кишечный является обычный при таких испытаниях, так как имитирует прохождение таблетки лекарства из желудка в кишечник.
Концентрации лекарственных средств измеряли с помощью спектроскопии поглощения в оптической области, зависимости которого от времени приведены на фиг.7 и 8. Величина поглощения характеризует концентрацию лекарственных средств в растворе. Незаполненные оболочки не проявляют поглощения в этой спектральной области. При измерении поглощения лекарственных средств в отсутствие оболочек оно остается высоким в течение всего эксперимента. Таким образом, приведенные графики свидетельствуют о медленном высвобождении лекарственных средств из оболочек в желудке и гораздо более интенсивном – в кишечнике, то есть оболочки удерживают лекарства до тех пор, пока они не попадают в условия, благоприятные для высвобождения.
Формула изобретения
1. Применение полимерного материала в виде частиц в качестве носителя для активного агента, отличающееся тем, что указанный полимерный материал представляет собой полимер, полученный путем сополимеризации пиррола, возможно замещенного алкилом или карбоксиалкилом, и квадратной или кроконовой кислоты или ее производного.
2. Применение по п.1, отличающееся тем, что указанную сополимеризацию проводят в растворителе, в котором указанный полимер по мере роста становится нерастворимым.
3. Применение по п.1 или 2, отличающееся тем, что указанную сополимеризацию проводят в спирте.
4. Применение по п.1, отличающееся тем, что указанный пиррол включает 2,5-незамещенный пиррол или 5,5′-незамещенный-2,2′-бис-пиррол.
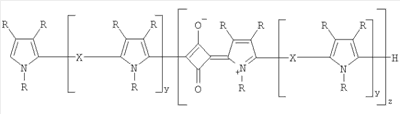
5. Применение по п.1, отличающееся тем, что указанный полимер имеет структуру
 где каждый из R, которые могут быть одинаковыми или разными, представляет собой водород, алкил или карбоксиалкил; Х является связью, пиридиновым кольцом или антраценовым кольцом; у равно нулю или 1, a z – положительное целое число, значение которого определяет молекулярную массу полимера.
6. Применение по п.1, отличающееся тем, что указанный карбоксиалкил представляет собой ацетил, а указанный алкил представляет собой метил.
7. Применение по п.5 или 6, отличающееся тем, что у=0.
8. Применение по п.1, отличающееся тем, что указанный полимер в виде частиц загружают соединением металла в растворенном виде или металлоорганическим соединением.
9. Применение пустотелых частиц стекла в качестве носителя активного агента, отличающееся тем, что указанные пустотелые частицы стекла получены пиролизом покрытого стеклом полимера, полученного способом по любому из предшествующих пунктов.
10. Композиция в виде частиц, состоящая из частиц субстрата, содержащих активный агент, причем указанные частицы субстрата являются частицами полимера, полученного способом согласно любому из предшествующих пунктов.
11. Композиция по п.10, отличающаяся тем, что указанные частицы субстрата покрыты стеклообразующим покрытием.
12. Композиция по п.10, отличающаяся тем, что указанные частицы субстрата покрыты стеклообразующим покрытием и подвергнуты пиролизу.
13. Композиция по любому из пп.10-12, дополнительно содержащая воду или органический растворитель.
14. Композиция по любому из пп.10-12, дополнительно содержащая краску, глазурь, лак, цемент или основу бетона.
15. Применение композиции в виде частиц по любому из пп.10-14 в качестве абсорбента.
16. Применение композиции в виде частиц по любому из пп.10-14 в качестве агента замедленного высвобождения.
РИСУНКИ
|
|