|
|
(21), (22) Заявка: 2006141382/09, 22.04.2005
(24) Дата начала отсчета срока действия патента:
22.04.2005
(30) Конвенционный приоритет:
26.04.2004 US 10/832,128
(43) Дата публикации заявки: 10.06.2008
(46) Опубликовано: 27.05.2010
(56) Список документов, цитированных в отчете о поиске:
US 2001/0006541 A1, 05.07.2001. US 2003/0138063 A1, 24.07.2003. SU 1578835 A1, 15.07.1990. US 6048315 A, 11.04.2000. RU 2106062 C1, 27.02.1998. US 4513412, 23.04.1985. EP 0254846 A1, 04.02.1988.
(85) Дата перевода заявки PCT на национальную фазу:
27.11.2006
(86) Заявка PCT:
ES 2005/000214 20050422
(87) Публикация PCT:
WO 2005/104474 20051103
Адрес для переписки:
191186, Санкт-Петербург, а/я 230, “АРС-ПАТЕНТ”, пат.пов. М.В.Хмаре, рег. 771
|
(72) Автор(ы):
ДИАС ФУЭНТЕ Висенте (ES), ЭРНАНС ЧИЛОЭЧС Даниэль (ES), БЕРИАН МУХИКА Хесус (ES)
(73) Патентообладатель(и):
ДИАС ФУЭНТЕ Висенте (ES)
|
(54) УСТРОЙСТВО И СПОСОБ УЛУЧШЕНИЯ ОТНОШЕНИЯ СИГНАЛ-ШУМ С ИСПОЛЬЗОВАНИЕМ КОМПЛЕМЕНТАРНЫХ ПОСЛЕДОВАТЕЛЬНОСТЕЙ
(57) Реферат:
Изобретение относится к системам связи и может использоваться в телекоммуникации. Достигаемый технический результат – улучшение отношения сигнал/шум. Устройство характеризуется тем, что используется М дополнительных наборов последовательностей, суммы автокорреляций которых подобны дельте Кронекера, значение М совпадает с количеством дополнительных наборов последовательностей, которые ортогональны одни другому, а сумма взаимных корреляций дополнительных последовательностей каждого набора есть ноль. 6 з.п. ф-лы, 5 ил.
Область техники, к которой относится изобретение
Изобретение относится к устройству и способу для улучшения отношения (коэффициента) сигнал/шум посредством дополнительных (комплементарных) последовательностей, очевидная цель которых может быть сформулирована и как способ кодирования и декодирования, и как кодировщик и декодер, которые позволяют осуществлять передачу и прием данных через любые средства передачи или хранения, в особенности, когда необходимо или желательно снизить мощность передачи, улучшить коэффициент сигнал/шум при приеме и даже зашифровать переданную или сохраненную информацию.
Данное изобретение применимо в телекоммуникационной промышленности.
Уровень техники
Эффективность системы связи в основном определяется полосой пропускания, использованной в приемнике, и коэффициентом сигнал/шум согласно выражению, сформулированному Клодом Элвудом Шенноном в 1948 г.

Увеличение полосы пропускания влечет за собой использование ресурса, который становится все более и более дефицитным по причине значительного количества телекоммуникационных услуг, требуемых обществу. Единственный фактор, который мы можем менять, это коэффициент сигнал/шум при приеме 
Нежелательно увеличивать мощность передачи Ps, так как энергопотребление оборудования должно быть снижено насколько возможно, в особенности в мобильном оборудовании. Поэтому единственным элементом, который может быть уменьшен, является мощность шума в приемнике. В основных технологиях снижения шума применяются свойства шума, подлежащие рассмотрению.
Обычно, хотя не всегда, шум, с которым моделируются системы связи, представляет собой гауссов белый шум, спектральная плотность рассеиваемой мощности которого постоянна для всего интересующего спектра. Гауссов белый шум обычно связан с шумовой температурой или шумовым фактором электронных устройств, использованных при приеме. Обычно шум моделируется как шум, произведенный эквивалентным шумовым сопротивлением (R) в полосе пропускания (B) и при рабочей температуре (Т) в градусах Кельвина. Другими словами:

Где k – постоянная Больцмана.
Для термина “плотность шума” обычно используется размерность Ватт на Герц при сопротивлении в 1 Ом.
Одной из самых эффективных техник для улучшения коэффициента сигнал/шум (далее обозначаемый SNR) систем связи является так называемый согласованный фильтр.
Упомянутая технология позволяет оптимизировать SNR, допуская, что шум является гауссовым шумом. Самым важным является случай использования систем цифрового кодирования символов, переданных посредством последовательностей, чьи функции автокорреляции подобны, насколько возможно, дельте Кронекера. Использование для этой цели последовательностей Бейкера, Вилларда, Голда, Кассами, Вэлша и многих других широко распространено в большинстве современных применений. Таким образом, длина N использованных последовательностей позволяет увеличить коэффициент сигнал/шум или снизить уровень сигнала для правильного распознавания полученного сигнала. Такой фактор улучшения называется “Усиление процесса” (GP) и может быть выражен следующим образом:

Отрицательной стороной такой технологии является то, что, т.к. каждый символ закодирован последовательностью длиной N, биты которой переданы со скоростью N раз на символ, символьная скорость снижена, так как длина использованных последовательностей увеличена. Если необходимо поддержать скорость передачи, переданная полоса пропускания должна быть увеличена, по причине чего спектральная эффективность системы снижается в N раз. В случае, если шум не является гауссовым шумом, согласованная фильтрация не является лучшим решением. Техники для снижения различных типов шума будут зависеть от применения и свойств системы связи.
На основе вышесказанного можно прийти к заключению, что существует необходимость в технологии, которая позволяет снизить шум без снижения скорости передачи или увеличения использованной полосы пропускания, позволяя поддерживать мощность передачи, в то же время и независимо от использованной системы модуляции.
Более того, т.к. в многочисленных применениях необходима определенная степень конфиденциальности, дополнительные последовательности чрезвычайно сложны для дешифровки аналитическими методами из-за недопустимости снижения качества, по причине чего в то же время улучшается коэффициент сигнал/шум, возможно зашифровать информацию перед ее отправкой или записью и дешифровать ее при последующем приеме или чтении.
Существование любого патента или практической модели, имеющих свойства, которые являются целью настоящего изобретения, неизвестно.
Раскрытие изобретения
Настоящее изобретение использует М дополнительных наборов последовательностей. Под “дополнительными последовательностями” подразумеваются такие последовательности, сумма автокорреляций которых имеет результатом дельту Кронекера. Значение М так же совпадает с количеством дополнительных наборов последовательностей, которые ортогональны один другому. Что касается ортогональности, понятно, что сумма взаимных корреляций дополнительных последовательностей каждого набора есть ноль. В частном случае пар (М=2) ортогональных последовательностей они получают имя последовательностей Голея в честь их открывателя. (Эти идеи обсуждены в статье, Tseng, C.-C. and Liu, C.L, “Complementary Sets of Sequences”, en IEEE Trans. Inform, Theory, vol. IT-18, No.5, pp.644-652, Sep. 1972). Объяснение будет сфокусировано на последовательностях Голея, т.к. это простейший случай, хотя настоящее изобретение распространяется на любое значение М.
Главным свойством последовательностей, использованных в настоящем изобретении, является то, что они имеют идеальную особенность автокорреляции, т.е. это соответствует совершенной дельте Кронекера, т.е. справедливо следующее выражение:

где ii – это индивидуальные автокорреляции каждой из выбранных М дополнительных последовательностей длиной N. Конкретно для случая пар дополнительных последовательностей Голея:

Создание таких последовательностей выведено из так называемых базовых 2-х, 10-ти и 26-ти битных ядер, известных к настоящему времени (правила создания последовательностей Голея обсуждены в статье, озаглавленной “Дополнительные последовательности” М. Дж.И.Голея, опубликованной в IRE Transactions on Information Theory, vol. IT-7, pp.82-8T, April, 1961).
При установке в обычное оборудование связи, кодирующий и декодирующий объект системы по настоящему изобретению позволяет улучшить коэффициент сигнал/шум (SNR) в соответствии с длиной использованных дополнительных последовательностей. Таким образом, это позволяет контролировать качество системы при управлении длиной упомянутых последовательностей.
Объект состоит из двух приборов или аппаратов: кодировщика и декодера. Кодирующий прибор предназначен для выполнения следующих задач:
– Дискретизация сигналов основной полосы частот передатчика, созданных системой модуляции с использованием, по меньшей мере, двух фаз.
– Свертывание каждой из фаз с выбранным дополнительным набором последовательностей, ортогональных остатку фаз.
– Использование суммы различных фаз для формирования каждой из новых кодированных фаз.
– Посылка передатчику композитного сигнала с целью его направления к передающим средствам посредством, например, радиочастотного каскада и антенны.
Декодирующее оборудование предназначено для выполнения следующих задач:
– дискретизация сигналов основной полосы частот приемника, созданных системой демодуляции с использованием, по меньшей мере, двух фаз.
– Корреляция различных фаз с дополнительным набором последовательностей, соответствующих каждой фазе, для восстановления.
– Использование суммы различных потоков, извлеченных для формирования каждой из новых декодированных фаз.
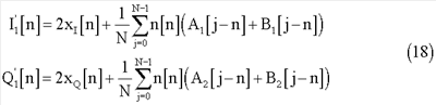
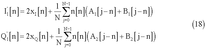
Для возможности объяснения теоретической базы изобретения удобно использовать блок-диаграмму процесса (фиг.1). Для упрощения примем, что использована система модуляции, имеющая две фазы I1 и Q1 основной полосы частот и две ортогональные пары дополнительных последовательностей Голея (A1/B1 – А2/В2) длиной N. Как рассмотрено, процесс кодирования начинается с блоков 2.1 и 2.2 (см. фиг.2), в которых выполняются следующие операции:

Конечный процесс представляет собой суммирование компонентов 1 и Q всех фаз (двух в этом случае) с получением выражений:

Подставляя в (6),

Полученные сигналы I2[n] и Q2[n] будут модулированы и переданы через средства h[n] и достигнут приемника вместе с добавочным шумом. Поэтому, после демодуляции, при приеме полученные сигналы будут выглядеть следующим образом:

Предполагая, что входные процессы эргодические, блок декодирования обрабатывает входные сигналы и для получения вычисленных исходных сигналов посредством операции корреляции согласно следующему выражению:

где – это среднее по времени, распространенное на N выборок.
Подставляя,

Подставляя I2

и Q2,

И определяя члены:

Где xI[n] и xQ[n] – это сигналы, полученные без шума:

и корреляционные выражения это:

Зная, что суммы взаимных корреляций нулевые, получаем следующее:

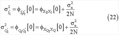
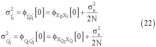
Следовательно, подставляя для определения значения для N и зная, что сумма автокорреляций это дельта Кронекера получаем следующие выражения:

При сравнении предыдущих выражений с аналогичными для обычной системы связи можно увидеть, что система идентична за исключением выражения шума, которое теперь соотносится с суммой взаимных корреляций шума и дополнительных последовательностей. Применяя преобразования Фурье и свойства дополнительных последовательностей, допуская что сигналы действительны, получим предыдущие уравнения, выраженные через частоту:

Следует обратить внимание, что в предыдущем выражении результат системы получен, как ответ на импульс Н( ) плюс элемент шума. Главное преимущество этого способа найдено при анализе второго члена выражения (18).
Зная, что для процесса с нулевым значением, как в этом случае, среднее значение мощности равно нулевой автокорреляции:

Вычисляя среднее значение мощности выражения (11) и нормализуя переданную мощность, это может быть записано следующим образом:

Применяя свойства автокорреляции, получим в качестве результата полное среднее значение мощности:

Где – мощность шума входного сигнала системы. Эта мощность снижена фактором 2N. По этой причине коэффициент сигнал/шум улучшается фактором, равным удвоенной длине последовательностей. Это может быть переведено в следующее выражение:

где (S/N) соответствует увеличению желаемого коэффициента сигнал/шум в децибелах (дБ), и N соответствует увеличению длины последовательностей, использованных для получения упомянутого улучшения. Другими словами, если длина последовательностей удвоена, снижение шума составляет 3 дБ. Обратно, для получения определенного коэффициента сигнал/шум в децибелах, длина последовательности должна быть увеличена согласно выражению (22).
Преимущество этого способа состоит в способности получить настолько большое увеличение коэффициента сигнал/шум, насколько требуется, вне зависимости от скорости передачи, только при помощи увеличения длины выбранных дополнительных последовательностей, по причине чего нет нужды в большой мощности передачи для получения высокого коэффициента сигнал/шум при приеме.
Это улучшение, в обычном случае дополнительных наборов последовательностей, будет соответствовать росту процесса (в децибелах), определенное в этом случае, как:

где N соответствует длине дополнительных последовательностей, использованных при модуляции, и М соответствует количеству последовательностей, формирующих каждый из ортогональных наборов, кроме того, совпадающее с количеством ортогональных наборов,
Эта особенность очень важна в применениях, где желательна низкая мощность передачи (портативные терминалы, космические корабли и спутники связи), где осуществляется связь на большие расстояния (передачи в дальнем космосе), и даже в военных применениях, в которых вмешательство врага или необходимость шифрования передачи определяют безопасность и качество связи.
Следовательно, описанное изобретение представляет собой действенную систему для улучшения настоящих и будущих систем связи, когда есть ограничения мощности передачи, или когда просто требуется улучшить качество связи без ухудшения скорости передачи.
Краткое описание чертежей
В дополнение к выполненному описанию и в целях помощи для лучшего понимания особенностей изобретения к настоящему изложению в качестве его неотъемлемой части приложен набор чертежей, в котором представлены следующие чертежи, имеющие иллюстративный и не ограничивающий характер:
На фиг.1 показаны данные, подлежащие передаче, которые модулированы в узкой полосе посредством любой системы связи (1).
На фиг.2 показана принципиальная схема способа кодирования, заключенного внутри блока (2) фиг.1.
На фиг.3 показана принципиальная схема внутреннего способа декодирования блока (5), показанного на фиг.1.
На фиг.4 показана схема реализации кодировщика 2.1.
На фиг.5 показана схема реализации декодера 3.1.
Осуществление изобретения
Принимая во внимание эти чертежи, можно отметить следующее.
На фиг.1 показаны данные, подлежащие передаче; это основная полоса частот, модулированная посредством любой системы связи 1, кодированная в блоке 2 посредством ортогональных дополнительных последовательностей длиной N для получения новых сигналов основной полосы частот. Упомянутые сигналы могут быть модулированы в блоке 3 для направления к любым средствам передачи Н( ). В приемнике 4 сигналы с добавочным шумом N( ) демодулируются и сигналы основной полосы частот извлекаются вместе с шумом. Упомянутые сигналы 5 декодируются с использованием тех же ортогональных дополнительных последовательностей, так что на выходе процесса те же исходные сигналы со сниженной шумовой мощностью восстанавливаются в соответствии с длиной использованных последовательностей N и, следовательно, данные восстанавливаются в блоке 6 со сниженной долей ошибки.
На фиг.2 показана принципиальная схема способа кодирования, заложенного внутри блока (2) на фиг, 1. Она представляет собой два идентичных блока 2.1 и 2.2 с реализацией свертывания (конволюции), описанного в предыдущей секции, со входными сигналами I1 и Q1 соответственно. Оба блока выдают по две фазы, I21/Q21 и I22/Q22, которые на выходе складываются для получения сигналов I2 и Q2, которые затем будут направлены на каскад передачи.
На фиг.3 показана принципиальная схема способа декодирования блока 5 фиг.1. Существует два идентичных блока, которые осуществляют корреляцию входных сигналов с ортогональными дополнительными последовательностями, назначенными для сигналов передачи, получая расчет сигналов, переданных с улучшенным коэффициентом сигнал/шум на выходе.
На фиг.4 показана схема реализации кодировщика 2.1, которая показывает синхронный процесс свертывания (конволюции) входных сигналов с соответствующими последовательностями А и В для получения выходных сигналов I21/Q21, где i – это количество соответствующих блоков. Оба блока идентичны, хотя, как было разъяснено в тексте, все использованные наборы последовательностей подчиняются свойству взаимной ортогональности.
На фиг.5 показана схема реализации декодера 5.1; в нем может быть получен процесс корреляции входных сигналов с соответствующими последовательностями А и В посредством интерполяции (f3/R)-I нулей между выборками. Результат обеих фаз складывается вместе для получения каждой из восстановленных фаз 
Ниже описан возможный вариант осуществления этого способа, примененный к системе радиосвязи типа точка-точка свободного пространства. Для ясности реализация этого представлена на фиг.1 для случая квадратурного передатчика, который осуществляет модуляцию данных с использованием двух фаз I/Q, следовательно, будут необходимы два набора дополнительных последовательностей и в этом случае для простоты будут использованы дополнительные последовательности Голея.
Согласно предшествующим объяснениям эта модуляция начинается с двух пар дополнительных последовательностей Голея (A1/B1-A2/B2) длиной N бит, заранее сгенерированных и сохраненных в передатчике посредством 4-х бинарных регистраций (записей) (значения 1 и -1), которые далее должны быть свернуты с выборками входных сигналов I1 и Q1 соответственно. На той же фиг.4 так же может быть виден в деталях один из базовых блоков кодирования (ВСВ), осуществляющий функции кодировщика.
Кодировщик выполняет следующие задачи (R – это скорость передачи исходной системы в символах за секунду):
Цифровые данные фаз I/Q с избыточной дискретизацией, по меньшей мере, с частотой Найквиста (2R), синхронно преобразованы и свернуты с последовательностями А и В, а результат направлен к двум выходам, соответствующим частоте выборки. Конвольвер осуществляет операцию свертывания на частоте дискретизации, но выборки дополнительных последовательностей, с которыми они свертываются, интерполированы m-1 нулями, где m – это количество выборок на символ, и которые будут зависеть от частоты выборки (дискретизации) f так, что m=f/R.
На фиг.3 показана подробная схема декодера, который так же образован двумя базовыми декодирующими блоками (BDB), представленными на фиг.5. Упомянутые идентичные блоки осуществляют следующие задачи:
Полученные данные коррелируются с теми же последовательностями, что использованы при кодировании, с тем же уровнем интерполяции нулями (m-1) так, что выходные данные корреляторов складываются вместе, выборка за выборкой и, таким образом, восстанавливаются копии исходных переданных сигналов 
Оба аппарата образуют систему кодирования и декодирования.
Формула изобретения
1. Устройство для улучшения коэффициента сигнал/шум в системе связи посредством дополнительных последовательностей, характеризующееся тем, что состоит из системы связи (1), включающей в себя кодировщик (2), соединенный с модулятором (3), приемником (4) и декодером (5), которые кодируют модулированные сигналы основной полосы частот и их спектр с использованием дополнительного набора последовательностей для значительного улучшения коэффициента сигнал/шум при приеме без изменения скорости передачи.
2. Устройство по п.1, отличающееся тем, что кодировщик (2) выполнен с возможностью, по меньшей мере, создания дополнительных наборов ортогональных или слабо взаимно коррелированных последовательностей, которые кодируют модулированные сигналы основной полосы частот, причем в составе кодировщика (2) предусмотрен генератор бинарных дополнительных последовательностей, выполненный с возможностью использования набора ортогональных или слабо взаимно коррелированных последовательностей для кодирования, по меньшей мере, двух низкочастотных фаз любой системы передачи, использующей обычную технологию квадратурной модуляции; с возможностью свертывания М дополнительных наборов последовательностей с М возможными фазами, подлежащими кодированию для получения М кодированных выходных фаз; причем указанные фазы складывают одну за одной, получая тем самым М фаз, образующих М кодированных сигналов.
3. Устройство по п.1, отличающееся тем, что выполнено с возможностью получения М фаз или сигналов, полученных в процессе кодирования, направления указанных М фаз или сигналов в передатчик с тем, чтобы направить их в канал связи или в средства хранения посредством модуляции, которая позволяет осуществить последовательную посылку М фаз.
4. Устройство по п.1, отличающееся тем, что для кодирования информации потока модулированной информации и для ее кодированной передачи в канал передачи или в средство хранения использует наборы или комбинации последовательностей, при этом устройство выполнено с возможностью, по меньшей мере, дискретизации М фаз основной полосы частот; хранения М дополнительных наборов последовательностей длиной N с бинарными записями длиной N бит; кодирования М выборок фаз с М дополнительными наборами последовательностей с интерполяцией m-1 нулями между битами, где m=fs/R, где fs представляет собой частоту выборки входного сигнала, a R представляет собой скорость передачи в символах за секунду; генерирования М выходных фаз, соответствующих результатам кодирования М выборок входных фаз основной полосы частот; суммирования фаза за фазой каждого из М блоков конвольверов для получения М кодированных выходных фаз; направления полученных фаз в средства передачи или хранения.
5. Устройство по п.1, отличающееся тем, что кодировщик (2), кодирующий информацию в основной полосе частот в целях кодирования или шифрования информации, подлежащей посылке, действует посредством канала передачи или средств хранения.
6. Устройство по п.5, отличающееся тем, что аппарат для получения информации через канал связи или систему хранения реализован на базе демодулятора, когерентного или некогерентного, который извлекает соответствующие М фаз и который включает, по меньшей мере, согласованные фильтры в виде корреляторов или конвольверов, приспособленные для дополнительных наборов последовательностей, использованных в передаче, и их суммы, средства согласования выходных данных указанных согласованных фильтров с приемником основной полосы частот.
7. Устройство по п.6, отличающееся тем, что демодулятор включает в себя, по меньшей мере, средства для адаптации и синхронизации ремодулированных М фаз, полученных после приема или чтения, которые образованы полученными М фазами и введением их всех в каждый из М базовых декодирующих блоков (BDB); средства фильтрации посредством корреляции, свертывания или согласованного фильтра, для М дополнительных наборов последовательностей, первоначально использованных передатчиком, соответствующих М различных восстановленных фаз и сумме указанных фаз, для получения первоначального потока модулированной информации.
РИСУНКИ
|
|