Патент на изобретение №2390803
|
||||||||||||||||||||||||||
(54) СПОСОБ МОРСКОЙ МАГНИТНОЙ СЪЕМКИ
(57) Реферат:
Изобретение относится к области морской магнитной съемки и может быть использовано при проведении морской магниторазведки. Сущность: синхронно измеряют модуль вектора индукции магнитного поля Земли (ВИМПЗ) при помощи двух скалярных магнитометров, размещенных в отдельных гондолах. Определяют градиент модуля ВИМПЗ и интегрируют его по пройденному пути. Осуществляют низкочастотную фильтрацию результатов интегрирования. Дополнительно измеряют модуль ВИМПЗ при помощи двух дополнительных скалярных магнитометров, размещенных в отдельных гондолах, буксируемых за судном таким образом, чтобы система из четырех магнитометров не находилась в одной плоскости. Синхронно с измерениями модуля ВИМПЗ измеряют координаты магнитометров. В процессе совместной обработки магнитометрических данных и координат магнитометров определяют три ортогональные компоненты градиента модуля ВИМПЗ, а также приращение модуля ВИМПЗ относительно начальной точки измерения. Технический результат: получение более достоверных результатов.
Изобретение относится к области морской магниторазведки и предназначено для съемки параметров индукции магнитного поля Земли (МПЗ), в частности модуля вектора индукции магнитного поля Земли (ВИМПЗ) и трех ортогональных компонент его градиента. Современная практика магнитной съемки включает измерение в движении наряду с модулем ВИМПЗ от одной до трех компонент его градиента при помощи нескольких скалярных магнитометров, размещенных на носителе, либо буксируемых за ним. При этом магнитометры буксируются (размещаются на носителе) таким образом, чтобы обеспечить измерение ортогональных компонент градиента модуля ВИМПЗ [Р.Б.Семевский, В.В.Аверкиев, В.А.Яроцкий. Специальная магнитометрия. СПб. Наука, 2002, с.166-171]. Как правило, процесс магнитной съемки сопровождается магнитовариационными измерениями, при помощи которых осуществляется введение поправок за геомагнитные вариации в измеренные значения модуля ВИМПЗ. В случаях, когда использование магнитовариационных станций невозможно или сопряжено со значительными трудностями, как, например, на акваториях морей и океанов, разработан способ измерения модуля ВИМПЗ, который не подвержен влиянию геомагнитных вариаций [Р.Б.Семевский. Возможности использования дифференциальных магнитометров с подвижного основания. Геофизическая аппаратура, 1972, Вып.50, с.14-19]. В основу этого способа положена следующая идея: нормированная на величину базы разность между синхронными магнитными измерениями в двух точках представляет собой градиент поля, свободный от искажающего влияния вариаций. Измеренные градиенты могут быть затем проинтегрированы для реконструкции модуля ВИМПЗ, независящего от геомагнитных вариаций. Известен принятый за прототип способ морской магнитной съемки [RU
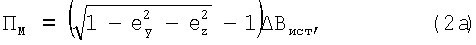
которое не зависит от геомагнитных вариаций. В выражении (1) R0=(x0,y0,z0) представляет собой координату начальной точки измерения, a R=(x,y,z) – текущую координату. В основе оценки погрешности магнитных градиентных измерений, обусловленных магнитным полем носителя, лежит, согласно [RU Главным недостатком способа [RU Пусть движение судна-буксировщика осуществляется вдоль оси X, а вектор базы отклонен от этой оси и ориентирован по направлению е=(ех, eу, ez)T. Полагая градиенты Gy и Gz постоянными величинами на маршруте и находя приращение модуля ВИМПЗ посредством интегрирования измеренной компоненты градиента Ге=eTG, получим: где: G – градиент модуля ВИМПЗ, представляющий собой вектор с компонентами Gi= е – единичный вектор базы, на которой измеряется градиент Ге;
Как следует из (2), отклонение вектора базы от курса судна приводит к погрешностям двух типов: мультипликативной погрешности которая проявляется в виде модуляции истинной составляющей измеряемого параметра, и аддитивной погрешности проявляющейся в виде тренда, величина которого, равно как и величина мультипликативной составляющей, определяется степенью отклонения вектора базы от оси, по которой движется судно. Задачей настоящего изобретения является повышение точности измерений за счет исключения указанных погрешностей. Кроме того, предлагаемый способ должен обеспечить определение трех ортогональных компонент градиента модуля ВИМПЗ при помощи системы магнитометров, произвольным образом расположенных в пространстве. Это достигается тем, что в известный способ морской магнитной разведки, включающий операции: – синхронное измерение модуля ВИМПЗ при помощи двух скалярных магнитометров, размещенных в отдельных гондолах; – получение данных о градиенте модуля ВИМПЗ; – интегрирование по пройденному пути полученных данных о градиенте модуля ВИМПЗ; – низкочастотную фильтрацию результатов интегрирования, введены дополнительные операции: – производят синхронные измерения модуля ВИМПЗ при помощи двух дополнительных скалярных магнитометров, размещенных в отдельных гондолах и буксируемых за судном таким образом, чтобы система из четырех магнитометров не находилась в одной плоскости; – синхронно с измерениями модуля ВИМПЗ всеми упомянутыми магнитометрами измеряют координаты этих магнитометров; – осуществляют совместную обработку магнитометрических данных и координат магнитометров, в процессе которой определяют три ортогональные компоненты градиента модуля ВИМПЗ, а также приращение модуля ВИМПЗ относительно начальной точки измерения. Несомненным достоинством предлагаемого способа является то, что он реализуется в условиях практически произвольной пространственной конфигурации буксируемых гондол, а определение ортогональных компонент градиента является следствием обработки всей совокупности принятой информации, а не жесткой пространственной конфигурации гондол. Представим обоснование предлагаемого способа. Как следует из соотношения (2), причиной накапливающихся ошибок измерения является интегрирование неизмеряемых поперечных компонент градиента Gy и Gz. Поэтому корректное решение задачи магнитной съемки, основанное на интегрировании градиента МПЗ, должно предусматривать измерение наряду с продольной компонентой градиента Gx его поперечных составляющих Gy и Gz. В основу такого решения положено следующее соотношение для полного дифференциала модуля ВИМПЗ dB(R):
Поскольку интеграл от полного дифференциала любой функции равен этой функции, то после интегрирования (3) по реализовавшейся траектории получим: Отметим, что для потенциальных полей, к классу которых относится МПЗ, результат интегрирования зависит только от координат начальной и конечной точек измерения и не зависит от вида траектории. Итак, независящая от геомагнитных вариаций съемка модуля ВИМПЗ базируется на интегрировании в соответствии с (4) компонент Gi градиента модуля ВИМПЗ. Полученное таким образом значение В процессе буксировки четырех гондол невозможно постоянно поддерживать такую их пространственную конфигурацию, которая обеспечивает прямое измерение ортогональных компонент градиента, входящих в соотношение (4). Поэтому необходимо найти такое преобразование, которое позволит осуществить переход от измеренных неортогональных компонент градиента Гk к тем ортогональным компонентам Gi (i=x, y, z), которые входят в соотношение (4). В векторном виде это преобразование имеет следующий вид:
где: G=(Gx, Gy, Gz)T – вектор градиента, приведенный к ортогональной системе координат; Г=(Г1, Г2, Г3)T – вектор градиента, заданный в косоугольной системе координат, определенной ортами ek баз, на которых производятся градиентные измерения; этот вектор составлен из измеренных неортогональных компонент Гk, имеющих следующий вид: R=(Rx, Ry, Rz)T, Rk=(Rkx, Rky, Rkz)T – координаты четырех магнитометров, один из которых, имеющий координату R, принят за “головной”, базы остальных магнитометров отсчитываются от этого магнитометра; B(R), B(Rk) – синхронные показания четырех магнитометров,
Подставляя (5) в (4), получим соотношение, которое в полной мере раскрывает содержание настоящего изобретения:
В этом соотношении вектор магнитных градиентных измерений Г определяется своими компонентами согласно соотношению (5а), а матрица преобразования Для того чтобы матрица Как следует из (6), процесс совместной обработки магнитометрических данных и координат магнитометров включает: – определение трех компонент Гk(R) вектора магнитных градиентных измерений в соответствии с соотношением (5а); – определение девяти компонент – определение стандартным образом девяти компонент – определение ортогональных компонент вектора градиента G(R) в соответствии с соотношением: – определение приращения где компоненты градиента Gi определяются соотношением (7); – заключительной операцией процесса обработки является низкочастотная фильтрация результата интегрирования (8), предназначенная для устранения нарастающего случайного дрейфа, обусловленного инструментальным шумом магнитометров. Данный способ может быть реализован в устройстве, содержащем: – четыре скалярных магнитометра, например квантовых, которые размещены в отдельных гондолах, буксируемых за судном-буксировщиком; – систему измерения координат, которая определяет координаты всех гондол в каждой момент времени; – систему сбора и обработки информации. Система измерения координат гондол может строиться, например, на основе гидролокатора, два приемника которого размещены за кормой судна и разнесены по фронту перпендикулярно курсу судна. Каждая гондола снабжается излучателем, акустические сигналы которого принимаются упомянутыми приемниками. Таким образом, можно определить положение, которое занимают гондолы относительно судна в горизонтальной плоскости. Координаты самого судна могут определяться при помощи судовой навигационной системы, включающей, например, спутниковую навигационную систему. Перемещение гондол по вертикали можно контролировать, например, при помощи датчиков глубины, которые размещаются в каждой гондоле. Система сбора и обработки информации собирает информацию от всех измерителей: – четырех скалярных магнитометров; – двух приемников акустических сигналов, излучаемых четырьмя излучателями, которые установлены на гондолах; – четырех датчиков глубины, которые установлены на гондолах; – судовой навигационной системы. Принятая информация обрабатывается по алгоритмам, заданным соотношениями (5а), (5б), (7), (8). Таким образом, предлагаемый способ обеспечивает измерение модуля ВИМПЗ, которое не зависит от геомагнитных вариаций, а также не имеет накапливающихся погрешностей, присущих системам, основанным на интегрировании одной компоненты градиента модуля ВИМПЗ. Кроме того, предлагаемый способ обеспечивает измерение трех ортогональных компонент градиента модуля ВИМПЗ при помощи системы магнитометров, на пространственную конфигурацию которой не налагается практически никаких ограничений.
Формула изобретения
Способ морской магнитной съемки, включающий синхронное измерение модуля вектора индукции магнитного поля Земли (ВИМПЗ) при помощи двух скалярных магнитометров, размещенных в отдельных гондолах, определение градиента модуля ВИМПЗ и его интегрирование по пройденному пути, а также низкочастотную фильтрацию результатов интегрирования, отличающийся тем, что дополнительно измеряют модуль ВИМПЗ при помощи двух дополнительных скалярных магнитометров, размещенных в отдельных гондолах и буксируемых за судном таким образом, чтобы система из четырех магнитометров не находилась в одной плоскости, синхронно с измерениями модуля ВИМПЗ упомянутыми магнитометрами измеряют координаты этих магнитометров и в процессе совместной обработки магнитометрических данных и координат магнитометров определяют три ортогональные компоненты градиента модуля ВИМПЗ, а также приращение модуля ВИМПЗ относительно начальной точки измерения.
|
||||||||||||||||||||||||||

2298815, опубл. 10.05.2007, приор. 10.12.2002], включающий синхронное измерение модуля ВИМПЗ при помощи двух скалярных магнитометров, размещенных в отдельных гондолах, которые буксируются за судном в кильватерном строе, получение исходных данных о градиенте модуля ВИМПЗ, определение погрешности исходных данных, обусловленной магнитным полем судна и ее исключение из этих данных для получения скорректированного градиента модуля ВИМПЗ, интегрирование скорректированного градиента модуля ВИМПЗ по пройденному пути и низкочастотную фильтрацию результатов интегрирования. На выходе интегратора получается приращение модуля ВИМПЗ

B/
Визм и 





={

-1(R) обратной матрицы;
