Патент на изобретение №2390592
|
||||||||||||||||||||||||||||||||||||||||||||||||||||||||||||||||||||||||||||||||||||||||||||||||||||||||||||||||||||||||||||||||||||||||||||||||||||||||||||||||||||||||||||||||||||||||||||||||||||||||||||||||||||||||||||||||||||||||||||||||||||||||||||||||||||||||||||||||||||||||||||||||||||||||||||||||||||||||||||||||||||||||||||||||||||||||||||||||||||||||||||||||||||||||||||||||||||||||||||||||||||||||||||||||||||||||||||||||||||||||||||||||||||||||||||||||||||||||||||||||||||||||||||||||||||||||||||||||||||||||||||||||||||||||||||||||||||||||||||||||||||||||||||||||||||||||||||||||||||||||||||||||||||||||||||||||||||||||||||||||||||||||||||||||||||||||||||||||||||||||||||||||||||||||||||||||||||||||||||||||||||||||||||||||||||||||||||||||||||||||||||||||||||||||||||||||||||||||||||||||||||||||||||||||||||||||||||||||||||||||||||||||||||||||||||||||||||||||||||||||
(54) МНОГОСЛОЙНЫЙ СОРБЦИОННЫЙ ВОЛОКНИСТЫЙ ЗАЩИТНЫЙ МАТЕРИАЛ
(57) Реферат:
Изобретение относится к области производства нетканых материалов, а именно к многослойным сорбционным волокнистым защитным материалам. Защитный материал состоит из внутренних слоев нетканого материала из наполненных твердыми сорбционными частицами волокон на основе полиакрилонитрила или его смеси с полиуретаном и наружного покровного и наружного подстилающего армирующих слоев, расположенных с двух сторон сорбционных слоев волокнистого материала. При этом материал содержит 1-5 однородных или разнородных внутренних сорбционных слоев из нетканого высокопористого материала, при использовании в качестве волокон нетканого материала внутренних слоев смеси волокон полиакрилонитрила и полиуретана, содержание волокон полиакрилонитрила в смеси с полиуретаном выбрано в количестве 18-83 мас.%, в качестве наполнителя сорбционных слоев из нетканого материала используют твердые частицы активированного угля, катионита или анионита с размерами частиц менее 6 мкм, размещенные в объеме нетканого материала в количестве 38-64 мас.%. Сорбционные слои материала армированы приклеиванием наружным покровным слоем и вторым наружным подстилающим слоем, выполненными из вискозно-лавсанового основовязаного материала на основе высокопрочного полиэфирного волокна, содержащего 25-35 мас.% вискозного волокна. При этом для приклеивания используют клеевую порошковую композицию на основе сополимера этилена, содержащую на 100 массовых частей сополимера этилена 17-21% винилацетата и 0,0144-0,0176 массовых частей высокодисперсного гидрофобного неуплотненного диоксида кремния. Техническим результатом изобретения является обеспечение высокой паровоздухопроницаемости материала для отвода избытка влаги от поверхности кожного покрова человека, повышение его гигроскопичности, создание возможности обеспечения высокой драпируемости материала при одновременном получении материала с высокой прочностью на разрыв и с высокой прочностью на раздирание. 2 з.п. ф-лы, 1 табл.
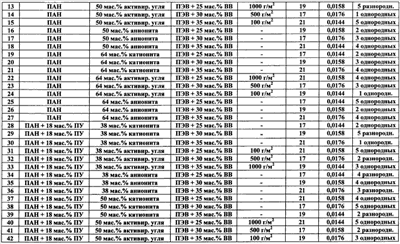
Изобретение относится к области производства нетканых материалов, а именно к многослойным сорбционным волокнистым защитным материалам, и может быть использовано при изготовлении защитной одежды, предохраняющей от повреждения кожный покров человека. Известен многослойный сорбционный нетканый материал, состоящий из внутренних слоев нетканого материала из наполненных твердыми сорбционными частицами волокон на основе полиакрилнитрила или его смеси с полиуретаном и наружного покровного и наружного подстилающего армирующих слоев, расположенных с двух сторон сорбционных слоев нетканого материала (см. патент РФ Однако известный многослойный сорбционный нетканый материал при своем использовании для изготовления защитной одежды обладает следующими недостатками: – не обеспечивает необходимый уровень прочности материала на разрыв (780 Н по основе и 310 по утку), – обладает недостаточной паровоздухопроницаемостью при отводе избытка влаги от поверхности кожного покрова человека (количество водяного пара, проходящего через единицу площади материала в единицу времени при заданной температуре 36°С составляет 56-58 г/м2.час). Задачей изобретения является создание многослойного сорбционного волокнистого защитного материала. Техническим результатом является обеспечение высокой паровоздухопроницаемости материала для отвода избытка влаги от поверхности кожного покрова человека, повышение его гигроскопичности, создание возможности обеспечения высокой драпируемости материала при одновременном получении материала с высокой прочностью на разрыв и с высокой прочностью на раздирание. Технический результат достигается в предложенном многослойном сорбционном волокнистом защитном материале сочетанием использованных для его изготовления компонентов, а также их количественными соотношениями. Технический результат достигается тем, что предложен многослойный сорбционный волокнистый защитный материал, состоящий из внутренних слоев нетканого материала из наполненных твердыми сорбционными частицами волокон на основе полиакрилонитрила или его смеси с полиуретаном и наружного покровного и наружного подстилающего тканых армирующих слоев, расположенных с двух сторон сорбционных слоев нетканого материала, при этом материал содержит 1-5 однородных или разнородных внутренних сорбционных слоев из нетканого высокопористого материала, при использовании в качестве волокон нетканого материала внутренних слоев смеси волокон полиакрилонитрила и полиуретана, содержание волокон полиакрилонитрила в смеси с полиуретаном выбрано в количестве 18-83 мас.%, в качестве наполнителя сорбционных слоев из нетканого материала используют твердые частицы активированного угля, катионита или анионита с размерами частиц менее 6 мкм, размещенные в объеме нетканого материала в количестве 38-64 мас.%, сорбционные слои материала армированы приклеиванием наружным покровным слоем и вторым наружным подстилающим слоем, выполненными из вискозно-лавсанового основовязаного материала на основе высокопрочного полиэфирного волокна, содержащего 25-35 мас.% вискозного волокна, при этом для приклеивания используют клеевую порошковую композицию на основе сополимера этилена, содержащую на 100 массовых частей сополимера этилена 17-21% винилацетата и 0,0144-0,0176 массовых частей высокодисперсного гидрофобного неуплотненного диоксида кремния. При этом на поверхность активированного угля с поверхностной плотностью от 100 до 1000 г/м2 нетканого сорбционного слоя нанесено покрытие из серебра. При этом при приклеивании (дублировании) используют клеевую порошковую композицию из расчета 30 г/м2 площади изнаночной поверхности полотна. Среди существенных признаков, характеризующих предложенный многослойный сорбционный волокнистый защитный материал, отличительными являются: – содержание в материале от 1 до 5 однородных или разнородных внутренних сорбционных слоев из нетканого высокопористого материала, – при использовании в качестве волокон нетканого материала внутренних слоев смеси волокон полиакрилонитрила и полиуретана, содержание волокон полиакрилонитрила в смеси с полиуретаном выбрано в количестве 18-83 мас.%, – использование в качестве наполнителя сорбционных слоев из нетканого материала твердых частиц активированного угля, катионита или анионита с размерами частиц менее 6 мкм, размещенных в объеме нетканого материала в количестве 38-64 мас.%, – сорбционные слои материала армированы приклеиванием наружным покровным слоем и вторым наружным подстилающим слоем, выполненными из вискозно-лавсанового основовязаного материала на основе высокопрочного полиэфирного волокна, содержащего 25-35 мас.% вискозного волокна, – использование для приклеивания к внутреннему сорбционному слою наружных покрывных и подстилающего слоев клеевой порошковой композиции на основе сополимера этилена, содержащей на 100 массовых частей сополимера этилена 17-21% винилацетата и 0,0144-0,0176 массовых частей высокодисперсного гидрофобного неуплотненного диоксида кремния, – нанесение покрытия из серебра на поверхность активированного угля с поверхностной плотностью от 100 до 1000 г/м2 нетканого сорбционного слоя, – использование при приклеивании (дублировании) клеевой порошковой композиции из расчета 30 г/м2 площади изнаночной поверхности полотна. Экспериментальные исследования предложенного многослойного сорбционного волокнистого защитного материала в полевых условиях в составе штатной одежды показали его высокую эффективность. Многослойный сорбционный волокнистый защитный материал (ДВУМ) при своем использовании обеспечивает необходимую и повышенную на 16-18% гигроскопичность и высокую драпируемость, обладает достаточной паровоздухопроницаемостью при отводе избытка влаги от поверхности кожного покрова человека (количество водяного пара, проходящего через единицу площади материала в единицу времени при заданной температуре 36°С составляет 68-74 г/м2.час). Кроме того, многослойный сорбционный волокнистый защитный материал обладает при испытаниях по ГОСТ 29 104.4-91 высокой прочностью на разрыв по направлению основы армирующих слоев 1040-1080 Н и 400-440 Н по направлению утка и при испытаниях по ГОСТ 29 104.5-91 высокой прочностью на раздирание по направлению основы армирующих слоев 220-240 Н и 160-170 Н по направлению утка. Технология изготовления предложенного многослойного сорбционного волокнистого защитного материала, а также изготовления защитной одежды из него достаточно проста и не требует использования специфического технологического оборудования. Сущность предложенного технического решения иллюстрируется следующими примерами. Кроме того, в таблице 1 показано содержание компонентов предложенного многослойного сорбционного волокнистого защитного материала, а в таблице 2 представлены характеристики многослойного сорбционного волокнистого защитного материала. Пример 1. Многослойный сорбционный волокнистый защитный материал (ДВУМ) содержит один внутренний однородный сорбционный слой нетканого материала, выполненный из волокон на основе полиакрилонитрила. В качестве наполнителя сорбционный слой содержит твердые частицы катионита с размерами частиц менее 6 мкм, размещенные в объеме нетканого материала в количестве 38 мас.%. Внутренний сорбционный слой материала армировали приклеиванием (дублированием) наружным покровным слоем и вторым наружным подстилающим слоем, выполненными из вискозно-лавсанового основовязаного материала на основе высокопрочного полиэфирного волокна, содержащего 35 мас.% вискозного волокна. Для приклеивания использовали из расчета 30 г/м2 площади изнаночной поверхности полотна клеевую порошковую композицию на основе сополимера этилена, содержащую на 100 массовых частей сополимера этилена 21% винилацетата марки Сэвилен (ЭВА по ТУ 6-05 1636-97) и 0,0144 массовых частей высокодисперсного гидрофобного неуплотненного диоксида кремния (марки «Аэросил» 175 неуплотненный). Многослойный сорбционный волокнистый защитный материал (ДВУМ) обладает достаточной паровоздухопроницаемостью при отводе избытка влаги от поверхности кожного покрова человека (количество водяного пара, проходящего через единицу площади материала в единицу времени при заданной температуре 36°С составляет 70 г/м2.час), высокой гигроскопичностью и высокой драпируемостью. При этом материал обладает высокой прочностью на разрыв 1060 Н по направлению основы армирующих слоев и 440 Н по направлению утка армирующих слоев и высокой прочностью на раздирание 220 Н по направлению основы армирующих слоев и 170 Н по направлению утка армирующих слоев, что позволяет использовать предложенный материал для изготовления защитной одежды, предохраняющей от повреждения кожный покров человека. Пример 2. Многослойный сорбционный волокнистый защитный материал (ДВУМ) содержит три внутренних разнородных сорбционных слоя нетканого материала, при этом один слой выполнен из волокон полиакрилонитрила и два слоя из волокон на основе смеси полиакрилонитрила с 18 мас.% полиуретана. В качестве наполнителя сорбционные слои содержат твердые частицы активированного угля с размерами частиц менее 6 мкм, размещенные в объеме нетканого материала в количестве 64 мас.%. При этом на поверхности активированного угля с поверхностной плотностью 1000 г/м2 нанесли покрытие из серебра толщиной 3 мкм. Внутренний сорбционный слой материала армировали приклеиванием (дублированием) наружным покровным слоем и вторым наружным подстилающим слоем, выполненными из вискозно-лавсанового основовязаного материала на основе высокопрочного полиэфирного волокна, содержащего 25 мас.% вискозного волокна. Для приклеивания использовали из расчета 30 г/м2 площади изнаночной поверхности полотна клеевую порошковую композицию на основе сополимера этилена, содержащую на 100 массовых частей сополимера этилена 17% винилацетата марки Сэвилен (ЭВА по ТУ 6-05 1636-97) и 0,0176 массовых частей высокодисперсного гидрофобного неуплотненного диоксида кремния (марки «Аэросил» 175 неуплотненный). Многослойный сорбционный волокнистый защитный материал (ДВУМ) обладает достаточной паровоздухопроницаемостью при отводе избытка влаги от поверхности кожного покрова человека (количество водяного пара, проходящего через единицу площади материала в единицу времени при заданной температуре 36°С составляет 74 г/м2.час), высокой гигроскопичностью и высокой драпируемостью. При этом материал обладает высокой прочностью на разрыв 1041 Н по направлению основы армирующих слоев и 428 Н по направлению утка армирующих слоев и высокой прочностью на раздирание по направлению основы армирующих слоев 240 Н и по направлению утка армирующих слоев 167 Н, что позволяет использовать предложенный материал для изготовления защитной одежды, предохраняющей от повреждения кожный покров человека. Пример 3. Многослойный сорбционный волокнистый защитный материал (ДВУМ) содержит пять внутренних однородных сорбционных слоев нетканого материала, при этом два слоя выполнены из волокон на основе смеси полиакрилонитрила с 83 мас.% полиуретана и три слоя из волокон на основе смеси полиакрилонитрила с 18 мас.% полиуретана. В качестве наполнителя сорбционные слои содержали твердые частицы активированного угля с размерами частиц менее 6 мкм, размещенные в объеме нетканого материала в количестве 50 мас.%. При этом на поверхности активированного угля с поверхностной плотностью 100 г/м2 нанесли покрытие из серебра толщиной 3 мкм. Внутренний сорбционный слой материала армировали приклеиванием (дублированием) наружным покровным слоем и вторым наружным подстилающим слоем, выполненными из вискозно-лавсанового основовязаного материала на основе высокопрочного полиэфирного волокна, содержащего 28 мас.% вискозного волокна. Для приклеивания использовали из расчета 30 г/м2 площади изнаночной поверхности полотна клеевую порошковую композицию на основе сополимера этилена, содержащую на 100 массовых частей сополимера этилена 18% винилацетата марки Сэвилен (ЭВА по ТУ 6-05 1636-97) и 0,0166 массовых частей высокодисперсного гидрофобного неуплотненного диоксида кремния (марки «Аэросил» 175 неуплотненный). Многослойный сорбционный волокнистый защитный материал (ДВУМ) обладает достаточной паровоздухопроницаемостью при отводе избытка влаги от поверхности кожного покрова человека (количество водяного пара, проходящего через единицу площади материала в единицу времени при заданной температуре 36°С составляет 68 г/м2.час), высокой гигроскопичностью и высокой драпируемостью. При этом материал обладает высокой прочностью на разрыв 1080 Н по направлению основы армирующих слоев и 400 Н по направлению утка армирующих слоев и высокой прочностью на раздирание 225 Н по направлению основы армирующих слоев и 160 Н по направлению утка армирующих слоев, что позволяет использовать предложенный материал для изготовления защитной одежды, предохраняющей от повреждения кожный покров человека. Пример 4. Многослойный сорбционный волокнистый защитный материал (ДВУМ) содержит пять внутренних однородных сорбционных слоев нетканого материала, выполненных из волокон на основе смеси полиакрилонитрила с 56 мас.% полиуретана. В качестве наполнителя сорбционный слой содержал твердые частицы анионита с размерами частиц менее 6 мкм, размещенные в объеме нетканого материала в количестве 48 мас.%. Внутренний сорбционный слой материала армировали приклеиванием (дублированием) наружным покровным слоем и вторым наружным подстилающим слоем, выполненными из вискозно-лавсанового основовязаного материала на основе высокопрочного полиэфирного волокна, содержащего 30 мас.% вискозного волокна. Для приклеивания использовали из расчета 30 г/м2 площади изнаночной поверхности полотна клеевую порошковую композицию на основе сополимера этилена, содержащую на 100 массовых частей сополимера этилена 19% винилацетата марки Сэвилен (ЭВА по ТУ 6-05 1636-97) и 0,0158 массовых частей высокодисперсного гидрофобного неуплотненного диоксида кремния (марки «Аэросил» 175 неуплотненный). Многослойный сорбционный волокнистый защитный материал (ДВУМ) обладает достаточной паровоздухопроницаемостью при отводе избытка влаги от поверхности кожного покрова человека (количество водяного пара, проходящего через единицу площади материала в единицу времени при заданной температуре 36°С составляет 74 г/м2.час), высокой гигроскопичностью и высокой драпируемостью. При этом материал обладает высокой прочностью на разрыв 1078 Н по направлению основы армирующих слоев и 430 Н по направлению утка армирующих слоев и высокой прочностью на раздирание 235 Н по направлению основы армирующих слоев и 170 Н по направлению утка армирующих слоев, что позволяет использовать предложенный материал для изготовления защитной одежды, предохраняющей от повреждения кожный покров человека. Таким образом, предложенный многослойный сорбционный волокнистый защитный материал (ДВУМ) обладает преимуществами по сравнению с известным многослойным сорбционным нетканым материалом того же назначения.
Формула изобретения
1. Многослойный сорбционный волокнистый защитный материал, состоящий из внутренних слоев нетканого материала из наполненных твердыми сорбционными частицами волокон на основе полиакрилонитрила или его смеси с полиуретаном и наружного покровного и наружного подстилающего армирующих слоев, расположенных с двух сторон сорбционных слоев волокнистого материала, отличающийся тем, что материал содержит 1-5 однородных или разнородных внутренних сорбционных слоев из нетканого высокопористого материала при использовании в качестве волокон нетканого материала внутренних слоев смеси волокон полиакрилонитрила и полиуретана, содержание волокон полиакрилонитрила в смеси с полиуретаном выбрано в количестве 18-83 мас.%, в качестве наполнителя сорбционных слоев из нетканого материала используют твердые частицы активированного угля, катионита или анионита с размерами частиц менее 6 мкм, размещенные в объеме нетканого материала в количестве 38-64 мас.%, сорбционные слои материала армированы приклеиванием наружным покровным слоем и вторым наружным подстилающим слоем, выполненными из вискозно-лавсанового основовязаного материала на основе высокопрочного полиэфирного волокна, содержащего 25-35 мас.% вискозного волокна, при этом для приклеивания используют клеевую порошковую композицию на основе сополимера этилена, содержащую на 100 мас.ч. сополимера этилена 17-21% винилацетата и 0,0144-0,0176 мас.ч. высокодисперсного гидрофобного неуплотненного диоксида кремния. 2. Материал по п.1, отличающийся тем, что на поверхность активированного угля с поверхностной плотностью от 100 до 1000 г/м2 нетканого сорбционного слоя нанесено покрытие из серебра. 3. Материал по п.1, отличающийся тем, что при приклеивании (дублировании) используют клеевую порошковую композицию из расчета 30 г/м2 площади изнаночной поверхности полотна.
|
||||||||||||||||||||||||||||||||||||||||||||||||||||||||||||||||||||||||||||||||||||||||||||||||||||||||||||||||||||||||||||||||||||||||||||||||||||||||||||||||||||||||||||||||||||||||||||||||||||||||||||||||||||||||||||||||||||||||||||||||||||||||||||||||||||||||||||||||||||||||||||||||||||||||||||||||||||||||||||||||||||||||||||||||||||||||||||||||||||||||||||||||||||||||||||||||||||||||||||||||||||||||||||||||||||||||||||||||||||||||||||||||||||||||||||||||||||||||||||||||||||||||||||||||||||||||||||||||||||||||||||||||||||||||||||||||||||||||||||||||||||||||||||||||||||||||||||||||||||||||||||||||||||||||||||||||||||||||||||||||||||||||||||||||||||||||||||||||||||||||||||||||||||||||||||||||||||||||||||||||||||||||||||||||||||||||||||||||||||||||||||||||||||||||||||||||||||||||||||||||||||||||||||||||||||||||||||||||||||||||||||||||||||||||||||||||||||||||||||||||

2330134, МПК D04Н 13/00, 27.07.2008 г.).




