|
|
(21), (22) Заявка: 2006110027/04, 27.08.2004
(24) Дата начала отсчета срока действия патента:
27.08.2004
(30) Конвенционный приоритет:
29.08.2003 JP 2003-306088 02.04.2004 JP 2004-110573 08.06.2004 JP 2004-169958 05.07.2004 JP 2004-198523
(43) Дата публикации заявки: 10.10.2007
(46) Опубликовано: 27.05.2010
(56) Список документов, цитированных в отчете о поиске:
RU 2001105536 А, 26.07.1999. WO 02/18377 A1, 07.03.2002. WO 03/062248 A2, 31.07.2003. WO 03/062252 A1, 31.07.2003. WO 02/092068 A1, 21.11.2002. US 5789595 A, 04.08.1998. WO 03/061567 A2, 31.07.2003.
(85) Дата перевода заявки PCT на национальную фазу:
29.03.2006
(86) Заявка PCT:
JP 2004/012768 20040827
(87) Публикация PCT:
WO 2005/020882 20050310
Адрес для переписки:
129090, Москва, ул. Б.Спасская, 25, стр.3, ООО “Юридическая фирма Городисский и Партнеры”, пат.пов. Е.Е.Назиной
|
(72) Автор(ы):
НАКАДЕ Синдзи (JP), МИЗУНО Хиротака (JP), ОНО Такедзи (JP), МИНАМИ Масаси (JP), САГА Хироси (JP), ХАГИЯ Хироси (JP), КОМИЯ Такаки (JP), ХАБАСИТА Хирому (JP), КУРАТА Харуто (JP), ОХЦУКИ Казухиро (JP), КУСУМИ Кенсуке (JP)
(73) Патентообладатель(и):
ОНО ФАРМАСЬЮТИКАЛ КО., ЛТД. (JP)
|
(54) СОЕДИНЕНИЕ, СПОСОБНОЕ К СВЯЗЫВАНИЮ С РЕЦЕПТОРОМ S1P, И ЕГО ФАРМАЦЕВТИЧЕСКОЕ ПРИМЕНЕНИЕ
(57) Реферат:
Изобретение относится к соединению формулы (I), обладающему способностью к связыванию с рецептором S1P (в частности, EDG-6, предпочтительно EDG-1 и EDG-6), его нетоксичным водорастворимым солям или его метиловому или этиловому сложному эфиру, которые могут использоваться для профилактики и/или лечения отторжения трансплантата, болезни трансплантата-против-хозяина, аутоиммунных заболеваний и аллергических заболеваний. 3 н. и 9 з.п. ф-лы, 1 табл.

Область техники
Настоящее изобретение относится к соединению, обладающему способностью к связыванию с рецептором сфингозин-1-фосфата (далее в некоторых случаях указан как S1P), которое полезно в качестве лекарственного средства, и к лекарственному средству, содержащему такое соединение в качестве активного ингредиента.
Более конкретно, настоящее изобретение относится к:
(1) соединению, обладающему способностью к связыванию с рецепторомом S1P (в частности, EDG-6, предпочтительно EDG-1 и EDG-6);
(2) лекарственному средству, содержащему такое соединение в качестве активного ингредиента;
(3) соединению, представленному следующей формулой (I):

где все символы имеют значение, указанное ниже;
его пролекарству и его соли; и
(4) лекарственному средству, содержащему соединение, представленное формулой (I), его пролекарство и его соль в качестве активного ингредиента.
Уровень техники
Сфингозин-1-фосфат (S1P), имеющий структурную формулу, представленную формулой (A), представляет собой липид, образующийся в результате внутриклеточного метаболического обмена сфинголипидов или внеклеточного действия секреторной сфингозинкиназы. Необходимо отметить, что S1P действует как межклеточный, так и внутриклеточный мессенжер (Biochem. Pharm., 58, 201 (1999)).

В качестве рецепторов для S1P известны EDG-1, который представляет собой связанный с G-белком рецептор, и молекулы, являющиеся его аналогами – EDG-3, EDG-5, EDG-6 и EDG-8 (которые также называют S1P1, S1P3, S1P2, S1P4 и S1P5 соответственно). Их называют семейством EDG-рецепторов, вместе с EDG-2, EDG-4 и EDG-7, которые являются рецепторами лизофосфатидиновой кислоты (LPA). Рецепторы S1P связываются с S1P и передают сигналы в клетки через G-белок, связанный с рецепторами. Gs, Gi, Gq и G12/13 известны как G-белки, с которыми может связываться рецептор S1P, и считается, что этот рецептор связан с ответными реакциями, такими как повышение клеточной пролиферации, подавление клеточной пролиферации, индукция клеточного гемотаксиса и ингибирование клеточного гемотаксиса.
Как биологическое действие S1P в экспериментах in vitro выявлены ингибирование миграции клеток гладких мышц или раковых клеток, агрегация тромбоцитов, индукция клеточного гемотаксиса, ингибирование клеточного гемотаксиса и т.п., и в результате экспериментов in vivo обнаружено, что S1P демонстрирует эффект контроля кровяного давления, промотирования ангиогенеза, восстановления почечного кровотока, ингибирования фиброза легких, промотирования хоминга лимфоцитов в лимфатические органы и т.п. Считается, что эти различные физиологические эффекты опосредованы рецепторами S1P, присутствующими на клеточных мембранах. Однако за исключением некоторых случаев не было выяснено, какие подтипы рецепторов S1P опосредуют такие эффекты на практике.
В последнее время исследования мышей, дефицитных по EDG-1, ясно показали, что S1P индуцировал ангиогенез через EDG-1 (Yujing Liu, et al., J. Clin. Invest., 106, 951 (2000)). Поэтому было предложено использовать агонист EDG-1 в качестве средства для лечения заболевания, вызванного ангиоплазией. Например, его используют в качестве средства для профилактики и/или лечения заболевания периферических артерий, такого как облитерирующий артериосклероз, облитерирующий тромбоангиит, болезнь Buerger или диабетическая невропатия; варикозное расширение вен, такое как геморроидальный узел, анальные трещины, анальный свищ; расслаивающая аневризма аорты, сепсис, воспалительное заболевание, такое как ангиит, нефрит или пневмония, различные эдематозные заболевания, вызванные ишемией различных органов или усилением проникновения крови, например инфаркт миокарда, церебральный инфаркт, стенокардия, DIC (диссеминированное внутрисосудистое свертывание), плеврит, застойная сердечная недостаточность или полиорганная недостаточность. Кроме того, его используют в качестве средства-усилителя избирательности для лечения ран роговицы, кожи, органов пищеварения и т.п., например средства для профилактики и/или лечения пролежней, ожегов, хронического язвенного колита или болезни Крона. Кроме того, его используют в качестве предоперационного, послеоперационного и/или прогностического активатора кровеносных сосудов при трансплантации различных органов, например в качестве активатора адгезии трансплантированных органов, например, при трансплантации сердца, трансплантации почек, кожных трансплантациях или трансплантации печени.
С другой стороны, в отличие от других EDG-рецепторов, локализация и сильная экспрессия EDG-6 происходит в клетках лимфатической и гематопоэтической систем, включая селезенку, лейкоциты, лимфатические железы, вилочковую железу, костный мозг, легкие и т.п., что говорит о возможной тесной связи с эффектами S1P в процессе воспаления или в иммунной системе (Biochem. Biophys. Res. Commun., 268, 583 (2000)).
Более того, известно, что полипептид EDG-6 или его гомолог связаны с иммуномодуляцией, противовоспалительным действием и т.п., что делает такие вещества потенциально пригодными для лечения аутоиммунных заболеваний (таких, как системная красная волчанка, ревматоидный артрит, миастения gravis и т.п.), аллергических заболеваний (таких, как атопический дерматит, астма и т.п.), воспаления, инфекции, язвы, лимфомы, злокачественной опухоли, лейкоза, артериосклероза, заболевания, связанного с инфильтрацией лимфоцитов в ткань, и т.п.
Следовательно, лекарственные средства, действующие против EDG-6, как оказалось, являются полезными в качестве профилактических и/или лекарственных средств при отторжении трансплантата, отторжении трансплантированного органа, болезни трансплантат против хозяина, аутоиммунном заболевании (системная красная волчанка, ревматоидный артрит, миастения gravis и т.п.), аллергическом заболевании (атопический дерматит, астма и т.п.), воспалении, инфекции, язве, лимфоме, злокачественной опухоли, лейкозе, артериосклерозе, заболевании, связанном с инфильтрацией лимфоцитов в ткань и т.п.
Известно, что гидрохлорид 2-амино-2-[2-(4-октилфенил)этил]-1,3-пропандиола (регистрационный CAS 162359-56-0, далее указан как “FTY720”), содержащий сфингозинподобную структуру, обладает иммуносупрессорным действием. Однако его молекула-мишень оставалась неизвестной в течение долгого времени. Недавно было выяснено, что FTY720 фосфорилируется in vivo и фосфорилированный FTY720 связывается с рецептором S1P (см. Science, 296, 346 (2002); и J. Biol. Chem., 277, 21453 (2002)). В результате всесторонних исследований было обнаружено, что фосфорилированный FTY720 связывается с различными подтипами рецепторов S1P, а именно EDG-1, EDG-3, EDG-6 и EDG-8.
FTY720 является одним из соединений 2-амино-1,3-пропандиола, представленных формулой (Y):

где RY представляет собой линейную или разветвленную углеродную цепь, которая может содержать заместитель (заместители), арил, который может содержать заместитель (заместители), циклоалкил, который может содержать заместитель (заместители), и т.д.; и R2Y, R3Y, R4Y и R5Y являются одинаковыми или отличными друг от друга, и каждый представляет собой атом водорода, алкил, аралкил, ацил или алкоксикарбонил (выбраны только необходимые части определений символов). Раскрывается, что эти соединения являются полезными в качестве иммуносупрессантов (см. WO 94/008943).
Как результат недавно проведенных клинических испытаний действия FTY720 при трансплантации почки у человека, было сообщение, что FTY720 обладает эффектом существенного снижения случаев резкого отторжения. Было обнаружено, что основное действие, которое проявляет FTY720, направлено на снижение числа лимфоцитов в периферической крови без подавления пролиферации или активации, функцию памяти и способность распознавать чужеродное вещество в вирусной инфекциии лимфоцитов. Таким образом, показано, что FTY720 является полезным при лечении заболевания, такого как отторжение при трансплантации.
Однако также сообщалось, что FTY720 обладает побочным эффектом, вызывая после его введения брадикардию (J. Am. Soc. Nephrol., 13, 1073 (2002)). Поэтому при его использовании следует быть очень внимательным. Следовательно, существовала потребность в высокобезопасном лекарственном средстве, обладающем высоким терапевтическим эффектом и, в то же время, слабым побочным действием.
Недавно было сообщение, что агонист EDG-1 является полезным в качестве иммуносупрессанта. Однако никогда не указывалось, что агонист или антагонист EDG-6 является полезным в качестве иммуносупрессанта (см. WO 03/061567).
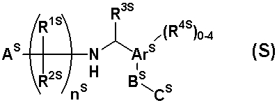
Более того, раскрывается, что соединение, представленное формулой (S):

где ArS представляет собой фенил или нафтил; AS представляет собой карбокси и т.д.; nS имеет значение 2, 3 или 4; R1S и R2S, каждый независимо, представляет собой атом водорода, атом галогена, гидрокси, карбокси, C1-6 алкил, который может быть замещен 1-3 атомами галогена, или фенил, который может быть замещен 1-3 атомами галогена; R3S представляет собой атом водорода или C1-4 алкил, который может быть замещен 1-3 гидрокси или атомами галогена; R4S, каждый независимо, представляет собой гидрокси, атом галогена, карбокси и т.д.; CS представляет собой C1-8 алкил, C1-8 алкокси, фенил и т.д. или CS отсутствует; и BS представляет собой фенил, C5-16 алкил и т.д. (выбраны только необходимые части определений символов);
его фармацевтически приемлемая соль и его гидрат, и
соединение, представленное формулой (T):

где ArT представляет собой фенил или нафтил; AT представляет собой карбокси и т.д.; mT имеет значение 0 или 1; nT имеет значение 0 или 1; R1T и R2T, каждый независимо, представляет собой атом водорода, атом галогена, гидрокси, карбокси, C1-4 алкил или фенил, который может быть замещен атомом галогена и т.д.; R3T представляет собой атом водорода, C1-4 алкил, который может быть замещен гидрокси или атомом галогена и т.д.; R4T, каждый независимо, представляет собой атом галогена, C1-4 алкил, C1-3 алкокси и т.д.; CT представляет собой C1-8 алкил, C1-8 алкокси, фенил и т.д. или CT отсутствует; и BT представляет собой фенил, C5-16 алкил и т.д. (выбраны только необходимые части определений символов);
его фармацевтически приемлемая соль и его гидрат являются полезными в качестве агонистов EDG-1 (см. WO 03/062248 и WO 03/062252).
Также, в качестве агониста EDG-1 известно карбоновокислотное производное, представленное формулой (Z):

где R1Z представляет собой C1-8 алкил, C1-8 алкокси, атом галогена, нитро или трифторметил; кольцо AZ представляет собой C5-7 моноциклическую карбоциклическую группу или 5-7-членную моноциклическую гетероциклическую группу, содержащую один или два атома азота, один атом кислорода и/или один атом серы; EZ представляет собой -CH2-, -O-, -S- или -NR6Z-, где R6Z представляет собой атом водорода или C1-8 алкил; R2Z представляет собой C1-8 алкил, C1-8 алкокси, атом галогена, нитро или трифторметил; R3Z представляет собой атом водорода или C1-8 алкил; R4Z представляет собой атом водорода или C1-8 алкил, или R2Z и R4Z могут быть связаны вместе с образованием -CH2CH2– или -CH=CH-; GZ представляет собой -CONR7Z-, -NR7ZCO-, -SO2NR7Z-, -NR7ZSO2-, -CH2NR7Z– или -NR7ZCH2-, где R7Z представляет собой атом водорода, C1-8 алкил или т.п.; QZ представляет собой C1-4 алкилен или т.п.; pZ представляет собой 0 или целое число, имеющее значение от 1 до 5; qZ представляет собой целое число, имеющее значение от 4 до 6; rZ представляет собой 0 или целое число, имеющее значение от 1 до 4; представляет собой простую связь или двойную связь, его пролекарство или его нетоксичная соль (WO 02/092068).
Раскрытие настоящего изобретения
Иммуносупрессанты являются полезными для профилактики и/лечения воспалительных заболеваний, аллергических заболеваний и/или отторжения при трансплантации. Однако известно, что многие из используемых в настоящее время иммуносупрессантов обладают сильными побочными эффектами, которые возникают достаточно часто. Кроме того, недостатком таких средств является снижение эффекта действия самих этих средств в течение короткого периода времени. Есть опасения, что FTY720, как описано выше, также подвержен воздействию метаболического фермента. Более того, сообщалось, что в клинических испытаниях FTY720 действительно проявляет побочные эффекты, включая брадикардию. Поэтому существовала настоятельная необходимость в разработке лекарственного средства, которое проявляет длительное фармакологическое действие, обладает незначительными побочными эффектами, демонстрирует высокую безопасность и не может быть подвержено воздействию метаболических ферментов.
В результате всесторонних исследований, которые проводили на рецепторах сфигозин-1-фосфата (S1P), полезных в качестве лекарственных средств, авторы настоящего изобретения неожиданно обнаружили, что соединения по настоящему изобретению обладают существенной способностью к связыванию с EDG-6. Они также обнаружили, что некоторые соединения по настоящему изобретению обладают сильной агонистической активностью в отношении EDG-1. Кроме того, они обнаружили, что соединения по настоящему изобретению, обладающие способностью к связыванию с EDG-6, в частности соединения по настоящему изобретению, обладающие агонистической активностью в отношении EDG-1, обладают дополнительным действием по уменьшению числа лимфоцитов в периферической крови и иммуносупрессорным действием. Кроме того, было к удивлению обнаружено, что фармакологическая активность этих соединений по настоящему изобретению может сохраняться в течение длительного времени, таким образом, было создано настоящее изобретение.
Настоящее изобретение относится к:
1. Соединению, представленному формулой (I):

где кольцо А представляет собой циклическую группу;
кольцо B представляет собой циклическую группу, которая может дополнительно содержать заместитель (заместители);
X представляет собой связь или спейсерную группу, содержащую от 1 до 8 атомов в своей основной цепи, в которой один атом в спейсерной группе, взятый вместе с заместителем в кольце B, может образовывать кольцевую группу, которая может содержать заместитель (заместители);
Y представляет собой связь или спейсерную группу, содержащую от 1 до 10 атомов в своей основной цепи, в которой один атом в спейсерной группе, взятый вместе с заместителем в кольце B, может образовывать кольцевую группу, которая может содержать заместитель (заместители);
n имеет значение 0 или 1, при этом, когда n имеет значение 0, m имеет значение 1 и R1 представляет собой атом водорода или заместитель, и, когда n имеет значение 1, m имеет значение 0 или представляет собой целое число, имеющее значение от 1 до 7, и R1 представляет собой заместитель, при этом, когда m имеет значение 2 или более, заместители R1 являются одинаковыми или отличными друг от друга,
его соли, его сольвату или его пролекарству.
2. Соединению в соответствии с указанным выше п.1, которое представляет собой соединение, представленное формулой (I):

где все символы имеют значения, указанные выше в пункте 1, и
где соединение, представленное формулой (Ia), исключается:

где R1a представляет собой C1-8 алкил, C1-8 алкокси, атом галогена, нитро или трифторметил;
кольцо Аa представляет собой C5-7 моноциклическую карбоциклическую группу или 5-7-членную моноциклическую гетероциклическую группу, содержащую один или два атома азота, один атом кислорода и/или один атом серы;
Ea представляет собой -CH2-, -O-, -S- или -NR6a-, где R6a представляет собой атом водорода или C1-8 алкил;
R2a представляет собой C1-8 алкил, C1-8 алкокси, атом галогена, нитро или трифторметил;
R3a представляет собой атом водорода или C1-8 алкил;
R4a представляет собой атом водорода или C1-8 алкил, или
R2a и R4a могут быть связаны вместе с образованием -CH2CH2– или -CH=CH-;
Ga представляет собой -CONR7a-, -NR7aCO-, -SO2NR7a-, -NR7aSO2-, -CH2NR7a– или -NR7aCH2-, где R7a представляет собой атом водорода, C1-8 алкил, Cyc1 или C1-8 алкил, замещенный Cyc1, и Cyc1 представляет собой C5-7 моноциклическую карбоциклическую группу или 5-7-членную моноциклическую гетероциклическую группу, содержащую один или два атома азота, один атом кислорода и/или один атом серы;
Qa представляет собой C1-4 алкилен или

где J1, J2, J3 и J4, каждый независимо, представляет собой атом углерода или атом азота, где количество атомов азота равно 2 или меньше; R5a представляет собой (1) C1-8 алкил, (2) атом галогена, (3) нитро, (4) циано, (5) трифторметил, (6) трифторметокси, (7) фенил, (8) тетразолил, (9) -OR9a, (10) -SR10a, (11) -COOR11a, (12) -NR12aR13a, (13) -CONR14aR15a, (14) -SO2NR16aR17a, (15) -NR18aCOR19a, (16) -NR20aSO2R21a, (17) -SO2R22a или (18) -OP(O)(OR23a)2, где R9a – R18a, R20a и R23a, каждый независимо, представляет собой атом водорода, C1-8 алкил, Cyc2 или C1-8 алкил, замещенный Cyc2, или R12a и R13a, R14a и R15a или R16a и R17a, взятые вместе с атомом азота, с которым они связаны, образуют 5-7-членную моноциклическую гетероциклическую группу, содержащую один или два атома азота, один атом кислорода и/или один атом серы, где указанная гетероциклическая группа может быть замещена C1-8 алкилом, гидрокси или амино; R19a и R21a, каждый независимо, представляет собой C1-8 алкил, Cyc2 или C1-8 алкил, замещенный Cyc2; R22a представляет собой гидрокси, C1-8 алкил, Cyc2 или C1-8 алкил, замещенный Cyc2; и Cyc2 представляет собой C5-7 моноциклическую карбоциклическую группу или 5-7-членную моноциклическую гетероциклическую группу, содержащую один или два атома азота, один атом кислорода и/или один атом серы;
p представляет собой 0 или целое число, имеющее значение от 1 до 5;
q представляет собой целое число, имеющее значение от 4 до 6;
r представляет собой 0 или целое число, имеющее значение от 1 до 4;
s представляет собой 0 или целое число, имеющее значение от 1 до 4; и
представляет собой простую связь или двойную связь.
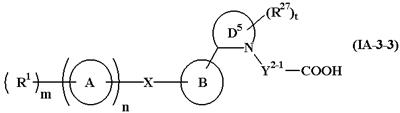
3. Соединению в соответствии с указанным выше п.2, которое представлено формулой (IA):

где Y1 и Y2, каждый независимо, представляет собой связь или спейсерную группу, содержащую от 1 до 9 атомов в своей основной цепи, где общее число атомов основных цепей Y1 и Y2 составляет 9 или меньше;
R7 представляет собой атом водорода или заместитель или, взятый вместе с одним атомом в спейсерной группе, представленной Y1 и/или Y2, образует азотсодержащую гетероциклическую группу, которая может содержать заместитель (заместители); и
другие символы имеют значения, указанные выше в п.1.
4. Соединению в соответствии с указанным выше п.2, которое представлено формулой (IB):

где кольцо B1 представляет собой азотсодержащую гетероциклическую группу, которая может содержать заместитель (заместители), где атом азота в спейсерной группе, представленной Y, объединен с заместителем в кольце B и Y1; и
другие символы имеют значения, указанные выше в пп.1 и 3.
5. Соединению в соответствии с указанным выше п.2, где кольцо А представляет собой бензольное, индановое, инденовое или нафталиновое кольцо.
6. Соединению в соответствии с указанным выше п.2, где кольцо B представляет собой C5-12 моноциклическую или бициклическую карбоциклическую группу, которая может содержать заместитель (заместители).
7. Соединению в соответствии с указанным выше п.6, где кольцо B представляет собой бензольное или нафталиновое кольцо, которое может содержать заместитель (заместители).
8. Соединению в соответствии с указанным выше п.2, где кольцо B представляет собой 5-12-членную моноциклическую или бициклическую гетероциклическую группу, которая содержит от 1 до 3 гетероатомов, выбранных из атома кислорода, атома азота и атома серы, и может быть частично или полностью насыщенной.
9. Соединению в соответствии с указанным выше п.2, где кольцо B представляет собой дигидронафталиновое, инденовое, 6,7-дигидро-5H-бензо[7]аннуленовое, пиридиновое, индольное, хроменовое, бензофурановое, бензотиофеновое, бензоксазольное, дигидробензоксепиновое, тетрагидроизохинолиновое, изоиндолиновое или тетрагидробензазепиновое кольцо, которое может содержать заместитель (заместители).
10. Соединению в соответствии с указанным выше п.4, где азотсодержащая гетероциклическая группа, представленная кольцом B1, представляет собой пиррольное, тетрагидропиридиновое, дигидропиррольное или тетрагидроазепиновое кольцо.
11. Соединению в соответствии с указанным выше п.2, где X представляет собой двухвалентную группу, содержащую от 1 до 8 атомов в своей основной цепи, которая представляет собой от 1 до 4 комбинаций, выбранных из группы, включающей C1-8 алкилен, который может быть замещен, C2-8 алкенилен, который может быть замещен, атом азота, который может быть замещен, -CO-, -O-, C3-6 циклоалкилен, который может быть замещен, и фенилен, который может быть замещен.
12. Соединению в соответствии с указанным выше п.11, где X представляет собой -CH2-, -(CH2)2-, -(CH2)3-, -(CH2)4-, -(CH2)5-, -(CH2)6-, -(CH2)7-, -(CH2)8-, -CH2-O-, -(CH2)2-O-, -(CH2)3-O-, -(CH2)4-O-, -(CH2)5-O-, -CH=CH-CH2-O- или -циклопропилен-CH2-O-, каждый из которых может быть замещен, где правая сторона каждой группы связана с кольцом B.
13. Соединению в соответствии с указанным выше п.2, где Y представляет собой двухвалентную группу, содержащую от 1 до 10 атомов в своей основной цепи, которая представляет собой от 1 до 4 комбинаций, выбранных из группы, включающей C1-10 алкилен, который может быть замещен, C2-10 алкенилен, который может быть замещен, C2-10 алкинилен, который может быть замещен, атом азота, который может быть замещен, -CO-, -O-, -S-, фенилен, который может быть замещен, -(азиридин, который может быть замещен)-, -(азетидин, который может быть замещен)-, -(пирролидин, который может быть замещен)-, -(пиперидин, который может быть замещен)-, -(пиперазин, который может быть замещен)- и -(тетрагидропиридин, который может быть замещен)-.
14. Соединению в соответствии с указанным выше п.13, где Y представляет собой -(CH2)3-NHCH2-, -(CH2)3-NCH3-CH2-, -(CH2)3-NH-(CH2)2-, -(CH2)2-NH-(CH2)2-, -(CH2)2-CONHCH2-, -(CH2)2-CONH-(м-фенилен)-, -CRY1=CH-CH2-NH-(CH2)4-, -CRY1=CH-CH2-NH-(CH2)5-, -CRY1=CH-CH2-NH-(CH2)2-, -CH=CRY1-CH2-NH-(CH2)2-, -CRY1=CH-CH2-NH-CH2-, -CH2-(азетидин)-, -(CH2)2-(азетидин)-, -(CH2)3-(азетидин)-, -CRY1=CH-CH2-(азетидин)-, -CH=CRY1-CH2-(азетидин)-, -(CH2)3-(пиперидин)- или -CRY1=CH-CH2-(пиперидин)-, каждый из которых может быть замещен, где RY1 представляет собой атом водорода, атом галогена или C1-4 алкил, который может быть замещен 1-3 атомами галогена, и правая сторона каждой группы связана с кольцом B.
15. Соединению в соответствии с указанным выше п.3, где Y1 представляет собой двухвалентную группу, содержащую от 1 до 4 атомов в своей основной цепи, которая представляет собой от 1 до 4 комбинаций, выбранных из группы, включающей C1-3 алкилен и -CO-.
16. Соединению в соответствии с указанным выше п.15, где Y1 представляет собой -CH2-, -(CH2)2-, -(CH2)2-CO-, -CO-(CH2)2– или -(CH2)3-, каждый из которых может быть замещен.
17. Соединению в соответствии с указанным выше п.3, где Y2 представляет собой двухвалентную группу, содержащую от 1 до 5 атомов в своей основной цепи, которая представляет собой от 1 до 4 комбинаций, выбранных из группы, включающей C1-3 алкилен, который может быть замещен, и фенилен, который может быть замещен.
18. Соединению в соответствии с указанным выше п.17, где Y2 представляет собой -CH2-, -(CH2)2– или -(м-фенилен)-, каждый из которых может быть замещен.
19. Соединению в соответствии с указанным выше п.2, где заместитель, представленный R1, представляет собой атом галогена, C1-20 алкил, который может быть замещен, или C1-20 алкилокси, который может быть замещен.
20. Соединению в соответствии с указанным выше п.19, где заместитель, представленный R1, представляет собой фтор, хлор, бром, метил, трифторметил или метокси.
21. Соединению в соответствии с указанным выше п.3, где R7 представляет собой атом водорода или C1-20 алкил, который может быть замещен.
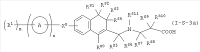
22. Соединению в соответствии с указанным выше п.2, которое представляет собой соединение, представленное формулой (I-S-3a):

где XS имеет такое же значение, как указано для X в п.1 выше, где XS не является -(CH2)q-Ea-; RS0, RS1, RS2, RS3, RS4, RS5, RS6, RS7, RS8, RS9, RS10 и RS11, каждый независимо, представляет собой атом водорода, атом галогена или C1-4 алкил, который может быть замещен 1-3 атомами галогена; Ea, q и другие символы имеют значения, указанные выше в пп.1 и 2, или
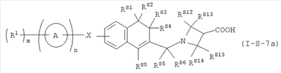
формулой (I-S-7a):

где каждый из RS0, RS1, RS2, RS3, RS4, RS5 и RS6 имеет указанное выше значение; RS12, RS13, RS14 и RS15, каждый независимо, представляет собой атом водорода, атом галогена или C1-4 алкил, который может быть замещен 1-3 атомами галогена; Ea, q и другие символы имеют значения, указанные выше в пп.1 и 2.
23. Соединению в соответствии с указанным выше п.2, которое представляет собой соединение формулы (I-T):

где RS16, RS17, RS18, RS19 и RS20, каждый независимо, представляет собой атом водорода, атом галогена или C1-4 алкил, который может быть замещен 1-3 атомами галогена; и другие символы имеют значения, указанные выше в пп.1, 2 и 22.
24. Соединению в соответствии с указанным выше п.2, которое представляет собой соединение формулы (I-U):

где RS21, RS22, RS23, RS24, RS25 и RS26, каждый независимо, представляет собой атом водорода, атом галогена или C1-4 алкил, который может быть замещен 1-3 атомами галогена; и другие символы имеют значения, указанные выше в пп.1, 2 и 22.
25. Соединению в соответствии с указанным выше п.2, которое представляет собой
(1)N-{(2E)-3-[4-(3-фенилпропокси)фенил]проп-2-енил}- -аланин,
(2)N-{[6-(3-фенилпропокси)-2-нафтил]метил}- -аланин,
(3)1-{[6-(3-фенилпропокси)-2-нафтил]метил}азетидин-3-карбоновую кислоту,
(4)1-{[6-(3-фенилпропокси)-2-нафтил]метил}пиперидин-4-карбоновую кислоту,
(5)N-{(2E)-3-[2-метил-4-(3-фенилпропокси)фенил]проп-2-енил}- -аланин,
(6)1-{(2E)-3-[4-(3-фенилпропокси)фенил]-2-пропенил}пиперидин-4-карбоновую кислоту,
(7)1-{(2E)-3-[4-(3-фенилпропокси)фенил]-2-пропенил}азетидин-3-карбоновую кислоту,
(8) N-{3-[4-(3-фенилпропокси)фенил]пропил}- -аланин,
(9) 3-({(2E)-3-[4-(3-фенилпропил)фенил]-2-бутенил}амино)пропановую кислоту,
(10) 3-({(2E)-3-[4-(3-циклогексилпропокси)-2-метилфенил]-2-пропенил}амино)пропановую кислоту,
(11) 1-{[1-метил-6-(4-фенилбутокси)-3,4-дигидро-2-нафталинил]метил}-3-азетидинкарбоновую кислоту,
(12) N-{[1-(5-фенилпентил)-1H-индол-5-ил]метил}- -аланин,
(13) 3-[4-[4-(3-фенилпропокси)фенил]-3,6-дигидропиридин-1(2H)-ил]пропановую кислоту,
(14) 1-(6-[3-(4-хлорфенил)пропокси]-1-метил-3,4-дигидро-2-нафталинилметил)-3-азетидинкарбоновую кислоту или
(15) 1-(6-[3-(4-фторфенил)пропокси]-1-метил-3,4-дигидро-2-нафталинилметил)-3-азетидинкарбоновую кислоту.
26. Соединению в соответствии с указанным выше п.1, которое представляет собой
(1) N-((2E)-3-{2-метил-4-[(5-фенилпентил)окси]фенил}проп-2-енил)- -аланин,
(2) N-((2E)-3-{4-[(5-фенилпентил)окси]фенил}-2-пропенил)- -аланин или
(3) 3-({[1-метил-6-(4-фенилбутокси)-3,4-дигидро-2-нафталинил]метил}амино)пропановую кислоту.
27. Фармацевтической композиции, которая включает соединение, представленное формулой (I) в п.1 выше, его соль, его сольват или его пролекарство.
28. Фармацевтической композиции в соответствии с указанным выше п.27, которая представляет собой агент, связывающийся с рецептором S1P.
29. Фармацевтической композиции в соответствии с указанным выше п.28, которая представляет собой агент, связывающийся с рецептором EDG-6, который может обладать способностью к связыванию с EDG-1.
30. Фармацевтической композиции в соответствии с указанным выше п.29, где агент, связывающийся с EDG-6, который может обладать способностью к связыванию с EDG-1, представляет собой агонист EDG-6, который может обладать агонистической активностью в отношении EDG-1.
31. Фармацевтической композиции в соответствии с указанным выше п.27, которая представляет собой средство для профилактики и/или лечения заболевания, связанного с EDG-1 и/или EDG-6.
32. Фармацевтической композиции в соответствии с указанным выше п.31, где заболевание, связанное с EDG-1 и/или EDG-6, представляет собой отторжение при трансплантации, аутоиммунное заболевание и/или аллергическое заболевание.
33. Фармацевтической композиции в соответствии с указанным выше п.31, где заболевание, связанное с EDG-1 и/или EDG-6, представляет собой отторжение при трансплантации почки, печени, сердца, легкого, кожного трансплантата, роговицы, кости, клеток костного мозга и/или клеток панкреатических островков, коллагеновое заболевание, системную красную волчанку, ревматоидный артрит, рассеянный склероз, псориаз, воспалительное заболевание кишечника, болезнь Крона, аутоиммунный диабет, фиброз легкого, атопический дерматит и/или астму.
34. Фармацевтической композиции в соответствии с указанным выше п.27, которая представляет собой иммуносупрессант.
35. Фармацевтической композиции в соответствии с указанным выше п.27, которая представляет собой средство, вызывающее лимфопению.
36. Фармацевтической композиции в соответствии с указанными выше пп.28, 31, 34 и 35, которая включает
(1) 2-[3-(4-(5-фенилпентилокси)фенил)пропаноиламино]уксусную кислоту,
(2) 3-[3-(4-(5-фенилпентилокси)фенил)пропиламино]пропановую кислоту,
(3) 3-[2-(4-(5-фенилпентилокси)фенил)этиламино]пропановую кислоту,
(4) 2-[3-(4-(5-фенилпентилокси)фенил)пропиламино]уксусную кислоту,
(5) 2-[N-метил-3-(4-(5-фенилпентилокси)фенил)пропиламино]-уксусную кислоту,
(6) N-((2E)-3-{2-метил-4-[(5-фенилпентил)окси]фенил}проп-2-енил)- -аланин,
(7) N-((2E)-3-{4-[(5-фенилпентил)окси]фенил}-2-пропенил)- -аланин,
(8) 3-({[1-метил-6-(4-фенилбутокси)-3,4-дигидро-2-нафталинил]метил}амино)пропановую кислоту,
(9) 3-карбоксил-5-[3-(4-(5-фенилпентилокси)фенил)-пропаноиламино]бензойную кислоту или
(10) 2-хлор-5-[3-(2-фтор-4-(5-фенилпентилокси)фенил)-пропаноиламино]бензойную кислоту,
их соли, их сольваты или их пролекарства.
37. Лекарственному средству, включающему соединение, представленное формулой (I) по указанному выше п.1, его соль, его сольват или его пролекарство в сочетании с одним или, по меньшей мере, двумя средствами, выбранными из группы, включающей антиметаболит, алкилирующий агент, ингибитор T-клеточной активации, ингибитор кальциневрина, ингибитор сигнала пролиферации, стероидное средство, иммуносупрессорное средство, антитело, используемое для иммуносупрессии, средство для лечения отторжения, антибиотик, противовирусное средство и противогрибковое средство.
38. Иммуносупрессанту и/или средству, вызывающему лимфопению, которое включает соединение, обладающее способностью к связыванию с EDG-6 и которое может обладать способностью к связыванию с EDG-1.
39. Иммуносупрессанту и/или средству, вызывающему лимфопению, по указанному выше п.38, которое представляет собой средство для профилактики и/или лечения отторжения при трансплантации, аутоиммунного заболевания и/или аллергического заболевания.
40. Способу профилактики и/или лечения заболевания, связанного с EDG-1 и/или EDG-6, у млекопитающего, который включает введение млекопитающему эффективного количества соединения, представленного формулой (I) по указанному выше п.1, его соли, его сольвата или его пролекарства.
41. Способу подавления иммунитета и/или индукции лимфопении у млекопитающего, который включает введение млекопитающему эффективного количества соединения, представленного формулой (I) по указанному выше п.1, его соли, его сольвата или его пролекарства.
42. Применению соединения, представленного формулой (I) по указанному выше п.1, его соли, его сольвата или его пролекарства для получения лекарственного средства для профилактики и/или лечения заболевания, связанного с EDG-1 и/или EDG-6.
43. Применению соединения, представленного формулой (I) по указанному выше п.1, его соли, его сольвата или его пролекарства для получения иммуносупрессанта и/или средства, вызывающего лимфопению.
44. Лекарственному средству, включающему соединение, обладающее способностью к связыванию с рецептором S1P.
45. Лекарственному средству по указанному выше п.44, которое представляет собой иммуносупрессант и/или средство, вызывающее лимфопению.
46. Лекарственному средству по указанному выше п.45, где рецептор S1P представляет собой EDG-1 и EDG-6.
47. Лекарственному средству по указанному выше п.45, где рецептор S1P представляет собой EDG-6.
48. Лекарственному средству по указанному выше п.46, где соединение, обладающее способностью к связыванию с EDG-1 и EDG-6, представляет собой агонист EDG-1 и агонист EDG-6.
49. Лекарственному средству по указанному выше п.47, где соединение, обладающее способностью к связыванию с EDG-6, представляет собой агонист EDG-6.
50. Лекарственному средству по указанному выше п.45, которое представляет собой средство для профилактики и/или подавления отторжения.
51. Лекарственному средству по указанному выше п.50, где отторжение представляет собой отторжение трансплантата, Т-клеточно-опосредованное отторжение, острое отторжение и/или хроническое отторжение.
52. Лекарственному средству по указанному выше п.51, где трансплантат представляет собой трансплантат органа, ткани и/или клеток.
53. Лекарственному средству по указанному выше п.52, где орган представляет собой почку, печень, сердце и/или легкое, ткань представляет собой кожный трансплантат, роговицу и/или кость и клетки представляют собой клетки костного мозга и/или клетки панкреатических островков.
54. Лекарственному средству по указанному выше п.45, которое представляет собой средство для профилактики и/или лечения аутоиммунного заболевания и/или аллергического заболевания.
55. Лекарственному средству по указанному выше п.54, где аллергическое заболевание представляет собой атопический дерматит.
56. Лекарственному средству по указанному выше п.45, где средство, вызывающее лимфопению, представляет собой средство для активации хоминга лимфоцитов во вторичную лимфатическую ткань, средство для подавления рециркуляции лимфоцитов из лимфатических узлов в кровь или средство для защиты лимфоцитов в периферической крови при лечении рака.
57. Лекарственному средству, включающему соединение, обладающее способностью к связыванию с рецептором S1P, в сочетании с одним или, по меньшей мере, двумя средствами, выбранными из группы, включающей антиметаболит, алкилирующий агент, ингибитор T-клеточной активации, ингибитор кальциневрина, ингибитор сигнала пролиферации, стероид, иммуносупрессант, антитело, используемое в иммунной супрессии, средство для лечения отторжения, антибиотик, противовирусное средство и противогрибковое средство.
58. Способу получения соединения, представленного формулой (I), его соли, его сольвата или его пролекарства; и т.п.
В настоящем описании S1P означает сфингозин-1-фосфат ((2S,3R,4E)-2-амино-3-гидроксиоктадец-4-енил-1-фосфат). EDG означает ген эндотелиальной дифференциации и является родовым понятием, включающим гены EDG-1 – EDG-8. Из таких EDG генов EDG-1, EDG-3, EDG-5, EDG-6 и EDG-8 (каждый отдельно названные S1P1, S1P3, S1P2, S1P4 и S1P5 соответственно) считаются рецепторами S1P.
В настоящем описании “соединение, обладающие способностью к связыванию с рецептором” включает агонисты, антагонисты и обратные агонисты.
В настоящем описании агонист включает полные агонисты и частичные агонисты.
В настоящем описании заболевание, связанное с EDG-6, включает, например, отторжение при трансплантации, отторжение трансплантированного органа, заболевание трансплантат против хозяина, аутоиммунные заболевания (системная красная волчанка, ревматоидный артрит, миастения gravis и т.п.), аллергические заболевания (атопический дерматит, астма и т.п.), воспаления, инфекции, язвы, лимфомы, злокачественной опухоли, лейкоз, артериосклероз, заболевания, связанные с инфильтрацией лимфоцитов в ткань и т.п.
В настоящем описании заболевание, связанное с EDG-1, включает, например, острую сердечную недостаточность, стенокардию, удар, травматические повреждения, генетические заболевания, заболевания периферических артерий, такие как облитерирующий артериосклероз, облитерирующий тромбангиит, Болезнь Бюргера или диабетическую невропатию, сепсис, ангиит, нефрит, пневмонию, церебральный инфаркт, инфаркт миокарда, эдематозные заболевания, варикозное расширение вен, такое как геморроидальный узел, анальные трещины, анальный свищ; расслаивающую аневризму аорты, DIC (диссеминированное внутрисосудистое свертывание), плеврит, застойную сердечную недостаточность или полиорганную недостаточность, пролежни, ожоги, хронический язвенный колит, болезнь Крона, остеопороз, фиброз легкогих, интерстициальную пневмонию, хронический гепатит, циррозный гепатит, хроническую почечную недостаточность, гломерулосклероз и т.п. EDG-1 также участвует в предоперационной, постоперационной и/или прогностической активации кровеносных сосудов, сопровождающих трансплантацию различных органов, например в активации адгезии трансплантированных органов, например, при трансплантации сердца, трансплантации почек, кожных трансплантациях или трансплантации печени.
В настоящем описании отторжение при трансплантации означает острое отторжение, которое происходит в течение 3 месяцев после трансплантации, хроническое отторжение, которое происходит после указанного срока, и заболевание трансплантат против хозяина.
В настоящем описании трансплантат означает трансплантированный орган (например, почка, печень, сердце, легкое, тонкий кишечник и т.д.), трансплантированную ткань (например, кожный трансплантат (например, трансплантат с полной толщиной кожи, эпидермальный трансплантат, трансплантат дермиса, трансплантат Дэйвиса и т.д.), роговицу, кость, зародышевую ткань и т.д.) или трансплантированные клетки (например, клетки костного мозга, гематопоэтические стволовые клетки, стволовые клетки периферической крови, стволовые клетки сосудов спинного мозга, клетки панкреатических островков, клетки Лангерганса, являющиеся частью клеток панкреатических островков, гепатоциты, нервные клетки, клетки кишечного эпителия и т.д.). В качестве предпочтительных органов можно указать почку, печень, сердце и легкое. В качестве предпочтительных тканей можно указать кожный трансплантат и роговицу. В качестве предпочтительных клеток можно указать клетки костного мозга и клетки панкреатических островков.
В настоящем описании T-клеточно-опосредованный означает, что T-клетки участвуют на какой-либо стадии возникновения, обострения или длительности заболевания.
В настоящем описании аутоиммунное заболевание включает, например, коллагеновое заболевание, системную красную волчанку, ревматоидный артрит, рассеянный склероз, нефротический синдром, волчаночный нефрит, синдром Шегрена, склеродерму, рассеянный миозит, псориаз, воспалительное заболевание кишечника, болезнь Крона, заболевание смешанной соединительной ткани, первичную микседему, болезнь Эддисона, гиполастичную анемию, аутоиммунную гемолитическую анемию, аутоиммунную тромбопению, аутоиммунный диабет (диабет типа I), увеит, антирецепторное заболевание, миастению gravis, тиротоксикоз, тироидит, болезнь Хашимото и т.п.
В настоящем описании аллергическое заболевание включает, например, атопический дерматит, астму, ринит, конъюнктивит, сенную лихорадку и т.п. В качестве предпочтительного аллергического заболевания можно указать атопический дерматит.
В настоящем описании иммуносупрессант означает лекарственное средство, предназначенное для использования для профилактики и/или лечения отторжения при трансплантации, аутоиммунного заболевания, различных злокачественных опухолей, рака, аллергических заболеваний и т.д. В качестве такого лекарственного средства можно использовать антиметаболит, алкилирующий агент, ингибитор Т-клеточной активации (супрессор Т-клеточной функции), ингибитор кальциневрина, ингибитор сигнала пролиферации, стероид, антитело, используемое в иммунной супрессии, другие лекарственные средства для лечения отторжения и т.п.
В настоящем описании средство, вызывающее лимфопению, означает лекарственное средство, обладающее эффектом уменьшения числа лимфоцитов в периферической крови, уменьшения циркуляции лимфоцитов, снижения числа проникающих лимфоцитов, активации хоминга лимфоцитов во вторичную лимфатическую ткань, подавления рециркуляции лимфоцитов из лимфатических узлов в кровь, ингибирования фермента в пути нуклеиновокислотного синтеза лимфоцитов (система метаболизма пиримидина и система метаболизма пурина) и т.п.
В настоящем описании вторичная лимфатическая ткань включает, например, лимфатические узлы, пейеровы бляшки (кишечная лимфатическая ткань), селезенку и т.п.
В настоящем описании эффект активации хоминга лимфоцитов во вторичную лимфатическую ткань означает активацию миграции лимфоцитов во вторичную лимфатическую ткань, усиление разделения лимфоцитов во вторичной лимфатической ткани, пролонгацию удержания лимфоцитов во вторичной лимфатической ткани и т.п. Благодаря таким эффектам число лимфоцитов может быть снижено на участке воспаления или отторжения и т.д.
В настоящем описании эффект защиты лимфоцитов в периферической крови при курсе раковой терапии означает эффект предварительного хоминга лимфоцитов в периферической крови во вторичную лимфатическую ткань до начала раковой терапии (в частности, химиотерапии, радиотерапии и т.д.), обеспечивая, таким образом, защиту лимфоцитов. Такой эффект включает защиту лимфоцитов на пре-трансплантационной стадии введения большого количества противоракового средства. Известно, что лечение рака с помощью химиотерапии и т.д. с использованием противоракового средства сопровождается серьезными побочными эффектами, такими как снижение функции гематопоэтических клеток, что делает пациента подверженным инфекциям. Такие побочные эффекты можно уменьшить путем активации описанной выше функции.
В настоящем описании циклическая группа представляет собой, например, карбоциклическую группу или гетероциклическую группу.
В настоящем описании карбоциклическая группа представляет собой, например, C3-15 карбоциклическую группу. C3-15 карбоциклическая группа включает C3-15 моно-, би- или трициклический карбоциклический арил, частично или полностью насыщенную карбоциклическую группу, бициклическую карбоциклическую группу, содержащую спиро-связь, и содержащую мостиковую связь бициклическую карбоциклическую группу. Примеры включают циклопропановое, циклобутановое, циклопентановое, циклогексановое, циклогептановое, циклооктановое, циклононановое, циклодекановое, циклоундекановое, циклододекановое, циклотридодекановое, циклотетрадекановое, циклопентадекановое, циклопентеновое, циклогексеновое, циклогептеновое, циклооктеновое, циклопентадиеновое, циклогексадиеновое, циклогептадиеновое, циклооктадиеновое, бензольное, пенталеновое, пергидропенталеновое, азуленовое, пергидроазуленовое, инденовое, пергидроинденовое, индановое, нафталиновое, дигидронафталиновое, тетрагидронафталиновое, пергидронафталиновое, 6,7-дигидро-5H-бензо[7]аннуленовое, 5H-бензо[7]аннуленовое, гепталеновое, пергидрогепталеновое, бифениленовое, аз-индаценовое, втор-индаценовое, аценафтиленовое, аценафтеновое, флуореновое, феналеновое, фенантреновое, антраценовое, спиро[4,4]нонановое, спиро[4,5]декановое, спиро[5,5]ундекановое, бицикло[2,2,1]гептановое, бицикло[2,2,1]гепт-2-еновое, бицикло[3,1,1]гептановое, бицикло[3,1,1]гепт-2-еновое, бицикло[2,2,2]октановое, бицикло[2,2,2]окт-2-еновое, адамантановое и норадамантановое кольцо и т.п.
В настоящем описании C5-12 моноциклическая или бициклическая карбоциклическая группа представляет собой, например, C5-12 моноциклический или бициклический карбоциклический арил, который является частично или полностью насыщенным. Примеры включают циклопентановое, циклогексановое, циклогептановое, циклооктановое, циклононановое, циклодекановое, циклоундекановое, циклододекановое, циклотридодекановое, циклотетрадекановое, циклопентадекановое, циклопентеновое, циклогексеновое, циклогептеновое, циклооктеновое, циклопентадиеновое, циклогексадиеновое, циклогептадиеновое, циклооктадиеновое, бензольное, пенталеновое, пергидропенталеновое, азуленовое, пергидроазуленовое, инденовое, пергидроинденовое, индановое, нафталиновое, дигидронафталиновое, тетрагидронафталиновое, пергидронафталиновое, 6,7-дигидро-5H-бензо[7]аннуленовое, 5H-бензо[7]аннуленовое, гепталеновое и пергидрогепталеновое кольцо и т.п.
В настоящем описании C5-7 моноциклическая карбоциклическая группа представляет собой, например, C5-7 моноциклический карбоциклический арил, который может быть частично или полностью насыщенным. Примеры включают циклопентановое, циклогексановое, циклогептановое, циклопентеновое, циклогексеновое, циклогептеновое, циклопентадиеновое, циклогексадиеновое, циклогептадиеновое и бензольное кольцо и т.п.
В настоящем описании гетероциклическая группа представляет собой, например, 3-15-членную гетероциклическую группу, содержащую от 1 до 5 гетероатомов, выбранных из атома кислорода, атома азота и атома серы. 3-15-членная гетероциклическая группа, содержащая от 1 до 5 гетероатомов, выбранных из атома кислорода, атома азота и атома серы, включает, например, 3-15-членный моноциклический, бициклический или трициклический гетероциклический арил, бициклическую гетероциклическую группу, содержащую спиро-связь, и содержащую мостиковую связь бициклическую гетероциклическую группу, каждая из которых содержит от 1 до 5 гетероатомов, выбранных из атома кислорода, атома азота и атома серы, и может быть частично или полностью насыщенной. Примеры включают пиррольное, имидазольное, триазольное, тетразольное, пиразольное, пиридиновое, пиразиновое, пиримидиновое, пиридазиновое, азепиновое, диазепиновое, фурановое, пирановое, оксепиновое, тиофеновое, тиопирановое, тиепиновое, оксазольное, изоксазольное, тиазольное, изотиазольное, фуразановое, оксадиазольное, оксазиновое, оксадиазиновое, оксазепиновое, оксадиазепиновое, тиадиазольное, тиазиновое, тиадиазиновое, тиазепиновое, тиадиазепиновое, индольное, изоиндольное, индолизиновое, бензофурановое, изобензофурановое, бензотиофеновое, изобензотиофеновое, дитианафталиновое, индазольное, хинолиновое, изохинолиновое, хинолизиновое, пуриновое, фталазиновое, птеридиновое, нафтиридиновое, хиноксалиновое, хиназолиновое, циннолиновое, бензоксазольное, бензотиазольное, бензимидазольное, хроменовое, бензоксепиновое, бензоксазепиновое, бензоксадиазепиновое, бензотиепиновое, бензотиазепиновое, бензотиадиазепиновое, бензазепиновое, бензодиазепиновое, бензофуразановое, бензотиадиазольное, бензотриазольное, карбазольное, -карболиновое, акридиновое, феназиновое, дибензофурановое, ксантеновое, дибензотиофеновое, фенотиазиновое, феноксазиновое, феноксатииновое, тиантреновое, фенантридиновое, фенантролиновое, пиримидиновое, азиридиновое, азетидиновое, пирролиновое, пирролидиновое, имидазолиновое, имидазолидиновое, триазолиновое, триазолидиновое, тетразолиновое, тетразолидиновое, пиразолиновое, пиразолидиновое, дигидропиридиновое, тетрагидропиридиновое, пиперидиновое, дигидропиразиновое, тетрагидропиразиновое, пиперазиновое, дигидропиримидиновое, тетрагидропиримидиновое, пергидропиримидиновое, дигидропиридазиновое, тетрагидропиридазиновое, пергидропиридазиновое, дигидроазепиновое, тетрагидроазепиновое, пергидроазепиновое, дигидродиазепиновое, тетрагидродиазепиновое, пергидродиазепиновое, оксирановое, оксетановое, дигидрофурановое, тетрагидрофурановое, дигидропирановое, тетрагидропирановое, дигидрооксепиновое, тетрагидрооксепиновое, пергидрооксепиновое, тиирановое, тиетановое, дигидротиофеновое, тетрагидротиофеновое, дигидротиопирановое, тетрагидротиопирановое, дигидротиепиновое, тетрагидротиепиновое, пергидротиепиновое, дигидрооксазольное, тетрагидрооксазольное (оксазолидиновое), дигидроизоксазольное, тетрагидроизоксазольное (изоксазолидиновое), дигидротиазольное, тетрагидротиазольное (тиазолидиновое), дигидроизотиазольное, тетрагидроизотиазольное (изотиазолидиновое), дигидрофуразановое, тетрагидрофуразановое, дигидрооксадиазольное, тетрагидрооксадиазольное (оксадиазолидиновое), дигидрооксазиновое, тетрагидрооксазиновое, дигидрооксадиазиновое, тетрагидрооксадиазиновое, дигидрооксазепиновое, тетрагидрооксазепиновое, пергидрооксазепиновое, дигидрооксадиазепиновое, тетрагидрооксадиазепиновое, пергидрооксадиазепиновое, дигидротиадиазольное, тетрагидротиадиазольное (тиадиазолидиновое), дигидротиазиновое, тетрагидротиазиновое, дигидротиадиазиновое, тетрагидротиадиазиновое, дигидротиазепиновое, тетрагидротиазепиновое, пергидротиазепиновое, дигидротиадиазепиновое, тетрагидротиадиазепиновое, пергидротиадиазепиновое, морфолиновое, тиоморфолиновое, оксатиановое, индолиновое, изоиндолиновое, дигидробензофурановое, пергидробензофурановое, дигидроизобензофурановое, пергидроизобензофурановое, дигидробензотиофеновое, пергидробензотиофеновое, дигидроизобензотиофеновое, пергидроизобензотиофеновое, дигидроиндазольное, пергидроиндазольное, дигидрохинолиновое, тетрагидрохинолиновое, пергидрохинолиновое, дигидроизохинолиновое, тетрагидроизохинолиновое, пергидроизохинолиновое, дигидрофталазиновое, тетрагидрофталазиновое, пергидрофталазиновое, дигидронафтиридиновое, тетрагидронафтиридиновое, пергидронафтиридиновое, дигидрохиноксалиновое, тетрагидрохиноксалиновое, пергидрохиноксалиновое, дигидрохиназолиновое, тетрагидрохиназолиновое, пергидрохиназолиновое, дигидроциннолиновое, тетрагидроциннолиновое, пергидроциннолиновое, бензооксатиановое, дигидробензооксазиновое, дигидробензотиазиновое, пиразинoморфолиновое, дигидробензоксазольное, пергидробензоксазольное, дигидробензотиазольное, пергидробензотиазольное, дигидробензимидазольное, пергидробензимидазольное, дигидробензазепиновое, тетрагидробензазепиновое, дигидробензодиазепиновое, тетрагидробензодиазепиновое, бензодиоксепановое, дигидробензоксазепиновое, тетрагидробензоксазепиновое, дигидрокарбазольное, тетрагидрокарбазольное, пергидрокарбазольное, дигидроакридиновое, тетрагидроакридиновое, пергидроакридиновое, дигидродибензофурановое, дигидродибензотиофеновое, тетрагидродибензофурановое, тетрагидродибензотиофеновое, пергидродибензофурановое, пергидродибензотиофеновое, диоксолановое, диоксановое, дитиолановое, дитиановое, диоксаиндановое, бензодиоксановое, хроменовое, хромановое, бензодитиолановое и бензодитиановое кольцо и т.п.
В настоящем описании 5-12-членный, моноциклический или бициклический гетероциклический арил, который содержит от 1 до 3 гетероатомов, выбранных из атома кислорода, атома азота и атома серы, и может быть частично или полностью насыщенным, представляет собой, например, 5-12-членный моноциклический или бициклический гетероциклический арил, бициклическую гетероциклическую группу, содержащую спиро-связь, или содержащую мостиковую связь бициклическую гетероциклическую группу, каждая из которых содержит от 1 до 3 гетероатомов, выбранных из атома кислорода, атома азота и атома серы, и может быть частично или полностью насыщенной. Примеры включают пиррольное, имидазольное, триазольное, пиразольное, пиридиновое, пиразиновое, пиримидиновое, пиридазиновое, азепиновое, диазепиновое, фурановое, пирановое, оксепиновое, тиофеновое, тиопирановое, тиепиновое, оксазольное, изоксазольное, тиазольное, изотиазольное, фуразановое, оксадиазольное, оксазиновое, оксадиазиновое, оксазепиновое, оксадиазепиновое, тиадиазольное, тиазиновое, тиадиазиновое, тиазепиновое, тиадиазепиновое, индольное, изоиндольное, индолизиновое, бензофурановое, изобензофурановое, бензотиофеновое, изобензотиофеновое, дитианафталиновое, индазольное, хинолиновое, изохинолиновое, хинолизиновое, фталазиновое, нафтиридиновое, хиноксалиновое, хиназолиновое, циннолиновое, бензоксазольное, бензотиазольное, бензимидазольное, хроменовое, бензоксепиновое, дигидробензоксепиновое, бензоксазепиновое, бензоксадиазепиновое, бензотиепиновое, бензотиазепиновое, бензотиадиазепиновое, бензазепиновое, бензодиазепиновое, бензофуразановое, бензотиадиазольное, бензотриазольное, пирролиновое, пирролидиновое, имидазолиновое, имидазолидиновое, триазолиновое, триазолидиновое, пиразолиновое, пиразолидиновое, дигидропиридиновое, тетрагидропиридиновое, пиперидиновое, дигидропиразиновое, тетрагидропиразиновое, пиперазиновое, дигидропиримидиновое, тетрагидропиримидиновое, пергидропиримидиновое, дигидропиридазиновое, тетрагидропиридазиновое, пергидропиридазиновое, дигидроазепиновое, тетрагидроазепиновое, пергидроазепиновое, дигидродиазепиновое, тетрагидродиазепиновое, пергидродиазепиновое, дигидрофурановое, тетрагидрофурановое, дигидропирановое, тетрагидропирановое, дигидрооксепиновое, тетрагидрооксепиновое, пергидрооксепиновое, дигидротиофеновое, тетрагидротиофеновое, дигидротиопирановое, тетрагидротиопирановое, дигидротиепиновое, тетрагидротиепиновое, пергидротиепиновое, дигидрооксазольное, тетрагидрооксазольное (оксазолидиновое), дигидроизоксазольное, тетрагидроизоксазольное (изоксазолидиновое), дигидротиазольное, тетрагидротиазольное (тиазолидиновое), дигидроизотиазольное, тетрагидроизотиазольное (изотиазолидиновое), дигидрофуразановое, тетрагидрофуразановое, дигидрооксадиазольное, тетрагидрооксадиазольное (оксадиазолидиновое), дигидрооксазиновое, тетрагидрооксазиновое, дигидрооксадиазиновое, тетрагидрооксадиазиновое, дигидрооксазепиновое, тетрагидрооксазепиновое, пергидрооксазепиновое, дигидрооксадиазепиновое, тетрагидрооксадиазепиновое, пергидрооксадиазепиновое, дигидротиадиазольное, тетрагидротиадиазольное (тиадиазолидиновое), дигидротиазиновое, тетрагидротиазиновое, дигидротиадиазиновое, тетрагидротиадиазиновое, дигидротиазепиновое, тетрагидротиазепиновое, пергидротиазепиновое, дигидротиадиазепиновое, тетрагидротиадиазепиновое, пергидротиадиазепиновое, морфолиновое, тиоморфолиновое, оксатиановое, индолиновое, изоиндолиновое, дигидробензофурановое, пергидробензофурановое, дигидроизобензофурановое, пергидроизобензофурановое, дигидробензотиофеновое, пергидробензотиофеновое, дигидроизобензотиофеновое, пергидроизобензотиофеновое, дигидроиндазольное, пергидроиндазольное, дигидрохинолиновое, тетрагидрохинолиновое, пергидрохинолиновое, дигидроизохинолиновое, тетрагидроизохинолиновое, пергидроизохинолиновое, дигидрофталазиновое, тетрагидрофталазиновое, пергидрофталазиновое, дигидронафтиридиновое, тетрагидронафтиридиновое, пергидронафтиридиновое, дигидрохиноксалиновое, тетрагидрохиноксалиновое, пергидрохиноксалиновое, дигидрохиназолиновое, тетрагидрохиназолиновое, пергидрохиназолиновое, дигидроциннолиновое, тетрагидроциннолиновое, пергидроциннолиновое, бензооксатиановое, дигидробензооксазиновое, дигидробензотиазиновое, пиразинoморфолиновое, дигидробензоксазольное, пергидробензоксазольное, дигидробензотиазольное, пергидробензотиазольное, дигидробензимидазольное, пергидробензимидазольное, дигидробензазепиновое, тетрагидробензазепиновое, дигидробензодиазепиновое, тетрагидробензодиазепиновое, бензодиоксепановое, дигидробензоксазепиновое, тетрагидробензоксазепиновое, диоксолановое, диоксановое, дитиолановое, дитиановое, диоксаиндановое, бензодиоксановое, хромановое, бензодитиолановое и бензодитиановое кольцо и т.п.
В настоящем описании 5-7-членная моноциклическая гетероциклическая группа, содержащая один или два атома азота, один атом кислорода и/или один атом серы, представляет собой, например, 5-7-членный моноциклический гетероциклический арил, содержащий один или два атома азота, один атом кислорода и/или один атом серы, который может быть частично или полностью насыщенным. Примеры включают пиррольное, имидазольное, пиразольное, пиридиновое, пиразиновое, пиримидиновое, пиридазиновое, азепиновое, диазепиновое, фурановое, пирановое, оксепиновое, тиофеновое, тиаиновое (тиопирановое), тиепиновое, оксазольное, изоксазольное, тиазольное, изотиазольное, фуразановое, оксадиазольное, оксазиновое, оксадиазиновое, оксазепиновое, оксадиазепиновое, тиадиазольное, тиазиновое, тиадиазиновое, тиазепиновое, тиадиазепиновое, пирролиновое, пирролидиновое, имидазолиновое, имидазолидиновое, пиразолиновое, пиразолидиновое, дигидропиридиновое, тетрагидропиридиновое, пиперидиновое, дигидропиразиновое, тетрагидропиразиновое, пиперазиновое, дигидропиримидиновое, тетрагидропиримидиновое, пергидропиримидиновое, дигидропиридазиновое, тетрагидропиридазиновое, пергидропиридазиновое, дигидроазепиновое, тетрагидроазепиновое, пергидроазепиновое, дигидродиазепиновое, тетрагидродиазепиновое, пергидродиазепиновое, дигидрофурановое, тетрагидрофурановое, дигидропирановое, тетрагидропирановое, дигидротиофеновое, тетрагидротиофеновое, дигидротиаиновое (дигидротиопирановое), тетрагидротиаиновое (тетрагидротиопирановое), дигидрооксазольное, тетрагидрооксазольное, дигидроизоксазольное, тетрагидроизоксазольное, дигидротиазольное, тетрагидротиазольное, дигидроизотиазольное, тетрагидроизотиазольное, дигидрооксадиазольное, тетрагидрооксадиазольное, дигидротиодиазольное, тетрагидротиодиазольное, тетрагидрооксадиазиновое, тетрагидротиадиазиновое, тетрагидрооксазепиновое, тетрагидрооксадиазепиновое, пергидрооксазепиновое, пергидрооксадиазепиновое, тетрагидротиазепиновое, тетрагидротиадиазепиновое, пергидротиазепиновое, пергидротиадиазепиновое, морфолиновое и тиоморфолиновое кольцо и т.п.
В настоящем описании 5-7-членная моноциклическая гетероциклическая группа, содержащая один или два атома азота, один атом кислорода и/или один атом серы, образованная заместителями и атомом азота, связанным с ними, представляет собой, например, 5-7-членный моноциклический гетероциклический арил, содержащий один или два атома азота, один атом кислорода и/или один атом серы, который может быть частично или полностью насыщенным. Примеры включают пиррольное, имидазольное, пиразольное, пирролиновое, пирролидиновое, имидазолиновое, имидазолидиновое, пиразолиновое, пиразолидиновое, дигидропиридиновое, тетрагидропиридиновое, пиперидиновое, дигидропиразиновое, тетрагидропиразиновое, пиперазиновое, дигидропиримидиновое, тетрагидропиримидиновое, пергидропиримидиновое, дигидропиридазиновое, тетрагидропиридазиновое, пергидропиридазиновое, дигидроазепиновое, тетрагидроазепиновое, пергидроазепиновое, дигидродиазепиновое, тетрагидродиазепиновое, пергидродиазепиновое, тетрагидрооксазольное, тетрагидроизоксазольное, тетрагидротиазольное, тетрагидроизотиазольное, дигидрооксадиазольное, тетрагидрооксадиазольное, дигидротиодиазольное, тетрагидротиодиазольное, тетрагидрооксадиазиновое, тетрагидротиадиазиновое, тетрагидрооксадиазепиновое, пергидрооксазепиновое, пергидрооксадиазепиновое, тетрагидротиадиазепиновое, пергидротиазепиновое, пергидротиадиазепиновое, морфолиновое и тиоморфолиновое кольцо и т.п.
В настоящем описании циклическая группа в циклической группе, которая может дополнительно содержать заместитель (заместители), циклической группе, которая может быть замещена, и в замещенный циклической группой” имеет те же значения, что и циклическая группа, описанная выше.
В настоящем описании заместитель в который может содержать заместитель (заместители)” конкретно не ограничен, при условии, что он является заместителем. Примеры включают C1-20 алкил, который может быть замещен, C2-20 алкенил, который может быть замещен, C2-20 алкинил, который может быть замещен, C1-20 алкилиден, который может быть замещен, циклическую группу, которая может быть замещена, оксо, гидрокси, C1-20 алкилокси, который может быть замещен, C2-20 алкенилокси, который может быть замещен, C2-20 алкинилокси, который может быть замещен, гидрокси, который может быть защищен циклической группой, которая может быть замещена, C1-20 ацилокси, который может быть замещен, тиоксо, меркапто, C1-20 алкилтио, который может быть замещен, C2-20 алкенилтио, который может быть замещен, C2-20 алкинилтио, который может быть замещен, меркапто, замещенный циклической группой, которая может быть замещена, C1-20 алкилсульфинил, который может быть замещен, C2-20 алкенилсульфинил, который может быть замещен, C2-20 алкинилсульфинил, который может быть замещен, сульфинил, замещенный циклической группой, которая может быть замещена, C1-20 алкилсульфонил, который может быть замещен, C2-20 алкенилсульфонил, который может быть замещен, C2-20 алкинилсульфонил, который может быть замещен, сульфонил, замещенный циклической группой, которая может быть замещена, сульфино, который может быть замещен, сульфо, который может быть замещен, сульфамоил, который может быть замещен (когда присутствуют два заместителя, эти заместители, взятые вместе с атомом азота, с которым они связаны, образуют 5-7-членную моноциклическую гетероциклическую группу, содержащую один или два атома азота, один атом кислорода и/или один атом серы (такая гетероциклическая группа может быть замещена C1-8 алкилом, гидрокси или амино)), карбонил, который может быть замещен, карбокси, который может быть замещен, C1-20 ацил, который может быть замещен, карбамоил, который может быть замещен (когда присутствуют два заместителя, эти заместители, взятые вместе с атомом азота, с которым они связаны, образуют 5-7-членную моноциклическую гетероциклическую группу, содержащую один или два атома азота, один атом кислорода и/или один атом серы (такая гетероциклическая группа может быть замещена C1-8 алкилом, гидрокси или амино)), циано, амидино, который может быть замещен (когда присутствуют два заместителя, эти заместители, взятые вместе с атомом азота, с которым они связаны, образуют 5-7-членную моноциклическую гетероциклическую группу, содержащую один или два атома азота, один атом кислорода и/или один атом серы (такая гетероциклическая группа может быть замещена C1-8 алкилом, гидрокси или амино)), нитро, нитрозо, имино, который может быть замещен, амино, который может быть замещен (когда присутствуют два заместителя, эти заместители, взятые вместе с атомом азота, с которым они связаны, образуют 5-7-членную моноциклическую гетероциклическую группу, содержащую один или два атома азота, один атом кислорода и/или один атом серы (такая гетероциклическая группа может быть замещена C1-8 алкил, гидрокси или амино)), атом галогена и т.п.
В настоящем описании заместитель, представленный R1, R7, R27, R29, R30 и R31, имеет такое же значение, что и заместитель в циклической группе, которая может дополнительно содержать заместитель (заместители), как описано выше.
В настоящем описании заместитель в который может быть замещен” представляет собой, например, C1-20 алкил, C2-20 алкенил, C2-20 алкинил, C1-20 алкилиден, циклическую группу, C1-20 алкил, замещенный циклической группой, оксо, гидрокси, C1-20 алкилокси, C2-20 алкенилокси, C2-20 алкинилокси, гидрокси, который может быть защищен циклической группой, C1-20 ацилтио, тиоксо, меркапто, C1-20 алкилтио, C2-20 алкенилтио, C2-20 алкинилтио, меркапто, замещенный циклической группой, C1-20 алкилсульфинил, C2-20 алкенилсульфинил, C2-20 алкинилсульфинил, сульфинил, замещенный циклической группой, C1-20 алкилсульфонил, C2-20 алкенилсульфонил, C2-20 алкинилсульфонил, сульфонил, замещенный циклической группой, C1-20 алкилсульфонил, замещенный циклической группой, сульфино, сульфо, сульфамоил, карбокси, C1-20 ацил, C1-20 ацил, замещенный циклической группой, карбонил, замещенный циклической группой, карбамоил, циано, амидино, нитро, нитрозо, имино, амино, атом галогена или т.п. Они являются замещенными по любому положению, которое может быть замещенным, любым возможным количеством заместителей.
В настоящем описании C1-20 алкил включает, например, метил, этил, пропил, бутил, пентил, гексил, гептил, октил, нонил, децил, ундецил, додецил, тридецил, тетрадецил, пентадецил, гексадецил, гептадецил, октадецил, нонадецил, айкозил и их изомеры.
В настоящем описании C1-8 алкил включает, например, метил, этил, пропил, бутил, пентил, гексил, гептил, октил и их изомеры.
В настоящем описании C2-20 алкенил включает, например, этенил, пропенил, бутенил, пентенил, гексенил, гептенил, октенил, ноненил, деценил, ундеценил, додеценил, тридеценил, тетрадеценил, пентадеценил, гексадеценил, гептадеценил, октадеценил, нонадеценил, айкозенил и их изомеры.
В настоящем описании C2-20 алкинил включает, например, этинил, пропинил, бутинил, пентинил, гексинил, гептинил, октинил, нонинил, децинил, ундецинил, додецинил, тридецинил, тетрадецинил, пентадецинил, гексадецинил, гептадецинил, октадецинил, нонадецинил, айкозинил и их изомеры.
В настоящем описании C1-20 алкилиден включает, например, метилиден, этилиден, пропилиден, бутилиден, пентилиден, гексилиден, гептилиден, октилиден, нонилиден, децилиден, ундецилиден, додецилиден, тридецилиден, тетрадецилиден, пентадецилиден, гексадецилиден, гептадецилиден, октадецилиден, нонадецилиден, айкозилиден и их изомеры.
В настоящем описании C1-20 алкилокси включает, например, метокси, этокси, пропокси, бутокси, пентилокси, гексилокси, гептилокси, октилокси, нонилокси, децилокси, ундецилокси, додецилокси, тридецилокси, тетрадецилокси, пентадецилокси, гексадецилокси, гептадецилокси, октадецилокси, нонадецилокси, айкозилокси и их изомеры.
В настоящем описании C1-8 алкокси включает, например, метокси, этокси, пропокси, бутокси, пентилокси, гексилокси, гептилокси, октилокси и их изомеры.
В настоящем описании C2-20 алкенилокси включает, например, этенилокси, пропенилокси, бутенилокси, пентенилокси, гексенилокси, гептенилокси, октенилокси, ноненилокси, деценилокси, ундеценилокси, додеценилокси, тридеценилокси, тетрадеценилокси, пентадеценилокси, гексадеценилокси, гептадеценилокси, октадеценилокси, нонадеценилокси, айкозенилокси и их изомеры.
В настоящем изобретении C2-20 алкинилокси включает, например, этинилокси, пропинилокси, бутинилокси, пентинилокси, гексинилокси, гептинилокси, октинилокси, нонинилокси, децинилокси, ундецинилокси, додецинилокси, тридецинилокси, тетрадецинилокси, пентадецинилокси, гексадецинилокси, гептадецинилокси, октадецинилокси, нонадецинилокси, айкозинилокси и их изомеры.
В настоящем описании C1-20 алкилтио включает, например, метилтио, этилтио, пропилтио, бутилтио, пентилтио, гексилтио, гептилтио, октилтио, нонилтио, децилтио, ундецилтио, додецилтио, тридецилтио, тетрадецилтио, пентадецилтио, гексадецилтио, гептадецилтио, октадецилтио, нонадецилтио, айкозилтио и их изомеры.
В настоящем описании C2-20 алкенилтио включает, например, этенилтио, пропенилтио, бутенилтио, пентенилтио, гексенилтио, гептенилтио, октенилтио, ноненилтио, деценилтио, ундеценилтио, додеценилтио, тридеценилтио, тетрадеценилтио, пентадеценилтио, гексадеценилтио, гептадеценилтио, октадеценилтио, нонадеценилтио, айкозенилтио и их изомеры.
В настоящем описании C2-20 алкинилтио включает, например, этинилтио, пропинилтио, бутинилтио, пентинилтио, гексинилтио, гептинилтио, октинилтио, нонинилтио, децинилтио, ундецинилтио, додецинилтио, тридецинилтио, тетрадецинилтио, пентадецинилтио, гексадецинилтио, гептадецинилтио, октадецинилтио, нонадецинилтио, айкозинилтио и их изомеры.
В настоящем описании C1-20 алкилсульфинил включает, например, метилсульфинил, этилсульфинил, пропилсульфинил, бутилсульфинил, пентилсульфинил, гексилсульфинил, гептилсульфинил, октилсульфинил, нонилсульфинил, децилсульфинил, ундецилсульфинил, додецилсульфинил, тридецилсульфинил, тетрадецилсульфинил, пентадецилсульфинил, гексадецилсульфинил, гептадецилсульфинил, октадецилсульфинил, нонадецилсульфинил, айкозилсульфинил и их изомеры.
В настоящем описании C2-20 алкенилсульфинил включает, например, этенилсульфинил, пропенилсульфинил, бутенилсульфинил, пентенилсульфинил, гексенилсульфинил, гептенилсульфинил, октенилсульфинил, ноненилсульфинил, деценилсульфинил, ундеценилсульфинил, додеценилсульфинил, тридеценилсульфинил, тетрадеценилсульфинил, пентадеценилсульфинил, гексадеценилсульфинил, гептадеценилсульфинил, октадеценилсульфинил, нонадеценилсульфинил, айкозенилсульфинил и их изомеры.
В настоящем описании C2-20 алкинилсульфинил включает, например, этинилсульфинил, пропинилсульфинил, бутинилсульфинил, пентинилсульфинил, гексинилсульфинил, гептинилсульфинил, октинилсульфинил, нонинилсульфинил, децинилсульфинил, ундецинилсульфинил, додецинилсульфинил, тридецинилсульфинил, тетрадецинилсульфинил, пентадецинилсульфинил, гексадецинилсульфинил, гептадецинилсульфинил, октадецинилсульфинил, нонадецинилсульфинил, айкозинилсульфинил и их изомеры.
В настоящем описании C1-20 алкилсульфонил включает, например, метилсульфонил, этилсульфонил, пропилсульфонил, бутилсульфонил, пентилсульфонил, гексилсульфонил, гептилсульфонил, октилсульфонил, нонилсульфонил, децилсульфонил, ундецилсульфонил, додецилсульфонил, тридецилсульфонил, тетрадецилсульфонил, пентадецилсульфонил, гексадецилсульфонил, гептадецилсульфонил, октадецилсульфонил, нонадецилсульфонил, айкозилсульфонил и их изомеры.
В настоящем описании C2-20 алкенилсульфонил включает, например, этенилсульфонил, пропенилсульфонил, бутенилсульфонил, пентенилсульфонил, гексенилсульфонил, гептенилсульфонил, октенилсульфонил, ноненилсульфонил, деценилсульфонил, ундеценилсульфонил, додеценилсульфонил, тридеценилсульфонил, тетрадеценилсульфонил, пентадеценилсульфонил, гексадеценилсульфонил, гептадеценилсульфонил, октадеценилсульфонил, нонадеценилсульфонил, айкозенилсульфонил и их изомеры.
В настоящем описании C2-20 алкинилсульфонил включает, например, этинилсульфонил, пропинилсульфонил, бутинилсульфонил, пентинилсульфонил, гексинилсульфонил, гептинилсульфонил, октинилсульфонил, нонинилсульфонил, децинилсульфонил, ундецинилсульфонил, додецинилсульфонил, тридецинилсульфонил, тетрадецинилсульфонил, пентадецинилсульфонил, гексадецинилсульфонил, гептадецинилсульфонил, октадецинилсульфонил, нонадецинилсульфонил, айкозинилсульфонил и их изомеры.
В настоящем описании C1-20 ацил включает, например, метаноил, этаноил, пропаноил, бутаноил, пентаноил, гексаноил, гептаноил, октаноил, нонаноил, деканоил, ундеканоил, додеканоил, тридеканоил, тетрадеканоил, пентадеканоил, гексадеканоил, гептадеканоил, октадеканоил, нонадеканоил, айкозаноил и их изомеры.
В настоящем описании C1-20 ацилокси включает, например, метаноилокси, этаноилокси, пропаноилокси, бутаноилокси, пентаноилокси, гексаноилокси, гептаноилокси, октаноилокси, нонаноилокси, деканоилокси, ундеканоилокси, додеканоилокси, тридеканоилокси, тетрадеканоилокси, пентадеканоилокси, гексадеканоилокси, гептадеканоилокси, октадеканоилокси, нонадеканоилокси, айкозаноилокси и их изомеры.
В настоящем описании защитная группа для гидрокси, который может быть защищен, имеет те же значения, что и заместитель для который может быть замещен”, описанный выше.
В настоящем описании атом галогена включает, например, фтор, хлор, бром и иод.
В настоящем описании связь означает, что атомы непосредственно связаны через другой атом.
В настоящем описании спейсерная группа, содержащая от 1 до 10 атомов в своей основной цепи, означает расстояние, где от 1 до 10 атомов непрерывно связаны в ее основной цепи. В данном случае количество атомов в виде основной цепи следует рассчитывать таким образом, чтобы число атомов в этой основной цепи было минимальным. Спейсерная группа, содержащая от 1 до 10 атомов в своей основной цепи, включает, например, двухвалентную группу, содержащую от 1 до 10 атомов в своей основной цепи, которая представляет собой от 1 до 4 комбинаций, выбранных из C1-10 алкилена, который может быть замещен, C2-10 алкенилена, который может быть замещен, C2-10 алкинилена, который может быть замещен, атома азота, который может быть замещен (-NH-), -CO-, -O-, -S-, -SO-, -SO2-, -(карбоциклической группой, которая может быть замещена)-, -(гетероциклической группой, которая может быть замещена)- и т.п.
В настоящем описании C1-10 алкилен включает, например, метилен, этилен, триметилен, тетраметилен, пентаметилен, гексаметилен, гептаметилен, октаметилен, нонаметилен, декаметилен и их изомеры.
В настоящем описании C2-10 алкенилен включает, например, этенилен, пропенилен, бутенилен, пентенилен, гексенилен, гептенилен, октенилен, ноненилен, деценилен и их изомеры.
В настоящем описании C2-10 алкинилен включает, например, этинилен, пропинилен, бутинилен, пентинилен, гексинилен, гептинилен, октинилен, нонинилен, децинилен и их изомеры.
В настоящем описании спейсерная группа, содержащая от 1 до 9 атомов в своей основной цепи означает расстояние, где от 1 до 9 атомов непрерывно связаны в ее основной цепи. В данном случае количество атомов в виде основной цепи следует рассчитывать таким образом, чтобы число атомов в этой основной цепи было минимальным. Спейсерная группа, содержащая от 1 до 9 атомов в своей основной цепи, включает, например, двухвалентную группу, содержащую от 1 до 9 атомов в своей основной цепи, которая представляет собой от 1 до 4 комбинаций, выбранных из C1-9 алкилена, который может быть замещен, C2-9 алкенилена, который может быть замещен, C2-9 алкинилена, который может быть замещен, атома азота, который может быть замещен (-NH-), -CO-, -O-, -S-, -SO-, -SO2-, -(карбоциклической группой, которая может быть замещена)-, -(гетероциклической группой, которая может быть замещена)- и т.п.
В настоящем описании C1-9 алкилен включает, например, метилен, этилен, триметилен, тетраметилен, пентаметилен, гексаметилен, гептаметилен, октаметилен, нонаметилен и их изомеры.
В настоящем описании C2-9 алкенилен включает, например, этенилен, пропенилен, бутенилен, пентенилен, гексенилен, гептенилен, октенилен, ноненилен и их изомеры.
В настоящем описании C2-9 алкинилен включает, например, этинилен, пропинилен, бутинилен, пентинилен, гексинилен, гептинилен, октинилен, нонилен и их изомеры.
В настоящем описании спейсерная группа, содержащая от 1 до 8 атомов в своей основной цепи, означает расстояние, где от 1 до 9 атомов непрерывно связаны в ее основной цепи. В данном случае количество атомов в виде основной цепи следует рассчитывать таким образом, чтобы число атомов в этой основной цепи было минимальным. Спейсерная группа, содержащая от 1 до 8 атомов в своей основной цепи, включает, например, двухвалентную группу, содержащую от 1 до 8 атомов в своей основной цепи, которая представляет собой от 1 до 4 комбинаций, выбранных из C1-8 алкилена, который может быть замещен, C2-8 алкенилена, который может быть замещен, C2-8 алкинилена, который может быть замещен, атома азота, который может быть замещен (-NH-), -CO-, -O-, -S-, -SO-, -SO2-, -(карбоциклической группой, которая может быть замещена)-, -(гетероциклической группой, которая может быть замещена)- и т.п.
В настоящем описании C1-8 алкилен включает, например, метилен, этилен, триметилен, тетраметилен, пентаметилен, гексаметилен, гептаметилен, октаметилен и их изомеры.
В настоящем описании C2-8 алкенилен, включает, например, этенилен, пропенилен, бутенилен, пентенилен, гексенилен, гептенилен, октенилен и их изомеры.
В настоящем описании C2-8 алкинилен включает, например, этинилен, пропинилен, бутинилен, пентинилен, гексинилен, гептинилен, октинилен и их изомеры.
В настоящем описании C1-3 алкилен включает, например, метилен, этилен, триметилен и их изомеры.
В настоящем описании C3-6 циклоалкилен включает, например, циклопропилен, циклобутилен, циклопентилен, циклогексилен и их изомеры.
В настоящем описании кольцевая группа, которая может содержать заместитель (заместители), образованная путем объединения одного атома из спейсерной группы, представленной X, с заместителем в кольце B, означает кольцевую группу, которая может содержать заместитель (заместители), образованную путем объединения одного атома из спейсерной группы, представленной X, с заместителем в кольце B. Кольцевая группа, которая может содержать заместитель (заместители), имеет те же значения, что и циклическая группа, которая может дополнительно содержать заместитель (заместители).
В настоящем описании кольцевая группа, которая может содержать заместитель (заместители), образованная путем объединения одного атома из спейсерной группы, представленной Y, с заместителем в кольце B, означает кольцевую группу, которая может содержать заместитель (заместители), образованную путем объединения одного атома из спейсерной группы, представленной Y, с заместителем в кольце B. Кольцевая группа, которая может содержать заместитель (заместители), имеет те же значения, что и циклическая группа, которая может дополнительно содержать заместитель (заместители).
В настоящем описании азотсодержащая гетероциклическая группа, которая может содержать заместитель (заместители), образованная путем объединения одного атома из спейсерной группы, представленной Y1 и/или Y2, с R7, означает азотсодержащую гетероциклическую группу, которая может содержать заместитель (заместители), образованную путем объединения одного атома из спейсерной группы, представленной Y1 и/или Y2, с R7 и атомом азота, с которым связан Y1 или Y2. Азотсодержащая гетероциклическая группа в азотсодержащей гетероциклической группе, которая может содержать заместитель (заместители), включает, например, 3-15-членную гетероциклическую группу, которая содержит один атом азота и может дополнительно содержать от 1 до 4 гетероатомов, выбранных из атома кислорода, атома азота и атома серы, и т.п. 3-15-членная гетероциклическая группа, которая содержит один атом азота и может дополнительно содержать от 1 до 4 гетероатомов, выбранных из атома кислорода, атома азота и атома серы, включает 3-15-членный моноциклический, бициклический или трициклический гетероциклический арил, бициклическую гетероциклическую группу и содержащую мостиковую связь бициклическую гетероциклическую группу, каждая из которых содержит один атом азота, может дополнительно содержать от 1 до 4 гетероатомов, выбранных из атома кислорода, атома азота и атома серы, и может быть частично или полностью насыщенной. Примеры включают пиррол, имидазол, триазол, тетразол, пиразол, азепин, диазепин, индол, изоиндол, индазол, пурин, пирролопиридин, бензимидазол, бензазепин, бензодиазепин, бензотриазол, карбазол, -карболин, фенотиазин, феноксазин, пиразолoизохинолин, пиразолoнафтиридин, пиримидоиндол, индолидиноиндол, азиридин, азетидин, пирролин, пирролидин, имидазолин, имидазолидин, триазолин, триазолидин, тетразолин, тетразолидин, пиразолин, пиразолидин, дигидропиридин, тетрагидропиридин, пиперидин, дигидропиразин, тетрагидропиразин, пиперазин, дигидропиримидин, тетрагидропиримидин, пергидропиримидин, дигидропиридазин, тетрагидропиридазин, пергидропиридазин, дигидроазепин, тетрагидроазепин, пергидроазепин, дигидродиазепин, тетрагидродиазепин, пергидродиазепин, дигидрооксазол, тетрагидрооксазол (оксазолидин), дигидроизоксазол, тетрагидроизоксазол (изоксазолидин), дигидротиазол, тетрагидротиазол (тиазолидин), дигидроизотиазол, тетрагидроизотиазол (изотиазолидин), дигидрофуразан, тетрагидрофуразан, дигидрооксадиазол, тетрагидрооксадиазол (оксадиазолидин), дигидрооксазин, тетрагидрооксазин, дигидрооксадиазин, тетрагидрооксадиазин, дигидрооксазепин, тетрагидрооксазепин, пергидрооксазепин, дигидрооксадиазепин, тетрагидрооксадиазепин, пергидрооксадиазепин, дигидротиадиазол, тетрагидротиадиазол (тиадиазолидин), дигидротиазин, тетрагидротиазин, дигидротиадиазин, тетрагидротиадиазин, дигидротиазепин, тетрагидротиазепин, пергидротиазепин, дигидротиадиазепин, тетрагидротиадиазепин, пергидротиадиазепин, морфолин, тиоморфолин, оксатиан, индолин, изоиндолин, дигидроиндазол, пергидроиндазол, дигидрохинолин, тетрагидрохинолин, пергидрохинолин, дигидроизохинолин, тетрагидроизохинолин, пергидроизохинолин, дигидрофталазин, тетрагидрофталазин, пергидрофталазин, дигидронафтиридин, тетрагидронафтиридин, пергидронафтиридин, дигидрохиноксалин, тетрагидрохиноксалин, пергидрохиноксалин, дигидрохиназолин, тетрагидрохиназолин, пергидрохиназолин, тетрагидропирролопиридин, дигидроциннолин, тетрагидроциннолин, пергидроциннолин, дигидробензооксазин, дигидробензотиазин, пиразинoморфолин, дигидробензоксазол, пергидробензоксазол, дигидробензотиазол, пергидробензотиазол, дигидробензимидазол, пергидробензимидазол, дигидробензазепин, тетрагидробензазепин (2,3,4,5-тетрагидро-1H-2-бензазепин, 2,3,4,5-тетрагидро-1H-3-бензазепин и т.д.), дигидробензодиазепин, тетрагидробензодиазепин, дигидробензоксазепин, тетрагидробензоксазепин, дигидрокарбазол, тетрагидрокарбазол, пергидрокарбазол, дигидроакридин, тетрагидроакридин, пергидроакридин, тетрапиридонафтиридин, тетрагидро- -карболин, дигидроазепиноиндол, гексагидроазепиноиндол, тетрагидропиразолoизохинолин, тетрагидропиразолoнафтиридин, дигидроазепиноиндазол, гексагидроазепиноиндазол, дигидропиразолoпиридоазепин, гексагидропиразолoпиридоазепин, тетрагидропиримидоиндол, дигидротиадиноиндол, тетрагидротиадиноиндол, дигидрооксадиноиндол, тетрагидрооксадиноиндол, гексагидроиндолидиноиндол, дигидроиндолoбензодиазепин, октагидроиндолoхинолизин, гексагидроимидазопиридоиндол, гексагидропирролотиазепиноиндол, азаспиро[4,4]нонан, оксазаспиро[4,4]нонан, оксазаспиро[2,5]октан, азаспиро[4,5]декан, 1,3,8-триазаспиро[4,5]декан, 2,7-диазаспиро[4,5]декан, 1,4,9-триазаспиро[5,5]ундекан, оксазаспиро[4,5]декан, азаспиро[5,5]ундекан, азабицикло[2,2,1]гептан, азабицикло[3,1,1]гептан, азабицикло[3,2,1]октан (8-азабицикло[3,2,1]октан и т.д.), азабицикло[2,2,2]октан (2-азабицикло[2,2,2]октан и т.д.), азабицикло[2,1,1]гексан (5-азабицикло[2,1,1]гексан и т.д.) и т.п.
В настоящем изобретении азотсодержащая гетероциклическая группа, которая может содержать заместитель (заместители), образованная путем объединения одного атома азота из спейсерной группы, представленной Y1, с заместителем в кольце B, имеет те же значения, что и описанная выше азотсодержащая гетероциклическая группа, которая может содержать заместитель (заместители).
В настоящем изобретении кольцо А, предпочтительно, представляет собой C3-15 карбоциклическую группу, более предпочтительно – C5-12 моноциклическую или бициклическую карбоциклическую группу и еще более предпочтительно – бензольное, индановое, инденовое или нафталиновое кольцо.
В настоящем изобретении циклическая группа в циклической группе, которая может содержать заместитель (заместители), представленной кольцом B, предпочтительно, представляет собой C3-15 карбоциклическую группу или 3-15-членную гетероциклическую группу, более предпочтительно – C5-12 моноциклическую или бициклическую карбоциклическую группу или 5-12-членную моноциклическую или бициклическую гетероциклическую группу, которая содержит от 1 до 3 гетероатомов, выбранных из атома кислорода, атома азота и атома серы, и может быть частично или полностью насыщенной, и наиболее предпочтительно – бензольное, инденовое, нафталиновое, дигидронафталиновое, 6,7-дигидро-5H-бензо[7]аннуленовое, пиридиновое, индольное, хроменовое, бензофурановое, бензотиофеновое, бензоксазольное, дигидробензоксепиновое, тетрагидроизохинолиновое, изоиндолиновое или тетрагидробензазепиновое кольцо.
В настоящем изобретении азотсодержащая гетероциклическая группа, представленная кольцом B1, предпочтительно, представляет собой пиррол, тетрагидропиридин, дигидропиррол, тетрагидроазепин или т.п.
В настоящем изобретении заместитель в циклической группе, которая может содержать заместитель (заместители), представленной кольцом B, предпочтительно, представляет собой C1-20 алкил, который может быть замещен, C1-20 алкилокси, который может быть замещен, карбокси, который может быть замещен, или атом галогена, и более предпочтительно она представляет собой метил, этил, пропил, изопропил, трет-бутил, метокси, карбокси, фтор, хлор или трифторметил.
В настоящем изобретении X, предпочтительно, представляет собой двухвалентную группу, содержащую от 1 до 8 атомов в своей основной цепи, которая представляет собой от 1 до 4 комбинаций, выбранных из C1-8 алкилена, который может быть замещен, C2-8 алкенилена, который может быть замещен, атома азота, который может быть замещен (-NH-), -CO-, -O-, C3-6 циклоалкилена, который может быть замещен, фенилена, который может быть замещен, и т.п., и более предпочтительно -CH2-, -(CH2)2-, -(CH2)3-, -(CH2)4-, -(CH2)5-, -(CH2)6-, -(CH2)7-, -(CH2)8-, -CH2-O-, -(CH2)2-O-, -(CH2)3-O-, -(CH2)4-O-, -(CH2)5-O-, -CH=CH-CH2-O- или -циклопропилен-CH2-O-, каждый из которых может быть замещен, где правая сторона каждой группы связывается с кольцом B.
В настоящем изобретении Y, предпочтительно, представляет собой двухвалентную группу, содержащую от 1 до 10 атомов в своей основной цепи, которая представляет собой от 1 до 4 комбинаций, выбранных из C1-10 алкилена, который может быть замещен, C2-10 алкенилена, который может быть замещен, C2-10 алкинилена, который может быть замещен, атома азота, который может быть замещен (-NH-), -CO-, -O-, -S-, фенилена, который может быть замещен, -(азиридина, который может быть замещен)-, -(азетидина, который может быть замещен)-, -(пирролидина, который может быть замещен)-, -(пиперидина, который может быть замещен)-, -(пиперазина, который может быть замещен)-, -(морфолина, который может быть замещен)-, -(азабицикло[3,2,1]октана, который может быть замещен)-, -(азабицикло[2,2,2]октана, который может быть замещен)-, -(азабицикло[2,1,1]гексана, который может быть замещен)-, -(тетрагидропиридина, который может быть замещен)-, и т.п., и более предпочтительно -(CH2)3-NHCH2-, -(CH2)3-NCH3-CH2-, -(CH2)3-NH-(CH2)2-, -(CH2)2-NH-(CH2)2-, -(CH2)2-CONHCH2-, -(CH2)2-CONH-(м-фенилен)-, -CRY1=CH-CH2-NH-(CH2)4-, -CRY1=CH-CH2-NH-(CH2)5-, -CRY1=CH-CH2-NH-(CH2)2-, -CH=CRY1-CH2-NH-(CH2)2-, -CRY1=CH-CH2-NH-CH2-, -CH2-(азетидин)-, -(CH2)2-(азетидин)-, -(CH2)3-(азетидин)-, -CRY1=CH-CH2-(азетидин)-, -CH=CRY1-CH2-(азетидин)-, -(CH2)3-(пиперидин)-, -CRY1=CH-CH2-(пиперидин)-, где RY1 представляет собой атом водорода, атом галогена, или C1-4 алкил, который может быть замещен 1-3 атомами галогена, и правая сторона каждой группы связывается с кольцом B.
В настоящем изобретении Y1, предпочтительно, представляет собой двухвалентную группу, содержащую от 1 до 4 атомов в своей основной цепи, которая представляет собой от 1 до 4 комбинаций, выбранных из C1-3 алкилена, который может быть замещен, и -CO-, и более предпочтительно -CH2-, -(CH2)2-, -(CH2)2-CO- или -(CH2)3-, каждый из которых может быть замещен.
В настоящем изобретении Y2, предпочтительно, представляет собой двухвалентную группу, содержащую от 1 до 5 атомов в своей основной цепи, которая представляет собой от 1 до 4 комбинаций, выбранных из C1-3 алкилена, который может быть замещен, фенилена, который может быть замещен, и т.п., и более предпочтительно представляет собой -CH2-, -(CH2)2– или -(м-фенилен)-, каждый из которых может быть замещен.
В настоящем изобретении заместитель, представленный R1, предпочтительно, представляет собой атом галогена, C1-20 алкил, который может быть замещен, или C1-20 алкилокси, который может быть замещен, и более предпочтительно – фтор, хлор, бром, метил, трифторметил или метокси.
В настоящем изобретении R7, предпочтительно, представляет собой атом водорода или C1-20 алкил, который может быть замещен, и более предпочтительно – атом водорода или метил.
В настоящем изобретении азотсодержащая гетероциклическая группа, которая может содержать заместитель (заместители), образованная путем объединения одного атома из спейсерной группы, представленной Y1, с R7, предпочтительно, представляет собой пиперидин, тетрагидропиридин или пиразин, каждый из которых может быть замещен, или т.п., и более предпочтительно – тетрагидропиридин, который может содержать заместитель (заместители).
В настоящем изобретении азотсодержащая гетероциклическая группа, которая может содержать заместитель (заместители), образованная путем объединения одного атома из спейсерной группы, представленной Y2, с R7, представляет собой азетидин, пирролидин, пиперидин или тетрагидропиридин, который может быть замещен, или т.п., и более предпочтительно – азетидин, который может содержать заместитель (заместители).
В настоящем изобретении m, предпочтительно, имеет значение 0, 1 или 2.
В настоящем изобретении n, предпочтительно, имеет значение 0 или 1.
В качестве соединения по настоящему изобретению, обладающего способностью к связыванию с рецептором S1P, предпочтительным является соединение, которое обладает способностью к связыванию с EDG-6 и которое может обладать способностью к связыванию с EDG-1. Более предпочтительно, чтобы действие соединения по его связыванию с EDG-1 представляло собой агонистическую активность.
Из соединений, представленных формулой (I) в настоящем изобретении, предпочтительными соединениями являются карбоновокислотные производные, представленные формулой (IA-1):

где все символы имеют определенные выше значения;
формулой (IA-2):

где все символы имеют определенные выше значения;
формулой (IA-3):

где все символы имеют определенные выше значения;
формулой (IA-4):

где все символы имеют определенные выше значения; и
формулой (IB):

где все символы имеют определенные выше значения;
их пролекарства и их соли.
Более предпочтительными соединениями являются карбоновокислотные производные, представленные формулой (IA-1-1):

где Y1-1 представляет собой этилен, который может содержать заместитель (заместители), пропилен, который может содержать заместитель (заместители), или пропенилен, который может содержать заместитель (заместители); Y2-1 представляет собой этилен, который может содержать заместитель (заместители); и другие символы имеют определенные выше значения;
формулой (IA-1-2):

где Y2-2 представляет собой метилен, который может содержать заместитель (заместители); и другие символы имеют определенные выше значения;
формулой (IA-1-3):

где Y1-2 представляет собой метилен, который может содержать заместитель (заместители); и другие символы имеют определенные выше значения;
формулой (IA-2-1):

где кольцо D1 представляет собой азотсодержащую гетероциклическую группу; Y1-3 представляет собой метилен, который может содержать заместитель (заместители), этилен, который может содержать заместитель (заместители), пропилен, который может содержать заместитель (заместители), или пропенилен, который может содержать заместитель (заместители); R27 представляет собой атом водорода или заместитель; t представляет собой 0 или целое число, имеющее значение от 1 до 5; и другие символы имеют определенные выше значения;
формулой (IA-2-2):

где кольцо D2 представляет собой азотсодержащую гетероциклическую группу; и другие символы имеют определенные выше значения;
формулой (IA-3-1):

где кольцо D3 представляет собой азотсодержащую гетероциклическую группу; Y1-4 представляет собой связь или метилен, который может содержать заместитель (заместители); и другие символы имеют определенные выше значения;
формулой (IA-3-2):

где кольцо D4 представляет собой азотсодержащую гетероциклическую группу; и другие символы имеют определенные выше значения;
формулой (IA-3-3):

где кольцо D5 представляет собой азотсодержащую гетероциклическую группу; и другие символы имеют определенные выше значения;
формулой (IB-1-1):

где кольцо B1-1 представляет собой азотсодержащую гетероциклическую группу; и другие символы имеют определенные выше значения;
формулой (IB-1-2)

где кольцо B1-2 представляет собой азотсодержащую гетероциклическую группу; и другие символы имеют определенные выше значения;
формулой (I-1):

где все символы имеют определенные выше значения;
формулой (I-2):

где все символы имеют определенные выше значения;
формулой (I-S-1):

где все символы имеют определенные выше значения;
формулой (I-S-2):

где все символы имеют определенные выше значения;
формулой (I-S-3):

где все символы имеют определенные выше значения;
формулой (I-S-3a):

где все символы имеют определенные выше значения;
формулой (I-S-4):

где все символы имеют определенные выше значения;
формулой (I-S-5):

где все символы имеют определенные выше значения;
формулой (I-S-6):

где все символы имеют определенные выше значения;
формулой (I-S-7):

где все символы имеют определенные выше значения;
формулой (I-S-7a):

где все символы имеют определенные выше значения;
формулой (I-T):

где все символы имеют определенные выше значения; и
формулой (I-U):

где все символы имеют определенные выше значения;
их пролекарства и их соли.
В настоящем изобретении R S0, предпочтительно, представляет собой атом водорода, фтор, хлор, метил или трифторметил, и более предпочтительно – атом водорода, метил или трифторметил.
Азотсодержащая гетероциклическая группа, представленная кольцом D1, кольцом D3 и кольцом D5, включает, например, 3-9-членный моноциклический гетероциклический арил и содержащую мостиковую связь бициклическую гетероциклическую группу, каждая из этих групп содержит один атом азота и может дополнительно содержать один или два гетероатома, выбранных из атома кислорода, атома азота и атома серы, и может быть частично или полностью насыщенной и т.п. Примеры включают пиррол, имидазол, триазол, пиразол, азиридин, азетидин, пирролин, пирролидин, имидазолин, имидазолидин, триазолин, триазолидин, пиразолин, пиразолидин, дигидропиридин, тетрагидропиридин, пиперидин, дигидропиразин, тетрагидропиразин, пиперазин, дигидропиримидин, тетрагидропиримидин, пергидропиримидин, дигидропиридазин, тетрагидропиридазин, пергидропиридазин, дигидроазепин, тетрагидроазепин, пергидроазепин, дигидродиазепин, тетрагидродиазепин, пергидродиазепин, дигидрооксазол, тетрагидрооксазол (оксазолидин), дигидроизоксазол, тетрагидроизоксазол (изоксазолидин), дигидротиазол, тетрагидротиазол (тиазолидин), дигидроизотиазол, тетрагидроизотиазол (изотиазолидин), дигидрофуразан, тетрагидрофуразан, дигидрооксадиазол, тетрагидрооксадиазол (оксадиазолидин), дигидрооксазин, тетрагидрооксазин, дигидрооксазепин, тетрагидрооксазепин, пергидрооксазепин, дигидрооксадиазепин, тетрагидрооксадиазепин, пергидрооксадиазепин, дигидротиадиазол, тетрагидротиадиазол (тиадиазолидин), дигидротиазин, тетрагидротиазин, дигидротиадиазин, тетрагидротиадиазин, дигидротиазепин, тетрагидротиазепин, пергидротиазепин, дигидротиадиазепин, тетрагидротиадиазепин, пергидротиадиазепин, морфолин, тиоморфолин, оксатиан, азабицикло[2,2,1]гептан, азабицикло[3,1,1]гептан, азабицикло[3,2,1]октан (8-азабицикло[3,2,1]октан и т.д.), азабицикло[2,2,2]октан (2-азабицикло[2,2,2]октан и т.д.), диазабицикло[2,2,2]октан, азабицикло[2,1,1]гексан (5-азабицикло[2,1,1]гексан и т.д.) и т.п.
Азотсодержащая гетероциклическая группа, представленная кольцом D2 и кольцом D4, включает, например, 4-9-членный моноциклический арил и содержащую мостиковую связь гетероциклическую группу, каждая из этих групп содержит один атом азота и может дополнительно содержать один-два гетероатома, выбранных из атома кислорода, атома азота и атома серы, и может быть частично или полностью насыщенной. Примеры включают пиррол, пиразол, азетидин, пирролин, пирролидин, пиразолин, пиразолидин, дигидропиридин, тетрагидропиридин, пиперидин, дигидропиримидин, тетрагидропиримидин, пергидропиримидин, дигидропиридазин, тетрагидропиридазин, пергидропиридазин, дигидроазепин, тетрагидроазепин, пергидроазепин, дигидродиазепин, тетрагидродиазепин, пергидродиазепин, дигидроизоксазол, тетрагидроизоксазол (изоксазолидин), дигидроизотиазол, тетрагидроизотиазол (изотиазолидин), дигидрооксазин, тетрагидрооксазин, дигидрооксазепин, тетрагидрооксазепин, пергидрооксазепин, дигидрооксадиазепин, тетрагидрооксадиазепин, пергидрооксадиазепин, дигидротиазин, тетрагидротиазин, дигидротиазепин, тетрагидротиазепин, пергидротиазепин, дигидротиадиазепин, тетрагидротиадиазепин, пергидротиадиазепин, азабицикло[2,2,1]гептан, азабицикло[3,1,1]гептан, азабицикло[3,2,1]октан (8-азабицикло[3,2,1]октан и т.д.), азабицикло[2,2,2]октан (2-азабицикло[2,2,2]октан и т.д.), диазабицикло[2,2,2]октан, азабицикло[2,1,1]гексан (5-азабицикло[2,1,1]гексан) и т.п.
Азотсодержащая гетероциклическая группа, представленная кольцом B1-1, включает, например, 4-9-членный моноциклический гетероциклический арил, который содержит один атом азота и может дополнительно содержать один или два гетероатома, выбранных из атома кислорода, атома азота и атома серы, и может быть частично или полностью насыщенной и т.п. Примеры включают пиррол, имидазол, триазол, пиразол, азетидин, пирролин, пирролидин, имидазолин, имидазолидин, триазолин, триазолидин, пиразолин, пиразолидин, дигидропиридин, тетрагидропиридин, пиперидин, дигидропиразин, тетрагидропиразин, пиперазин, дигидропиримидин, тетрагидропиримидин, пергидропиримидин, дигидропиридазин, тетрагидропиридазин, пергидропиридазин, дигидроазепин, тетрагидроазепин, пергидроазепин, дигидродиазепин, тетрагидродиазепин, пергидродиазепин, дигидрооксазол, тетрагидрооксазол (оксазолидин), дигидроизоксазол, тетрагидроизоксазол (изоксазолидин), дигидротиазол, тетрагидротиазол (тиазолидин), дигидроизотиазол, тетрагидроизотиазол (изотиазолидин), дигидрофуразан, тетрагидрофуразан, дигидрооксазин, тетрагидрооксазин, тетрагидрооксадиазин, дигидрооксазепин, тетрагидрооксазепин, пергидрооксазепин, дигидрооксадиазепин, тетрагидрооксадиазепин, пергидрооксадиазепин, дигидротиазин, тетрагидротиазин, тетрагидротиадиазин, дигидротиазепин, тетрагидротиазепин, пергидротиазепин, дигидротиадиазепин, тетрагидротиадиазепин, пергидротиадиазепин, морфолин, тиоморфолин и т.п.
Азотсодержащая гетероциклическая группа, представленная кольцом B1-2, включает, например, 5-9-членный моноциклический гетероциклический арил, который содержит один атом азота и может дополнительно содержать один или два гетероатома, выбранных из атома кислорода, атома азота и атома серы, и может быть частично или полностью насыщенным и т.п. Примеры включают пиррол, пиразол, пирролин, пирролидин, имидазолин, имидазолидин, триазолидин, пиразолин, пиразолидин, дигидропиридин, тетрагидропиридин, пиперидин, дигидропиразин, тетрагидропиразин, пиперазин, дигидропиримидин, тетрагидропиримидин, пергидропиримидин, дигидропиридазин, тетрагидропиридазин, пергидропиридазин, дигидроазепин, тетрагидроазепин, пергидроазепин, дигидродиазепин, тетрагидродиазепин, пергидродиазепин, дигидрооксазол, тетрагидрооксазол (оксазолидин), дигидроизоксазол, тетрагидроизоксазол (изоксазолидин), дигидротиазол, тетрагидротиазол (тиазолидин), дигидроизотиазол, тетрагидроизотиазол (изотиазолидин), дигидрооксазин, тетрагидрооксазин, дигидрооксазепин, тетрагидрооксазепин, пергидрооксазепин, дигидрооксадиазепин, тетрагидрооксадиазепин, пергидрооксадиазепин, дигидротиазин, тетрагидротиазин, тетрагидротиадиазин, дигидротиазепин, тетрагидротиазепин, пергидротиазепин, дигидротиадиазепин, тетрагидротиадиазепин, пергидротиадиазепин, морфолин, тиоморфолин и т.п.
Конкретные примеры

в формуле (IA-2-1) включают

и т.п.
Конкретные примеры

в формуле (IA-2-2) включают

и т.п.
Конкретные примеры

в формуле (IA-3-1) включают

и т.п.
Конкретные примеры

в формуле (IA-3-2) включают

и т.п.
Конкретные примеры

в формуле (IA-3-3) включают

и т.п.
Конкретные примеры

в формуле (IB-1-1) включают

и т.п.
Конкретные примеры

в формуле (IB-1-2) включают

и т.п.
В соединении, представленном формулой (Ia), для получения фармацевтической композиции, R1a, предпочтительно, представляет собой C1-8 алкил, C1-8 алкокси или атом галогена, более предпочтительно – метил, метокси, хлор или фтор; кольцо Аa, предпочтительно, представляет собой C5-7 моноциклическую карбоциклическую группу, более предпочтительно – бензольное кольцо; Ea, предпочтительно, представляет собой -O-, -S- или -NR6a-, и более предпочтительно -O-; R2a, предпочтительно, представляет собой C1-8 алкил, C1-8 алкокси или атом галогена, и более предпочтительно – метил, метокси, хлор или фтор; R3a, предпочтительно, представляет собой атом водорода, C1-4 алкил или атом галогена, и более предпочтительно – атом водорода, метил или хлор; R4a, предпочтительно, представляет собой атом водорода; группа, образованная путем объединения R2а с R4a, предпочтительно, представляет собой -CH2CH2-; Ga, предпочтительно, представляет собой -CONR7a-, NR7aCO-, -NR7aSO2-, -CH2NR7a– или -NR7aCH2, и более предпочтительно -CONR7a-, -CH2NR7a– или -NR7aCH2; R7a, предпочтительно, представляет собой атом водорода или C1-8 алкил, и более предпочтительно – атом водорода или метил; Qa, предпочтительно, представляет собой C1-4 алкилен или

где все символы имеют определенные выше значения,
и более предпочтительно – метилен, этилен или фенилен; каждый J1, J2, J3 и J4, предпочтительно, представляет собой атом углерода или атом азота, и более предпочтительно – атом углерода; R5a, предпочтительно, представляет собой атом галогена или -COOR11a, и более предпочтительно – хлор или -COOH; p, предпочтительно, имеет значение 0, 1 или 2, и более предпочтительно 0 или 1; q, предпочтительно, имеет значение 4, 5 или 6; r, предпочтительно, имеет значение 0 или 1; и s, предпочтительно, имеет значение 0 или 1.
В настоящем изобретении все соединения формулы (I), включающие сочетания предпочтительных групп и предпочтительных колец, указаны выше как предпочтительные соединения. В частности, более предпочтительными соединениями являются соединения, описанные в Примерах, и 2-[3-(4-(5-фенилпентилокси)фенил)пропаноиламино]уксусная кислота, 3-[3-(4-(5-фенилпентилокси)фенил)пропиламино]пропановая кислота, 3-[2-(4-(5-фенилпентилокси)фенил)этиламино]пропановая кислота, 2-[3-(4-(5-фенилпентилокси)фенил)пропиламино]уксусная кислота, 2-[N-метил-3-(4-(5-фенилпентилокси)фенил)пропиламино]уксусная кислота, 3-карбокси-5-[3-(4-(5-фенилпентилокси)фенил)пропаноиламино]бензойная кислота или 2-хлор-5-[3-(2-фтор-4-(5-фенилпентилокси)фенил)пропаноиламино]-бензойная кислота, N-{(2E)-3-[4-(3-фенилпропокси)фенил]проп-2-енил}- -аланин, N-{[6-(3-фенилпропокси)-2-нафтил]метил}- -аланин, 1-{[6-(3-фенилпропокси)-2-нафтил]метил}азетидин-3-карбоновая кислота, 1-{[6-(3-фенилпропокси)-2-нафтил]метил}пиперидин-4-карбоновая кислота, N-{(2E)-3-[2-метил-4-(3-фенилпропокси)фенил]проп-2-енил}- -аланин, 1-{(2E)-3-[4-(3-фенилпропокси)фенил]-2-пропенил}пиперидин-4-карбоновая кислота, 1-{(2E)-3-[4-(3-фенилпропокси)фенил]-2-пропенил}азетидин-3-карбоновая кислота, N-{3-[4-(3-фенилпропокси)фенил]пропил}- -аланин, N-((2E)-3-{2-метил-4-[(5-фенилпентил)окси]фенил}проп-2-енил)- -аланин, N-((2E)-3-{4-[(5-фенилпентил)окси]фенил}-2-пропенил)-аланин, их пролекарства и их соли.
Более конкретные варианты воплощения включают следующие соединения и их соли, их сольваты и их пролекарства, соединения, описанные в Примерах, и т.д.
(1) 4-{3-[4-(4-фенилбутокси)фенил]пропил}морфолин-2-карбоновая кислота,
(2) 4-((2E)-3-{4-[4-(4-хлорфенил)бутил]-2-метилфенил}-2-пропенил)-1-метилпиперазин-2-карбоновая кислота,
(3) 5-оксо-1-{[6-(5-фенилпентаноил)-2-нафтил]метил}пирролидин-3-карбоновая кислота,
(4) 1-(3-{2-метил-4-[(5-фенилпентил)окси]фенил}-3-оксопропил)пиперидин-4-карбоновая кислота,
(5) 4-гидрокси-1-(2-{6-[(4-изобутилбензил)окси]-1-нафтил}этил)пиперидин-4-карбоновая кислота,
(6) 1-(2-{5-[3-(2,4-дихлорфенил)пропокси]-1H-индол-1-ил}этил)азетидин-3-карбоновая кислота,
(7) 1-((2E)-3-{4-[(5-фенилпентил)окси]фенил}-2-пропенил)азиридин-2-карбоновая кислота,
(8) N-({6-[4-(3-хлорфенил)бутокси]-2-нафтил}метил)-N-(2-гидроксиэтил)- -аланин,
(9) 5-{(2E)-3-[2-метил-4-(4-фенилбутокси)фенил]-2-пропенил}-5-азабицикло[2,1,1]гексан-6-карбоновая кислота,
(10) 8-{[6-(4-фенилбутокси)-3,4-дигидронафталин-2-ил]метил}-8-азабицикло[3,2,1]октан-3-карбоновая кислота,
(11) 1-({7-[4-(4-хлорфенил)бутил]-4-оксо-4H-хромен-3-ил}метил)пирролидин-3-карбоновая кислота,
(12) N-{[6-(3-фенилпропокси)-3,4-дигидронафталин-2-ил]метил}- -аланин,
(13) 1-({2-[4-(2-хлорфенил)бутил]-1-бензотиен-5-ил}метил)азетидин-3-карбоновая кислота,
(14) 1-({2-[4-(2-нафтил)бутил]-1,3-бензоксазол-5-ил}метил)пиперидин-4-карбоновая кислота,
(15) N-(2-гидроксиэтил)-N-({5-[(7E)-8-фенил-7-октеноил]пиридин-2-ил}метил)- -аланин,
(16) N-({3-[3-(2,4-диметилфенил)пропокси]-6,7-дигидро-5H-бензо[7]аннилен-8-ил}метил)- -аланин,
(17) 1-{[8-(4-фенилбутокси)-2,3-дигидро-1-бензоксепин-4-ил]метил}пирролидин-3-карбоновая кислота,
(18) 1-({2-[(3-изобутилбензил)окси]-5-оксо-5H-бензо[7]аннилен-6-ил}метил)азетидин-3-карбоновая кислота,
(19) N-[(5-нонил-1-бензотиен-2-ил)метил]- -аланин,
(20) 3-{4-[4-(3-фенилпропокси)фенил]пиперидин-1-ил}пропановая кислота,
(21) 3-[5-[4-(3-циклогексилпропокси)бензил]-3,6-дигидропиридин-1(2H)-ил]пропановая кислота,
(22) 3-[5-{3-[(6-фенилгексил)окси]фенил}-3,6-дигидропиридин-1(2H)-ил]пропановая кислота,
(23) 3-{4-[3-({5-[4-(трифторметил)фенил]пентил}окси)фенил]-2-азабицикло[2,2,2]-2-октил}пропановая кислота,
(24) 3-(4-{3-[3-(3-изобутилфенил)пропокси]фенил}-2-азабицикло[2,2,2]-2-октил)пропановая кислота,
(25) 3-[3-(3-{2-[3-(2-фенилэтокси)фенил]этокси}фенил)пиперидин-1-ил]пропановая кислота,
(26) 3-{4-[3-(октилокси)фенил]пиперидин-1-ил}пропановая кислота,
(27) 3-(3-{6-[2-(2-хлор-6-метилфенил)этокси]-2-нафтил}пирролидин-1-ил)пропановая кислота,
(28) 3-(2-{4-[(5-фенилпентил)окси]фенил}азетидин-1-ил)пропановая кислота,
(29) 3-(3-{3-[(5-метилгексил)окси]фенил}азетидин-1-ил)пропановая кислота,
(30) 3-метил-3-[6-{3-[4-(трифторметил)фенил]пропокси}-3,4-дигидроизохинолин-2(1H)-ил]бутановая кислота,
(31) 3-(5-хлор-6-{3-[4-хлор-2-(трифторметил)фенил]пропокси}-1,3-дигидро-2H-изоиндол-2-ил)пропановая кислота,
(32) 3-[6-метокси-5-(октилокси)-1-оксо-1,3-дигидро-2H-изоиндол-2-ил]пропановая кислота,
(33) 3-[7-(3-циклогексилпропокси)-1,3,4,5-тетрагидро-2H-2-бензазепин-2-ил]пропановая кислота,
(34) 3-{7-[2-(1,1′-бифенил-3-ил)этил]-8-хлор-1,2,4,5-тетрагидро-3H-3-бензазепин-3-ил}пропановая кислота.
Изомеры
Если конкретно не указано иное, все изомеры включены в настоящее изобретение. Например, алкил, алкенил, алкинил, алкилокси, алкокси, алкенилокси, алкинилокси, алкилтио, алкилсульфинил, алкилсульфонил, алкилен, алкенилен, алкинилен, ацил и ацилокси могут быть как линейными, так и разветвленными. Более того, все изомеры, образованные по двойной связи, по кольцу и конденсированному кольцу (E-, Z-, цис- и транс-формы), изомеры, образованные благодаря присутствию асимметричного атома(атомов) углерода, и т.п. (R-, S-, – и -конфигурация, энантиомер и диастереомер), оптически активные соединения, имеющие оптическое вращение (D-, L-, d- и l-формы), полярное соединение, полученное при хроматографическом разделении (более полярное соединение и менее полярное соединение), равновесные соединения, изомеры вращения, их смесь в любых соотношениях и рацемическая смесь включены в настоящее изобретение.
В настоящем изобретении, если не указано иное, символ означает, что заместитель находится в -конфигурации, символ означает, что заместитель находится в -конфигурации, символ означает -конфигурацию, -конфигурацию или смесь -конфигурации и -конфигурации при подходящем соотношении, и символ означает смесь -конфигурации и -конфигурации при подходящем соотношении, как должно быть понятно специалистам в данной области.
Соль и сольват
Соединение по настоящему изобретению может быть преобразовано в соль известными способами. Соль, предпочтительно, представляет собой нетоксичную и водорастворимую соль.
Соль по настоящему изобретению включает, например, соли щелочных металлов (таких, как калий, натрий и литий), соли щелочно-земельных металлов (таких, как кальций и магний), соли аммония (такие, как соль тетраметиламмония и соль тетрабутиламмония), соли органического амина (такого, как триэтиламин, метиламин, диметиламин, циклопентиламин, бензиламин, фенетиламин, пиперидин, моноэтаноламин, диэтаноламин, трис(гидроксиметил)метиламин, лизин, аргинин и N-метил-D-глюкамин) и кислотно-аддитивные соли [такие, как соли неорганических кислот (например, гидрохлорид, гидробромид, гидроиодид, сульфат, фосфат и нитрат) и соли органических кислот (например, ацетат, трифторацетат, лактат, тартрат, оксалат, фумарат, малеат, бензоат, цитрат, метансульфонат, этансульфонат, бензолсульфонат, толуолсульфонат, изетионат, глюкуронат и глюконат) и т.д.].
Соединение по настоящему изобретению или его соль может быть преобразовано в сольват известными способами. Сольват, предпочтительно, представляет собой нетоксичный и водорастворимый сольват.
Сольват по настоящему изобретению включает, например, водные сольваты, спиртовые (например, метанол, этанол и т.д.) сольваты и т.п.
Пролекарства
Пролекарство соединения, представленного формулой (I), означает соединение, которое преобразуется в соединение, представленное формулой (I), при взаимодействии с ферментом, желудочной кислотой или т.п. в живом организме. Например, что касается пролекарства соединения, представленного формулой (I), когда соединение, представленное формулой (I), содержит аминогруппу – соединения, где аминогруппа является, например, ацилированой, алкилированной или фосфорилированной (например, соединения, где аминогруппа соединения, представленного формулой (I), является айкозаноилированной, аланилированной, пентиламинокарбонилированной, (5-метил-2-оксо-1,3-доксолен-4-ил)метоксикарбонилированной, тетрагидрофуранилированной, пирролидилметилированной, пивалоилоксиметилированной, ацетоксиметилированной, трет-бутилированной и т.д.); когда соединение, представленное формулой (I), содержит гидроксигруппу – соединения, где гидроксигруппа является, например, ацилированной, алкилированной, фосфорилированной или борированной (например, соединения, где гидроксигруппа соединения, представленного формулой (I), является ацетилированной, пальмитоилированной, пропаноилированной, пивалоилированной, сукцинилированной, фумарилированной, аланилированной или диметиламинометилкарбонилированной); и когда соединение, представленное формулой (I), содержит карбоксигруппу – соединения, где карбоксигруппа соединения, представленного формулой (I), является, например, этерифицированной или амидированной (например, соединения, где карбоксигруппа соединения, представленного формулой (I), преобразована в этиловый сложный эфир, фениловый сложный эфир, карбоксиметиловый сложный эфир, диметиламинометиловый сложный эфир, пивалоилоксиметиловый сложный эфир, этоксикарбонилоксиэтиловый сложный эфир, фталидиловый сложный эфир, (5-метил-2-оксо-1,3-доксолен-4-ил)метиловый сложный эфир, циклогексилоксикарбонилэтиловый сложный эфир или метиламид). Такие соединения могут быть получены известными способами per se. Пролекарство соединения, представленного формулой (I), может быть как в форме гидрата, так и в негидратированной форме. Пролекарство соединения, представленного формулой (I), может также представлять собой соединение, которое преобразуется в соединение, представленное формулой (I), в физиологических условиях, как описано в “Iyakuhin no kaihatsu, Vol. 7 (Bunshi-sekkei), p.163-198 (Hirokawa-Shoten), 1990”. Также соединение, представленное формулой (I), может быть мечено радиоизотопом (таким как 3H, 14C, 35S, 125I и т.д.).
Примеры пролекарства соединения, представленного формулой (I), в настоящем изобретении включают соединение, представленное формулой (I-A):

где R24 представляет собой C1-8 алкил или C1-8 алкил, замещенный одним или двумя заместителями, выбранными из гидрокси или амино; и другие символы имеют определенные выше значения;
соединение, представленное формулой (I-B):

где R25 и R26, каждый независимо, представляет собой атом водорода, C1-8 алкил или C1-8 алкил, замещенный одним или двумя заместителями, выбранными из гидрокси или амино; и другие символы имеют определенные выше значения; и
соединение, представленное формулой (I-C):

где все символы имеют определенные выше значения.
Соединения, представленные формулой (I) в настоящем изобретении, обладают отличной растворимостью и абсорбируемостью, демонстрируют продолжительное действие (способность к связыванию с рецептором S1P (в частности, EDG-6, предпочтительно EDG-1 и EDG-6)), они слабо подвержены влиянию воздействующих на лекарственное средство метаболических ферментов и обладают низкой токсичностью. Такие характеристики является наиболее важными физическими, химическими и фармацевтическими характеристиками, которые требуются при разработке лекарственных средств. Поскольку соединения, представленные формулой (I) в настоящем изобретении, соответствуют этим требованиям, они должны быть востребованы как превосходные лекарственные средства (см. The Merck Manual of Diagnosis and Therapy, 17th Ed., Merck & Co.).
Соединение, представленное формулой (I) в настоящем изобретении, можно оценить на его полезность в качестве лекарственного средства при помощи различных экспериментальных способов, описанных ниже, способов, описанных в Биологических Примерах, и их методик, соответствующим образом модифицированных. Можно легко оценить, что соединение по настоящему изобретению обладает хорошими фармакокинетическими свойствами, такими как период полужизни в сыворотке, стабильность в желудочно-кишечном тракте, абсорбция пероральных препаратов, биодоступность и т.д., при помощи известных способов, например при помощи способа, описанного в Yakubutsu bioavailability (Hyouka to kaizen no kagaku), July 6, 1998, Gendaiiryou-sha, и т.д.
(I) Эксперименты по оценке свойств соединения
Оценка растворимости соединения по настоящему изобретению
Способ
В пробирку для испытаний отбирают пробу около 3 – 5 мг испытываемого соединения, нагретого до 37°C (измерено на практике при помощи термометра). Затем добавляют растворитель (принятый в медицине и фармакопее Раствор I, как определено в The Japanese Pharmacopoeia, принятый в медицине и фармакопее Раствор II, как определено в The Japanese Pharmacopoeia, и принятый в медицине и фармакопее Раствор II с добавлением бычьей желчной кислоты в искусственном желчном соке (0,5% (мас./мас.), SIGMA)), буферный раствор с pH 7,4 (получен 4-кратным разведением буфера McIlvaine), буферный раствор с pH pH 4,0 (получен 4-кратным разведением буфера McIlvaine), дистиллированную воду и физиологический раствор, нагретый до 37°C на водяной бане, до получения соответственно концентраций 1,5 мг/мл. После перемешивания при постоянной температуре 37°С в течение 30 минут смесь фильтруют через фильтр (как правило, DISMIC-13cp, ацетат целлюлозы, гидрофильный, 0,20 мкм, Advantec). Сразу после этого фильтрат 2-кратно разбавляют при помощи органического растворителя, в котором испытываемое соединение является высокорастворимым (ацетонитрил или метанол) и перемешивают. Растворимость испытываемого соединения можно определить путем концентрирования его концентрации методом с использованием внешнего стандарта при помощи ВЭЖХ.
Испытание абсорбции соединения по настоящему изобретению при пероральном введении собаке
Способ
Взрослым собакам породы бигль, которых перед этим не кормили, вводят путем внутримышечной (в/м) инъекции пентагастрин (10 мкг/кг). Через пятнадцать минут после этого каждое испытываемое соединение вводят перорально (по 100 мг каждой собаке) с водой (20 мл). Через пятнадцать минут после этого вводят путем внутримышечной (в/м) инъекции пентагастрин (10 мкг/кг). Затем через 15 и 30 минут и 1, 2, 3, 4, 6, 8 и 10 часов после введения испытываемого соединения у животных берут кровь и экстрагируют ацетонитрилом. Затем концентрацию соединения в плазме измеряют методом высокоэффективной жидкостной хроматографии (способ с использованием внутреннего стандарта). Используя полученные таким образом концентрации крови в плазме, можно определить площадь под кривой концентрации в плазме (AUC, мкг мин/мл) и максимальную концентрацию в плазме (Cmax, нг/мл).
(II) Эксперименты для оценки эффективности соединения по настоящему изобретению (измерение цитокинов)
Действие соединений по настоящему изобретению на продукцию цитокинов может быть подтверждено следующими экспериментами. Например, действие соединений по настоящему можно оценить в системах продукции цитокинов с использованием THP-1 (клеточная линия моноцитов человека), разбавленной цельной крови человека, мыши или крысы. Пример эксперимента для оценки эффекта ингибирования продукции TNF- , который представляет собой один из цитокинов, проиллюстрирован ниже.
Эффект ингибирования продукции TNF- с использованием клеточной линии человека
Способ
В 96-луночный планшет для инкубации клеток добавляют 50 мкл порции липополисахарида (LPS; Difco #3120-25-0), доведенного до концентрации 40 нг/мл при помощи среды RPMI-1640, содержащей 10% фетальной бычьей сыворотки (далее указана как RPMI-1640), и RPMI-1640, содержащую испытываемое соединение. Затем добавляют 100 мкл суспензии клеток THP-1 (DAINIPPON PHARMA #06-202), доведенной до концентрации 2·106 клеток/мл при помощи RPMI-1640, с последующей инкубацией в течение 90 минут при 37°C (5% CO2, 95% воздуха). По завершении реакции супернатант культуры собирают и полученное таким образом количество TNF- измеряют при помощи набора ELISA (Invitrogen #850090192).
Активность ингибирования продукции TNF- может быть рассчитана как процент ингибирования (%) в соответствии со следующей формулой.
Процент ингибирования (%) = {(AC-AX)/(AC-AB)}·100.
AB: величина, измеренная без LPS-проявления.
AC: величина, измеренная при LPS-проявлении в отсутствие испытываемого соединения.
AX: величина, измеренная при LPS-проявлении в присутствии испытываемого соединения.
Процент ингибирования для соединения измеряют при различных концентрациях. Таким образом, концентрация, при которой соединение демонстрирует процент ингибирования 50% (ИК50), может быть определена при помощи кривой ингибирования.
Эффект ингибирования продукции TNF- с использованием разбавленной цельной крови человека
Способ
Периферическую кровь человека получают путем сбора гепаринизированной крови, взятой у здоровых добровольцев мужского пола. Собранную таким образом периферическую кровь доводят до конечной концентрации путем 10-кратного разбавления средой RPM1640 (изготовитель Gibco BRL) перед использованием.
В 96-луночный планшет для инкубации клеток добавляют раствор липополисахарида (LPS) (конечная концентрация 100 нг/мл) (Bacto W. E. coli 055:B5; изготовитель DIFCO Lab.), раствор испытываемого соединения и разбавленную цельную кровь. После инкубации смеси при 37°С в течение 6 часов 96-луночный планшет центрифугируют и супернатант собирают. Затем полученное таким образом количество TNF- в супернатанте измеряют при помощи набора ELISA (изготовитель R&D system). Принимая разницу в уровне TNF- между необработанной группой и группой LPS-проявления за 100%, определяют процент ингибирования (%) для испытываемого соединения и рассчитывают 50% ингибирующую концентрацию (ИК50).
Эффект ингибирования продукции TNF- у мышей (внутривенное введение)
Способ
Активность ингибирования продукции TNF- может быть измерена способом, о котором сообщалось в документе (ed. by Kazuo Ouchi, Seibutsu Kagaku Jikken Koza 12, 707 (1994), Hirokawa Shoten, Tokyo), при соответствующей его модификации. Например, испытываемое соединение внутривенно вводят при различных концентрациях самкам мышей (BALB/c, возраста 7 недель) и затем внутрибрюшинно вводят LPS (100 мкг/мышь) (Bacto W. E. coli 055:B5; изготовитель DIFCO Lab.). Через девяносто минут после введения LPS собирают гепаринизированную кровь, которую берут из брюшной аорты под эфирной анестезией. Затем сразу получают плазму и хранят при -80°C. Количество TNF- в плазме определяют при помощи набора ELISA для определения цитокинов мыши (изготовитель Genzyme). Принимая разницу в уровне TNF- между необработанной группой и группой LPS-проявления за 100%, определяют процент ингибирования (%) для испытываемого соединения и рассчитывают 50% ингибирующую концентрацию (ИК50).
Эффект ингибирования TNF- продукции у мышей (пероральное введение)
Способ
Испытываемое соединение, суспендированное в носителе, перорально вводят мышам (самцы C57BL/6). Через полчаса после этого внутрибрюшинно вводят липополисахарид (LPS, 055:B5, Sigma), используя дозу 60 мг/кг. Контрольной группе перорально вводят носитель. Через шестьдесят минут после обработки LPS собирают гепаринизированную кровь, которую берут из брюшной аорты под эфирной анестезией. Затем кровь центрифугируют (12000 об/мин) при 4°С в течение 3 минут с получением плазмы. Полученные образцы плазмы хранят при -80°C до использования. Количество TNF- в плазме определяют при помощи набора ELISA (R&D systems).
Эффект ингибирования продукции TNF- у крыс (пероральное введение)
Способ
Испытываемое соединение, содержащееся в носителе, перорально вводят самкам крыс Lew (CHARLES RIVER LABORATORIES, JAPAN). Через два часа после этого внутривенно вводят липополисахарид (LPS, 055:B6, Difco), используя дозу 10 мкг/кг (в каждой группе по 5 животных). Контрольной группе перорально вводят носитель (5 животных). Через девяносто минут после обработки LPS собирают гепаринизированную кровь, которую берут из брюшной аорты под эфирной анестезией. Затем кровь центрифугируют (12000 об/мин, 3 мин, 4°C) с получением плазмы. Полученные образцы плазмы хранят при -80°C до использования. Количество TNF- в плазме определяют при помощи набора ELISA (Genzyme/Techne, #10516).
Активность ингибирования продукции TNF- может быть рассчитана как процент ингибирования (%) в соответствии со следующей формулой.
Процент ингибирования (%) = {(AC-AX)/AC}·100.
AB: величина, измеренная при LPS-проявлении без введения испытываемого соединения.
AC: величина, измеренная при LPS-проявлении при введении испытываемого соединения.
В случае использования другого цитокина в качестве заместителя TNF- действие соединений по настоящему изобретению на продукцию цитокинов может быть оценено путем соответствующей модификации способов, описанных выше. Например, анализ можно осуществить путем инкубации коммерчески доступного набора ELISA для другого цитокина (например, цитокина типа Th1 или типа Th2, такого как IL-1, IL-2, IL-4, IL-5, IL-6, IL-8, IL-12, TGF- , интерферон и т.д.) в качестве замены наборов ELISA для TNF- , в течение периода времени, подходящего для каждого цитокина, и используя вещество, способное к индукции каждого цитокина (например, форбол-12-миристат-13-ацетат (PMA), конкавалин A (ConA) и т.д.).
(III) Эксперименты по оценке эффективности соединения по настоящему изобретению (животная модель заболевания)
При помощи описанных ниже экспериментов можно подтвердить, что соединения по настоящему изобретению обладают профилактическим и/или терапевтическим эффектом в отношении аллергических заболеваний. Например, профилактический и/или терапевтический эффект на атопический дерматит или аллергический ринит может быть подтвержден следующими экспериментами.
Модель замедленного дерматита мыши
Способ
У самцов мышей BALB/cAnCrj (CHARLES RIVER LABORATORIES, JAPAN) возраста 14 недель сбривают волосы в брюшной части. На следующий день 0,1 мл 7% раствора пикрилхлорида (PC, Tokyo Kasei Kogyo, cat. C0307) в этаноле наносят на весь обритый участок при помощи пипетки для сенсибилизации животного. Через четыре дня после этого на переднюю и заднюю стороны обеих ушных раковин наносят 2% раствор PC в оливковом масле, 0,02 мл/ухо, при помощи пипетки и, таким образом, у мыши вызывают замедленный дерматит. Через двадцать часов после этого измеряют толщину обеих ушных раковин при помощи цифрового измерителя толщины (Ozaki Seisakusho) и рассчитывают среднее значение для оценки отека в каждой ушной раковине. Испытываемое соединение суспендируют в 0,5% растворе метилцеллюлозы за 30 минут до индукции дерматита и затем его перорально вводят один раз или применяют как средство местного нанесения.
В качестве гаптена также можно использовать 4-этоксиметилен- 2-фенил-2-оксазолин-5-он; оксалон или т.п. как замену пикрилхлорида.
Модель DTH мыши
Способ
У самцов мышей BALB/c сбривают волосы в брюшной части при помощи машинки для стрижки волос и 7% (мас./об.) раствор 2,4,6-тринитрохлорбензола (TNCB) в этаноле (100 мкл) наносят на брюшную часть для сенсибилизации животных. Через семь дней после сенсибилизации 1% (мас./об.) раствор TNCB в оливковом масле наносят на ушную раковину (правая, с обеих сторон) мыши, чтобы вызвать проявление заболевания. Испытываемое соединение растворяют в носителе и затем перорально вводят или наносят с обеих сторон правого уха (20 мкл) до нанесения TNCB. Контрольной группе наносят носитель. Непосредственно перед введением испытываемого соединения и через 24 часа после нанесения TNCB измеряют толщину ушной раковины мыши при помощи цифрового измерителя толщины (Ozaki Seisakusho) как показатель эффективности мышиной модели DTH.
В качестве гаптена также можно использовать 4-этоксиметилен-2-фенил-2-оксазолин-5-он; оксалон или т.п. как замену TNCB.
Мышиная модель дерматита, вызванного непрерывным нанесением гаптена
Способ
1% (мас./об.) раствор TNCB (ацетон:оливковое масло = 4:1) наносят (20 мкл) на ушную раковину (правая, с обеих сторон) мыши (самцы Balb/c) для первичной сенсибилизации. Через семь дней после сенсибилизации наносят 20 мкл 1% (мас./об.) раствора TNCB (ацетон:оливковое масло=4:1), чтобы вызвать проявление заболевания (день 0). Процедуру, которую используют в день 0, повторяют в дни 2, 4, 6, 8, 10, 12, 14 и 16. Испытываемое соединение растворяют в носителе и затем перорально вводят или наносят с обеих сторон правого уха (20 мкл) до нанесения TNCB. Контрольной группе наносят носитель. Непосредственно перед введением испытываемого соединения и через 24 часа после нанесения TNCB измеряют толщину ушной раковины мыши при помощи цифрового измерителя толщины (Ozaki Seisakusho) как показатель эффективности мышиной модели дерматита, индуцированного непрерывным нанесением гаптена.
В качестве гаптена также можно использовать 4-этоксиметилен-2-фенил-2-оксазолин-5-он; оксалон или т.п. как замену TNCB.
Ингибиторный эффект соединения по настоящему изобретению на спонтанную реакцию царапания у мыши NC при спонтанном проявившемся дерматите
Способ
Используют самцов мышей NC, страдающих от спонтанно проявившегося дерматита. Мышей помещают в клетку для наблюдения и дают им акклиматизироваться в окружающей среде в течение 30 минут. Затем в пределах одного часа после этого записывают на видеопленку их поведение, характеризующееся царапанием, в помещении без присутствия человека. При просмотре видеозаписи серию движений, включающих царапание морды, ушей, верхней части спины и вокруг этих участков задними лапами, рассматривают как отдельные царапающие движения и эти движения подсчитывают. Испытываемое соединение или контроль (0,5% водный раствор метилцеллюлозы) перорально вводят 3-5 раз с интервалами 30 минут. Сразу после второго введения их царапающие движения записывают на видеопленку, подсчитывают в течение от 1 до 3 часов и, таким образом, делают оценку.
Ингибиторный эффект на спонтанную реакцию царапания у крыс BN при DNFB-индуцированном дерматите
Сначала 0,3% динитрофторбензол (DNFB) несколько раз наносят на голову крыс Brown Norway (BN), чтобы вызвать дерматит. Затем учащение царапающих движений наблюдают через 24 – 27 часов после нанесения. Можно оценить эфект соединения по настоящему изобретению на поведение, характеризующееся царапанием.
Способ
На обритый череп самцов крыс BN в качестве гаптена наносят 0,3% DNFB, растворенный в смешанном растворителе, ацетоне с оливковым маслом. Группе, у которой не должно быть проявления заболевания, наносят смешанный растворитель, состоящий из ацетона и оливкового масла. Через неделю после этого указанные вещества снова наносят на череп и процедуры нанесения повторяют три раза через день. Затем через 24-27 часов после четвертого нанесения поведение крыс записывают на видеопленку в помещении без присутствия человека. При просмотре видеозаписи серию движений, включающих царапание вокруг участков нанесения гаптена задними лапами, рассматривают как отдельные царапающие движения и эти движения подсчитывают. Испытываемое соединение или контроль (0,5% водный раствор метилцеллюлозы) перорально вводят через 12 – 48 часов после третьего-шестого введений. Группе, у которой не должно быть проявления заболевания, перорально вводят 0,5% водный раствор метилцеллюлозы. Через 30 минут после введения начинают видеозапись царапающих движений, которую ведут в течение 3 часов, и эти движения подсчитывают, таким образом, делают оценку.
Модель аллергического ринита
Способ
Самцам морских свинок Crj Hartley (возраст 6 недель) вводят овальбумин, используя процедуру, как показано в Таблице 1, с построением, таким образом, модели аллергического ринита.
| Таблица 1 |
| День |
Доза |
Путь введения |
| 0 |
0,5 мг/0,5 мл |
Внутрибрюшинный |
| 2 |
1,0 мг/0,5 мл |
Внутрибрюшинный |
| 22 |
0,1% 40 мкл |
Назальный (обе стороны) |
| 24 |
0,2% 40 мкл |
Назальный (обе стороны) |
| 27 |
0,4% 40 мкл |
Назальный (обе стороны) |
| 31 |
0,5% 40 мкл |
Назальный (обе стороны) |
| 36 |
1,0% 40 мкл |
Назальный (обе стороны) |
| 41 |
1,0% 40 мкл |
Назальный (обе стороны) |
После инициации заболевания в течение 42 дней в дыхательные пути каждой морской свинки вставляют под анестезией катетерную трубку и поддерживают при постоянной температуре при помощи нагретой лепешки. Затем 40 мкл испытываемого соединения или физиологического раствора добавляют по каплям в оба носовых прохода. Через десять минут после этого 40 мкл 1% овальбумина добавляют по каплям в оба носовых прохода. Через тридцать минут после закапывания овальбумина мокроту из носа убирают при помощи абсорбирующей ваты. Через пятнадцать минут после этого абсорбирующую вату, которую перед этим взвешивают, вставляют в нос на 15 минут. Разницу в весе абсорбирующей ваты рассматривают как выделения из носа и, таким образом, делают оценку.
Иммуносупрессорное действие соединений по настоящему изобретению может быть подтверждено следующим экспериментом. Например, терапевтический эффект соединений по настоящему изобретению на отторжение при трансплантации может быть подтвержден на примере использования моделей трансплантата сердца, почки, печени, поджелудочной железы, легкого, костного мозга и кожного трансплантата или т.п. В качестве примера ниже описана модель трансплантата сердца.
Модель гетеротопической трансплантации сердца крысы
Способ
Используя крыс, у крысы-донора извлекают сердце и трансплантируют в грудную клетку крысы-реципиента. Испытываемое соединение вводят перорально в профилактических целях, подсчитывают количество дней выживания после трансплантации сердца, таким образом, можно определить терапевтический эффект.
Профилактический и/или терапевтический эффект соединений по настоящему изобретению на аутоиммунные заболевания может быть подтвержден следующими экспериментами. Например, профилактический и/или терапевтический эффект на ревматоидный артрит (например, артрит, деформирующий артрит и т.д.) может быть подтвержден следующими экспериментами.
Эффект, полученный в модели коллаген-индуцированного артрита крысы
Способ
Используют самок крыс DA (SLC) возраста восьми недель. На протяжении всего периода экспериментa животных кормят в помещении для питания с искусственно созданными условиями: температура 24±2°C, влажность 55±5% и периодическое освещение 12 часов в день. Животным дают твердую пищу (CE-2; CLEA Japan) и водопроводную воду ad libitum. После предварительного выдерживания на таком рационе питания в течение 1 недели животных используют в эксперименте. Модель коллаген-индуцированного артрита строят следующим способом. А именно, бычий коллаген типа II (0,3% раствор, COLLAGEN GIJUTSU KENSHUKAI; #K-41, lot. 11214, далее указан как CII) и неполный адъювант Фрейнда (DIDCO #0639-60, далее указан как IFA) смешивают в соотношении CII:физиологический раствор:IFA 1:1:2 и смесь обрабатывают ультразвуком (20 с · 3 раза с интервалами в 1 мин) с получением эмульсии. Эту эмульсию (0,75 мг CII/мл) вводят путем подкожной инъекции порциями по 0,1 мл в 4 места на спине крысы. Для дополнительной сенсибилизации 0,15 мл этой эмульсии подкожно вводят в основание хвоста для индукции артрита. Испытываемое соединение суспендируют в 0,5% растворе карбоксиметилцеллюлозы и перорально вводят в желудок принудительным путем при помощи перорального зонда два раза в день (утром и вечером), начиная со дня введения по день 28. Артрит оценивают по балльной системе для оценки степени артрита в соответствии со способом Ostermann T., et al. (Inflamm. Res., 44, 258-263 (1995)). Объем стопы каждого отдельного животного можно измерить при помощи плетисмометра (UNICOM, TK-101CMP).
Индуцированный смесью антител артрит мыши
Способ
Смесь антител против коллагена типа II внутривенно вводят самцам мышей DBA/1 JNCrj, используя дозу 2 мг/0,5 мл/мышь. Через три дня после этого внутрибрюшинно вводят липополисахарид, используя дозу 25 мкг/0,1 мл/мышь для проявления артрита. На день 10 четыре лапы каждого животного можно оценить по 4-балльной системе в зависимости от отека и увеличения объема. Испытываемое соединение растворяют в эквимолярном 0,02 моль/л растворе гидроксида натрия, затем разбавляют дистиллированной водой и перорально вводят три раза в день за 30 минут до введения липополисахарида.
Модель индуцированного адъювантом артрита
Способ
Для оценки используют самцов или самок крыс Lewis возраста 7 недель. После измерения объема левой задней лапы крысы вводят 600 мкг/100 мкл суспензии сухих клеток Mycobacterium butyricum (Difco), которую используют в качестве адъюванта, в жидком парафине путем подкожной инъекции в подушку правой задней лапы. Таким образом, строят модель индуцированного адъювантом артрита. Путем сравнения группы испытания, которой перорально вводили испытываемое соединение, с контрольной группой, которой не вводили соединение, оценивают терапевтический или профилактический эффект.
Эффект соединения по настоящему изобретению на болевую ответную реакцию в модели индуцированного адъювантом артрита
Ингибиторное действие испытываемого соединения на болевую ответную реакцию в модели индуцированного адъювантом артрита (т.е. модель боли при хроническом артрите) можно оценить, используя как показатель аномальный фонационный ответ.
Способ
Можно использовать самцов крыс Lewis возраста семи недель. После измерения объема левой задней лапы крысы вводят 600 мкг/100 мкл суспензии сухих клеток Mycobacterium butyricum (Difco), которую используют в качестве адъюванта, в жидком парафине путем подкожной инъекции в подушку правой задней лапы. Таким образом, строят модель индуцированного адъювантом артрита. Через двадцать два дня после инъекции адъюванта коленный сустав левой задней лапы сгибают и разгибают 5 раз перед пероральным введением испытываемого соединения. В эксперименте используют животных, которые каждый раз демонстрируют аномальный фонационный ответ. В зависимости от объема отека левой задней лапы в день накануне эксперимента крыс делят на группы, по 10 животных в каждой. Перорально вводят испытываемое соединение в различных дозах и 5 мл/кг водного раствора метилцеллюлозы (контроль). Через один, два, три и четыре часа после введения наблюдают аномальные фонационные ответы. Анальгетический эффект оценивают путем сгибания и разгибания коленного сустава левой задней лапы 5 раз в каждый момент, когда осуществляют наблюдение, и животных, которые не демонстрируют никакого аномального фонационного ответа, считают негативными по фонационному ответу, а животных, которые демонстрируют аномальный фонационный ответ в один или несколько моментов проведения оценки, считают позитивными по анальгетическому эффекту.
Модель удаления внешнего мениска кролика
Способ
Кроликов (самки кроликов Kbs: NZW (Healthy)) предварительно откармливают в течение 1 недели и затем подвергают удалению мениска следующим способом.
Инъекцию 2% раствора серактала (0,05 мл/кг) подкожно вводят в шейный отдел спины кроликов. Затем животных подвергают анестезии путем внутривенного введения инъекции нембутала (20 мг/кг) в край ушной раковины. Правое колено дезинфицируют 5-кратно разведенной настойкой иода, если это необходимо, животным дают местную анестезию путем закапывания 2% ксилокаина при помощи шприца в надрезанную часть.
Затем наружный эпителий и оболочку сустава правой задней лапы разрезают под углом 90° до коленной связки. Внешнюю коллатеральную связку вырезают, а затем вырезают сесамовидную связку. На этой стадии при помощи шприца закапывают босмин для остановки кровотечения. Ткани, связанные с передней тканью внешнего мениска, поднимают щипцами и мениск выдвигают и отрезают 1/3 по центру. Оперируемый участок промывают при помощи инъекции физиологического раствора и синовиальную мембрану и оболочку сустава сшивают. Затем отдельно сшивают мышечный слой и внешний слой кожи.
После хирургической операции вводят кристаллический пенициллин G калий (5000 Ед/животное) и стрептомицин сульфат (100 мг/животное) путем внутримышечной инъекции в левую заднюю лапу для профилактики инфекции. Кроликов кормят до их умерщвления на день 7 после хирургической операции. В течение периода кормления кроликам вводят испытываемое соединение в каждой определенной дозе, два раза в день.
Животных анестезируют внутривенной инъекцией нембутала (40 мг/кг) в край сустава и затем умерщвляют путем обескровливания. Правоколенный сустав извлекают. Коленный сустав разрезают и бедренную кость и большеберцовую головку извлекают и хранят в нейтральном 10% буферном растворе формалина при комнатной температуре. После сбора всех образцов бедренную кость и большеберцовую головку изолируют. Затем пораженную площадь измеряют при помощи стереоскопического микроскопа.
Оценку делают путем статистической обработки данных сравнения пораженной области сустава у контрольной группы (носитель) и группы, которой вводили испытываемое соединение, методом множественных сравнений Williams (EXSAS, Ver 5,00).
Описанная выше экспериментaльная модель, в которой можно индуцировать трещину сустава, близко схожую с деформирующим артритом человека, является общепризнанной в качестве модели OA.
При помощи описанных ниже экспериментов можно подтвердить, что соединения по настоящему изобретению обладают профилактическим и/или терапевтическим эффектом на аутоиммунные заболевания. Например, при помощи описанных ниже экспериментов можно подтвердить, что соединения по настоящему изобретению обладают профилактическим и/или терапевтическим эффектом на нервные заболевания (рассеянный склероз), воспалительное заболевание кишечника и гепатит.
Модель EAE (экспериментaльного аллергического энцефаломиелита)
Способ
Используя крыс Lewis, экспериментaльный аллергический энцефаломиелит индуцируют, используя различные антигены, такие как спинной мозг или MOG (миелинолигодендроцителикопротеин). При сравнении группы, которой перорально вводили испытываемое соединение, с группой, которой не вводили это соединение, оценивают терапевтический или профилактический эффект.
Модель индуцированного уксусной кислотой колита
Способ
Необходимое количество 5% раствора уксусной кислоты набирают в 1-мл шприц, снабженный подходящим пероральным зондом (для мыши). 7-недельным самцам крыс SD(CD)IGS под анестезией сомнопентилом вводят зонд (до 5 см от конца) через анус в толстую кишку. После введения зонда вводят 5% раствор уксусной кислоты (0,25 мл) путем инъекции в толстую кишку в течение 10 секунд. Затем зонд извлекают и анус закрывают на примерно 1 минуту. Необходимое количество физиологического раствора набирают в 50-мл шприц, снабженный подходящим пероральным зондом (для мыши). Затем зонд (до 8 см от конца) вводят через анус в толстую кишку. После введения зонда кишечный тракт промывают физиологическим раствором (около 10 мл).
Испытываемое соединение и носитель вводят перорально в определенном количестве за 30 минут до индукции колита и через 8 часов после его проявления.
Через двадцать часов после проявления заболевания животных умерщвляют и всю толстую кишку (от ануса до основания слепой кишки) извлекают. Содержимое толстой кишки промывают физиологическим раствором. После извлечения и промывки толстой кишки иссекают часть 9 см от ануса. Из иссеченного куска толстой кишки удаляют избыток влаги промоканием и мокрый вес определяют при помощи электронных весов. Пораженную площадь (мм2) иссеченного участка толстой кишки определяют при помощи анализа изображения.
Модель TNBS-индуцированного колита
Способ
Под анестезией сомнопентилом гибкий пероральный зонд (до 8 см от конца) вводят через анус в толстую кишку самцам крыс SD(CD)IGS (возраст 7 недель). Затем вводят путем инъекции 50 мг TNBS (2,4,6-тринитробензолсульфоновая кислота)/20% этанол/0,25 мл/крыса или 20% этанол/0,25 мл/крыса. Место инъекции закрывают, животных оставляют примерно на 2 часа чтобы, таким образом, у них проявился колит. Испытываемое соединение перорально вводят за 30 минут до проявления заболевания и через 8 часов после его проявления в день начала заболевания и два раза в день (утром и вечером), начиная со следующего дня. Через три дня после начала заболевания крыс умерщвляют путем обескровливания под эфирной анестезией. Толстую кишку извлекают и содержимое толстой кишки промывают физиологическим раствором. Затем измеряют длину толстой кишки. После извлечения и промывки толстой кишки иссекают часть 9 см от ануса. Из иссеченного куска толстой кишки удаляют избыток влаги промоканием и мокрый вес определяют при помощи электронных весов.
Модель хронического язвенного колита
Способ
Под анестезией пентобарбиталом 1% водный раствор уксусной кислоты (10 мл/кг) вводят путем инъекции через анус в толстую кишку сумцам хомячков Syrian (возраста 6 – 7 недель), используя гибкий пероральный зонд для крысы. Затем анус зажимают на 30 минут, чтобы вызвать колит. Нормальной группе вводят дистиллированную воду при помощи инъекции, как описано выше. Испытываемое соединение перорально вводят за 18 часов и час до индукции колита и через 6 часов после его проявления, т.е. всего три раза. Через двадцать часов после проявления заболевания животных умерщвляют и извлекают кусок толстой кишки (7 см от ануса). Отобранный образец рассекают вдоль по прилегающей части кишечной оболочки и внутреннюю часть кишечной оболочки промывают физиологическим раствором (5 мл). Разрезанную толстую кишку фотографируют и рассчитывают относительную площадь язвы (общая площадь язвы · 100/ общая площадь толстой кишки). Супернатант промывной жидкости, используемой для промывки толстой кишки, используют в испытании скрытого кровотечения.
Эффект ингибирования хронического язвенного колита
Способ
Самцов мышей C57BL/6 выдерживают на 7% водном растворе декстрансульфата натрия (далее указан как DSS), который они получают ad libitum. С момента начала приема водного раствора каждый день определяют массу тела и клиническую оценку. Клиническую оценку рассчитывают как сумму баллов оценки диареи (норма: 0, жидкий стул: 2, диарея: 4) и баллов оценки кровянистого стула (норма: 0, кровотечение: 2, сильное кровотечение: 4). На день 10 приема водного раствора DSS собирают гепаринизированную кровь, которую берут из нижней половой вены под эфирной анестезией. Используя счетчик форменных элементов крови, измеряют гематокритное число. Начиная со дня 0 до дня 10 приема водного раствора DSS, испытываемое соединение постоянно вводят перорально в определенной дозе два раза в день.
Ингибиторный эффект в модели галактозамин/LPS-индуцированной гепатопатии
Способ
Испытываемое соединение в различных концентрациях вводят самцам мышей (BALB/c, возраст 7 – 8 недель), которые голодали в течение ночи. Через тридцать минут после этого внутрибрюшинно вводят раствор смеси галактозамина (700 мг/кг) и LPS (10 мкг/кг) (Bacto W.E.coli 055:B5; изготовитель DIFCO Lab.), чтобы вызвать гепатопатию. Каждое испытываемое соединение суспендируют в 0,5% метилцеллюлозе.
Через семь часов после проявления заболевания собирают гепаринизированную кровь, которую берут из брюшной аорты под эфирной анестезией. Затем сразу же получают плазму. Степень гепатопатии оценивают, используя в качестве показателя повышение уровня GPT в плазме. Уровень GPT в плазме измеряют при помощи автоматического анализатора с использованием реагента для измерения GPT (изготовитель Wako Pure Chemicals). Принимая за 100% разницу уровня в плазме GPT между необработанной группой и группой, у которой была индуцирована гепатопатия, можно вычислить коэффициент ингибирования (%) испытываемого соединения.
При помощи описанных ниже экспериментов можно подтвердить, что соединения по настоящему изобретению обладают профилактическим и/или терапевтическим эффектом на полиорганную недостаточность и сепсис.
Модель полиорганной недостаточности
Способ
Крыс, которые перед этим голодали около 24 часов, анестезируют путем внутривенного введения пентобарбитала (40 мг/кг). После вставления катетеров в обе бедренные вены и крыловидной иглы в хвостовую вену через любую из этих вен непрерывно вводят липополисахарид (LPS; 0,3 мг/кг/час) и испытываемое соединение или носитель, используемый для введения испытываемого соединения (в случае контрольной группы). Во время введения животных дополнительно анестезируют, если это необходимо, в зависимости от пробуждения от наркоза. Через шесть часов после начала непрерывного внутривенного введения берут кровь из брюшной аорты. Затем измеряют активность эластазы, параметры коагуляции при фибринолизе (фибриноген, FDP, число тромбоцитов и т.д.) и биохимические параметры крови (GOT, GPT, креатинин, BUN и т.д.). Затем определяют показатель поражения легкого, извлекая легкие и измеряя мокрый вес или измеряя истечение белка, который системно вводили в легкое как флуоресцентно меченный белок.
(IV) Эксперименты для оценки действия соединения по настоящему изобретению по ингибированию метаболизирующего лекарственное средство фермента и/или действие по ингибированию индукции метаболизирующего лекарственное средство фермента
Ингибиторный эффект на CYP1A2 с использованием микросомной системы экспрессии
Способ
В качестве системы фермента используют микросому, экспрессирующую CYP1A2 (Gentest), полученную путем экспрессии в лимфобластах человека. В качестве флуоресцентного субстрата используют 3-циано-7-этоксикумарин (CEC, Molecular Probes).
В качестве реакционной системы используют фосфатный буфер (100 ммоль/л, 200 мкл; pH 7,4), содержащий экспрессирующие CYP1A2 микросомы (0,05 мг/мл), MgCl2 (5 ммоль/л) и NADPH (1 ммоль/л). К этой реакционной системе добавляют флуоресцентный субстрат CEC (конечная концентрация 10 мкмоль/л) и испытываемое соединение (конечная концентрация 3, 10 или 30 мкмоль/л) или -нафтофлавон (конечная концентрация 0,003 или 0,01 мкмоль/л; TOKYO KASEI) – используемый в качестве положительного контроля ингибитор, и реакцию осуществляют при 37°С в течение 30 минут. Измеряют интенсивность флуоресценции (Ex = 409 нм, Em = 409 нм) метаболита субстрата (детектор флуоресценции: Spectra Max Geminin (Molecular Devices)).
Ингибиторное действие оценивают как коэффициент ингибирования (%) на основании ингибирования образования метаболита с помощью испытываемого соединения.
Ингибиторная активность в отношении CYP2C9 человека
Способ
Ингибиторную активность соединения по настоящему изобретению в отношении CYP2C9 человека можно определить при помощи способа Sato, et al. (Yakubutsudotai (Xenobio. Metabol. и Dispos.), 16(2), 115-126 (2001)), модифицированного с целью повышения его точности и/или чувствительности.
Ингибиторная активность в отношении CYP3A4 человека
Способ
Ингибиторную активность соединения по настоящему изобретению в отношении CYP3A4 человека можно определить при помощи модифицированного способа, описанного в Drug Metabolism and Disposition, 28(12), 1440-1448 (2000).
Например, получают реакционный раствор, состоящий из калийфосфатного буфера (pH 7,4) (конечная концентрация: 200 мМ), гексагидрата хлорида магния (конечная концентрация : 5 мМ), субстрата (7-бензилоксихинолин (7-BQ), конечная концентрация : 40 мкМ), и микросомной системы экспрессии (Daiichikagakuyakuhin, конечная концентрация : 0,25 мг/мл). Затем 100 мкл реакционного раствора распределяют в 96-луночный планшет и добавляют 50 мкл водного раствора, содержащего испытываемое соединение и 0,8% ацетонитрил, для осуществления 10-минутной преинкубации при 37°C. Затем для инициирования реакции добавляют 50 мкл восстановленного никотинамидадениндинуклеотидфосфата (NADPH, 4 мМ). Интенсивность флуоресценции в каждой лунке измеряют во время добавления NADPH и после 30-минутной инкубации. Измеряют длину волны возбуждения при 409 нм и длину волны эмиссии при 530 нм хинолинола, который представляет собой метаболит субстрата. Коэффициент ингибирования (%) испытываемого соединения рассчитывают по следующей формуле с получением значения ИК50.
| Коэффициент ингибирования (%) |
= [1-{значение, измеренное при добавлении испытываемого соединения) – (значение, измеренное до добавления)/(контрольное значение – значение, измеренное до добавления)}]х100 |
Эффект индукции CYP3A4 человека
Способ:
Клетки HepG2 культивируют в инкубаторе при 37°C и 5% CO2, используя среду (MEM(+)), полученную смешиванием минимальной основной среды Игла (MOD.) с солями Earle без L-глутатиона (изготовитель ICN, продукт No.1210254) с 1/100 количеством не являющихся незаменимыми аминокислот для MEM Игла (100×) (изготовитель ICN, продукт No.1681049), антибиотиком-антимикотическим средством ((100×), изготовитель GIBCO, продукт No.15240-096), L-глутамин-200 мМ ((100×), GIBCO, продукт 25030-081) и 1/10 количеством фетальной бычьей сыворотки (Sigma, продукт No.F9423). Среду заменяют периодически через каждые 2-3 дня и примерно 1/5 часть клеток, достигающих конфлюентности, субкультивируют один раз в неделю. Почти конфлюентные клетки HepG2, которые культивировали в колбе для культивирования (225 см2), высевают в 24-луночный планшет (IWAKI, продукт No.3820-024) при плотности 5×104 клеток/MEM(+) 500 мкл/лунка и культивируют в инкубаторе при 37°C и 5% CO2 в течение 2 дней. Затем осуществляют трансдукцию следующим способом. В каждую лунку (MEM 100 мкл) 24-луночного планшета добавляют раствор, содержащий аутогенно полученный вектор hPXR (10 нг), вектор CYP3A4 (200 нг) и вектор pRL-TK (200 нг) и предварительно полученный реагент Tfx (Торговая марка)-20 (0,75 мкл, Promega, продукт No.E2391, полученный в соответствии с прилагаемой инструкцией). После перемешивания путем опрокидывания несколько раз смеси дают выстояться при комнатной температуре в течение 15 минут (раствор ДНК-липосомной смеси). Клетки, которые культивировали в течение 2 дней, промывают PBS(-) (по 1 мл на лунку) и затем добавляют раствор ДНК-липосомной смеси, полученный, как указано выше (100 мкл). После культивирования клеток в инкубаторе при 37°C и 5% CO2 в течение 1 часа добавляют MEM(+) (440 мкл/лунка) и испытываемое соединение (доведенное до 10-кратной концентрации от конечной концентрации с использованием MEM(+), содержащей 1% ДМСО, 60 мкл/лунка) и клетки культивируют в инкубаторе при 37°C и 5% CO2 в течение еще 2 дней. Затем клетки, которые культивировали в течение 2 дней после добавления испытываемого соединения, промывают один раз PBS(-) (по 1 мл на лунку) и добавляют пассивный буфер для лизиса (PLB) (100 мкл/лунка). Смеси дают выстояться при комнатной температуре в течение 15 минут или больше (лизисный раствор). Порции полученного таким образом лизисного раствора по 20 мкл/лунка переносят в 96-луночный белый планшет (Perkin Elmer, продукт No.23300) и добавляют реагент II для анализа люциферазы (LARII) (100 мкл/лунка). Через 2-24 секунд добавляют реагент stop & glo (100 мкл/лунка) и затем в каждой лунке измеряют химическую люминисценцию в течение 2-14 секунд, используя люминометр (Microlumat LB96P, Berthold JAPAN). Используемые реагенты (PLB, LARII и реагент stop & glo) получают и работают с ними в соответствии с инструкцией, прилагаемой к Dual-LuciferaseR Reporter Assay System (Promega, продукт No.E1910).
Индуцируемую активность CYP3A4 рассчитывают, принимая увеличение транскрипционной активности CYP3A4 в случае использования рифампицина (10 мкмоль/л) как положительный контроль 100%.
(V) Эксперименты для оценки токсичности соединения по настоящему изобретению
Испытание на мутагенность
Мутагенность соединений по настоящему изобретению можно оценить в соответствии со способом, описанным в Anei-ho ni Okeru Henigensei Shiken-Tesuto Gaidorain to GLP (Mutagenicity Test according to Occupational Health and Safety Law-Test Guideline and GLP-) (Ed. by Chemical Substance Investigation Division, Industrial Safety and Health Department, Ministry of Labor; Japan Industrial Safety and Health Association, 1991, chapter 4).
Испытание острой токсичности у крысы при однократном введении
Испытываемое соединение вводят крысам Crj:CD (SD) возраста шести недель при помощи однократной внутривенной дозы или однократного перорального введения. Токсичность можно оценить путем сравнения с величиной, полученной без введения испытываемого соединения. Базовую оценку токсичности можно проводить, например, путем наблюдения характера поведения или двигательной активности и т.д.
Кардиотоксичность у крыс (брадикардия)
Используя крыс SD, им вставляют катетеры в яремную вену и сонную артерию (или в бедренную вену и бедренную артерию) под анестезией. Конец артериальной канюли соединяют с датчиком давления (DX-100, NIHON KOHDEN) и соответственно измеряют кровяное давление и частоту сердечных сокращений при помощи амплификатора давления нагрузки (AP-641G, NIHON KOHDEN) и при помощи прямого измерителя частоты сердечных сокращений (AT-601G, NIHON KOHDEN). Под анестезией или при принудительном пробуждении от наркоза испытываемое соединение вводят внутривенно или перорально и отслеживают изменения кровяного давления и частоты сердечных сокращений.
(ii) Определение активности соединения по настоящему изобретению в отношении hERG IKr тока
Способ
Согласно сообщению Zou, et al. (Biophys. J., 74, 230-241 (1998)), используя клетки HEK293, в которых происходила сверхэкспрессия человеческого гена hERG (human ether-a-go-go-related gene), максимальный потенциал тока hERG IKr, индуцированного деполяризационным импульсом с последующим реполяризационным импульсом, измеряют путем регистрации фиксации потенциала (метод пэтч-клэмп). Показатель изменения (коэффициент ингибирования) рассчитывают путем сравнения максимального потенциала тока до добавления испытываемого соединения и через 10 минут после добавления. Влияние испытываемого соединения на hERG IKr ток можно определить по коэффициенту ингибирования.
Способы получения соединения по настоящему изобретению
Соединение, представленное формулой (I) в настоящем изобретении, можно получить способами, которые представляют собой соответствующим образом модифицированные и объединенные известные способы, такие как способы, описанные в WO 02/092068, Synth. Commun., 33(19), 3347 (2003), Comprehensive Organic Transformations: A Guide to Functional Group Preparations, 2nd Ed., (Richard C. Larock, John Wiley & Sons Inc.(1999)) и т.п., способами, описанными ниже, и/или способами на основе описанных ниже или способами, описанными в Примерах. В каждом способе, описанном ниже, исходное вещество может быть использовано в виде соли этого вещества. Пример соли включает различные виды солей, описанные как соль соединения, представленного формулой (I), описанной выше.
Из соединений, представленных формулой (I), соединение, где X связан с кольцом B через атом кислорода, т.е. соединение, представленное формулой (I-D):

где X’ представляет собой связь или спейсерную группу, содержащую от 1 до 7 атомов в своей основной цепи; и другие символы имеют определенные выше значения;
можно получить следующим способом (1) или (2).
(1) Соединение, представленное формулой (I-D), можно получить, подвергая соединение, представленное формулой (II):

где все символы имеют определенные выше значения;
и соединение, представленное формулой (III):

где R28 представляет собой атом водорода или группу для защиты карбоксигруппы; и другие символы имеют определенные выше значения;
реакции Мицунобу, с последующим удалением защитной группы, если это необходимо. Такую реакцию Мицунобу, которая широко известна, осуществляют, например, путем взаимодействия этих соединений при 0-60°C в органическом растворителе (дихлорметан, диэтиловый эфир, тетрагидрофуран, ацетонитрил, бензол, толуол и т.д.), в присутствии азосоединения (диэтилазодикарбоксилат (DEAD), диизопропилазодикарбоксилат, 1,1′-(азодикарбонил)дипиперидин, 1,1′-азобис(N,N-диметилформамид) и т.д.) и фосфинового соединения (трифенилфосфин, трибутилфосфин, триметилфосфин, трифенилфосфин на полимерном носителе и т.д.). Удаление группы для защиты карбоксигруппы можно осуществить известным способом, например способом, описанным в WO 02/092068, или аналогичным способом и/или способом, описанным в Protective Groups in Organic Synthesis, T.W. Greene, John Wiely & Sons Inc. (1999). Группы для защиты карбоксигруппы конкретно не ограничены, и, помимо описанных выше, можно использовать любую произвольно выбранную группу, при условии, что ее можно легко и селективно удалить.
(2) Соединение, представленное формулой (I-D), можно получить, подвергая соединение, представленное формулой (II):

где все символы имеют определенные выше значения;
и соединение, представленное формулой (IV):

где L представляет собой удаляемую группу, такую как атом галогена, метансульфонилокси (OMs), толуолсульфонилокси (OTs), трифторметансульфонилокси (OTf), алкилтио, алкилсульфинил, алкилсульфонил или гидроксисульфонил; и другие символы имеют определенные выше значения;
или соединение, представленное формулой (V):

где все символы имеют определенные выше значения;
и соединение, представленное формулой (III):

где все символы имеют определенные выше значения;
соответственно реакциям этерификации с последующим удалением защитной группы, если это необходимо. Такие реакции этерификации, которые широко известны, осуществляют, например, путем взаимодействия этих соединений при 0-100°C в органическом растворителе (N,N-диметилформамид, диметилсульфоксид, хлороформ, дихлорметан, диэтиловый эфир, тетрагидрофуран, метил трет-бутиловый эфир и т.д.) в присутствии гидроксида щелочного металла (гидроксид натрия, гидроксид калия, гидроксид лития и т.д.), гидроксида щелочно-земельного металла (гидроксид бария, гидроксид кальция и т.д.) или карбоната (карбонат натрия, карбонат калия, карбонат цезия и т.д.), их водного раствора или их смеси. Удаление защитной группы можно осуществить способом, аналогичным описанным выше.
Из соединений по настоящему изобретению, представленных формулой (I), соединение, где Y представляет собой:

где Y2 и Y3, каждый независимо, представляет собой связь или спейсерную группу, содержащую от 1 до 8 атомов в своей основной цепи (при условии, что сумма атомов в основных цепях такой группы Y2 и Y3 не превышает 8); и R7 представляет собой атом водорода или заместитель, или атом в спейсерной группе, представленной Y2, взятый вместе с R7, образует гетероциклическую группу, которая может содержать заместитель (заместители);
а именно соединение, представленное формулой (I-E):

где все символы имеют определенные выше значения;
можно получить, подвергая соединение, представленное формулой (VI):

где все символы имеют определенные выше значения;
и соединение, представленное формулой (VII):

где все символы имеют определенные выше значения;
реакции восстановительного аминирования с последующим удалением защитной группы, если это необходимо. Такую реакцию восстановительного аминирования, которая широко известна, осуществляют, например, путем взаимодействия этих соединений при температуре 0 – 100°C в органическом растворителе (N,N-диметилформамид, дихлорметан и т.д., взятый отдельно или в виде смеси, включающей два или более таких растворителей в произвольном соотношении), в присутствии или в отсутствие органической кислоты (уксусная кислота и т.д.), или в присутствии или в отсутствие органического основания (триэтиламин, гидрокарбонат натрия и т.д.), с использованием восстановителя (триацетоксиборогидрид натрия, цианоборогидрид натрия, борогидрид тетрабутиламмония и т.д.). Удаление защитной группы можно осуществить способом, аналогичным описанным выше.
Из соединений по настоящему изобретению, представленных формулой (I), соединение, где Y представляет собой:

где все символы имеют определенные выше значения;
а именно соединение, представленное формулой (I-F):

где все символы имеют определенные выше значения;
можно получить, подвергая соединение, представленное формулой (VIII):

где все символы имеют определенные выше значения;
и соединение, представленное формулой (IX):

где все символы имеют определенные выше значения;
или соединение, представленное формулой (X):

где все символы имеют определенные выше значения;
и соединение, представленное формулой (XI):

где все символы имеют определенные выше значения;
соответственно реакциям алкилирования с последующим удалением защитной группы, если это необходимо. Такие реакции алкилирования, которые широко известны, осуществляют, например, путем взаимодействия этих соединений при 0-100°C в органическом растворителе (N,N-диметилформамид, диметилсульфоксид, хлороформ, дихлорметан, диэтиловый эфир, тетрагидрофуран, метил трет-бутиловый эфир и т.д.) в присутствии гидроксида щелочного металла (гидроксид натрия, гидроксид калия, гидроксид лития и т.д.), гидроксида щелочно-земельного металла (гидроксид бария, гидроксид кальция и т.д.) или карбоната (карбонат натрия, карбонат калия, карбонат цезия и т.д.), их водного раствора или их смеси. Удаление защитной группы можно осуществить способом, аналогичным описанным выше.
Из соединений по настоящему изобретению, представленных формулой (I), соединение, где Y представляет собой:

где Y4 представляет собой связь или спейсерную группу, содержащую от 1 до 7 атомов в своей основной цепи; R29, R30 и R31, каждый независимо, представляет собой атом водорода или заместитель; и другие символы имеют определенные выше значения;
а именно соединение, представленное формулой (I-G):

где все символы имеют определенные выше значения;
можно получить, подвергая соединение, представленное формулой (XII):

где все символы имеют определенные выше значения;
и соединение, представленное формулой (XIII):

где все символы имеют определенные выше значения;
реакции присоединения к амину с последующим удалением защитной группы, если это необходимо. Реакцию присоединения к амину, которая широко известна, осуществляют, например, путем взаимодействия этих соединений при температуре -78°C до температуры кипения с обратным холодильником в органическом растворителе (например, таком как метанол, этанол, пропанол, бензол, толуол, диэтиловый эфир, тетрагидрофуран, диметоксиэтан и т.д.) или без растворителя. Удаление защитной группы можно осуществить способом, аналогичным описанным выше.
Соединения, представленные формулами (II) – (XIII), которые используют в настоящем изобретении в качестве исходных веществ, широко известны per se или их можно легко получить известными способами.
В каждой реакции, раскрытой в настоящем описании, можно использовать твердофазный реагент на подложке из полимера (например, такого как полистирол, полиакриламид, полипропилен или полиэтиленгликоль и т.п.).
В каждой реакции, раскрытой в настоящем описании, полученные продукты можно очистить традиционными способами. Например, очистку можно осуществить путем перегонки при атмосферном или пониженном давлении, методом высокоэффективной жидкостной хроматографии на силикагеле или силикате магния, методом тонкослойной хроматографии, с использованием ионообменной смолы, с использованием смолы для улавливания примесей, методом колоночной хроматографии, путем промывки или перекристаллизации. Очистку можно осуществлять после каждой реакции или после нескольких реакций.
Фармацевтическое применение
Соединения, обладающие способностью к связыванию с рецептором S1P (в частности, EDG-6, предпочтительно EDG-1 и EDG-6), являются полезными в качестве иммуносупрессантов. Характер связывания с EDG-1, предпочтительно, представляет собой агонистическое действие.
Соединения по настоящему изобретению, представленные формулой (I), их соли, их сольваты или их пролекарства представляют собой соединения, обладающие способностью к связыванию с EDG-6, и демонстрируют длительное фармакологическое действие. Поэтому они являются полезными в качестве профилактических и/или лекарственных средств для млекопитающих, в частности для человека, при лечении отторжения при трансплантации, отторжения трансплантированного органа, болезни трансплантат против хозяина, аутоиммунных заболеваний (системная красная волчанка, ревматоидный артрит, миастения gravis и т.п.), аллергических заболеваний (атопический дерматит, астма и т.п.), воспаления, инфекции, язвы, лимфомы, злокачественной опухоли, лейкоза, артериосклероза, острой сердечной недостаточности, стенокардии, удара, травматического повреждения, генетических заболеваний и т.п.
Помимо способности к связыванию с EDG-6 некоторые соединения по настоящему изобретению обладают агонистической активностью в отношении EDG-1 и поэтому демонстрируют иммуносупрессорное действие и длительное фармакологическое действие. Благодаря таким характеристикам они являются более полезными в качестве профилактических и/или лекарственных средств при отторжении при трансплантации, болезни трансплантат против хозяина, аутоиммунных заболеваниях, аллергических заболеваниях и т.п.
Когда соединение, представленное формулой (I) в настоящем изобретении, или комбинированный препарат, включающий соединение по настоящему изобретению, представленное формулой (I), и другое лекарственное средство (средства), используют в указанных выше целях, его обычно вводят системно или местным путем, обычно путем перорального или парентерального введения. Необходимые для введения дозы определяют, например, в зависимости от возраста, веса тела, симптомов, желаемого терапевтического эффекта, пути введения и продолжительности лечения. Для взрослого человека дозы в расчете на человека обычно составляют от 1 нг до 100 мг при пероральном введении до нескольких раз в день и от 0,1 нг до 100 мг при парентеральном введении до нескольких раз в день или при непрерывном введении в течение 1 – 24 часов в день через вену. Как описанно выше, используемые дозы выбирают в зависимости от различных условий. Поэтому в некоторых случаях используемые дозы могут быть ниже или выше указанных пределов.
Когда вводят соединение, представленное формулой (I) в настоящем изобретении, или комбинированный препарат, включающий соединение по настоящему изобретению, представленное формулой (I), и другое лекарственное средство (средства), его используют в твердой форме для перорального введения, жидких формах для перорального введения, в форме инъекций, линиментов, суппозиториев, глазных капель или препарата для ингаляций для парентерального введения или т.п.
Твердые формы для перорального введения включают прессованные таблетки, пилюли, капсулы, диспергируемые порошки и гранулы. Капсулы включают твердые капсулы и мягкие капсулы. Таблетки включают сублингвальные таблетки, буккальные адгезивные таблетки, буккальные быстро разлагающиеся таблетки или т.п. Также в таких твердых формах одно, два или более активных соединений могут быть смешаны с носителем (таким, как лактоза, маннит, глюкоза, микрокристаллическая целлюлоза или крахмал), связующим (таким, как гидроксипропилцеллюлоза, поливинилпирролидон или алюмометасиликат магния), разрыхлителем (таким, как кальцийгликолят целлюлозы), смазывающими веществами (такими, как стеарат магния), стабилизатором и раствором адъюванта (такого, как глутаминовая кислота или аспарагиновая кислота), и их получают в соответствии со способами, хорошо известными в обычной фармацевтической практике. Твердые формы могут, если это желательно, иметь покрытие, нанесенное при помощи вещества, используемого для покрытия (такого, как сахар, желатин, гидроксипропилцеллюлоза или фталат гидроксипропилметилцеллюлозы), или они могут иметь два или более пленочных покрытий. Кроме того, покрытие может включать содержащиеся в капсулах абсорбируемые вещества для сдерживания высвобождения, такие как желатин.
Сублингвальные таблетки получают в соответствии с традиционным способом. Например, используют одно, два или более активных веществ для получения фармацевтических препаратов с использованием способов, известных из уровня техники, смешивая эти вещества с носителем (таким, как лактоза, маннит, глюкоза, микрокристаллическая целлюлоза, коллоидный диоксид кремния, крахмал и т.д.), связующим (таким, как гидроксипропилцеллюлоза, поливинилпирролидон, алюмометасиликат магния и т.д.), разрыхлителем (таким, как крахмал, L-гидроксипропилцеллюлоза, карбоксиметилцеллюлоза, натрийкроскармелоза, кальцийгликолят целлюлозы и т.д.), смазывающим веществом (таким, как стеарат магния и т.д.), агентом набухания (таким, как гидроксипропилцеллюлоза, гидроксипропилметилцеллюлоза, карбопол, карбоксиметилцеллюлоза, поливиниловый спирт, ксантановая камедь, гуаровая камедь и т.д.), вспомогательным веществом для набухания (таким, как глюкоза, фруктоза, маннит, ксилит, эритрит, мальтоза, трегалоза, фосфат, цитрат, силикат, глицин, глутаминовая кислота, аргинин и т.д.), стабилизатором, солюбилизирующим веществом (таким, как полиэтиленгликоль, пропиленгликоль, глутаминовая кислота, аспарагиновая кислота и т.д.), отдушкой (такой, как апельсиновая, клубничная, мятная, лимонная, ванильная и т.д.) и т.п. Также, если это необходимо, они могут иметь покрытие, нанесенное при помощи вещества, используемого для покрытия (такого, как сахароза, желатин, гидроксипропилцеллюлоза, фталат гидроксипропилметилцеллюлозы и т.д.), или они могут иметь два или более пленочных покрытий. Кроме того, если это необходимо, можно также добавить консервант, антиоксидант, краситель, подсластитель и подобные обычно используемые добавки.
Буккальные адгезивные таблетки получают в соответствии с традиционным способом. Например, используют одно, два или более активных веществ для получения фармацевтических препаратов с использованием способов, известных из уровня техники, смешивая эти вещества с носителем (таким, как лактоза, маннит, глюкоза, микрокристаллическая целлюлоза, коллоидный диоксид кремния, крахмал и т.д.), связующим (таким, как гидроксипропилцеллюлоза, поливинилпирролидон, алюмометасиликат магния и т.д.), разрыхлителем (таким, как крахмал, L-гидроксипропилцеллюлоза, карбоксиметилцеллюлоза, натрийкроскармелоза, кальцийгликолят целлюлозы и т.д.), смазывающим веществом (таким, как стеарат магния и т.д.), агентом адгезии (таким, как гидроксипропилцеллюлоза, гидроксипропилметилцеллюлоза, карбопол, карбоксиметилцеллюлоза, поливиниловый спирт, ксантановая камедь, гуаровая камедь и т.д.), вспомогательным веществом для адгезии (таким, как глюкоза, фруктоза, маннит, ксилит, эритрит, мальтоза, трегалоза, фосфат, цитрат, силикат, глицин, глутаминовая кислота, аргинин и т.д.), стабилизатором, солюбилизирующим веществом (таким, как полиэтиленгликоль, пропиленгликоль, глутаминовая кислота, аспарагиновая кислота и т.д.), отдушкой (такой, как апельсиновая, клубничная, мятная, лимонная, ванильная и т.д.) и т.п. Также, если это необходимо, они могут иметь покрытие, нанесенное при помощи вещества, используемого для покрытия (такого, как сахароза, желатин, гидроксипропилцеллюлоза, фталат гидроксипропилметилцеллюлозы и т.д.), или они могут иметь два или более слоев покрытия. Кроме того, если это необходимо, можно также добавить консервант, антиоксидант, краситель, подсластитель и подобные обычно используемые добавки.
Буккальные быстро разлагающиеся таблетки получают в соответствии с традиционным способом. Например, одно, два или более активных веществ используют как таковые или для получения фармацевтических препаратов с использованием способов, известных из уровня техники, путем смешивания активных веществ, полученных нанесением на порошкообразные или гранулированные частицы вещества подходящего агента покрытия (такого, как этилцеллюлоза, гидроксипропилцеллюлоза, гидроксипропилметилцеллюлоза, акрилат-метакрилатный coполимер и т.д.) и пластификатора (такого, как полиэтиленгликоль, триэтилцитрат и т.д.), с носителем (таким, как лактоза, маннит, глюкоза, микрокристаллическая целлюлоза, коллоидный диоксид кремния, крахмал и т.д.), связующим (таким, как гидроксипропилцеллюлоза, поливинилпирролидон, алюмометасиликат магния и т.д.), разрыхлителем (таким, как крахмал, L-гидроксипропилцеллюлоза, карбоксиметилцеллюлоза, натрийкроскармелоза, кальцийгликолят целлюлозы и т.д.), смазывающим веществом (таким, как стеарат магния и т.д.), веществом, способствующим диспергированию (таким, как глюкоза, фруктоза, маннит, ксилит, эритрит, мальтоза, трегалоза, фосфат, цитрат, силикат, глицин, глутаминовая кислота, аргинин и т.д.), стабилизатором, солюбилизирующим веществом (таким, как полиэтиленгликоль, пропиленгликоль, глутаминовая кислота, аспарагиновая кислота и т.д.), отдушкой (такой, как апельсиновая, клубничная, мятная, лимонная, ванильная и т.д.) и т.п. Также, если это необходимо, они могут иметь покрытие, нанесенное при помощи вещества, используемого для покрытия (такого, как сахароза, желатин, гидроксипропилцеллюлоза, фталат гидроксипропилметилцеллюлозы и т.д.), или они могут иметь два или более слоев покрытия. Кроме того, если это необходимо, можно также добавить консервант, антиоксидант, краситель, подсластитель и подобные обычно используемые добавки.
Жидкие формы для перорального введения включают фармацевтически приемлемые растворы, суспензии, эмульсии, сиропы и эликсиры. В таких формах одно, два или более активных соединений могут быть растворены, суспендированы или эмульгированы в разбавителе (разбавителях), традиционно используемом в данной области техники (таком, как дистиллированная вода, этанол или их смесь). Кроме того, такие жидкие формы могут также включать некоторые добавки, такие как смачивающие вещества, суспендирующие вещества, эмульгаторы, подсластители, отдушки, ароматизирующие добавки, консервант или буферный агент.
Вещество для парентерального введения может быть, например, в форме мази, геля, крема, влажного компресса, пасты, линимента, аэрозоля, препарата для ингаляции, спрея, глазных капель, раствора для орошения полости носа или т.п. Каждый такой препарат содержит одно или несколько активных веществ, и их получают известным способом или при помощи традиционного метода формулирования.
Мазь получают известным способом или при помощи традиционного метода формулирования. Например, для получения такой мази одно, два или более активных веществ растирают или растворяют в основе. Основу для мази выбирают из известных или традиционно используемых веществ. В целях несколько более подробного раскрытия можно указать высшую алифатическую кислоту или эфир высшей алифатической кислоты (например, миристиновая кислота, пальмитиновая кислота, стеариновая кислота, олеиновая кислота, эфир миристиновой кислоты, эфир пальмитиновой кислоты, эфир стеариновой кислоты, эфир олеиновой кислоты), воск (например, пчелиный воск, китовый воск, церезин), поверхностно-активное вещество (например, сложный эфир полиоксиэтиленалкилэфирфосфорной кислоты), высший спирт (например, цетанол, стеариловый спирт, сетостеариловый спирт), силиконовое масло (например, диметил полисилоксан), углеводород (например, гидрофильный петролатум, белый вазелин, очищенный ланолин, жидкий парафин), гликоль (например, этиленгликоль, диэтиленгликоль, пропиленгликоль, полиэтиленгликоль, макрогол), растительное масло (например, касторовое масло, оливковое масло, кунжутное масло, терпентинное масло), воду, ускоритель абсорбции и средство для профилактики лекарственной сыпи, которые можно использовать по отдельности или в смеси, состоящей из двух или более таких веществ. Основа может, кроме того, включать увлажняющее вещество, консервант, стабилизатор, антиоксидант, парфюмерную отдушку и т.д.
Гель получают известным способом или при помощи традиционного метода формулирования. Например, для получения такого геля одно, два или более активных веществ растворяют в основе. Основу для геля выбирают из известных или традиционно используемых веществ. Например, используют низший спирт (например, этанол, изопропиловый спирт), гелеобразующее вещество (например, карбоксиметилцеллюлоза, гидроксиэтилцеллюлоза, гидроксипропилцеллюлоза, этилцеллюлоза), агент нейтрализации (например, триэтаноламин, диизопропаноламин), поверхностно-активное вещество (например, полиэтиленгликоль моностеарат), камедь, воду, ускоритель абсорбции и средство для профилактики лекарственной сыпи, которые можно использовать по отдельности или в смеси, состоящей из двух или более таких веществ. Основа для геля может, кроме того, включать увлажняющее вещество, антиоксидант, парфюмерную отдушку и т.д.
Крем получают известным способом или при помощи традиционного метода формулирования. Например, для получения такого крема одно, два или более активных веществ растворяют в основе. Основу для крема выбирают из известных или традиционно используемых веществ. Например, используют эфир высшей алифатической кислоты, низший спирт, углеводород, многовалентный спирт (например, пропиленгликоль, 1,3-бутиленгликоль), высший спирт (например, 2-гексилдеканол, цетанол), эмульгатор (например, полиоксиэтиленалкиловый эфир, эфир алифатической кислоты), воду, ускоритель абсорбции и средство для профилактики лекарственной сыпи, которые можно использовать по отдельности или в смеси, состоящей из двух или более таких веществ. Основа для крема может, кроме того, включать увлажняющее вещество, антиоксидант, парфюмерную отдушку и т.д.
Влажный компресс получают известным способом или при помощи традиционного метода формулирования. Например, для получения такого влажного компресса одно, два или более активных веществ растворяют в основе с получением тщательно перемешанной смеси, которую затем распределяют на подложке. Основу для влажного компресса выбирают из известных или традиционно используемых веществ. Например, используют загуститель (например, такой как полиакриловая кислота, поливинилпирролидон, аравийская камедь, крахмал, желатин, метилцеллюлоза), смачивающее вещество (например, такое как мочевина, глицерин, пропиленгликоль), наполнитель (например, каолин, окись цинка, тальк, кальций, магний), воду, вещество, способствующее растворению, агент, придающий липкость, и средство для профилактики лекарственной сыпи, которые можно использовать по отдельности или в смеси, состоящей из двух или более таких веществ. Основа для влажного компресса может, кроме того, включать увлажняющее вещество, антиоксидант, парфюмерную отдушку и т.д.
Средство в форме пасты получают известным способом или при помощи традиционного метода формулирования. Например, для получения такого средства в форме пасты два или более активных веществ растворяют в основе с получением тщательно перемешанной смеси, которую затем распределяют на подложке. Основу для средства в форме пасты выбирают из известных или традиционно используемых веществ. Например, используют полимерную основу, жир и масло, высшую алифатическую кислоту, агент, придающий липкость, и средство для профилактики лекарственной сыпи, которые можно использовать по отдельности или в смеси, состоящей из двух или более таких веществ. Основа для препарата в форме пасты может, кроме того, включать увлажняющее вещество, антиоксидант, парфюмерную отдушку и т.д.
Линимент получают известным способом или при помощи традиционного метода формулирования. Например, для получения такого линимента одно, два или более активных веществ растворяют, суспендируют или эмульгируют в воде, спирте (например, таком как этанол, полиэтиленгликоль), высшей алифатической кислоте, глицерине, мыле, эмульгаторе, суспендирующем агенте и т.д., которые используют по отдельности или в виде сочетания двух или более таких веществ. Линимент может, кроме того, включать увлажняющее вещество, антиоксидант, парфюмерную отдушку и т.д.
Средство для распыления, средство для ингаляции, спрей и аэрозоль, каждое может включать стабилизатор, такой как гидросульфит натрия и буфер, способный придавать изотоничность, такой как изотоническое вещество (например, хлорид натрия, цитрат натрия, лимонная кислота). Что касается способа получения спрея, можно сделать ссылку на патенты США 2868691 и 3095355.
Препарат для инъекций для парентерального введения может быть в форме раствора, суспензии, эмульсии или в форме твердого препарата для инъекции, который растворяют или суспендируют в растворителе при применении. Препарат для инъекций получают путем растворения, суспендирования или эмульгирования одного, двух или более активных веществ в растворителе. В качестве такого растворителя можно использовать дистиллированную воду для инъекций, физиологический раствор, растительное масло, спирт, такой как пропиленгликоль, полиэтиленгликоль и этанол и т.д., отдельно или в сочетании. Препарат для инъекций может, кроме того, включать стабилизатор, вещество, способствующее растворению (например, такое как глутаминовая кислота, аспарагиновая кислота, Полисольват 80 (торговое наименование)), суспендирующее вещество, эмульгатор, успокаивающее средство, буфер, консервант и т.д. Препарат для инъекций стерилизуют на конечной стадии или получают способом, осуществляемым в асептических условиях. Альтернативно, асептическое твердое вещество, такое как лиофилизированный продукт, который был предварительно получен, можно сделать асептическим или растворить в асептической дистиллированной воде для инъекций или другом растворителе перед применением.
Глазные капли для парентерального введения могут быть в форме жидкости, суспензии, эмульсии или мази или их можно растворить в растворителе при применении. Такие глазные капли получают известным способом. Например, одно, два или более активных веществ растворяют, суспендируют или эмульгируют в растворителе. В качестве такого растворителя для глазных капель можно использовать стерилизованную дистиллированную воду, физиологический раствор и другие водные или неводные растворители (например, растительное масло), отдельно или в сочетании. Глазные капли могут включать изотоническое вещество (например, хлорид натрия, концентрированный глицерин), буферный агент (например, фосфат натрия, ацетат натрия), поверхностно-активное вещество (например, Полисольват 80 (торговое наименование), полиоксилстеарат 40, отвержденное полиоксиэтиленом касторовое масло), стабилизатор (цитрат натрия, эдетат натрия), консервант (например, бензалконийхлорид, парабен) и т.д., которые можно правильно выбрать, как необходимо для конкретного случая. Глазные капли стерилизуют на конечной стадии или получают способом, осуществляемым в асептических условиях. Альтернативно, асептическое твердое вещество, такое как лиофилизированный продукт, который был предварительно получен, можно сделать асептическим или растворить в асептической дистиллированной воде для инъекций или другом растворителе перед применением.
Средство для ингаляции для парентерального введения может быть в форме аэрозоля порошка для ингаляции или жидкости для ингаляции. Жидкость для ингаляции можно растворять или суспендировать в воде или другой подходящей среде при применении. Такие средства для ингаляции получают известным способом. Например, жидкость для ингаляции получают из веществ, подходящим образом выбранных из консервантов (например, бензалконийхлорид, парабен), красителей, буферных веществ (например, фосфат натрия, ацетат натрия), изотонических веществ (например, хлорид натрия, концентрированный глицерин), загустителей (например, карбоксивиниловый полимер), ускорителей абсорбции и т.д., как это необходимо.
Порошок для ингаляции получают из веществ, подходящим образом выбранных из агентов скольжения (например, стеариновая кислота и ее соль), связующих (например, крахмал, декстрин), носителей (например, лактоза, целлюлоза), красителей, консервантов (например, бензалконийхлорид, парабен), ускорителей абсорбции и т.д., если это необходимо.
Для введения жидкости для ингаляции обычно используют спреевое устройство (например, распылитель, разбрызгиватель). Для введения порошка для ингаляции обычно используют ингалятор для порошка.
Другие примеры композиций для перорального введения включают сублингвальные лекарственные средства для сублингвального введения, суппозитории для ректального введения и пессарии для вагинального введения, которые получают путем обычного формулирования композиции, включающей одно или несколько активных веществ.
Соединение формулы (I) по настоящему изобретению можно вводить в виде объединенного препарата при сочетании с другими фармацевтическими средствами в целях:
1) дополнения и/или усиления профилактического и/или лечебного действия соединения,
2) улучшения фармакокинетических свойств и абсорбции и снижения дозы соединения
и/или
3) уменьшения побочных эффектов соединения.
Комбинированный препарат, включающий соединение формулы (I) по настоящему изобретению и другие фармацевтические средства, можно вводить в форме компаундированного средства, где оба компонента объединены в один препарат, или он может быть в форме, обеспечивающей введение в виде отдельных препаратов. Введение в виде отдельных препаратов включает одновременное введение и введение с разницей во времени. В случае введения с разницей во времени можно сначала ввести соединение формулы (I) по настоящему изобретению с последующим введением другого фармацевтического средства, или сначала можно ввести другое фармацевтическое средство с последующим введением соединения формулы (I) по настоящему изобретению. Способы для каждого введения могут быть одинаковыми или отличными друг от друга.
Комбинированный препарат, включающий другие фармацевтические средства, которые дополняют и/или усиливают профилактическое и/или лечебное действие соединения по настоящему изобретению, не ограничивается средствами, указанными в качестве примера в настоящем изобретении. Также комбинированный препарат, включающий другие фармацевтические средства, которые дополняют и/или усиливают профилактическое и/или лечебное действие соединения по настоящему изобретению, включает не только такой препарат, который был обнаружен к настоящему времени, но также и такой препарат, который будет обнаружен в будущем на основании описанного выше механизма.
Заболевания, в отношении которых описанные выше комбинированные лекарственные средства обладают профилактическим и/или терапевтическим эффектом, конкретно не ограничены. А именно, это могут быть заболевания, в отношении которых профилактическое и/или терапевтическое действие соединений по настоящему изобретению, представленных формулой (I), может быть дополнено и/или усилено. Например, можно указать другие иммуносупрессанты, антибиотики и т.д. в качестве лекарственных средств, подходящих для использования для дополнения и/или усиления профилактического и/или лечебного действия при отторжении при трансплантации, где применим агонист EDG-6. В качестве лекарственных средств, которые можно использовать для профилактики и/или лечения аутоиммунных заболеваний, можно указать стероиды, нестероидные противовоспалительные лекарственные средства (NSAID), модифицирующие заболевание противоревматические средства (DMARD, противоревматические лекарственные средства медленного действия), другие иммуносупрессанты, Т-клеточные ингибиторы, противовоспалительные ферментные препараты, защитные средства для суставов, простагландины, ингибиторы простагландинсинтазы, ингибиторы IL-1, ингибиторы IL-6 (включая белковые препараты, такие как антитело против рецептора IL-6), ингибиторы TN- (включая белковые препараты, такие как анти-TNF- антитело), агонисты интерферона , ингибиторы фосфодиэстеразы, ингибиторы металлопротеиназы и т.п. В сочетании с ними можно использовать агонисты EDG-6. Что касается лекарственных средств, которые можно использовать для дополнения и/или усиления профилактического и/или лечебного действия в отношении аллергических заболеваний, примеры лекарственных средств, которые можно использовать для дополнения и/или усиления профилактического и/или лечебного действия на атопический дерматит, включают иммуносупрессанты, стероиды, нестероидные противовоспалительные лекарственные средства, простагландины, противоаллергические средства, ингибиторы высвобождения медиатора, антигистаминные средства, препараты форсколина, ингибиторы фосфодиэстеразы, стимуляторы рецептора каннабиноида-2 и т.п.
Примеры иммуносупрессантов включают азатиоприн (торговое наименование: IMULAN AZANIN), мизорибин (торговое наименование: BREDININ), метотрексат (торговое наименование: МЕТОТРЕКСАТ, RHEUMATREX), микофенолят мофетил (торговое наименование: CELLCEPT), циклофосфамид (торговое наименование: ENDОXАN P), циклоспорин A (торговое наименование: NEORAL, SANDIMMUN), такролимус (FK506, торговое наименование: PROGRAF), сиролимус (RAPAMYCIN), эверолимус (торговое наименование: CERTICAN), преднизолон (торговое наименование: PREDONIN), метилпреднизолон (торговое наименование: MEDROL), ортоклон OKT3 (торговое наименование: MUROMONAB CD3), глобулин против лимфоцитов человека (ALG, торговое наименование: ALBULIN), дезоксиспергуалин (DSG, гусперимус гидрохлорид, торговое наименование: SPANIDIN) и т.п.
Примеры антибиотиков включают цефуроксим натрий, меропенем тригидрат, нетилмицин сульфат, сизомицин сульфат, цефтибутен, PA-1806, IB-367, тобрамицин, PA-1420, доксорубицин, астромицин сульфат или цефетамед пивоксил гидрохлорид и т.д.
Примеры антибиотиков в качестве средств для ингаляции включают PA-1806, IB-367, тобрамицин, PA-1420, доксорубицин, астромицин сульфат или цефетамед пивоксил гидрохлорид и т.д.
Что касается стероидов, в случае препаратов для наружного применения, примеры включают клобетазол пропионат, дифлоразон диацетат, флуоцинонид, мометазон фуранкарбоксилат, бетаметазон дипропионат, бетаметазон бутират пропионат, бетаметазон валерат, дифлупреднат, будезонид, дифлукортолон валерат, амцинонид, галцинонид, дексаметазон, дексаметазон пропианат, дексаметазон валерат, дексаметазон ацетат, гидрокортизон ацетат, гидрокортизон бутират, гидрокортизон бутират пропионат, депродон пропионат, преднизолон валерат ацетат, флуоцинолон ацетонид, беклометазон пропионат, триамцинолон ацетонид, флуметазон пивалат, алклометазон дипропионат, клобетазон бутират, преднизолон, беклометазон дипропионат, флудроксикортид и т.п. Примеры лекарственных средств для внутреннего применения и инъекций включают кортизон ацетат, гидрокортизон, гидрокортизон натрий фосфат, гидрокортизон натрий сукцинат, флудрокортизон ацетат, преднизолон, преднизолон ацетат, преднизолон натрий сукцинат, преднизолон бутилацетат, преднизолон натрий фосфат, галопредон ацетат, метилпреднизолон, метилпреднизолон ацетат, метилпреднизолон натрий сукцинат, триамцинолон, триамцинолон диацетат, триамцинолон ацетонид, дексаметазон, дексаметазон ацетат, дексаметазон натрий фосфат, дексаметазон пальмитат, параметазон ацетат, бетаметазон и т.п. Примеры средств для ингаляции включают беклометазон дипропионат, флутиказон пропионат, будезонид, флунизолид, триамцинолон, ST-126P, циклезонид, дексаметазон пальмитат, мометазон фуроат, натрия прастерон сульфат, дефлазакорт, метилпреднизолон сулептанат, метилпреднизолон натрий сукцинат и т.п.
Примеры модифицирующих заболевание противоревматических лекарственных средств (DMARD, противоревматические лекарственные средства медленного действия) включают, например, золото тиоглюкозу, ауротиомалат натрий, ауранофин, актарит, препараты D-пеницилламина, лобензарит динатрий, буцилламин, гидроксихлорохин, салазосульфапиридин, метотрексат и лефлуномид и т.д.
Примеры противовоспалительных ферментных препаратов включают, например, лизозим хлорид, бромелаин, проназу, серрапептазу или стрептокиназу-стрептодорназу и т.д.
Примеры средств для защиты хрящей включают, например, гиалуронат натрия, глюкозамин, хондроитин сульфат и глюкозаминогликан полисульфат и т.д.
Примеры простагландинов (далее указаны как “PG”) включают агонисты PG рецептора и антагонисты PG рецептора и т.д. Примеры PG рецептора включают рецептор PGE (EP1, EP2, EP3, EP4), рецептор PGD (DP, CRTH2), рецептор PGF (FP), рецептор PGI (IP) или рецептор TX (TP) и т.д.
Примеры ингибитора простагландинсинтазы включают, например, салазосульфaпиридин, мезалазин, олсалазин, 4-аминосалициловую кислоту, JTE-522, ауранофин, карпрофен, дифенпирамид, флуноксапрофен, флурбипрофен, индометацин, кетопрофен, лорноксикам, локсопрофен, мелоксикам, оксапрозин, парсалмид, пипроксен, пироксикам, пироксикам бетадекс, пироксикам циннамат, тропин индометацинат, залтопрофен и пранопрофен и т.д.
Примеры ингибитора IL-1 (включая белковый препарат, такой как антагонист рецептора IL-1 человека) включают, например, анакинра и т.д.
Примеры ингибитора IL-6 (включая белковый препарат, такой как антитело против IL-6 рецептора) включают, например, MRA и т.д.
Примеры ингибиторов TNF- (включая белковый препарат, такой как анти-TNF- антитело) включают, например, инфликсимаб, адалимумаб, этанерсепт и т.д.
Примеры ингибитора фосфодиэстеразы включают, например, ролипрам, циломиласт (торговое наименование: Ariflo), Bay 19-8004, NIK-616, рофлумиласт (BY-217), ципамфиллин (BGL-61063), атизолам (CP-80633), SCH-351591, YM-976, V-11294A, PD-168787, D-4386, IC-485 или ONO-6126 в качестве ингибитора PDE-4 и т.д.
Токсичность
Соединения по настоящему изобретению обладают низкой токсичностью, и поэтому они считаются достаточно безопасными для использования в качестве лекарственных средств.
Эффект настоящего изобретения
Соединения, обладающие способностью к связыванию с рецептором S1P (в частности, EDG-6, предпочтительно EDG-1 и EDG-6), являются полезными в качестве иммуносупрессантов.
Соединения по настоящему изобретению, представленные формулой (I), их соли, их сольваты или их пролекарства являются соединениями, обладающими способностью к связыванию с EDG-6, и демонстрируют длительное фармакологическое действие. Поэтому они являются полезными в качестве профилактических и/или лекарственных средств для млекопитающих, в частности человека, для лечения отторжения при трансплантации, отторжения трансплантированного органа, болезни трансплантат против хозяина, аутоиммунных заболеваний (системная красная волчанка, ревматоидный артрит, миастения gravis и т.п.), аллергических заболеваний (атопический дерматит, астма и т.п.), воспаления, инфекции, язвы, лимфомы, злокачественной опухоли, лейкоза, артериосклероза, заболеваний, связанных с инфильтрацией лимфоцитов в ткань, и т.п.
Помимо способности связываться с EDG-6 некоторые соединения по настоящему изобретению обладают агонистической активностью в отношении EDG-1 и поэтому демонстрируют иммуносупрессорное действие и длительное фармакологическое действие. Благодаря таким характеристикам они более полезны в качестве профилактических и/или лекарственных средств для отторжения при трансплантации, болезни трансплантат против хозяина, аутоиммунных заболеваниях, аллергических заболеваниях и т.п.
Лучший способ осуществления настоящего изобретения
Настоящее изобретение далее описывается более подробно при помощи представленных ниже примеров. Однако настоящее изобретение не следует рассматривать, как ограничивающееся этими примерами. Что касается хроматографического разделения или ТСХ, растворитель в скобках соответствует используемому элюирующему растворителю или проявляющему растворителю, и его относительное содержание выражено как объемное. Водный раствор аммиака, используемый в анализе ТСХ, представляет собой коммерчески доступный 28% водный раствор аммиака. Что касается ЯМР, растворитель в скобках соответствует растворителю для измерения. Если не указано иное, MS анализ осуществляли, используя способ ESI (ионизация электроспреем) с детекцией только катионных ионов (положит.).
Номенклатура соединений в настоящем изобретении была получена с использованием компьютеризованной системы для наименования соединений, в основном, в соответствии с номенклатурой IUPAC, такой как ACD/Name (зарегистрированное торговое наименование, изготовитель Advanced Chemistry Development Inc.) или ACD/Name Batch (зарегистрированное торговое наименование, изготовитель Advanced Chemistry Development Inc.), или в соответствии с номенклатурой системы IUPAC.
Пример 1
метил 3-[4-(3-фенилпропокси)фенил]пропаноат
К раствору метил 3-(4-гидроксифенил)пропаноата (2,50 г) и 3-фенилпропан-1-ола (2,8 мл) в тетрагидрофуране (70 мл) добавляли при комнатной температуре трифенилфосфин (5,46 г). Затем к смеси добавляли по каплям диэтилазодикарбоксилат (9,4 мл, 40% раствор в толуоле) с последующим перемешиванием при комнатной температуре в течение 2 часов. Затем реакционную смесь концентрировали и полученный остаток очищали колоночной хроматографией на силикагеле (гексан : этилацетат = 30 : 1 до 5 : 1) с получением указанного в заголовке соединения (3,02 г), имеющего следующие физические характеристики.
ТСХ: Rf 0,45 (гексан : этилацетат = 5 : 1);
1H-ЯМР (CDCl3): 2,09 (м, 2H), 2,60 (т, 2H), 2,80 (м, 2H), 2,89 (т, 2H), 3,67 (с, 3H), 3,94 (т, 2H), 6,82 (д, 2H), 7,10 (д, 2H), 7,20 (м, 3H), 7,29 (м, 2H).
Пример 2
3-[4-(3-фенилпропокси)фенил]пропаналь
К раствору соединения (1,0 г), полученного в Примере 1, в безводном дихлорметане (15 мл) добавляли по каплям при -78°C диизобутилалюминийгидрид (3,5 мл; 0,95 M раствор в н-гексане) и смесь перемешивали при -78°С в течение 30 минут. К реакционной смеси добавляли по каплям метанол (0,5 мл) с последующим перемешиванием при комнатной температуре в течение 40 минут. Реакционную смесь фильтровали через Целит (торговое наименование) и фильтрат концентрировали. Затем полученный остаток очищали колоночной хроматографией на силикагеле (гексан : этилацетат = 10 : 1 до 6 : 1) с получением указанного в заголовке соединения (614 мг), имеющего следующие физические характеристики.
ТСХ: Rf 0,20 (гексан : этилацетат = 7 : 1);
1H-ЯМР (CDCl3): 2,09 (м, 2H), 2,77 (м, 4H), 2,90 (т, 2H), 3,94 (т, 2H), 6,82 (д, 2H), 7,09 (д, 2H), 7,20 (м, 3H), 7,27 (м, 2H), 9,82 (т, 1H).
Пример 3
N-{3-[4-(3-фенилпропокси)фенил]пропил}аланин:

К суспензии аланина (7,1 мг) в метаноле (0,30 мл) добавляли при комнатной температуре гидроксид натрия (3,4 мг). Затем добавляли соединение (30 мг), полученное в Примере 2, и смесь перемешивали при комнатной температуре в течение 15 минут. К реакционной смеси добавляли при 0°C борогидрид натрия (4,0 мг) и смесь перемешивали при 0°С в течение часа. Реакционную смесь очищали колоночной хроматографией на силикагеле (хлороформ : метанол : водный раствор аммиака = 80 : 20 : 4) с получением указанного в заголовке соединения (14 мг), имеющего следующие физические характеристики.
ТСХ: Rf 0,24 (хлороформ : метанол : водный раствор аммиака = 80 : 20 : 4);
1H-ЯМР (ДМСО-d6): 1,23 (д, 3H), 1,81 (м, 2H), 1,98 (м, 2H), 2,53 (м, 2H), 2,72 (м, 4H), 3,14 (кв, 1H), 3,91 (т, 2H), 6,83 (д, 2H), 7,09 (д, 2H), 7,23 (м, 5H).
Примеры 3(1)-3(38)
Осуществляли процедуру, аналогичную процедуре Примера 3, за исключением того, что использовали соответствующее аминовое соединение в качестве заместителя для аланина, используя при этом соединение, полученное в Примере 2, или соответствующее альдегидное соединение в качестве его заместителя с последующим преобразованием в соответствующую соль известным способом, если это необходимо. Таким образом, были получены следующие соединения.
Пример 3(1)
N-{3-[4-(3-фенилпропокси)фенил]пропил}глицин:
ТСХ: Rf 0,52 (этилацетат : уксусная кислота : вода = 3 : 1 : 1);
1H-ЯМР (CD3OD): 2,03 (м, 4H), 2,64 (т, 2H), 2,78 (м, 2H), 2,96 (м, 2H), 3,45 (с, 2H), 3,92 (т, 2H), 6,83 (д, 2H), 7,18 (м, 7H).
Пример 3(2)
4-({3-[4-(3-фенилпропокси)фенил]пропил}амино)бутановая кислота:
ТСХ: Rf 0,25 (хлороформ : метанол : водный раствор аммиака = 80 : 20 : 4);
1H-ЯМР (CD3OD): 1,83 (м, 2H), 1,94 (м, 2H), 2,04 (м, 2H), 2,37 (м, 2H), 2,65 (т, 2H), 2,78 (м, 2H), 2,93 (м, 2H), 3,00 (м, 2H), 3,92 (т, 2H), 6,83 (д, 2H), 7,19 (м, 7H).
Пример 3(3)
5-({3-[4-(3-фенилпропокси)фенил]пропил}амино)пентановая кислота:
ТСХ: Rf 0,28 (хлороформ : метанол : водный раствор аммиака = 80 : 20 : 4);
1H-ЯМР (CD3OD): 1,66 (м, 4H), 2,03 (м, 4H), 2,21 (т, 2H), 2,65 (т, 2H), 2,78 (м, 2H), 2,94 (м, 4H), 3,92 (т, 2H), 6,83 (д, 2H), 7,18 (м, 7H).
Пример 3(4)
2-метил-N-{3-[4-(3-фенилпропокси)фенил]пропил}аланин:
ТСХ: Rf 0,36 (хлороформ : метанол : водный раствор аммиака = 80 : 20 : 4);
1H-ЯМР (CDCl3: CD3OD = 5 : 1): 1,34 (с, 6H), 1,89 (м, 2H), 2,03 (м, 2H), 2,57 (м, 2H), 2,73 (м, 4H), 3,87 (т, 2H), 6,76 (д, 2H), 7,01 (д, 2H), 7,13 (м, 3H), 7,20 (м, 2H).
Пример 3(5)
N-{3-[4-(3-фенилпропокси)фенил]пропил}валин:
ТСХ: Rf 0,42 (хлороформ : метанол : водный раствор аммиака = 80 : 20 : 4);
1H-ЯМР (CDCl3: CD3OD = 5 : 1): 0,94 (м, 6H), 1,89 (м, 2H), 2,01 (м, 2H), 2,12 (м, 1H), 2,54 (м, 2H), 2,72 (м, 4H), 3,13 (д, 1H), 3,86 (т, 2H), 6,75 (д, 2H), 6 ,99 (д, 2H), 7,12 (м, 3H), 7,20 (м, 2H).
Пример 3(6)
N-{3-[4-(3-фенилпропокси)фенил]пропил}фенилаланин:
ТСХ: Rf 0,41 (хлороформ : метанол : водный раствор аммиака = 80 : 20 : 4);
1H-ЯМР (CDCl3: CD3OD = 5 : 1): 1,72 (м, 2H), 2,02 (м, 2H), 2,41 (м, 2H), 2,62 (м, 4H), 2,87 (м, 1H), 3,20 (м, 1H), 3,46 (м, 1H), 3,88 (м, 2H), 6,71 (д, 2H), 6,89 (д, 2H) 7,16 (м, 10H).
Пример 3(7)
N-{3-[4-(3-фенилпропокси)фенил]пропил}серин:
ТСХ: Rf 0,12 (хлороформ : метанол : водный раствор аммиака = 80 : 20 : 4);
1H-ЯМР (CDCl3: CD3OD = 5 : 1): 2,10 (м, 4H), 2,67 (м, 2H), 2,81 (т, 2H), 3,01 (м, 2H), 3,44 (т, 1H), 3,93 (м, 4H), 6,84 (д, 2H), 7,10 (д, 2H), 7,22 (м, 3H), 7,29 (м, 2H).
Пример 3(8)
N-{3-[4-(3-фенилпропокси)фенил]пропил}гомосерин:
ТСХ: Rf 0,18 (хлороформ : метанол : водный раствор аммиака = 80 : 20 : 4);
1H-ЯМР (CDCl3: CD3OD = 5 : 1): 1,99 (м, 6H), 2,57 (т, 2H), 2,73 (м, 2H), 2,91 (м, 2H), 3,43 (м, 1H), 3,72 (м, 2H), 3,87 (т, 2H), 6,76 (д, 2H), 7,01 (д, 2H), 7,12 (м, 3H), 7,20 (м, 2H).
Пример 3(9)
2-гидрокси-3-({3-[4-(3-фенилпропокси)фенил]пропил}-амино)пропановая кислота:
ТСХ: Rf 0,12 (хлороформ : метанол : водный раствор аммиака = 80 : 20 : 4);
1H-ЯМР (CDCl3: CD3OD = 5 : 1): 2,06 (м, 4H), 2,65 (т, 2H), 2,81 (м, 2H), 2,97 (м, 3H), 3,25 (м, 1H), 3,97 (м, 2H), 4,03 (т, 1H), 6,84 (д, 2H), 7,09 (д, 2H), 7,22 (м, 3H), 7,29 (м, 2H).
Пример 3(10)
2-метил-N-{3-[4-(3-фенилпропокси)фенил]пропил}серин:
ТСХ: Rf 0,22 (хлороформ : метанол : водный раствор аммиака = 80 : 20 : 4);
1H-ЯМР (CDCl3: CD3OD = 5 : 1): 1,34 (с, 3H), 2,07 (м, 4H), 2,67 (т, 2H), 2,81 (м, 2H), 2,92 (м, 2H), 3,54 (д, 1H), 3,94 (м, 3H), 6,84 (д, 2H), 7,10 (д, 2H), 7,21 (м, 3H), 7,29 (м, 2H).
Пример 3(11)
N-{[6-(3-фенилпропокси)-2-нафтил]метил}глицин:
ТСХ: Rf 0,13 (хлороформ : метанол : водный раствор аммиака = 80 : 20 : 4);
1H-ЯМР (CDCl3: CD3OD = 5 : 1): 2,19 (м, 2H), 2,87 (т, 2H), 3,43 (с, 2H), 4,10 (т, 2H), 4,22 (с, 2H), 7,12 (д, 1H), 7,27 (м, 6H), 7,44 (дд, 1H), 7,77 (д, 2H), 7,82 (д, 1H).
Пример 3(12)
4-({[6-(3-фенилпропокси)-2-нафтил]метил}амино)бутановая кислота:
ТСХ: Rf 0,17 (хлороформ : метанол : водный раствор аммиака = 80 : 20 : 4);
1H-ЯМР (CDCl3: CD3OD = 5 : 1): 1,84 (м, 2H), 2,18 (м, 2H), 2,44 (м, 2H), 2,86 (м, 2H), 2,97 (м, 2H), 4,09 (т, 2H), 4,13 (с, 2H), 7,11 (д, 1H), 7,27 (м, 6H), 7,43 (дд, 1H), 7,76 (м, 3H).
Пример 3(13)
2-гидрокси-3-({[6-(3-фенилпропокси)-2-нафтил]метил}амино)-пропановая кислота:
ТСХ: Rf 0,11 (хлороформ : метанол : водный раствор аммиака = 80 : 20 : 4);
1H-ЯМР (CDCl3: CD3OD = 5 : 1): 2,19 (м, 2H), 2,87 (м, 2H), 3,11 (дд, 1H), 3,20 (дд, 1H), 4,09 (м, 3H), 4,23 (д, 1H), 4,29 (д, 1H), 7,12 (д, 1H), 7,27 (м, 6H), 7,44 (дд, 1H), 7,77 (д, 2H), 7,82 (с, 1H).
Пример 3(14)
N-{(2E)-3-[4-(3-фенилпропокси)фенил]проп-2-енил}- -аланин:
ТСХ: Rf 0,13 (хлороформ : метанол : водный раствор аммиака = 80 : 20 : 4);
1H-ЯМР (CD3OD): 2,07 (м, 2H), 2,49 (т, 2H), 2,79 (т, 2H), 3,16 (т, 2H), 3,76 (дд, 2H), 3,96 (т, 2H), 6,12 (дт, 1H), 6,78 (д, 1H), 6,88 (д, 2H), 7,20 (м, 5H), 7,39 (д, 2H).
Пример 3(15)
1-{3-[4-(3-фенилпропокси)фенил]пропил}азетидин-3-карбоновая кислота, ацетат:
ТСХ: Rf 0,44 (этилацетат : уксусная кислота : вода = 3 : 1 : 1);
1H-ЯМР (CD3OD): 1,71-1,92 (м, 2H), 1,98 (с, 3H), 1,99-2,12 (м, 2H), 2,61 (т, 2H), 2,78 (т, 2H), 3,09-3,20 (м, 2H), 3,32-3,46 (м, 1H), 3,92 (т, 2H), 4,09-4,26 (м, 4H), 6,79-6,88 (м, 2H), 7,07-7,13 (м, 2H), 7,14-7,29 (м, 5H).
Пример 3(16)
1-{3-[4-(3-фенилпропокси)фенил]пропил}пролин:
ТСХ: Rf 0,46 (этилацетат : уксусная кислота : вода = 3 : 1 : 1);
1H-ЯМР (CD3OD): 1,82-2,19 (м, 7H), 2,32-2,48 (м, 1H), 2,64 (т, 2H), 2,78 (т, 2H), 2,96-3,16 (м, 2H), 3,15-3,29 (м, 1H), 3,61-3,77 (м, 1H), 3,80 (дд, 1H), 3,91 (т, 2H), 6,76-6,90 (м, 2H), 7,07-7,13 (м, 2H), 7,14-7,35 (м, 5H).
Пример 3(17)
1-{3-[4-(3-фенилпропокси)фенил]пропил}пирролидин-3-карбоновая кислота:
ТСХ: Rf 0,46 (этилацетат : уксусная кислота : вода = 3 : 1 : 1);
1H-ЯМР (CD3OD): 1,92-2,12 (м, 4H), 2,13-2,38 (м, 2H), 2,64 (т, 2H), 2,78 (т, 2H), 2,98-3,09 (м, 1H), 3,10-3,20 (м, 2H), 3,22-3,47 (м, 3H), 3,52-3,65 (м, 1H), 3,92 (т, 2H), 6,84 (д, 2H), 7,12 (д, 2H), 7,16-7,33 (м, 5H).
Пример 3(18):
1-{3-[4-(3-фенилпропокси)фенил]пропил}пиперидин-2-карбоновая кислота:
ТСХ: Rf 0,51 (этилацетат : уксусная кислота : вода = 3 : 1 : 1);
1H-ЯМР (CD3OD): 1,44-1,64 (м, 1H), 1,65-1,91 (м, 4H), 1,97-2,12 (м, 4H), 2,12-2,27 (м, 1H), 2,49-2,70 (м, 2H), 2,78 (т, 2H), 2,83-3,06 (м, 2H), 3,16-3,29 (м, 1H), 3,34-3,47 (м, 1H), 3,47-3,62 (м, 1H), 3,92 (т, 2H), 6,77-6,87 (м, 2H), 7,08-7,14 (м, 2H), 7,14-7,31 (м, 5H).
Пример 3(19)
1-{3-[4-(3-фенилпропокси)фенил]пропил}пиперидин-3-карбоновая кислота:
ТСХ: Rf 0,44 (этилацетат : уксусная кислота : вода = 3 : 1 : 1);
1H-ЯМР (CD3OD): 1,66-1,99 (м, 4H), 1,99-2,15 (м, 4H), 2,57-2,71 (м, 3H), 2,78 (т, 2H), 2,88-3,39 (м, 6H), 3,92 (т, 2H), 6,77-6,89 (м, 2H), 7,10-7,17 (м, 2H), 7,16-7,31 (м, 5H).
Пример 3(20)
1-{3-[4-(3-фенилпропокси)фенил]пропил}пиперидин-4-карбоновая кислота:
ТСХ: Rf 0,51 (этилацетат : уксусная кислота : вода = 3 : 1 : 1);
1H-ЯМР (CD3OD): 1,78-2,15 (м, 8H), 2,31-2,47 (м, 1H), 2,63 (т, 2H), 2,78 (т, 2H), 2,88-3,08 (м, 4H), 3,34-3,50 (м, 2H), 3,92 (т, 2H), 6,79-6,88 (м, 2H), 7,09-7,15 (м, 2H), 7,14-7,31 (м, 5H).
Пример 3(21)
N-{[6-(3-фенилпропокси)-2-нафтил]метил}- -аланин:
ТСХ: Rf 0,13 (хлороформ : метанол : водный раствор аммиака = 80 : 20 : 4);
1H-ЯМР (CDCl3): 2,14-2,24 (м, 2H), 2,47 (т, 2H), 2,87 (т, 2H), 3,09 (т, 2H), 4,10 (т, 2H), 4,23 (с, 2H), 7,12 (д, 1H), 7,18-7,33 (м, 6H), 7,43 (дд, 1H), 7,75-7,82 (м, 3H).
Пример 3(22)
N-{[6-(3-фенилпропокси)-2-нафтил]метил}- -аланин гидрохлорид:
ТСХ: Rf 0,13 (хлороформ : метанол : водный раствор аммиака = 80 : 20 : 4);
1H-ЯМР (CD3OD): 2,09-2,19 (м, 2H), 2,76 (т, 2H), 2,84 (т, 2H), 3,30-3,34 (м, 2H), 4,09 (т, 2H), 4,36 (с, 2H), 7,13-7,29 (м, 7H), 7,50 (дд, 1H), 7,79-7,86 (м, 2H), 7,91 (с, 1H).
Пример 3(23)
гидрохлорид 1-{[6-(3-фенилпропокси)-2-нафтил]метил}-азетидин-3-карбоновой кислоты:
ТСХ: Rf 0,20 (хлороформ : метанол : водный раствор аммиака = 80 : 20 : 4);
1H-ЯМР (CD3OD): 2,09-2,19 (м, 2H), 2,84 (т, 2H), 3,64-3,76 (м, 1H), 4,09 (т, 2H), 4,28-4,38 (м, 4H), 4,52 (с, 2H), 7,13-7,29 (м, 7H), 7,45 (дд, 1H), 7,81-7,85 (м, 2H), 7,90 (с, 1H).
Пример 3(24)
гидрохлорид 1-{[6-(3-фенилпропокси)-2-нафтил]метил}-пиперидин-4-карбоновой кислоты:
ТСХ: Rf 0,21 (хлороформ : метанол : водный раствор аммиака = 80 : 20 : 4);
1H-ЯМР (CD3OD): 1,75-1,93 (м, 2H), 2,09-2,27 (м, 4H), 2,56-2,65 (м, 1H), 2,84 (т, 2H), 3,03-3,14 (м, 2H), 3,53-3,61 (м, 2H), 4,10 (т, 2H), 4,43 (с, 2H), 7,13-7,29 (м, 7H), 7,50 (дд, 1H), 7,81-7,87 (м, 2H), 7,93 (с, 1H).
Пример 3(25)
N-{(2E)-3-[2-метил-4-(3-фенилпропокси)фенил]проп-2-енил}- -аланин гидрохлорид:
ТСХ: Rf 0,21 (хлороформ : метанол : водный раствор аммиака = 80 : 20 : 4);
1H-ЯМР (CD3OD): 1,99-2,12 (м, 2H), 2,34 (с, 3H), 2,74-2,81 (м, 4H), 3,27-3,31 (м, 2H), 3,83 (д, 2H), 3,95 (т, 2H), 6,02 (дт, 1H), 6,71-6,76 (м, 2H), 7,07 (д, 1H), 7,12-7,29 (м, 5H), 7,44 (д, 1H).
Пример 3(26)
N-((2E)-3-{2-метил-4-[(5-фенилпентил)окси]фенил}проп-2-енил)- -аланин гидрохлорид:
ТСХ: Rf 0,21 (хлороформ : метанол : водный раствор аммиака = 80 : 20 : 4);
1H-ЯМР (CD3OD): 1,44-1,55 (м, 2H), 1,61-1,84 (м, 4H), 2,34 (с, 3H), 2,63 (т, 2H), 2,76 (т, 2H), 3,25-3,30 (м, 2H), 3,82 (д, 2H), 3,95 (т, 2H), 6,02 (дт, 1H), 6,70-6,74 (м, 2H), 7,06 (д, 1H), 7,10-7,26 (м, 5H), 7,43 (д, 1H).
Пример 3(27)
гидрохлорид 1-{(2E)-3-[4-(3-фенилпропокси)фенил]-2-пропенил}пиперидин-4-карбоновой кислоты:
ТСХ: Rf 0,20 (хлороформ : метанол : водный раствор аммиака = 80 : 20 : 4);
1H-ЯМР (CD3OD): 1,81-2,16 (м, 6H), 2,36-2,48 (м, 1H), 2,79 (т, 2H), 2,90-3,07 (м, 2H), 3,38-3,51 (м, 2H), 3,78 (д, 2H), 3,97 (т, 2H), 6,07-6,18 (м, 1H), 6,80 (д, 1H), 6,89 (д, 2H), 7,11-7,29 (м, 5H), 7,41 (д, 2H).
Пример 3(28)
гидрохлорид 1-{(2E)-3-[4-(3-фенилпропокси)фенил]-2-пропенил}азетидин-3-карбоновой кислоты:
ТСХ: Rf 0,10 (хлороформ : метанол : водный раствор аммиака = 80 : 20 : 4);
1H-ЯМР (CD3OD): 2,01-2,12 (м, 2H), 2,79 (т, 2H), 3,63-3,71 (м, 1H), 3,92-3,99 (м, 4H), 4,23-4,40 (м, 4H), 5,97-6,09 (м, 1H), 6,81-6,92 (м, 3H), 7,11-7,28 (м, 5H), 7,40 (д, 2H).
Пример 3(29)
N-((2E)-3-{4-[(5-фенилпентил)окси]фенил}-2-пропенил)- -аланин гидрохлорид:
ТСХ: Rf 0,20 (хлороформ : метанол : водный раствор аммиака = 80 : 20 : 4);
1H-ЯМР (CD3OD): 1,41-1,57 (м, 2H), 1,61-1,74 (м, 2H), 1,74-1,85 (м, 2H), 2,63 (т, 2H), 2,76 (т, 2H), 3,25-3,33 (м, 2H), 3,80 (д, 2H), 3,97 (т, 2H), 6,11 (дт, 1H), 6,81 (д, 1H), 6,88 (д, 2H), 7,08-7,30 (м, 5H), 7,39 (д, 2H).
Пример 3(30)
N-({6-[(5-фенилпентил)окси]-2-нафтил}метил)- -аланин гидрохлорид:
ТСХ: Rf 0,17 (хлороформ : метанол : водный раствор аммиака = 80 : 20 : 4);
1H-ЯМР (CD3OD): 1,48-1,63 (м, 2H), 1,64-1,79 (м, 2H), 1,80-1,94 (м, 2H), 2,65 (т, 2H), 2,76 (т, 2H), 3,18-3,42 (м, 2H), 4,10 (т, 2H), 4,35 (с, 2H), 7,07-7,29 (м, 7H), 7,50 (дд, 1H), 7,80 (д, 1H), 7,85 (д, 1H), 7,88-7,93 (м, 1H).
Пример 3(31)
гидрохлорид 1-({6-[(5-фенилпентил)окси]-2-нафтил}метил)-азетидин-3-карбоновой кислоты:
ТСХ: Rf 0,14 (хлороформ : метанол : водный раствор аммиака = 80 : 20 : 4);
1H-ЯМР (CD3OD): 1,46-1,64 (м, 2H), 1,64-1,79 (м, 2H), 1,79-1,95 (м, 2H), 2,65 (т, 2H), 3,58-3,76 (м, 1H), 4,09 (т, 2H), 4,26-4,39 (м, 4H), 4,51 (с, 2H), 7,06-7,29 (м, 7H), 7,45 (дд, 1H), 7,81 (д, 1H), 7,85 (д, 1H), 7,88-7,92 (м, 1H).
Пример 3(32)
гидрохлорид 1-({6-[(5-фенилпентил)окси]-2-нафтил}метил)пиперидин-4-карбоновой кислоты:
ТСХ: Rf 0,16 (хлороформ : метанол : водный раствор аммиака = 80 : 20 : 4);
1H-ЯМР (CD3OD): 1,46-1,64 (м, 2H), 1,63-1,79 (м, 2H), 1,79-1,97 (м, 4H), 2,10-2,32 (м, 2H), 2,55-2,74 (м, 1H), 2,65 (т, 2H), 2,98-3,23 (м, 2H), 3,45-3,65 (м, 2H), 4,10 (т, 2H), 4,43 (с, 2H), 7,07-7,30 (м, 7H), 7,50 (дд, 1H), 7,82 (д, 1H), 7,87 (д, 1H), 7,90-7,97 (м, 1H).
Пример 3(33)
N-{[6-(4-фенилбутокси)-2-нафтил]метил}- -аланин гидрохлорид:
ТСХ: Rf 0,17 (хлороформ : метанол : водный раствор аммиака = 80 : 20 : 4);
1H-ЯМР (CD3OD): 1,78-1,95 (м, 4H), 2,64-2,79 (м, 4H), 3,23-3,36 (м, 2H), 4,07-4,16 (м, 2H), 4,35 (с, 2H), 7,09-7,31 (м, 7H), 7,50 (дд, 1H), 7,80 (д, 1H), 7,85 (д, 1H), 7,87-7,92 (м, 1H).
Пример 3(34)
гидрохлорид 1-{[6-(4-фенилбутокси)-2-нафтил]метил}-азетидин-3-карбоновой кислоты:
ТСХ: Rf 0,13 (хлороформ : метанол : водный раствор аммиака = 80 : 20 : 4);
1H-ЯМР (CD3OD): 1,79-1,94 (м, 4H), 2,64-2,77 (м, 2H), 3,65- 3,77 (м, 1H), 4,06-4,17 (м, 2H), 4,22-4,42 (м, 4H), 4,52 (с, 2H), 7,08-7,30 (м, 7H), 7,46 (дд, 1H), 7,83 (т, 2H), 7,88-7,94 (м, 1H).
Пример 3(35)
гидрохлорид 1-{[6-(4-фенилбутокси)-2-нафтил]метил}-пиперидин-4-карбоновой кислоты:
ТСХ: Rf 0,14 (хлороформ : метанол : водный раствор аммиака = 80 : 20 : 4).
Пример 3(36)
N-({6-[3-(4-хлорфенил)пропокси]-2-нафтил}метил)- -аланин гидрохлорид:
ТСХ: Rf 0,14 (хлороформ : метанол : водный раствор аммиака = 80 : 20 : 4);
1H-ЯМР (CD3OD): 2,03-2,24 (м, 2H), 2,76 (т, 2H), 2,84 (т, 2H), 3,25-3,36 (м, 2H), 4,09 (т, 2H), 4,36 (с, 2H), 7,16-7,30 (м, 6H), 7,50 (дд, 1H), 7,83 (т, 2H), 7,88-7,94 (м, 1H).
Пример 3(37)
гидрохлорид 1-({6-[3-(4-хлорфенил)пропокси]-2-нафтил}-метил)азетидин-3-карбоновой кислоты:
ТСХ: Rf 0,11 (хлороформ : метанол : водный раствор аммиака = 80 : 20 : 4);
1H-ЯМР (CD3OD): 2,05-2,21 (м, 2H), 2,84 (т, 2H), 3,60-3,79 (м, 1H), 4,09 (т, 2H), 4,24-4,40 (м, 4H), 4,52 (с, 2H), 7,17-7,31 (м, 6H), 7,46 (дд, 1H), 7,79-7,87 (м, 2H), 7,88-7,94 (м, 1H).
Пример 3(38)
гидрохлорид 1-({6-[3-(4-хлорфенил)пропокси]-2-нафтил}-метил)пиперидин-4-карбоновой кислоты:
ТСХ: Rf 0,15 (хлороформ : метанол : водный раствор аммиака = 80 : 20 : 4);
1H-ЯМР (CD3OD): 1,72-1,97 (м, 2H), 2,03-2,32 (м, 4H), 2,52-2,71 (м, 1H), 2,83 (т, 2H), 2,95-3,20 (м, 2H), 3,47-3,69 (м, 2H), 4,09 (т, 2H), 4,43 (с, 2H), 7,13-7,32 (м, 6H), 7,52 (дд, 1H), 7,76-7,90 (м, 2H), 7,90-7,99 (м, 1H).
Пример 4
трет-бутил N-[3-(4-гидроксифенил)пропил]- -аланинат
К раствору в метаноле (25 мл) 4-(3-аминопропил)фенола (1,83 г) добавляли по каплям при комнатной температуре трет-бутил акрилат (1,7 мл) с последующим перемешиванием при комнатной температуре в течение ночи. Реакционную смесь концентрировали. Остаток очищали колоночной хроматографией на силикагеле (этилацетат этилацетат : метанол = 3 : 1) с получением указанного в заголовке соединения (1,55 г), имеющего следующие физические характеристики.
ТСХ: Rf 0,24 (этилацетат : метанол = 5 : 1);
1H-ЯМР (CDCl3): 1,45 (с, 9H), 1,79 (м, 2H), 2,44 (т, 2H), 2,60 (м, 4H), 2,83 (т, 2H), 6,68 (д, 2H), 6,99 (д, 2H).
Пример 5
трет-бутил N-(трет-бутоксикарбонил)-N-[3-(4-гидроксифенил)пропил]- -аланинат
К раствору в тетрагидрофуране (30 мл) соединения, полученного в Примере 4 (1,55 г), добавляли по каплям при 0°C раствор ди-трет-бутил дикарбоната (1,15 г) в тетрагидрофуране (3 мл) с последующим перемешиванием при 0°С в течение 2 часов. Реакционную смесь концентрировали и остаток очищали колоночной хроматографией на силикагеле (гексан : этилацетат = 6 : 1 до 3 : 1) с получением указанного в заголовке соединения (1,57 г), имеющего следующие физические характеристики.
ТСХ: Rf 0,45 (гексан : этилацетат = 2 : 1);
1H-ЯМР (CDCl3): 1,43 (м, 18H), 1,79 (м, 2H), 2,51 (м, 4H), 3,22 (м, 2H), 3,42 (м, 2H), 4,92 (с, 1H), 6,75 (д, 2H), 7,03 (д, 2H).
Пример 6
трет-бутил N-(трет-бутоксикарбонил)-N-{3-[4-(3-фенилпропокси)фенил]пропил}- -аланинат
К раствору соединения, полученного в Примере 5 (3,6 г), в диметилформамиде (36 мл) добавляли при комнатной температуре карбонат калия (4,20 г) и добавляли по каплям (3 бромпропил)бензол (2,31 мл) с последующим перемешиванием при комнатной температуре в течение ночи. Реакционную смесь выливали в ледяную воду и экстрагировали смесью растворителей (гексан : этилацетат = 2 : 1, дважды). Органический слой последовательно промывали водой и насыщенным водным раствором хлорида натрия, сушили над безводным сульфатом магния и концентрировали. Остаток очищали колоночной хроматографией на силикагеле (гексан : этилацетат = 30 : 1 до 4 : 1) с получением указанного в заголовке соединения (4,44 мг), имеющего следующие физические характеристики.
ТСХ: Rf 0,18 (гексан : этилацетат = 10 : 1);
1H-ЯМР (CDCl3): 1,43 (с, 18H), 1,81 (м, 2H), 2,09 (м, 2H), 2,52 (м, 4H), 2,81 (т, 2H), 3,22 (м, 2H), 3,42 (м, 2H), 3,94 (т, 2H), 6,81 (д, 2H), 7,08 (д, 2H), 7,21 (м, 3H), 7,29 (м, 2H).
Пример 7
N-{3-[4-(3-фенилпропокси)фенил]пропил}- -аланин гидрохлорид:

К раствору соединения, полученного в Примере 6 (4,68 г), в 1,4-диоксане (9 мл) добавляли при комнатной температуре 4 н. раствор хлористого водорода в 1,4-диоксане (38 мл) с последующим перемешиванием при комнатной температуре в течение ночи. Осажденное вещество собирали фильтрованием и сушили. Таким образом, получали указанное в заголовке соединение (2,87 г), имеющее следующие физические характеристики.
ТСХ: Rf 0,31 (хлороформ : метанол : водный раствор аммиака = 80 : 20 : 4);
1H-ЯМР (CD3OD): 2,02 (м, 4H), 2,65 (т, 2H), 2,71 (т, 2H), 2,78 (т, 2H), 3,01 (м, 2H), 3,24 (т, 2H), 3,92 (т, 2H), 6,84 (д, 2H), 7,12 (д, 2H), 7,20 (м, 5H).
Примеры 8-8(3)
Осуществляли процедуры, аналогичные процедурам Примеров 6 и 7, но при этом использовали соответствующее производное в качестве заместителя для (3-бромпропил)бензола, с последующим преобразованием в соответствующую соль известным способом, если это необходимо. Таким образом, были получены следующие соединения.
Пример 8
N-(3-{4-[3-(4-метоксифенил)пропокси]фенил}пропил)- -аланин гидрохлорид:
ТСХ: Rf 0,25 (хлороформ : метанол : водный раствор аммиака = 80 : 20 : 4);
1H-ЯМР (CD3OD): 2,00 (м, 4H), 2,69 (м, 6H), 3,01 (м, 2H), 3,23 (т, 2H), 3,74 (с, 3H), 3,90 (т, 2H), 6,82 (м, 4H), 7,11 (м, 4H).
Пример 8(1)
N-(3-{4-[3-(3,4-диметоксифенил)пропокси]фенил}пропил)- -аланин ацетат:
ТСХ: Rf 0,25 (хлороформ : метанол : водный раствор аммиака = 80 : 20 : 4);
1H-ЯМР (CD3OD): 1,90 (с, 3H), 2,02 (м, 4H), 2,47 (т, 2H), 2,64 (т, 2H), 2,73 (т, 2H), 2,96 (м, 2H), 3,11 (т, 2H), 3,73 (с, 3H), 3,78 (с, 3H), 3,91 (т, 2H), 6,76 (м, 2H), 6,84 (м, 3H), 7,12 (д, 2H).
Пример 8(2)
N-(3-{4-[3-(4-хлорфенил)пропокси]фенил}пропил)- -аланин гидрохлорид:
ТСХ: Rf 0,25 (хлороформ : метанол : водный раствор аммиака = 80 : 20 : 4);
1H-ЯМР (CD3OD): 2,02 (м, 4H), 2,65 (т, 2H), 2,72 (т, 2H), 2,78 (т, 2H), 3,01 (м, 2H), 3,24 (т, 2H), 3,92 (т, 2H), 6,84 (д, 2H), 7,12 (д, 2H), 7,18 (д, 2H), 7,25 (д, 2H).
Пример 8(3)
N-(3-{4-[(7-хлорхинолин-2-ил)метокси]фенил}пропил)- -аланин гидрохлорид:
ТСХ: Rf 0,14 (хлороформ : метанол : водный раствор аммиака = 80 : 20 : 4);
1H-ЯМР (ДМСО-d6): 1,84 (м, 2H), 2,56 (т, 2H), 2,65 (т, 2H), 2,86 (м, 2H), 3,08 (м, 2H), 5,34 (с, 2H), 6,99 (д, 2H), 7,14 (д, 2H), 7,66 (дд, 1H), 7,69 (д, 1H), 8,06 (м, 2H), 8,47 (д, 1H), 8,66 (с, 2H).
Пример 9
метил N-[2-(4-гидроксифенил)этил]-N-(трифторацетил)- -аланинат
К раствору тирамина (3,0 г) в метаноле (40 мл) добавляли по каплям при комнатной температуре акрилат (0,98 мл) в метаноле (5,0 мл) с последующим перемешиванием при комнатной температуре в течение 13 часов. Затем смесь концентрировали и подвергали азеотропной перегонке с толуолом. Остаток растворяли в дихлорметане (30 мл) и добавляли при 0°C трифторуксусный ангидрид (4,6 мл) и пиридин (2,6 мл) с последующим перемешиванием при комнатной температуре в течение 2 часов. Затем к реакционной смеси добавляли хлороформ (30 мл). Органический слой последовательно промывали насыщенным водным раствором хлорида аммония, водой и 1 н. раствором хлористоводородной кислоты, сушили над безводным сульфатом магния и концентрировали. Остаток очищали колоночной хроматографией на силикагеле (хлороформ : метанол = 40 : 1) с получением указанного в заголовке соединения (1,43 мг), имеющего следующие физические характеристики.
ТСХ: Rf 0,63 (хлороформ : метанол : водный раствор аммиака = 8 : 1 : 0,1);
1H-ЯМР (ДМСО-d6): 2,63 (т, 2H), 2,77 (т, 2H), 2,90-2,96 (м, 3H), 3,55 (т, 2H), 3,59-3,68 (м, 2H), 6,71 (д, 2H), 7,01 (д, 2H), 8,83 (с, 1H).
Пример 10
метил N-(2-{4-[(3-фенилпроп-2-инил)окси]фенил}этил)-N-(трифторацетил)- -аланинат
Осуществляли процедуру, аналогичную процедуре Примера 1, за исключением того, что использовали соединение, полученное в Примере 9, в качестве заместителя для метил 3-(4-гидроксифенил)пропаноата, при этом использовали 3-фенилпроп-2-ин-1-ол в качестве заместителя для 3-фенилпропан-1-ола. Таким образом, получали указанное в заголовке соединение, имеющее следующие физические характеристики.
ТСХ: Rf 0,43 (гексан : этилацетат = 3 : 1);
1H-ЯМР (CDCl3): 2,55 (т, 1,2H), 2,68 (т, 0,8H), 2,79-2,92 (м, 2H), 3,51-3,70 (м, 4H), 3,67-3,70 (м, 3H), 4,90 (с, 2H), 6,93-7,04 (м, 2H), 7,08-7,19 (м, 2H), 7,27-7,35 (м, 3H), 7,39-7,47 (м, 2H).
Пример 11
N-(2-{4-[(3-фенилпроп-2-инил)окси]фенил}этил)- -аланин:

К раствору соединения (39 мг), полученного в Примере 10, в смеси тетрагидрофурана (1 мл) и метанола (0,5 мл) добавляли 1 н. водный раствор гидроксида натрия (0,5 мл) с последующим перемешиванием в течение 3 часов. Затем реакционную смесь концентрировали. Остаток очищали колоночной хроматографией на силикагеле (хлороформ : метанол : муравьиная кислота = 15 : 1 : 0,5) с получением указанного в заголовке соединения (18 мг), имеющего следующие физические характеристики.
ТСХ: Rf 0,26 (хлороформ : метанол : муравьиная кислота = 10 : 1 : 0,5);
1H-ЯМР (CD3OD): 2,48 (т, 2H), 2,95 (т, 2H), 3,11-3,26 (м, 4H), 4,93 (с, 2H), 7,02 (д, 2H), 7,24 (д, 2H), 7,27-7,35 (м, 3H), 7,35-7,43 (м, 2H).
Примеры 12-12(2)
Осуществляли процедуры, аналогичные процедурам Примеров 1 и 11, но при этом использовали соответствующее спиртовое соединение в качестве заместителя для метил 3-(4-гидроксифенил)пропаноата, а также использовали соответствующее спиртовое соединение в качестве заместителя для 3-фенилпропан-1-ола, с последующим преобразованием в соответствующую соль известным способом, если это необходимо. Таким образом, были получены следующие соединения.
Пример 12
N-[2-(4-{[(2E)-3-фенилпроп-2-енил]окси}фенил)этил]- -аланин формиат
ТСХ: Rf 0,28 (хлороформ : метанол : муравьиная кислота = 10 : 1 : 0,5);
1H-ЯМР (CD3OD): 2,52 (т, 2H), 2,93 (т, 2H), 3,14-3,27 (м, 4H), 4,69 (дд, 2H), 6,43 (дт, 1H), 6,73 (д, 1H), 6,96 (д, 2H), 7,14-7,26 (м, 3H), 7,30 (т, 2H), 7,41 (д, 2H), 8,32 (с, 1H).
Пример 12(1)
N-(3-{4-[(3-фенилпроп-2-инил)окси]фенил}пропил)- -аланин:
ТСХ: Rf 0,31 (хлороформ : метанол : муравьиная кислота = 10 : 1 : 0,5);
1H-ЯМР (CD3OD): 1,89-2,05 (м, 2H), 2,58 (т, 2H), 2,67 (т, 2H), 2,94-3,05 (м, 2H), 3,17 (т, 2H), 4,91 (с, 2H), 6,98 (д, 2H), 7,17 (д, 2H), 7,28-7,35 (м, 3H), 7,35-7,42 (м, 2H).
Пример 12(2)
N-[3-(4-{[(2E)-3-фенилпроп-2-енил]окси}фенил)пропил]- -аланин:
ТСХ: Rf 0,35 (хлороформ : метанол : муравьиная кислота = 10 : 1 : 0,5);
1H-ЯМР (CD3OD): 1,83-2,06 (м, 2H), 2,51 (т, 2H), 2,67 (т, 2H), 2,92-3,05 (м, 2H), 3,14 (т, 2H), 4,68 (дд, 2H), 6,43 (дт, 1H), 6,73 (д, 1H), 6,92 (д, 2H), 7,15 (д, 2H), 7,19-7,26 (м, 1H), 7,27-7,34 (м, 2H), 7,37-7,45 (м, 2H).
Пример 13
этил (2E)-2-циано-3-[4-(3-фенилпропокси)фенил]акрилат
4-(3-фенилпропокси)бензальдегид (240 мг), этил цианоацетат (0,094 мл) и ацетат аммония (74 мг) смешивали и подвергали взаимодействию при микроволновом облучении (50 W, 100°C, 10 минут). Затем к реакционной смеси добавляли воду с последующей экстракцией этилацетатом. Органический слой сушили над безводным сульфатом магния и концентрировали. Указанную процедуру повторяли три раза с получением трех остатков. Эти остатки объединяли и очищали колоночной хроматографией на силикагеле (гексан : этилацетат = 20 : 1 до 7 : 1) с получением указанного в заголовке соединения (629 мг), имеющего следующие физические характеристики.
ТСХ: Rf 0,28 (гексан : этилацетат = 5 : 1);
1H-ЯМР (CDCl3): 1,39 (т, 3H), 2,15 (м, 2H), 2,83 (м, 2H), 4,04 (т, 2H), 4,37 (кв, 2H), 6,97 (д, 2H), 7,21 (м, 3H), 7,29 (м, 2H), 7,99 (д, 2H), 8,17 (с, 1H).
Пример 14
этил 2-циано-3-[4-(3-фенилпропокси)фенил]пропаноат
В атмосфере аргона к палладию на углероде с 10% содержанием влаги (250 мг) добавляли этанол (1 мл). Затем к смеси добавляли раствор соединения, полученного в Примере 13 (620 мг), в смеси этанола (4 мл) и этилацетата (4 мл). После продувки водородом смесь перемешивали при комнатной температуре в течение 2 часов. Затем реакционную смесь фильтровали через Целит (торговое наименование). Фильтрат концентрировали с получением указанного в заголовке соединения (594 мг), имеющего следующие физические характеристики.
ТСХ: Rf 0,26 (гексан : этилацетат = 5 : 1);
1H-ЯМР (CDCl3): 1,28 (т, 3H), 2,10 (м, 2H), 2,81 (м, 2H), 3,18 (м, 2H), 3,67 (дд, 1H), 3,95 (т, 2H), 4,24 (кв, 2H), 6,85 (д, 2H), 7,19 (м, 5H), 7,28 (м, 2H).
Пример 15
3-амино-2-[4-(3-фенилпропокси)бензил]пропан-1-ол
К литийалюминийгидриду (131 мг) добавляли безводный тетрагидрофуран (10 мл). Затем к смеси добавляли по каплям раствор соединения, полученного в Примере 14 (290 мг), в безводном тетрагидрофуране (15 мл) с последующим перемешиванием при 60°С в течение 3 часов. К реакционной смеси добавляли при 0°C 1 н. раствор хлористоводородной кислоты с последующим перемешиванием при комнатной температуре в течение 1 часа. К реакционной смеси добавляли безводный сульфат натрия и смесь фильтровали через Целит (торговое наименование). Фильтрат концентрировали с получением указанного в заголовке соединения (284 мг), имеющего следующие физические характеристики, в виде неочищенного продукта. Полученное соединение использовали в следующей реакции без дополнительной очистки.
ТСХ: Rf 0,43 (хлороформ : метанол : водный раствор аммиака = 80 : 20 : 4).
Пример 16
N-{3-гидрокси-2-[4-(3-фенилпропокси)бензил]пропил}- -аланин:

К раствору трет-бутил N-{3-гидрокси-2-[4-(3-фенилпропокси)бензил]пропил}- -аланината (65 мг; получен в соответствии с процедурой Примера 4 при использовании соединения, полученного в Примере 15, в качестве заместителя для 4-(3-аминопропил)фенола) в дихлорметане (3 мл) добавляли по каплям при 0°C трифторуксусную кислоту (3 мл) с последующим перемешиванием при комнатной температуре в течение 2 часов. Затем реакционную смесь концентрировали. Остаток очищали колоночной хроматографией на силикагеле (хлороформ : метанол : водный раствор аммиака = 80 : 20 : 4). Полученный неочищенный продукт промывали диэтиловым эфиром с получением указанного в заголовке соединения (38 мг), имеющего следующие физические характеристики.
ТСХ: Rf 0,56 (этилацетат : уксусная кислота : вода = 3 : 1 : 1);
1H-ЯМР (ДМСО-d6): 1,86 (м, 1H), 1,99 (м, 2H), 2,18 (т, 2H), 2,59 (м, 1H), 2,71 (м, 3H), 2,80 (т, 2H), 3,37 (м, 4H), 3,91 (т, 2H), 6,83 (д, 2H), 7,09 (д, 2H), 7,23 (м, 5H).
Пример 17
циано[4-(3-фенилпропокси)фенил]метилацетат
К безводному дихлорметану (3 мл) последовательно добавляли по каплям раствор тетраизопропоксида титана (0,074 мл) и 4-(3-фенилпропокси)бензальдегида (300 мг) в безводном дихлорметане (3 мл) и триметилсилилцианид с последующим перемешиванием при комнатной температуре в течение ночи. К реакционной смеси добавляли при 0°C 1 н. раствор хлористоводородной кислоты (3 мл) с последующим перемешиванием при комнатной температуре в течение 6,5 часов. После добавления воды реакционную смесь экстрагировали дихлорметаном. Органический слой промывали насыщенным водным раствором хлорида натрия, сушили над безводным сульфатом магния и фильтровали. К фильтрату последовательно добавляли по каплям при комнатной температуре уксусный ангидрид (0,24 мл) и пиридин (0,20 мл) с последующим перемешиванием при комнатной температуре в течение ночи. Затем реакционную смесь концентрировали. Остаток очищали колоночной хроматографией на силикагеле (гексан : этилацетат = 10 : 1) с получением указанного в заголовке соединения (160 мг), имеющего следующие физические характеристики.
ТСХ: Rf 0,30 (гексан : этилацетат = 5 : 1);
1H-ЯМР (CDCl3): 2,05-2,20 (м, 5H), 2,81 (т, 2H), 3,98 (т, 2H), 6,35 (с, 1H), 6,93 (д, 2H), 7,16-7,24 (м, 3H), 7,27-7,34 (м, 2H), 7,44 (д, 2H).
Пример 18
3-гидрокси-3-[4-(3-фенилпропокси)фенил]пропаннитрил
К безводному тетрагидрофурану (14 мл) последовательно добавляли по каплям при -78°C н-бутиллитий (0,94 мл; 1,6 M раствор в гексане) и безводный ацетонитрил (0,082 мл). После перемешивания в течение 30 минут к смеси добавляли по каплям при -78°C раствор 4-(3-фенилпропокси)бензальдегида (300 мг) в безводном тетрагидрофуране (3 мл). Реакционную смесь перемешивали при комнатной температуре в течение 1 часа, затем выливали в ледяную воду и экстрагировали этилацетатом. Органический слой последовательно промывали водой и насыщенным водным раствором хлорида натрия, сушили над безводным сульфатом магния и концентрировали. Остаток промывали смесью растворителей диэтилового эфира и гексана и фильтровали с получением указанного в заголовке соединения (238 мг), имеющего следующие физические характеристики.
ТСХ: Rf 0,52 (гексан : этилацетат = 1 : 1);
1H-ЯМР (CDCl3): 2,11 (м, 2H), 2,18 (д, 1H), 2,76 (м, 4H), 3,97 (т, 2H), 5,00 (тд, 1H), 6,91 (д, 2H), 7,20 (м, 3H), 7,30 (м, 4H).
Примеры 19-19(1)
Используя соединение, полученное в Примере 17 или 18, в качестве заместителя для соединения, полученного в Примере 14, и следуя процедурам Примера 15, Примера 4 и Примера 11 в указанном порядке, получали следующие соединения.
Пример 19
N-{2-гидрокси-2-[4-(3-фенилпропокси)фенил]этил}- -аланинат, натриевая соль
ТСХ: Rf 0,55 (этилацетат : уксусная кислота : вода = 3 : 1 : 1);
1H-ЯМР (CD3OD): 2,00-2,10 (м, 2H), 2,38 (т, 2H), 2,68-2,90 (м, 6H), 3,94 (т, 2H), 4,70 (дд, 1H), 6,86 (д, 2H), 7,12-7,28 (м, 7H).
Пример 19(1)
N-{3-гидрокси-3-[4-(3-фенилпропокси)фенил]пропил}- -аланин
ТСХ: Rf 0,48 (этилацетат : уксусная кислота : вода = 3 : 1 : 1);
1H-ЯМР (CD3OD): 1,98-2,10 (м, 4H), 2,48 (т, 2H), 2,78 (т, 2H), 3,04-3,20 (м, 4H), 3,94 (т, 2H), 4,78 (т, 1H), 6,89 (д, 2H), 7,12-7,31 (м, 7H).
Пример 20
1-[4-(3-фенилпропокси)фенил]проп-2-ен-1-ол
К раствору 4-(3-фенилпропокси)бензальдегида (10,4 г) в безводном тетрагидрофуране (100 мл) добавляли при 0°C раствор бром(винил) магния в тетрагидрофуране (14%, около 1 M). После перемешивания в течение 15 минут реакционную смесь добавляли в охлажденный насыщенный водный раствор хлорида аммония и экстрагировали этилацетатом. Органический слой последовательно промывали водой и насыщенным водным раствором хлорида натрия, сушили над безводным сульфатом магния и концентрировали. Остаток очищали колоночной хроматографией на силикагеле (гексан : этилацетат = 20 : 1 до 3 : 1) с получением указанного в заголовке соединения (10,01 г), имеющего следующие физические характеристики.
ТСХ: Rf 0,24 (гексан : этилацетат = 4 : 1);
1H-ЯМР (CDCl3): 1,85 (д, 1H), 2,04-2,17 (м, 2H), 2,81 (т, 2H), 3,96 (т, 2H), 5,14-5,21 (м, 2H), 5,34 (дт, 1H), 6,05 (ддд, 1H), 6,88 (д, 2H), 7,16-7,23 (м, 3H), 7,25-7,32 (м, 4H).
Пример 21
оксиран-2-ил[4-(3-фенилпропокси)фенил]метанол
К раствору соединения (3,0 г), полученного в Примере 20, добавляли при комнатной температуре м-хлорпербензойную кислоту (7,67 г; mCPBA). После перемешивания в течение 4 часов реакционную смесь выливали в охлажденный 0,1 н. водный раствор гидроксида натрия и экстрагировали смесью растворителей (гексан : этилацетат = 1 : 5). Органический слой последовательно промывали водой и насыщенным водным раствором хлорида натрия, сушили над безводным сульфатом магния и концентрировали. Остаток очищали колоночной хроматографией на силикагеле (гексан : этилацетат = 10 : 1 до 2 : 1) с получением указанного в заголовке соединения (1,96 г), имеющего следующие физические характеристики.
ТСХ: Rf 0,29 (гексан : этилацетат = 2 : 1);
1H-ЯМР (CDCl3): 2,06-2,15 (м, 2H), 2,23 (д, 0,5H), 2,76-2,89 (м, 3,5H), 2,98 (дд, 0,5H), 3,17-3,27 (м, 1H), 3,97 (т, 2H), 4,43 (т, 0,5H), 4,89 (д, 0,5H), 6,87-6,93 (м, 2H), 7,16-7,24 (м, 3H), 7,26-7,36 (м, 4H).
Пример 22
N-{2,3-дигидрокси-3-[4-(3-фенилпропокси)фенил]пропил}- -аланин:

К -аланину (550 мг) в 2,5 н. водном растворе гидроксида натрия (2,2 мл) добавляли по каплям раствор соединения, полученного в Примере 21 (350 мг), в 2-пропаноле (2,2 мл) с последующим перемешиванием при 50°С в течение 2 часов. Затем реакционную смесь охлаждали и добавляли к ней при 0°C 1 н. раствор хлористоводородной кислоты (5,5 мл) и затем концентрировали. Остаток очищали колоночной хроматографией на силикагеле (хлороформ : метанол : водный раствор аммиака = 80 : 20 : 4) с получением указанного в заголовке соединения (313 мг), имеющего следующие физические характеристики.
ТСХ: Rf 0,16 (хлороформ : метанол : водный раствор аммиака = 80 : 40 : 4);
1H-ЯМР (CD3OD): 2,01-2,10 (м, 2H), 2,42-2,51 (м, 2H), 2,78 (т, 2H), 2,85-3,18 (м, 4H), 3,84-3,97 (м, 3H), 4,52 (д, 0,5H), 4,59 (д, 0,5H), 6,88-6,92 (м, 2H), 7,11-7,26 (м, 5H), 7,26-7,34 (м, 2H).
Пример 23
N-{2-гидрокси-3-[4-(3-фенилпропокси)фенил]пропил}- -аланин:

Используя 1-аллил-4-(3-фенилпропокси)бензол в качестве заместителя для соединения, полученного в Примере 20, и следуя процедурам Примера 21 и Примера 22, получали указанное в заголовке соединение, имеющее следующие физические характеристики.
ТСХ: Rf 0,19 (хлороформ : метанол : водный раствор аммиака = 80 : 20 : 4);
1H-ЯМР (CD3OD): 2,00-2,10 (м, 2H), 2,46 (т, 2H), 2,66-2,90 (м, 5H), 2,99-3,19 (м, 3H), 3,92 (т, 2H), 3,96-4,04 (м, 1H), 6,84 (д, 2H), 7,11-7,29 (м, 7H).
Пример 24
N-(трет-бутоксикарбонил)-N-[3-(4-гидроксифенил)пропил]- -аланин:

Используя 3-(4-гидроксифенил)пропаннитрил в качестве заместителя для соединения, полученного в Примере 14, и следуя процедурам Примера 15, Примера 4, Примера 5 и Примера 11 в указанном порядке, получали указанное в заголовке соединение, имеющее следующие физические характеристики.
ТСХ: Rf 0,40 (гексан : этилацетат = 1 : 3);
1H-ЯМР (CDCl3): 1,45 (с, 9H), 1,81 (м, 2H), 2,52 (т, 2H), 2,61 (т, 2H), 3,22 (м, 2H), 3,47 (т, 2H), 6,76 (д, 2H), 7,02 (д, 2H).
Пример 25
N-[3-(4-гидроксифенил)пропил]- -аланин гидрохлорид:

Используя соединение, полученное в Примере 24, в качестве заместителя для соединения, полученного в Примере 6, и следуя процедуре Примера 7, получали указанное в заголовке соединение, имеющее следующие физические характеристики.
ТСХ: Rf 0,69 (этилацетат : уксусная кислота : вода = 3 : 1 : 1);
1H-ЯМР (CD3OD): 1,95 (м, 2H), 2,62 (т, 2H), 2,72 (т, 2H), 3,00 (м, 2H), 3,24 (т, 2H), 6,71 (д, 2H), 7,03 (д, 2H).
Пример 26
N-[2-(4-{2-[4-(бензилокси)фенил]этокси}фенил)этил]- -аланин трифторацетат:

Стадия A:
к суспензии смолы Ванга (изготовитель Argonaut Technology; Cat No,800296) (1,06 ммоль/г, 10,6 г, 11,2 ммоль) в дихлорметане (100 мл) добавляли при -78°C N,N-диизопропилэтиламин (17,4 мл; 100 ммоль). Затем добавляли хлорангидрид акриловой кислоты (4,06 мл; 50 ммоль) и смесь встряхивали при комнатной температуре в течение ночи. После удаления растворителя при помощи вытяжного вентилятора полученную смолу промывали 4 раза дихлорметаном с получением акрилатной смолы (10,9 г).
Стадия B:
к акрилатной смоле (1,5 г) добавляли при комнатной температуре раствор 4-(2-аминоэтил)фенола (20 ммоль) в N-метилпирролидоне (20 мл) и смесь встряхивали при комнатной температуре в течение ночи. После удаления растворителя при помощи вытяжного вентилятора полученную смолу промывали 4 раза дихлорметаном с получением фенольной смолы (1,78 г, 1,2 ммоль/г).
Стадия C:
к фенольной смоле (50 мг, 0,060 ммоль) добавляли при комнатной температуре 2-[4-(бензилокси)фенил]этанол (0,30 ммоль). Затем добавляли смесь растворителей (1 мл; дихлорметан : безводный тетрагидрофуран = 1 : 1) с последующим добавлением три-н-бутилфосфина (0,30 ммоль) и 1,1′-азобис(N,N-диметилформамид) (0,30 ммоль). Затем смесь встряхивали при комнатной температуре в течение ночи. Смолу выделяли путем фильтрования и последовательно промывали 3 раза смесью растворителей (дихлорметан : тетрагидрофуран = 1 : 1), 3 раза дихлорметаном, 4 раза метанолом, 2 раза смесью растворителей (дихлорметан : метанол = 3 : 1) и 3 раза дихлорметаном. Затем добавляли трифторуксусную кислоту (0,5 мл) и дихлорметан (0,5 мл) и смесь встряхивали при комнатной температуре в течение 4 часов. После того как смолу отфильтровывали и промывали 4 раза дихлорметаном, фильтрат концентрировали с получением указанного в заголовке соединения, имеющего следующие физические характеристики.
Время удерживания в анализе ВЭЖХ (минут): 3,67; MS (m/z): 839 (2M+H)+, 420 (M+H)+.
Если не указано иное, ВЭЖХ осуществляли при следующих условиях:
Колонка: Xterra (торговое наименование) MS C18 5 мкм, 4,6×50 мм в.д.
Скорость потока: 3 мл/мин.
Растворитель A: 0,1% водный раствор трифторуксусной кислоты.
Растворитель B: 0,1% раствор трифторуксусной кислоты в ацетонитриле.
В течение 0,5 минут после начала измерения соотношение в смеси раствора A и раствора B было зафиксировано как 95/5. Затем соотношение в смеси раствора A и раствора B линейно изменялось до 0/100 в течение 2,5 минут и оставалось неизменным 0/100 в течение 0,5 минут. В течение следующей 0,01 минуты соотношение в смеси раствора A и раствора B линейно изменялось до 95/5.
Примеры 26(1)-26(244)
Осуществляли процедуру, аналогичную процедуре Примера 26, за исключением того, что использовали 4-(2-аминоэтил)фенол или соответствующее производное в качестве его заместителя и 2-[4-(бензилокси)фенил]этанол или соответствующее производное в качестве его заместителя, с получением следующих соединений.
Пример 26(1)
N-{2-[4-(2-феноксиэтокси)фенил]этил}- -аланин трифторацетат:
Время удерживания в анализе ВЭЖХ (минут): 3,34; MS (m/z): 659 (2M+H)+, 330 (M+H)+, 266.
Пример 26(2)
N-{2-[4-(3-фенилпропокси)фенил]этил}- -аланин трифторацетат:
Время удерживания в анализе ВЭЖХ (минут): 3,48; MS (m/z): 655 (2M+H)+, 328 (M+H)+.
Пример 26(3)
N-{2-[4-(4-фенилбутокси)фенил]этил}- -аланин трифторацетат:
Время удерживания в анализе ВЭЖХ (минут): 3,58; MS (m/z): 683 (2M+H)+, 342 (M+H)+.
Пример 26(4)
N-(2-{4-[4-(4-метоксифенил)бутокси]фенил}этил)- -аланин трифторацетат:
Время удерживания в анализе ВЭЖХ (минут): 3,54; MS (m/z): 743 (2M+H)+, 372 (M+H)+.
Пример 26(5)
N-(2-{4-[2-(бензилсульфанил)этокси]фенил}этил)- -аланин трифторацетат:
Время удерживания в анализе ВЭЖХ (минут): 3,48; MS (m/z): 719 (2M+H)+, 360 (M+H)+.
Пример 26(6)
N-{2-[4-(3-феноксипропокси)фенил]этил}- -аланин трифторацетат:
Время удерживания в анализе ВЭЖХ (минут): 3,45; MS (m/z): 687 (2M+H)+, 344 (M+H)+.
Пример 26(7)
N-{2-[4-(циклогексилметокси)фенил]этил}- -аланин трифторацетат:
Время удерживания в анализе ВЭЖХ (минут): 3,56; MS (m/z): 611 (2M+H)+, 306 (M+H)+.
Пример 26(8)
N-(2-{4-[2-(2,4-дифлуoрoфенил)этокси]фенил}этил)- -аланин трифторацетат:
Время удерживания в анализе ВЭЖХ (минут): 3,46; MS (m/z): 699 (2M+H)+, 350 (M+H)+.
Пример 26(9)
N-(2-{4-[(3-феноксибензил)окси]фенил}этил)- -аланин трифторацетат:
Время удерживания в анализе ВЭЖХ (минут): 3,62; MS (m/z): 783 (2M+H)+, 392 (M+H)+.
Пример 26(10)
N-{2-[4-(2-циклогексилэтокси)фенил]этил}- -аланин трифторацетат:
Время удерживания в анализе ВЭЖХ (минут): 3,64; MS (m/z): 639 (2M+H)+, 320 (M+H)+.
Пример 26(11)
N-{2-[4-(бензилокси)фенил]этил}- -аланин трифторацетат:
Время удерживания в анализе ВЭЖХ (минут): 3,34; MS (m/z): 599 (2M+H)+, 300 (M+H)+.
Пример 26(12)
N-{2-[4-(2-фенилэтокси)фенил]этил}- -аланин трифторацетат:
Время удерживания в анализе ВЭЖХ (минут): 3,41; MS (m/z): 627 (2M+H)+, 314 (M+H)+.
Пример 26(13)
N-{2-[4-(3,3-диметилбутокси)фенил]этил}- -аланин трифторацетат
Время удерживания в анализе ВЭЖХ (минут): 3,51; MS (m/z): 587 (2M+H)+, 294 (M+H)+.
Пример 26(14)
N-{2-[4-(3-циклогексилпропокси)фенил]этил}- -аланин трифторацетат:
Время удерживания в анализе ВЭЖХ (минут): 3,77; MS (m/z): 667 (2M+H)+, 334 (M+H)+.
Пример 26(15)
N-(2-{4-[(4-трет-бутилбензил)окси]фенил}этил)- -аланин трифторацетат:
Время удерживания в анализе ВЭЖХ (минут): 3,50; MS (m/z): 711 (2M+H)+, 356 (M+H)+.
Пример 26(16)
N-(2-{4-[(4-циклогексилбензил)окси]фенил}этил)- -аланин трифторацетат:
Время удерживания в анализе ВЭЖХ (минут): 3,65; MS (m/z): 763 (2M+H)+, 382 (M+H)+.
Пример 26(17)
N-{3-[4-(2-фенилэтокси)фенил]пропил}- -аланин трифторацетат:
Время удерживания в анализе ВЭЖХ (минут): 3,39; MS (m/z): 655 (2M+H)+, 328 (M+H)+.
Пример 26(18)
N-(3-{4-[2-(2-метилфенил)этокси]фенил}пропил)- -аланин трифторацетат:
Время удерживания в анализе ВЭЖХ (минут): 3,46; MS (m/z): 683 (2M+H)+, 342 (M+H)+.
Пример 26(19)
N-(3-{4-[2-(3-метилфенил)этокси]фенил}пропил)- -аланин трифторацетат:
Время удерживания в анализе ВЭЖХ (минут): 3,47; MS (m/z): 683 (2M+H)+, 342 (M+H)+.
Пример 26(20)
N-(3-{4-[2-(4-метилфенил)этокси]фенил}пропил)- -аланин трифторацетат:
Время удерживания в анализе ВЭЖХ (минут): 3,48; MS (m/z): 683 (2M+H)+, 342 (M+H)+.
Пример 26(21)
N-{3-[4-(бензилокси)фенил]пропил}- -аланин трифторацетат:
Время удерживания в анализе ВЭЖХ (минут): 3,30; MS (m/z): 627 (2M+H)+, 314 (M+H)+.
Пример 26(22)
N-(4-{2-[4-(бензилокси)фенил]этокси}бензил)- -аланин трифторацетат:
Время удерживания в анализе ВЭЖХ (минут): 3,56; MS (m/z): 406 (M+H)+.
Пример 26(23)
N-[4-(2-феноксиэтокси)бензил]- -аланин трифторацетат:
Время удерживания в анализе ВЭЖХ (минут): 3,22; MS (m/z): 316 (M+H)+, 227.
Пример 26(24)
N-{4-[2-(бензилокси)этокси]бензил}- -аланин трифторацетат:
Время удерживания в анализе ВЭЖХ (минут): 3,21; MS (m/z): 330 (M+H)+, 241.
Пример 26(25)
N-[4-(3-фенилпропокси)бензил]- -аланин трифторацетат:
Время удерживания в анализе ВЭЖХ (минут): 3,35; MS (m/z): 314 (M+H)+, 225.
Пример 26(26)
N-[4-(4-фенилбутокси)бензил]- -аланин трифторацетат:
Время удерживания в анализе ВЭЖХ (минут): 3,43; MS (m/z): 328 (M+H)+, 239.
Пример 26(27)
N-{4-[(5-фенилпентил)окси]бензил}- -аланин трифторацетат:
Время удерживания в анализе ВЭЖХ (минут): 3,54; MS (m/z): 342 (M+H)+, 253.
Пример 26(28)
N-[4-(2-тиен-2-илэтокси)бензил]- -аланин трифторацетат:
Время удерживания в анализе ВЭЖХ (минут): 3,21; MS (m/z): 306 (M+H)+, 217.
Пример 26(29)
N-{4-[2-(бензилсульфанил)этокси]бензил}- -аланин трифторацетат:
Время удерживания в анализе ВЭЖХ (минут): 3,33; MS (m/z): 346 (M+H)+, 151.
Пример 26(30)
N-{4-[(6-фенилгексил)окси]бензил}- -аланин трифторацетат:
Время удерживания в анализе ВЭЖХ (минут): 3,61; MS (m/z): 356 (M+H)+.
Пример 26(31)
N-{4-[3-(бензилокси)пропокси]бензил}- -аланин трифторацетат:
Время удерживания в анализе ВЭЖХ (минут): 3,28; MS (m/z): 344 (M+H)+, 255.
Пример 26(32)
N-{4-[(7-фенилгептил)окси]бензил}- -аланин трифторацетат:
Время удерживания в анализе ВЭЖХ (минут): 3,72; MS (m/z): 370 (M+H)+.
Пример 26(33)
N-[4-(3-феноксипропокси)бензил]- -аланин трифторацетат:
Время удерживания в анализе ВЭЖХ (минут): 3,32; MS (m/z): 330 (M+H)+, 241.
Пример 26(34)
N-{4-[(9-фенилнонил)окси]бензил}- -аланин трифторацетат:
Время удерживания в анализе ВЭЖХ (минут): 3,91; MS (m/z): 398 (M+H)+, 309.
Пример 26(35)
N-{4-[(8-фенилоктил)окси]бензил}- -аланин трифторацетат:
Время удерживания в анализе ВЭЖХ (минут): 3,82; MS (m/z): 384 (M+H)+, 295.
Пример 26(36)
N-[4-(циклогексилметокси)бензил]- -аланин трифторацетат:
Время удерживания в анализе ВЭЖХ (минут): 3,41; MS (m/z): 292 (M+H)+, 203.
Пример 26(37)
N-[4-(2-циклопентилэтокси)бензил]- -аланин трифторацетат:
Время удерживания в анализе ВЭЖХ (минут): 3,41; MS (m/z): 292 (M+H)+, 203.
Пример 26(38)
N-(4-{[5-(бензилокси)пентил]окси}бензил)- -аланин трифторацетат:
Время удерживания в анализе ВЭЖХ (минут): 3,43; MS (m/z): 372 (M+H)+, 283.
Пример 26(39)
N-{4-[4-(бензилокси)бутокси]бензил}- -аланин трифторацетат:
Время удерживания в анализе ВЭЖХ (минут): 3,36; MS (m/z): 358 (M+H)+, 269.
Пример 26(40)
N-{4-[(3-феноксибензил)окси]бензил}- -аланин трифторацетат:
Время удерживания в анализе ВЭЖХ (минут): 3,48; MS (m/z): 378 (M+H)+, 289.
Пример 26(41)
N-[4-(2-циклогексилэтокси)бензил]- -аланин трифторацетат:
Время удерживания в анализе ВЭЖХ (минут): 3,50; MS (m/z): 306 (M+H)+, 217.
Пример 26(42)
N-(4-бутоксибензил)- -аланин трифторацетат:
Время удерживания в анализе ВЭЖХ (минут): 3,15; MS (m/z): 252 (M+H)+, 163.
Пример 26(43)
N-[4-(циклопентилметокси)бензил]- -аланин трифторацетат:
Время удерживания в анализе ВЭЖХ (минут): 3,31; MS (m/z): 278 (M+H)+, 189.
Пример 26(44)
N-[4-(бензилокси)бензил]- -аланин трифторацетат:
Время удерживания в анализе ВЭЖХ (минут): 3,18; MS (m/z): 286 (M+H)+, 197.
Пример 26(45)
N-[4-(2-фенилэтокси)бензил]- -аланин трифторацетат:
Время удерживания в анализе ВЭЖХ (минут): 3,26; MS (m/z): 300 (M+H)+, 211.
Пример 26(46)
N-(4-изобутоксибензил)- -аланин трифторацетат:
Время удерживания в анализе ВЭЖХ (минут): 3,17; MS (m/z): 252 (M+H)+, 163.
Пример 26(47)
N-{4-[(4-метилпентил)окси]бензил}- -аланин трифторацетат:
Время удерживания в анализе ВЭЖХ (минут): 3,38; MS (m/z): 280 (M+H)+, 191.
Пример 26(48)
N-[4-(3,3-диметилбутокси)бензил]- -аланин трифторацетат:
Время удерживания в анализе ВЭЖХ (минут): 3,34; MS (m/z): 280 (M+H)+, 191.
Пример 26(49)
N-{4-[(2-пропилпентил)окси]бензил}- -аланин трифторацетат:
Время удерживания в анализе ВЭЖХ (минут): 3,59; MS (m/z): 308 (M+H)+, 219.
Пример 26(50)
N-[4-(3-циклогексилпропокси)бензил]- -аланин трифторацетат:
Время удерживания в анализе ВЭЖХ (минут): 3,61; MS (m/z): 320 (M+H)+, 231.
Пример 26(51)
N-[4-(пентилокси)бензил]- -аланин трифторацетат:
Время удерживания в анализе ВЭЖХ (минут): 3,29; MS (m/z): 266 (M+H)+, 177.
Пример 26(52)
N-[4-(гексилокси)бензил]- -аланин трифторацетат:
Время удерживания в анализе ВЭЖХ (минут): 3,40; MS (m/z): 280 (M+H)+, 191.
Пример 26(53)
N-[4-(гептилокси)бензил]- -аланин трифторацетат:
Время удерживания в анализе ВЭЖХ (минут): 3,50; MS (m/z): 294 (M+H)+, 205.
Пример 26(54)
N-[4-(октилокси)бензил]- -аланин трифторацетат:
Время удерживания в анализе ВЭЖХ (минут): 3,62; MS (m/z): 308 (M+H)+, 219.
Пример 26(55)
N-{4-[(4-хлорбензил)окси]бензил}- -аланин трифторацетат:
Время удерживания в анализе ВЭЖХ (минут): 3,32; MS (m/z): 320 (M+H)+, 231.
Пример 26(56)
N-[3-(4-{2-[4-(бензилокси)фенил]этокси}фенил)пропил]- -аланин трифторацетат:
Время удерживания в анализе ВЭЖХ (минут): 3,60; MS (m/z): 434 (M+H)+, 219.
Пример 26(57)
N-{3-[4-(2-феноксиэтокси)фенил]пропил}- -аланин трифторацетат:
Время удерживания в анализе ВЭЖХ (минут): 3,33; MS (m/z): 344 (M+H)+.
Пример 26(58)
N-(3-{4-[2-(бензилокси)этокси]фенил}пропил)- -аланин трифторацетат:
Время удерживания в анализе ВЭЖХ (минут): 3,31; MS (m/z): 358 (M+H)+.
Пример 26(59)
N-{3-[4-(3-фенилпропокси)фенил]пропил}- -аланин трифторацетат:
Время удерживания в анализе ВЭЖХ (минут): 3,45; MS (m/z): 342 (M+H)+.
Пример 26(60)
N-{3-[4-(2-тиен-2-илэтокси)фенил]пропил}- -аланин трифторацетат:
Время удерживания в анализе ВЭЖХ (минут): 3,34; MS (m/z): 334 (M+H)+.
Пример 26(61)
N-(3-{4-[2-(бензилсульфанил)этокси]фенил}пропил)- -аланин трифторацетат:
Время удерживания в анализе ВЭЖХ (минут): 3,44; MS (m/z): 374 (M+H)+.
Пример 26(62)
N-(3-{4-[3-(бензилокси)пропокси]фенил}пропил)- -аланин трифторацетат:
Время удерживания в анализе ВЭЖХ (минут): 3,38; MS (m/z): 372 (M+H)+.
Пример 26(63)
N-{3-[4-(3-феноксипропокси)фенил]пропил}- -аланин трифторацетат:
Время удерживания в анализе ВЭЖХ (минут): 3,42; MS (m/z): 358 (M+H)+.
Пример 26(64)
N-(3-{4-[(9-фенилнонил)окси]фенил}пропил)- -аланин трифторацетат:
Время удерживания в анализе ВЭЖХ (минут): 4,00; MS (m/z): 426 (M+H)+.
Пример 26(65)
N-(3-{4-[(8-фенилоктил)окси]фенил}пропил)- -аланин трифторацетат:
Время удерживания в анализе ВЭЖХ (минут): 3,93; MS (m/z): 412 (M+H)+.
Пример 26(66)
N-{3-[4-(циклогексилметокси)фенил]пропил}- -аланин трифторацетат:
Время удерживания в анализе ВЭЖХ (минут): 3,55; MS (m/z): 320 (M+H)+, 219.
Пример 26(67)
N-{3-[4-(2-циклопентилэтокси)фенил]пропил}- -аланин трифторацетат:
Время удерживания в анализе ВЭЖХ (минут): 3,53; MS (m/z): 320 (M+H)+.
Пример 26(68)
N-[3-(4-{[5-(бензилокси)пентил]окси}фенил)пропил]- -аланин трифторацетат:
Время удерживания в анализе ВЭЖХ (минут): 3,53; MS (m/z): 400 (M+H)+.
Пример 26(69)
N-(3-{4-[4-(бензилокси)бутокси]фенил}пропил)- -аланин трифторацетат:
Время удерживания в анализе ВЭЖХ (минут): 3,45; MS (m/z): 386 (M+H)+.
Пример 26(70)
N-(3-{4-[(3-феноксибензил)окси]фенил}пропил)- -аланин трифторацетат:
Время удерживания в анализе ВЭЖХ (минут): 3,58; MS (m/z): 406 (M+H)+, 219.
Пример 26(71)
N-{3-[4-(2-циклогексилэтокси)фенил]пропил}- -аланин трифторацетат:
Время удерживания в анализе ВЭЖХ (минут): 3,60; MS (m/z): 334 (M+H)+, 219.
Пример 26(72)
N-{3-[4-(циклопентилметокси)фенил]пропил}- -аланин трифторацетат:
Время удерживания в анализе ВЭЖХ (минут): 3,44; MS (m/z): 306 (M+H)+.
Пример 26(73)
N-[3-(4-изобутоксифенил)пропил]- -аланин трифторацетат:
Время удерживания в анализе ВЭЖХ (минут): 3,31; MS (m/z): 280 (M+H)+.
Пример 26(74)
N-(3-{4-[(4-метилпентил)окси]фенил}пропил)- -аланин трифторацетат:
Время удерживания в анализе ВЭЖХ (минут): 3,51; MS (m/z): 308 (M+H)+.
Пример 26(75)
N-{3-[4-(3,3-диметилбутокси)фенил]пропил}- -аланин трифторацетат:
Время удерживания в анализе ВЭЖХ (минут): 3,49; MS (m/z): 308 (M+H)+.
Пример 26(76)
N-(3-{4-[(2-пропилпентил)окси]фенил}пропил)- -аланин трифторацетат:
Время удерживания в анализе ВЭЖХ (минут): 3,71; MS (m/z): 336 (M+H)+.
Пример 26(77)
N-{3-[4-(3-циклогексилпропокси)фенил]пропил}- -аланин трифторацетат:
Время удерживания в анализе ВЭЖХ (минут): 3,75; MS (m/z): 348 (M+H)+.
Пример 26(78)
N-(3-{4-[(4-хлорбензил)окси]фенил}пропил)- -аланин трифторацетат:
Время удерживания в анализе ВЭЖХ (минут): 3,42; MS (m/z): 350, 348 (M+H)+.
Пример 26(79)
N-(3-{4-[2-(4-трет-бутилфенил)этокси]фенил}пропил)- -аланин трифторацетат:
Время удерживания в анализе ВЭЖХ (минут): 3,69; MS (m/z): 384 (M+H)+.
Пример 26(80)
N-(3-{4-[2-(2-нафтил)этокси]фенил}пропил)- -аланин трифторацетат:
Время удерживания в анализе ВЭЖХ (минут): 3,56; MS (m/z): 378 (M+H)+.
Пример 26(81)
N-{3-[4-(децилокси)фенил]пропил}- -аланин трифторацетат:
Время удерживания в анализе ВЭЖХ (минут): 3,99; MS (m/z): 364 (M+H)+.
Пример 26(82)
N-{2-[4-(2-тиен-2-илэтокси)фенил]этил}- -аланин трифторацетат:
Время удерживания в анализе ВЭЖХ (минут): 3,27; MS (m/z): 320 (M+H)+.
Пример 26(83)
N-(2-{4-[(6-фенилгексил)окси]фенил}этил)- -аланин трифторацетат:
Время удерживания в анализе ВЭЖХ (минут): 3,67; MS (m/z): 370 (M+H)+, 219.
Пример 26(84)
N-(2-{4-[3-(бензилокси)пропокси]фенил}этил)- -аланин трифторацетат:
Время удерживания в анализе ВЭЖХ (минут): 3,34; MS (m/z): 358 (M+H)+.
Пример 26(85)
N-(2-{4-[(7-фенилгептил)окси]фенил}этил)- -аланин трифторацетат:
Время удерживания в анализе ВЭЖХ (минут): 3,77; MS (m/z): 384 (M+H)+.
Пример 26(86)
N-(2-{4-[(9-фенилнонил)окси]фенил}этил)- -аланин трифторацетат:
Время удерживания в анализе ВЭЖХ (минут): 3,95; MS (m/z): 412 (M+H)+.
Пример 26(87)
N-(2-{4-[(8-фенилоктил)окси]фенил}этил)- -аланин трифторацетат:
Время удерживания в анализе ВЭЖХ (минут): 3,86; MS (m/z): 398 (M+H)+.
Пример 26(88)
N-{2-[4-(2-циклопентилэтокси)фенил]этил}- -аланин трифторацетат:
Время удерживания в анализе ВЭЖХ (минут): 3,47; MS (m/z): 306 (M+H)+.
Пример 26(89)
N-[2-(4-{[5-(бензилокси)пентил]окси}фенил)этил]- -аланин трифторацетат:
Время удерживания в анализе ВЭЖХ (минут): 3,49; MS (m/z): 386 (M+H)+.
Пример 26(90)
N-(2-{4-[4-(бензилокси)бутокси]фенил}этил)- -аланин трифторацетат:
Время удерживания в анализе ВЭЖХ (минут): 3,40; MS (m/z): 372 (M+H)+.
Пример 26(91)
N-[2-(4-бутоксифенил)этил]- -аланин трифторацетат:
Время удерживания в анализе ВЭЖХ (минут): 3,23; MS (m/z): 266 (M+H)+.
Пример 26(92)
N-{2-[4-(циклопентилметокси)фенил]этил}- -аланин трифторацетат:
Время удерживания в анализе ВЭЖХ (минут): 3,38; MS (m/z): 292 (M+H)+.
Пример 26(93)
N-[2-(4-изобутоксифенил)этил]- -аланин трифторацетат:
Время удерживания в анализе ВЭЖХ (минут): 3,23; MS (m/z): 266 (M+H)+.
Пример 26(94)
N-(2-{4-[(4-метилпентил)окси]фенил}этил)- -аланин трифторацетат:
Время удерживания в анализе ВЭЖХ (минут): 3,44; MS (m/z): 294 (M+H)+.
Пример 26(95)
N-(2-{4-[(2-пропилпентил)окси]фенил}этил)- -аланин трифторацетат:
Время удерживания в анализе ВЭЖХ (минут): 3,64; MS (m/z): 322 (M+H)+, 219.
Пример 26(96)
N-{2-[4-(пентилокси)фенил]этил}- -аланин трифторацетат:
Время удерживания в анализе ВЭЖХ (минут): 3,34; MS (m/z): 280 (M+H)+.
Пример 26(97)
N-{2-[4-(гексилокси)фенил]этил}- -аланин трифторацетат:
Время удерживания в анализе ВЭЖХ (минут): 3,45; MS (m/z): 294 (M+H)+.
Пример 26(98)
N-{2-[4-(гептилокси)фенил]этил}- -аланин трифторацетат:
Время удерживания в анализе ВЭЖХ (минут): 3,56; MS (m/z): 308 (M+H)+, 219.
Пример 26(99)
N-{2-[4-(октилокси)фенил]этил}- -аланин трифторацетат:
Время удерживания в анализе ВЭЖХ (минут): 3,67; MS (m/z): 322 (M+H)+.
Пример 26(100)
N-(2-{4-[(4-хлорбензил)окси]фенил}этил)- -аланин трифторацетат:
Время удерживания в анализе ВЭЖХ (минут): 3,38; MS (m/z): 336, 334 (M+H)+.
Пример 26(101)
N-(2-{4-[2-(4-трет-бутилфенил)этокси]фенил}этил)- -аланин трифторацетат:
Время удерживания в анализе ВЭЖХ (минут): 3,66; MS (m/z): 370 (M+H)+.
Пример 26(102)
N-(2-{4-[2-(2-нафтил)этокси]фенил}этил)- -аланин трифторацетат:
Время удерживания в анализе ВЭЖХ (минут): 3,49; MS (m/z): 364 (M+H)+.
Пример 26(103)
N-(2-{4-[2-(4-метилфенил)этокси]фенил}этил)- -аланин трифторацетат:
Время удерживания в анализе ВЭЖХ (минут): 3,40; MS (m/z): 328 (M+H)+.
Пример 26(104)
N-{2-[4-(нонилокси)фенил]этил}- -аланин трифторацетат:
Время удерживания в анализе ВЭЖХ (минут): 3,80; MS (m/z): 336 (M+H)+.
Пример 26(105)
N-(2-{4-[2-(3-метилфенил)этокси]фенил}этил)- -аланин трифторацетат:
Время удерживания в анализе ВЭЖХ (минут): 3,40; MS (m/z): 328 (M+H)+.
Пример 26(106)
N-{2-[4-(децилокси)фенил]этил}- -аланин трифторацетат:
Время удерживания в анализе ВЭЖХ (минут): 3,89; MS (m/z): 350 (M+H)+.
Пример 26(107)
N-(2-{4-[2-(2-метилфенил)этокси]фенил}этил)- -аланин трифторацетат:
Время удерживания в анализе ВЭЖХ (минут): 3,40; MS (m/z): 328 (M+H)+.
Пример 26(108)
N-[2-(3-{2-[4-(бензилокси)фенил]этокси}фенил)этил]- -аланин трифторацетат:
Время удерживания в анализе ВЭЖХ (минут): 3,58; MS (m/z): 420 (M+H)+.
Пример 26(109)
N-{2-[3-(2-феноксиэтокси)фенил]этил}- -аланин трифторацетат:
Время удерживания в анализе ВЭЖХ (минут): 3,27; MS (m/z): 330 (M+H)+.
Пример 26(110)
N-{2-[3-(3-фенилпропокси)фенил]этил}- -аланин трифторацетат:
Время удерживания в анализе ВЭЖХ (минут): 3,38; MS (m/z): 328 (M+H)+.
Пример 26(111)
N-{2-[3-(4-фенилбутокси)фенил]этил}- -аланин трифторацетат:
Время удерживания в анализе ВЭЖХ (минут): 3,47; MS (m/z): 342 (M+H)+.
Пример 26(112)
N-(2-{3-[(5-фенилпентил)окси]фенил}этил)- -аланин трифторацетат:
Время удерживания в анализе ВЭЖХ (минут): 3,56; MS (m/z): 356 (M+H)+, 219.
Пример 26(113)
N-(2-{3-[2-(бензилсульфанил)этокси]фенил}этил)- -аланин трифторацетат:
Время удерживания в анализе ВЭЖХ (минут): 3,38; MS (m/z): 360 (M+H)+.
Пример 26(114)
N-(2-{3-[(6-фенилгексил)окси]фенил}этил)- -аланин трифторацетат:
Время удерживания в анализе ВЭЖХ (минут): 3,64; MS (m/z): 370 (M+H)+.
Пример 26(115)
N-(2-{3-[3-(бензилокси)пропокси]фенил}этил)- -аланин трифторацетат:
Время удерживания в анализе ВЭЖХ (минут): 3,34; MS (m/z): 358 (M+H)+.
Пример 26(116)
N-(2-{3-[(7-фенилгептил)окси]фенил}этил)- -аланин трифторацетат:
Время удерживания в анализе ВЭЖХ (минут): 3,75; MS (m/z): 384 (M+H)+.
Пример 26(117)
N-(2-{3-[(9-фенилнонил)окси]фенил}этил)- -аланин трифторацетат:
Время удерживания в анализе ВЭЖХ (минут): 3,95; MS (m/z): 412 (M+H)+.
Пример 26(118)
N-(2-{3-[(8-фенилоктил)окси]фенил}этил)- -аланин трифторацетат:
Время удерживания в анализе ВЭЖХ (минут): 3,84; MS (m/z): 398 (M+H)+.
Пример 26(119)
N-{2-[3-(циклогексилметокси)фенил]этил}- -аланин трифторацетат:
Время удерживания в анализе ВЭЖХ (минут): 3,45; MS (m/z): 320, 306 (M+H)+.
Пример 26(120)
N-{2-[3-(2-циклопентилэтокси)фенил]этил}- -аланин трифторацетат:
Время удерживания в анализе ВЭЖХ (минут): 3,45; MS (m/z): 306 (M+H)+.
Пример 26(121)
N-[2-(3-{[5-(бензилокси)пентил]окси}фенил)этил]- -аланин трифторацетат:
Время удерживания в анализе ВЭЖХ (минут): 3,47; MS (m/z): 386 (M+H)+.
Пример 26(122)
N-(2-{3-[4-(бензилокси)бутокси]фенил}этил)- -аланин трифторацетат:
Время удерживания в анализе ВЭЖХ (минут): 3,42; MS (m/z): 372 (M+H)+.
Пример 26(123)
N-(2-{3-[(3-феноксибензил)окси]фенил}этил)- -аланин трифторацетат:
Время удерживания в анализе ВЭЖХ (минут): 3,51; MS (m/z): 392 (M+H)+.
Пример 26(124)
N-{2-[3-(2-циклогексилэтокси)фенил]этил}- -аланин трифторацетат:
Время удерживания в анализе ВЭЖХ (минут): 3,58; MS (m/z): 320 (M+H)+, 219.
Пример 26(125)
N-[2-(3-бутоксифенил)этил]- -аланин трифторацетат:
Время удерживания в анализе ВЭЖХ (минут): 3,22; MS (m/z): 266 (M+H)+.
Пример 26(126)
N-{2-[3-(циклопентилметокси)фенил]этил}- -аланин трифторацетат:
Время удерживания в анализе ВЭЖХ (минут): 3,40; MS (m/z): 336, 320, 292 (M+H)+.
Пример 26(127)
N-{2-[3-(бензилокси)фенил]этил}- -аланин трифторацетат:
Время удерживания в анализе ВЭЖХ (минут): 3,23; MS (m/z): 300 (M+H)+.
Пример 26(128)
N-{2-[3-(2-фенилэтокси)фенил]этил}- -аланин трифторацетат:
Время удерживания в анализе ВЭЖХ (минут): 3,33; MS (m/z): 314 (M+H)+.
Пример 26(129)
N-[2-(3-изобутоксифенил)этил]- -аланин трифторацетат:
Время удерживания в анализе ВЭЖХ (минут): 3,23; MS (m/z): 266 (M+H)+.
Пример 26(130)
N-(2-{3-[(4-метилпентил)окси]фенил}этил)- -аланин трифторацетат:
Время удерживания в анализе ВЭЖХ (минут): 3,44; MS (m/z): 294 (M+H)+.
Пример 26(131)
N-{2-[3-(3,3-диметилбутокси)фенил]этил}- -аланин трифторацетат:
Время удерживания в анализе ВЭЖХ (минут): 3,40; MS (m/z): 294 (M+H)+.
Пример 26(132)
N-(2-{3-[(2-пропилпентил)окси]фенил}этил)- -аланин трифторацетат:
Время удерживания в анализе ВЭЖХ (минут): 3,62; MS (m/z): 322 (M+H)+.
Пример 26(133)
N-{2-[3-(3-циклогексилпропокси)фенил]этил}- -аланин трифторацетат:
Время удерживания в анализе ВЭЖХ (минут): 3,66; MS (m/z): 334 (M+H)+.
Пример 26(134)
N-{2-[3-(пентилокси)фенил]этил}- -аланин трифторацетат:
Время удерживания в анализе ВЭЖХ (минут): 3,33; MS (m/z): 280 (M+H)+.
Пример 26(135)
N-{2-[3-(гексилокси)фенил]этил}- -аланин трифторацетат:
Время удерживания в анализе ВЭЖХ (минут): 3,44; MS (m/z): 294 (M+H)+.
Пример 26(136)
N-{2-[3-(гептилокси)фенил]этил}- -аланин трифторацетат:
Время удерживания в анализе ВЭЖХ (минут): 3,56; MS (m/z): 308 (M+H)+.
Пример 26(137)
N-{2-[3-(октилокси)фенил]этил}- -аланин трифторацетат:
Время удерживания в анализе ВЭЖХ (минут): 3,67; MS (m/z): 322 (M+H)+.
Пример 26(138)
N-(2-{3-[(4-хлорбензил)окси]фенил}этил)- -аланин трифторацетат:
Время удерживания в анализе ВЭЖХ (минут): 3,37; MS (m/z): 336, 334 (M+H)+.
Пример 26(139)
N-(2-{3-[2-(4-трет-бутилфенил)этокси]фенил}этил)- -аланин трифторацетат:
Время удерживания в анализе ВЭЖХ (минут): 3,62; MS (m/z): 370 (M+H)+.
Пример 26(140)
N-(2-{3-[2-(2-нафтил)этокси]фенил}этил)- -аланин трифторацетат:
Время удерживания в анализе ВЭЖХ (минут): 3,47; MS (m/z): 364 (M+H)+.
Пример 26(141)
N-(2-{3-[2-(4-метилфенил)этокси]фенил}этил)- -аланин трифторацетат:
Время удерживания в анализе ВЭЖХ (минут): 3,40; MS (m/z): 328 (M+H)+.
Пример 26(142)
N-{2-[3-(нонилокси)фенил]этил}- -аланин трифторацетат:
Время удерживания в анализе ВЭЖХ (минут): 3,78; MS (m/z): 336 (M+H)+.
Пример 26(143)
N-(2-{3-[2-(3-метилфенил)этокси]фенил}этил)- -аланин трифторацетат:
Время удерживания в анализе ВЭЖХ (минут): 3,40; MS (m/z): 328 (M+H)+.
Пример 26(144)
N-{2-[3-(децилокси)фенил]этил}- -аланин трифторацетат:
Время удерживания в анализе ВЭЖХ (минут): 3,88; MS (m/z): 350 (M+H)+.
Пример 26(145)
N-(2-{3-[2-(2-метилфенил)этокси]фенил}этил)- -аланин трифторацетат:
Время удерживания в анализе ВЭЖХ (минут): 3,38; MS (m/z): 328 (M+H)+.
Пример 26(146)
N-(3-{2-[4-(бензилокси)фенил]этокси}бензил)- -аланин трифторацетат:
Время удерживания в анализе ВЭЖХ (минут): 3,55; MS (m/z): 406 (M+H)+.
Пример 26(147)
N-[3-(3-фенилпропокси)бензил]- -аланин трифторацетат:
Время удерживания в анализе ВЭЖХ (минут): 3,33; MS (m/z): 314 (M+H)+.
Пример 26(148)
N-[3-(4-фенилбутокси)бензил]- -аланин трифторацетат:
Время удерживания в анализе ВЭЖХ (минут): 3,42; MS (m/z): 328 (M+H)+.
Пример 26(149)
N-{3-[(5-фенилпентил)окси]бензил}- -аланин трифторацетат:
Время удерживания в анализе ВЭЖХ (минут): 3,51; MS (m/z): 342 (M+H)+.
Пример 26(150)
N-{3-[2-(бензилсульфанил)этокси]бензил}- -аланин трифторацетат:
Время удерживания в анализе ВЭЖХ (минут): 3,34; MS (m/z): 360, 346 (M+H)+.
Пример 26(151)
N-{3-[(6-фенилгексил)окси]бензил}- -аланин трифторацетат:
Время удерживания в анализе ВЭЖХ (минут): 3,60; MS (m/z): 356 (M+H)+.
Пример 26(152)
N-{3-[3-(бензилокси)пропокси]бензил}- -аланин трифторацетат:
Время удерживания в анализе ВЭЖХ (минут): 3,29; MS (m/z): 344 (M+H)+.
Пример 26(153)
N-{3-[(7-фенилгептил)окси]бензил}- -аланин трифторацетат:
Время удерживания в анализе ВЭЖХ (минут): 3,69; MS (m/z): 370 (M+H)+.
Пример 26(154)
N-[3-(3-феноксипропокси)бензил]- -аланин трифторацетат:
Время удерживания в анализе ВЭЖХ (минут): 3,31; MS (m/z): 330 (M+H)+.
Пример 26(155)
N-{3-[(9-фенилнонил)окси]бензил}- -аланин трифторацетат:
Время удерживания в анализе ВЭЖХ (минут): 3,88; MS (m/z): 330 (M+H)+.
Пример 26(156)
N-{3-[(8-фенилоктил)окси]бензил}- -аланин трифторацетат:
Время удерживания в анализе ВЭЖХ (минут): 3,77; MS (m/z): 384 (M+H)+.
Пример 26(157)
N-[3-(2-циклопентилэтокси)бензил]- -аланин трифторацетат:
Время удерживания в анализе ВЭЖХ (минут): 3,38; MS (m/z): 292 (M+H)+.
Пример 26(158)
N-(3-{[5-(бензилокси)пентил]окси}бензил)- -аланин трифторацетат:
Время удерживания в анализе ВЭЖХ (минут): 3,42; MS (m/z): 372 (M+H)+.
Пример 26(159)
N-{3-[4-(бензилокси)бутокси]бензил}- -аланин трифторацетат:
Время удерживания в анализе ВЭЖХ (минут): 3,33; MS (m/z): 358 (M+H)+.
Пример 26(160)
N-{3-[(3-феноксибензил)окси]бензил}- -аланин трифторацетат:
Время удерживания в анализе ВЭЖХ (минут): 3,45; MS (m/z): 378 (M+H)+.
Пример 26(161)
N-[3-(2-циклогексилэтокси)бензил]- -аланин трифторацетат:
Время удерживания в анализе ВЭЖХ (минут): 3,45; MS (m/z): 306 (M+H)+.
Пример 26(162)
N-(3-бутоксибензил)- -аланин трифторацетат:
Время удерживания в анализе ВЭЖХ (минут): 3,14; MS (m/z): 252 (M+H)+.
Пример 26(163)
N-[3-(циклопентилметокси)бензил]- -аланин трифторацетат:
Время удерживания в анализе ВЭЖХ (минут): 3,29; MS (m/z): 278 (M+H)+.
Пример 26(164)
N-[3-(бензилокси)бензил]- -аланин трифторацетат:
Время удерживания в анализе ВЭЖХ (минут): 3,16; MS (m/z): 286 (M+H)+.
Пример 26(165)
N-[3-(2-фенилэтокси)бензил]- -аланин трифторацетат:
Время удерживания в анализе ВЭЖХ (минут): 3,25; MS (m/z): 300 (M+H)+.
Пример 26(166)
N-(3-изобутоксибензил)- -аланин трифторацетат:
Время удерживания в анализе ВЭЖХ (минут): 3,16; MS (m/z): 252 (M+H)+.
Пример 26(167)
N-{3-[(4-метилпентил)окси]бензил}- -аланин трифторацетат:
Время удерживания в анализе ВЭЖХ (минут): 3,36; MS (m/z): 280 (M+H)+.
Пример 26(168)
N-[3-(3,3-диметилбутокси)бензил]- -аланин трифторaцетат:
Время удерживания в анализе ВЭЖХ (минут): 3,33; MS (m/z): 280 (M+H)+.
Пример 26(169)
N-{3-[(2-пропилпентил)окси]бензил}- -аланин трифторацетат:
Время удерживания в анализе ВЭЖХ (минут): 3,56; MS (m/z): 308 (M+H)+.
Пример 26(170)
N-[3-(3-циклогексилпропокси)бензил]- -аланин трифторацетат:
Время удерживания в анализе ВЭЖХ (минут): 3,58; MS (m/z): 320 (M+H)+.
Пример 26(171)
N-[3-(пентилокси)бензил]- -аланин трифторацетат:
Время удерживания в анализе ВЭЖХ (минут): 3,25; MS (m/z): 266 (M+H)+.
Пример 26(172)
N-[3-(гексилокси)бензил]- -аланин трифторацетат:
Время удерживания в анализе ВЭЖХ (минут): 3,40; MS (m/z): 280 (M+H)+.
Пример 26(173)
N-[3-(гептилокси)бензил]- -аланин трифторацетат:
Время удерживания в анализе ВЭЖХ (минут): 3,47; MS (m/z): 294 (M+H)+.
Пример 26(174)
N-[3-(октилокси)бензил]- -аланин трифторацетат:
Время удерживания в анализе ВЭЖХ (минут): 3,60; MS (m/z): 308 (M+H)+.
Пример 26(175)
N-{3-[(4-хлорбензил)окси]бензил}- -аланин трифторацетат:
Время удерживания в анализе ВЭЖХ (минут): 3,31; MS (m/z): 322, 320 (M+H)+.
Пример 26(176)
N-{3-[2-(4-трет-бутилфенил)этокси]бензил}- -аланин трифторацетат:
Время удерживания в анализе ВЭЖХ (минут): 3,58; MS (m/z): 356 (M+H)+.
Пример 26(177)
N-{3-[2-(2-нафтил)этокси]бензил}- -аланин трифторацетат:
Время удерживания в анализе ВЭЖХ (минут): 3,42; MS (m/z): 350 (M+H)+.
Пример 26(178)
N-{3-[2-(4-метилфенил)этокси]бензил}- -аланин трифторацетат:
Время удерживания в анализе ВЭЖХ (минут): 3,34; MS (m/z): 314 (M+H)+.
Пример 26(179)
N-[3-(нонилокси)бензил]- -аланин трифторацетат:
Время удерживания в анализе ВЭЖХ (минут): 3,71; MS (m/z): 322 (M+H)+.
Пример 26(180)
N-{3-[2-(3-метилфенил)этокси]бензил}- -аланин трифторацетат:
Время удерживания в анализе ВЭЖХ (минут): 3,34; MS (m/z): 314 (M+H)+.
Пример 26(181)
N-[3-(децилокси)бензил]- -аланин трифторацетат:
Время удерживания в анализе ВЭЖХ (минут): 3,80; MS (m/z): 336 (M+H)+.
Пример 26(182)
N-{3-[2-(2-метилфенил)этокси]бензил}- -аланин трифторацетат:
Время удерживания в анализе ВЭЖХ (минут): 3,33; MS (m/z): 314 (M+H)+.
Пример 26(183)
N-[3-(3-{2-[4-(бензилокси)фенил]этокси}фенил)пропил]- -аланин трифторацетат:
Время удерживания в анализе ВЭЖХ (минут): 3,64; MS (m/z): 434 (M+H)+.
Пример 26(184)
N-{3-[3-(2-феноксиэтокси)фенил]пропил}- -аланин трифторацетат:
Время удерживания в анализе ВЭЖХ (минут): 3,33; MS (m/z): 344 (M+H)+.
Пример 26(185)
N-{3-[3-(3-фенилпропокси)фенил]пропил}- -аланин трифторацетат:
Время удерживания в анализе ВЭЖХ (минут): 3,45; MS (m/z): 342 (M+H)+.
Пример 26(186)
N-{3-[3-(4-фенилбутокси)фенил]пропил}- -аланин трифторацетат:
Время удерживания в анализе ВЭЖХ (минут): 3,53; MS (m/z): 356 (M+H)+.
Пример 26(187)
N-(3-{3-[(5-фенилпентил)окси]фенил}пропил)- -аланин трифторацетат:
Время удерживания в анализе ВЭЖХ (минут): 3,64; MS (m/z): 370 (M+H)+.
Пример 26(188)
N-(3-{3-[(6-фенилгексил)окси]фенил}пропил)- -аланин трифторацетат:
Время удерживания в анализе ВЭЖХ (минут): 3,73; MS (m/z): 384 (M+H)+.
Пример 26(189)
N-(3-{3-[3-(бензилокси)пропокси]фенил}пропил)- -аланин трифторацетат:
Время удерживания в анализе ВЭЖХ (минут): 3,40; MS (m/z): 372 (M+H)+.
Пример 26(190)
N-(3-{3-[(7-фенилгептил)окси]фенил}пропил)- -аланин трифторацетат:
Время удерживания в анализе ВЭЖХ (минут): 3,82; MS (m/z): 398 (M+H)+.
Пример 26(191)
N-(3-{3-[(9-фенилнонил)окси]фенил}пропил)- -аланин трифторацетат:
Время удерживания в анализе ВЭЖХ (минут): 4,00; MS (m/z): 426 (M+H)+.
Пример 26(192)
N-(3-{3-[(8-фенилоктил)окси]фенил}пропил)- -аланин трифторацетат:
Время удерживания в анализе ВЭЖХ (минут): 3,89; MS (m/z): 412 (M+H)+.
Пример 26(193)
N-{3-[3-(2-циклопентилэтокси)фенил]пропил}- -аланин трифторацетат:
Время удерживания в анализе ВЭЖХ (минут): 3,51; MS (m/z): 320 (M+H)+.
Пример 26(194)
N-[3-(3-{[5-(бензилокси)пентил]окси}фенил)пропил]- -аланин трифторацетат:
Время удерживания в анализе ВЭЖХ (минут): 3,51; MS (m/z): 400 (M+H)+.
Пример 26(195)
N-(3-{3-[4-(бензилокси)бутокси]фенил}пропил)- -аланин трифторацетат:
Время удерживания в анализе ВЭЖХ (минут): 3,45; MS (m/z): 386 (M+H)+.
Пример 26(196)
N-(3-{3-[(3-феноксибензил)окси]фенил}пропил)- -аланин трифторацетат:
Время удерживания в анализе ВЭЖХ (минут): 3,55; MS (m/z): 406 (M+H)+.
Пример 26(197)
N-{3-[3-(2-циклогексилэтокси)фенил]пропил}- -аланин трифторацетат:
Время удерживания в анализе ВЭЖХ (минут): 3,60; MS (m/z): 334 (M+H)+.
Пример 26(198)
N-[3-(3-бутоксифенил)пропил]- -аланин трифторацетат:
Время удерживания в анализе ВЭЖХ (минут): 3,29; MS (m/z): 280 (M+H)+.
Пример 26(199)
N-{3-[3-(циклопентилметокси)фенил]пропил}- -аланин трифторацетат:
Время удерживания в анализе ВЭЖХ (минут): 3,42; MS (m/z): 306 (M+H)+.
Пример 26(200)
N-{3-[3-(бензилокси)фенил]пропил}- -аланин трифторацетат:
Время удерживания в анализе ВЭЖХ (минут): 3,29; MS (m/z): 314 (M+H)+.
Пример 26(201)
N-{3-[3-(2-фенилэтокси)фенил]пропил}- -аланин трифторацетат:
Время удерживания в анализе ВЭЖХ (минут): 3,38; MS (m/z): 328 (M+H)+.
Пример 26(202)
N-[3-(3-изобутоксифенил)пропил]- -аланин трифторацетат:
Время удерживания в анализе ВЭЖХ (минут): 3,29; MS (m/z): 280 (M+H)+.
Пример 26(203)
N-(3-{3-[(4-метилпентил)окси]фенил}пропил)- -аланин трифторацетат:
Время удерживания в анализе ВЭЖХ (минут): 3,49; MS (m/z): 308 (M+H)+.
Пример 26(204)
N-{3-[3-(3,3-диметилбутокси)фенил]пропил}- -аланин трифторацетат:
Время удерживания в анализе ВЭЖХ (минут): 3,45; MS (m/z): 308 (M+H)+.
Пример 26(205)
N-(3-{3-[(2-пропилпентил)окси]фенил}пропил)- -аланин трифторацетат:
Время удерживания в анализе ВЭЖХ (минут): 3,69; MS (m/z): 336 (M+H)+.
Пример 26(206)
N-{3-[3-(3-циклогексилпропокси)фенил]пропил}- -аланин трифторацетат:
Время удерживания в анализе ВЭЖХ (минут): 3,71; MS (m/z): 348 (M+H)+.
Пример 26(207)
N-{3-[3-(пентилокси)фенил]пропил}- -аланин трифторацетат:
Время удерживания в анализе ВЭЖХ (минут): 3,42; MS (m/z): 294 (M+H)+.
Пример 26(208)
N-{3-[3-(гексилокси)фенил]пропил}- -аланин трифторацетат:
Время удерживания в анализе ВЭЖХ (минут): 3,51; MS (m/z): 308 (M+H)+.
Пример 26(209)
N-{3-[3-(гептилокси)фенил]пропил}- -аланин трифторацетат:
Время удерживания в анализе ВЭЖХ (минут): 3,60; MS (m/z): 322 (M+H)+.
Пример 26(210)
N-{3-[3-(октилокси)фенил]пропил}- -аланин трифторацетат:
Время удерживания в анализе ВЭЖХ (минут): 3,71; MS (m/z): 336 (M+H)+.
Пример 26(211)
N-(3-{3-[(4-хлорбензил)окси]фенил}пропил)- -аланин трифторацетат:
Время удерживания в анализе ВЭЖХ (минут): 3,42; MS (m/z): 350, 348 (M+H)+.
Пример 26(212)
N-(3-{3-[2-(4-трет-бутилфенил)этокси]фенил}пропил)- -аланин трифторацетат:
Время удерживания в анализе ВЭЖХ (минут): 3,67; MS (m/z): 384 (M+H)+.
Пример 26(213)
N-(3-{3-[2-(2-нафтил)этокси]фенил}пропил)- -аланин трифторацетат:
Время удерживания в анализе ВЭЖХ (минут): 3,53; MS (m/z): 378 (M+H)+.
Пример 26(214)
N-(3-{3-[2-(4-метилфенил)этокси]фенил}пропил)- -аланин трифторацетат:
Время удерживания в анализе ВЭЖХ (минут): 3,45; MS (m/z): 342 (M+H)+.
Пример 26(215)
N-{3-[3-(нонилокси)фенил]пропил}- -аланин трифторацетат:
Время удерживания в анализе ВЭЖХ (минут): 3,84; MS (m/z): 350 (M+H)+.
Пример 26(216)
N-(3-{3-[2-(3-метилфенил)этокси]фенил}пропил)- -аланин трифторацетат:
Время удерживания в анализе ВЭЖХ (минут): 3,45; MS (m/z): 342 (M+H)+.
Пример 26(217)
N-{3-[3-(децилокси)фенил]пропил}- -аланин трифторацетат:
Время удерживания в анализе ВЭЖХ (минут): 3,93; MS (m/z): 364 (M+H)+.
Пример 26(218)
N-(3-{3-[2-(2-метилфенил)этокси]фенил}пропил)- -аланин трифторацетат:
Время удерживания в анализе ВЭЖХ (минут): 3,44; MS (m/z): 342 (M+H)+.
Пример 26(219)
N-(3-{4-[3-(4-фторфенил)пропокси]фенил}пропил)- -аланин трифторацетат:
Время удерживания в анализе ВЭЖХ (минут): 3,49; MS (m/z): 360 (M+H)+.
Пример 26(220)
N-(3-{4-[3-(4-бромфенил)пропокси]фенил}пропил)- -аланин трифторацетат
Время удерживания в анализе ВЭЖХ (минут): 3,60; MS (m/z): 422, 420 (M+H)+.
Пример 26(221)
N-[3-(4-{3-[4-(трифторметил)фенил]пропокси}фенил)пропил]- -аланин трифторацетат:
Время удерживания в анализе ВЭЖХ (минут): 3,62; MS (m/z): 410 (M+H)+.
Пример 26(222)
N-(3-{4-[3-(3-метилфенил)пропокси]фенил}пропил)- -аланин трифторацетат:
Время удерживания в анализе ВЭЖХ (минут): 3,55; MS (m/z): 356 (M+H)+.
Пример 26(223)
N-(3-{4-[3-(2-хлорфенил)пропокси]фенил}пропил)- -аланин трифторацетат:
Время удерживания в анализе ВЭЖХ (минут): 3,55; MS (m/z): 378, 376 (M+H)+.
Пример 26(224)
N-(3-{4-[3-(2,6-дихлорфенил)пропокси]фенил}пропил)- -аланин трифторацетат:
Время удерживания в анализе ВЭЖХ (минут): 3,64; MS (m/z): 412, 410 (M+H)+.
Пример 26(225)
N-(3-{4-[3-(4-хлорфенил)пропокси]фенил}пропил)- -аланин трифторацетат:
Время удерживания в анализе ВЭЖХ (минут): 3,58; MS (m/z): 378, 376 (M+H)+.
Пример 26(226)
N-(3-{4-[3-(2-метилфенил)пропокси]фенил}пропил)- -аланин трифторацетат:
Время удерживания в анализе ВЭЖХ (минут): 3,49; MS (m/z): 356 (M+H)+.
Пример 26(227)
N-(3-{4-[3-(3-хлорфенил)пропокси]фенил}пропил)- -аланин трифторацетат:
Время удерживания в анализе ВЭЖХ (минут): 3,56; MS (m/z): 378, 376 (M+H)+.
Пример 26(228)
N-(3-{4-[3-(4-метоксифенил)пропокси]фенил}пропил)- -аланин трифторацетат:
Время удерживания в анализе ВЭЖХ (минут): 3,44; MS (m/z): 372 (M+H)+.
Пример 26(229)
N-(3-{4-[3-(2-бромфенил)пропокси]фенил}пропил)- -аланин трифторацетат:
Время удерживания в анализе ВЭЖХ (минут): 3,58; MS (m/z): 422, 420 (M+H)+.
Пример 26(230)
N-(3-{4-[3-(3-нитрофенил)пропокси]фенил}пропил)- -аланин трифторацетат:
Время удерживания в анализе ВЭЖХ (минут): 3,44; MS (m/z): 387 (M+H)+.
Пример 26(231)
N-(3-{4-[3-(3-фторфенил)пропокси]фенил}пропил)- -аланин трифторацетат:
Время удерживания в анализе ВЭЖХ (минут): 3,49; MS (m/z): 360 (M+H)+.
Пример 26(232)
N-(3-{4-[3-(3,4-диметоксифенил)пропокси]фенил}пропил)- -аланин трифторацетат:
Время удерживания в анализе ВЭЖХ (минут): 3,34; MS (m/z): 402 (M+H)+.
Пример 26(233)
N-(3-{4-[3-(3-феноксифенил)пропокси]фенил}пропил)- -аланин трифторацетат:
Время удерживания в анализе ВЭЖХ (минут): 3,71; MS (m/z): 434 (M+H)+.
Пример 26(234)
N-(3-{4-[3-(3,4-дифторфенил)пропокси]фенил}пропил)- -аланин трифторацетат:
Время удерживания в анализе ВЭЖХ (минут): 3,53; MS (m/z): 378 (M+H)+.
Пример 26(235)
N-(3-{4-[3-(3,4,5-триметоксифенил)пропокси]фенил}пропил)- -аланин трифторацетат:
Время удерживания в анализе ВЭЖХ (минут): 3,31; MS (m/z): 432 (M+H)+.
Пример 26(236)
N-[3-(4-{3-[3-(трифторметокси)фенил]пропокси}фенил)пропил]- -аланин трифторацетат:
Время удерживания в анализе ВЭЖХ (минут): 3,64; MS (m/z): 426 (M+H)+.
Пример 26(237)
N-[3-(4-{3-[2,5-бис(трифторметил)фенил]пропокси}фенил)пропил]- -аланин трифторацетат:
Время удерживания в анализе ВЭЖХ (минут): 3,69; MS (m/z): 478 (M+H)+.
Пример 26(238)
N-(3-{4-[3-(3-бромфенил)пропокси]фенил}пропил)- -аланин трифторацетат:
Время удерживания в анализе ВЭЖХ (минут): 3,60; MS (m/z): 422, 420 (M+H)+.
Пример 26(239)
N-[3-(4-{3-[3,5-бис(трифторметил)фенил]пропокси}фенил)-пропил]- -аланин трифторацетат:
Время удерживания в анализе ВЭЖХ (минут): 3,75; MS (m/z): 478 (M+H)+.
Пример 26(240)
N-[3-(4-{3-[3-(трифторметил)фенил]пропокси}фенил)пропил]- -аланин трифторацетат:
Время удерживания в анализе ВЭЖХ (минут): 3,60; MS (m/z): 410 (M+H)+.
Пример 26(241)
N-{3-[4-(3-фенилбутокси)фенил]пропил}- -аланин трифторацетат:
Время удерживания в анализе ВЭЖХ (минут): 3,53; MS (m/z): 356 (M+H)+.
Пример 26(242)
N-{3-[4-(бицикло[4,2,0]окта-1,3,5-триен-7-илметокси)фенил]пропил}- -аланин трифторацетат:
Время удерживания в анализе ВЭЖХ (минут): 3,44; MS (m/z): 340 (M+H)+.
Пример 26(243)
N-{3-[4-(2-метил-3-фенилпропокси)фенил]пропил}- -аланин трифторацетат:
Время удерживания в анализе ВЭЖХ (минут): 3,55; MS (m/z): 356 (M+H)+.
Пример 26(244)
N-{3-[4-(3,3-дифенилпропокси)фенил]пропил}- -аланин трифторацетат:
Время удерживания в анализе ВЭЖХ (минут): 3,62; MS (m/z): 418 (M+H)+.
Пример 27
N-{3-[4-(4-фенилбутокси)фенил]пропил}- -аланин гидрохлорид:

Стадия A:
к суспензии хлортритиловой смолы (изготовитель Argonaut Technology; Cat No.800380) (1,00 ммоль/г, 1,0 г, 1,0 ммоль) в дихлорметане (5 мл) добавляли по каплям при 0°C раствор соединения, полученного в Примере 24 (323 мг), в смеси растворителей N,N-диизопропилэтиламина (0,70 мл) и дихлорметана (5 мл). После промывки дихлорметаном (2 мл) смесь встряхивали при комнатной температуре в течение 5 часов. Затем смолу выделяли фильтрованием и последовательно промывали 3 раза смесью растворителей (дихлорметан : метанол : диизопропилэтиламин = 51 : 6 : 3), 3 раза дихлорметаном, 2 раза N,N-диметилформамидом и 2 раза дихлорметаном и сушили с получением фенольной смолы (1,195 г).
Стадия B:
к фенольной смоле (100 мг) добавляли при комнатной температуре 4-фенилбутан-1-ол (0,42 ммоль) с последующим добавлением безводного тетрагидрофурана (0,4 мл) и дихлорметана (0,4 мл). При комнатной температуре к смеси добавляли по каплям три-н-бутилфосфин (0,42 ммоль) и затем добавляли 1,1′-азобис(N,N-диметилформамид) (0,42 ммоль). Смесь встряхивали при комнатной температуре в течение 5 часов. Смолу выделяли фильтрованием, промывали 4 раза смесью растворителей (дихлорметан : тетрагидрофуран = 1 : 1) и 2 раза дихлорметаном и затем сушили с получением фенилэфирной смолы (около 100 мг).
Стадия C:
к фенилэфирной смоле (около 100 мг) добавляли при комнатной температуре уксусную кислоту (0,2 мл), трифторэтанол (0,2 мл) и дихлорметан (0,6 мл) и смесь встряхивали при комнатной температуре в течение 3 часов. Смолу выделяли фильтрованием и промывали 2 раза смесью растворителей (уксусная кислота : трифторэтанол : дихлорметан = 1 : 1 : 3) и 4 раза дихлорметаном. Фильтрат концентрировали и остаток очищали колоночной хроматографией на силикагеле (гексан : этилацетат = 5 : 1) до этилацетата с получением, таким образом, N-(трет-бутоксикарбонил)-N-{3-[4-(4-фенилбутокси)фенил]-пропил}- -аланина (2 мг; Boc-соединение).
Стадия D:
к Bocсоединению добавляли при комнатной температуре 4 н. раствор хлористого водорода в этилацетате (1 мл) с последующим перемешиванием в течение 1 часа. Реакционную смесь концентрировали с получением указанного в заголовке соединения (2 мг), имеющего следующие физические характеристики.
ТСХ: Rf 0,20 (хлороформ : метанол : водный раствор аммиака = 80 : 20 : 4);
1H-ЯМР (CD3OD): 1,76 (м, 4H), 1,96 (м, 2H), 2,68 (м, 6H), 3,01 (м, 2H), 3,24 (т, 2H), 3,94 (м, 2H), 6,83 (д, 2H), 7,17 (м, 7H).
Примеры 27(1)-27(9)
Осуществляли процедуру, аналогичную процедуре Примера 27, за исключением того, что использовали соответствующее соединение в качестве заместителя для 4-фенилбутан-1-ола, в результате чего получали следующие соединения. В случае соединения Примера 27(9) стадию D пропускали.
Пример 27(1)
N-(3-{4-[(6-фенилгексил)окси]фенил}пропил)- -аланин гидрохлорид:
ТСХ: Rf 0,29 (хлороформ : метанол : водный раствор аммиака = 80 : 20 : 4);
1H-ЯМР (CD3OD): 1,42 (м, 4H), 1,64 (м, 2H), 1,74 (м, 2H), 1,96 (м, 2H), 2,66 (м, 6H), 3,01 (м, 2H), 3,24 (т, 2H), 3,91 (т, 2H), 6,83 (д, 2H), 7,13 (м, 5H), 7,22 (м, 2H).
Пример 27(2)
N-(3-{4-[(7-фенилгептил)окси]фенил}пропил)- -аланин гидрохлорид:
ТСХ: Rf 0,31 (хлороформ : метанол : водный раствор аммиака = 80 : 20 : 4);
1H-ЯМР (CD3OD): 1,38 (м, 6H), 1,62 (м, 2H), 1,72 (м, 2H), 1,96 (м, 2H), 2,66 (м, 6H), 3,01 (м, 2H), 3,23 (т, 2H), 3,92 (т, 2H), 6,83 (д, 2H), 7,12 (м, 5H), 7,23 (м, 2H).
Пример 27(3)
N-[3-(4-бутоксифенил)пропил]- -аланин гидрохлорид:
ТСХ: Rf 0,21 (хлороформ : метанол : водный раствор аммиака = 80 : 20 : 4);
1H-ЯМР (CD3OD): 0,97 (т, 3H), 1,47 (м, 2H), 1,73 (м, 2H), 1,96 (м, 2H), 2,67 (м, 4H), 3,01 (м, 2H), 3,23 (т, 2H), 3,93 (т, 2H), 6,84 (д, 2H), 7,12 (д, 2H).
Пример 27(4)
N-{3-[4-(пентилокси)фенил]пропил}- -аланин гидрохлорид:
ТСХ: Rf 0,24 (хлороформ : метанол : водный раствор аммиака = 80 : 20 : 4);
1H-ЯМР (CD3OD): 0,94 (т, 3H), 1,41 (м, 4H), 1,72 (м, 2H), 1,96 (м, 2H), 2,65 (т, 2H), 2,71 (т, 2H), 3,01 (м, 2H), 3,24 (т, 2H), 3,92 (т, 2H), 6,84 (д, 2H), 7,12 (д, 2H).
Пример 27(5)
N-{3-[4-(гексилокси)фенил]пропил}- -аланин гидрохлорид:
ТСХ: Rf 0,27 (хлороформ : метанол : водный раствор аммиака = 80 : 20 : 4);
1H-ЯМР (CD3OD): 0,91 (м, 3H), 1,35 (м, 4H), 1,48 (м, 2H), 1,74 (м, 2H), 1,96 (м, 2H), 2,65 (т, 2H), 2,71 (т, 2H), 3,01 (м, 2H), 3,24 (т, 2H), 3,93 (т, 2H), 6,84 (д, 2H), 7,12 (д, 2H).
Пример 27(6)
N-{3-[4-(гептилокси)фенил]пропил}- -аланин гидрохлорид:
ТСХ: Rf 0,29 (хлороформ : метанол : водный раствор аммиака = 80 : 20 : 4);
1H-ЯМР (CD3OD): 0,90 (м, 3H), 1,32 (м, 8H), 1,72 (м, 2H), 1,96 (м, 2H), 2,65 (т, 2H), 2,70 (т, 2H), 3,01 (м, 2H), 3,23 (т, 2H), 3,92 (т, 2H), 6,84 (д, 2H), 7,12 (д, 2H).
Пример 27(7)
N-{3-[4-(октилокси)фенил]пропил}- -аланин гидрохлорид:
ТСХ: Rf 0,30 (хлороформ : метанол : водный раствор аммиака = 80 : 20 : 4);
1H-ЯМР (CD3OD): 0,90 (м, 3H), 1,31 (м, 10H), 1,74 (м, 2H), 1,96 (м, 2H), 2,65 (т, 2H), 2,71 (т, 2H), 3,01 (м, 2H), 3,24 (т, 2H), 3,92 (т, 2H), 6,84 (д, 2H), 7,12 (д, 2H).
Пример 27(8)
N-{3-[4-(нонилокси)фенил]пропил}- -аланин гидрохлорид:
ТСХ: Rf 0,31 (хлороформ : метанол : водный раствор аммиака = 80 : 20 : 4);
1H-ЯМР (CD3OD): 0,89 (м, 3H), 1,29 (м, 12H), 1,73 (м, 2H), 1,96 (м, 2H), 2,65 (т, 2H), 2,71 (т, 2H), 3,01 (м, 2H), 3,24 (т, 2H), 3,92 (т, 2H), 6,84 (д, 2H), 7,12 (д, 2H).
Пример 27(9)
N-(трет-бутоксикарбонил)-N-(3-{4-[(5-фенилпентил)окси]-фенил}пропил)- -аланин:
ТСХ: Rf 0,40 (хлороформ : метанол = 10 : 1);
1H-ЯМР (CDCl3): 1,45 (с, 9H), 1,67 (м, 8H), 2,53 (т, 2H), 2,64 (м, 4H), 3,23 (т, 2H), 3,47 (т, 2H), 3,92 (т, 2H), 6,81 (д, 2H), 7,07 (д, 2H), 7,18 (м, 2H), 7,27 (м, 3H).
Пример 28
N-{3-[4-(3-фенилпропокси)фенил]пропил}-N-(3-фенилпропил)- -аланин трифторацетат:

К раствору трет-бутил N{3-[4-(4-фенилбутокси)фенил]пропил}- -аланината (8,0 мг) в дихлорэтане (0,2 мл) добавляли 3-фенилпропаналь (0,008 мл) и триацетоксиборогидрид натрия (21 мг) и смесь встряхивали при комнатной температуре в течение 17 часов. Затем реакционную смесь разбавляли путем добавления метанола (1,0 мл). После добавления смолы на основе соединения лантана и толуолсульфокислоты (изготовитель MIMOTOPE; Cat No. MIL1025) (2 иголки, 0,3 ммоль) смеси давали выстояться в течение 1 часа. Затем смолу извлекали из реакционной смеси, промывали дихлорметаном и метанолом и затем погружали на 30 минут в 5% раствор триэтиламина в метаноле (1,0 мл × 2). Полученные растворы выделяли, объединяли и затем концентрировали. К остатку добавляли трифторуксусную кислоту (1,0 мл) и дихлорметан (1,0 мл) с последующим перемешиванием при комнатной температуре в течение 16 часов и концентрированием, в результате чего получали указанное в заголовке соединение (10 мг), имеющее следующие физические характеристики.
ТСХ: Rf 0,81 (этилацетат : уксусная кислота : вода = 3 : 1 : 1);
1H-ЯМР (CD3OD): 1,83-2,00 (м, 4H), 1,99-2,13 (м, 2H), 2,57-2,69 (м, 4H), 2,70-2,84 (м, 4H), 3,04-3,20 (м, 4H), 3,40 (т, 2H), 3,91 (т, 2H), 6,83 (д, 1H), 7,11 (д, 2H), 7,14-7,33 (м, 10H).
Пример 29
гидрохлорид 3-({(2E)-3-[4-(3-фенилпропил)фенил]-2-бутенил}амино)пропановой кислоты:

К суспензии -аланина (433 мг) в метаноле (30 мл) добавляли гидроксид натрия (204 мг). Затем при 0°C к смеси добавляли триметоксиметан (532 мкл). Затем добавляли раствор (2E)-3-[4-(3-фенилпропокси)фенил]бут-2-еналя (1,43 г) в смеси метанола (30 мл) и тетрагидрофурана (10 мл). Реакционную смесь перемешивали при 0°С в течение 30 минут. К смеси добавляли при 0°C борогидрид натрия (221 мг). Реакционную смесь перемешивали при 0°С в течение 30 минут. После добавления 2 н. раствора хлористоводородной кислоты (5,5 мл) реакционную смесь концентрировали. К полученному остатку добавляли смесь растворителей хлороформ : метанол : водный раствор аммиака = 80 : 10 : 1 с последующим фильтрованием. К полученному осажденному веществу добавляли воду и смесь центрифугировали с получением осадка. Полученный остаток очищали колоночной хроматографией на силикагеле (хлороформ : метанол : водный раствор аммиака = 80 : 20 : 4). К суспензии очищенного продукта в диоксане (100 мл) и воде (15 мл) добавляли при 0°C 4 моль/л раствор хлористого водорода в диоксане (0,9 мл). Реакционную смесь концентрировали, остаток промывали диэтиловым эфиром и сушили с получением указанного в заголовке соединения (1,16 г), имеющего следующие физические характеристики.
Температура плавления: 181-186°C;
ТСХ: Rf 0,19 (хлороформ : метанол : водный раствор аммиака = 80 : 20 : 4);
1H-ЯМР (CD3OD): 7,39 (д, J=9,00 Гц, 2H), 7,11-7,28 (м, 5H), 6,88 (д, J=9,00 Гц, 2H), 5,77 (ткв, J=7,50, 1,50 Гц, 1H), 3,96 (т, J=6,50 Гц, 2H), 3,88 (д, J=7,50 Гц, 2H), 3,30-3,34 (м, 2H), 2,74-2,83 (м, 4H), 2,15 (д, J=1,50 Гц, 3H), 2,00-2,11 (м, 2H).
Примеры 29(1)-29(4)
Осуществляли процедуру, аналогичную процедуре Примера 29, за исключением того, что использовали соответствующее альдегидное соединение в качестве заместителя для (2E)-3-[4-(3-фенилпропокси)фенил]бут-2-еналя и соответствующее аминовое соединение, в результате чего получали соединения по настоящему изобретению, указанные ниже. В случае соединения примера 29(4) преобразование гидрохлорида не осуществляли.
Пример 29(1)
гидрохлорид 3-({(2E)-3-[4-(3-циклогексилпропокси)-2-метилфенил]-2-пропенил}амино)пропановой кислоты:
ТСХ: Rf 0,22 (хлороформ : метанол : водный раствор аммиака = 80 : 20 : 4);
1H-ЯМР (CD3OD): 0,84-1,01 (м, 2H), 1,13-1,40 (м, 6H), 1,61-1,83 (м, 7H), 2,34 (с, 3H), 2,77 (т, J=6,50 Гц, 2H), 3,22-3,29 (м, 2H), 3,82 (д, J=7,00 Гц, 2H), 3,93 (т, J=6,50 Гц, 2H), 5,95-6,09 (м, 1H), 6,68-6,76 (м, 2H), 7,06 (д, J=15,50 Гц, 1H), 7,43 (д, J=9,50 Гц, 1H).
Пример 29(2)
гидрохлорид 3-({[1-метил-6-(4-фенилбутокси)-3,4-дигидро-2-нафталинил]метил}амино)пропановой кислоты:
Температура плавления: 162,5-163,3°C;
ТСХ: Rf 0,16 (хлороформ : метанол : водный раствор аммиака = 80 : 20 : 4);
1H-ЯМР (CD3OD): 7,09-7,33 (м, 6H), 6,66-6,80 (м, 2H), 3,95- 4,01 (м, 2H), 3,93 (с, 2H), 3,25-3,34 (м, 2H), 2,71-2,83 (м, 4H), 2,61-2,71 (м, 2H), 2,26-2,38 (м, 2H), 2,15 (с, 3H), 1,72-1,83 (м, 4H).
Пример 29(3)
гидрохлорид 1-{[1-метил-6-(4-фенилбутокси)-3,4-дигидро-2-нафталинил]метил}-3-азетидинкарбоновой кислоты:
ТСХ: Rf 0,14 (хлороформ : метанол : водный раствор аммиака = 80 : 20 : 4);
1H-ЯМР (CD3OD): 7,03-7,39 (м, 6H), 6,64-6,82 (м, 2H), 4,20-4,48 (м, 2H), 4,16 (с, 2H), 3,92-4,06 (м, 2H), 3,57-3,82 (м, 1H), 3,24-3,36 (м, 2H), 2,61-2,79 (м, 4H), 2,17-2,29 (м, 5H), 1,72-1,83 (м, 4H);
Температура плавления: 121-122°C.
Пример 29(4)
N-{[1-(5-фенилпентил)-1H-индол-5-ил]метил}- -аланин:
ТСХ: Rf 0,23 (хлороформ : метанол : водный раствор аммиака = 80 : 20 : 4);
1H-ЯМР (CD3OD): 7,66 (д, J=1,50 Гц, 1H), 7,46 (д, J=8,50 Гц, 1H), 7,16-7,26 (м, 4H), 7,06-7,14 (м, 3H), 6,46 (д, J=3,00 Гц, 1H), 4,25 (с, 2H), 4,18 (т, J=7,00 Гц, 2H), 3,15 (т, J=6,50 Гц, 2H), 2,53 (т, J=7,50 Гц, 2H), 2,48 (т, J=6,50 Гц, 2H), 1,78-1,90 (м, 2H), 1,54-1,66 (м, 2H), 1,23-1,36 (м, 2H).
Пример 30
трифторацетат 3-[4-[4-(3-фенилпропокси)фенил]-3,6-дигидропиридин-1(2H)-ил]пропановой кислоты:

Осуществляли процедуру Примера 4 и Примера 16 в указанном порядке, но при этом использовали 4-[4-(3-фенилпропокси)фенил-1,2,3,6-тетрагидропиридин в качестве заместителя для 4-(3-аминопропил)фенола, в результате чего получали указанное в заголовке соединение, имеющее следующие физические характеристики.
ТСХ: Rf 0,24 (хлороформ : метанол : водный раствор аммиака = 8 : 2 : 0,4);
1H-ЯМР (CD3OD): 7,40 (д, J=8,97 Гц, 2H), 7,10-7,30 (м, 5H), 6,90 (д, J=8,97 Гц, 2H), 5,92-6,09 (м, 1H), 3,96 (т, J=6,22 Гц, 2H), 3,89-4,00 (м, 2H), 3,52 (т, J=7,04 Гц, 2H), 3,47-3,68 (м, 2H), 2,88 (т, J=7,04 Гц, 2H), 2,83-2,92 (м, 2H), 2,79 (т, J=7,80 Гц, 2H), 1,97-2,14 (м, 2H).
Примеры 31-01 – 31-94
Осуществляли процедуру, аналогичную процедуре Примера 29, за исключением того, что использовали соответствующее аминовое соединение в качестве заместителя для -аланина и соответствующее альдегидное соединение в качестве заместителя для (2E)-3-[4-(3-фенилпропокси)фенил]бут-2-еналя, в результате чего получали указанное в заголовке соединение, имеющее следующие физические характеристики.
Пример 31-01
гидрохлорид 3-({(2E)-3-[3-метил-4-(3-фенилпропокси)фенил]-2-пропенил}амино)пропановой кислоты:

ТСХ: Rf 0,15 (хлороформ : метанол : водный раствор аммиака = 80 : 20 : 4);
1H-ЯМР (CD3OD): 2,05-2,13 (м, 2H), 2,23 (с, 3H), 2,73-2,86 (м, 4H), 3,24-3,29 (м, 2H), 3,79 (д, J=7,50 Гц, 2H), 3,97 (т, J=6,00 Гц, 2H), 6,03-6,14 (м, 1H), 6,72-6,83 (м, 2H), 7,11-7,29 (м, 7H).
Пример 31-02
гидрохлорид 3-({(2E)-3-[3-метил-4-(4-фенилбутокси)фенил]-2-пропенил}амино)пропановой кислоты:
ТСХ: Rf 0,16 (хлороформ : метанол : водный раствор аммиака = 80 : 20 : 4);
1H-ЯМР (CD3OD): 1,78-1,86 (м, 4H), 2,19 (с, 3H), 2,64-2,79 (м, 4H), 3,23-3,28 (м, 2H), 3,78 (д, J=7,00 Гц, 2H), 3,96-4,03 (м, 2H), 6,03-6,14 (м, 1H), 6,76 (д, J=15,50 Гц, 1H), 6,83 (д, J=8,00 Гц, 1H), 7,09-7,28 (м, 7H).
Пример 31-03:
гидрохлорид 3-[((2E)-3-{3-метил-4-[(5-фенилпентил)окси]фенил}-2-пропенил)амино]пропановой кислоты:
ТСХ: Rf 0,18 (хлороформ : метанол : водный раствор аммиака = 80 : 20 : 4);
1H-ЯМР (CD3OD): 1,48-1,58 (м, 2H), 1,65-1,75 (м, 2H), 1,77-1,87 (м, 2H), 2,15 (с, 3H), 2,64 (т, J=7,50 Гц, 2H), 2,75 (т, J=6,50 Гц, 2H), 3,19-3,28 (м, 2H), 3,78 (д, J=7,50 Гц, 2H), 3,97 (т, J=6,00 Гц, 2H), 6,02-6,14 (м, 1H), 6,76 (д, J=16,00 Гц, 1H), 6,83 (д, J=8,00 Гц, 1H), 7,08-7,27 (м, 7H).
Пример 31-04
гидрохлорид 3-({(2E)-3-[4-(4-фенилбутокси)фенил]-2-бутенил}амино)пропановой кислоты:
ТСХ: Rf 0,20 (хлороформ : метанол : водный раствор аммиака = 80 : 20 : 4);
1H-ЯМР (CD3OD): 1,76-1,82 (м, 4H), 2,14 (д, J=1,50 Гц, 3H), 2,64-2,71 (м, 2H), 2,76 (т, J=6,50 Гц, 2H), 3,30-3,35 (м, 2H), 3,87 (д, J=7,50 Гц, 2H), 3,96-4,01 (м, 2H), 5,75 (ткв, J=7,50, 1,50 Гц, 1H), 6,88 (д, J=9,00 Гц, 2H), 7,09-7,28 (м, 5H), 7,38 (д, J=9,00 Гц, 2H).
Пример 31-05
гидрохлорид 3-[((2E)-3-{4-[(5-фенилпентил)окси]фенил}-2-бутенил)амино]пропановой кислоты:
ТСХ: Rf 0,20 (хлороформ : метанол : водный раствор аммиака = 80 : 20 : 4);
1H-ЯМР (CD3OD): 1,45-1,56 (м, 2H), 1,63-1,74 (м, 2H), 1,74-1,85 (м, 2H), 2,15 (д, J=1,50 Гц, 3H), 2,63 (т, J=7,50 Гц, 2H), 2,76 (т, J=6,50 Гц, 2H), 3,31-3,37 (м, 2H), 3,87 (д, J=7,50 Гц, 2H), 3,96 (т, J=6,50 Гц, 2H), 5,75 (ткв, J=7,50, 1,50 Гц, 1H), 6,87 (д, J=9,00 Гц, 2H), 7,10-7,26 (м, 5H), 7,38 (д, J=9,00 Гц, 2H).
Пример 31-06
3-({[6-(4-фенилбутокси)-3,4-дигидро-2-нафталинил]метил}амино)пропановой кислоты гидрохлорид:

ТСХ: Rf 0,19 (хлороформ : метанол : водный раствор аммиака = 80 : 20 : 4);
1H-ЯМР (CD3OD): 1,75-1,82 (м, 4H), 2,34 (т, J=8,00 Гц, 2H), 2,63-2,71 (м, 2H), 2,77 (т, J=6,50 Гц, 2H), 2,85 (т, J=8,00 Гц, 2H), 3,23-3,28 (м, 2H), 3,79 (с, 2H), 3,97 (т, J=6,00 Гц, 2H), 6,62 (с, 1H), 6,68-6,73 (м, 2H), 7,00 (д, J=7,50 Гц, 1H), 7,11-7,28 (м, 5H).
Пример 31-07
гидрохлорид 3-({[6-(4-фенилбутокси)-3,4-дигидро-2-нафталинил]метил}амино)бутановой кислоты:
ТСХ: Rf 0,32 (хлороформ : метанол : водный раствор аммиака = 80 : 20 : 4);
1H-ЯМР (CD3OD): 1,42 (д, J=7,00 Гц, 3H), 1,75-1,81 (м, 4H), 2,29-2,44 (м, 2H), 2,64-2,71 (м, 2H), 2,73-2,78 (м, 2H), 2,86 (т, J=8,00 Гц, 2H), 3,61-3,72 (м, 1H), 3,82 (с, 2H), 3,97 (т, J=6,00 Гц, 2H), 6,64 (с, 1H), 6,68-6,73 (м, 2H), 7,00 (д, J=7,50 Гц, 1H), 7,11-7,28 (м, 5H).
Пример 31-08
гидрохлорид 2-метил-3-({[6-(4-фенилбутокси)-3,4-дигидро-2-нафталинил]метил}амино)пропановой кислоты:
ТСХ: Rf 0,29 (хлороформ : метанол : водный раствор аммиака = 80 : 20 : 4);
1H-ЯМР (CD3OD): 1,30 (д, J=7,00 Гц, 3H), 1,73-1,82 (м, 4H), 2,33 (т, J=7,50 Гц, 2H), 2,63-2,71 (м, 2H), 2,81-2,95 (м, 3H), 3,06 (дд, J=13,00, 4,50 Гц, 1H), 3,21-3,29 (м, 1H), 3,79 (с, 2H), 3,97 (т, J=6,00 Гц, 2H), 6,62 (с, 1H), 6,68-6,74 (м, 2H), 7,01 (д, J=8,00 Гц, 1H), 7,10-7,28 (м, 5H).
Пример 31-09
гидрохлорид 2-фтор-3-({[6-(4-фенилбутокси)-3,4-дигидро-2-нафталинил]метил}амино)пропановой кислоты:
ТСХ: Rf 0,16 (хлороформ : метанол : водный раствор аммиака = 80 : 20 : 4);
1H-ЯМР (CD3OD): 1,74-1,82 (м, 4H), 2,35 (т, J=8,00 Гц, 2H), 2,64-2,71 (м, 2H), 2,86 (т, J=8,00 Гц, 2H), 3,47-3,72 (м, 2H), 3,85 (с, 2H), 3,97 (т, J=6,00 Гц, 2H), 5,36 (ддд, J=48,50, 8,00, 3,50 Гц, 1H), 6,64 (с, 1H), 6,67-6,76 (м, 2H), 7,01 (д, J=8,00 Гц, 1H), 7,10-7,30 (м, 5H).
Пример 31-10
гидрохлорид 3-({(2E)-3-[2-метил-4-(4-фенилбутокси)фенил]-2-пропенил}амино)пропановой кислоты:
ТСХ: Rf 0,22 (хлороформ : метанол : водный раствор аммиака = 80 : 20 : 4);
1H-ЯМР (CD3OD): 1,72-1,83 (м, 4H), 2,34 (с, 3H), 2,64-2,71 (м, 2H), 2,77 (т, J=6,50 Гц, 2H), 3,23-3,29 (м, 2H), 3,82 (д, J=7,00 Гц, 2H), 3,96 (т, J=6,00 Гц, 2H), 5,96-6,08 (м, 1H), 6,70-6,75 (м, 2H), 7,06 (д, J=15,50 Гц, 1H), 7,09-7,28 (м, 5H), 7,42 (д, J=9,50 Гц, 1H).
Пример 31-11
гидрохлорид 3-({(2E)-3-[4-(4-циклогексилбутокси)-2-метилфенил]-2-пропенил}амино)пропановой кислоты:
ТСХ: Rf 0,23 (хлороформ : метанол : водный раствор аммиака = 80 : 20 : 4);
1H-ЯМР (CD3OD): 0,81-1,00 (м, 2H), 1,13-1,35 (м, 6H), 1,41-1,54 (м, 2H), 1,62-1,80 (м, 7H), 2,34 (с, 3H), 2,77 (т, J=6,50 Гц, 2H), 3,24-3,29 (м, 2H), 3,82 (д, J=7,50 Гц, 2H), 3,95 (т, J=6,50 Гц, 2H), 5,95-6,10 (м, 1H), 6,70-6,76 (м, 2H), 7,06 (д, J=15,50 Гц, 1H), 7,43 (д, J=9,00 Гц, 1H).
Пример 31-12
гидрохлорид 3-({(2E)-3-[4-(4-фенилбутокси)фенил]-2-пропенил}амино)пропановой кислоты:
ТСХ: Rf 0,29 (хлороформ : метанол : водный раствор аммиака = 80 : 20 : 4);
1H-ЯМР (CD3OD): 7,39 (д, J=8,79 Гц, 2H), 7,09-7,30 (м, 5H), 6,89 (д, J=8,79 Гц, 2H), 6,80 (д, J=16,11 Гц, 1H), 6,10 (дт, J=16,11, 7,32 Гц, 1H), 3,92-4,04 (м, 2H), 3,79 (дд, J=7,32, 1,01 Гц, 2H), 3,24-3,29 (м, 2H), 2,75 (т, J=6,59 Гц, 2H), 2,60-2,71 (м, 2H), 1,71-1,86 (м, 4H).
Пример 31-13
гидрохлорид 3-[((2E)-3-{4-[3-(4-хлорфенил)пропокси]фенил}-2-пропенил)амино]пропановой кислоты:
ТСХ: Rf 0,28 (хлороформ : метанол : водный раствор аммиака = 80 : 20 : 4);
1H-ЯМР (CD3OD): 7,40 (д, J=8,79 Гц, 2H), 7,25 (д, J=8,60 Гц, 2H), 7,19 (д, J=8,60 Гц, 2H), 6,89 (д, J=8,79 Гц, 2H), 6,81 (д, J=15,74 Гц, 1H), 6,11 (дт, J=15,74, 7,14 Гц, 1H), 3,96 (т, J=6,13 Гц, 2H), 3,79 (д, J=7,14 Гц, 2H), 3,20-3,29 (м, 2H), 2,69-2,84 (м, 4H), 1,98-2,11 (м, 2H).
Пример 31-14
гидрохлорид 3-[((2E)-3-{4-[(4-метилпентил)окси]фенил}-2-пропенил)амино]пропановой кислоты:
ТСХ: Rf 0,27 (хлороформ : метанол : водный раствор аммиака = 80 : 20 : 4);
1H-ЯМР (CD3OD): 7,40 (д, J=8,79 Гц, 2H), 6,89 (д, J=8,79 Гц, 2H), 6,81 (д, J=15,74 Гц, 1H), 6,11 (дт, J=15,74, 7,32 Гц, 1H), 3,96 (т, J=6,50 Гц, 2H), 3,80 (д, J=7,32 Гц, 2H), 3,22-3,29 (м, 2H), 2,75 (т, J=6,59 Гц, 2H), 1,70-1,84 (м, 2H), 1,51-1,68 (м, 1H), 1,28-1,43 (м, 2H), 0,93 (д, J=6,59 Гц, 6H).
Пример 31-15
гидрохлорид 3-[((2E)-3-{2-хлор-4-[(5-фенилпентил)окси]-фенил}-2-пропенил)амино]пропановой кислоты:
ТСХ: Rf 0,29 (хлороформ : метанол : водный раствор аммиака = 80 : 20 : 4);
1H-ЯМР (CD3OD): 7,59 (д, J=8,79 Гц, 1H), 7,08-7,28 (м, 6H), 6,95 (д, J=2,56 Гц, 1H), 6,87 (дд, J=8,79, 2,56 Гц, 1H), 6,18 (дт, J=15,70, 7,16 Гц, 1H), 3,97 (т, J=6,41 Гц, 2H), 3,85 (дд, J=7,16, 1,01 Гц, 2H), 3,25-3,34 (м, 2H), 2,77 (т, J=6,59 Гц, 2H), 2,63 (т, J=7,69 Гц, 2H), 1,74-1,87 (м, 2H), 1,61-1,74 (м, 2H), 1,41-1,57 (м, 2H).
Пример 31-16
гидрохлорид 3-({(2E)-3-[2-хлор-4-(4-фенилбутокси)фенил]-2-пропенил}амино)пропановой кислоты:
ТСХ: Rf 0,29 (хлороформ : метанол : водный раствор аммиака = 80 : 20 : 4);
1H-ЯМР (CD3OD): 7,58 (д, J=8,79 Гц, 1H), 7,08-7,31 (м, 6H), 6,96 (д, J=2,56 Гц, 1H), 6,88 (дд, J=8,79, 2,56 Гц, 1H), 6,18 (дт, J=15,84, 7,19 Гц, 1H), 3,93-4,04 (м, 2H), 3,85 (дд, J=7,19, 1,10 Гц, 2H), 3,25-3,33 (м, 2H), 2,77 (т, J=6,59 Гц, 2H), 2,62-2,72 (м, 2H), 1,74-1,84 (м, 4H).
Пример 31-17
гидрохлорид 3-[((2E)-3-{2-хлор-4-[3-(4-хлорфенил)-пропокси]фенил}-2-пропенил)амино]пропановой кислоты:
ТСХ: Rf 0,29 (хлороформ : метанол : водный раствор аммиака = 80 : 20 : 4);
1H-ЯМР (CD3OD): 7,59 (д, J=8,79 Гц, 1H), 7,12-7,31 (м, 5H), 6,96 (д, J=2,56 Гц, 1H), 6,88 (дд, J=8,79, 2,56 Гц, 1H), 6,18 (дт, J=15,74, 7,32 Гц, 1H), 3,97 (т, J=6,22 Гц, 2H), 3,85 (дд, J=7,32, 1,10 Гц, 2H), 3,26-3,34 (м, 2H), 2,71-2,84 (м, 4H), 1,96-2,14 (м, 2H);
Температура плавления: 119-124°C.
Пример 31-18
3-({[6-(3-фенилпропокси)-2-нафтил]метил}амино)пропановая кислота:
ТСХ: Rf 0,13 (хлороформ : метанол : водный раствор аммиака = 80 : 20 : 4);
1H-ЯМР (CDCl3+CD3OD = 5 : 1): 2,19 (м, 2H), 2,47 (т, J=6,00 Гц, 2H), 2,87 (м, 2H), 3,10 (т, J=6,00 Гц, 2H), 4,10 (т, J=6,50 Гц, 2H), 4,22 (с, 2 H), 7,12 (д, J=2,00 Гц, 1H), 7,26 (м, 6H), 7,43 (дд, J=8,50, 2,00 Гц, 1H), 7,79 (м, 3H).
Пример 31-19
гидрохлорид 3-[((2E)-3-{4-[(4-трет-бутилбензил)окси]-2-хлорфенил}-2-пропенил)амино]пропановой кислоты:
ТСХ: Rf 0,40 (н-бутанол : уксусная кислота: вода = 20 : 4 : 1);
1H-ЯМР (CD3OD): 7,61 (д, J=8,78 Гц, 1H), 7,41 (д, J=8,70 Гц, 2H), 7,34 (д, J=8,70 Гц, 2H), 7,17 (д, J=15,92 Гц, 1H), 7,05 (д, J=2,56 Гц, 1H), 6,96 (дд, J=8,78, 2,56 Гц, 1H), 6,21 (дт, J=15,92, 7,25 Гц, 1H), 5,06 (с, 2H), 3,86 (дд, J=7,25, 0,82 Гц, 2H), 3,25-3,35 (м, 2H), 2,78 (т, J=6,68 Гц, 2H), 1,31 (с, 9H).
Пример 31-20
гидрохлорид 3-({(2E)-3-[4-(1,1′-бифенил-4-илметокси)-2-хлорфенил]-2-пропенил}амино)пропановой кислоты
ТСХ: Rf 0,41 (н-бутанол : уксусная кислота: вода = 20 : 4 : 1);
1H-ЯМР (CD3OD): 7,57-7,67 (м, 5H), 7,50 (д, J=8,40 Гц, 2H), 7,39-7,46 (м, 2H), 7,29-7,37 (м, 1H), 7,19 (д, J=15,73 Гц, 1H), 7,10 (д, J=2,38 Гц, 1H), 7,00 (дд, J=8,78, 2,38 Гц, 1H), 6,19 (дт, J=15,73, 7,25 Гц, 1H), 5,16 (с, 2H), 3,85 (дд, J=7,25, 1,10 Гц, 2H), 3,26-3,36 (м, 2H), 2,76 (т, J=6,59 Гц, 2H).
Пример 31-21
гидрохлорид 3-[((2E)-3-{2-хлор-4-[3-(2- фторфенил)пропокси]фенил}-2-пропенил)амино]пропановой кислоты:
ТСХ: Rf 0,39 (н-бутанол : уксусная кислота: вода = 20 : 4 : 1);
1H-ЯМР (CD3OD): 7,61 (д, J=8,78 Гц, 1H), 7,12-7,30 (м, 3H), 6,96-7,13 (м, 2H), 6,95 (д, J=2,38 Гц, 1H), 6,88 (дд, J=8,60, 2,38 Гц, 1H), 6,21 (дт, J=15,74, 7,32 Гц, 1H), 3,99 (т, J=6,13 Гц, 2H), 3,86 (дд, J=7,32, 1,10 Гц, 2H), 3,27-3,36 (м, 2H), 2,75-2,88 (м, 4H), 2,00-2,13 (м, 2H).
Пример 31-22
гидрохлорид 1-{[6-(4-фенилбутокси)-3,4-дигидро-2-нафталинил]метил}-3-азетидинкарбоновой кислоты:
ТСХ: Rf 0,11 (хлороформ : метанол : водный раствор аммиака = 80 : 20 : 4);
1H-ЯМР (CD3OD): 1,75-1,80 (м, 4H), 2,27 (т, J=8,00 Гц, 2H), 2,63-2,71 (м, 2H), 2,82 (т, J=8,00 Гц, 2H), 3,64-3,78 (м, 1H), 3,93-4,01 (м, 4H), 4,16-4,46 (м, 4H), 6,62 (с, 1H), 6,68-6,72 (м, 2H), 7,03 (д, J=9,00 Гц, 1H), 7,10-7,27 (м, 5H);
Температура плавления: 152-155°C.
Пример 31-23
гидрохлорид 3-({(2E)-3-[2-метокси-4-(3-фенилпропокси)-фенил]-2-пропенил}амино)пропановой кислоты:
ТСХ: Rf 0,27 (н-бутанол : уксусная кислота: вода = 20 : 4 : 1);
1H-ЯМР (CD3OD): 7,36 (д, J=8,4 Гц, 1H), 7,11-7,30 (м, 5H), 7,03 (д, J=16,1 Гц, 1H), 6,35-6,62 (м, 2H), 6,05-6,26 (м, 1H), 3,89-4,06 (м, 2H), 3,64-3,89 (м, 5H), 3,15-3,37 (м, 2H), 2,65-2,89 (м, 4H), 1,94-2,16 (м, 2H).
Пример 31-24
гидрохлорид 3-({(2E)-3-[2-метокси-4-(4-фенилбутокси)фенил]-2-пропенил}амино)пропановой кислоты:
ТСХ: Rf 0,28 (н-бутанол : уксусная кислота: вода = 20 : 4 : 1);
1H-ЯМР (CD3OD): 7,36 (д, J=8,23 Гц, 2H), 7,09-7,30 (м, 5H), 7,02 (д, J=16,28 Гц, 1H), 3,88-4,07 (м, 2H), 3,62-3,88 (м, 5H), 3,16-3,40 (м, 2H), 2,46-2,85 (м, 4H), 1,71-1,87 (м, 4H).
Пример 31-25
гидрохлорид 3-[((2E)-3-{2-метокси-4-[(5-фенилпентил)окси]фенил}-2-пропенил)амино]пропановой кислоты:
ТСХ: Rf 0,30 (н-бутанол : уксусная кислота: вода = 20 : 4 : 1);
1H-ЯМР (CD3OD): 7,36 (д, J=8,4 Гц, 1H), 7,09-7,29 (м, 5H), 7,02 (д, J=15,9 Гц, 1H), 6,41-6,58 (м, 2H), 6,04-6,30 (м, 1H), 3,98 (т, J=6,4 Гц, 2H), 3,67-3,89 (м, 5H), 3,05-3,43 (м, 2H), 2,74 (т, J=6,6 Гц, 2H), 2,54-2,71 (м, 2H), 1,76-1,88 (м, 2H), 1,60-1,76 (м, 2H), 1,42-1,59 (м, 2H).
Пример 31-26
гидрохлорид 3-{[(6-{3-[3,5-бис(трифторметил)фенил]-пропокси}-2-нафтил)метил]амино}пропановой кислоты:
ТСХ: Rf 0,16 (хлороформ : метанол : уксусная кислота = 9 : 1 : 0,5);
1H-ЯМР (CD3OD): 7,73-7,97 (м, 6H), 7,52 (дд, J=8,32, 1,56 Гц, 1H), 7,25 (д, J=2,47 Гц, 1H), 7,19 (дд, J=8,87, 2,47 Гц, 1H), 4,37 (с, 2H), 4,14 (т, J=5,95 Гц, 2H), 3,28-3,37 (м, 2H), 3,01-3,13 (м, 2H), 2,71-2,86 (м, 2H), 2,15-2,31 (м, 2H).
Пример 31-27
ацетат 3-[({6-[3-(2-хлорфенил)пропокси]-2-нафтил}метил)-амино]пропановой кислоты:
ТСХ: Rf 0,17 (хлороформ : метанол : уксусная кислота = 9 : 1 : 0,5);
1H-ЯМР (CD3OD): 7,89 (с, 1H), 7,82 (д, J=8,42 Гц, 1H), 7,80 (д, J=8,42 Гц, 1H), 7,49 (дд, J=8,60, 1,65 Гц, 1H), 7,33-7,39 (м, 1H), 7,27-7,33 (м, 1H), 7,11-7,26 (м, 4H), 4,31 (с, 2H), 4,12 (т, J=6,13 Гц, 2H), 3,20 (т, J=6,22 Гц, 2H), 2,92-3,04 (м, 2H), 2,52 (т, J=6,22 Гц, 2H), 2,08-2,24 (м, 2H), 1,95 (с, 3H).
Пример 31-28
ацетат 3-[({6-[3-(2,6-дихлорфенил)пропокси]-2-нафтил}метил)амино]пропановой кислоты:
ТСХ: Rf 0,17 (хлороформ : метанол : уксусная кислота = 9 : 1 : 0,5);
1H-ЯМР (CD3OD): 7,89 (с, 1H), 7,83 (д, J=8,50 Гц, 1H), 7,80 (д, J=8,50 Гц, 1H), 7,50 (дд, J=8,42, 1,46 Гц, 1H), 7,35 (д, J=8,50 Гц, 2H), 7,25 (д, J=2,38 Гц, 1H), 7,14-7,21 (м, 2H), 4,32 (с, 2H), 4,19 (т, J=6,04 Гц, 2H), 3,15-3,25 (м, 4H), 2,49-2,57 (м, 2H), 2,08-2,20 (м, 2H), 1,93 (с, 3H).
Пример 31-29
гидрохлорид 3-({(2Z)-3-[4-(3-фенилпропокси)фенил]-2-бутенил}амино)пропановой кислоты:
ТСХ: Rf 0,27 (хлороформ : метанол : водный раствор аммиака = 80 : 20 : 4);
1H-ЯМР (CD3OD): 7,10-7,29 (м, 7H), 6,94 (д, J=9,00 Гц, 2H), 5,55 (ткв, J=7,00, 1,50 Гц, 1H), 3,97 (т, J=6,00 Гц, 2H), 3,63 (дд, J=7,00, 1,00 Гц, 2H), 3,12 (т, J=6,50 Гц, 2H), 2,80 (т, J=7,50 Гц, 2H), 2,62 (т, J=6,50 Гц, 2H), 2,12-2,15 (м, 3H), 2,02-2,11 (м, 2H).
Пример 31-30
гидрохлорид 3-[((2E)-3-{2-хлор-4-[(4-пропилбензил)окси]-фенил}-2-пропенил)амино]пропановой кислоты:
ТСХ: Rf 0,25 (н-бутанол : уксусная кислота: вода = 20 : 4 : 1);
1H-ЯМР (CD3OD): 7,59 (д, J=9,0 Гц, 1H), 7,32 (д, J=8,1 Гц, 2H), 7,14-7,23 (м, 3H), 7,06 (д, J=2,6 Гц, 1H), 6,96 (дд, J=8,8, 2,6 Гц, 1H), 6,18 (дт, J=9,0, 8,8 Гц, 1H), 5,06 (с, 2H), 3,85 (дд, J=7,3, 0,9 Гц, 2H), 3,26-3,34 (м, 2H), 2,76 (т, J=6,6 Гц, 2H), 2,55-2,63 (м, 2H), 1,56-1,71 (м, 2H), 0,93 (т, J=7,3 Гц, 3H).
Пример 31-31
гидрохлорид 3-[((2E)-3-{2-хлор-4-[(4-пентилбензил)окси]-фенил}-2-пропенил)амино]пропановой кислоты:
ТСХ: Rf 0,22 (н-бутанол : уксусная кислота: вода = 20 : 4 : 1);
1H-ЯМР (CD3OD): 7,60 (д, J=8,78 Гц, 1H), 7,32 (д, J=8,23 Гц, 2H), 7,12-7,23 (м, 3H), 7,06 (д, J=2,56 Гц, 1H), 6,96 (дд, J=8,60, 2,56 Гц, 1H), 6,09-6,31 (м, 1H), 5,06 (с, 2H), 3,85 (дд, J=7,23, 1,01 Гц, 2H), 3,22-3,39 (м, 2H), 2,76 (т, J=6,59 Гц, 2H), 2,61 (т, J=8,10 Гц, 2H), 1,54-1,68 (м, 2H), 1,25-1,42 (м, 4H), 0,89 (т, J=6,90 Гц, 3H).
Пример 31-32
гидрохлорид 3-[((2E)-3-{2-хлор-4-[(4-гексилбензил)окси]-фенил}-2-пропенил)амино]пропановой кислоты:
ТСХ: Rf 0,25 (н-бутанол : уксусная кислота: вода = 20 : 4 : 1);
1H-ЯМР (CD3OD): 7,59 (д, J=8,8 Гц, 1H), 7,32 (д, J=8,1 Гц, 2H), 7,11-7,25 (м, 3H), 7,06 (д, J=2,6 Гц, 1H), 6,96 (дд, J=8,8, 2,6 Гц, 1H), 6,06-6,30 (м, 1H), 5,06 (с, 2H), 3,85 (дд, J=7,2, 1,0 Гц, 2H), 3,19-3,40 (м, 2H), 2,76 (т, J=6,3 Гц, 2H), 2,54-2,66 (м, 2H), 1,50-1,69 (м, 2H), 1,26-1,38 (м, 6H), 0,83-0,93 (м, 3H).
Пример 31-33
гидрохлорид 3-[((2E)-3-{2-хлор-4-[(4-циклогексилбензил)окси]фенил}-2-пропенил)амино]пропановой кислоты:
ТСХ: Rf 0,22 (н-бутанол : уксусная кислота: вода = 20 : 4 : 1);
1H-ЯМР (CD3OD): 7,59 (д, J=8,6 Гц, 1H), 7,32 (д, J=8,4 Гц, 2H), 7,13-7,25 (м, 3H), 7,06 (д, J=2,6 Гц, 1H), 6,96 (дд, J=8,9, 2,6 Гц, 1H), 6,04-6,30 (м, 1H), 5,06 (с, 2H), 3,84 (д, J=6,6 Гц, 2H), 2,70-2,79 (м, 2H), 2,42-2,58 (м, 2H), 1,69-1,89 (м, 5H), 1,20-1,52 (м, 6H).
Пример 31-34
гидрохлорид 3-[((2E)-3-{2-хлор-4-[(4-изобутилбензил)окси]-фенил}-2-пропенил)амино]пропановой кислоты:
ТСХ: Rf 0,24 (н-бутанол : уксусная кислота: вода = 20 : 4 : 1);
1H-ЯМР (CD3OD): 7,60 (д, J=8,6 Гц, 1H), 7,32 (д, J=8,2 Гц, 2H), 7,12-7,25 (м, 3H), 7,07 (д, J=2,6 Гц, 1H), 6,97 (дд, J=9,0, 2,6 Гц, 1H), 6,18 (дт, J=15,6, 7,2 Гц, 1H), 5,06 (с, 2H), 3,85 (дд, J=7,2, 1,2 Гц, 2H), 3,25-3,35 (м, 2H), 2,75 (т, J=6,5 Гц, 2H), 2,48 (д, J=7,3 Гц, 2H), 1,76-1,95 (м, 1H), 0,89 (д, J=6,6 Гц, 6H).
Пример 31-35
гидрохлорид 3-[((2E)-3-{4-[2-(1,1′-бифенил-4-ил)этокси]-2-хлорфенил}-2-пропенил)амино]пропановой кислоты:
ТСХ: Rf 0,25 (н-бутанол : уксусная кислота: вода = 20 : 4 : 1);
1H-ЯМР (CD3OD): 7,48-7,68 (м, 5H), 7,24-7,47 (м, 4H), 7,18 (д, J=15,92 Гц, 1H), 6,99 (д, J=2,56 Гц, 1H), 6,91 (дд, J=8,69, 2,56 Гц, 1H), 6,05-6,28 (м, 1H), 4,25 (т, J=6,68 Гц, 2H), 3,85 (дд, J=7,32, 1,10 Гц, 2H), 3,20-3,39 (м, 2H), 3,11 (т, J=6,68 Гц, 2H), 2,76 (т, J=6,68 Гц, 2H).
Пример 31-36
гидрохлорид 3-[((2E)-3-{4-[(4-бутилбензил)окси]-2-хлорфенил}-2-пропенил)амино]пропановой кислоты:
ТСХ: Rf 0,20 (н-бутанол : уксусная кислота: вода = 20 : 4 : 1);
1H-ЯМР (CD3OD): 7,60 (д, J=8,8 Гц, 1H), 7,32 (д, J=8,4 Гц, 2H), 7,11-7,24 (м, 3H), 7,06 (д, J=2,6 Гц, 1H), 6,96 (дд, J=8,8, 2,3 Гц, 1H), 6,18 (дт, J=15,9, 7,1 Гц, 1H), 5,06 (с, 2H), 3,85 (дд, J=7,1, 1,1 Гц, 2H), 3,24-3,38 (м, 2H), 2,76 (т, J=6,6 Гц, 2H), 2,61 (т, J=7,8 Гц, 2H), 1,50-1,68 (м, 2H), 1,25-1,43 (м, 2H), 0,93 (т, J=7,3 Гц, 3H).
Пример 31-37
гидрохлорид 3-{[(2E)-3-(2-хлор-4-{3-[4-(трифторметил)-фенил]пропокси}фенил)-2-пропенил]амино}пропановой кислоты:
ТСХ: Rf 0,19 (н-бутанол : уксусная кислота: вода = 20 : 4 : 1);
1H-ЯМР (CD3OD): 7,49-7,67 (м, 3H), 7,41 (д, J=8,2 Гц, 2H), 7,18 (д, J=15,7 Гц, 1H), 6,97 (д, J=2,6 Гц, 1H), 6,89 (дд, J=8,8, 2,6 Гц, 1H), 6,07-6,29 (м, 1H), 4,00 (т, J=6,1 Гц, 2H), 3,85 (д, J=7,2 Гц, 2H), 3,17-3,41 (м, 2H), 2,89 (дд, J=8,1, 7,3 Гц, 2H), 2,68-2,82 (м, 2H), 2,01-2,19 (м, 2H).
Пример 31-38
гидрохлорид 3-({[1-метил-6-(3-фенилпропокси)-3,4-дигидро-2-нафталинил]метил}амино)пропановой кислоты:
ТСХ: Rf 0,25 (хлороформ : метанол : водный раствор аммиака = 80 : 20 : 4);
1H-ЯМР (CD3OD): 7,31 (д, J=8,50 Гц, 1H), 7,11-7,28 (м, 5H), 6,71-6,79 (м, 2H), 3,92-3,99 (м, 4H), 3,27-3,33 (м, 2H), 2,73-2,82 (м, 6H), 2,33 (т, J=7,00 Гц, 2H), 2,16 (с, 3H), 2,01-2,11 (м, 2H).
Пример 31-39
гидрохлорид 1-{[1-метил-6-(3-фенилпропокси)-3,4-дигидро-2-нафталинил]метил}-3-азетидинкарбоновой кислоты:
ТСХ: Rf 0,20 (хлороформ : метанол : водный раствор аммиака = 80 : 20 : 4);
1H-ЯМР (CD3OD): 7,32 (д, J=8,50 Гц, 1H), 7,11-7,28 (м, 5H), 6,76 (дд, J=8,50, 2,50 Гц, 1H), 6,72 (д, J=2,50 Гц, 1H), 4,20-4,45 (м, 4H), 4,16 (с, 2H), 3,96 (т, J=6,50 Гц, 2H), 3,67-3,78 (м, 1H), 2,69-2,83 (м, 4H), 2,20-2,29 (м, 5H), 2,01-2,11 (м, 2H).
Пример 31-40
3-({[6-(4-фенилбутокси)-1H-инден-2-ил]метил}амино)-пропановая кислота:
ТСХ: Rf 0,24 (хлороформ : метанол : водный раствор аммиака = 80 : 20 : 4);
1H-ЯМР (CD3OD): 7,04-7,33 (м, 7H), 6,92-6,97 (м, 1H), 6,74-6,84 (м, 1H), 4,03-4,10 (м, 2H), 3,96-4,02 (м, 2H), 3,44-3,52 (м, 2H), 3,14-3,21 (м, 2H), 2,63-2,72 (м, 2H), 2,46-2,54 (м, 2H), 1,75-1,83 (м, 4H).
Пример 31-41
гидрохлорид 3-({(2E)-2-метил-3-[4-(3-фенилпропокси)фенил]-2-пропенил}амино)пропановой кислоты:
ТСХ: Rf 0,27 (хлороформ : метанол : водный раствор аммиака = 80 : 20 : 4);
1H-ЯМР (CD3OD): 7,12-7,29 (м, 7H), 6,91 (д, J=8,50 Гц, 2H), 6,65-6,68 (м, 1H), 3,97 (т, J=6,00 Гц, 2H), 3,77 (с, 2H), 3,25-3,30 (м, 2H), 2,75-2,85 (м, 4H), 2,01-2,12 (м, 2H), 2,00 (д, J=1,00 Гц, 3H).
Пример 31-42
гидрохлорид 3-({(2E)-2-метил-3-[4-(4-фенилбутокси)фенил]-2-пропенил}амино)пропановой кислоты:
ТСХ: Rf 0,27 (хлороформ : метанол : водный раствор аммиака = 80 : 20 : 4);
1H-ЯМР (CD3OD): 7,10-7,29 (м, 7H), 6,91 (д, J=8,50 Гц, 2H), 6,64-6,67 (м, 1H), 3,97-4,02 (м, 2H), 3,76 (с, 2H), 3,25-3,29 (м, 2H), 2,78 (т, J=6,50 Гц, 2H), 2,64-2,71 (м, 2H), 2,00 (д, J=1,00 Гц, 3H), 1,76-1,82 (м, 4H).
Пример 31-43
гидрохлорид 3-[({6-[3-(4-хлорфенил)пропокси]-1-метил-3,4-дигидро-2-нафталинил}метил)амино]пропановой кислоты:
ТСХ: Rf 0,30 (хлороформ : метанол : водный раствор аммиака = 80 : 20 : 4);
1H-ЯМР (CD3OD): 7,31 (д, J=8,50 Гц, 1H), 7,25 (д, J=8,50 Гц, 2H), 7,19 (д, J=8,50 Гц, 2H), 6,75 (дд, J=8,50, 2,50 Гц, 1H), 6,72 (д, J=2,50 Гц, 1H), 3,91-3,99 (м, 4H), 3,27-3,34 (м, 2H), 2,73-2,82 (м, 6H), 2,29-2,38 (м, 2H), 2,16 (т, J=1,5 Гц, 3H), 2,00-2,11 (м, 2H).
Пример 31-44
гидрохлорид 1-({6-[3-(4-хлорфенил)пропокси]-1-метил-3,4-дигидро-2-нафталинил}метил)-3-азетидинкарбоновой кислоты:
ТСХ: Rf 0,22 (хлороформ : метанол : водный раствор аммиака = 80 : 20 : 4);
1H-ЯМР (CD3OD): 7,32 (д, J=8,50 Гц, 1H), 7,25 (д, J=8,50 Гц, 2H), 7,19 (д, J=8,50 Гц, 2H), 6,76 (дд, J=8,50, 2,50 Гц, 1H), 6,71 (д, J=2,50 Гц, 1H), 4,15-4,47 (м, 6H), 3,96 (т, J=6,00 Гц, 2H), 3,65-3,80 (м, 1H), 2,69-2,82 (м, 4H), 2,20-2,29 (м, 5H), 1,99-2,11 (м, 2H);
Температура плавления: 147-150°C.
Пример 31-45
гидрохлорид 3-({[6-(3-циклогексилпропокси)-1-метил-3,4-дигидро-2-нафталинил]метил}амино)пропановой кислоты:
ТСХ: Rf 0,30 (хлороформ : метанол : водный раствор аммиака = 80 : 20 : 4);
1H-ЯМР (CD3OD): 7,30 (д, J=8,50 Гц, 1H), 6,71-6,78 (м, 2H), 3,90-3,98 (м, 4H), 3,26-3,34 (м, 2H), 2,73-2,82 (м, 4H), 2,29-2,37 (м, 2H), 2,16 (т, J=1,50 Гц, 3H), 1,61-1,83 (м, 7H), 1,12-1,40 (м, 6H), 0,84-1,01 (м, 2H).
Пример 31-46
гидрохлорид 1-{[6-(3-циклогексилпропокси)-1-метил-3,4-дигидро-2-нафталинил]метил}-3-азетидинкарбоновой кислоты:
ТСХ: Rf 0,22 (хлороформ : метанол : водный раствор аммиака = 80 : 20 : 4);
1H-ЯМР (CD3OD): 7,32 (д, J=8,50 Гц, 1H), 6,76 (дд, J=8,50, 2,50 Гц, 1H), 6,71 (д, J=2,50 Гц, 1H), 4,18-4,48 (м, 4H), 4,16 (с, 2H), 3,94 (т, J=6,50 Гц, 2H), 3,67-3,79 (м, 1H), 2,70-2,77 (м, 2H), 2,20-2,29 (м, 5H), 1,61-1,82 (м, 7H), 1,11-1,39 (м, 6H), 0,83-1,00 (м, 2H);
Температура плавления: 160-163°C.
Пример 31-47
гидрохлорид 1-({1-метил-6-[3-(4-метилфенил)пропокси]-3,4-дигидро-2-нафталинил}метил)-3-азетидинкарбоновой кислоты:
ТСХ: Rf 0,31 (хлороформ : метанол : водный раствор аммиака = 80 : 20 : 4);
1H-ЯМР (CD3OD): 7,32 (д, J=8,50 Гц, 1H), 7,06-7,08 (м, 4H), 6,75 (дд, J=8,50, 2,50 Гц, 1H), 6,71 (д, J=2,50 Гц, 1H), 4,17-4,48 (м, 4H), 4,16 (с, 2H), 3,94 (т, J=6,00 Гц, 2H), 3,65-3,78 (м, 1H), 2,69-2,77 (м, 4H), 2,19-2,29 (м, 8H), 1,97-2,09 (м, 2H).
Пример 31-48
гидрохлорид 1-[(1-метил-6-{3-[4-(трифторметил)фенил]-пропокси}-3,4-дигидро-2-нафталинил)метил]-3-азетидинкарбоновой кислоты:
ТСХ: Rf 0,30 (хлороформ : метанол : водный раствор аммиака = 80 : 20 : 4);
1H-ЯМР (CD3OD): 7,56 (д, J=8,00 Гц, 2H), 7,40 (д, J=8,00 Гц, 2H), 7,33 (д, J=8,50 Гц, 1H), 6,76 (дд, J=8,50, 2,50 Гц, 1H), 6,71 (д, J=2,50 Гц, 1H), 4,17-4,49 (м, 4H), 4,16 (с, 2H), 3,98 (т, J=6,00 Гц, 2H), 3,64-3,78 (м, 1H), 2,89 (т, J=7,50 Гц, 2H), 2,69-2,77 (м, 2H), 2,20-2,29 (м, 5H), 2,05-2,15 (м, 2H).
Пример 31-49
гидрохлорид 1-({6-[3-(2-хлорфенил)пропокси]-1-метил-3,4-дигидро-2-нафталинил}метил)-3-азетидинкарбоновой кислоты:
ТСХ: Rf 0,30 (хлороформ : метанол : водный раствор аммиака = 80 : 20 : 4);
1H-ЯМР (CD3OD): 7,25-7,38 (м, 3H), 7,13-7,24 (м, 2H), 6,77 (дд, J=8,50, 2,50 Гц, 1H), 6,73 (д, J=2,50 Гц, 1H), 4,18-4,43 (м, 4H), 4,16 (с, 2H), 3,99 (т, J=6,00 Гц, 2H), 3,65-3,76 (м, 1H), 2,90-2,97 (м, 2H), 2,70-2,77 (м, 2H), 2,20-2,29 (м, 5H), 2,02-2,13 (м, 2H).
Пример 31-50
гидрохлорид 1-({6-[3-(2-фторфенил)пропокси]-1-метил-3,4-дигидро-2-нафталинил}метил)-3-азетидинкарбоновой кислоты:
ТСХ: Rf 0,30 (хлороформ : метанол : водный раствор аммиака = 80 : 20 : 4);
1H-ЯМР (CD3OD): 7,33 (д, J=8,50 Гц, 1H), 7,16-7,27 (м, 2H), 6,98-7,10 (м, 2H), 6,76 (дд, J=8,50, 2,50 Гц, 1H), 6,72 (д, J=2,50 Гц, 1H), 4,19-4,46 (м, 4H), 4,16 (с, 2H), 3,98 (т, J=6,00 Гц, 2H), 3,65-3,78 (м, 1H), 2,83 (т, J=7,50 Гц, 2H), 2,70-2,77 (м, 2H), 2,20-2,29 (м, 5H), 2,00-2,11 (м, 2H);
Температура плавления: 133-135°C.
Пример 31-51
гидрохлорид 1-{[1-хлор-6-(4-фенилбутокси)-3,4-дигидро-2-нафталинил]метил}-3-азетидинкарбоновой кислоты:
ТСХ: Rf 0,15 (н-бутанол : уксусная кислота: вода = 20 : 4 : 1);
1H-ЯМР (CD3OD): 7,56 (д, J=8,60 Гц, 1H), 7,06-7,35 (м, 5H), 6,63-6,88 (м, 2H), 4,29 (с, 2H), 4,22-4,59 (м, 4H), 3,94-4,06 (м, 2H), 3,61-3,81 (м, 1H), 2,84 (т, J=8,40 Гц, 2H), 2,60-2,75 (м, 2H), 2,47 (т, J=7,20 Гц, 2H), 1,67-1,90 (м, 4H).
Пример 31-52
гидрохлорид 3-({[1-хлор-6-(4-фенилбутокси)-3,4-дигидро-2-нафталинил]метил}амино)пропановой кислоты:
ТСХ: Rf 0,27 (н-бутанол : уксусная кислота: вода = 20 : 4 : 1);
1H-ЯМР (CD3OD): 7,55 (д, J=8,4 Гц, 1H), 7,00-7,35 (м, 5H), 6,64-6,86 (м, 2H), 4,08 (с, 2H), 3,94-4,04 (м, 2H), 3,19-3,45 (м, 2H), 2,88 (т, J=7,5 Гц, 2H), 2,79 (т, J=6,5 Гц, 2H), 2,63-2,72 (м, 2H), 2,53 (т, J=7,5 Гц, 2H), 1,74-1,84 (м, 4H).
Пример 31-53
гидрохлорид 1-({6-[3-(4-фторфенил)пропокси]-1-метил-3,4-дигидро-2-нафталинил}метил)-3-азетидинкарбоновой кислоты:
ТСХ: Rf 0,26 (хлороформ : метанол : водный раствор аммиака = 80 : 20 : 4);
1H-ЯМР (CD3OD): 7,32 (д, J=8,50 Гц, 1H), 7,20 (дд, J=8,50, 5,50 Гц, 2H), 6,98 (т, J=8,50 Гц, 2H), 6,76 (дд, J=8,50, 2,50 Гц, 1H), 6,72 (д, J=2,50 Гц, 1H), 4,18-4,43 (м, 4H), 4,16 (с, 2H), 3,95 (т, J=6,00 Гц, 2H), 3,66-3,75 (м, 1H), 2,69-2,82 (м, 4H), 2,20-2,28 (м, 5H), 1,99-2,10 (м, 2H);
Температура плавления: 135-137°C.
Пример 31-54
гидрохлорид 1-({6-[2-(4-трет-бутилфенил)этокси]-1-метил-3,4-дигидро-2-нафталинил}метил)-3-азетидинкарбоновой кислоты:
ТСХ: Rf 0,27 (хлороформ : метанол : водный раствор аммиака = 80 : 20 : 4);
1H-ЯМР (CD3OD): 7,30-7,35 (м, 3H), 7,20 (д, J=8,50 Гц, 2H), 6,77 (дд, J=8,50, 2,50 Гц, 1H), 6,72 (д, J=2,50 Гц, 1H), 4,20-4,46 (м, 4H), 4,13-4,19 (м, 4H), 3,61-3,78 (м, 1H), 3,01 (т, J=7,00 Гц, 2H), 2,69-2,76 (м, 2H), 2,18-2,28 (м, 5H), 1,30 (с, 9H).
Пример 31-55
гидрохлорид 1-{[6-(1,1′-бифенил-4-илметокси)-1-метил-3,4- дигидро-2-нафталинил]метил}-3-азетидинкарбоновой кислоты:
ТСХ: Rf 0,28 (хлороформ : метанол : водный раствор аммиака = 80 : 20 : 4);
1H-ЯМР (CD3OD): 7,58-7,64 (м, 4H), 7,49 (д, J=8,00 Гц, 2H), 7,42 (т, J=8,00 Гц, 2H), 7,29-7,36 (м, 2H), 6,87 (дд, J=8,50, 2,50 Гц, 1H), 6,83 (д, J=2,50 Гц, 1H), 5,14 (с, 2H), 4,21-4,44 (м, 4H), 4,15 (с, 2H), 3,64-3,77 (м, 1H), 2,70-2,79 (м, 2H), 2,19-2,30 (м, 5H).
Пример 31-56
гидрохлорид 1-({6-[3-(2,6-дихлорфенил)пропокси]-1-метил-3,4-дигидро-2-нафталинил}метил)-3-азетидинкарбоновой кислоты:
ТСХ: Rf 0,17 (н-бутанол : уксусная кислота: вода = 20 : 4 : 1);
1H-ЯМР (CD3OD): 7,30-7,37 (м, 3H), 7,14-7,20 (м, 1H), 6,77 (дд, J=8,7, 2,6 Гц, 1H), 6,72 (д, J=2,6 Гц, 1H), 4,19-4,45 (м, 4H), 4,16 (с, 2H), 4,06 (т, J=6,1 Гц, 2H), 3,62-3,78 (м, 1H), 3,07-3,18 (м, 2H), 2,68-2,78 (м, 2H), 2,22 (с, 3H), 2,19-2,29 (м, 2H), 1,97-2,10 (м, 2H).
Пример 31-57
гидрохлорид 1-[(6-{3-[3,5-бис(трифторметил)фенил]пропокси}-1-метил-3,4-дигидро-2-нафталинил)метил]-3-азетидинкарбоновой кислоты:
ТСХ: Rf 0,20 (н-бутанол : уксусная кислота: вода = 20 : 4 : 1);
1H-ЯМР (CD3OD): 7,82 (с, 2H), 7,77 (с, 1H), 7,33 (д, J=8,6 Гц, 1H), 6,75 (дд, J=8,6, 2,6 Гц, 1H), 6,70 (д, J=2,6 Гц, 1H), 4,19-4,45 (м, 4H), 4,16 (с, 2H), 4,00 (т, J=6,0 Гц, 2H), 3,62-3,77 (м, 1H), 2,95-3,04 (м, 2H), 2,67-2,76 (м, 2H), 2,22 (с, 3H), 2,19-2,30 (м, 2H), 2,07-2,18 (м, 2H).
Пример 31-58
гидрохлорид 1-{[1-метил-6-(октилокси)-3,4-дигидро-2-нафталинил]метил}-3-азетидинкарбоновой кислоты:
ТСХ: Rf 0,17 (н-бутанол : уксусная кислота: вода = 20 : 4 : 1);
1H-ЯМР (CD3OD): 7,32 (д, J=8,6 Гц, 1H), 6,76 (дд, J=8,6, 2,6 Гц, 1H), 6,72 (д, J=2,6 Гц, 1H), 4,18-4,44 (м, 4H), 4,16 (с, 2H), 3,96 (т, J=6,4 Гц, 2H), 3,63-3,77 (м, 1H), 2,69-2,77 (м, 2H), 2,22 (с, 3H), 2,17-2,31 (м, 2H), 1,68-1,81 (м, 2H), 1,23-1,53 (м, 10H), 0,84-0,95 (м, 3H).
Пример 31-59
гидрохлорид 1-{[6-(3,3-дифенилпропокси)-1-метил-3,4-дигидро-2-нафталинил]метил}-3-азетидинкарбоновой кислоты:
ТСХ: Rf 0,27 (н-бутанол : уксусная кислота: вода = 20 : 4 : 1);
1H-ЯМР (CD3OD): 7,10-7,37 (м, 11H), 6,63-6,73 (м, 2H), 4,19-4,45 (м, 5H), 4,15 (с, 2H), 3,88 (т, J=6,3 Гц, 2H), 3,64-3,77 (м, 1H), 2,66-2,76 (м, 2H), 2,44-2,57 (м, 2H), 2,20 (с, 3H), 2,16-2,29 (м, 2H);
Температура плавления: 77-83°C.
Пример 31-60
гидрохлорид 1-({1-метил-6-[(4-пропилбензил)окси]-3,4-дигидро-2-нафталинил}метил)-3-азетидинкарбоновой кислоты:
ТСХ: Rf 0,23 (н-бутанол : уксусная кислота: вода = 20 : 4 : 1);
1H-ЯМР (CD3OD): 7,27-7,36 (м, 3H), 7,18 (д, J=8,1 Гц, 2H), 6,84 (дд, J=8,1, 2,7 Гц, 1H), 6,80 (д, J=2,7 Гц, 1H), 5,04 (с, 2H), 4,21-4,43 (м, 4H), 4,15 (с, 2H), 3,62-3,76 (м, 1H), 2,68-2,78 (м, 2H), 2,58 (т, J=7,8 Гц, 2H), 2,22 (с, 3H), 2,19-2,30 (м, 2H), 1,56-1,71 (м, 2H), 0,93 (т, J=7,3 Гц, 3H);
Температура плавления: 144-150°C.
Пример 31-61
гидрохлорид 1-({6-[(4-изобутилбензил)окси]-1-метил-3,4-дигидро-2-нафталинил}метил)-3-азетидинкарбоновой кислоты:
ТСХ: Rf 0,20 (н-бутанол : уксусная кислота: вода = 20 : 4 : 1);
1H-ЯМР (CD3OD): 7,24-7,43 (м, 3H), 7,15 (д, J=8,1 Гц, 2H), 6,73-6,94 (м, 2H), 5,04 (с, 2H), 4,16 (с, 2H), 4,06-4,47 (м, 4H), 3,60-3,82 (м, 1H), 2,73 (т, J=8,4 Гц, 2H), 2,48 (д, J=7,1 Гц, 2H), 2,13-2,31 (м, 5H), 1,69-1,98 (м, 1H), 0,90 (д, J=6,6 Гц, 6H).
Пример 31-62
гидрохлорид 1-({6-[(4-трет-бутилбензил)окси]-1-метил-3,4-дигидро-2-нафталинил}метил)-3-азетидинкарбоновой кислоты:
ТСХ: Rf 0,20 (н-бутанол : уксусная кислота: вода = 20 : 4 : 1);
1H-ЯМР (CD3OD): 7,37-7,43 (м, 2H), 7,29-7,36 (м, 3H), 6,84 (дд, J=8,4, 2,7 Гц, 1H), 6,80 (д, J=2,7 Гц, 1H), 5,04 (с, 2H), 4,19-4,43 (м, 4H), 4,16 (с, 2H), 3,62-3,78 (м, 1H), 2,69-2,77 (м, 2H), 2,21 (с, 3H), 2,19-2,29 (м, 2H), 1,31 (с, 9H).
Пример 31-63
гидрохлорид 1-({1-метил-6-[3-(2-метилфенил)пропокси]-3,4-дигидро-2-нафталинил}метил)-3-азетидинкарбоновой кислоты:
ТСХ: Rf 0,22 (н-бутанол : уксусная кислота: вода = 20 : 4 : 1);
1H-ЯМР (CD3OD): 7,33 (д, J=8,6 Гц, 1H), 7,02-7,15 (м, 4H), 6,77 (дд, J=8,6, 2,6 Гц, 1H), 6,73 (д, J=2,6 Гц, 1H), 4,21-4,42 (м, 4H), 4,16 (с, 2H), 3,98 (т, J=6,0 Гц, 2H), 3,63-3,77 (м, 1H), 2,68-2,84 (м, 4H), 2,30 (с, 3H), 2,22 (с, 3H), 2,19-2,32 (м, 2H), 1,96-2,07 (м, 2H);
Температура плавления: 160-165°C.
Пример 31-64
гидрохлорид 1-({1-метил-6-[(4-фенилбутил)сульфанил]-3,4-дигидро-2-нафталинил}метил)-3-азетидинкарбоновой кислоты:
ТСХ: Rf 0,17 (хлороформ : метанол : водный раствор аммиака = 20 : 5 : 1);
1H-ЯМР (CD3OD): 7,31 (д, J=8,2 Гц, 1H), 7,05-7,27 (м, 7H), 4,23-4,42 (м, 4H), 4,18 (с, 2H), 3,62-3,77 (м, 1H), 2,95 (т, J=7,0 Гц, 2H), 2,67-2,78 (м, 2H), 2,61 (т, J=7,4 Гц, 2H), 2,22 (с, 3H), 2,20-2,30 (м, 2H), 1,57-1,81 (м, 4H).
Пример 31-65
гидрохлорид 1-{[1-метил-6-(2-нафтилметокси)-3,4-дигидро-2-нафталинил]метил}-3-азетидинкарбоновой кислоты:
ТСХ: Rf 0,32 (хлороформ : метанол : водный раствор аммиака = 80 : 20 : 4);
1H-ЯМР (CD3OD): 7,81-7,91 (м, 4H), 7,54 (дд, J=8,50, 1,50 Гц, 1H), 7,44-7,51 (м, 2H), 7,35 (д, J=8,50 Гц, 1H), 6,91 (дд, J=8,50, 2,50 Гц, 1H), 6,87 (д, J=2,50 Гц, 1H), 5,26 (с, 2H), 4,19-4,45 (м, 4H), 4,16 (с, 2H), 3,64-3,77 (м, 1H), 2,74 (т, J=8,00 Гц, 2H), 2,20-2,29 (м, 5H).
Пример 31-66
дигидрохлорид 1-{[1-метил-6-(2-хинолинилметокси)-3,4-дигидро-2-нафталинил]метил}-3-азетидинкарбоновой кислоты:
ТСХ: Rf 0,29 (хлороформ : метанол : водный раствор аммиака = 80 : 20 : 4);
1H-ЯМР (CD3OD): 9,17 (д, J=8,50 Гц, 1H), 8,32-8,41 (м, 2H), 8,15-8,24 (м, 2H), 7,95-8,03 (м, 1H), 7,44 (д, J=9,00 Гц, 1H), 7,03-7,07 (м, 2H), 5,73 (с, 2H), 4,38-4,49 (м, 2H), 4,16-4,34 (м, 4H), 3,65-3,82 (м, 1H), 2,80 (т, J=8,00 Гц, 2H), 2,23-2,34 (м, 5H).
Пример 31-67
гидрохлорид 1-{[6-(1-бензотиен-2-илметокси)-1-метил-3,4-дигидро-2-нафталинил]метил}-3-азетидинкарбоновой кислоты:
ТСХ: Rf 0,31 (хлороформ : метанол : водный раствор аммиака = 80 : 20 : 4);
1H-ЯМР (CD3OD): 7,80-7,84 (м, 1H), 7,73-7,79 (м, 1H), 7,27-7,39 (м, 4H), 6,91 (дд, J=8,50, 2,50 Гц, 1H), 6,86 (д, J=2,50 Гц, 1H), 5,38 (д, J=1,00 Гц, 2H), 4,18-4,43 (м, 4H), 4,16 (с, 2H), 3,63-3,77 (м, 1H), 2,75 (т, J=8,00 Гц, 2H), 2,20-2,29 (м, 5H).
Пример 31-68
гидрохлорид 1-({6-[3-(3,4-дифторфенил)пропокси]-1-метил-3,4-дигидро-2-нафталинил}метил)-3-азетидинкарбоновой кислоты:
ТСХ: Rf 0,32 (хлороформ : метанол : водный раствор аммиака = 80 : 20 : 4);
1H-ЯМР (CD3OD): 7,33 (д, J=8,50 Гц, 1H), 7,07-7,18 (м, 2H), 6,96-7,03 (м, 1H), 6,76 (дд, J=8,50, 2,50 Гц, 1H), 6,72 (д, J=2,50 Гц, 1H), 4,18-4,47 (м, 4H), 4,16 (с, 2H), 3,96 (т, J=6,00 Гц, 2H), 3,66-3,78 (м, 1H), 2,68-2,82 (м, 4H), 2,20-2,30 (м, 5H), 2,00-2,10 (м, 2H);
Температура плавления: 132-133°C.
Пример 31-69
гидрохлорид 1-{[6-(4-бутилфенокси)-1-метил-3,4-дигидронафталин-2-ил]метил}азетидин-3-карбоновой кислоты:
ТСХ: Rf 0,14 (н-бутанол : уксусная кислота: вода = 20 : 4 : 1);
1H-ЯМР (CD3OD): 7,38 (д, J=8,6 Гц, 1H), 7,17 (д, J=8,6 Гц, 2H), 6,85-6,98 (м, 2H), 6,73-6,83 (м, 2H), 4,20-4,45 (м, 4H), 4,17 (с, 2H), 3,58-3,81 (м, 1H), 2,67-2,79 (м, 2H), 2,60 (т, J=7,8 Гц, 2H), 2,23 (с, 3H), 2,17-2,32 (м, 2H), 1,52-1,66 (м, 2H), 1,29-1,44 (м, 2H), 0,94 (т, J=7,3 Гц, 3H).
Пример 31-70
гидрохлорид 1-{[6-(1-бензофуран-2-илметокси)-1-метил-3,4-дигидро-2-нафталинил]метил}-3-азетидинкарбоновой кислоты:
ТСХ: Rf 0,28 (хлороформ : метанол : водный раствор аммиака = 80 : 20 : 4);
1H-ЯМР (CD3OD): 7,55-7,59 (м, 1H), 7,44-7,49 (м, 1H), 7,36 (д, J=8,50 Гц, 1H), 7,25-7,32 (м, 1H), 7,18-7,24 (м, 1H), 6,92 (дд, J=8,50, 2,50 Гц, 1H), 6,85-6,88 (м, 2H), 5,20 (с, 2H), 4,20-4,45 (м, 4H), 4,16 (с, 2H), 3,66-3,78 (м, 1H), 2,75 (т, J=7,50 Гц, 2H), 2,19-2,29 (м, 5H).
Пример 31-71
гидрохлорид 1-({1-метил-6-[(3-фенил-1,2,4-оксадиазол-5-ил)метокси]-3,4-дигидро-2-нафталинил}метил)-3-азетидинкарбоновой кислоты:
ТСХ: Rf 0,27 (хлороформ : метанол : водный раствор аммиака = 80 : 20 : 4);
1H-ЯМР (CD3OD): 8,03-8,09 (м, 2H), 7,47-7,57 (м, 3H), 7,39 (д, J=8,50 Гц, 1H), 6,90-6,97 (м, 2H), 5,46 (с, 2H), 4,20-4,43 (м, 4H), 4,16 (с, 2H), 3,63-3,76 (м, 1H), 2,77 (т, J=7,50 Гц, 2H), 2,20-2,31 (м, 5H).
Пример 31-72
гидрохлорид 1-[(1-метил-6-{[(2E)-3-фенил-2-пропенил]окси}-3,4-дигидро-2-нафталинил)метил]-3-азетидинкарбоновой кислоты:
ТСХ: Rf 0,28 (хлороформ : метанол : водный раствор аммиака = 80 : 20 : 4);
1H-ЯМР (CD3OD): 7,37-7,45 (м, 2H), 7,27-7,38 (м, 3H), 7,19-7,26 (м, 1H), 6,85 (дд, J=8,50, 2,50 Гц, 1H), 6,81 (д, J=2,50 Гц, 1H), 6,74 (дт, J=16,00, 1,50 Гц, 1H), 6,44 (дт, J=16,00, 5,50 Гц, 1H), 4,71 (дд, J=5,50, 1,50 Гц, 2H), 4,19-4,44 (м, 4H), 4,16 (с, 2H), 3,65-3,76 (м, 1H), 2,72-2,79 (м, 2H), 2,20-2,30 (м, 5H).
Пример 31-73
гидрохлорид 1-({6-[3-(3-фторфенил)пропокси]-1-метил-3,4-дигидро-2-нафталинил}метил)-3-азетидинкарбоновой кислоты:
ТСХ: Rf 0,28 (хлороформ : метанол : водный раствор аммиака = 80 : 20 : 4);
1H-ЯМР (CD3OD): 7,33 (д, J=8,50 Гц, 1H), 7,21-7,30 (м, 1H), 7,02 (д, J=8,00 Гц, 1H), 6,84-6,98 (м, 2H), 6,76 (дд, J=8,50, 2,50 Гц, 1H), 6,72 (д, J=2,50 Гц, 1H), 4,20-4,43 (м, 4H), 4,16 (с, 2H), 3,96 (т, J=6,00 Гц, 2H), 3,64-3,78 (м, 1H), 2,81 (т, J=7,50 Гц, 2H), 2,73 (т, J=8,00 Гц, 2H), 2,19-2,29 (м, 5H), 2,01-2,12 (м, 2H);
Температура плавления: 157-161°C.
Пример 31-74
гидрохлорид 1-({6-[3-(2,4-дихлорфенил)пропокси]-1-метил-3,4-дигидронафталин-2-ил}метил)азетидин-3-карбоновой кислоты:
ТСХ: Rf 0,14 (н-бутанол : уксусная кислота: вода = 20 : 4 : 1);
1H-ЯМР (CD3OD): 7,41 (д, J=2,2 Гц, 1H), 7,33 (д, J=8,6 Гц, 1H), 7,28 (д, J=8,4 Гц, 1H), 7,22 (дд, J=8,4, 2,2 Гц, 1H), 6,76 (дд, J=8,6, 2,4 Гц, 1H), 6,71 (д, J=2,4 Гц, 1H), 4,19-4,42 (м, 4H), 4,16 (с, 2H), 3,99 (т, J=6,0 Гц, 2H), 3,62-3,76 (м, 1H), 2,87-2,96 (м, 2H), 2,69-2,78 (м, 2H), 2,22 (с, 3H), 2,18-2,29 (м, 2H), 2,00-2,12 (м, 2H);
Температура плавления: 121-126°C.
Пример 31-75
гидрохлорид 1-({6-[3-(2,4-диметилфенил)пропокси]-1-метил- 3,4-дигидронафталин-2-ил}метил)азетидин-3-карбоновой кислоты:
ТСХ: Rf 0,16 (н-бутанол : уксусная кислота: вода = 20 : 4 : 1);
1H-ЯМР (CD3OD): 7,32 (д, J=8,6 Гц, 1H), 6,99 (д, J=7,5 Гц, 1H), 6,93 (с, 1H), 6,88 (д, J=7,5 Гц, 1H), 6,76 (дд, J=8,6, 2,6 Гц, 1H), 6,72 (д, J=2,6 Гц, 1H), 4,19-4,43 (м, 4H), 4,16 (с, 2H), 3,96 (т, J=6,1 Гц, 2H), 3,62-3,77 (м, 1H), 2,67-2,80 (м, 4H), 2,25 (с, 3H), 2,24 (с, 3H), 2,22 (с, 3H), 2,15-2,32 (м, 2H), 1,91-2,04 (м, 2H);
Температура плавления: 132-136°C.
Пример 31-76
гидрохлорид 1-({6-[(4-этилбензил)окси]-1-метил-3,4-дигидронафталин-2-ил}метил)азетидин-3-карбоновой кислоты:
ТСХ: Rf 0,16 (н-бутанол : уксусная кислота: вода = 20 : 4 : 1);
1H-ЯМР (CD3OD): 7,29-7,37 (м, 3H), 7,20 (д, J=8,1 Гц, 2H), 6,84 (дд, J=8,5, 2,8 Гц, 1H), 6,80 (д, J=2,8 Гц, 1H), 5,04 (с, 2H), 4,22-4,42 (м, 4H), 4,15 (с, 2H), 3,63-3,78 (м, 1H), 2,70-2,79 (м, 2H), 2,64 (кв, J=7,6 Гц, 2H), 2,21 (с, 3H), 2,19-2,30 (м, 2H), 1,22 (т, J=7,6 Гц, 3H).
Пример 31-77
гидрохлорид 1-({6-[(4-циклогексилбензил)окси]-1-метил-3,4-дигидронафталин-2-ил}метил)азетидин-3-карбоновой кислоты:
ТСХ: Rf 0,14 (н-бутанол : уксусная кислота: вода = 20 : 4 : 1);
1H-ЯМР (CD3OD): 7,27-7,41 (м, 3H), 7,20 (д, J=7,8 Гц, 2H), 6,84 (дд, J=8,4, 2,6 Гц, 1H), 6,80 (д, J=2,6 Гц, 1H), 5,03 (с, 2H), 4,20-4,43 (м, 4H), 4,15 (с, 2H), 3,62-3,77 (м, 1H), 2,66-2,78 (м, 2H), 2,45-2,57 (м, 1H), 2,21 (с, 3H), 2,17-2,29 (м, 2H), 1,70-1,90 (м, 5H), 1,34-1,54 (м, 5H);
Температура плавления: 154-158°C.
Пример 31-78
гидрохлорид 1-({6-[3-(4-хлорфенил)пропокси]-1-этил-3,4-дигидронафталин-2-ил}метил)азетидин-3-карбоновой кислоты:
ТСХ: Rf 0,27 (хлороформ : метанол : водный раствор аммиака = 80 : 5 : 1);
1H-ЯМР (CD3OD): 7,34 (д, J=8,60 Гц, 1H), 7,23-7,28 (м, 2H), 7,17-7,22 (м, 2H), 6,77 (дд, J=8,60, 2,56 Гц, 1H), 6,72 (д, J=2,56 Гц, 1H), 4,15 (с, 2H), 4,09-4,54 (м, 4H), 3,96 (т, J=6,13 Гц, 2H), 3,63-3,78 (м, 1H), 2,64-2,85 (м, 6H), 2,20 (т, J=7,80 Гц, 2H), 1,96-2,13 (м, 2H), 1,11 (т, J=7,50 Гц, 3H);
Температура плавления: 102-105°C.
Пример 31-79
1-{[3-метил-6-(4-фенилбутокси)-1-бензофуран-2-ил]метил}азетидин-3-карбоновая кислота:
ТСХ: Rf 0,30 (хлороформ : метанол : водный раствор аммиака = 80 : 20 : 4);
1H-ЯМР (ДМСО-D6): 7,36 (д, J=8,60 Гц, 1H), 7,13-7,32 (м, 5H), 7,06 (д, J=2,20 Гц, 1H), 6,82 (дд, J=8,60, 2,20 Гц, 1H), 3,97-4,03 (м, 2H), 3,60 (с, 2H), 3,36-3,44 (м, 2H), 3,25 (т, J=6,68 Гц, 2H), 3,08-3,20 (м, 1H), 2,60-2,70 (м, 2H), 2,15 (с, 3H), 1,68-1,79 (м, 4H).
Пример 31-80
гидрохлорид 1-({6-[3-(2,4-дифторфенил)пропокси]-1-метил-3,4-дигидро-2-нафталинил}метил)-3-азетидинкарбоновой кислоты:
ТСХ: Rf 0,20 (хлороформ : метанол : водный раствор аммиака = 80 : 20 : 4);
1H-ЯМР (CD3OD): 7,33 (д, J=8,50 Гц, 1H), 7,21-7,30 (м, 1H), 6,82-6,92 (м, 2H), 6,76 (дд, J=8,50, 2,50 Гц, 1H), 6,72 (д, J=2,50 Гц, 1H), 4,18-4,44 (м, 4H), 4,16 (с, 2H), 3,97 (т, J=6,00 Гц, 2H), 3,66-3,77 (м, 1H), 2,81 (т, J=7,50 Гц, 2H), 2,69-2,77 (м, 2H), 2,20-2,29 (м, 5H), 1,99-2,10 (м, 2H);
Температура плавления: 126-129°C.
Пример 31-81
гидрохлорид 1-({6-[2-(2,3-дигидро-1H-инден-2-ил)этокси]-1-метил-3,4-дигидро-2-нафталинил}метил)-3-азетидинкарбоновой кислоты:
ТСХ: Rf 0,20 (хлороформ : метанол : водный раствор аммиака = 80 : 20 : 4);
1H-ЯМР (CD3OD): 7,34 (д, J=8,50 Гц, 1H), 7,12-7,17 (м, 2H), 7,03-7,10 (м, 2H), 6,80 (дд, J=8,50, 2,50 Гц, 1H), 6,75 (д, J=2,50 Гц, 1H), 4,19-4,43 (м, 4H), 4,16 (с, 2H), 4,08 (т, J=6,50 Гц, 2H), 3,64-3,77 (м, 1H), 2,99-3,14 (м, 2H), 2,60-2,79 (м, 5H), 2,20-2,30 (м, 5H), 1,92-2,02 (м, 2H);
Температура плавления: 129-132°C.
Пример 31-82
гидрохлорид 1-{[6-(2,3-дигидро-1H-инден-2-илметокси)-1-метил-3,4-дигидро-2-нафталинил]метил}-3-азетидинкарбоновой кислоты:
ТСХ: Rf 0,20 (хлороформ : метанол : водный раствор аммиака = 80 : 20 : 4);
1H-ЯМР (CD3OD): 7,33 (д, J=8,50 Гц, 1H), 7,15-7,21 (м, 2H), 7,07-7,13 (м, 2H), 6,79 (дд, J=8,50, 2,50 Гц, 1H), 6,74 (д, J=2,50 Гц, 1H), 4,21-4,41 (м, 4H), 4,15 (с, 2H), 3,97 (д, J=7,00 Гц, 2H), 3,63-3,76 (м, 1H), 3,06-3,18 (м, 2H), 2,78-2,99 (м, 3H), 2,69-2,77 (м, 2H), 2,19-2,29 (м, 5H).
Пример 31-83
гидрохлорид 1-{[6-(бицикло[4,2,0]окта-1,3,5-триен-7-илметокси)-1-метил-3,4-дигидро-2-нафталинил]метил}-3-азетидинкарбоновой кислоты:
ТСХ: Rf 0,20 (хлороформ : метанол : водный раствор аммиака = 80 : 20 : 4);
1H-ЯМР (CD3OD): 7,33 (д, J=8,50 Гц, 1H), 7,05-7,24 (м, 4H), 6,81 (дд, J=8,50, 2,50 Гц, 1H), 6,77 (д, J=2,50 Гц, 1H), 4,24-4,43 (м, 4H), 4,20 (д, J=7,00 Гц, 2H), 4,16 (с, 2H), 3,85-3,95 (м, 1H), 3,64-3,77 (м, 1H), 3,38 (дд, J=14,00, 5,00 Гц, 1H), 2,96 (дд, J=14,00, 2,50 Гц, 1H), 2,70-2,78 (м, 2H), 2,20-2,29 (м, 5H).
Пример 31-84
1-[(1-метил-6-{3-[3-(трифторметил)фенил]пропокси}-3,4-дигидронафталин-2-ил)метил]азетидин-3-карбоновая кислота:
ТСХ: Rf 0,26 (хлороформ : метанол : водный раствор аммиака = 20 : 5 : 1);
1H-ЯМР (CD3OD): 7,42-7,54 (м, 4H), 7,31 (д, J=8,60 Гц, 1H), 6,76 (дд, J=8,60, 2,75 Гц, 1H), 6,71 (д, J=2,75 Гц, 1H), 4,11-4,27 (м, 4H), 4,08 (с, 2H), 3,97 (т, J=6,13 Гц, 2H), 3,33-3,51 (м, 1H), 2,89 (т, J=7,87 Гц, 2H), 2,72 (т, J=8,05 Гц, 2H), 2,18-2,29 (м, 2H), 2,20 (с, 3H), 2,00-2,16 (м, 2H);
Температура плавления: 125-133°C.
Пример 31-85
1-({1-метил-6-[3-(3-метилфенил)пропокси]-3,4-дигидронафталин-2-ил}метил)азетидин-3-карбоновая кислота:
ТСХ: Rf 0,26 (хлороформ : метанол : водный раствор аммиака = 20 : 5 : 1);
1H-ЯМР (CD3OD): 7,30 (д, J=8,60 Гц, 1H), 7,06-7,19 (м, 1H), 6,92-7,04 (м, 3H), 6,74 (дд, J=8,60, 2,74 Гц, 1H), 6,70 (д, J=2,74 Гц, 1H), 4,07-4,24 (м, 4H), 4,05 (с, 2H), 3,94 (т, J=6,22 Гц, 2H), 3,33-3,49 (м, 1H), 2,64-2,81 (м, 4H), 2,28 (с, 3H), 2,19 (с, 3H), 2,16-2,29 (м, 2H), 1,95-2,10 (м, 2H);
Температура плавления: 148-153°C.
Пример 31-86
1-({6-[3-(3-хлорфенил)пропокси]-1-метил-3,4-дигидронафталин-2-ил}метил)азетидин-3-карбоновая кислота:
ТСХ: Rf 0,26 (хлороформ : метанол : водный раствор аммиака = 20 : 5 : 1);
1H-ЯМР (CD3OD): 7,31 (д, J=8,60 Гц, 1H), 7,20-7,28 (м, 2H), 7,08-7,20 (м, 2H), 6,75 (дд, J=8,60, 2,74 Гц, 1H), 6,71 (д, J=2,74 Гц, 1H), 4,10-4,26 (м, 4H), 4,07 (с, 2H), 3,96 (т, J=6,13 Гц, 2H), 3,34-3,51 (м, 1H), 2,79 (т, J=7,87 Гц, 2H), 2,66-2,75 (м, 2H), 2,20 (с, 3H), 2,16-2,28 (м, 2H), 1,98-2,11 (м, 2H);
Температура плавления: 151-153°C.
Пример 31-87
1-({6-[3-(3,4-дихлорфенил)пропокси]-1-метил-3,4-дигидронафталин-2-ил}метил)азетидин-3-карбоновая кислота:
ТСХ: Rf 0,26 (хлороформ : метанол : водный раствор аммиака = 20 : 5 : 1);
1H-ЯМР (CD3OD): 7,39 (д, J=8,23 Гц, 1H), 7,36-7,39 (м, 1H), 7,30 (д, J=8,42 Гц, 1H), 7,14 (дд, J=8,23, 2,20 Гц, 1H), 6,75 (дд, J=8,42, 2,65 Гц, 1H), 6,70 (д, J=2,65 Гц, 1H), 4,06-4,25 (м, 4H), 4,04 (с, 2H), 3,96 (т, J=6,13 Гц, 2H), 3,33-3,47 (м, 1H), 2,79 (т, J=8,05 Гц, 2H), 2,67-2,75 (м, 2H), 2,19 (с, 3H), 2,16-2,28 (м, 2H), 1,99-2,12 (м, 2H);
Температура плавления: 74-81°C.
Пример 31-88
1-({6-[2-(4-этилфенил)этокси]-1-метил-3,4-дигидронафталин-2-ил}метил)азетидин-3-карбоновая кислота:
ТСХ: Rf 0,28 (хлороформ : метанол : водный раствор аммиака = 20 : 5 : 1);
1H-ЯМР (CD3OD): 7,30 (д, J=8,42 Гц, 1H), 7,19 (д, J=7,80 Гц, 2H), 7,12 (д, J=7,80 Гц, 2H), 6,76 (дд, J=8,42, 2,56 Гц, 1H), 6,71 (д, J=2,56 Гц, 1H), 4,07-4,27 (м, 6H), 4,08 (с, 2H), 3,34-3,48 (м, 1H), 3,01 (т, J=6,86 Гц, 2H), 2,66-2,76 (м, 2H), 2,60 (кв, J=7,75 Гц, 2H), 2,18-2,27 (м, 2H), 2,19 (с, 3H), 1,20 (т, J=7,68 Гц, 3H);
Температура плавления: 158-163°C.
Пример 31-89
1-({6-[2-(4-изопропилфенил)этокси]-1-метил-3,4-дигидронафталин-2-ил}метил)азетидин-3-карбоновая кислота:
ТСХ: Rf 0,30 (хлороформ : метанол : водный раствор аммиака = 20 : 5 : 1);
1H-ЯМР (CD3OD): 7,30 (д, J=8,42 Гц, 1H), 7,20 (д, J=8,24 Гц, 2H), 7,15 (д, J=8,24 Гц, 2H), 6,76 (дд, J=8,42, 2,65 Гц, 1H), 6,71 (д, J=2,65 Гц, 1H), 4,10-4,27 (м, 6H), 4,07 (с, 2H), 3,33-3,49 (м, 1H), 3,01 (т, J=6,86 Гц, 2H), 2,77-2,93 (м, 1H), 2,62-2,77 (м, 2H), 2,19 (с, 3H), 2,15-2,29 (м, 2H), 1,22 (д, J=6,95 Гц, 6H);
Температура плавления: 148-152°C.
Пример 31-90
1-[(1-метил-6-{3-[3-(трифторметокси)фенил]пропокси}-3,4-дигидронафталин-2-ил)метил]азетидин-3-карбоновая кислота:
ТСХ: Rf 0,28 (хлороформ : метанол : водный раствор аммиака = 20 : 5 : 1);
1H-ЯМР (CD3OD): 7,28-7,40 (м, 2H), 7,18-7,25 (м, 1H), 7,02-7,15 (м, 2H), 6,76 (дд, J=8,60, 2,75 Гц, 1H), 6,71 (д, J=2,75 Гц, 1H), 4,12-4,28 (м, 4H), 4,08 (с, 2H), 3,97 (т, J=6,13 Гц, 2H), 3,35-3,52 (м, 1H), 2,84 (т, J=7,86 Гц, 2H), 2,65-2,78 (м, 2H), 2,21 (с, 3H), 2,16-2,31 (м, 2H), 1,97-2,14 (м, 2H);
Температура плавления: 136-139°C.
Пример 31-91
гидрохлорид 1-{[1-метил-6-(3-фенилбутокси)-3,4-дигидро-2-нафталинил]метил}-3-азетидинкарбоновой кислоты:
ТСХ: Rf 0,30 (хлороформ : метанол : водный раствор аммиака = 80 : 20 : 4);
1H-ЯМР (CD3OD): 7,10-7,34 (м, 6H), 6,68 (дд, J=8,50, 2,50 Гц, 1H), 6,64 (д, J=2,50 Гц, 1H), 4,18-4,46 (м, 4H), 4,15 (с, 2H), 3,65-3,94 (м, 3H), 2,91-3,04 (м, 1H), 2,67-2,75 (м, 2H), 2,18-2,28 (м, 5H), 1,93-2,12 (м, 2H), 1,30 (д, J=7,00 Гц, 3H);
Температура плавления: 127-133°C.
Пример 31-92
гидрохлорид 1-{[1-метил-6-(2-метил-3-фенилпропокси)-3,4-дигидро-2-нафталинил]метил}-3-азетидинкарбоновой кислоты:
ТСХ: Rf 0,30 (хлороформ : метанол : водный раствор аммиака = 80 : 20 : 4);
1H-ЯМР (CD3OD): 7,32 (д, J=8,50 Гц, 1H), 7,21-7,28 (м, 2H), 7,12-7,19 (м, 3H), 6,75 (дд, J=8,50, 2,50 Гц, 1H), 6,70 (д, J=2,50 Гц, 1H), 4,36-4,48 (м, 2H), 4,19-4,33 (м, 2H), 4,16 (с, 2H), 3,65-3,86 (м, 3H), 2,84 (дд, J=13,00, 6,50 Гц, 1H), 2,73 (т, J=8,00 Гц, 2H), 2,55 (дд, J=13,00, 7,50 Гц, 1H), 2,15-2,29 (м, 6H), 1,01 (д, J=7,00 Гц, 3H);
Температура плавления: 105-110°C.
Пример 31-93
гидрохлорид 1-{[1-метил-6-(1-метил-3-фенилпропокси)-3,4-дигидро-2-нафталинил]метил}-3-азетидинкарбоновой кислоты:
ТСХ: Rf 0,30 (хлороформ : метанол : водный раствор аммиака = 80 : 20 : 4);
1H-ЯМР (CD3OD): 7,31 (д, J=8,50 Гц, 1H), 7,20-7,27 (м, 2H), 7,10-7,18 (м, 3H), 6,72 (дд, J=8,50, 2,50 Гц, 1H), 6,65 (д, J=2,50 Гц, 1H), 4,20-4,47 (м, 5H), 4,16 (с, 2H), 3,64-3,80 (м, 1H), 2,66-2,79 (м, 4H), 2,19-2,31 (м, 5H), 1,80-2,09 (м, 2H), 1,29 (д, J=6,00 Гц, 3H).
Пример 31-94
гидрохлорид 1-({6-[1-(4-изобутилфенил)этокси]-1-метил-3,4-дигидронафталин-2-ил}метил)азетидин-3-карбоновой кислоты:
ТСХ: Rf 0,18 (н-бутанол : уксусная кислота: вода = 20 : 4 : 1);
1H-ЯМР (CD3OD): 7,19-7,29 (м, 3H), 7,09 (д, J=7,9 Гц, 2H), 6,65-6,75 (м, 2H), 5,37 (кв, J=6,4 Гц, 1H), 4,18-4,40 (м, 4H), 4,12 (с, 2H), 3,60-3,75 (м, 1H), 2,59-2,73 (м, 2H), 2,43 (д, J=7,1 Гц, 2H), 2,16 (с, 3H), 2,11-2,25 (м, 2H), 1,75-1,88 (м, 1H), 1,57 (д, J=6,4 Гц, 3H), 0,87 (д, J=6,6 Гц, 6H).
Пример 32
3-[метил({6-[(5-фенилпентил)окси]-2-нафтил}метил)амино]-пропановая кислота
К метил ({6-[(5-фенилпентил)окси]-2-нафтил}метил)амину (15 мг) добавляли акриловую кислоту (6,2 мкл). Затем к смеси добавляли метанол до общего объема 390 мкл с последующим перемешиванием при 60°С в течение 24 часов. После концентрирования реакционной смеси остаток очищали препаративной ТСХ (хлороформ : метанол : водный раствор аммиака = 80 : 20 : 4) с получением соединения по настоящему изобретению (11,2 мг), имеющего следующие физические характеристики.
ТСХ: Rf 0,35 (хлороформ : метанол : водный раствор аммиака = 80 : 20 : 4);
1H-ЯМР (CD3OD): 7,79 (с, 1H), 7,77 (д, J=8,51 Гц, 1H), 7,76 (д, J=8,97 Гц, 1H), 7,46 (дд, J=8,51, 1,74 Гц, 1H), 7,03-7,31 (м, 7H), 4,01-4,11 (м, 4H), 3,09 (т, J=7,04 Гц, 2H), 2,63 (т, J=7,50 Гц, 2H), 2,53 (с, 3H), 2,48-2,57 (м, 2H), 1,77-1,93 (м, 2H), 1,63-1,77 (м, 2H), 1,43-1,62 (м, 2H).
Примеры с 32-01 по 32-12
Осуществляли процедуру, аналогичную процедуре Примера 32, за исключением того, что использовали соответствующее аминовое соединение в качестве заместителя для метил ({6-[(5-фенилпентил)окси]-2-нафтил}метил)амина, в результате чего получали соединения по настоящему изобретению, имеющие следующие физические характеристики.
Пример 32-01
3-[этил({6-[(5-фенилпентил)окси]-2-нафтил}метил)амино]-пропановая кислота:
ТСХ: Rf 0,43 (хлороформ : метанол : водный раствор аммиака = 80 : 20 : 4);
1H-ЯМР (CD3OD): 7,84 (с, 1H), 7,72-7,82 (м, 2H), 7,47 (дд, J=8,42, 1,83 Гц, 1H), 7,06-7,29 (м, 7H), 4,22 (с, 2H), 4,05 (т, J=6,31 Гц, 2H), 3,20 (т, J=6,86 Гц, 2H), 3,00 (кв, J=7,20 Гц, 2H), 2,62 (т, J=7,50 Гц, 2H), 2,53 (т, J=6,86 Гц, 2H), 1,76-1,93 (м, 2H), 1,62-1,75 (м, 2H), 1,43-1,61 (м, 2H), 1,25 (т, J=7,20 Гц, 3H).
Пример 32-02
3-[({6-[(5-фенилпентил)окси]-2-нафтил}метил)(пропил)-амино]пропановая кислота:
ТСХ: Rf 0,24 (хлороформ : метанол : водный раствор аммиака = 80 : 20 : 4);
1H-ЯМР (CD3OD): 7,89 (с, 1H), 7,84 (д, J=8,78 Гц, 1H), 7,80 (д, J=9,15 Гц, 1H), 7,49 (дд, J=8,42, 1,65 Гц, 1H), 7,06-7,30 (м, 7H), 4,39 (с, 2H), 4,08 (т, J=6,40 Гц, 2H), 3,26-3,40 (м, 2H), 2,93-3,13 (м, 2H), 2,64 (т, J=7,68 Гц, 2H), 2,59 (т, J=6,31 Гц, 2H), 1,80-1,94 (м, 2H), 1,62-1,79 (м, 4H), 1,46-1,62 (м, 2H), 0,90 (т, J=7,41 Гц, 3H).
Пример 32-03
3-[изопропил({6-[(5-фенилпентил)окси]-2-нафтил}метил)-амино]пропановая кислота:
ТСХ: Rf 0,54 (хлороформ : метанол : водный раствор аммиака = 80 : 20 : 4);
1H-ЯМР (CD3OD): 7,79 (с, 1H), 7,75 (д, J=8,60 Гц, 1H), 7,73 (д, J=9,15 Гц, 1H), 7,48 (дд, J=8,60, 1,74 Гц, 1H), 7,04-7,29 (м, 7H), 4,07 (т, J=6,31 Гц, 2H), 4,01-4,13 (м, 2H), 2,93-3,13 (м, 2H), 2,65 (т, J=7,50 Гц, 2H), 2,44 (т, J=6,68 Гц, 2H), 1,79-1,94 (м, 2H), 1,64-1,79 (м, 2H), 1,47-1,63 (м, 2H), 1,25-1,34 (м, 1H), 1,21 (д, J=6,59 Гц, 6H).
Пример 32-04
3-[(2-гидроксиэтил)({6-[(5-фенилпентил)окси]-2-нафтил}метил)амино]пропановая кислота:
ТСХ: Rf 0,28 (хлороформ : метанол : водный раствор аммиака = 80 : 10 : 1);
1H-ЯМР (CD3OD): 7,90 (с, 1H), 7,75-7,87 (м, 2H), 7,52 (дд, J=8,32, 1,74 Гц, 1H), 7,05-7,30 (м, 7H), 4,46 (с, 2H), 4,09 (т, J=6,40 Гц, 2H), 3,83 (т, J=5,20 Гц, 2H), 3,37 (т, J=6,31 Гц, 2H), 3,20 (т, J=5,20 Гц, 2H), 2,65 (т, J=7,55 Гц, 2H), 2,60 (т, J=6,31 Гц, 2H), 1,80-1,95 (м, 2H), 1,64-1,79 (м, 2H), 1,46-1,63 (м, 2H).
Пример 32-05
3-{4-метокси-4-[4-(3-фенилпропокси)фенил]-1-пиперидинил}пропановая кислота
ТСХ: Rf 0,29 (хлороформ : метанол : водный раствор аммиака = 80 : 20 : 4);
1H-ЯМР (CD3OD): 7,33 (д, J=8,97 Гц, 2H), 7,09-7,29 (м, 5H), 6,93 (д, J=8,97 Гц, 2H), 3,97 (т, J=6,31 Гц, 2H), 3,38-3,52 (м, 2H), 3,17-3,38 (м, 4H), 2,95 (с, 3H), 2,79 (т, J=7,55 Гц, 2H), 2,57 (т, J=6,59 Гц, 2H), 2,26-2,41 (м, 2H), 1,98-2,24 (м, 4H).
Пример 32-06
трифторацетат 3-{4-[4-(3-фенилпропокси)фенил]-1-пиперидинил}пропановой кислоты:
ТСХ: Rf 0,29 (хлороформ : метанол : водный раствор аммиака = 80 : 20 : 4);
1H-ЯМР (CD3OD): 7,09-7,30 (м, 7H), 6,86 (д, J=8,78 Гц, 2H), 3,93 (т, J=6,31 Гц, 2H), 3,60-3,74 (м, 2H), 3,44 (т, J=7,04 Гц, 2H), 3,06-3,23 (м, 2H), 2,84 (т, J=7,04 Гц, 2H), 2,78 (т, J=7,04 Гц, 2H), 2,71-2,91 (м, 1H), 1,98-2,17 (м, 4H), 1,86-1,98 (м, 2H).
Пример 32-07
3-[5-метил-4-[4-(3-фенилпропокси)фенил]-3,6-дигидропиридин-1(2H)-ил]пропановая кислота:
ТСХ: Rf 0,23 (хлороформ : метанол : водный раствор аммиака = 80 : 20 : 4);
1H-ЯМР (CD3OD): 7,13-7,31 (м, 5H), 7,11 (д, J=8,78 Гц, 2H), 6,90 (д, J=8,78 Гц, 2H), 3,95 (т, J=6,22 Гц, 2H), 3,64 (с, 2H), 3,26-3,37 (м, 4H), 2,79 (т, J=7,50 Гц, 2H), 2,52-2,69 (м, 4H), 1,95-2,13 (м, 2H), 1,64 (с, 3H).
Пример 32-08
дигидрохлорид 3-{4-[4-(3-фенилпропокси)фенил]-1-пиперадинил}пропановой кислоты:
ТСХ: Rf 0,18 (хлороформ : метанол : водный раствор аммиака = 80 : 20 : 4);
1H-ЯМР (CD3OD): 7,10-7,33 (м, 5H), 6,97-7,10 (м, 2H), 6,88 (д, J=7,32 Гц, 2H), 3,92 (т, J=6,31 Гц, 2H), 3,52 (т, J=7,23 Гц, 2H), 3,34-3,78 (м, 8H), 2,89 (т, J=7,23 Гц, 2H), 2,78 (т, J=7,59 Гц, 2H), 1,93-2,14 (м, 2H).
Пример 32-09
гидрохлорид 3-[6-(3-фенилпропокси)-3,4-дигидро-2(1H)-изохинолинил]пропановой кислоты:
ТСХ: Rf 0,18 (хлороформ : метанол : водный раствор аммиака = 80 : 20 : 4);
1H-ЯМР (CD3OD): 6,99-7,37 (м, 6H), 6,85 (дд, J=8,60, 2,74 Гц, 1H), 6,79 (д, J=2,74 Гц, 1H), 4,21-4,66 (м, 2H), 3,95 (т, J=6,31 Гц, 2H), 3,55 (т, J=7,04 Гц, 2H), 3,35-3,85 (м, 2H), 3,03-3,26 (м, 2H), 2,93 (т, J=7,04 Гц, 2H), 2,78 (т, J=7,59 Гц, 2H), 1,96-2,15 (м, 2H).
Пример 32-10
гидрохлорид 3-[6-[(5-фенилпентил)окси]-3,4-дигидро-2(1H)-изохинолинил]пропановой кислоты:
ТСХ: Rf 0,22 (хлороформ : метанол : водный раствор аммиака = 80 : 20 : 4);
1H-ЯМР (CD3OD): 7,01-7,32 (м, 6H), 6,83 (дд, J=8,42, 2,56 Гц, 1H), 6,79 (д, J=2,56 Гц, 1H), 4,40 (с, 2H), 3,95 (т, J=6,31 Гц, 2H), 3,51-3,68 (м, 2H), 3,54 (т, J=7,04 Гц, 2H), 3,09-3,23 (м, 2H), 2,91 (т, J=7,04 Гц, 2H), 2,63 (т, J=7,55 Гц, 2H), 1,73-1,90 (м, 2H), 1,59-1,73 (м, 2H), 1,36-1,59 (м, 2H).
Пример 32-11
гидрохлорид 3-{(3Z)-3-[4-(3-фенилпропокси)бензилиден]-1-пиперидинил}пропановой кислоты:
ТСХ: Rf 0,35 (хлороформ : метанол : водный раствор аммиака = 80 : 20 : 4);
1H-ЯМР (CD3OD): 7,15-7,30 (м, 5H), 7,13 (д, J=8,78 Гц, 2H), 6,91 (д, J=8,78 Гц, 2H), 6,67 (с, 1H), 3,95 (т, J=6,31 Гц, 2H), 3,87-3,96 (м, 2H), 3,31-3,35 (м, 2H), 3,21 (т, J=6,68 Гц, 2H), 2,79 (т, J=7,50 Гц, 2H), 2,45-2,54 (м, 2H), 2,42 (т, J=6,68 Гц, 2H), 2,00-2,14 (м, 2H), 1,88-2,01 (м, 2H).
Пример 32-12
гидрохлорид 3-{(3E)-3-[4-(3-фенилпропокси)бензилиден]-1-пиперидинил}пропановой кислоты:
ТСХ: Rf 0,26 (хлороформ : метанол : водный раствор аммиака = 80 : 20 : 4);
1H-ЯМР (CD3OD): 7,06-7,30 (м, 7H), 6,89 (д, J=8,78 Гц, 2H), 6,61 (с, 1H), 3,96 (т, J=6,22 Гц, 2H), 3,84 (с, 2H), 3,19-3,40 (м, 4H), 2,79 (т, J=7,50 Гц, 2H), 2,58-2,68 (м, 2H), 2,58 (т, J=6,68 Гц, 2H), 1,98-2,12 (м, 2H), 1,79-1,96 (м, 2H).
Пример 33
гидрохлорид 3-[(3-{4-[3-(4-метилфенил)пропокси]фенил}- пропил)амино]пропановой кислоты
К раствору соединения, полученного в Примере 5 (48 мг), в тетрагидрофуране (3 мл) добавляли 3-(4-метилфенил)пропанол (19 мг), диэтилазодикарбоксилат (60 мг) и трифенилфосфин на полимерном носителе (2,3 ммоль/г, 60 мг) с последующим перемешиванием при комнатной температуре в течение 2 дней. Нерастворимые вещества отфильтровывали и смесь концентрировали, после чего остаток очищали колоночной хроматографией на силикагеле (гексан : этилацетат = 3 : 1) с получением эфирного соединения. К раствору полученного соединения в 1,4-диоксане (2 мл) добавляли 4 н. раствор хлористого водорода в 1,4-диоксане (0,8 мл) с последующим перемешиванием при 40°С в течение 1 часа. Реакционную смесь концентрировали и промывали этилацетатом, в результате чего получали соединение по настоящему изобретению (32,5 мг), имеющее следующие физические характеристики.
ТСХ: Rf 0,29 (н-бутанол : уксусная кислота: вода = 20 : 4 : 1);
1H-ЯМР (CD3OD): 7,01-7,17 (м, 6H), 6,76-6,91 (м, 2H), 3,90 (т, J=6,31 Гц, 2H), 3,24 (т, J=6,59 Гц, 2H), 2,93-3,08 (м, 2H), 2,57-2,80 (м, 6H), 2,28 (с, 3H), 1,87-2,10 (м, 4H).
Пример 34
[6-(4-фенилбутокси)-3,4-дигидронафталин-1(2H)-илиден]ацетонитрил (E/Z смесь)
К раствору 6-(4-фенилбутокси)-3,4-дигидронафталин-1(2H)-она (300 мг) в тетрагидрофуране (10 мл) добавляли диэтил цианометилфосфонат (199 мг) и гидрид натрия (60%, 97,8 мг) с последующим перемешиванием при комнатной температуре в течение 24 часов. После добавления воды реакционную смесь экстрагировали этилацетатом. Органический слой промывали насыщенным водным раствором хлорида натрия, концентрировали и затем очищали колоночной хроматографией на силикагеле (гексан : этилацетат = 3 : 1), в результате чего получали указанное в заголовке соединение (E/Z смесь, 207 мг), имеющее следующие физические характеристики.
ТСХ: Rf 0,68 (гексан : этилацетат = 3 : 1).
Пример 35
гидрохлорид 3-({2-[6-(4-фенилбутокси)-3,4-дигидро-1-нафталинил]этил}амино)пропановой кислоты:

К раствору соединения, полученного в Примере 34 (205 мг), в тетрагидрофуране (6,5 мл) добавляли при 0°C раствор 1M диизобутилалюминийгидрида в толуоле (1,4 мл) с последующим перемешиванием при комнатной температуре в течение 3 часов. После добавления 2 н. раствора хлористоводородной кислоты реакционную смесь перемешивали в течение 15 минут и экстрагировали этилацетатом. Органический слой промывали насыщенным водным раствором хлорида натрия, концентрировали и очищали колоночной хроматографией на силикагеле (гексан : этилацетат = 3 : 1) с получением альдегидного соединения. Затем осуществляли процедуру, аналогичную процедуре Примера 29, за исключением того, что использовали полученное альдегидное соединение в качестве заместителя для (2E)-3-[4-(3- фенилпропокси)фенил]бут-2-еналя, в результате чего получали соединение по настоящему изобретению, имеющее следующие физические характеристики.
ТСХ: Rf 0,25 (н-бутанол : уксусная кислота: вода = 20 : 4 : 1);
1H-ЯМР (CD3OD): 7,08-7,32 (м, 6H), 6,67-6,82 (м, 2H), 5,89 (т, J=4,57 Гц, 1H), 3,89-4,07 (м, 2H), 3,23-3,40 (м, 2H), 3,19 (т, J=7,50 Гц, 2H), 2,83 (т, J=7,59 Гц, 2H), 2,62-2,77 (м, 6H), 2,19-2,29 (м, 2H), 1,72-1,85 (м, 4H).
Примеры с 36-1 по 36-2
Осуществляли процедуру Примера 1 и Примера 2, как описано в WO 02/092068, в указанном порядке, но с использованием соответствующего аминового соединения в качестве заместителя для метил 2-метокси-5-аминобензоата, в результате чего получали соединения по настоящему изобретению, имеющие следующие физические характеристики.
Пример 36-1
{3-[(3-{4-[(5-фенилпентил)окси]фенил}пропаноил)амино]-фенил}уксусная кислота:
Время удерживания в анализе ВЭЖХ (минут: условия измерения ВЭЖХ описаны в Примере 26): 4,31;
MS (m/z): 891 (2M+H)+, 446 (M+H)+.
Пример 36-2
{4-[(3-{4-[(5-фенилпентил)окси]фенил}пропаноил)-амино]фенил}уксусная кислота:
Время удерживания в анализе ВЭЖХ (минут: условия измерения ВЭЖХ описаны в Примере 26): 4,27;
MS (m/z): 891 (2M+H)+, 446 (M+H)+.
Примеры с 37-01 по 37-32
Осуществляли процедуру, аналогичную процедуре Примера 29, за исключением того, что использовали соответствующее аминовое соединение в качестве заместителя для -аланина и соответствующее альдегидное соединение в качестве заместителя для (2E)-3-[4-(3-фенилпропокси)фенил]бут-2-еналя, в результате чего получали соединения по настоящему изобретению, имеющие следующие физические характеристики.
Пример 37-01
1-[(1-метил-6-{[(1R,2R)-2-фенилциклопропил]метокси}-3,4-дигидронафталин-2-ил)метил]азетидин-3-карбоновая кислота:
ТСХ: Rf 0,26 (хлороформ : метанол : водный раствор аммиака = 80 : 20 : 4);
1H-ЯМР(CD3OD): 7,31 (д, J=8,60 Гц, 1H), 7,17-7,26 (м, 2H), 7,04-7,16 (м, 3H), 6,79 (дд, J=8,60, 2,74 Гц, 1H), 6,74 (д, J=2,74 Гц, 1H), 4,11-4,28 (м, 4H), 4,09 (с, 2H), 3,90-4,08 (м, 2H), 3,36-3,50 (м, 1H), 2,65-2,78 (м, 2H), 2,15-2,30 (м, 5H), 1,86-2,02 (м, 1H), 1,44-1,64 (м, 1H), 1,03 (т, J=6,68 Гц, 2H);
Температура плавления: 70-84°C.
Пример 37-02
1-({6-[3-(4-фтор-3-метилфенил)пропокси]-1-метил-3,4-дигидронафталин-2-ил}метил)азетидин-3-карбоновая кислота:
ТСХ: Rf 0,26 (хлороформ : метанол : водный раствор аммиака = 80 : 20 : 4);
1H-ЯМР(CD3OD): 7,30 (д, J=8,60 Гц, 1H), 6,95-7,10 (м, 2H), 6,81-6,94 (м, 1H), 6,75 (дд, J=8,60, 2,75 Гц, 1H), 6,70 (д, J=2,75 Гц, 1H), 4,11-4,27 (м, 4H), 4,08 (с, 2H), 3,94 (т, J=6,22 Гц, 2H), 3,35-3,48 (м, 1H), 2,66-2,78 (м, 4H), 2,15-2,31 (м, 8H), 1,94-2,10 (м, 2H).
Температура плавления: 149-152°C.
Пример 37-03
1-{[1-метил-6-(хинолин-7-илметокси)-3,4-дигидронафталин-2-ил]метил}азетидин-3-карбоновая кислота:
ТСХ: Rf 0,23 (хлороформ : метанол : водный раствор аммиака = 80 : 20 : 4);
1H-ЯМР(CD3OD): 8,83 (дд, J=4,5, 1,0 Гц, 1H), 8,36 (дд, J=8,5, 1,0 Гц, 1H), 8,07 (с, 1H), 7,96 (д, J=8,5 Гц, 1H), 7,68 (д, J=8,5 Гц, 1H), 7,52 (дд, J=8,5, 4,5 Гц, 1H), 7,33 (д, J=8,5 Гц, 1H), 6,83-6,97 (м, 2H), 5,33 (с, 2H), 4,11-4,28 (м, 4H), 4,08 (с, 2H), 3,34-3,52 (м, 1H), 2,66-2,79 (м, 2H), 2,13-2,28 (м, 5H).
Пример 37-04
1-({6-[3-(2,6-дифторфенил)пропокси]-1-метил-3,4-дигидронафталин-2-ил}метил)азетидин-3-карбоновая кислота:
ТСХ: Rf 0,23 (хлороформ : метанол : водный раствор аммиака = 50 : 10 : 1);
1H-ЯМР(CD3OD): 7,31 (д, J=8,6 Гц, 1H), 7,14-7,29 (м, 1H), 6,85-6,95 (м, 2H), 6,74 (дд, J=8,6, 2,6 Гц, 1H), 6,69 (д, J=2,6 Гц, 1H), 4,12-4,27 (м, 4H), 4,10 (с, 2H), 3,99 (т, J=6,0 Гц, 2H), 3,34-3,52 (м, 1H), 2,87 (т, J=7,3 Гц, 2H), 2,72 (т, J=7,2 Гц, 2H), 2,17-2,28 (м, 5H), 1,95-2,10 (м, 2H);
Температура плавления: 144-150°C.
Пример 37-05
1-[(1-метил-6-{3-[2-(трифторметил)фенил]пропокси}-3,4-дигидронафталин-2-ил)метил]азетидин-3-карбоновая кислота:
ТСХ: Rf 0,18 (хлороформ : метанол : водный раствор аммиака = 50 : 10 : 1);
1H-ЯМР(CD3OD): 7,64 (д, J=7,7 Гц, 1H), 7,49-7,57 (м, 1H), 7,44 (д, J=7,8 Гц, 1H), 7,30-7,39 (м, 2H), 6,78 (дд, J=8,5, 2,7 Гц, 1H), 6,73 (д, J=2,7 Гц, 1H), 4,13-4,26 (м, 4H), 4,10 (с, 2H), 4,02 (т, J=6,2 Гц, 2H), 3,34-3,50 (м, 1H), 2,98 (т, J=7,8 Гц, 2H), 2,73 (т, J=8,1 Гц, 2H), 2,18-2,29 (м, 5H), 1,99-2,14 (м, 2H);
Температура плавления: 125-127°C.
Пример 37-06
1-({6-[3-(3,4-диметилфенил)пропокси]-1-метил-3,4-дигидронафталин-2-ил}метил)азетидин-3-карбоновая кислота:
ТСХ: Rf 0,17 (хлороформ : метанол : водный раствор аммиака = 50 : 10 : 1);
1H-ЯМР(CD3OD): 7,31 (д, J=8,4 Гц, 1H), 7,00 (д, J=7,5 Гц, 1H), 6,95 (д, J=1,5 Гц, 1H), 6,89 (дд, J=7,5, 1,5 Гц, 1H), 6,75 (дд, J=8,4, 2,4 Гц, 1H), 6,70 (д, J=2,4 Гц, 1H), 4,12-4,28 (м, 4H), 4,10 (с, 2H), 3,94 (т, J=6,3 Гц, 2H), 3,33-3,49 (м, 1H), 2,66-2,76 (м, 4H), 2,15-2,28 (м, 11H), 1,89-2,09 (м, 2H);
Температура плавления: 167-172°C.
Пример 37-07
1-{[1-метил-6-(1,2,3,4-тетрагидронафталин-2-илметокси)-3,4- дигидронафталин-2-ил]метил}азетидин-3-карбоновая кислота:
ТСХ: Rf 0,31 (хлороформ : метанол : водный раствор аммиака = 80 : 20 : 4);
1H-ЯМР(CD3OD): 7,33 (д, J=8,50 Гц, 1H), 7,04-7,06 (м, 4H), 6,81 (дд, J=8,50, 2,50 Гц, 1H), 6,77 (д, J=2,50 Гц, 1H), 4,11-4,24 (м, 4H), 4,08 (с, 2H), 3,96 (д, J=6,50 Гц, 2H), 3,35-3,47 (м, 1H), 2,96 (дд, J=16,00, 5,00 Гц, 1H), 2,80-2,88 (м, 2H), 2,70-2,77 (м, 2H), 2,61 (дд, J=16,00, 10,50 Гц, 1H), 2,19-2,28 (м, 6H), 2,06-2,14 (м, 1H), 1,53-1,64 (м, 1H).
Пример 37-08
1-({6-[(4′-фтор-1,1′-бифенил-4-ил)метокси]-1-метил-3,4-дигидронафталин-2-ил}метил)азетидин-3-карбоновая кислота:
ТСХ: Rf 0,29 (хлороформ : метанол : водный раствор аммиака = 80 : 20 : 4);
1H-ЯМР(ДМСО-d6): 7,63-7,73 (м, 4H), 7,51 (д, J=8,00 Гц, 2H), 7,28 (т, J=9,00 Гц, 2H), 7,17 (д, J=9,50 Гц, 1H), 6,81-6,85 (м, 2H), 5,13 (с, 2H), 3,13-3,56 (м, 7H), 2,53-2,65 (м, 2H), 2,10-2,21 (м, 2H), 2,01 (с, 3H).
Пример 37-09
1-({6-[3,3-бис(4-фторфенил)пропокси]-1-метил-3,4-дигидронафталин-2-ил}метил)азетидин-3-карбоновая кислота:
ТСХ: Rf 0,32 (хлороформ : метанол : водный раствор аммиака = 80 : 20 : 4);
1H-ЯМР(CD3OD): 7,25-7,32 (м, 5H), 6,99 (т, J=9,00 Гц, 4H), 6,69 (дд, J=8,50, 2,50 Гц, 1H), 6,65 (д, J=2,50 Гц, 1H), 4,14-4,31 (м, 5H), 4,10 (с, 2H), 3,87 (т, J=6,00 Гц, 2H), 3,38-3,49 (м, 1H), 2,66-2,74 (м, 2H), 2,42-2,51 (м, 2H), 2,17-2,27 (м, 5H).
Пример 37-10
1-{[1-метил-6-(5-фенилпентилокси)-3,4-дигидро-2-нафталинил]метил}-3-азетидинкарбоновая кислота:
ТСХ: Rf 0,25 (хлороформ : метанол : водный раствор аммиака = 80 : 20 : 4);
1H-ЯМР(CD3OD): 7,30 (д, J=8,50 Гц, 1H), 7,20-7,27 (м, 2H), 7,09-7,19 (м, 3H), 6,74 (дд, J=8,50, 2,50 Гц, 1H), 6,70 (д, J=2,50 Гц, 1H), 4,12-4,26 (м, 4H), 4,09 (с, 2H), 3,96 (т, J=6,50 Гц, 2H), 3,36-3,49 (м, 1H), 2,67-2,76 (м, 2H), 2,63 (т, J=8,00 Гц, 2H), 2,17-2,28 (м, 5H), 1,73-1,84 (м, 2H), 1,62-1,72 (м, 2H), 1,43-1,55 (м, 2H);
Температура плавления: 129-133°C.
Пример 37-11
1-[(6-{3-[4-хлор-2-(трифторметил)фенил]пропокси}-1-метил-3,4-дигидронафталин-2-ил)метил]азетидин-3-карбоновая кислота:
ТСХ: Rf 0,24 (хлороформ : метанол : водный раствор аммиака = 80 : 20 : 4);
1H-ЯМР(CD3OD): 7,64 (д, J=2,56 Гц, 1H), 7,55 (дд, J=8,23, 2,56 Гц, 1H), 7,46 (д, J=8,23 Гц, 1H), 7,32 (д, J=8,23 Гц, 1H), 6,77 (дд, J=8,23, 2,74 Гц, 1H), 6,72 (д, J=2,74 Гц, 1H), 4,09-4,24 (м, 4H), 4,06 (с, 2H), 4,03 (т, J=6,04 Гц, 2H), 3,33-3,49 (м, 1H), 2,88-3,03 (м, 2H), 2,64-2,79 (м, 2H), 2,16-2,30 (м, 5H), 1,98-2,14 (м, 2H);
Температура плавления: 127-128°C.
Пример 37-12
гидрохлорид 1-{[6-(1,1′-бифенил-3-илметокси)-1-метил-3,4-дигидронафталин-2-ил]метил}азетидин-3-карбоновой кислоты:
ТСХ: Rf 0,15 (н-бутанол : уксусная кислота: вода = 20 : 4 : 1);
1H-ЯМР(CD3OD): 7,67 (с, 1H), 7,54-7,62 (м, 3H), 7,39-7,47 (м, 4H), 7,30-7,36 (м, 2H), 6,89 (дд, J=8,70, 2,38 Гц, 1H), 6,85 (д, J=2,38 Гц, 1H), 5,17 (с, 2H), 4,21-4,43 (м, 4H), 4,16 (с, 2H), 3,63-3,81 (м, 1H), 2,69-2,78 (м, 2H), 2,14-2,30 (м, 5H);
Температура плавления: 119-120°C.
Пример 37-13
1-[(6-{3-[2,5-бис(трифторметил)фенил]пропокси}-1-метил-3,4-дигидронафталин-2-ил)метил]азетидин-3-карбоновая кислота:
ТСХ: Rf 0,25 (хлороформ : метанол : водный раствор аммиака = 80 : 20 : 4);
1H-ЯМР(CD3OD): 7,87 (д, J=8,23 Гц, 1H), 7,77 (с, 1H), 7,68 (д, J=8,23 Гц, 1H), 7,32 (д, J=8,60 Гц, 1H), 6,77 (дд, J=8,60, 2,38 Гц, 1H), 6,72 (д, J=2,38 Гц, 1H), 4,12-4,27 (м, 4H), 4,09 (с, 2H), 4,04 (т, J=5,95 Гц, 2H), 3,35-3,48 (м, 1H), 3,03-3,11 (м, 2H), 2,69-2,77 (м, 2H), 2,20-2,29 (м, 5H), 2,03-2,17 (м, 2H);
Температура плавления: 119-124°C.
Пример 37-14
1-({1-метил-6-[3-(2,4,5-трифторфенил)пропокси]-3,4-дигидронафталин-2-ил}метил)азетидин-3-карбоновая кислота:
ТСХ: Rf 0,26 (хлороформ : метанол : водный раствор аммиака = 80 : 20 : 4);
1H-ЯМР(CD3OD): 7,30 (д, J=8,60 Гц, 1H), 7,14-7,26 (м, 1H), 7,02-7,13 (м, 1H), 6,75 (дд, J=8,60, 2,56 Гц, 1H), 6,70 (д, J=2,56 Гц, 1H), 4,04-4,22 (м, 4H), 4,02 (с, 2H), 3,98 (т, J=6,04 Гц, 2H), 3,32-3,46 (м, 1H), 2,80 (т, J=7,59 Гц, 2H), 2,66-2,75 (м, 2H), 2,15-2,29 (м, 5H), 1,96-2,11 (м, 2H);
Температура плавления: 159-164°C.
Пример 37-15
1-[(6-{3-[4-фтор-3-(трифторметил)фенил]пропокси}-1-метил-3,4-дигидронафталин-2-ил)метил]азетидин-3-карбоновая кислота:
ТСХ: Rf 0,29 (хлороформ : метанол : водный раствор аммиака = 80 : 20 : 4);
1H-ЯМР(CD3OD): 7,45-7,55 (м, 2H), 7,31 (д, J=8,60 Гц, 1H), 7,21 (т, J=10,43 Гц, 1H), 6,77 (дд, J=8,60, 2,65 Гц, 1H), 6,70 (д, J=2,65 Гц, 1H), 4,11-4,27 (м, 4H), 4,08 (с, 2H), 3,97 (т, J=6,13 Гц, 2H), 3,33-3,50 (м, 1H), 2,80-2,91 (м, 2H), 2,66-2,78 (м, 2H), 2,16-2,29 (м, 5H), 2,00-2,13 (м, 2H).
Пример 37-16
1-[(6-{3-[4-фтор-2-(трифторметил)фенил]пропокси}-1-метил-3,4-дигидронафталин-2-ил)метил]азетидин-3-карбоновая кислота:
ТСХ: Rf 0,26 (хлороформ : метанол : водный раствор аммиака = 80 : 20 : 4);
1H-ЯМР(CD3OD): 7,48 (дд, J=8,60, 5,49 Гц, 1H), 7,39 (дд, J=9,24, 2,65 Гц, 1H), 7,24-7,34 (м, 2H), 6,77 (дд, J=8,60, 2,56 Гц, 1H), 6,72 (д, J=2,56 Гц, 1H), 4,11-4,27 (м, 4H), 4,08 (с, 2H), 4,02 (т, J=6,04 Гц, 2H), 3,33-3,49 (м, 1H), 2,90-3,03 (м, 2H), 2,66-2,78 (м, 2H), 2,16-2,32 (м, 5H), 1,93-2,13 (м, 2H);
Температура плавления: 126-128°C.
Пример 37-17
1-({1-метил-6-[3-(2,3,4-трифторфенил)пропокси]-3,4-дигидронафталин-2-ил}метил)азетидин-3-карбоновая кислота:
ТСХ: Rf 0,25 (хлороформ : метанол : водный раствор аммиака = 80 : 20 : 4);
1H-ЯМР(ДМСО-d6): 7,09-7,30 (м, 3H), 6,65-6,75 (м, 2H), 3,94 (т, J=6,13 Гц, 2H), 3,38 (с, 2H), 3,09-3,22 (м, 5H), 2,78 (т, J=7,50 Гц, 2H), 2,53-2,62 (м, 2H), 2,10-2,19 (м, 2H), 1,92-2,04 (м, 5H);
Температура плавления: 151-155°C.
Пример 37-18
1-({1-метил-6-[3-(3,4,5-трифторфенил)пропокси]-3,4-дигидронафталин-2-ил}метил)азетидин-3-карбоновая кислота:
ТСХ: Rf 0,29 (хлороформ : метанол : водный раствор аммиака = 80 : 20 : 4);
1H-ЯМР(CD3OD): 7,31 (д, J=8,42 Гц, 1H), 6,93-7,03 (дд, J=9,00, 7,00 Гц, 2H), 6,76 (дд, J=8,42, 2,74 Гц, 1H), 6,71 (д, J=2,74 Гц, 1H), 4,09-4,26 (м, 4H), 4,07 (с, 2H), 3,97 (т, J=6,04 Гц, 2H), 3,33-3,51 (м, 1H), 2,75-2,84 (м, 2H), 2,72 (т, J=8,41 Гц, 2H), 2,17-2,29 (м, 5H), 1,98-2,13 (м, 2H);
Температура плавления: 140-144°C.
Пример 37-19
1-({6-[3-(4-фтор-2,6-диметилфенил)пропокси]-1-метил-3,4-дигидронафталин-2-ил}метил)азетидин-3-карбоновая кислота:
ТСХ: Rf 0,24 (хлороформ : метанол : водный раствор аммиака = 80 : 20 : 4);
1H-ЯМР(CD3OD): 7,32 (д, J=8,60 Гц, 1H), 6,78 (дд, J=8,60, 2,84 Гц, 1H), 6,74 (д, J=2,84 Гц, 1H), 6,71 (д, J=9,15 Гц, 2H), 4,11-4,25 (м, 4H), 4,07 (с, 2H), 4,02 (т, J=5,85 Гц, 2H), 3,35-3,49 (м, 1H), 2,77-2,86 (м, 2H), 2,69-2,76 (м, 2H), 2,31 (с, 6H), 2,17-2,28 (м, 5H), 1,81-1,98 (м, 2H);
Температура плавления: 144-146°C.
Пример 37-20
1-({6-[3-(3-хлор-4-фторфенил)пропокси]-1-метил-3,4-дигидронафталин-2-ил}метил)азетидин-3-карбоновая кислота:
ТСХ: Rf 0,25 (хлороформ : метанол : водный раствор аммиака = 80 : 20 : 4);
1H-ЯМР(CD3OD): 7,27-7,34 (м, 2H), 7,05-7,20 (м, 2H), 6,75 (дд, J=8,51, 2,65 Гц, 1H), 6,70 (д, J=2,65 Гц, 1H), 4,11-4,27 (м, 4H), 4,08 (с, 2H), 3,96 (т, J=6,13 Гц, 2H), 3,34-3,48 (м, 1H), 2,67-2,83 (м, 4H), 2,20-2,29 (м, 5H), 1,98-2,10 (м, 2H);
Температура плавления: 118-119°C.
Пример 37-21
1-({6-[3-(4-хлор-3-фторфенил)пропокси]-1-метил-3,4-дигидронафталин-2-ил}метил)азетидин-3-карбоновая кислота:
ТСХ: Rf 0,26 (хлороформ : метанол : водный раствор аммиака = 80 : 20 : 4);
1H-ЯМР(CD3OD): 7,30-7,37 (м, 2H), 7,10 (дд, J=10,43, 2,01 Гц, 1H), 7,02 (дд, J=7,96, 2,01 Гц, 1H), 6,75 (дд, J=8,60, 2,65 Гц, 1H), 6,71 (д, J=2,65 Гц, 1H), 4,10-4,26 (м, 4H), 4,07 (с, 2H), 3,97 (т, J=6,22 Гц, 2H), 3,36-3,50 (м, 1H), 2,77-2,86 (м, 2H), 2,66-2,76 (м, 2H), 2,16-2,30 (м, 5H), 1,99-2,12 (м, 2H);
Температура плавления: 126-128°C.
Пример 37-22
1-({6-[3-(4-хлор-2-фторфенил)пропокси]-1-метил-3,4-дигидронафталин-2-ил}метил)азетидин-3-карбоновая кислота:
ТСХ: Rf 0,24 (хлороформ : метанол : водный раствор аммиака = 80 : 20 : 4);
1H-ЯМР(CD3OD): 7,31 (д, J=8,42 Гц, 1H), 7,24 (т, J=8,42 Гц, 1H), 7,06-7,16 (м, 2H), 6,75 (дд, J=8,42, 2,47 Гц, 1H), 6,70 (д, J=2,47 Гц, 1H), 4,10-4,27 (м, 4H), 4,07 (с, 2H), 3,97 (т, J=6,13 Гц, 2H), 3,35-3,50 (м, 1H), 2,78-2,87 (м, 2H), 2,67-2,76 (м, 2H), 2,15-2,32 (м, 5H), 1,96-2,12 (м, 2H);
Температура плавления: 160-162°C.
Пример 37-23
гидрохлорид 1-[(6-{3-[4-хлор-3-(трифторметил)фенил]-пропокси}-1-метил-3,4-дигидронафталин-2-ил)метил]азетидин-3-карбоновой кислоты:
ТСХ: Rf 0,20 (н-бутанол : уксусная кислота: вода = 20 : 4 : 1);
1H-ЯМР(CD3OD): 7,60 (д, J=1,10 Гц, 1H), 7,41-7,53 (м, 2H), 7,32 (д, J=8,60 Гц, 1H), 6,75 (дд, J=8,60, 2,38 Гц, 1H), 6,70 (д, J=2,38 Гц, 1H), 4,20-4,45 (м, 4H), 4,16 (с, 2H), 3,98 (т, J=6,04 Гц, 2H), 3,59-3,78 (м, 1H), 2,88 (т, J=7,80 Гц, 2H), 2,67-2,77 (м, 2H), 2,18-2,30 (м, 5H), 2,00-2,14 (м, 2H);
Температура плавления: 120-124°C.
Пример 37-24
гидрохлорид 1-({6-[3-(2-хлор-4-фторфенил)пропокси]-1-метил-3,4-дигидронафталин-2-ил}метил)азетидин-3-карбоновой кислоты:
ТСХ: Rf 0,17 (н-бутанол : уксусная кислота: вода = 20 : 4 : 1);
1H-ЯМР(CD3OD): 7,26-7,36 (м, 2H), 7,17 (дд, J=8,78, 2,74 Гц, 1H), 6,98 (тд, J=8,42, 2,74 Гц, 1H), 6,77 (дд, J=8,40, 2,38 Гц, 1H), 6,72 (д, J=2,38 Гц, 1H), 4,21-4,41 (м, 4H), 4,16 (с, 2H), 3,99 (т, J=6,13 Гц, 2H), 3,62-3,77 (м, 1H), 2,91 (т, J=7,50 Гц, 2H), 2,73 (т, J=6,30 Гц, 2H), 2,19-2,29 (м, 5H), 2,00-2,12 (м, 2H);
Температура плавления: 125-127°C.
Пример 37-25
1-({6-[3-(2-хлор-3,6-дифторфенил)пропокси]-1-метил-3,4-дигидронафталин-2-ил}метил)азетидин-3-карбоновая кислота:
ТСХ: Rf 0,23 (хлороформ : метанол : водный раствор аммиака = 80 : 20 : 4);
1H-ЯМР(ДМСО-d6): 7,35 (тд, J=9,01, 4,94 Гц, 1H), 7,26 (тд, J=9,01, 4,67 Гц, 1H), 7,14 (д, J=8,23 Гц, 1H), 6,65-6,72 (м, 2H), 3,97 (т, J=5,95 Гц, 2H), 3,38 (с, 2H), 3,13-3,20 (м, 5H), 2,86-2,97 (м, 2H), 2,52-2,62 (м, 2H), 2,09-2,20 (м, 2H), 1,89-2,00 (м, 5H);
Температура плавления: 156-159°C.
Пример 37-26
1-({1-метил-6-[3-(2,4,6-трифторфенил)пропокси]-3,4-дигидронафталин-2-ил}метил)азетидин-3-карбоновая кислота:
ТСХ: Rf 0,21(хлороформ : метанол : водный раствор аммиака = 80 : 20 : 4);
1H-ЯМР(CD3OD): 7,30 (д, J=8,50 Гц, 1H), 6,80 (дд, J=9,00, 8,00 Гц, 2H), 6,73 (дд, J=8,50, 2,50 Гц, 1H), 6,68 (д, J=2,50 Гц, 1H), 4,11-4,25 (м, 4H), 4,07 (с, 2H), 3,98 (т, J=6,00 Гц, 2H), 3,35-3,48 (м, 1H), 2,84 (т, J=7,50 Гц, 2H), 2,68-2,76 (м, 2H), 2,18-2,28 (м, 5H), 1,97-2,08 (м, 2H);
Температура плавления: 159-162°C.
Пример 37-27
гидрохлорид 1-{[6-(2,2-диметил-3-фенилпропокси)-1-метил-3,4-дигидронафталин-2-ил]метил}азетидин-3-карбоновой кислоты:
ТСХ: Rf 0,19 (н-бутанол : уксусная кислота: вода = 20 : 4 : 1)
1H-ЯМР(CD3OD): 7,34 (д, J=8,23 Гц, 1H), 7,03-7,26 (м, 5H), 6,70-6,85 (м, 2H), 4,20-4,50 (м, 4H), 4,17 (с, 2H), 3,60-3,81 (м, 1H), 3,54 (с, 2H), 2,67-2,81 (м, 4H), 2,20-2,32 (м, 5H), 1,01 (с, 6H);
Температура плавления: 124-127°C.
Пример 37-28
1-({1-метил-6-[2-(1,2,3,4-тетрагидронафталин-1-ил)этокси]-3,4-дигидронафталин-2-ил}метил)азетидин-3-карбоновая кислота:
ТСХ: Rf 0,37(хлороформ : метанол : водный раствор аммиака = 80 : 20 : 4);
1H-ЯМР(CD3OD): 7,33 (д, J=8,50 Гц, 1H), 7,09-7,15 (м, 1H), 7,01-7,08 (м, 3H), 6,79 (дд, J=8,50, 2,50 Гц, 1H), 6,74 (д, J=2,50 Гц, 1H), 4,03-4,25 (м, 8H), 3,34-3,49 (м, 1H), 3,01-3,10 (м, 1H), 2,69-2,80 (м, 4H), 2,09-2,29 (м, 6H), 1,70-2,03 (м, 5H);
Температура плавления: 99-107°C.
Пример 37-29
1-({6-[2-(2,3-дигидро-1H-инден-1-ил)этокси]-1-метил-3,4-дигидронафталин-2-ил}метил)азетидин-3-карбоновая кислота
ТСХ: Rf 0,32 (хлороформ : метанол : водный раствор аммиака = 80 : 20 : 4);
1H-ЯМР(CD3OD): 7,33 (д, J=8,50 Гц, 1H), 7,16-7,22 (м, 2H), 7,08-7,13 (м, 2H), 6,79 (дд, J=8,50, 2,50 Гц, 1H), 6,75 (д, J=2,50 Гц, 1H), 4,14-4,25 (м, 4H), 4,07-4,14 (м, 4H), 3,35-3,48 (м, 1H), 3,28-3,32 (м, 1H), 2,69-3,01 (м, 4H), 2,19-2,39 (м, 7H), 1,71-1,91 (м, 2H);
Температура плавления: 163-167°C.
Пример 37-30
1-({6-[2-(5-фтор-2,3-дигидро-1H-инден-1-ил)этокси]-1-метил-3,4-дигидронафталин-2-ил}метил)азетидин-3-карбоновая кислота:
ТСХ: Rf 0,29 (хлороформ : метанол : водный раствор аммиака = 80 : 20 : 4);
1H-ЯМР(CD3OD): 7,32 (д, J=8,50 Гц, 1H), 7,16 (дд, J=8,50, 5,00 Гц, 1H), 6,91 (дд, J=9,00, 2,50 Гц, 1H), 6,76-6,87 (м, 2H), 6,74 (д, J=2,50 Гц, 1H), 4,05-4,24 (м, 8H), 3,34-3,47 (м, 1H), 3,28-3,32 (м, 1H), 2,69-3,02 (м, 4H), 2,19-2,43 (м, 7H), 1,76-1,92 (м, 2H);
Температура плавления: 149-153°C.
Пример 37-31
гидрохлорид 1-({6-[2-(4-изобутилфенил)этил]-1-метил-3,4-дигидронафталин-2-ил}метил)азетидин-3-карбоновой кислоты:
ТСХ: Rf 0,19 (н-бутанол : уксусная кислота: вода = 20 : 4 : 1);
1H-ЯМР(CD3OD): 7,29 (д, J=7,87 Гц, 1H), 6,99-7,10 (м, 5H), 6,94 (с, 1H), 4,24-4,46 (м, 4H), 4,17 (с, 2H), 3,53-3,86 (м, 1H), 2,84-2,86 (м, 4H), 2,63-2,75 (м, 2H), 2,41 (д, J=7,14 Гц, 2H), 2,15-2,30 (м, 5H), 1,68-1,90 (м, 1H), 0,87 (д, J=6,77 Гц, 6H);
Температура плавления: 154-157°C.
Пример 37-32
1-{[9-метил-3-(4-фенилбутокси)-6,7-дигидро-5H-бензо[7]аннулен-8-ил]метил}азетидин-3-карбоновая кислота:

ТСХ: Rf 0,42 (хлороформ : метанол : водный раствор аммиака = 80 : 20 : 4);
MS (m/z): 420 (M+H)+, 319, 187.
Ссылочный пример 01
6-(бензилокси)-3,4-дигидронафталин-1(2H)-он
К раствору 6-гидрокси-3,4-дигидронафталин-1(2H)-она (24,3 г) в ацетоне (160 мл) добавляли при комнатной температуре бензилбромид (29,4 мл) и карбонат калия (31,1 г) с последующим перемешиванием при 40°С в течение 3,5 часов. Нерастворимые вещества отфильтровывали и смесь концентрировали, после чего остаток промывали смесью растворителей трет-бутилметиловый эфир – гексан (1 : 4), в результате чего получали указанное в заголовке соединение (34,5 г), имеющее следующие физические характеристики.
ТСХ: Rf 0,38 (гексан : этилацетат = 3 : 1).
Ссылочный пример 02
7-(бензилокси)-4-метил-1,2-дигидронафталин
К раствору соединения, полученного в ссылочном примере 01 (34,5 г), в тетрагидрофуране (300 мл) добавляли при 0°C метилмагнийбромид (раствор 3 M в диэтиловом эфире, 55 мл) с последующим перемешиванием при комнатной температуре в течение 1 часа. Затем реакционную смесь охлаждали до 0°C и выливали в насыщенный льдом водный раствор хлорида аммония. После добавления 2 н. раствора хлористоводородной кислоты смесь перемешивали при комнатной температуре в течение 3 часов. Затем смесь экстрагировали этилацетатом и органический слой последовательно промывали водой и насыщенным водным раствором хлорида натрия, сушили и концентрировали. Полученный остаток очищали колоночной хроматографией на силикагеле (гексан : этилацетат = 10 : 1) с получением указанного в заголовке соединения (24,8 г), имеющего следующие физические характеристики.
ТСХ: Rf 0,57 (гексан : этилацетат = 15 : 1).
Ссылочный пример 03
6-(бензилокси)-1-метил-3,4-дигидронафталин-2-карбоальдегид
К оксихлориду фосфора (26,7 г) добавляли по каплям при 0°C N,N-диметилформамид (60 мл) с последующим перемешиванием в течение 20 минут. Затем к смеси медленно добавляли по каплям раствор соединения (24,8 г), полученного в ссылочном примере 02, в дихлорметане (60 мл) с последующим перемешиванием при комнатной температуре в течение 90 минут. Реакционную смесь охлаждали до 0°C, выливали на лед и затем давали выстояться в течение некоторого времени. Затем смесь экстрагировали смесью растворителей гексан-этилацетат (1 : 2). Органический слой последовательно промывали водой и насыщенным водным раствором хлорида натрия, сушили и концентрировали. Полученное твердое вещество промывали трет-бутилметиловым эфиром с получением указанного в заголовке соединения (19,9 г), имеющего следующие физические характеристики.
ТСХ: Rf 0,50 (гексан : этилацетат = 3 : 1).
Ссылочный пример 04
6-гидрокси-1-метил-3,4-дигидронафталин-2-карбоальдегид
К тиоанизолу (35 мл) добавляли при 0°C трифторуксусную кислоту (140 мл). Затем к смеси добавляли по порциям соединение, полученное в ссылочном примере 03 (9,17 г), с последующим перемешиванием при комнатной температуре в течение 4 часов. Реакционную смесь выливали на лед и затем добавляли 5 н. водный раствор гидроксида натрия. После промывки трет-бутилметиловым эфиром к водному слою добавляли 1 н. раствор хлористоводородной кислоты с последующей экстракцией этилацетатом. Органический слой сушили и концентрировали. Полученный остаток очищали колоночной хроматографией на силикагеле (гексан : этилацетат = 5 : 1 до 2 : 1) с получением указанного в заголовке соединения (6,03 г), имеющего следующие физические характеристики.
ТСХ: Rf 0,26 (гексан : этилацетат = 3 : 1).
Ссылочный пример 05
6-[3-(4-фторфенил)пропокси]-1-метил-3,4-дигидронафталин-2-карбоальдегид
Осуществляли процедуру, аналогичную процедуре ссылочного примера 01, за исключением того, что использовали соединение, полученное в ссылочном пример 04, в качестве заместителя для 6-гидрокси-3,4-дигидронафталин-1(2H)-она и 1-бром-3-(4-фторфенил)пропан в качестве заместителя для бензилбромида, с получением указанного в заголовке соединения, имеющего следующие физические характеристики.
ТСХ: Rf 0,40 (гексан : этилацетат = 3 : 1);
1H-ЯМР (CDCl3): 10,32 (с, 1H), 7,48 (д, J=8,50 Гц, 1H), 7,16 (дд, J=8,50, 5,50 Гц, 2H), 6,97 (т, J=8,50 Гц, 2H), 6,78 (дд, J=8,50, 2,50 Гц, 1H), 6,73 (д, J=2,50 Гц, 1H), 3,99 (т, J=6,00 Гц, 2H), 2,79 (т, J=7,50 Гц, 2H), 2,69-2,75 (м, 2H), 2,47-2,56 (м, 5H), 2,04-2,14 (м, 2H).
Ссылочный пример 06
5-оксо-5,6,7,8-тетрагидронафталин-2-ил трифторметансульфонат
К раствору 6-гидрокси-3,4-дигидронафталин-1(2H)-она (2,0 г) в дихлорметане (20 мл) добавляли при -78°C триэтиламин (5,16 мл) и трифторметансульфоновый ангидрид (2,49 мл) с последующим перемешиванием при 0°С в течение 1 часа. После добавления насыщенного водного раствора гидрокарбоната натрия смесь перемешивали и экстрагировали диэтиловым эфиром. Органический слой последовательно промывали 1 н. раствором хлористоводородной кислоты, насыщенным водным раствором гидрокарбоната натрия и насыщенным водным раствором хлорида натрия, сушили и концентрировали. Полученный остаток очищали колоночной хроматографией на силикагеле (гексан : этилацетат = 9 : 1) с получением указанного в заголовке соединения (2,34 г), имеющего следующие физические характеристики.
ТСХ: Rf 0,34 (гексан : этилацетат = 85 : 15).
Ссылочный пример 07
6-[(4-изобутилфенил)этинил]-3,4-дигидронафталин-1(2H)-он
К иодиду меди (48 мг) добавляли раствор соединения, полученного в ссылочном примере 06 (353 мг), в N,N-диметилформамиде (3 мл), триэтиламин (279 мкл) и раствор 1-этинил-4-изобутилбензола (158 мг) в N,N-диметилформамиде (5 мл) с последующим перемешиванием при комнатной температуре в течение 5 минут. Затем к смеси добавляли тетракис(трифенилфосфин) палладий (0) (58 мг) с последующим перемешиванием в течение 19 часов. После добавления 1 н. раствора хлористоводородной кислоты смесь экстрагировали этилацетатом. Органический слой последовательно промывали 1 н. раствором хлористоводородной кислоты, насыщенным водным раствором гидрокарбоната натрия и насыщенным водным раствором хлорида натрия, сушили и концентрировали. Полученный остаток очищали колоночной хроматографией на силикагеле (гексан : этилацетат = 95 : 5) с получением указанного в заголовке соединения (209 мг), имеющего следующие физические характеристики.
ТСХ: Rf 0,35 (гексан : этилацетат = 9 : 1).
Ссылочный пример 08
6-[(4-изобутилфенил)этинил]-1-метил-1,2,3,4-тетрагидронафталин-1-ол
К раствору соединения, полученного в ссылочном примере 07 (200 мг), в тетрагидрофуране (5 мл) добавляли при 0°C метилмагнийбромид (раствор 3 M в диэтиловом эфире, 0,33 мл) с последующим перемешиванием в течение 30 минут. После добавления воды реакционную смесь экстрагировали этилацетатом. Органический слой промывали насыщенным водным раствором хлорида натрия, сушили и концентрировали. Полученный остаток очищали колоночной хроматографией на силикагеле (гексан : этилацетат = 87 : 13) с получением указанного в заголовке соединения (154 мг), имеющего следующие физические характеристики.
ТСХ: Rf 0,36 (гексан : этилацетат = 4 : 1).
Ссылочный пример 09
6-[(4-изобутилфенил)этил]-1-метил-1,2,3,4-тетрагидронафталин-1-ол:
К раствору соединения, полученного в ссылочном примере 08 (150 мг), в этаноле (4 мл) добавляли 10% палладий на углероде (15 мг) с последующим перемешиванием в атмосфере водорода в течение 15 минут. После того как катализатор отфильтровывали через целит, фильтрат концентрировали с получением указанного в заголовке соединения (153 мг), имеющего следующие физические характеристики.
ТСХ: Rf 0,40 (гексан : этилацетат = 4 : 1).
Ссылочный пример 10
7-[2-(4-изобутилфенил)этил]-4-метил-1,2-дигидронафталин
К раствору соединения, полученного в ссылочном примере 09 (150 мг), в дихлорметане (3 мл) добавляли моногидрат п-толуолсульфокислоты (1 мг) с последующим перемешиванием при комнатной температуре в течение 2 часов. Реакционную смесь концентрировали и очищали колоночной хроматографией на силикагеле (гексан) с получением указанного в заголовке соединения (129 мг), имеющего следующие физические характеристики.
ТСХ: Rf 0,35 (гексан).
Ссылочный пример 11
6-[2-(4-изобутилфенил)этил]-1-метил-3,4-дигидронафталин-2-карбоальдегид
Осуществляли процедуру, аналогичную процедуре ссылочного примера 03, за исключением того, что использовали соединение, полученное в ссылочном примере 10, в качестве заместителя для соединения, полученного в ссылочном примере 02, с получением указанного в заголовке соединения, имеющего следующие физические характеристики.
ТСХ: Rf 0,66 (гексан : этилацетат = 3 : 1);
1H-ЯМР (CDCl3): 10,35 (с, 1H), 7,46 (д, J=7,87 Гц, 1H), 7,00-7,14 (м, 6H), 2,90 (с, 4H), 2,71 (т, J=7,32 Гц, 2H), 2,42-2,56 (м, 7H), 1,76-1,93 (м, 1H), 0,90 (д, J=6,59 Гц, 6H).
Ссылочный пример 12
3-(метоксиметокси)бензальдегид
К раствору 3-гидроксибензальдегида (5,0 г) в ацетоне (120 мл) добавляли карбонат калия (8,5 г) и метоксиметилхлорид (4,0 г) с последующим перемешиванием при 50°С в течение 6 часов. Реакционную смесь концентрировали и к смеси добавляли воду с последующей экстракцией этилацетатом. Органический слой промывали насыщенным водным раствором хлорида натрия, сушили и концентрировали. Полученный остаток очищали колоночной хроматографией на силикагеле (гексан : этилацетат = 10 : 1) с получением указанного в заголовке соединения (6,0 г), имеющего следующие физические характеристики.
ТСХ: Rf 0,56(гексан : этилацетат = 3 : 1).
Ссылочный пример 13
этил 5-(3-гидроксифенил)пентаноат
К раствору винилмагнийбромида (раствор 1 M в тетрагидрофуране, 24,4 мл) в тетрагидрофуране (50 мл) добавляли при -20°C соединение, полученное в ссылочном примере 12 (2,7 г), с последующим перемешиванием в течение 1 часа. После добавления воды реакционную смесь концентрировали. Затем к смеси добавляли насыщенный водный раствор хлорида аммония и смесь экстрагировали этилацетатом. Органический слой промывали насыщенным водным раствором хлорида натрия, сушили и концентрировали. К раствору полученного остатка в толуоле (50 мл) добавляли триэтилортоацетат (14,9 мл) и пропионовую кислоту (122 мкл) с последующим перемешиванием при 130°С в течение 2 часов. Реакционную смесь концентрировали и полученный остаток очищали колоночной хроматографией на силикагеле (гексан : этилацетат = 9 : 1). К раствору полученного соединения в метаноле (60 мл) добавляли 10% палладий на углероде (285 мг) с последующим перемешиванием в атмосфере водорода в течение 2 часов. После того как катализатор отфильтровывали через целит, фильтрат концентрировали. К раствору полученного соединения в этаноле (40 мл) добавляли концентрированную хлористоводородную кислоту (4 мл) с последующим перемешиванием при 70°С в течение 1 часа. Реакционную смесь концентрировали и, таким образом, получали указанное в заголовке соединение (2,37 г), имеющее следующие физические характеристики.
ТСХ: Rf 0,37 (гексан : этилацетат = 3 : 1).
Ссылочный пример 14
5-[3-(4-фенилбутокси)фенил]пентановая кислота
Осуществляли процедуру, аналогичную процедуре ссылочного примера 01, за исключением того, что использовали соединение, полученное в ссылочном примере 13 (1,13 г), в качестве заместителя для 6-гидрокси-3,4-дигидронафталин-1(2H)-она, а также использовали 1-бром-4-фенилбутан (1,63 г) в качестве заместителя для бензилбромида. К раствору полученного соединения в смеси растворителей метанол (2 мл)-тетрагидрофуран (10 мл) добавляли 5 н. раствор гидроксида натрия (10 мл) с последующим перемешиванием в течение 3 дней. После добавления 5 н. раствора хлористоводородной кислоты смесь экстрагировали дихлорметаном. Органический слой сушили и концентрировали с получением указанного в заголовке соединения (1,45 г), имеющего следующие физические характеристики.
ТСХ: Rf 0,56 (гексан : этилацетат = 1 : 1).
Ссылочный пример 15
2-(4-фенилбутокси)-6,7,8,9-тетрагидро-5H-бензо[7] аннулен-5-он
К раствору соединения, полученного в ссылочном примере 14 (100 мг), в дихлорметане (1 мл) добавляли каталитическое количество N,N-диметилформамида и оксалилхлорид (40 мкл) с последующим перемешиванием в течение 30 минут. Реакционную смесь концентрировали. К раствору полученного остатка в толуоле (2 мл) добавляли хлорид олова (43 мкл) с последующим перемешиванием при комнатной температуре в течение 1 часа. После добавления воды реакционную смесь экстрагировали этилацетатом. Органический слой сушили и концентрировали и полученный остаток очищали колоночной хроматографией на силикагеле (гексан : этилацетат = 8 : 1 до 6 : 1) с получением указанного в заголовке соединения (88 мг), имеющего следующие физические характеристики.
ТСХ: Rf 0,34 (гексан : этилацетат = 6 : 1).
Ссылочный пример 16
9-метил-3-(4-фенилбутокси)-6,7-дигидро-5H-бензо[7]аннулен-8-карбоальдегид
Осуществляли процедуры ссылочного примера 2 и ссылочного примера 3 в указанном порядке, но использовали соединение, полученное в ссылочном примере 15, в качестве заместителя для соединения, полученного в ссылочном примере 1, в результате чего получали указанное в заголовке соединение, имеющее следующие физические характеристики.
ТСХ: Rf 0,47 (гексан : этилацетат = 6 : 1).
Биологические примеры
Фармакологическое действие соединений по настоящему изобретению было подтверждено при помощи следующих биологических примеров. Все операции осуществляли традиционными способами путем получения клеток с высокой экспрессией гена на основе фундаментальных методов генной инженерии. Также способы измерения, используемые в настоящем изобретении, для оценки соединений по настоящему изобретению осуществляли, например, путем совершенствования способов измерения, точности измерения и/или чувствительности измерения. Подробности описаны ниже. Получение гистологического препарата также осуществляли традиционными способами на основе фундаментальных методов генной инженерии с соответствующими модификациями.
Биологический пример 1
Измерение активности соединения по настоящему изобретению по ингибированию связывания [3H]-S1P с EDG-6
Способ
Сначала клетки, в которых происходила сверхэкспрессия EDG-6, высевали при плотности 2×105 клеток/лунка в 12-луночный планшет. Через 12 часов клетки два раза промывали 0,5 мл буфера для анализа. В испытании связывания с насыщением для определения значения KD и значения Bmax клетки инкубировали в 0,4 мл буфера для анализа, содержащего D-эритро-сфингозин-3-[3H]-1-фосфат в различных концентрациях и 2 мкл 0,01 н. NaOH, в течение 60 минут на льду. Затем лунки два раза промывали 0,8 мл буфера для анализа и целые клетки разрушали добавлением 0,1 мл 0,5% TCA (трихлоруксусная кислота), 0,4 мл лизисного буфера (2% Na2CO3, 4% NaOH, 0,1% SDS) и 0,1 мл 1 н. раствора хлористоводородной кислоты. Затем 0,5 мл лизированного раствора собирали в стеклянный флакон (Packard) при помощи пипетки. После добавления 7 мл ACSII (Amersham) смесь тщательно перемешивали и радиоактивность измеряли при помощи жидкостного сцинтилляционного счетчика (TRI-CARB 2900TR Packard), определяя, таким образом, значение KD. Величину неспецифического связывания определяли путем добавления немеченного S1P в конечной концентрации 25 мкМ в качестве замены для 0,01 н. NaOH. В анализе конкурентного связывания для определения значения Ki на основании определенного, как описано выше, значения KD клетки инкубировали в 0,4 мл буфера для анализа, содержащего 5 нм D-эритро-сфингозин-3-[3H]-1-фосфата и 0 – 1 мкМ испытываемого соединения, в течение 60 минут на льду. Процедуры, следующие после промывки, осуществляли, как в анализе связывания с насыщением, и радиоактивность измеряли, как описано выше.
Результаты
Соединения по настоящему изобретению показали ингибиторную активность 50% или выше в отношении связывания S1P с EDG-6 при концентрации 100 мкмоль/л. Например, значение Ki 3-[3-(4-(5-фенилпентилокси)фенил)пропиламино]пропановой кислоты составило 0,352 мкмоль/л.
Биологический пример 2
Измерение активности соединения по настоящему изобретению по ингибированию связывания [3H]-PhS1P с EDG-6
Способ
Осуществляли аналогичный эксперимент, используя фракцию клеточных мембран клеток CHO, в которых происходила сверхэкспрессия EDG-6. Используя 1 мг белка/мл фракции мембран, реакцию осуществляли в 96-луночном планшете. В каждую лунку добавляли 80 мкл раствора носителя (ДМСО), разбавленного 2x связывающим буфером (100 ммоль/л трис pH 7,5, 200 мМ NaCl, 30 Мм NaF, 1% BSA), или раствор лиганда вдвое большей концентрации и 40 мкл 10 нмоль/л [3H]-PhS1P (5,5,6,6,-тетралитий фитосфингозин 1 фосфата. Это соединение получали следующим способом. Соединение (анти-7: трет-бутил (4S)-4-[(1S,2R)-1-(бензилокси)-2-гидроксигексадец-3-ин-1-ил]-2,2-диметил-1,3-оксазолизин-3-карбоксилат), полученный в соответствии со способом, описанным в документе (Tetrahedron Lett., 38(34), 6027-6030 (1997)), подвергали взаимодействию с бензилбромидом в тетрагидрофуране в присутствии гексаметилдисилиламида калия для защиты гидроксигруппы. Затем его обрабатывали в хлористом водороде/метаноле для удаления ацетонидной группы. Полученное соединение подвергали взаимодействию с N,N-диэтил-1,5-дигидро-2,4,3-бензодиоксафосфепин-3-амином в дихлорметане в присутствии тетразола и затем окисляли при помощи м-хлорпербензойной кислоты. Затем его подвергали взаимодействию в присутствии катализатора ASCA-2 (изготовитель NE Chemcat, катализатор на основе 4,5% палладия-0,5% платины на носителе из активированного угля, см. Fine Chemical, October 1, 2002, pages 5 to 14) в метаноле в атмосфере трития. Полученное соединение обрабатывали раствором 4 н. хлористый водород/1,4-диоксан в дихлорметане с получением желаемого соединения). Затем добавляли 40 мкл раствора фракции мембран и подвергали взаимодействию при комнатной температуре в течение 60 минут. По завершении реакции реакционную смесь фильтровали с отсосом при помощи Unifilter для 96-луночного планшета, три раза промывали 50 мл промывочного буфера (50 ммоль/л трис pH7,5, 0,5% BSA) и сушили при 60°С в течение 45 минут. Затем добавляли 50 мкл/лунка Micro Scint 20 и планшет закрывали при помощи Top Seal-P. Затем измеряли радиоактивность при помощи счетчика Top Count (Perkin Elmer).
Результаты
Соединения по настоящему изобретению показали ингибиторную активность 50% или выше в отношении связывания S1P с EDG-6 при концентрации 100 мкмоль/л.
Биологический пример 3
Оценка агонистической активности соединения по настоящему изобретению в отношении EDG путем отслеживания изменений внутриклеточной концентрации ионов кальция [Ca2+]i
Способ
Клетки яичников китайского хомячка (CHO), в которых происходила сверхэкспрессия гена EDG-1, EDG-3, EDG-5 или EDG-8 человека, культивировали в среде F12 Ham (изготовитель GIBCO BRL), содержащей 10% FBS (фетальная бычья сыворотка), пенициллин/стрептомицин и бластицидин (5 мкг/мл). Культивированные клетки инкубировали в 5 мкМ раствора Fura2-AM (среда F12 Ham, содержащая 10% FBS, 20 мМ буфера HEPES (pH7,4) и 2,5 мМ пробенецида) при 37°С в течение 60 минут. После однократной промывки раствором Hanks, содержащим 20 мМ буфера HEPES (pH7,4) и 2,5 мМ пробенецида, планшет выдерживали в том же растворе до проведения анализа. Затем планшет устанавливали на флуоресцентную систему скрининга лекарственного средства (FDSS 6000; Hamamatsu Photonics) и измеряли внутриклеточную концентрацию ионов кальция без стимуляции в течение 30 секунд. Добавляли испытываемое соединение (конечная концентрация: 1 нм – 10 мкМ, раствор в диметилсульфоксиде (ДМСО)) и через 5 минут после этого добавляли S1P (конечная концентрация: 100 нм). Затем измеряли увеличение внутриклеточной концентрации ионов кальция до и после добавления S1P с интервалами в 3 секунды (длина волны возбуждения: 340 нм и 380 нм, длина волны флуоресценции: 500 нм).
Агонистическую активность соединения по настоящему изобретению в отношении каждого EDG определяли, используя максимальное значение, полученное в результате S1P-стимуляции в лунке, содержащей ДМСО в качестве заместителя испытываемого соединения, как контрольное значение (A), сравнивая значение до добавления испытываемого соединения с повышенным значением (B) по относительному количеству флуоресценции после добавления и рассчитывая процент (%) повышения внутриклеточной концентрации ионов кальция [Ca2+]i как: процент повышения (%) = (B/A)×100. Определяли показатели повышения для испытываемого соединения при отдельных концентрациях и рассчитывали EC50.
Результаты
Например, значение EC50 для 3-[3-(4-(5-фенилпентилокси)фенил)пропиламино]пропановой кислоты в отношении EDG-1 составило 0,255 мкмоль/л.
Биологический пример 4
Подсчет числа лимфоцитов в крови (1)
Способ
Испытываемые соединения перорально вводили самцам крыс Sprague-Dawley (Charles Riber Laboratories, Japan, Ltd., возраст 6 недель на момент использования). Через 4-72 часа после введения брали кровь из брюшной аорты под эфирной анестезией. Используя часть взятой крови, определяли число гемоцитов и подсчитывали число лимфоцитов, нейтрофилов и тромбоцитов. Каждая группа включала 4 или 5 животных.
Результаты
Было показано, что соединения по настоящему изобретению снижали число лимфоцитов в крови, демонстрируя тем самым сильный эффект хоминга лимфоцитов. Также было обнаружено, что эффекты лимфопении соединений по настоящему изобретению сохранялись даже через 72 часа после введения. Например, 3-[3-(4-(5-фенилпентилокси)фенил)пропиламино]пропановая кислота снижала зависимым от концентрации образом число лимфоцитов в крови при 10, 30 и 100 мг/кг через 4 часа после введения.
Было обнаружено, что соединения по настоящему изобретению обладают агонистической активностью в отношении EDG-1 и способностью к связыванию с EDG-6 и, более того, эффектом лимфопении в течение долгого периода времени.
Биологический пример 5
Подсчет числа лимфоцитов в крови (2)
Способ
Испытываемые соединения перорально вводили самцам мышей BALB/c. Через 72 часа после введения брали кровь из брюшной аорты под эфирной анестезией. Общее число лейкоцитов, число лимфоцитов, число нейтрофилов, число эритроцитов, число тромбоцитов в крови и гематокритное число определяли при помощи многоцелевого автоматического счетчика форменных элементов крови (SF-3000, Sysmex). При вычислении за 100% принимали среднее число форменных элементов крови в группе введения носителя (группа носителя) и рассчитывали процент носителя от среднего числа форменных элементов крови для каждой группы введения испытываемого соединения. На основании доз испытываемого соединения и процентных количеств носителя строили калибровочную кривую и дозу соединения, необходимую для снижения числа форменных элементов крови на 50%, рассчитывали как ED50.
Биологический пример 6
Подсчет числа лимфоцитов в крови (3)
Способ
Испытываемые соединения по настоящему изобретению или носитель перорально вводили ежедневно самцам крыс Sprague-Dawley (Charles Riber Laboratories, Japan, Ltd., возраст 6 недель на момент использования). Затем введение испытываемых соединений или носителя прекращали и скорость восстановления числа лимфоцитов в крови отслеживали с интервалами во времени. Например, крыс делили на 10 групп и испытываемое соединение вводили в течение 10 дней 5 группам, тогда как другим 5 группам вводили в течение 10 дней носитель. После введения в течение 10 дней подсчитывали число лимфоцитов в крови, используя крыс одной из групп введения носителя и одной из групп введения испытываемого соединения в дни 1, 2, 3, 4 и 5 после прекращения введения. Цельную кровь собирали из брюшной аорты под эфирной анестезией. Используя часть взятой крови, подсчитывали количество гематоцитов и определяли число лимфоцитов, число нейтрофилов и число тромбоцитов, используя многоцелевой автоматический счетчик форменных элементов крови (SF-3000, Sysmex). Каждая группа включала 4 или 5 животных.
Биологический пример 7
Исследование действия соединения по настоящему изобретению по промотированию хоминга лимфоцитов в лимфатический орган (1: гистологическое окрашивание лимфатического узла)
Способ
Лимфатические узлы брали у крыс Sprague-Dawley (Charles Riber Laboratories, Japan, возраст 6 недель на момент использования), которых использовали в Биологическом Примере 4, которым перед испытанием вводили испытываемые соединения или носитель. В соответствии со способом, традиционно используемым в данной области техники, ткани фиксировали в формалине и получали кусочки тканей. Используя двойной метод окрашивания гематоксилином и эозином, наблюдали состояние лимфатических тканей, т.е. части коры, мозгового вещества, маргинального синуса и лимфатического минуса и т.п.
Биологический пример 8
Исследование действия соединения по настоящему изобретению по промотированию хоминга лимфоцитов в лимфатический орган (1: подсчет числа лимфоцитов в лимфатическом органе)
Способ
Самцам мышей BALB/c перорально вводили испытываемые соединения. Через двадцать часов после этого мышей умерщвляли обескровливанием под эфирной анестезией. Сразу после этого извлекали различные лимфатические органы, такие как пейеровы бляшки и тимус. Затем из них получали лимфоциты, которые подвергали дальнейшему анализу. А именно, клетки метили с использованием анти-CD3 антитела, анти-CD4 антитела, анти-CD8, анти-B220 антитела и т.д. и различные положительные клетки измеряли при помощи счетчика проточной цитометрии.
Биологический пример 9
Анализ хемотаксиса
Способ
У мышей извлекали селезенку или лимфатический узел и из них получали лимфоциты в соответствии со способом, который обычно используют в данной области техники (J. Immunol., 171, 3500-3507 (2003)). Полученные таким образом лимфоциты (например, 1×107 клеток/мл) помещали в верхний слой хемотаксической камеры, тогда как S1P или различные хемокины, такие как CCL-5 и CCL-21, помещали в нижний слой. Испытываемые соединения (либо отдельно, либо одновременно) добавляли к нижнему слою или к верхнему слою и, таким образом, наблюдали действие по ингибированию или промотированию миграции лимфоцитов.
Биологический пример 10
Фенотипический анализ клеток крови
Способ
Цельную кровь брали у крыс, которым вводили испытываемые соединения или только носитель. Затем клетки метили с использованием анти-CD3 антитела, анти-CD45RA антитела, анти-CD4 антитела, анти-CD8a антитела, анти-CD161a антитела и т.п. Таким образом, наблюдали действие испытываемых соединений на фенотип клеток крови. Например, клетки суспендировали в пробирке Spitz и добавляли краситель 7-AAD для определения жизнеспособности клеток, FITC-меченное анти-CD3 антитело, FITC-меченное анти-CD45RA антитело, FITC-меченное анти-CD8b антитело, PE-меченное анти-CD4 антитело и FITC-меченное анти-CD161a антитело и смешивали. Затем смеси давали выстояться при комнатной температуре в темном месте в течение 15 минут. Затем добавляли гемолитический реагент IO Test 3 Lysing Solution с последующим перемешиванием и затем смеси давали выстояться при комнатной температуре в темном месте в течение 10 минут. Затем смесь центрифугировали при 1300 об/мин (320 g) в течение 5 минут. Осажденное вещество суспендировали в 1 мл DPBS и 10000 или более клеток измеряли при помощи счетчика проточной цитометрии EPICS XL (Beackman Coulter).
Биологический пример 11
Анализ интернализации белка EDG-1
Способ
Используя клетки CHO, в которых происходила сверхэкспрессия EDG-1, наблюдали интернализацию белка EDG-1 в результате стимуляции испытываемым соединением в соответствии со способом, о котором сообщалось в FASEB, 18, 551-553 (2004).
Примеры получения композиций
Примеры получения композиций осуществляли в настоящем изобретении, как описано ниже.
Пример получения композиции 1
3-[3-(4-(5-фенилпентилокси)фенил)пропиламино]пропановую кислоту (100 г), кальций карбоксиметилцеллюлозу (разрыхлитель, 20,0 г), стеарат магния (смазывающее вещество, 10,0 г) и микрокристаллическую целлюлозу (870 г) смешивали обычным способом и прессовали в таблетки с получением 10000 таблеток, каждая из которых содержала 10 мг активного ингредиента.
Пример получения композиции 2
3-[3-(4-(5-фенилпентилокси)фенил)пропиламино]пропановую кислоту (200 г), маннит (2 кг) и дистиллированную воду (50 л) смешивали обычным способом. Затем раствор фильтровали через пылеулавливающий фильтр, после чего 5 мл аликвоты загружали в ампулы, которые обрабатывали в автоклаве, с получением 10000 ампул, каждая из которых содержала 20 мг активного ингредиента.
Промышленная применимость
Настоящее изобретение является применимым для получения лекарственных средств, как указано ниже.
Соединения по настоящему изобретению, представленные формулой (I), их соли, их сольваты или их пролекарства являются соединениями, обладающими способностью к связыванию с рецептором S1P, в частности EDG-6, и демонстрируют длительное фармакологическое действие. Поэтому они являются полезными в качестве профилактических и/или лекарственных средств для млекопитающих, в частности для человека, при отторжении при трансплантации, отторжении трансплантированного органа, болезни трансплантат против хозяин, аутоиммунных заболеваниях (системная красная волчанка, ревматоидный артрит, миастения gravis и т.п.), аллергических заболеваниях (атопический дерматит, астма и т.п.), воспалении, инфекции, язве, лимфоме, злокачественной опухоли, лейкозе, заболевании, связанном с инфильтрацией лимфоцитов в ткань, и т.п.
Помимо способности к связыванию с EDG-6 некоторые соединения по настоящему изобретению обладают агонистической активностью в отношении EDG-1 и, поэтому, проявляют иммуносупрессорное действие и длительное фармакологическое действие. Благодаря таким характеристикам они более полезны в качестве профилактических и/или лекарственных средств при отторжении при трансплантации, болезни трансплантат против хозяина, аутоиммунных заболеваниях, аллергических заболеваниях и т.п.
Формула изобретения
1. Соединение, представленное формулой (I)
 где кольцо, А представляет собой С5-С12-моноциклическую или бициклическую карбоциклическую арильную группу, которая необязательно является частично или полностью насыщенной, бензофуран или бензотиофен; кольцо В представляет собой дигидронафталиновое, инденовое, 6,7-дигидро-5Н-бензо[7]аннуленовое кольцо, которое может быть замещено C1-8-алкильной группой, атомом(ами) галогена или трифторметилом; Х представляет собой двухвалентную группу, содержащую от 1 до 8 атомов в своей основной цепи, которая представляет собой от 1 до 4 комбинаций, выбранных из группы, включающей (i) С1-8 алкилен, который может быть замещен С1-8 алкилом или фенилом, (ii) С2-8 алкенилен, который может быть замещен С1-8 алкилом, (iii) -O-, (iv) -S-, (v)С3-6-циклоалкилен, который может быть замещен С1-8 алкилом; Y представляет собой двухвалентную группу, содержащую от 1 до 10 атомов в своей основной цепи, которая представляет собой от 1 до 4 комбинаций, выбранных из (i) С1-10 алкилена, который может быть замещен атомом(ами) галогена, C1-8-алкилом, который может быть замещен атомом(ами) галогена, или С1-8 алкокси, который может быть замещен атомом(ами) галогена, (ii) C2-10 алкенилена, который может быть замещен атомом(ами) галогена, C1-8-алкилом, который может быть замещен атомом(ами) галогена, или С1-8 алкокси, который может быть замещен атомом(ами) галогена, (iii) атома азота, который может быть замещен C1-8-алкилом, который может быть замещен атомом(ами) галогена, (vi) – (азиридина, который может быть замещен С1-8 алкилом)-, и (vii) – (азетидина, который может быть замещен С1-8 алкилом); n имеет значение 0 или 1, при этом когда п имеет значение 0, m имеет значение 1 и R1 представляет собой атом водорода или (i) атом галогена, (ii) С1-10 алкил, который может быть замещен атомом(ами) галогена, (iii) С1-10 алкокси, который может быть замещен атомом(ами) галогена, (iv) С3-6 циклоалкилен, который может быть замещен С1-8 алкилом, и (v) фенил, который может быть замещен атомом(ами) галогена, и когда n имеет значение 1, m означает 0 или целое число, имеющее значение от 1 до 3 и R1 представляет собой (i) атом галогена, (ii) С1-10 алкил, который может быть замещен атомом(ами) галогена, (iii) С1-10 алкокси, который может быть замещен атомом(ами) галогена, (iv) C3-6 циклоалкилен, который может быть замещен С1-8 алкилом, (v) фенил, который может быть замещен атомом(ами) галогена, причем когда m имеет значение 2 или более, заместители R1 являются одинаковыми или отличными друг от друга, и где соединение, представленное формулой (1а), исключается
 где R1a представляет собой С1-8 алкил, С1-8 алкокси, атом галогена, нитро или трифторметил; кольцо Аa представляет собой С5-7 моноциклическую карбоциклическую группу или 5-7-членную моноциклическую гетероциклическую группу, содержащую один или два атома азота, один атом кислорода и/или один атом серы; Еa представляет собой -СН2-, -O-, -S- или -NR6a, где R6a представляет собой атом водорода или С1-8 алкил; R2a представляет собой С1-8 алкил, С1-8 алкокси, атом галогена, нитро или трифторметил; R3a представляет собой атом водорода или С1-8 алкил; R4a представляет собой атом водорода или С1-8 алкил, или R2a и R4а могут быть связаны вместе с образованием -СН2СН2– или -CH=CH-; Ga представляет собой -CONR7a-, -NR7aCO-, SO2NR7a-, -NR7aSO2-, -CH2NR7a или -NR7aCH2-, где R7a представляет собой атом водорода, С1-8 алкил, Cyc1 или С1-8 алкил, замещенный Cyc1, и Cyc1 представляет собой С5-7 моноциклическую карбоциклическую группу или 5-7-членную моноциклическую гетероциклическую группу, содержащую один или два атома азота, один атом кислорода и/или один атом серы; Qa представляет собой С1-4 алкилен или
 где J1, J2, J3 и J4, каждый независимо, представляют собой атом углерода или атом азота, где количество атомов азота равно 2 или меньше; R5a представляет собой (1) С1-8 алкил, (2) атом галогена, (3) нитро, (4) циано, (5) трифторметил, (6) трифторметокси, (7) фенил, (8) тетразолил, (9) -OR9a, (10) -SR10a, (11) -COOR11a, (12) -NR12aR13a, (13) -CONR14aR15a, (14) -SO2NR16aR17a, (15) -NR18aCOR19a, (16) -NR20aSO2R21a, (17) -SO2R22a или (18) -OP(O)(OR23a)2, где R9a-R18a, R20a и R23a, каждый независимо, представляют собой атом водорода, С1-8 алкил, Сус2 или С1-8 алкил, замещенный Сус2, или R12a и R13a, R14a и R15a или R16a и R17a, взятые вместе с атомом азота, с которым они связаны, образуют 5-7-членную моноциклическую гетероциклическую группу, содержащую один или два атома азота, один атом кислорода и/или один атом серы, где гетероциклическая группа может быть замещена С1-8 алкилом, гидрокси или амино; R19a и R21a, каждый независимо, представляют собой С1-8 алкил, Сус2 или С1-8 алкил, замещенный Сус2; R22a представляет собой гидрокси, С1-8 алкил, Сус2 или С1-8алкил, замещенный Сус2; и Сус2 представляет собой С5-7 моноциклическую карбоциклическую группу или 5-7-членную моноциклическую гетероциклическую группу, содержащую один или два атома азота, один атом кислорода и/или один атом серы; p представляет собой 0 или целое число, имеющее значение от 1 до 5; q представляет собой целое число, имеющее значение от 4 до 6; r представляет собой 0 или целое число, имеющее значение от 1 до 4; s представляет собой 0 или целое число, имеющее значение от 1 до 4; и
представляет собой простую связь или двойную связь; его нетоксичная водорастворимая соль или его метиловый или этиловый сложный эфир.
2. Соединение по п.1, где кольцо А представляет собой бензольное, индановое, инденовое или нафталиновое кольцо.
3. Соединение по п.1, где Х представляет собой -СН2-, -(СН2)2-, -(СH2)3-, -(СН2)4-, -(СН2)5-. -(СН2)б-, -(СН2)7-, -(CH2)8-, -CH2-O-, -(CH2)2-O-, -(СН2)3-O-, -(СН2)4-O-, -(СН2)5-O-, -СН=СН-СН2-O- или -циклопропилен- СН2-О-, каждый из которых может быть замещен С1-8 алкилом или фенилом, где правая сторона каждой группы связана с кольцом В.
4. Соединение по п.1, где Y представляет собой -(CH2)3-NHCH2-, -(СН2)3-NCH3-CH2-, -(CH2)3-NH-(CH2)2-, -(CH2)2-NH-(CH2)2-, -CRY1=CH-CH2-NH-(СН2)4-, -CRY1=CH-CH2-NH-(CH2)5-, -CRY1=CH-CH2-NH-(CH2)2-, -CH=CRY1-CH2-NH-(CH2)2-, -CRY1=CH-CH2-NH-CH2-, -СН2-(азетидин)-, -(СН2)2-(азетидин)-, -(СН2)3-(азетидин)-, -CRYl=CH-CH2-(aзeтидин)-, -CH=CRYl-CH2-(aзeтидин)-, каждый из которых может быть замещен, где RY1 представляет собой атом водорода, атом галогена или С1-4 алкил, который может быть замещен 1-3 атомами галогена, и правая сторона каждой группы связана с кольцом В.
5. Соединение по п.1, где R1 представляет собой фтор, хлор, бром, метил, этил, пропил, бутил, трифторметил, метокси или трифторметокси.
6. Соединение по п.1, которое представляет собой соединение, представленное формулой (I-S-3а)
 где ХS имеет значения, указанные для Х в п.1, где ХS не является -(CH2)q-Еa; RS0, RS1, RS2, RS3, RS4, RS5, RS6, RS7, RS8, RS9, RS10 и R11, каждый независимо, представляют собой атом водорода, атом галогена, или С1-4 алкил, который может быть замещен 1-3 атомами галогена; Еa, q и другие символы имеют значения, указанные в п.1, или формулой (I-S-7a)
 где каждый из RS0, RS1, RS2, RS3, RS4, RS5 и RS6 имеет указанное выше значение; RS12, RS13, RS14 и RS15, каждый независимо, представляют собой атом водорода, атом галогена, или С1-4 алкил, который может быть замещен 1-3 атомами галогена; Еa, q и другие символы имеют значения, указанные в п.1.
7. Соединение по п.1, которое представляет собой (11) 1-{[1-метил-6-(4-фенилбутокси)-3,4-дигидро-2-нафталинил]метил}-3-азетидинкарбоновую кислоту, (14) 1-(6-[3-(4-хлорфенил)пропокси]-1-метил-3,4-дигидро-2-нафталинилметил)-3-азетидинкарбоновую кислоту или (15) 1-(6-[3-(4-фторфенил)пропокси]-1-метил-3,4-дигидро-2-нафталинилметил)-3-азетидинкарбоновую кислоту.
8. Фармацевтическая композиция, способная к связыванию с S1P рецептором, включающая эффективное количество соединения формулы (I) по п.1, его нетоксичная водорастворимая соль или его метиловый или этиловый сложный эфир и носитель.
9. Фармацевтическая композиция по п.8, которая представляет собой агент связывания с EDG-6, которая может обладать способностью к связыванию c EDG-1.
10. Фармацевтическая композиция по п.9, где агент связывания с EDG-6, который может обладать способностью к связыванию с EDG-1, представляет собой агонист EDG-6, который может обладать агонистической активностью в отношении EDG-1.
11. Иммуносупрессант и/или средство, вызывающее лимфопению, которое включает соединение, охарактеризованное формулой (I) по п.1, его нетоксичная водорастворимая соль или его метиловый или этиловый сложный эфир, обладающее способностью к связыванию с EDG-6, и которое может обладать способностью к связыванию с EDG-1.
12. Иммуносупрессант и/или средство, вызывающее лимфопению по п.11, которое представляет собой средство для предупреждения и/или лечения отторжения при трансплантации, аутоиммунного заболевания и/или аллергического заболевания.
|
|