|
|
(21), (22) Заявка: 2009113582/11, 13.04.2009
(24) Дата начала отсчета срока действия патента:
13.04.2009
(46) Опубликовано: 27.05.2010
(56) Список документов, цитированных в отчете о поиске:
ЕР 1366967 А2, 03.12.2003. RU 2248899 C1, 27.03.2005. SU 816840 A1, 30.03.1981. SU 918152 A1, 07.04.1982. US 6799097 B2, 28.09.2004.
Адрес для переписки:
107174, Москва, ул. Новая Басманная, 2, начальнику управления по вопросам интеллектуальной собственности Р.Ю.Тимофееву
|
(72) Автор(ы):
Розенберг Ефим Наумович (RU), Зорин Василий Иванович (RU), Розенберг Игорь Наумович (RU), Шухина Елена Евгеньевна (RU), Гордон Борис Моисеевич (RU)
(73) Патентообладатель(и):
Открытое акционерное общество “Российские железные дороги” (ОАО “РЖД”) (RU)
|
(54) СПОСОБ ПРЕДОТВРАЩЕНИЯ СТОЛКНОВЕНИЯ ПОДВИЖНОГО СОСТАВА И УСТРОЙСТВО ДЛЯ ЕГО ОСУЩЕСТВЛЕНИЯ
(57) Реферат:
Изобретение относится к области железнодорожной автоматики и телемеханики и может быть использовано в устройствах автоматического управления движением поездов на перегонах и станциях. Информацию о свободности и исправности участков железнодорожного пути передают на локомотивный приемник с помощью индуктивного канала связи автоматической локомотивной сигнализации непрерывного типа. Информацию о длине и характеристиках пути передают на локомотивный приемник через индуктивный канал связи точечного типа. В процессе движения проверяют эффективность тормозных средств поезда для прицельного торможения перед границей занятого блок-участка. После завершения торможения и остановки перед границей занятого блок-участка пути, дальнейшее движение, до получения локомотивным приемником информации об освобождении впереди лежащего участка пути, осуществляют ограниченными перемещениями, разделенными остановками поезда на отрезки времени. Устройство содержит на локомотиве электропневматический клапан (1) тормозной системы, блок датчиков (2) параметров движения поезда, программный блок управления (3), блок индикации (4), блок подтверждения бдительности машиниста (5), локомотивные приемники непрерывного (6) и точечного (7) каналов связи, стационарные передатчики (8) и (9), блок логического элемента И (10), блок формирования интервалов времени остановок (11), блок ограничения перемещения локомотива (12) и блок ручного разрешения ограниченного продвижения (13). Технический результат изобретения заключается в повышении безопасности движения поездов. 2 н.п. ф-лы, 1 ил.
Изобретение относится к области железнодорожной автоматики и телемеханики и может быть использовано в устройствах автоматического управления движением поездов на перегонах и станциях.
Известен способ предотвращения столкновения подвижного состава, при котором информацию о свободности и исправности путевых участков, находящихся впереди по ходу движения поезда, передают на локомотив с помощью индуктивного канала связи автоматической локомотивной сигнализации непрерывного типа в виде кодовых сигналов, определяющих допустимые значения скорости движения, а на локомотиве осуществляют сравнение фактической и допустимой скоростей, с обеспечением остановки подвижного состава, перед занятым участком железнодорожного пути.
Известно устройство для реализации упомянутого способа, в котором на локомотиве имеются блок датчиков параметров движения поезда, блок управления движением поезда, выход которого соединен с электропневматическим клапаном тормозной системы подвижного состава. Второй вход блока управления движением поезда соединен с выходом блока подтверждения бдительности машиниста, а третий вход соединен с выходом локомотивного приемника непрерывного индуктивного канала связи. Локомотивный приемник непрерывного канала индуктивной связи своим входом, через рельсовую линию, соединен с передатчиком аппаратуры непрерывного индуктивного канала связи участка пути, на котором находится поезд (Леонов А.А. Техническое обслуживание автоматической локомотивной сигнализации” М., Транспорт, 1982, с.256).
Недостатком известных способа и устройства является то, что в них не обеспечена защита от несанкционированного движения локомотивов по занятому блок-участку и, в частности, возможен проезд границы занятого участка пути, во время процесса торможения подвижного состава.
Известен способ предотвращения столкновения подвижного состава, при котором информацию о свободности и исправности участков железнодорожного пути, находящихся впереди по ходу движения поезда, передают на локомотив с помощью индуктивного канала связи автоматической локомотивной сигнализации непрерывного типа, а информацию о длине и характеристиках пути передают на локомотив через индуктивный канал связи точечного типа, и в процессе движения периодически проверяют эффективность тормозных средств состава, для прицельного торможения перед границей занятого блок-участка. Вышеописанный способ по своей технической сущности является наиболее близким к заявляемому способу и выбран в качестве прототипа.
Известно устройство для реализации упомянутого способа, содержащее на локомотиве блок датчиков параметров движения поезда, соединенный с первым входом программного блока управления движением поезда, выход которого соединен с электропневматическим клапаном тормозной системы подвижного состава. Второй вход программного блока управления движением поезда соединен с выходом блока подтверждения бдительности машиниста, третий и четвертый входы соединены, соответственно, с выходами локомотивных приемников непрерывного и точечного индуктивных каналов связи, а пятый вход соединен со средством ручной отмены автоматического управления. Локомотивные приемники непрерывного и точечного индуктивных каналов связи своими входами соединены с соответствующими выходами стационарных передатчиков индуктивных каналов связи (Никифоров Б.Д., Головин В.И., Кутыев Ю.Г. “Автоматизация управления тормозами поездов”. М.: Транспорт, 1985, с.263). Вышеописанное устройство по своей технической сущности является наиболее близким к заявляемому устройству и выбрано в качестве прототипа.
Известные способ и устройство позволяют осуществить прицельную остановку перед светофором с запрещающим сигнальным показанием, но не обеспечивают защиту от несанкционированного движения локомотивов по занятому блок-участку, поскольку машинист, воздействуя через средство ручной отмены, может обойти устройства безопасности, без достаточного контроля со стороны диспетчера. На практике отмечены неоднократные случаи отключения приборов безопасности машинистами, например, из-за того, что данная система не позволяет совершать локомотивную работу на станции.
Заявляемые способ и устройство для его осуществления направлены на устранение опасных столкновений подвижных единиц, возникающих из-за не санкционированных и ошибочных действий локомотивной бригады и диспетчера, в процессе движения поезда по занятому блок-участку.
Техническим результатом, на который направлено данное изобретение, является повышение безопасности движения поездов.
В части способа технический результат изобретения достигается тем, что в способе предотвращения столкновения подвижного состава, при котором информацию о свободности и исправности участков железнодорожного пути, находящихся впереди по ходу движения поезда, передают на локомотивный приемник с помощью индуктивного канала связи автоматической локомотивной сигнализации непрерывного типа, а информацию о длине и характеристиках пути передают на локомотивный приемник через индуктивный канал связи точечного типа, а в процессе движения периодически проверяют эффективность тормозных средств поезда для прицельного торможения перед границей занятого блок-участка, согласно изобретению, после завершения торможения и остановки перед границей занятого блок-участка пути, дальнейшее движение, до получения локомотивным приемником информации, об освобождении впереди лежащего участка пути, осуществляют ограниченными по максимальной длине перемещениями, разделенными остановками поезда на отрезки времени, ограниченные по минимальной длительности, причем количество таких перемещений выбирают, перед отправлением поезда по маршруту следования, в зависимости от длины приемно-отправочных путей на станциях маршрута и длины самого поезда.
В части устройства технический результат изобретения достигается тем, что в устройство для предотвращения столкновения подвижного состава, содержащее на локомотиве электропневматический клапан тормозной системы подвижного состава, блок датчиков параметров движения поезда, соединенный первым выходом с первым входом программного блока управления движением поезда, первый выход которого соединен с входом блока индикации, второй вход программного блока соединен с выходом блока подтверждения бдительности машиниста, а третий и четвертый входы соединены, соответственно, с выходами локомотивных приемников непрерывного и точечного каналов индуктивных каналов связи, входы которых соединены с выходами соответствующих стационарных передатчиков, упомянутых индуктивных каналов связи, согласно изобретению в него введены блок логического элемента И, блок формирования интервалов времени остановок, блок ограничения перемещения локомотива и блок ручного разрешения ограниченного продвижения локомотива, причем вход блока формирования интервалов времени остановок соединен со вторым выходом блока датчиков параметров движения поезда, а его выход соединен с первым входом блока ограничения перемещения локомотива, второй вход которого связан со вторым выходом программного блока управления движением поезда, а выход соединен с первым входом блока логического элемента И, второй вход которого соединен со вторым выходом программного блока управления движением поезда и вторым входом блока ограничения перемещения локомотива, пятый вход программного блока управления движением поезда соединен с выходом блока ручного разрешения ограниченного продвижения локомотива, а выход блока логического элемента И соединен с входом управления электропневматическим клапаном тормозной системы поезда, при этом третий выход программного блока управления движением поезда соединен с входом установки блока ограничения перемещения локомотива.
Использование предложенных способа и устройства позволяет предотвратить столкновения подвижных составов на перегонах и станциях, возникающие из-за ошибочных действий локомотивной бригады и диспетчера, в процессе движения поезда по занятому участку пути.
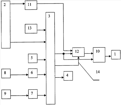
Структурная схема устройства для осуществления способа предотвращения столкновения подвижного состава, поясняющая сущность заявляемого изобретения, представлена на чертеже.
Устройство для предотвращения столкновения подвижного состава содержит на локомотиве электропневматический клапан 1 тормозной системы поезда, блок 2 датчиков параметров движения поезда, соединенный первым выходом с первым входом программного блока 3 управления движением поезда, первый выход которого соединен с входом блока индикации 4, второй вход программного блока 3 соединен с выходом блока 5 подтверждения бдительности машиниста, третий и четвертый входы программного блока 3 соединены, соответственно, с выходами локомотивных приемников непрерывного 6 и точечного 7 индуктивных каналов связи, входы которых соединены с выходами соответствующих стационарных передатчиков 8 и 9, упомянутых индуктивных каналов связи. Устройство дополнительно содержит блок 10 логического элемента И, блок 11 формирования интервалов времени остановок, блок 12 ограничения перемещения локомотива и блок 13 ручного разрешения ограниченного продвижения локомотива, вход блока 11 формирования интервалов времени остановок соединен со вторым выходом блока 2 датчиков параметров движения поезда, а его выход соединен с первым входом блока 12 ограничения перемещения локомотива, второй вход которого связан со вторым выходом программного блока 3 управления движением поезда, а выход соединен с первым входом блока 10 логического элемента И, второй вход которого соединен со вторым выходом программного блока 3 управления движением поезда и вторым входом блока 12 ограничения перемещения локомотива, пятый вход программного блока 3 управления движением поезда соединен с выходом блока 13 ручного разрешения ограниченного продвижения локомотива, а выход блока 10 логического элемента И соединен с входом управления электропневматическим клапаном 1 тормозной системы поезда, при этом третий выход программного блока 3 управления движением поезда соединен с входом установки 14 блока 12 ограничения перемещения локомотива.
Устройство для предотвращения столкновения подвижного состава работает следующим образом.
При движении поезда по блок-участку программный блок 3 управления движением поезда получает данные для управления движением от нескольких источников информации. От блока 2 датчиков параметров движения поезда, программный блок 3 управления движением поезда получает данные о текущей скорости, пройденном расстоянии по данному блок-участку и данные об эффективности тормозных средств поезда.
От локомотивного приемника 6 непрерывного индуктивного канала связи, программный блок 3 управления движением поезда получает данные о допустимой скорости движения поезда и о свободности и исправности впереди расположенных участков пути. От локомотивного приемника 7 точечного индуктивного канала связи программный блок 3 управления движением поезда получает данные о координатах границ, длине и профиле блок-участка, по которому следует поезд.
Основываясь на этих данных, программный блок 3 управления движением поезда обеспечивает прицельную остановку перед границей занятого блок-участка.
Для остановки поезда, программный блок 3 управления движением поезда формирует сигнал логического “0” на одном из выходов. При этом сигналы логического “0” также возникают на втором входе блока 10 логического элемента И и, следовательно, на его выходе, которым он воздействует на вход управления электропневматическим клапаном 1 тормозной системы поезда.
Сразу после остановки поезда, перед границей занятого участка пути, блок 11 формирования интервалов времени остановок, в течение заданного интервала времени, вырабатывает на своем выходе сигнал логического “0”.
Этим сигналом он, по первому входу блока 12 ограничения перемещения локомотива, запрещает дальнейшее движение локомотива в течение упомянутого заданного интервала времени. Этот интервал времени дается локомотивной бригаде и диспетчеру для принятия обдуманных и ответственных решений, по возможности продолжения движения по занятому участку пути.
Блок 12 ограничения перемещения локомотива вырабатывает на своем выходе сигнал логической “1”, разрешающий через блок 10 логического элемента И движение локомотива, только при совпадении следующих условий:
– сигнал логической “1” на первом входе блока 12 ограничения перемещения локомотива, от блока 11 формирования интервалов времени остановок;
– сигнал логической “1” на втором входе блока 12 ограничения перемещения локомотива от программного блока 3 управления движением поезда;
– отсутствие переполнения внутреннего счетчика (не показан) количества ограниченных перемещений, выполненных после первой остановки поезда, перед границей занятого участка пути.
Запуск этого счетчика происходит по совпадению сигналов логического “0” на обоих входах блока 12 ограничения перемещения локомотива, во время первой остановки поезда перед границей занятого участка пути. Затем этот счетчик считает количество появлений сигналов логического “0” на выходе блока 11 формирования интервалов времени остановок, при каждой последующей остановке поезда.
Локомотивная система безопасности имеет жесткий алгоритм построения кривой допустимой скорости до нулевого значения, перед границей занятого блок-участка. В этом случае действия машиниста, посредством блока подтверждения бдительности машиниста 5, не могут привести к проезду этой границы без остановки. Для получения разрешения по движению поезда по участку, аппаратура которого дает сигнал занятости, локомотивная бригада ведет переговоры с диспетчером по поездной радиосвязи (не показана).
В особых случаях, когда радиосвязь неисправна или неустойчива, это решение может приниматься без участия диспетчера.
В процессе переговоров между диспетчером и локомотивной бригадой, на основании полученной информации от локомотивной бригады и известной ему поездной обстановки, диспетчер, убедившись в логичности и осознанности предложений локомотивной бригады, может разрешить дальнейшее продвижение подвижной единицы за границу занятого блок-участка на ограниченное расстояние. Это может быть, например, необходимо для освобождения нужной в других маршрутах стрелочной секции, при предполагаемой ложной занятости путевого участка, перед которым остановился поезд.
При принятии решения по продвижению поезда вперед, машинист воздействием на блок 13 ручного разрешения ограниченного продвижения локомотива, может разрешить продвинуться поезду на ограниченное по максимальной длине расстояние (например, 200 м). После прохождения этого расстояния поезд обязательно автоматически останавливается, за счет работы программного блока 3 управления движением поезда, отрабатывающего каждый раз кривую прицельного торможения. Снова, после остановки, машинист, в течение времени выдержки, которое задается блоком 11 формирования интервалов времени остановок, не имеет возможности возобновить движение в течение времени поступления сигнала запрета на первый вход блока 12 с выхода блока 11 формирования времени остановок. После появления сигнала логической “1”, на выходе блока 11 формирования интервалов времени остановок, машинист может снова продвинуть поезд, еще на один ограниченный по длине отрезок пути и так далее, пока не будет достигнуто ограничение на количество перемещений, запрограммированное в блоке 12 ограничения перемещения локомотива, в процессе конфигурации системы управления поездом, перед отправлением его по маршруту. Если возможности по ограниченному продвижению поезда исчерпаны, дальнейшее движение поезда станет возможным, только после получения локомотивным приемником 6 непрерывного канала индуктивной связи кодированного сигнала с информацией об освобождении впереди лежащего участка пути. В этом случае программный блок 3 управления движением поезда переходит в режим, обеспечивающий дальнейшее движение поезда, а заблокированный внутренний счетчик блока 12 ограничения перемещения локомотива сбрасывается сигналом по входу установки 14 с третьего выхода программного блока 3 управления движением поезда.
Машинист получает индикацию на локомотивном индикаторе 4 о статусе текущего положения поезда и, в частности, о причине торможения и остановки поезда.
Таким образом, повышается уровень безопасности движения поездов, при сокращении задержек в движении поездов, в частности, при отказах путевых устройств, приводящих к сигналам ложной занятости участков пути.
Формула изобретения
1. Способ предотвращения столкновения подвижного состава, при котором информацию о свободности и исправности участков железнодорожного пути, находящихся впереди по ходу движения поезда, передают на локомотивный приемник с помощью индуктивного канала связи автоматической локомотивной сигнализации непрерывного типа, а информацию о длине и характеристиках пути передают на локомотивный приемник через индуктивный канал связи точечного типа, а в процессе движения периодически проверяют эффективность тормозных средств поезда для прицельного торможения перед границей занятого блок-участка, отличающийся тем, что после завершения торможения и остановки перед границей занятого блок-участка пути дальнейшее движение до получения локомотивным приемником информации об освобождении впереди лежащего участка пути осуществляют ограниченными по максимальной длине перемещениями, разделенными остановками поезда на отрезки времени, ограниченные по минимальной длительности, причем количество таких перемещений выбирают, перед отправлением поезда по маршруту следования, в зависимости от длины приемно-отправочных путей на станциях маршрута и длины самого поезда.
2. Устройство для предотвращения столкновения подвижного состава, содержащее на локомотиве электропневматический клапан тормозной системы подвижного состава, блок датчиков параметров движения поезда, соединенный первым выходом с первым входом программного блока управления движением поезда, первый выход которого соединен с входом блока индикации, второй вход программного блока соединен с выходом блока подтверждения бдительности машиниста, а третий и четвертый входы соединены соответственно с выходами локомотивных приемников непрерывного и точечного индуктивных каналов связи, входы которых соединены с выходами соответствующих стационарных передатчиков упомянутых индуктивных каналов связи, отличающееся тем, что в него введены блок логического элемента И, блок формирования интервалов времени остановок, блок ограничения перемещения локомотива и блок ручного разрешения ограниченного продвижения локомотива, причем вход блока формирования интервалов времени остановок соединен со вторым выходом блока датчиков параметров движения поезда, а его выход соединен с первым входом блока ограничения перемещения локомотива, второй вход которого связан со вторым выходом программного блока управления движением поезда, а выход соединен с первым входом блока логического элемента И, второй вход которого соединен со вторым выходом программного блока управления движением поезда и вторым входом блока ограничения перемещения локомотива, пятый вход программного блока управления движением поезда соединен с выходом блока ручного разрешения ограниченного продвижения локомотива, а выход блока логического элемента И соединен с входом управления электропневматическим клапаном тормозной системы поезда, при этом третий выход программного блока управления движением поезда соединен с входом установки блока ограничения перемещения локомотива.
РИСУНКИ
|
|