|
|
(21), (22) Заявка: 2008151813/04, 25.12.2008
(24) Дата начала отсчета срока действия патента:
25.12.2008
(46) Опубликовано: 20.05.2010
(56) Список документов, цитированных в отчете о поиске:
Рубцов А.Е. и др. Химико-фармацевтический журнал, т.36, 11, с.31-35, 2002. RU 2005123401 A, 20.01.2006. SU 1402261 A3, 07.06.1988.
Адрес для переписки:
614990, г.Пермь, ул. Букирева, 15, ПГУ, пат.пов. А.О.Онорину, рег.126
|
(72) Автор(ы):
Шипиловских Сергей Александрович (RU), Рубцов Александр Евгеньевич (RU), Махмудов Рамиз Рагипович (RU), Залесов Владимир Васильевич (RU)
(73) Патентообладатель(и):
Государственное образовательное учреждение высшего профессионального образования “Пермский государственный университет” (RU)
|
(54) 4-(4-МЕТИЛФЕНИЛ)-4-ОКСО-2-[3-ЭТОКСИКАРБОНИЛ-4,5-R2,R1-ТИОФЕН-2-ИЛАМИНО]БУТ-2-ЕНОВЫЕ КИСЛОТЫ, ОБЛАДАЮЩИЕ ПРОТИВОВОСПАЛИТЕЛЬНОЙ И АНАЛЬГЕТИЧЕСКОЙ АКТИВНОСТЬЮ
(57) Реферат:
Изобретение относится к новым биологически активным веществам, а именно к 4-(4-мeтилфeнил)-4-oкco-2-[3-этoкcикapбoнил-4,5-R2,R1-тиoфeн-2-иламино]
бут-2-еновым кислотам общей формулы

Технический результат – получение новых соединений, обладающих противовоспалительной и анальгетической активностью, а также низкой токсичностью, которые можно применять в качестве лекарственных средств. 1 табл.
Изобретения относится к области органической химии, к новым биологически активным веществам класса 4-арил-2,4-диоксобутановых кислот, а именно к 4-(4-метилфенил)-4-оксо-2-[3-этоксикарбонил-4,5-R2,R1-тиофен-2-иламино] бут-2-еновым кислотам общей формулы

обладающие противовоспалительной и анальгетической активностью, что позволяет предположить их использование в медицине в качестве лекарственных средств, с противовоспалительными и анальгетическими свойствами.
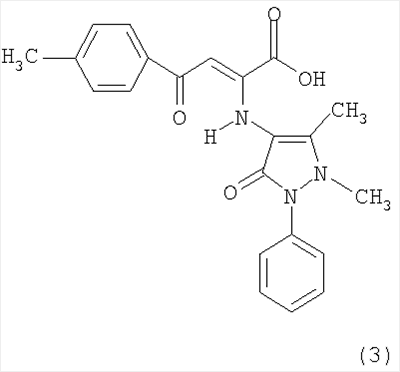
Аналогом по структуре заявляемым соединениям является 2-(1,5-диметил-3-оксо-2-фенил-2,3-дигидро-1Н-пиразол-4-иламино)-4-(4-метоксифенил)-4-оксобут-2-еновая кислота (3) [Рубцов А.Е., Махмудов P.P., Ковыляева Н.В., Просяник Н.И., Бобров А.В., Залесов В.В. Синтез, противовоспалительная и анальгетическая активность производных 4-аминоантипирина. Хим-фарм. журн., 2002, т.36, 11, с.31-351] формулы

Эталоном сравнения выбран ортофен формулы

который широко применяется в лечебной практике и является аминопроизводным алифатической кислоты и аналогом по действию [Машковский М.Д. Лекарственные средства. – 15-е изд., перераб., испр. и доп. – М.: ООО «Новая волна», 2005. – с.170].
Задачей изобретения является поиск в ряду производных 4-арил-2,4-диоксобутановых кислот веществ с выраженным противовоспалительным и анальгетическим действием и низкой токсичностью.
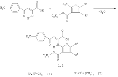
Поставленная задача достигается получением 4-(4-метилфенил)-4-оксо-2-{[3-(этоксикарбонил)-4,5-диметил-2-тиенил]амино}-2-бутеновой и (4-(4-метилфенил)-4-оксо-2-{[3-(этоксикарбонил)-5,6-дигидро-4Н-дигидроциклопента[b]тиофен-2-ил]амино}-2-бутеновой кислот, которые обладают противовоспалительной и анальгетической активностью. Заявляемые соединения 1,2 синтезируют взаимодействием 4-(4-метилфенил)-2,4-диоксобутановой кислоты с 4,5-дизамещенным этиловым эфиром 2-амино-тиофен-3-карбоновой кислоты в среде этилового спирта при 60°С с последующим выделением целевого продукта известными методами по схеме

Пример 1. Получения соединения 1. К раствору 2.06 г (0.01 моль) 4-(4-метилфенил)-2,4-диоксобутановой кислоты в 20 мл этилового спирта прибавляют раствор 1.85 г (0.01 моль) этилового эфира 2-амино-4,5-димитил[b]тиофен-3-карбоновой кислоты в 20 мл того же растворителя и выдерживают при комнатной температуре 24 часа. Смесь охлаждают до 0°С, выпавший осадок отфильтровывают и перекристаллизовывают из ацетонитрила. Выход 2.91 г (78%). Т.пл. 167-168°С. Найдено, %: С 61.13; Н 5.11; N 3.74; О 21.43; S 8.57. C19H19NO5S. Вычислено, %: С 61.11; Н 5.13; N 3.75; О 21.42; S 8.59. ИК спектр (ФСМ 1201, вазелиновое масло, , см-1): 2953.94 (NH), 1675 (COO). Спектр ЯМР 1H (Varian Mercury300 (300 MHz), ДМСО-d6, ГМДС, , м.д.): 12.65 с (1H, NH); 7.88 м (4Н, аром); 6.46 с (1Н, С=СН); 4.32 к (2Н, ОСН2СН3); 2.36 с, 2.2 с, 2.18 с (9Н, 3СН3) 1.32 т (3Н, ОСН2СН3).
Полученное соединение 1 представляет собой ярко-красное кристаллическое вещество, растворимое в хлороформе, толуоле, ацетоне, не растворимое в воде и гексане.

Пример 2. Соединение 2 получают аналогично. Выход 2.96 г (77%). Т.пл. 180-181°С. Найдено, %: С 62.30; Н 4.99; N 3.61; О 20.73; S 8.31. Вычислено, %: С 62.32; Н 4.97; N 3.63; О 20.75; S 8.32. ИК спектр (ФСМ 1201, вазелиновое масло, , см-1): 3405 (NH), 1678 (СО). Спектр ЯМР 1H (Varian Mercury300 (300 MHz), ДМСо-d6, ГМДС, , м.д.): 12.72 с (1Н, NH), 7.89-7.3 2д (4Н, С6Н4), 6.5 с (1Н, СН), 4.24-4.31 к (2Н, ОСН2СН3), 2.86-2.79 м (2Н, СН2), 1.3 т (3Н, ОСН2СН3).
Полученное соединение 2 представляет собой темно-красное кристаллическое вещество, растворимое в хлороформе, толуоле, ацетоне, не растворимое в воде и гексане.

Пример 3. Противовоспалительная активность изучена в опытах на 30 белых беспородных крысах обоего пола массой 220-260 г. Соединения 1,2 вводили внутрибрюшинно в дозе 50 мг/кг в виде взвеси в 2% крахмальном растворе за час до моделирования острого каррагенинового воспаления. Каррагениновый отек вызывали субплантарной инъекцией 0.1 мл 1% раствора флогогена в заднюю лапу крысы. О противовоспалительной активности судили по изменению выраженности воспаления в динамике, которое регистрировали онкометрически через 2 и 4 часа после моделирования воспаления [Методические рекомендации по экспериментальному изучению нестероидных противовоспалительных веществ, фармакологический комитет МЗ СССР, протокол 22 от 11 ноября 1982, Москва (1982)]. Контрольным животным вводили эквиобъемное количество 2% крахмального раствора. Препаратом сравнения служил ортофен в дозе 10 мг/кг.
Пример 4. Анальгетическая активность соединений 1,2 изучена на 12 белых мышах самцах массой 20-25 г по методу термического раздражения [Н.Б.Эдди, Д.Леймбах, Фармакология и токсикология, 1960, 4, с.311-315]. Исследуемые соединения 1,2 вводили в дозе 50 мг/кг внутрибрюшинно в виде взвеси в 2% крахмальном растворе за 1 час до помещения животных на горячую пластинку. Показателем болевой чувствительности служила длительность пребывания мышей на пластинке до наступления оборонительного рефлекса – облизывания лапок. Контрольным животным вводили эквиобъемное количество 2% крахмального раствора. Препаратом сравнения служил ортофен в дозе 10 мг/кг.
Острую токсичность (ЛД50) заявляемых соединений 1,2 определяли на 24 белых беспородных мышах обоего пола массой 18-22 г при внутрибрюшинном пути введения в виде взвеси в 2% крахмальном растворе по экспресс-методу В.Б.Прозоровского [Прозоровский В.Б., Прозоровская М.П., Демченко В.И. Фармакология и токсикология, 1978, 4, с.497-502]. Установлено, что ЛД50 соединений 1,2 составляет более 1000 мг/кг. Согласно классификации токсичности препаратов соединения 1,2 относится к классу практически нетоксичных веществ [Измеров И.Ф., Саноцкий И.В., Сидоров К.К., Параметры токсикометрии промышленных ядов. М.: Медицина, 1977, с.196-197]. Они в 14 раз менее токсичны, чем ортофен.
| Таблица |
| Противовоспалительная, анальгетическая активность и острая токсичность соединения 1,2 |
| Соединение |
Доза, мг/кг |
ЛД50 мг/кг |
% торможения* каррагенинового отека |
Латентный период оборонительного рефлекса, с |
| 4 часа |
2,5 часа |
| Контроль |
– |
– |
0,0±0,0 |
10,0±0,5 |
| 1 |
50 |
>1000 |
35,27 |
23,52±2,12 |
| 2 |
50 |
>1000 |
39,95 |
18,58±1,11 |
| 3 |
50 |
>1000 |
106,2±7,5 |
15,2±1,25 |
| Ортофен |
10 |
74 |
61,0±1,51 |
26,2±0,61 |
| * по сравнению с контролем |
Как видно из таблицы, соединения 1,2 проявляют выраженную противовоспалительную активность. Кроме того, соединения 1,2 показали значительную анальгетическую активность, сравнимую с эталоном и превосходящую активность аналога по структуре (3). Необходимо отметить, что эффективная доза ортофена составляет 0,14 от его ЛД50, а у заявляемых соединений – 0,05 от его ЛД50, что свидетельствует об определенных преимуществах соединений 1,2 перед ортофеном в плане их безопасности и эффективности.
Формула изобретения
4-(4-Метилфенил)-4-оксо-2-[3-этоксикарбонил-4,5-R2,R1 -тиофен-2-иламино]бут-2-еновые кислоты общей формулы:
 обладающие противовоспалительной и анальгетической активностью.
|
|