|
|
(21), (22) Заявка: 2007123253/04, 12.12.2005
(24) Дата начала отсчета срока действия патента:
12.12.2005
(30) Конвенционный приоритет:
21.12.2004 US 60/637,836
(43) Дата публикации заявки: 27.01.2009
(46) Опубликовано: 20.05.2010
(56) Список документов, цитированных в отчете о поиске:
US 20030060498 A1, 27.03.2003. WO 03062205 A1, 31.07.2003. RU 2203275 C2, 27.04.2003.
(85) Дата перевода заявки PCT на национальную фазу:
23.07.2007
(86) Заявка PCT:
EP 2005/013290 20051212
(87) Публикация PCT:
WO 2006/066745 20060629
Адрес для переписки:
191186, Санкт-Петербург, а/я 230, “АРС-ПАТЕНТ”, пат.пов. И.И.Липатовой, рег. 554
|
(72) Автор(ы):
ХАРРИС III Ральф Нью (US), КРАУСС Ненси Элизабет (US), КРЕСС Джеймс М. (US), РЕПКЕ Девид Брюс (US), СТАБЛЕР Расселл Стефен (US)
(73) Патентообладатель(и):
Ф. ХОФФМАНН-ЛЯ РОШ АГ (CH)
|
(54) ПРОИЗВОДНЫЕ ТЕТРАЛИНА И ИНДАНА И ИХ ПРИМЕНЕНИЯ
(57) Реферат:
Изобретение относится к новым соединениям формулы (I) или к их фармацевтически приемлемым солям
,
где m имеет значение 0; p имеет значение от 1 до 2; q имеет значение 2; Ar представляет собой возможно замещенный фенил, где заместители представляют собой галоген; R2 представляет собой ;
каждый из n и r независимо имеет значение 1 или 2; и Х представляет собой -NR3, когда n имеет значение 2, или Х представляет собой -CHNR4R5, когда n имеет значение 1 или 2, где каждый из R3, R4 и R5 независимо представляет собой водород или метил. Изобретение также относится к фармацевтической композиции с избирательным сродством к 5-НТ рецепторам на основе этих соединений. Технический результат – получение новых соединений и фармацевтической композиции на их основе, которые могут найти применение в медицине для лечения болезненных состояний центральной нервной системы и расстройств желудочно-кишечного тракта. 2 н. и 14 з.п. ф-лы, 1 табл.
Изобретение относится к соединениям замещенного индана и тетралина формулы I и композициям, содержащим эти соединения, их применению в приготовлении лекарства и способам их получения:
;
или к их фармацевтически приемлемой соли,
где:
m имеет значение от 0 до 3;
p имеет значение от 1 до 3;
q имеет значение 0, 1 или 2;
Ar представляет собой возможно замещенный арил или возможно замещенный 5-12-членный гетероарил;
каждый R1 независимо представляет собой галогено, C1-12-алкил, C1-12-галогеноалкил, C1-12-гетероалкил, циано, -S(O)t-Ra, -С(=О)-NRbRc, -SO2-NRbRc, -N(Rd)-С(=O)-Re или -С(=O)-Re, где t имеет значение от 0 до 2, каждый из Ra, Rb, Rc и Rd независимо представляет собой водород или C1-12-алкил и Re представляет собой водород, C1-12-алкил, C1-12-алкокси или гидрокси;
R2 представляет собой ;
каждый из n и r независимо имеет значение 1 или 2; и
Х представляет собой -NR3, когда n имеет значение 2, или Х представляет собой -CHNR4R5, когда n имеет значение 1 или 2, где каждый из R3, R4 и R5 независимо представляет собой водород или метил.
В изобретении также предложены применения соединений по изобретению в приготовлении лекарства и фармацевтические композиции, содержащие данные соединения.
Действия 5-гидрокситриптамина (5-НТ) как основного модуляторного нейротрансмиттера в головном мозге опосредованы рядом семейств рецепторов, названных 5-НТ1, 5-НТ2, 5-НТ3, 5-НТ4, 5-НТ5, 5-НТ6 и 5-НТ7. На основании высокого уровня мРНК рецептора 5-НТ6 в головном мозге установлено, что рецептор 5-НТ6 может играть роль в патологии и лечении расстройств центральной нервной системы. В частности, 5-НТ2-селективные и 5-НТ6-селективные лиганды идентифицированы как потенциально полезные в лечении некоторых расстройств ЦНС, таких как болезнь Паркинсона, болезнь Хантингтона, тревога, депрессия, маниакальная депрессия, психозы, эпилепсия, обсессивно-компульсивные расстройства, расстройства настроения, мигрень, болезнь Альцгеймера (усиление когнитивной памяти), расстройства сна, расстройства приема пищи, такие как анорексия, булимия и ожирение, приступы панического расстройства, акатизия, синдром дефицита внимания и гиперактивности (СДВГ), синдром дефицита внимания (СДВ), абстиненция, обусловленная злоупотреблением лекарственных средств, таких как кокаин, этанол, никотин и бензодиазепины, шизофрения, а также расстройств, ассоциированных с травмой спинного мозга и/или травмой головы, таких как гидроцефалия. Также ожидается, что такие соединения будут полезны в лечении некоторых желудочно-кишечных (ЖК) расстройств, таких как функциональное расстройство кишечника. Смотри, например, B.L.Roth et al., J. Pharmacol. Exp. Ther., 1994, 268, 1403-14120, D.R.Sibley et al., Mol. Pharmacol., 1993, 43, 320-327, A.J.Sleight et al., Neurotransmission, 1995, 11, 1-5 и A.J.Sleight et al., Serotonin ID Research Alert, 1997, 2(3), 115-8.
Хотя некоторые модуляторы 5-НТ6 и 5-НТ2А уже описаны, продолжает существовать необходимость в соединениях, которые являются полезными для модулирования рецептора 5-НТ6, рецептора 5-НТ2А или обоих рецепторов.
В изобретении предложены соединения замещенных хинолинонов, композиции, содержащие данные соединения, их применение в приготовлении лекарства, а также способы их получения. В конкретных воплощениях в изобретении предложены соединения пиперазинил-замещенных хинолинонов и фармацевтические композиции, содержащие данные соединения, а также способы их применения в лечении заболеваний центральной нервной системы (ЦНС) и расстройств желудочно-кишечного тракта.
Все публикации, цитируемые в данном описании, включены в него посредством ссылки во всей своей полноте.
Если не указано иное, следующие термины, используемые в данной заявке, включая описание и формулу изобретения, определены так, как приведено ниже. Необходимо отметить, что в контексте данного описания и прилагаемой формулы изобретения формы единственного числа существительных включают соответствующие формы множественного числа, если из контекста четко не следует иное.
“Агонист” относится к соединению, которое усиливает активность другого соединения или рецепторного сайта.
“Алкил” означает одновалентную нормальную или разветвленную насыщенную углеводородную группировку, состоящую исключительно из атомов углерода и водорода, имеющую от одного до двенадцати атомов углерода. “Низший алкил” относится к алкильной группе, содержащей от одного до шести атомов углерода (то есть “С1-С6алкил”). Примеры алкильных групп включают метил, этил, пропил, изопропил, изобутил, втор-бутил, трет-бутил, пентил, н-гексил, октил, додецил, а также те группы, которые проиллюстрированы примерами соединений по изобретению, но не ограничены ими.
“Алкилен” означает нормальный насыщенный двухвалентный углеводородный радикал, содержащий от одного до шести атомов углерода, или разветвленный насыщенный двухвалентный углеводородный радикал, содержащий от трех до шести атомов углерода, например метилен, этилен, 2,2-диметилэтилен, пропилен, 2-метилпропилен, бутилен, пентилен, а также те группы, которые проиллюстрированы примерами соединений по изобретению.
“Алкенилен” означает нормальный ненасыщенный двухвалентный углеводородный радикал, содержащий от двух до шести атомов углерода, или разветвленный насыщенный двухвалентный углеводородный радикал, содержащий от трех до шести атомов углерода, например этенилен (-СН=СН-), 2,2-диметилэтенилен, пропенилен, 2-метилпропенилен, бутенилен, пентенилен, а также те группы, которые проиллюстрированы примерами соединений по изобретению.
“Алкокси” означает группу -OR, где R представляет собой алкил, такой, как определено в данном описании. Примеры группировок алкокси включают метокси, этокси, изопропокси, а также те группы, которые проиллюстрированы примерами соединений по изобретению, но не ограничены ими.
“Антагонист” относится к соединению, которое уменьшает или предотвращает действие другого соединения или рецепторного сайта.
“Арил” означает одновалентную циклическую ароматическую углеводородную группировку, состоящую из моно-, би- или трициклического ароматического кольца. Арильная группа может быть возможно замещена в соответствии с тем, как определено в данном описании. Примеры арильных группировок включают фенил, нафтил, нафталенил, фенантрил, флуоренил, инденил, пенталенил, азуленил, оксидифенил, бифенил, метилендифенил, аминодифенил, дифенилсульфидил, дифенилсульфонил, дифенилизопропилиденил, бензодиоксанил, бензофуранил, бензодиоксилил, бензопиранил, бензоксазинил, бензоксазинонил, бензопиперадинил, бензопиперазинил, бензопирролидинил, бензоморфолинил, метилендиоксифенил, этилендиоксифенил и тому подобное, включая их частично гидрогенизированные производные, но не ограничены ими.
“Арилен” означает двухвалентный арильный радикал, где арил является таким, как определено в данном описании. “Арилен” включает, например, орто-, мета- и пара-фенилен (1,2-фенилен, 1,3-фенилен и 1,4-фенилен, соответственно), который может быть возможно замещен в соответствии с тем, как определено в данном описании.
“Арилалкил” и “аралкил”, которые можно использовать взаимозаменяемо, означают радикал -R-R’, где R представляет собой алкиленовую группу и R’ представляет собой арильную группу, такие, как определено в данном описании; например, бензил, фенилэтил, 3-(3-хлорфенил)-2-метилпентил, а также те группы, которые проиллюстрированы примерами соединений по изобретению, являются примерами арилалкила.
“Циклоалкил” означает насыщенную карбоциклическую группировку, состоящую из моно- или бициклических колец. Циклоалкил может быть возможно замещен одним или более чем одним заместителем, где каждый заместитель независимо представляет собой гидрокси, алкил, алкокси, галогено, галогеноалкил, амино, моноалкиламино или диалкиламино, если конкретно не указано иное. Примеры циклоалкильных группировок включают циклопропил, циклобутил, циклопентил, циклогексил, циклогептил и тому подобное, включая их частично ненасыщенные производные, такие как циклогексенил, циклопентенил, а также те группировки, которые проиллюстрированы примерами соединений по изобретению, но не ограничены ими.
“Циклоалкилалкил” означает группировку формулы -R-R’, где R представляет собой алкилен и R’ представляет собой циклоалкил, такие, как определено в данном описании.
“Гетероалкил” означает алкильный радикал, такой, как определено в данном описании, где один, два или три атома водорода замещены заместителем, независимо выбранным из группы, состоящей из -ORa, -NRbRc и -S(O)nRd (где n представляет собой целое число от 0 до 2), с учетом того, что присоединение гетероалкильного радикала происходит через атом углерода, где Ra представляет собой водород, ацил, алкил, циклоалкил или циклоалкилалкил; Rb и Rc независимо друг от друга представляют собой водород, ацил, алкил, циклоалкил или циклоалкилалкил; и, когда n равно 0, Rd представляет собой водород, алкил, циклоалкил или циклоалкилалкил, и, когда n равно 1 или 2, Rd представляет собой алкил, циклоалкил, циклоалкилалкил, амино, ациламино, моноалкиламино или диалкиламино. Типичные примеры включают метокси, этокси, 2-гидроксиэтил, 3-гидроксипропил, 2-метоксиэтил, 3-метоксипропил, 2-гидрокси-1-гидроксиметилэтил, 2,3-дигидроксипропил, 1-гидроксиметилэтил, 3-гидроксибутил, 2,3-дигидроксибутил, 2-гидрокси-1-метилпропил, 2-аминоэтил, 3-аминопропил, 2-метилсульфонилэтил, аминосульфонилметил, аминосульфонилэтил, аминосульфонилпропил, метиламиносульфонилметил, метиламиносульфонилэтил, метиламиносульфонилпропил, а также те группы, которые проиллюстрированы примерами соединений по изобретению, но не ограничены ими.
“Гетероарил” означает моноциклический или бициклический одновалентный радикал, содержащий от 5 до 12 кольцевых атомов, имеющий по меньшей мере одно ароматическое кольцо, содержащее один, два или три кольцевых гетероатома, выбранных из N, О или S, где остальные кольцевые атомы представляют собой С, с учетом того, что точка присоединения гетероарильного радикала будет находиться на ароматическом кольце. Гетероарильное кольцо может быть возможно замещено в соответствии с тем, как определено в данном описании. Примеры гетероарильных группировок включают имидазолил, оксазолил, изоксазолил, тиазолил, изотиазолил, оксадиазолил, тиадиазолил, пиразинил, тиенил, бензотиенил, тиофенил, фуранил, пиранил, пиридил, пиридинил, пиридазил, пирролил, пиразолил, пиримидил, хинолинил, изохинолинил, бензофурил, бензотиофенил, бензотиопиранил, бензимидазолил, бензоксазолил, бензоксадиазолил, бензотиазолил, бензотиадиазолил, бензопиранил, индолил, изоиндолил, триазолил, триазинил, хиноксалинил, пуринил, хиназолинил, хинолизинил, нафтиридинил, птеридинил, карбазолил, азепинил, диазепинил, акридинил, а также те группировки, которые проиллюстрированы примерами соединений по изобретению, включая их частично гидрогенизированные производные, но не ограничены ими. Вышеупомянутые гетероарильные группировки могут быть частично насыщенными. Соответственно, “гетероарил” включает “имидазолинил”, “тетрагидропиримидинил” и тому подобное.
“Гетероарилен” означает двухвалентный гетероарильный радикал, где гетероарил является таким, как определено в данном описании. “Гетероарилен” может быть возможно замещен в соответствии с тем, как определено в данном описании. “Гетероарилен” включает, например, индолилен, пиримидинилен, а также те группы, которые проиллюстрированы примерами соединений по изобретению.
Термины “галогено” и “галоген”, которые можно использовать взаимозаменяемо, относятся к заместителю фтор, хлор, бром или йод.
“Галогеноалкил” означает алкил, такой, как определено в данном описании, в котором один или более чем один атом водорода замещен одинаковыми или разными атомами галогена. Типичные галогеноалкилы включают -CH2Cl, -CH2CF3, -CH2CCl3, перфторалкил (например -CF3), а также те группы, которые проиллюстрированы примерами соединений по изобретению.
“Гетероциклоамино” означает насыщенное кольцо, где по меньшей мере один кольцевой атом представляет собой N, NH или N-алкил, а остальные кольцевые атомы образуют алкиленовую группу.
“Гетероциклил” означает одновалентную насыщенную группировку, состоящую из колец в количестве от одного до трех, включающую один, два, или три, или четыре гетероатома (выбранных из азота, кислорода или серы). Кольцо гетероциклила может быть возможно замещено в соответствии с тем, как определено в данном описании. Примеры группировок гетероциклила включают пиперидинил, пиперазинил, гомопиперазинил, азепинил, пирролидинил, пиразолидинил, имидазолинил, имидазолидинил, пиридинил, пиридазинил, оксазолидинил, изоксазолидинил, морфолинил, тиазолидинил, изотиазолидинил, хинуклидинил, хинолинил, изохинолинил, бензимидазолил, тиадиазолилидинил, бензотиазолидинил, бензоазолилидинил, дигидрофурил, тетрагидрофурил, дигидропиранил, тетрагидропиранил, тиаморфолинил, тиаморфолинилсульфоксид, тиаморфолинилсульфон, дигидрохинолинил, дигидроизохинолинил, тетрагидрохинолинил, тетрагидроизохинолинил, а также те группы, которые проиллюстрированы примерами соединений по изобретению, включая их частично ненасыщенные производные, но не ограничены ими.
Термин “возможно замещенный”, когда его используют в сочетании с “арилом”, “фенилом”, “гетероарилом” или “гетероциклилом”, означает арил, фенил, гетероарил или гетероциклил, который возможно замещен независимо заместителями в количестве от одного до четырех, предпочтительно одним или двумя заместителями, выбранными из алкила, циклоалкила, циклоалкилалкила, гетероалкила, гидроксиалкила, галогено (например F), нитро, циано, гидрокси, алкокси, амино, ациламино, моноалкиламино, диалкиламино, галогеноалкила, галогеноалкокси, гетероалкила, -COR (где R представляет собой водород, алкил, фенил или фенилалкил), -(CR’R”)n-COOR (где n представляет собой целое число от 0 до 5, R’ и R” независимо представляют собой водород или алкил и R представляет собой водород, алкил, циклоалкил, циклоалкилалкил, фенил или фенилалкил) или -(CR’R”)n-CONRaRb (где n представляет собой целое число от 0 до 5, R’ и R” независимо представляют собой водород или алкил и Ra и Rb, независимо друг от друга, представляют собой водород, алкил, циклоалкил, циклоалкилалкил, фенил или фенилалкил). Особенно предпочтительными заместителями являются галогены, и еще более предпочтительными являются Cl и F.
Термин “уходящая группа” имеет значение, которое обычно связано с ним в химии органического синтеза, то есть означает атом или группу, замещаемые в условиях реакции замещения. Примеры уходящих групп включают галоген, алкан- или ариленсульфонилокси, такой как метансульфонилокси, этансульфонилокси, тиометил, бензолсульфонилокси, тозилокси и тиенилокси, дигалогенофосфиноилокси, возможно замещенный бензилокси, изопропилокси, ацилокси, а также те группы, которые проиллюстрированы примерами соединений по изобретению, но не ограничены ими.
“Модулятор” означает молекулу, которая взаимодействует с мишенью. Эти взаимодействия включают агонист, антагонист и тому подобное, такие, как определено в данном описании, но не ограничены ими.
Термин “возможный” или “возможно” означает, что последующее описанное событие или условие может не обязательно иметь место, и что данное описание включает случаи, где это событие или условие имеет место, и случаи, в которых оно не имеет места.
“Болезненное состояние” означает любое заболевание, состояние, симптом или показание.
“Инертный органический растворитель” или “инертный растворитель” означает, что этот растворитель является инертным в условиях реакции, описываемой в связи с ним, и включает, например, бензол, толуол, ацетонитрил, тетрагидрофуран, N,N-диметилформамид, хлороформ, метиленхлорид или дихлорметан, дихлорэтан, диэтиловый эфир, этилацетат, ацетон, метилэтилкетон, метанол, этанол, пропанол, изопропанол, трет-бутанол, диоксан, пиридин и тому подобное. Если не указано противоположное, растворители, используемые в реакциях по настоящему изобретению, представляют собой инертные растворители.
“Фармацевтически приемлемый” означает то, что является полезным в приготовлении фармацевтической композиции, которая является в целом безопасной, нетоксичным и не является нежелательным ни биологически, ни в других отношениях, и включает то, что является приемлемым как для ветеринарного, так и для медицинского фармацевтического применения.
Термин “фармацевтически приемлемые соли” соединения означает соли, которые являются фармацевтически приемлемыми в соответствии с тем, как определено в данном описании, и которые обладают желаемой фармакологической активностью исходного соединения. Такие соли включают:
соли присоединения кислоты, образованные с неорганическими кислотами, такими как соляная кислота, бромистоводородная кислота, серная кислота, азотная кислота, фосфорная кислота и тому подобное; или образованные с органическими кислотами, такими как уксусная кислота, бензолсульфоновая кислота, бензойная кислота, камфорсульфоновая кислота, лимонная кислота, этансульфоновая кислота, фумаровая кислота, глюкогептоновая кислота, глюконовая кислота, глутаминовая кислота, гликолевая кислота, гидроксинафтойная кислота, 2-гидроксиэтансульфоновая кислота, молочная кислота, малеиновая кислота, яблочная кислота, малоновая кислота, миндальная кислота, метансульфоновая кислота, муконовая кислота, 2-нафталинсульфоновая кислота, пропионовая кислота, салициловая кислота, янтарная кислота, винная кислота, пара-толуолсульфоновая кислота, триметилуксусная кислота и тому подобное; или
соли, образованные в результате либо замещения кислого протона, присутствующего в исходном соединении, ионом металла, например, ионом щелочного металла, ионом щелочноземельного металла или ионом алюминия; либо его взаимодействия с органическим или неорганическим основанием. Приемлемые органические основания включают диэтаноламин, этаноламин, N-метилглюкамин, триэтаноламин, трометамин и тому подобное. Приемлемые неорганические основания включают гидроксид алюминия, гидроксид кальция, гидроксид калия, карбонат натрия и гидроксид натрия.
Предпочтительными фармацевтически приемлемыми солями являются соли, образованные уксусной кислотой, соляной кислотой, серной кислотой, метансульфоновой кислотой, малеиновой кислотой, фосфорной кислотой, винной кислотой, лимонной кислотой, натрием, калием, кальцием, цинком и магнием.
Должно быть понятно, что все ссылки на фармацевтически приемлемые соли включают формы присоединения растворителя (сольваты) или кристаллические формы (полиморфы), такие, как определено в данном описании, вышеупомянутой соли присоединения кислоты.
Термины “про-лекарство” и “пролекарство”, которые в данном описании можно использовать взаимозаменяемо, относятся к любому соединению, которое высвобождает активное исходное лекарственное средство согласно формуле I in vivo, когда такое пролекарство вводят субъекту-млекопитающему. Пролекарства соединения формулы I готовят путем модификации одной или более чем одной функциональной группы, присутствующей в соединении формулы I, таким образом, чтобы данная(ые) модификация(и) могла(и) приводить к расщеплению in vivo с высвобождением исходного соединения. Пролекарства включают соединения формулы I, где группа гидрокси, амино или сульфгидрил в соединении формулы I связана с любой группой, которая может отщепляться in vivo с восстановлением свободной группы гидроксил, амино или сульфгидрил, соответственно. Примеры пролекарств включают сложные эфиры (например, производные ацетата, формиата и бензоата), карбаматы (например, N,N-диметиламинокарбонил) гидроксильных функциональных групп в соединениях формулы I, N-ацильные производные (например, N-ацетил) N-манниховы основания, основания Шиффа и енаминоны функциональных аминогрупп, оксимы, ацетали, кетали и енольные эфиры кетоновых и альдегидных функциональных групп в соединениях формулы I и тому подобное, но не ограничены ими, смотри Bundegaard, H. “Design of Prodrugs” р.1-92, Elsevier, New York-Oxford (1985) и тому подобное.
“Защитная группа” или “защищающая группа” означает группу, которая избирательно блокирует один реакционноспособный сайт в полифункциональном соединении, так что химическую реакцию можно проводить избирательно при другом незащищенном реакционноспособном сайте, в том значении, которое обычно связано с ним в химии синтеза. Некоторые способы по данному изобретению основаны на использовании защитных групп, которые могут блокировать реакционноспособные атомы азота и/или кислорода, присутствующие в реагентах. Например, термины “амино-защищающая группа” и “азот-защищающая группа” в данном описании использованы взаимозаменяемо и относятся к тем органическим группам, которые предназначены для защиты атома азота от нежелательных реакций при выполнении методик синтеза. Типичные азот-защищающие группы включают трифторацетил, ацетамидо, бензил (Bn), бензилоксикарбонил (карбобензилокси, CBZ), пара-метоксибензилоксикарбонил, пара-нитробензилоксикарбонил, трет-бутоксикарбонил (ВОС) и тому подобное, но не ограничены ими. Специалистам в данной области техники известно, как выбрать группу, которую легко удалить и которая способна защитить от последующих реакций.
Термин “сольваты” означает формы присоединения растворителя, которые содержат либо стехиометрические, либо нестехиометрические количества растворителя. Некоторые соединения имеют тенденцию удерживать молекулы растворителя в кристаллическом твердом состоянии так, что они присутствуют в фиксированном молярном отношении, образуя таким образом сольват. Если растворителем является вода, образованный сольват представляет собой гидрат, когда растворителем является спирт, образованный сольват представляет собой алкоголят. Гидраты образуются путем присоединения одной или более чем одной молекулы воды к одному из веществ, в котором вода сохраняет свое молекулярное состояние в виде H2O, в результате такого присоединения может образоваться один или более чем один гидрат.
“Субъект” означает млекопитающее и немлекопитающее. Млекопитающее означает любого представителя класса млекопитающих, включающего: людей; приматов, не относящихся к человеку, таких как шимпанзе и другие виды обезьян и мартышек; сельскохозяйственных животных, таких как крупный рогатый скот, лошади, овцы, козы и свиньи; домашних животных, таких как кролики, собаки и кошки; лабораторных животных, включая грызунов, таких как крысы, мыши и морские свинки; и тому подобное, но не ограниченного ими. Примеры немлекопитающего включают: птиц и тому подобное, но не ограничены ими. Термин “субъект” не указывает на конкретный возраст или пол.
“Терапевтически эффективное количество” означает количество соединения, которое при введении субъекту для лечения болезненного состояния является достаточным для осуществления такого лечения данного болезненного состояния. “Терапевтически эффективное количество” обычно изменяется в зависимости от соединения, болезненного состояния, подлежащего лечению, тяжести заболевания, подлежащего лечению, возраста и относительного состояния здоровья субъекта, пути и формы введения, мнения лечащего врача или ветеринара и других факторов.
Термины “определенные выше” и “определенные в данном описании”, когда они относятся к переменной, включают посредством ссылки широкое определение данной переменной, а также предпочтительные, более предпочтительные и наиболее предпочтительные определения, если они есть.
“Лечение” или “терапия” болезненного состояния включает:
(1) предупреждение болезненного состояния, то есть осуществление воздействия, не позволяющего клиническим симптомам болезненного состояния развиваться у субъекта, который может быть подвержен болезненному состоянию или предрасположен к нему, но еще не испытывает или не проявляет симптомов болезненного состояния;
(2) ингибирование болезненного состояния, то есть остановку развития болезненного состояния или его клинических симптомов; или
(3) облегчение болезненного состояния, то есть осуществление временной или постоянной ремиссии болезненного состояния или его клинических симптомов.
Термины “обработка”, “приведение в контакт” и “взаимодействие”, когда они относятся к химической реакции, означают добавление или смешивание двух или более реагентов в подходящих условиях с получением указанного и/или желаемого продукта. Следует принимать во внимание то, что реакция, которая дает указанный и/или желаемый продукт, может не обязательно являться результатом непосредственно объединения двух реагентов, которые были первоначально добавлены, то есть может существовать одно или более чем одно промежуточное соединение, которое образуется в данной смеси, что, в конечном счете, приводит к образованию указанного и/или желаемого продукта.
В целом номенклатура, используемая в данной заявке, основана на AUTONOM v.4.0, компьютеризованной системе Beilstein Institute для образования систематической номенклатуры IUPAC.
Химические структуры, приведенные в данном описании, были получены с использованием ISIS® версия 2.2. Любая открытая валентность, присутствующая у атома углерода, кислорода или азота в структурах, приведенных в данном описании, указывает на присутствие водорода.
В изобретении предложены соединения формулы I.
Должно быть понятно, что в объем данного изобретения включены не только различные изомеры, которые могут существовать, но также различные смеси изомеров, которые могут быть образованы. Кроме того, в объем настоящего изобретения также включены сольваты и соли соединений формулы I:
;
или их фармацевтически приемлемая соль,
где:
m имеет значение от 0 до 3;
p имеет значение от 1 до 3;
q имеет значение 0, 1 или 2;
Ar представляет собой возможно замещенный арил или возможно замещенный 5-12-членный гетероарил;
каждый R1 независимо представляет собой галогено, C1-12-алкил, С1-12-галогеноалкил, C1-12-гетероалкил, циано, -S(O)t-Ra, -С(=О)-NRbRc, -SO2-NRbRc, -N(Rd)-C(=O)-Re или -С(=O)-Re, где t имеет значение от 0 до 2, каждый из Ra, Rb, Rc и Rd независимо представляет собой водород или C1-12-алкил и Re представляет собой водород, C1-12-алкил, C1-12-алкокси или гидрокси;
R2 представляет собой ;
каждый из n и r независимо имеет значение 1 или 2; и
Х представляет собой -NR3, когда n имеет значение 2, или Х представляет собой -CHNR4R5, когда n имеет значение 1 или 2, где каждый из R3, R4 и R5 независимо представляет собой водород или метил.
В некоторых воплощениях формулы I p имеет значение 1 или 2, и в конкретных воплощениях p имеет значение 2. Во многих воплощениях q имеет значение 2. Во многих воплощениях формулы I n имеет значение 2, и в конкретных воплощениях Х представляет собой -NR3. Во многих таких воплощениях r имеет значение 1.
В некоторых воплощениях формулы I Ar представляет собой возможно замещенный арил и более предпочтительно возможно замещенный фенил. В конкретных воплощениях R3 представляет собой водород, в то время как в других воплощениях R3 представляет собой метил.
В некоторых воплощениях формулы I R2 представляет собой:
; или ,
где R3, R4 и R5 являются такими, как определено в данном описании.
Более конкретно, в некоторых воплощениях формулы I соединения по изобретению представляют собой соединения формулы II:
;
где m, p, Ar, R1 и R3 являются такими, как определено в данном описании.
В некоторых воплощениях формулы II p имеет значение 1 или 2, и более предпочтительно, когда p имеет значение 2. Во многих воплощениях формулы II q имеет значение 2. В некоторых воплощениях формулы II Ar представляет собой возможно замещенный арил и более предпочтительно возможно замещенный фенил. В некоторых воплощениях формулы II R3 представляет собой водород, в то время как в других воплощениях R3 представляет собой метил.
Более конкретно, в некоторых воплощениях соединения по изобретению могут представлять собой соединения формулы IIIa или формулы IIIб:
; ;
где:
s имеет значение от 0 до 4;
каждый R6 независимо представляет собой галогено, C1-12-алкил, С1-12-галогеноалкил, C1-12-гетероалкил, циано, -S(O)t-Ra, -C(=O)-NRbRc, -SO2-NRbRc, -N(Rd)-C(=O)-Re или -C(=O)-Re, где t имеет значение от 0 до 2, каждый из Ra, Rb, Rc и Rd независимо представляет собой водород или C1-12-алкил и Re представляет собой водород, C1-12-алкил, C1-12-алкокси или гидрокси; и
R3 является таким, как определено в данном описании.
В некоторых воплощениях формулы IIIa и формулы IIIб s имеет значение от 0 до 2 и каждый R6 независимо представляет собой галогено, C1-12-алкил, C1-12-алкокси или C1-12-галогеноалкил.
В предпочтительных воплощениях соединения представляют собой соединения формулы IIIа. В таких воплощениях R3 может представлять собой водород или R3 может представлять собой метил. Предпочтительно s имеет значение 0 или 1 и R6 представляет собой галоген, такой как фтор или хлор.
Когда любой из R1, R2, R3, R4, Ra, Rb, Rc, Rd и Re представляет собой алкил или содержит C1-12-алкильную группировку, такой C1-12-алкил предпочтительно представляет собой низший алкил, то есть C1-6-алкил и более предпочтительно C1-4-алкил.
Типичные соединения согласно изобретению приведены в таблице вместе с температурой плавления или спектром масс М+Н, и с каждым соединением связаны экспериментальные примеры (описанные ниже). Температуры плавления, указанные в таблице, во многих случаях приведены для соответствующих солей присоединения.
| 8 |
 |
1-(6-Бензолсульфонил-1,2,3,4-тетрагидро-нафталин-1-ил)-пиперазин |
239,3-241,8°С (HCl – соль) |
| 9 |
 |
1-[6-(4-Фтор-бензолсульфонил)-1,2,3,4-тетрагидро-нафталин-1-ил]-пиперазин |
375 |
| 10 |
 |
1-(6-Бензолсульфонил-1,2,3,4-тетрагидро-нафталин-1-ил)-пиперидин-4-иламин |
371 |
| 11 |
 |
1-(6-Бензолсульфонил-1,2,3,4-тетрагидро-нафталин-1-ил)-4-метил-пиперазин |
371 |
В другом аспекте изобретения предложена композиция, содержащая терапевтически эффективное количество по меньшей мере одного соединения формулы (I) и фармацевтически приемлемый носитель.
В еще одном аспекте изобретения предложено применение соединений по изобретению в приготовлении лекарства для лечения болезненного состояния центральной нервной системы (ЦНС) у субъекта. Данное болезненное состояние может включать, например, психозы, шизофрению, маниакальные депрессии, неврологические расстройства, нарушения памяти, синдром дефицита внимания, болезнь Паркинсона, боковой амиотрофический склероз, болезнь Альцгеймера или болезнь Хантингтона.
В еще одном аспекте настоящего изобретения предложено применение соединений по изобретению в приготовлении лекарства для лечения расстройства желудочно-кишечного тракта у субъекта.
В другом аспекте настоящего изобретения предложен способ получения соединения формулы (I).
Соединения по настоящему изобретению могут быть получены путем использования ряда методик, изображенных на иллюстративных схемах реакций синтеза, приведенных и описанных ниже.
Исходные вещества и реагенты, используемые в получении данных соединений, обычно либо имеются в продаже от таких поставщиков, как Aldrich Chemical Co., либо получены с помощью методик, известных специалистам в данной области техники, приведенные ниже методики описаны в таких ссылках, как Fieser and Fieser’s Reagents for Organic Synthesis; Wiley & Sons: New York, 1991, Volumes 1-15; Rodd’s Chemistry of Carbon Compounds, Elsevier Science Publishers, 1989, Volumes 1-5 and Supplementals; и Organic Reactions, Wiley & Sons: New York, 2004, Volumes 1-56. Приведенные ниже схемы реакций синтеза являются только иллюстрацией некоторых методик, с помощью которых могут быть синтезированы соединения по настоящему изобретению, и в данных схемах реакций синтеза могут быть сделаны различные модификации, которые могут быть предложены специалисту в данной области техники посредством ссылки на описание, содержащееся в данной заявке.
Исходные вещества и промежуточные соединения, приведенные на схемах реакций синтеза, могут быть выделены и, если требуется, очищены с использованием стандартных методик, включающих фильтрацию, дистилляцию, кристаллизацию, хроматографию и тому подобное, но не ограниченных ими. Такие вещества могут быть характеризованы с использованием стандартных средств, включая физические константы и спектральные данные.
Если не указано противоположное, реакции, приведенные в данном описании, предпочтительно проводить в атмосфере инертного газа, при атмосферном давлении, при температуре реакции, находящейся в диапазоне от приблизительно -78°С до приблизительно 150°С, более предпочтительно в диапазоне от приблизительно 0°С до приблизительно 125°С и наиболее предпочтительно и удобно проводить приблизительно при комнатной температуре (или при температуре окружающей среды), например приблизительно при 20°С.
Приведенная ниже Схема А иллюстрирует одну из методик синтеза, используемых для получения соединений по изобретению, где X, Ar, m, p, q, n, r и R1 являются такими, как определено в данном описании. Известно много путей синтеза инданов и тетралинов, которые могут быть использованы в получении соединений по изобретению, и методика, приведенная на Схеме А, является всего лишь одной из типичных методик.

СХЕМА А
На стадии 1, Схема А, кетон а восстанавливают с получением соответствующего спирта б. Кетон может включать, например, арилсульфонилинданон, где q имеет значение 2 и р имеет значение 1, арилсульфонилтетралинон, где q имеет значение 2 и р имеет значение 2, арилсульфонилбензоазепинон, где q имеет значение 2 и р имеет значение 3, или подобный кетон согласно изобретению. Соответственно, на этой стадии могут быть использованы арилсульфанилкетон (q=0) и арилсульфинилкетон (q=1). Кетоны а могут быть получены с помощью различных методик, известных в данной области техники, и конкретные примеры получения таких соединений приведены ниже в разделе Эксперименты данного описания. Реакция восстановления на стадии 1 может быть выполнена путем обработки кетона а борогидридом натрия в условиях мягкого протонного растворителя.
На стадии 2 спирт б подвергают хлорированию с получением хлорнитрилового соединения в. Данная реакция может быть выполнена с использованием тионилхлорида в условиях неполярного растворителя.
Реакцию N-алкилирования выполняют на стадии 3, подвергая взаимодействию соединение г и соединение хлора в с получением соединения д, которое представляет собой соединение формулы I согласно изобретению. В соединении г Х может представлять собой -NR3 или -CHNR4R5, где каждый из R3, R4 и R5 может представлять собой водород или метил. Когда любой из R3, R4 и R5 представляет собой водород, на данной стадии можно применять подходящие методики введения и снятия защитных групп.
Допустимы многие вариации методики, приведенной на Схеме А, которые обычно совершенно очевидны специалистам в данной области техники.
Конкретные детали получения соединений формулы I описаны ниже в разделе Примеры.
Соединения по изобретению обладают избирательным сродством к 5-НТ-рецепторам, включая рецептор 5-НТ6, рецептор 6-НТ2А или оба этих рецептора, и ожидается, что как таковые они будут полезны в лечении некоторых расстройств ЦНС, таких как болезнь Паркинсона, болезнь Хантингтона, тревога, депрессия, маниакальная депрессия, психоз, эпилепсия, обсессивно-компульсивные расстройства, расстройства настроения, мигрень, болезнь Альцгеймера (усиление когнитивной памяти), расстройства сна, расстройства приема пищи, такие как анорексия, булимия и ожирение, приступы панического расстройства, акатизия, синдром дефицита внимания и гиперактивности (СДВГ), синдром дефицита внимания (СДВ), абстиненция, обусловленная злоупотреблением лекарственных средств, таких как кокаин, этанол, никотин и бензодиазепины, шизофрения, а также расстройств, ассоциированных с травмой спинного мозга и/или травмой головы, таких как гидроцефалия. Также ожидается, что такие соединения будут полезны в лечении некоторых ЖК (желудочно-кишечных) расстройств, таких как функциональное расстройство кишечника и синдром раздраженного кишечника.
Фармакология соединений по данному изобретению была определена с помощью общепризнанных в данной области техники методик. In vitro методики определения сродства тестируемых соединений к рецептору 5-НТ6 и рецептору 5-НТ2А с использованием связывания радиолиганда, FLIPR (флуориметрического планшетного анализатора) и функционального анализа описаны ниже.
Настоящее изобретение включает фармацевтические композиции, содержащие по меньшей мере одно соединение по настоящему изобретению, или его отдельный изомер, рацемическую или нерацемическую смесь его изомеров, или его фармацевтически приемлемую соль или сольват вместе с по меньшей мере одним фармацевтически приемлемым носителем и возможно другие терапевтические и/или профилактические ингредиенты.
Обычно соединения по настоящему изобретению вводят в терапевтически эффективном количестве любым из способов введения, общепринятых для агентов, которые подходят для аналогичного использования. Подходящие диапазоны доз обычно составляют 1-500 мг в сутки, предпочтительно 1-100 мг в сутки и наиболее предпочтительно 1-30 мг в сутки, в зависимости от многочисленных факторов, таких как тяжесть заболевания, которое лечат, возраст и относительное состояние здоровья субъекта, эффективность используемого соединения, путь и форма введения, показание для назначения данного введения и предпочтения и опыт лечащего врача. Средний специалист в области лечения таких заболеваний обычно способен, без чрезмерного экспериментирования и полагаясь на свой личный опыт и описание данной заявки, определить терапевтически эффективное количество соединений по настоящему изобретению для данного заболевания.
Обычно соединения по настоящему изобретению вводят в виде фармацевтических препаратов, включающих препараты, подходящие для перорального (в том числе трансбуккального и сублингвального), ректального, назального, местного, пульмонального, вагинального или парентерального (в том числе внутримышечного, внутриартериального, интратекального, подкожного и внутривенного) введения, или в виде фармацевтических препаратов в форме, подходящей для введения путем ингаляции или инсуффляции. Предпочтительным способом введения обычно является пероральный с использованием подходящего режима введения суточных доз, который можно регулировать в соответствии с тяжестью заболевания.
Соединение или соединения по настоящему изобретению, вместе с одним или более чем одним стандартным адъювантом, носителем или разбавителем, могут находиться в форме фармацевтических композиций и в стандартных лекарственных формах. Данные фармацевтические композиции и стандартные лекарственные формы могут содержать стандартные ингредиенты в стандартных пропорциях, с дополнительными активными соединениями и агентами или без них, и эти стандартные лекарственные формы могут содержать любое подходящее эффективное количество активного ингредиента в соответствии с назначенным диапазоном суточной дозы, который должен быть использован. Данные фармацевтические композиции можно применять в виде твердых веществ, таких как таблетки или заполненные капсулы, в виде полутвердых веществ, порошков, препаратов с замедленным высвобождением, или в виде жидкостей, таких как растворы, суспензии, эмульсии, эликсиры или заполненные капсулы для перорального использования; или в форме суппозиториев для ректального или вагинального введения; или в форме стерильных растворов для инъекций для парентерального использования. Препараты, содержащие приблизительно один (1) миллиграмм активного ингредиента или, в общем случае, от приблизительно 0,01 до приблизительно ста (100) миллиграммов на таблетку, соответственно, являются подходящими типичными стандартными лекарственными формами.
Соединения по настоящему изобретению могут быть приготовлены в виде препарата, представленного большим количеством разнообразных лекарственных форм для перорально введения. Данные фармацевтические композиции и лекарственные формы в качестве активного компонента могут содержать соединение или соединения по настоящему изобретению или их фармацевтически приемлемые соли. Фармацевтически приемлемые носители могут представлять собой как твердое вещество, так и жидкость. Препараты в твердой форме включают порошки, таблетки, пилюли, капсулы, облатки, суппозитории и диспергируемые гранулы. Твердый носитель может представлять собой одно или более чем одно из веществ, которые могут действовать также в качестве разбавителей, корригентов, солюбилизаторов, смазывающих веществ, суспендирующих агентов, связующих веществ, консервантов, таблеточных разрыхлителей, или инкапсулирующее вещество. В порошках носитель обычно представляет собой тонкоизмельченное твердое вещество, которое находится в смеси с тонкоизмельченным активным компонентом. В таблетках активный компонент обычно смешан в подходящих пропорциях с носителем, имеющим необходимую связывающую способность, и спрессован согласно требуемой форме и размеру. Данные порошки и таблетки предпочтительно содержат от приблизительно одного (1) до приблизительно семидесяти (70) процентов активного соединения. Подходящие носители включают карбонат магния, стеарат магния, тальк, сахар, лактозу, пектин, декстрин, крахмал, желатин, трагакант, метилцеллюлозу, натрий-карбоксиметилцеллюлозу, низкоплавкий воск, масло какао и тому подобное, но не ограничены ими. Термин “препарат” предназначен для того, чтобы включить препарат активного соединения с инкапсулирующим веществом, в качестве носителя, образующим капсулу, в которой активный компонент, с носителем или без него, окружен носителем, который находится в ассоциации с активным компонентом. Аналогично включены облатки и лепешки. Таблетки, порошки, капсулы, пилюли, облатки и лепешки могут находиться в виде твердых форм, подходящих для перорального введения.
Другие формы, подходящие для перорального введения, включают препараты в жидкой форме, включающие эмульсии, сиропы, эликсиры, водные растворы, водные суспензии, или препараты в твердой форме, которые предназначены для превращения, непосредственно перед использованием, в препараты в жидкой форме. Эмульсии могут быть приготовлены в растворах, например в водных растворах пропиленгликоля, или могут содержать эмульгирующие агенты, например такие, как лецитин, сорбитанмоноолеат или гуммиарабик. Водные растворы могут быть приготовлены путем растворения активного компонента в воде и добавления подходящих красящих веществ, корригентов, стабилизаторов и загустителей. Водные суспензии могут быть приготовлены путем диспергирования тонкоизмельченного активного компонента в воде с вязким веществом, таким как натуральные или синтетические камеди, смолы, метилцеллюлоза, натрий-карбоксиметилцеллюлоза и другие хорошо известные суспендирующие агенты. Препараты в твердой форме включают растворы, суспензии и эмульсии и могут содержать, кроме активного компонента, красящие вещества, корригенты, стабилизаторы, буферные агенты, искусственные и натуральные подсластители, диспергирующие вещества, загустители, солюбилизирующие агенты и тому подобное.
Соединения по настоящему изобретению могут быть приготовлены в виде препарата для парентерального введения (например, путем инъекции, например, болюсной инъекции, или продолженной инфузии) и могут быть представлены в стандартной лекарственной форме в ампулах, заранее заполненных шприцах, контейнерах для малообъемной инфузии или в упаковках лекарственных средств для многократного приема с добавленным консервантом. Данные композиции могут принимать такие формы, как суспензии, растворы или эмульсии в масляных или водных наполнителях, например растворы в водном полиэтиленгликоле. Примеры масляных или неводных носителей, разбавителей, растворителей или наполнителей включают пропиленгликоль, полиэтиленгликоль, растительные масла (например, оливковое масло) и инъецируемые органические сложные эфиры (например, этилолеат) и могут содержать такие агенты для препаратов, как консерванты, увлажняющие, эмульгирующие или суспендирующие, стабилизирующие и/или диспергирующие агенты. Альтернативно, активный ингредиент может находиться в форме порошка, полученного путем асептического выделения стерильного твердого вещества или путем лиофилизации из раствора, для растворения перед использованием подходящим наполнителем, например стерильной, апирогенной водой.
Соединения по настоящему изобретению могут быть приготовлены в виде препарата для местного введения в эпидермис в форме мазей, кремов или лосьонов или в форме трансдермального пластыря. Мази и кремы, например, могут быть приготовлены в виде препарата на водной или масляной основе с добавлением подходящих загустителей и/или желатинирующих агентов. Лосьоны могут быть приготовлены в виде препарата на водной или масляной основе и обычно также содержат один или более чем один эмульгирующий агент, стабилизирующий агент, диспергирующий агент, суспендирующий агент, загуститель или окрашивающий агент. Препараты, подходящие для местного введения в рот, включают лепешки, содержащие активные агенты в ароматизированной основе, обычно сахарозе и гуммиарабике или трагаканте; пастилки, содержащие активный ингредиент в инертной основе, такой как желатин и глицерин, или в сахарозе и гуммиарабике; и жидкости для полоскания рта, содержащие активный ингредиент в подходящем жидком носителе.
Соединения по настоящему изобретению могут быть приготовлены в виде препарата для введения в форме суппозиториев. Сначала плавят низкоплавкий воск, такой как смесь глицеридов жирных кислот или масло какао, и активный компонент диспергируют до гомогенного состояния, например, путем перемешивания. Затем расплавленную гомогенную смесь вливают в формы подходящих размеров, оставляют охлаждаться и застывать.
Соединения по настоящему изобретению могут быть приготовлены в виде препаратов для вагинального введения. Пессарии, тампоны, кремы, гели, пасты, пены или спреи, содержащие кроме активного ингредиента такие носители, которые в данной области техники считаются подходящими.
Соединения по настоящему изобретению могут быть приготовлены в виде препарата для назального введения. Данные растворы или суспензии вводят прямо в полость носа с помощью стандартных средств, например капельницей, пипеткой или распылителем. Данные препараты могут быть предложены в форме однократной или многократной дозы. В последнем случае такое введение может быть достигнуто, когда пациент вводит подходящий, заданный объем раствора или суспензии капельницей или пипеткой. В случае спрея такое введение может быть достигнуто, например, с помощью дозирующего распыляющего пульверизатора.
Соединения по настоящему изобретению могут быть приготовлены в виде препарата для аэрозольного введения, особенно в дыхательные пути, включая интраназальное введение. Соединение обычно представлено частицами маленького размера, например порядка пяти (5) микрон или менее. Такой размер частиц может быть получен с помощью известных в данной области техники методик, например путем микронизации. Активный ингредиент присутствует в аэрозольной упаковке с подходящим пропеллентом, таким как хлорфторуглерод (CFC), например, дихлордифторметан, трихлорфторметан или дихлортетрафторэтан, или углекислый газ, или другой подходящий газ. Аэрозоль обычно может содержать также поверхностно-активное вещество, такое как лецитин. Дозу лекарства можно контролировать дозирующим клапаном. Альтернативно, активные ингредиенты могут присутствовать в форме сухого порошка, например в форме порошковой смеси соединения и подходящей порошковой основы, такой как лактоза, крахмал, производные крахмала, такие как гидроксипропилметилцеллюлоза и поливинилпирролидин (PVP). Порошковый носитель обычно образует гель в полости носа. Данная порошковая композиция может присутствовать в стандартной лекарственной форме, например в форме капсул или картриджей, например, желатиновых, или блистерных упаковок, из которых порошок может быть введен с помощью ингалятора.
Когда требуется, могут быть приготовлены препараты с кишечно-растворимыми покрытиями, адаптированными для введения с замедленным или контролируемым высвобождением активного ингредиента. Например, соединения по настоящему изобретению могут быть приготовлены в виде препарата, предназначенного для устройств трансдермальной или подкожной доставки лекарства. Данные системы доставки являются предпочтительными, когда необходимо замедленное высвобождение соединения и когда является важным соблюдение пациентом схемы лечения. В трансдермальных системах доставки соединения часто закрепляются на прилипающей к коже твердой подложке. Представляющее интерес соединение также может быть комбинировано с веществом, способствующим проникновению, например, с Azone (1-додецилазациклогептан-2-оном). Системы доставки с замедленным высвобождением вводят подкожно в субдермальный слой хирургическим путем или путем инъекции. В данных субдермальных имплантатах соединение инкапсулировано в растворимой в липидах оболочке, например в силиконовом каучуке, или в биодеградируемом полимере, например в полимолочной кислоте.
Фармацевтические препараты предпочтительно находятся в стандартных лекарственных формах. В такой форме препарат разделен на стандартные дозы, содержащие подходящие количества активного компонента. Стандартная лекарственная форма может представлять собой препарат в упаковке, где упаковка содержит дискретные количества препарата, такой как упакованные таблетки, капсулы и порошки во флаконах или ампулах. Стандартная лекарственная форма может представлять собой также одну капсулу, таблетку, облатку или лепешку, или она может представлять собой подходящее количество любой из них в упакованной форме.
Другие подходящие фармацевтические носители и их препараты описаны в Remington: The Science and Practice of Pharmacy 1995, edited by E.W.Martin, Mack Publishing Company, 19th edition, Easton, Pennsylvania. Типичные фармацевтические препараты, содержащие соединение по настоящему изобретению, описаны ниже в Примерах.
ПРИМЕРЫ
Чтобы дать возможность специалистам в данной области техники более ясно понимать и применять на практике настоящее изобретение, ниже приведены подготовительные примеры и примеры. Их следует рассматривать только как иллюстративные и типичные, но не ограничивающие объем изобретения.
Подготовительный пример 1
6-Бензолсулфонил-3,4-дигидро-2Н-нафталин-1-он
Методику синтеза, описанную в данном подготовительном примере, выполняли в соответствии с процессом, приведенным на Схеме Б.

СХЕМА Б
Стадия 1
4-(3-Фтор-фенил)-4-оксо-масляной кислоты метиловый эфир

Раствор 3-фторбензальдегида (35,38 г, 285,07 мкл) в 35 мл диметилформамида (ДМФА) добавляли к нагретому (48°С) раствору метилакрилата (26,28 мл, 25,03 г, 290,7 ммоль) и порошкообразному KCN в атмосфере аргона. Данную реакционную смесь перемешивали при 40°С в течение 2 часов и затем вливали в 500 мл воды. Водную фазу дважды экстрагировали 500 мл Et2O (диэтилового эфира) и один раз 250 мл EtOAc (этилацетата). Объединенные органические слои промывали водой и насыщенным рассолом и затем сушили над MgSO4. Растворитель выпаривали при пониженном давлении с получением 50,89 г (242,2 ммоль, 84,93%) 4-(3-фтор-фенил)-4-оксо-масляной кислоты метилового эфира в виде масла. МС (масс-спектрометрия): 211 (М+Н)+.
Стадия 2
4-(3-Фтор-фенил)-масляная кислота

Раствор 4-(3-фтор-фенил)-4-оксо-масляной кислоты метилового эфира (28,27 г, 134,49 ммоль), моногидрата гидразина (26,1 мл, 26,93 г, 537,96 ммоль) и КОН (22,64 г, 403,47 ммоль) в этиленгликоле (150 мл) нагревали до температуры дефлегмации в атмосфере аргона и подвергали дефлегмации в течение 2 часов. Данную реакционную смесь охлаждали и разбавляли 1,5 литрами воды, добавляли 500 мл Et2O, и эту смесь подкисляли путем добавления 6 М HCl при перемешивании, затем добавляли еще 500 мл Et2O. Органический слой удаляли, и водный слой дважды экстрагировали, используя каждый раз по 250 мл смеси Et2O/EtOAc (3:1) из объема 500 мл. Объединенные органические слои промывали водой, насыщенным рассолом и затем сушили над MgSO4. Растворитель выпаривали при пониженном давлении с получением буроватого масла, которое элюировали через силикагель с использованием смеси гексаны/EtOAc (9:1). После удаления растворителя при пониженном давлении получали 18,44 г (101,21 ммоль, 75,26%) 4-(3-фтор-фенил)-масляной кислоты в виде масла. МС: 183 (М+Н)+.
Стадия 3
6-Фтор-3,4-дигидро-2Н-нафталин-1-он

Раствор метансульфоновой кислоты (75 мл) и P2O5 перемешивали при 85°С в течение 15 минут; к этому моменту времени большая часть P2O5 уже растворялась. Добавляли по каплям еще 15 мл метансульфоновой кислоты, и данную смесь перемешивали при 85°С в течение 2 часов. Реакционную смесь вливали в 500 мл воды и дважды экстрагировали 400 мл EtOAc. Объединенные органические слои промывали насыщенным NaHCO3, водой и насыщенным рассолом и затем сушили над MgSO4. Растворитель удаляли при пониженном давлении с получением масла, которое элюировали через силикагель с использованием смеси гексаны/EtOAc (9:1). После удаления растворителя при пониженном давлении получали 6,06 г, (36,91 ммоль, 53,97%) 6-фтор-3,4-дигидро-2Н-нафталин-1-она в виде желтого масла. МС: 165 (М+Н)+.
Стадия 4
6-Фенилсульфанил-3,4-дигидро-2Н-нафталин-1-он

Раствор 6-фтор-3,4-дигидро-2Н-нафталин-1-она (5,51 г, 33,56 ммоль), тиофенола (4,07 г, 3,79 мл, 36,92 ммоль) и К2СО3 (9,28 г, 67,12 ммоль) в 50 мл N-метилпирролидинона (NMP) нагревали до 80°С в атмосфере аргона и перемешивали при 80°С в течение 2 часов. Данную реакционную смесь вливали в 500 мл воды и разбавляли 300 мл EtOAc. Слои разделяли, и водный слой дважды экстрагировали 250 мл EtOAc. Объединенные органические слои промывали водой, насыщенным рассолом и затем сушили над MgSO4. Растворитель удаляли при пониженном давлении с получением масла, которое элюировали через силикагель с использованием смеси гексаны/EtOAc (9:1). После удаления растворителя при пониженном давлении получали 8,05 г (31,65 ммоль, 94,31%) 6-фенилсульфанил-3,4-дигидро-2Н-нафталин-1-она в виде бледно-желтого масла. МС: 255 (М+Н)+.
Стадия 5
6-Бензолсульфонил-3,4-дигидро-2Н-нафталин-1-он

Раствор 6-фенилсульфанил-3,4-дигидро-2Н-нафталин-1-она (8,05 г, 31,65 ммоль) в смеси МеОН (метанол)/MeCN (ацетонитрил) (50 мл каждого) перемешивали при комнатной температуре. ОХОМЕ (моноперсульфат калия, 77,83 г, 126,60 ммоль) растворяли в 50 мл воды и добавляли к перемешиваемой реакции. Данную реакционную смесь перемешивали в течение 15 часов и затем упаривали при пониженном давлении. Полученный водный остаток разбавляли 500 мл воды и экстрагировали три раза 300 мл EtOAc. Объединенные экстракты промывали водой, насыщенным рассолом и сушили над MgSO4. Растворитель удаляли при пониженном давлении с получением масла, которое элюировали через силикагель гексаном, затем хлороформом. После удаления растворителя при пониженном давлении получали 6,55 г (22,87 ммоль, 72,27%) белого твердого вещества, которое перекристаллизовали из смеси EtO2/гексаны. МС: 287 (М+Н)+.
Аналогично, с использованием вышеупомянутой методики с 3-хлортиофенолом на стадии 4, получали 6-(3-хлор-бензолсульфонил)-3,4-дигидро-2Н-нафталин-1-он. МС: 287 (М+Н)+.
Подготовительный пример 2
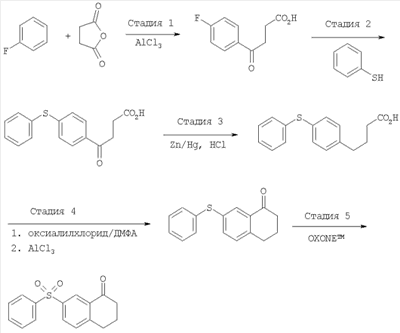
7-Бензолсулфонил-3,4-дигидро-2Н-нафталин-1-он
Методику синтеза, описанную в данном подготовительном примере, выполняли в соответствии с процессом, приведенным на Схеме В.

СХЕМА В
Стадия 1
4-(4-Фтор-фенил)-4-оксо-масляная кислота

Фторбензол (50 мл, 530 ммоль) и треххлористый алюминий (156 г, 1,17 моль) добавляли к 500 мл метиленхлорида, и данную реакционную смесь перемешивали. К перемешиваемой реакционной смеси добавляли янтарный ангидрид (50 г, 500 ммоль), весь за один прием, и реакционную смесь перемешивали при комнатной температуре в течение 2 часов. Реакцию останавливали, осторожно добавляя 10% HCl, и реакционную смесь добавляли к 500 мл воды. Данную водную смесь дважды экстрагировали 250 мл метиленхлорида, и объединенные органические слои сушили (MgSO4) и упаривали при пониженном давлении с получением 62 г (316 ммоль, 59,6%) 4-(4-фтор-фенил)-4-оксо-масляной кислоты в виде неочищенного твердого вещества. МС: 197 (М+Н)+.
Стадия 2
4-Оксо-4-(4-фенилсульфанил-фенил)-масляная кислота

4-(4-Фтор-фенил)-4-оксо-масляную кислоту (10,0 г, 51 ммоль), тиофенол (5,2 г, 51 ммоль) и порошкообразный карбонат калия (13,8 г, 100 ммоль) добавляли к 25 мл диметилсульфоксида (ДМСО). Эту реакционную смесь нагревали до 110°С в течение 2 часов, затем охлаждали и разбавляли путем добавления 250 мл воды. Данную водную смесь экстрагировали три раза 100 мл EtOAc, и объединенные органические слои сушили (MgSO4) и упаривали при пониженном давлении с получением 11 г (38,5 ммоль, 75,5%) 4-оксо-4-(4-фенилсульфанил-фенил)-масляной кислоты в виде неочищенного твердого вещества. МС: 287 (М+Н)+.
Стадия 3
4-(4-Фенилсульфанил-фенил)-масляная кислота

Порошкообразный цинк (66 г) промывали 2% HCl, добавляли к раствору HgCl2 (6 г) в 50 мл 6 М HCl. Эту смесь интенсивно встряхивали в течение 5 минут, и избыток жидкости декантировали. Затем смесь добавляли к механически перемешиваемой суспензии 4-оксо-4-(4-фенилсульфанил-фенил)-масляной кислоты (6,5 г, 22,7 ммоль) в 450 мл 6 М HCl, и данную реакционную смесь перемешивали при комнатной температуре в течение 5 суток. Затем смесь декантировали, удаляя избыток HCl, и гасили путем добавления 250 мл воды. Данную водную смесь экстрагировали три раза 100 мл EtOAc, и объединенные органические слои сушили при пониженном давлении с получением 5,0 г (18,4 ммоль, 81%) 4-(4-фенилсульфанил-фенил)-масляной кислоты в виде неочищенного твердого вещества. МС: 273 (М+Н)+.
Стадия 4
7-Фенилсульфанил-3,4-дигидро-2Н-нафталин-1-он

4-(4-Фенилсульфанил-фенил)-масляную кислоту (5,0 г, 18,4 ммоль) растворяли в 50 мл тетрагидрофурана (ТГФ). Добавляли оксалилхлорид (1,8 мл, 20 ммоль) и одну каплю ДМФА, и данную реакционную смесь перемешивали в течение 1 часа и затем упаривали досуха при пониженном давлении. Полученный остаток растворяли в 40 мл 1,2-дихлорэтана, и добавляли треххлористый алюминий (0,85 г, 25 ммоль), весь за один прием. Эту реакционную смесь перемешивали в течение 1 часа и гасили путем добавления 2% HCl. Данную водную смесь дважды экстрагировали 100 мл EtOAc, и объединенные органические слои сушили (MgSO4) и упаривали с получением 2,54 г (10 ммоль, 55,5%) 7-фенилсульфанил-3,4-дигидро-2Н-нафталин-1-она в виде смолистого остатка. МС: 255 (М+Н)+.
Стадия 5:
7-Бензолсульфонил-3,4-дигидро-2Н-нафталин-1-он

7-Фенилсульфанил-3,4-дигидро-2Н-нафталин-1-он () растворяли в 50 мл МеОН и перемешивали при комнатной температуре. OXONE (13,5 г, 22 ммоль) растворяли в 10 мл воды и добавляли к перемешиваемой реакции. Данную реакционную смесь перемешивали в течение 8 часов и затем упаривали при пониженном давлении. Полученный водный остаток разбавляли 200 мл воды и три раза экстрагировали 100 мл EtOAc. Объединенные экстракты сушили над MgSO4, и растворитель удаляли при пониженном давлении с получением масла, которое элюировали через силикагель смесью 1:1 EtOAc/гексаны. После удаления растворителя при пониженном давлении получали 1,7 г (5,9 ммоль, 59%) 7-бензолсульфонил-3,4-дигидро-2Н-нафталин-1-она в виде масла. МС: 287 (М+Н)+.
Аналогично, с использованием вышеупомянутой методики с 4-фтортиофенолом на стадии 2, получали 7-(4-фтор-бензолсульфонил)-3,4-дигидро-2Н-нафталин-1-он. МС: 287 (М+Н)+.
Подготовительный пример 3
5-Фенилсульфонил-индан-1 -он
Методику синтеза, описанную в данном подготовительном примере, выполняли в соответствии с процессом, приведенным на Схеме Г.
СХЕМА Г

Стадия 1
5-Фенилсульфанил-индан-1-он

5-Фтор-1-инданон от Aldrich Sigma Chemical Co. (Cat 18566-3) обрабатывали тиофенолом в присутствии карбоната калия с использованием методики стадии 4 Примера 1 с получением 5-Фенилсульфанил-индан-1-она. МС: 241 (М+Н)+.
Стадия 2
5-Фенилсульфонил-индан-1-он

5-Фенилсульфанил-индан-1-он обрабатывали OXONE с использованием методики стадии 5 Примера 1 с получением 5-Фенилсульфонил-индан-1-она. МС: 273 (М+Н)+.
Пример 1
1-(6-Бензолсульфонил-1,2,3,4-тетрагидро-нафталин-1-ил)-пиперазин
Методику синтеза, описанную в данном Примере, выполняли в соответствии с процессом, приведенным на Схеме Д.

СХЕМА Д
Стадия 1
6-Бензолсульфонил-1,2,3,4-тетрагидро-нафталин-1-ол

6-Бензолсульфонил-3,4-дигидро-2Н-нафталин-1-он (1,31 г, 4,6 ммоль) и борогидрид натрия (0,35 г, 9,3 ммоль) добавляли к 50 мл метанола, и данную реакционную смесь перемешивали при комнатной температуре в течение одного часа. Затем в реакционную смесь добавляли воду (200 мл), и получали осадок в виде белых кристаллов, которые собирали путем фильтрации и сушили в атмосфере N2 с получением 1,2 г (4,16 ммоль, 90%) 6-бензолсульфонил-1,2,3,4-тетрагидро-нафталин-1-ола, МС: 289 (М+Н)+.
Стадия 2
6-Бензолсульфонил-1-хлор-1,2,3,4-тетрагидро-нафталин

6-Бензолсульфонил-1,2,3,4-тетрагидро-нафталин-1-ол (0,65 г, 2,26 ммоль) растворяли в 50 мл толуола, и добавляли 1 мл тионилхлорида. Данную реакцию подвергали дефлегмации в течение одного часа и затем охлаждали. Растворитель удаляли при пониженном давлении с получением 6-бензолсульфонил-1-хлор-1,2,3,4-тетрагидро-нафталина (0,6 г, 86,3%) в виде неочищенного масла. МС: 308 (М+Н)+.
Стадия 3
4-(6-Бензолсульфонил-1,2,3,4-тетрагидро-нафталин-1-ил)-пиперазин-1-карбоновой кислоты трет-бутиловый эфир

6-Бензолсульфонил-1-хлор-1,2,3,4-тетрагидро-нафталин (0,6 г, 1,96 ммоль), пиперазин-1-карбоновой кислоты трет-бутиловый эфир (0,65 г, 3,5 ммоль), иодид натрия (0,1 г) и карбонат калия (0,5 г) добавляли к 50 мл ацетонитрила, и данную реакционную смесь подвергали дефлегмации в течение 120 часов. Реакционную смесь охлаждали и разбавляли 200 мл воды. Эту водную смесь дважды экстрагировали 200 мл EtOAc, и объединенные органические слои промывали водой, рассолом и сушили над MgSO4. Растворитель удаляли при пониженном давлении, и полученное масло элюировали через силикагель (хроматография при умеренном давлении), выполняя элюцию смесью EtOAc/гексаны 20%/80%. После удаления растворителя при пониженном давлении получали 0,4 г (0,88 ммоль, 45%) 4-(6-бензолсульфонил-1,2,3,4-тетрагидро-нафталин-1-ил)-пиперазин-1-карбоновой кислоты трет-бутилового эфира в виде масла. МС: 458 (М+Н)+.
Стадия 4
1-(6-Бензолсульфонил-1,2,3,4-тетрагидро-нафталин-1-ил)-пиперазин

4-(6-Бензолсульфонил-1,2,3,4-тетрагидро-нафталин-1-ил)-пиперазин-1-карбоновой кислоты трет-бутиловый эфир (0,4 г, 0,88 ммоль) растворяли в 20 мл тетрагидрофурана и добавляли 20 мл 10% HCl в Et2O. Данную реакционную смесь подвергали дефлегмации в течение одного часа и затем охлаждали. Растворитель выпаривали при пониженном давлении, и полученное твердое вещество перекристаллизовывали из EtOH – Et2O с получением 0,17 г (0,47 ммоль, 53,4%) 1-(6-бензолсульфонил-1,2,3,4-тетрагидро-нафталин-1-ил)-пиперазина в виде гидрохлоридной соли. МС: 357 (М+Н)+.
Дополнительные соединения, полученные с помощью методики Примера 1 с использованием в качестве исходного вещества подходящего тетралинона или инданона на стадии 1 и подходящего защищенного амина на стадии 3, приведены в таблице.
Пример 2
Препараты
Фармацевтические препараты для доставки различными путями готовят в виде препарата таким образом, как показано далее. “Активный ингредиент” или “активное соединение” в контексте этих таблиц означает одно или более чем одно соединение формулы I.
| Композиция для перорального введения |
| Ингредиент |
% масса/массу |
| Активный ингредиент |
20,0% |
| Лактоза |
79,5% |
| Стеарат магния |
0,5% |
Ингредиенты смешивают и распределяют в капсулы, каждая из которых содержит приблизительно 100 мг; одна капсула приблизительно соответствует полной суточной дозе.
| Композиция для перорального введения |
| Ингредиент |
% масса/массу |
| Активный ингредиент |
20,0% |
| Стеарат магния |
0,5% |
| Натрий-кроскармелоза |
2,0% |
| Лактоза |
76,5% |
| PVP (поливинилпирролидин) |
1,0% |
Ингредиенты объединяют и гранулируют с использованием растворителя, такого как метанол. Затем препарат сушат и формуют в таблетки (содержащие приблизительно 20 мг активного соединения) с помощью подходящей таблеточной машины.
| Композиция для перорального введения |
| Ингредиент |
Количество |
| Активное соединение |
1,0 г |
| Фумаровая кислота |
0,5 г |
| Хлорид натрия |
2,0 г |
| Метилпарабен |
0,15 г |
| Пропилпарабен |
0,05 г |
| Кристаллический сахар |
25,5 г |
| Сорбит (70% раствор) |
12,85 г |
| Veegum К (Vanderbilt Co.) |
1,0 г |
| Корригент |
0,035 мл |
| Красящие вещества |
0,5 мг |
| Дистиллированная вода |
сколько требуется до 100 мл |
Ингредиенты смешивают с получением суспензии для перорального введения.
| Парентеральный препарат |
| Ингредиент |
% масса/массу |
| Активный ингредиент |
0,25 г |
| Хлорид натрия |
сколько требуется для получения изотонического раствора |
| Вода для инъекции |
100 мл |
Активный ингредиент растворяют в порции воды для инъекции. Затем при перемешивании добавляют хлорид натрия в количестве, достаточном для получения изотонического раствора. В раствор вводят остаток воды для инъекции, фильтруют через 0,2-микронный мембранный фильтр, и упаковывают в стерильных условиях.
| Препарат суппозиториев |
| Ингредиент |
% масса/массу |
| Активный ингредиент |
1,0% |
| Полиэтиленгликоль 1000 |
74,5% |
| Полиэтиленгликоль 4000 |
24,5% |
Ингредиенты плавят вместе, перемешивают в паровой бане и разливают по формам, содержащим в общей массе 2,5 г.
| Препарат для местного введения |
| Ингредиент |
граммы |
| Активное соединение |
0,2-2 |
| Span 60 |
2 |
| Tween 60 |
2 |
| Вазелиновое масло |
5 |
| Вазелин |
10 |
| Метилпарабен |
0,15 |
| Пропилпарабен |
0,05 |
| ВНА (бутилированный гидроксианизол) |
0,01 |
| Вода |
сколько требуется до 100 г |
Все ингредиенты, за исключением воды, объединяют и нагревают при перемешивании до приблизительно 60°С. Затем для получения эмульсии ингредиентов при интенсивном перемешивании добавляют достаточное количество воды, нагретой до приблизительно 60°С, и затем добавляют столько воды, сколько требуется для получения общей массы приблизительно 100 г.
Назальные препараты в форме спрея
Некоторые водные суспензии, содержащие от приблизительно 0,025 до 0,5% активного соединения, готовят в виде назальных препаратов в форме спрея. Данные препараты возможно содержат такие неактивные ингредиенты, как, например, микрокристаллическая целлюлоза, натрий-карбоксиметилцеллюлоза, декстроза и тому подобное. Для подведения pH может быть добавлена соляная кислота. Назальные препараты в форме спрея могут быть доставлены с помощью дозирующего распылителя для назального спрея, обычно доставляющего приблизительно 50-100 микролитров препарата на впрыскивание. Обычный режим введения доз представляет собой 2-4 впрыскивания каждые 4-12 часов.
Пример 3
Исследования связывания радиолигандов
Данный пример иллюстрирует исследования соединения формулы I путем in vitro связывания радиолигандов.
In vitro активность связывания соединений по данному изобретению определяли следующим образом. Двукратные измерения сродства 5-НТ6-лиганда выполняли путем конкурентного связывания [3H]ЛСД (диэтиламида лизергиновой кислоты) на клеточных мембранах, полученных из клеток НЕК293, стабильно экспрессирующих рекомбинантный 5-НТ6-рецептор человека. Двукратные измерения сродства 5-НТ2А-лиганда выполняли путем конкурентного связывания [3H]кетансерина (3-(2-(4-(4-фторбензоил)пиперидинол)этил)-2,4(1Н,ЗН)-хиназолиндиона) на клеточных мембранах, полученных из клеток СНО-К1, стабильно экспрессирующих рекомбинантный 5-НТ2А-рецептор человека. Мембраны из клеточных линий НЕК293 приготавливали с использованием методики, описанной Monsma et al., Molecular Pharmacology, Vol.43, pp.320-327 (1993), а из клеточных линий СНО-К1 таким образом, как описано Bonhaus et al., Br J Pharmacol. Jun; 115(4): 622-8 (1995).
При определении сродства к рецептору 5-НТ6 все измерения выполняли в буфере для анализа, содержащем 50 мМ Tris-HCl, 10 мМ MgSO4, 0,5 мМ ЭДТА (этилендиаминтетраацетат), 1 мМ аскорбиновую кислоту, pH 7,4, при 37°С, в реакционном объеме 250 микролитров. При определении сродства к рецептору 5-НТ2А все измерения выполняли в буфере для анализа, содержащем 50 мМ Tris-HCl, 5 мМ аскорбиновую кислоту, 4 мМ CaCl2, pH 7,4, при 32°С, в реакционном объеме 250 микролитров.
Аналитические пробирки, содержащие [3H]ЛСД или [3H]кетансерин (5 нМ), конкурирующий лиганд и мембрану, инкубировали в водном термостатированном шейкере в течение 75 минут при 37°С (5-НТ6) или в течение 60 минут при 32°С (5-НТ2А), фильтровали в Packard GF-B планшетах (предварительно смоченных 0,3% PEI (полиэтиленимином)) с использованием 96-луночного харвестера клеток Packard, и промывали 3 раза охлажденным до 0°С 50 мМ Tris-HCl. Связывание [3H]ЛСД или [3H]кетансерина определяли по числу радиоактивных распадов в минуту с использованием Packard TopCount.
Вытеснение [3H]ЛСД или [3H]кетансерина из сайтов связывания количественно определяли путем приближения данных зависимости концентрация-связывание к 4-параметрическому логистическому уравнению:

где Hill представляет собой коэффициент Хилла, [лиганд] представляет собой концентрацию конкурирующего радиолиганда и IC50 представляет собой концентрацию радиолиганда, обеспечивающую половину от максимального специфического связывания радиолиганда. Окно специфического связывания представляет собой разницу между параметрами Bmax и «базальное».
С использованием методики данного Примера тестировали соединения формулы I, и было обнаружено, что они являются селективными 5-НТ6-антагонистами, селективными 5-НТ2А-антагонистами или селективными антагонистами обоих рецепторов. Например, соединение 1-бензолсульфонил-1,2,3,4-тетрагидро-нафталин-1-ил)-4-метил-пиперазин показывало pKi приблизительно 9,52 для 5-НТ6 и приблизительно 7,76 для 6-НТ2А.
Пример 4
Усиление когнитивной способности
Свойства соединений по изобретению усиливать когнитивные способности могут быть изучены на модели научения животных: на модели “задачи распознавания объектов”. Использовали самцов крыс Wistar (Charles River, The Netherlands) в возрасте 4 месяцев. Соединения приготавливали ежедневно, растворяли в физиологическом растворе и тестировали в трех дозах. Введение всегда давали в/б (внутрибрюшинно) (объем инъекции 1 мл/кг) за 60 минут до Т1. Скополамин гидробромид инъецировали через 30 минут после инъекции соединения. Два экспериментатора исследовали две равные группы тестирования, которые были сформированы из 24 крыс. Порядок тестирования доз определяли случайным образом. Эти эксперименты выполняли с использованием протокола двойного слепого исследования. Всех крыс обрабатывали один раз каждой из доз. Тест распознавания объектов выполняли таким образом, как описано Ennaceur, A., Delacour, J., 1988, A new one-trial test for neurobiological studies of memory in rats. 1: Behavioral data. Behav. Brain Res. 31, 47-59.
Хотя настоящее изобретение описано со ссылкой на его конкретные воплощения, специалистам в данной области техники должно быть понятно, что могут быть сделаны различные изменения и эквивалентные замены без отклонения от истинной сущности и объема изобретения. Кроме того, могут быть сделаны многочисленные модификации, чтобы адаптировать конкретную ситуацию, вещество, композицию, способ, стадию или стадии способа к объективной сущности и объему настоящего изобретения. Подразумевается, что все такие модификации входят в объем формулы изобретения, прилагаемой к данной заявке.
Формула изобретения
1. Соединение формулы I:
; или его фармацевтически приемлемая соль, где m имеет значение 0; p имеет значение от 1 до 2; q имеет значение 2; Ar представляет собой возможно замещенный фенил, где заместители представляют собой галоген; R2 представляет собой ; каждый из n и r независимо имеет значение 1 или 2; и Х представляет собой -NR3, когда n имеет значение 2, или Х представляет собой -CHNR4R5, когда n имеет значение 1 или 2, где каждый из R3, R4 и R5 независимо представляет собой водород или метил, при условии, что исключен 4-(4-хлорфенилтио)-1-(метилпиперазино)индан.
2. Соединение по п.1, где n имеет значение 2.
3. Соединение по п.1, где Х представляет собой -NR3.
4. Соединение по п.3, где r имеет значение 1.
5. Соединение по п.3, где R3 представляет собой водород.
6. Соединение по п.3, где R3 представляет собой метил.
7. Соединение по п.3, где R представляет собой:
; или , где каждый из R3, R4 и R5 независимо представляет собой водород или метил.
8. Соединение по п.1, где указанное соединение представляет собой соединение формулы II:
; и где m, p, Ar, R1 и R3 являются такими, как изложено в п.1.
9. Соединение по п.8, где R3 представляет собой водород.
10. Соединение по п.8, где R3 представляет собой метил.
11. Соединение по п.1, где указанное соединение представляет собой соединение формулы IIIа или IIIб:
; ; где s имеет значение от 0 до 1; каждый R6 независимо представляет собой галогено; и R3 является таким, как изложено в п.1.
12. Соединение по п.11, где указанное соединение представляет собой соединение формулы IIIa.
13. Соединение по п.12, где R3 представляет собой водород.
14. Соединение по п.12, где R3 представляет собой метил.
15. Соединение по п.1, где указанное соединение выбрано из: 1-(5-бензолсульфонил-индан-1-ил)-пиперазина; 1-(5 -бензолсульфонил-индан-1-ил)-пирролидин-3-иламина; 1-[5-(4-фтор-бензолсульфонил)-индан-1-ил]-пиперазина; 1-[5-(2-фтор-бензолсульфонил)-индан-1-ил]-пиперазина; 1-[5-(3-хлор-бензолсульфонил)-индан-1-ил]-пиперазина; 1-[5-(3-хлор-бензолсульфонил)-индан-1-ил]-пиперидин-4-иламина; 1-(7-бензолсульфонил-1,2,3,4-тетрагидро-нафталин-1-ил)-пиперазина; 1-(6-бензолсульфонил-1,2,3,4-тетрагидро-нафталин-1-ил)-пиперазина; 1-[6-(4-фтор-бензолсульфонил)-1,2,3,4-тетрагидро-нафталин-1-ил]-пиперазина; 1-(6-бензолсульфонил-1,2,3,4-тетрагидро-нафталин-1-ил)-пиперидин-4-иламина и 1-(6-бензолсульфонил-1,2,3,4-тетрагидро-нафталин-1-ил)-4-метил-пиперазина.
16. Фармацевтическая композиция с избирательным сродством к 5-НТ рецепторам, содержащая эффективное количество соединения по п.1 в смеси с фармацевтически приемлемым носителем.
|
|