|
|
(21), (22) Заявка: 2006146871/04, 20.06.2005
(24) Дата начала отсчета срока действия патента:
20.06.2005
(30) Конвенционный приоритет:
24.06.2004 SE 0401653-1
(43) Дата публикации заявки: 27.07.2008
(46) Опубликовано: 20.05.2010
(56) Список документов, цитированных в отчете о поиске:
US 3876655 А, 08.04.1975. US 4659720 A, 21.04.1987. EP 0269238 A1, 01.06.1988. SU 991945 A3, 23.01.1983. RU 2171257 C2, 27.01.2001.
(85) Дата перевода заявки PCT на национальную фазу:
24.01.2007
(86) Заявка PCT:
SE 2005/000951 20050620
(87) Публикация PCT:
WO 2006/001750 20060105
Адрес для переписки:
191036, Санкт-Петербург, а/я 24, “НЕВИНПАТ”, пат.пов. А.В.Поликарпову
|
(72) Автор(ы):
БАУЭР Удо (SE), БРЕЙЛСФОРД Уэйн (SE), ЧХАЙЛАНИ Виджай (US), ЭГНЕР Брайан (SE), ФЬЕЛЛЬСТРЁМ Ола (SE), ГУСТАФССОН Линда (SE), МАТТССОН Ян (SE), НИЛЬССОН Каролина (SE), ОЛЬССОН Томас (SE)
(73) Патентообладатель(и):
АстраЗенека АБ (SE)
|
(54) ВАРИАНТЫ ИМИДАЗОЛА В КАЧЕСТВЕ МОДУЛЯТОРОВ РЕЦЕПТОРА ГАММА-АМИНОМАСЛЯНОЙ КИСЛОТЫ (GABA) ДЛЯ ЛЕЧЕНИЯ ЖЕЛУДОЧНО-КИШЕЧНЫХ (ЖК) РАССТРОЙСТВ
(57) Реферат:
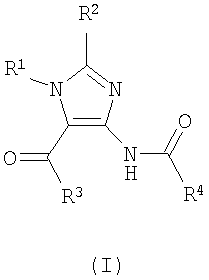
Настоящее изобретение относится к новым производным имидазола общей формулы I, где R1 представляет собой C1-С10алкил или С3-С10циклоалкил, каждый из которых возможно и независимо замещен 1 заместителем, выбранным из С3-С10циклоалкила или арильной либо гетероарильной групп, возможно замещенных одним или двумя галогенами; арил или гетероарил; R2 представляет собой C1-С10алкокси или C1-С10тиоалкил; R3 представляет собой C1-С10алкокси, возможно замещенный одним C1-С10алкокси или нитрилом, где указанная группа алкокси может быть циклической и может содержать один гетероатом О; R4 представляет собой С1-С10алкил; С2-С10алкенил; C1-С10алкокси или С3-С10циклоалкил, каждый из которых возможно и независимо замещен 1 или 2 заместителями, выбранными из C1-С10алкокси, С3-С10циклоалкила, сложного эфира карбоновой кислоты, или одной или двумя арильными или гетероарильными группами, возможно замещенными одним заместителем, выбранным из C1-С10алкила, С3-С10циклоалкила, нитро или галогена; арил или гетероарил, каждый из которых возможно и независимо замещен 1-3 заместителями, выбранными из C1-С10алкила, С3-С10циклоалкила, C1-С10алкокси, фенокси, тиофенила, галогена, нитро, нитрила или арильной группы, возможно замещенной одним галогеном; где вплоть до трех атомов водорода алкильной группы могут быть замещены атомами фтора; где указанный циклоалкил независимо может иметь один или два атома углерода, замещенных О или N; где указанный арил означает ароматическое кольцо, имеющее от 6 до 10 атомов углерода, включающее моно- и бициклические соединения; и где указанный гетероарил означает ароматическое кольцо, имеющее от 3 до 10 атомов углерода, включающее моно- и бициклические соединения, в которых от одного до трех кольцевых атомов представляют собой кислород, азот или серу; за исключением указанных в п.1 соединений. Также изобретение относится к применению указанных соединений для приготовления лекарственного средства, способу лечения и профилактики, соединению формулы II (значения радикалов указаны в формуле изобретения). Технический результат: получены новые производные имидазола, обладающие положительным аллостерическим модуляторным действием в отношении рецептора GABAB. 11 н. и 19 з.п. ф-лы, 1ил.
 
Текст описания приведен в факсимильном виде.                                                                       
Формула изобретения
1. Соединение общей формулы I
 где R1 представляет собой C1-С10алкил или С3-С10циклоалкил, каждый из которых возможно и независимо замещен 1 заместителем, выбранным из С3-С10циклоалкила или арильной либо гетероарильной групп, возможно замещенных одним или двумя галогенами; арил или гетероарил; R2 представляет собой C1-С10алкокси или C1-С10тиоалкил; R3 представляет собой С1-С10алкокси, возможно замещенный одним C1-С10алкокси или нитрилом, где указанная группа алкокси может быть циклической и может содержать один гетероатом О; R4 представляет собой C1-С10алкил; С2-С10алкенил; C1-С10алкокси или С3-С10циклоалкил, каждый из которых возможно и независимо замещен 1 или 2 заместителями, выбранными из C1-С10алкокси, С3-С10циклоалкила, сложного эфира карбоновой кислоты, или одной или двумя арильными или гетероарильными группами, возможно замещенными одним заместителем, выбранным из С1-С10алкила, С3-С10циклоалкила, нитро или галогена; арил или гетероарил, каждый из которых возможно и независимо замещен 1-3 заместителями, выбранными из C1-С10алкила, С3-С10циклоалкила, C1-С10алкокси, фенокси, тиофенила, галогена, нитро, нитрила или арильной группы, возможно замещенной одним галогеном; где вплоть до трех атомов водорода алкильной группы могут быть замещены атомами фтора; где указанный циклоалкил независимо может иметь один или два атома углерода, замещенных О или N; где указанный арил означает ароматическое кольцо, имеющее от 6 до 10 атомов углерода, включающее моно- и бициклические соединения; и где указанный гетероарил означает ароматическое кольцо, имеющее от 3 до 10 атомов углерода, включающее моно- и бициклические соединения, в которых от одного до трех кольцевых атомов представляют собой кислород, азот или серу; за исключением: этилового эфира 4-(ацетиламино)-1-метил-2-(метилтио)-1Н-имидазол-5-карбоновой кислоты; этилового эфира 4-(ацетиламино)-2-(метилтио)-1-фенил-1Н-имидазол-5-карбоновой кислоты; этилового эфира 4-[(4-хлорбензоил)амино]-1-(2-фуранилметил)-2-(метилтио)-1H-имидазол-5-карбоновой кислоты; этилового эфира 4-(ацетиламино)-1-(2-фуранилметил)-2-(метилтио)-1Н-имидазол-5-карбоновой кислоты; этилового эфира 4-(ацетиламино)-2-(метилтио)-1-(2-тиенилметил)-1Н-имидазол-5-карбоновой кислоты; этилового эфира 2-(метилтио)-4-[[(5-нитро-2-фуранил)карбонил]амино]-1-(2-тиенилметил)-1Н-имидазол-5-карбоновой кислоты.
2. Соединение по п.1, где R2 представляет собой C1-С10алкокси.
3. Соединение по п.2, где R2 представляет собой С1-С5алкокси.
4. Соединение по п.1, где R2 представляет собой C1-С10тиоалкил.
5. Соединение по п.4, где R2 представляет собой C1-С5тиоалкил.
6. Соединение по п.1, где R1 представляет собой С1-С7алкил или С3-С7циклоалкил, каждый из которых возможно и независимо замещен 1 заместителем, выбранным из С3-С10циклоалкила или арильной либо гетероарильной групп; арил или гетероарил.
7. Соединение по п.6, где R1 представляет собой С1-С4алкил, возможно и независимо замещенный одной арильной или гетероарильной группой.
8. Соединение по п.1, где R3 представляет собой С1-С7алкокси, возможно и независимо замещенный одним нитрилом.
9. Соединение по п.1, где R4 представляет собой С1-С7алкил, С2-С7алкенил или С3-С7циклоалкил, каждый из которых возможно и независимо замещен 1 или 2 заместителями, выбранными из С1-С7алкокси, сложного эфира карбоновой кислоты, или одной или двумя арильными или гетероарильными группами.
10. Соединение по п.1, где R4 представляет собой арил или гетероарил, каждый из которых возможно и независимо замещен 1-3 заместителями, выбранными из C1-С10алкила, С3-С10циклоалкила, C1-С10алкокси, тиофенила, галогена, нитро, нитрила или арильной группы.
11. Соединение формулы I по п.1, выбранное из этилового эфира 4-[(4-хлорбензоил)амино]-2-(метилтио)-1-фенил-1Н-имидазол-5-карбоновой кислоты, этилового эфира 4-[(3,4-дихлорбензоил)амино]-2-(метилтио)-1-(2-тиенилметил)-1Н-имидазол-5-карбоновой кислоты, этилового эфира 4-[(4-бромбензоил)амино]-2-(метилтио)-1-(фенилметил)-1H-имидазол-5-карбоновой кислоты, этилового эфира 4-[(4-хлорбензоил)амино]-2-(метилтио)-1-(2-тиенилметил)-1Н-имидазол-5-карбоновой кислоты, этилового эфира 2-(метилтио)-4-[(1-оксо-2-фенилбутил)амино]-1-(фенилметил)-1Н-имидазол-5-карбоновой кислоты, этилового эфира 4-[(4-хлорбензоил)амино]-2-(метилтио)-1-(фенилметил)-1Н-имидазол-5-карбоновой кислоты, этилового эфира 4-[(4-метоксибензоил)амино]-2-(метилтио)-1-(2-тиенилметил)-1Н-имидазол-5-карбоновой кислоты, этилового эфира 4-[(4-метоксибензоил)амино]-2-(метилтио)-1-фенил-1H-имидазол-5-карбоновой кислоты, этилового эфира 4-[[4-(1,1-диметилэтил)бензоил]амино]-2-(метилтио)-1-(фенилметил)-1Н-имидазол-5-карбоновой кислоты, этилового эфира 4-[(3,4-дихлорбензоил)амино]-2-(метилтио)-1-(фенилметил)-1Н-имидазол-5-карбоновой кислоты, этилового эфира 4-[(4-хлорбензоил)амино]-1-(3-метилбутил)-2-(метилтио)-1Н-имидазол-5-карбоновой кислоты, этилового эфира 4-[(3,4-дихлорбензоил)амино]-1-(3-метилбутил)-2-(метилтио)-1Н-имидазол-5-карбоновой кислоты, этилового эфира 2-(метилтио)-4-[(1-оксо-2-феноксипропил)амино]-1-(фенилметил)-1Н-имидазол-5-карбоновой кислоты, этилового эфира 2-(метилтио)-4-[(1-оксо-2-фенилбутил)амино]-1-фенил-1Н-имидазол-5-карбоновой кислоты, этилового эфира 4-[(4-йодбензоил)амино]-2-(метилтио)-1-фенил-1Н-имидазол-5-карбоновой кислоты, трет-бутил-4-[(4-фторбензоил)амино]-2-(метилтио)-1-фенил-1Н-имидазол-5-карбоксилата, 2-метокси-1-метилэтил-4-[(4-хлорбензоил)амино]-2-(метилтио)-1-фенил-1Н-имидазол-5-карбоксилата, циклопентил-4-[(4-хлорбензоил)амино]-2-(метилтио)-1-фенил-1Н-имидазол-5-карбоксилата, трет-бутил-4-[(метоксиацетил)амино]-2-(метилтио)-1-фенил-1Н-имидазол-5-карбоксилата, изопропил-4-[(4-хлорбензоил)амино]-2-(метилтио)-1-фенил-1Н-имидазол-5-карбоксилата, 2,2-диметилпропил-4-[(4-хлорбензоил)амино]-2-(метилтио)-1-фенил-1Н-имидазол-5-карбоксилата, 1-циано-1-метилэтил-4-[(4-хлорбензоил)амино]-2-(метилтио)-1-фенил-1Н-имидазол-5-карбоксилата, 1,1-диметилпентил-4-[(4-хлорбензоил)амино]-2-(метилтио)-1-фенил-1Н-имидазол-5-карбоксилата, тетрагидрофуран-3-ил-4-[(4-хлорбензоил)амино]-2-(метилтио)-1-фенил-1Н-имидазол-5-карбоксилата, 2-метокси-1,1-диметилэтил-4-[(4-хлорбензоил)амино]-2-(метилтио)-1-фенил-1Н-имидазол-5-карбоксилата, 1,1-диметил-2-оксопропил-4-[(4-хлорбензоил)амино]-2-(метилтио)-1-фенил-1Н-имидазол-5-карбоксилата, 1-(метоксиметил)пропил-4-[(4-хлорбензоил)амино]-2-(метилтио)-1-фенил-1Н-имидазол-5-карбоксилата, 2-метокси-1,1-диметилэтил-4-[(2,3-дигидро-1,4-бензодиоксин-2-илкарбонил)амино]-2-метокси-1-фенил-1Н-имидазол-5-карбоксилата, 2-метокси-1,1-диметилэтил-4-{[(3-хлорфенокси)ацетил]амино}-2-метокси-1-фенил-1Н-имидазол-5-карбоксилата, 2-метокси-1,1-диметилэтил-4-[(4-хлорбензоил)амино]-2-метокси-1-фенил-1H-имидазол-5-карбоксилата, 2-метокси-1,1-диметилэтил-4-[(2,4-дихлорбензоил)амино]-2-метокси-1-фенил-1Н-имидазол-5-карбоксилата.
12. Соединение общей формулы I
 где R1 представляет собой C1-С10алкил или С3-С10циклоалкил, каждый из которых возможно и независимо замещен 1 заместителем, выбранным из С3-С10циклоалкила или арильной либо гетероарильной групп, возможно замещенных одним или двумя галогенами; арил или гетероарил; R2 представляет собой C1-С10алкокси или C1-С10тиоалкил; R3 представляет собой C1-С10алкокси, возможно замещенный одним C1-С10алкокси или нитрилом, где указанная группа алкокси может быть циклической и может содержать один гетероатом О; R4 представляет собой С1-С10алкил; С2-С10алкенил; C1-С10алкокси или С3-С10циклоалкил, каждый из которых возможно и независимо замещен 1 или 2 заместителями, выбранными из С1-С10алкокси, С3-С10циклоалкила, сложного эфира карбоновой кислоты, или одной или двумя арильными или гетероарильными группами, возможно замещенными одним заместителем, выбранным из C1-С10алкила, С3-С10циклоалкила, нитро или галогена; арил или гетероарил, каждый из которых возможно и независимо замещен 1-3 заместителями, выбранными из C1-С10алкила, С3-С10циклоалкила, С1-С10алкокси, фенокси, тиофенила, галогена, нитро, нитрила или арильной группы, возможно замещенной одним галогеном; где вплоть до трех атомов водорода алкильной группы могут быть замещены атомами фтора; где указанный циклоалкил независимо может иметь один или два атома углерода, замещенных О или N; где указанный арил означает ароматическое кольцо, имеющее от 6 до 10 атомов углерода, включающее моно- и бициклические соединения; и где указанный гетероарил означает ароматическое кольцо, имеющее от 3 до 10 атомов углерода, включающее моно- и бициклические соединения, в которых от одного до трех кольцевых атомов представляют собой кислород, азот или серу; за исключением: этилового эфира 4-(ацетиламино)-1-метил-2-(метилтио)-1Н-имидазол-5-карбоновой кислоты; этилового эфира 4-(ацетиламино)-2-(метилтио)-1-фенил-1Н-имидазол-5-карбоновой кислоты; этилового эфира 4-[(4-хлорбензоил)амино]-1-(2-фуранилметил)-2-(метилтио)-1Н-имидазол-5-карбоновой кислоты; этилового эфира 4-(ацетиламино)-1-(2-фуранилметил)-2-(метилтио)-1H-имидазол-5-карбоновой кислоты; этилового эфира 4-(ацетиламино)-2-(метилтио)-1-(2-тиенилметил)-1Н-имидазол-5-карбоновой кислоты; этилового эфира 2-(метилтио)-4-[[(5-нитро-2-фуранил)карбонил]амино]-1-(2-тиенилметил)-1Н-имидазол-5-карбоновой кислоты; для применения в лечении желудочно-кишечных заболеваний.
13. Соединение по любому из пп.1-11 для применения в качестве положительного аллостерического модулятора рецептора -аминомасляной кислоты (GABAB).
14. Применение соединения формулы I по п.12 или 13, возможно в комбинации с агонистом рецептора GABAB, для приготовления лекарственного средства для лечения гастроэзофагеального рефлюкса (ГЭФР).
15. Применение соединения формулы I по п.12 или 13, возможно в комбинации с агонистом рецептора GABAB, для приготовления лекарственного средства для профилактики рефлюкса.
16. Применение соединения формулы I по п.12 или 13, возможно в комбинации с агонистом рецептора GABAB, для приготовления лекарственного средства для лечения функционального желудочно-кишечного расстройства.
17. Применение по п.16, где указанное функциональное желудочно-кишечное расстройство представляет собой функциональную диспепсию.
18. Применение соединения формулы I по п.12 или 13, возможно в комбинации с агонистом рецептора GABAB, для приготовления лекарственного средства для лечения синдрома раздраженной кишки (СРК).
19. Применение по п.18, где указанный СРК представляет собой СРК с преобладанием запора.
20. Применение по п.18, где указанный СРК представляет собой СРК с преобладанием диареи.
21. Применение по п.18, где указанный СРК представляет собой СРК с преобладанием чередующейся дефекации.
22. Способ лечения гастроэзофагеального рефлюкса (ГЭФР), при котором субъекту, нуждающемуся в таком лечении, вводят фармацевтически и фармакологически эффективное количество соединения формулы I по п.12, возможно в комбинации с агонистом рецептора GABAB.
23. Способ профилактики рефлюкса, при котором субъекту, нуждающемуся в такой профилактике, вводят фармацевтически и фармакологически эффективное количество соединения формулы I по п.12, возможно в комбинации с агонистом рецептора GABAB.
24. Способ лечения функционального желудочно-кишечного расстройства, при котором субъекту, нуждающемуся в таком лечении, вводят фармацевтически и фармакологически эффективное количество соединения формулы I по п.12, возможно в комбинации с агонистом рецептора GABAB.
25. Способ по п.24, где указанное желудочно-кишечное расстройство представляет собой функциональную диспепсию.
26. Способ лечения синдрома раздраженной кишки (СРК), при котором субъекту, нуждающемуся в таком лечении, вводят фармацевтически и фармакологически эффективное количество соединения формулы I по п.12, возможно в комбинации с агонистом рецептора GABAB.
27. Способ по п.26, где указанный СРК представляет собой СРК с преобладанием запора.
28. Способ по п.26, где указанный СРК представляет собой СРК с преобладанием диареи.
29. Способ по п.26, где указанный СРК представляет собой СРК с преобладанием чередующейся дефекации.
30. Соединение формулы II
 где R1 представляет собой C1-С10алкил или С3-С10циклоалкил, каждый из которых возможно и независимо замещен 1 заместителем, выбранным из С3-С10циклоалкила или арильной группы; арил; R2 представляет собой С1-С10тиоалкил; R3 представляет собой C1-С10алкокси, возможно замещенный одним С1-С10алкокси или одним нитрилом, где указанная группа алкокси может быть циклической и может содержать один гетероатом О; где указанный арил означает ароматическое кольцо, имеющее от 6 до 10 атомов углерода, включающее моно- и бициклические соединения; за исключением этилового эфира 4-амино-1-метил-2-(метилтио)-1Н-имидазол-5-карбоновой кислоты; [4-амино-1-метил-2-(метилтио)-1Н-имидазол-5-ил]фенил-метанона; [4-амино-2-(метилтио)-1-фенил-1Н-имидазол-5-ил]фенил-метанона; и этилового эфира 4-амино-2-(метилтио)-1-фенил-1H-имидазол-5-карбоновой кислоты.
РИСУНКИ
|
|