|
|
(21), (22) Заявка: 2008141030/11, 15.10.2008
(24) Дата начала отсчета срока действия патента:
15.10.2008
(46) Опубликовано: 20.05.2010
(56) Список документов, цитированных в отчете о поиске:
RU 2263593 С2, 10.11.2005. SU 802662 А, 10.02.1981. DE 1145017 В, 07.03.1963. DE 3130941 А1, 17.02.1983. SU 987220 А, 07.01.1983. GB 1043591 А, 21.09.1966.
Адрес для переписки:
362020, Республика Северная Осетия-Алания, г. Владикавказ, ул. Кесаева, 123, кв.44, Р.М.Тавасиеву
|
(72) Автор(ы):
Тавасиев Рамазан Мусаевич (RU), Цебоев Эдуард Алиханович (RU), Баликоев Валерий Тазретович (RU), Фидаров Алан Фидарович (RU)
(73) Патентообладатель(и):
Общество с ограниченной ответственностью “Старт” (ООО “Старт”) (RU)
|
(54) ГИДРОПНЕВМОЦИЛИНДР
(57) Реферат:
Изобретение относится к области автомобилестроения, в частности к гидравлическим цилиндрам тормозных систем транспортных средств. Гидропневмоцилиндр содержит корпус и установленную в его внутренней полости стеклянную цилиндрическую втулку. Стеклянная цилиндрическая втулка выполнена с цементированной рабочей поверхностью и снабжена внешней металлической оболочкой. Пространство между втулкой и оболочкой заполнено буферным слоем из жидкого затвердевающего вещества с наполнителем из металлического порошка. Достигается повышение надежности и долговечности гидропневмоцилиндров. 1 з.п. ф-лы, 1 ил.
Изобретение относится к технике, включающей гидравлические и пневматические устройства, в частности к гидравлическим цилиндрам тормозных систем транспортных средств.
Известен силовой гидроцилиндр, содержащий корпус цилиндра, в котором установлена тонкостенная втулка, а зазоры между втулкой и цилиндром заполнены затвердевающим композитным наполнителем (а.с. SU 802662 А, кл. F15D 15/08, опубл. 07.02.1981).
Наиболее близким по технической сущности к предлагаемому изобретению является известный также рабочий орган гидравлических тормозных систем (патент RU 2263593, кл. В60Т 11/16, опубл. 10.11.2005).
Указанное техническое решение имеет ряд преимуществ относительно первого. Однако возможности повышения его надежности и долговечности не исчерпаны. Кроме того, оно обладает существенным недостатком: разница коэффициентов теплового расширения стекла и металла при колебаниях температуры эксплуатации приводит к возникновению в зоне сопряжения втулки и корпуса, либо напряжений, либо вакуума, что значительно снижает надежность и долговечность гидроцилиндра. Другим недостатком прототипа является то, что рабочая поверхность стеклянной втулки имеет микропоры, ликвидация которых позволило бы повысить антифрикционные свойства рабочей поверхности.
Целью изобретения является повышение надежности и долговечности работы гидропневмоцилиндров.
Указанная цель достигается тем, что стеклянная цилиндрическая втулка выполнена с цементированной, с помощью графита, рабочей поверхностью и снабжена внешней металлической оболочкой, а пространство между втулкой и оболочкой заполнено буферным слоем из жидкой затвердевающей массы с наполнителем из металлического порошка. Цементация рабочей поверхности позволяет заполнить микропоры, повышает ее прочность и антифрикционные свойства, что позволяет повысить надежность и долговечность изделия.
Конструкция гидропневмоцилиндра включает четыре сопряженных друг с другом цилиндрических деталей. Для того чтобы при колебаниях температуры все детали синхронно расширялись или сжимались, не создавая при этом вакуум или напряжения в сопряжениях, должно быть выполнено условие
,
где к, c, б – коэффициенты теплового расширения материалов соответственно корпуса, стеклянной втулки и буферного слоя;
dк, dc – значения внешних диаметров соответственно корпуса, стеклянной втулки и буферного слоя.
Коэффициент теплового расширения материала буферного слоя
,
где м, п – коэффициенты теплового расширения материалов затвердевающей массы и металлического порошка;
– объемная доля металлического порошка в буферном слое.
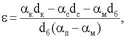
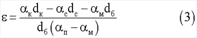
Подставив значение б из формулы (2) в формулу (1), после преобразований получено
.
Таким образом, чтобы исключить возникновение напряжений или вакуума в зонах сопряжения деталей гидропневмоцилиндра и таким образом повысить его надежность и долговечность, объемное долевое содержание металлического порошка в буферном слое должно соответствовать значению , вычисленному по формуле (3).
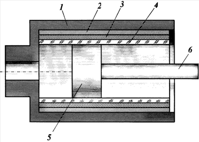
На чертеже изображено продольное сечение гидропневмоцилиндра.
Гидропневмоцилиндр состоит из корпуса 1 и размещенной в нем гильзы (сицила), которая, в свою очередь, содержит оболочку 2, буферный слой 3 и стеклянную втулку 4. В полости гильзы (сицила) размещены поршень 5 и шток 6. Гильза (сицил) является съемным заменяемым узлом. При использовании гидропневмоцилиндра в пневмосистемах при относительно низких давлениях оболочка 2 может быть выполнена из неметаллических материалов, например из пластмасс.
Применение буферного слоя с заданным коэффициентом теплового расширения, а также использование стеклянной втулки с цементированной рабочей поверхностью, позволяют, за счет повышения антифрикционных свойств и исключения напряжений в сопряжениях, повысить надежность и долговечность изделия.
Формула изобретения
1. Гидропневмоцилиндр, содержащий корпус и установленную в его внутренней полости стеклянную цилиндрическую втулку, отличающийся тем, что стеклянная цилиндрическая втулка выполнена с цементированной рабочей поверхностью и снабжена внешней металлической оболочкой, а пространство между втулкой и оболочкой заполнено буферным слоем из жидкого затвердевающего вещества с наполнителем из металлического порошка.
2. Гидропневмоцилиндр по п.1, отличающийся тем, что содержание наполнителя в буферном слое определяется по формуле
 где к, с, м, п – коэффициенты линейного расширения материалов соответственно корпуса, стеклянной втулки, затвердевающего вещества и металлического порошка; dк, dc, dб – значения внешних диаметров соответственно корпуса, стеклянной втулки и буферного слоя.
РИСУНКИ
|
|