|
|
(21), (22) Заявка: 2007140994/14, 04.04.2006
(24) Дата начала отсчета срока действия патента:
04.04.2006
(30) Конвенционный приоритет:
05.04.2005 FI 20050345
(43) Дата публикации заявки: 20.05.2009
(46) Опубликовано: 20.05.2010
(56) Список документов, цитированных в отчете о поиске:
WO 9009158, 23.08.1990. US 5201314, 13.04.1993. US 6526979, 04.03.2003. CA 2499187, 01.04.2004. FR 2769828, 23.04.1999. RU 2164790 C1, 10.04.2001.
(85) Дата перевода заявки PCT на национальную фазу:
06.11.2007
(86) Заявка PCT:
FI 2006/050123 20060404
(87) Публикация PCT:
WO 2006/106180 20061012
Адрес для переписки:
129090, Москва, ул.Б.Спасская, 25, стр.3, ООО “Юридическая фирма Городисский и Партнеры”, пат.пов. А.В.Мицу, рег. 364
|
(72) Автор(ы):
ТЬЯДЕР Тайна (FI), ХЕЙНОНЕН Сара (FI)
(73) Патентообладатель(и):
БАЙЕР ШЕРИНГ ФАРМА ОЙ (FI)
|
(54) ОБНАРУЖИВАЕМАЯ С ПОМОЩЬЮ УЛЬТРАЗВУКА ВНУТРИМАТОЧНАЯ СИСТЕМА И СПОСОБ УЛУЧШЕНИЯ УЛЬТРАЗВУКОВОГО ОБНАРУЖЕНИЯ
(57) Реферат:
Группа изобретений относится к медицине, а именно к обнаруживаемым с помощью ультразвука внутриматочным системам и способам улучшения ультразвукового обнаружения. Внутриматочная система (ВМС) имеет покрытие из инертного металла по меньшей мере на части корпуса внутриматочной системы или по меньшей мере один выполненный из инертного металла элемент из скобы, штифты, кольца или гильзы, расположенный неподвижно на корпусе внутриматочной системы. Указанные элементы по меньшей мере внедряют в корпус ВМС. Группа изобретений позволяет улучшить ультразвуковое обнаружение ВМС и определить ее положение в матке в течение одного посещения врача, а также повысить переносимость ВМС пользователем за счет сглаживания ее поверхности при частичном внедрении элементов в корпус ВМС и отсутствия промежутков для размножения в них загрязняющих бактерий. 2 н. и 6 з.п.ф-лы, 1 табл., 13 ил.
Область техники
Настоящее изобретение относится к обнаруживаемым с помощью ультразвука внутриматочным системам и способу улучшения ультразвукового обнаружения этих систем.
Описание известного уровня техники
Внутриматочные системы, известные как ВМС, давно известны, они выпускаются различной формы и размеров и из различных материалов. ВМС обычно состоят из пластикового каркаса, имеющего форму буквы Т или цифры 7, хотя возможны также ВМС в форме буквы S и . ВМС, содержащие лекарственные препараты, можно использовать для локальной доставки этого препарата в матку с контролируемой скоростью высвобождения в течение длительного периода времени. Такие ВМС с лекарственным препаратом, достаточно широко применяемые в контрацепции и гормональном лечении, можно разделить на медные и гормональные устройства. В медных внутриматочных устройствах (ВМУ) вертикальный стержень каркаса обвит медной проволокой или медной проволокой с серебряным сердечником, а в гормональной ВМС на вертикальном стержне размещена эластомерная капсула с гормоном. Эта капсула может быть покрыта эластомером или полимерной мембраной, которая контролирует высвобождение лекарственного препарата из эластомерной капсулы с гормоном. Вытяжные мононити, используемые для удаления ВМС по истечении периода ее использования, привязаны к петле на конце вертикального стержня.
При использовании ВМС могут возникать такие нежелательные осложнения, как инфекции, кровотечения, разрыв шейки матки, септический аборт, прободение матки, внематочная беременность и экспульсия ВМС. Экспульсия нежелательна, потому что в этом случае ВМС не сможет больше предохранять от беременности. Вероятно, наиболее частым побочным эффектом медных ВМУ является аномальное кровотечение, принимающее форму меноррагии, метроррагии, или и того и другого. Гормональные ВМС не имеют такого побочного эффекта, что позволяет использовать их для лечения меноррагии. Вызванные ВМС маточные кровотечения обусловлены несоответствием между размером и/или формой полости матки и ВМС, а также неточным размещением системы во время ее введения.
Кроме оптимальной формы и состава ВМС важно, чтобы она была размещена в правильном положении. При многих осложнениях врачу необходимо иметь возможность определить место и положение ВМС, чтобы диагностировать проблему и предотвратить дальнейшие осложнения.
В настоящее время существует несколько методов определения присутствия и положения ВМС в матке. В одном из этих методов применяется рентгеновское исследование. Однако в области матки и яичников следует по возможности избегать применения рентгеновского исследования. В других методах обнаружения используется ультразвук. Врачи также часто исследуют маркерные нити, прикрепляемые к ВМС, чтобы определить присутствие и положение ВМС, а в конце периода использования извлечь систему. Еще один метод заключается в манипулировании маткой во время телерентгенологического исследования. В некоторых случаях в матку вводят вторую ВМС, чтобы использовать ее в качестве внутриматочного маркера для определения относительного расположения утерянной ВМС.
Ультразвуковая визуализация широко используется в медицине для неинвазивного исследования внутренних структур тела человека. Помимо визуализации физиологических структур и тканей, ультразвук также применяется для визуализации медицинских устройств, вводимых в ткань или каналы тела пациента.
Матка визуализируется под ультразвуком посредством сопоставления положения ВМС с положением матки. При сопоставлении относительных положений матки и ВМС медицинский работник может определить, правильно ли расположена ВМС в матке. Медицинский работник может также определить, не произошло ли прободение матки или ее шейки внутриматочной системой. Если ВМС частично или полностью проникла в матку или ее шейку, то врач, зная положение ВМС, сможет более точно определить соответствующую стратегию удаления ВМС.
В обычной системе визуализации короткие импульсы ультразвука направляют в тело пациента с помощью датчика. Тот же самый датчик принимает обратную отраженную ультразвуковую энергию, или эхо, и преобразует ее в электрические сигналы. Эти сигналы, представляющие отраженную энергию, обрабатываются и преобразуются в видеоизображение целевой области. Такой метод особенно ценен для визуализации в медицинских применениях, потому что диагностические ультразвуковые процедуры безопасны, комфортны для пациентов и более экономичны, чем другие цифровые методы формирования изображения. Кроме того, ультразвуковые приборы широко доступны и изображения формируются в реальном времени.
Большинство медицинских устройств имеют акустическое сопротивление, подобное акустическому сопротивлению той ткани, в которую вводится данное устройство. Поэтому устройство имеет неудовлетворительную видимость и очень сложно, если вообще возможно точно определить его положение. Другая проблема, влияющая на видимость устройства, это угол рассеяния. Например, иглы из нержавеющей стали имеют акустическое сопротивление, значительно отличающееся от акустического сопротивления ткани, и хорошо видны при ультразвуковом исследовании, когда игла находится в плоскости ультразвукового луча. Если же игла перемещается под некоторым другим углом от оси, то ультразвуковой пучок рассеивается в направлении, отличном от направления датчика, и игла становится менее заметной или вообще не невидимой под ультразвуком.
Для решения обеих описанных выше проблем предпринимались попытки повысить рассеивающую мощность устройства, чтобы оно было видимым, даже не находясь полностью в плоскости ультразвукового пучка. Также использовались различные подходы к улучшению ультразвуковой визуализации путем изменения отражающих характеристик поверхности этих устройств. Известно множество различных ультразвуковых контрастных средств, включая пористые негруппирующиеся частицы одинакового размера. Контрастные средства могут повысить контрастность целевой ткани, в которую они вводятся, но они не могут повысить видимость вводимых медицинских устройств под ультразвуком.
В патенте США 5201314 описано медицинское устройство, которое вводится в ткань или канал и визуализируется с помощью системы акустической визуализации. Устройство содержит продолговатый вводимый элемент с взаимодействующей поверхностью, форма которой чувствительна к акустическому пучку, для формирования изображения. Продолговатый элемент содержит материал, например частицы сферической или другой геометрической формы, имеющие определенный контур, для установления взаимодействующей поверхности. Этот имеющий контуры материал заключен внутри материала продолговатого элемента, или альтернативно, или в комбинации, присоединен к наружной поверхности материала элемента или внедрен в нее. В одном варианте взаимодействующий слой может содержать металл высокой плотности, такой как титан, вольфрам, барий, висмут, платину, серебро, золото или палладий.
В патенте США 6306125 описана система доставки имплантата в ткань, требующую лечения. Для улучшения видимости имплантата системами визуализации в имплантат можно добавить эхогенное контрастное вещество. Альтернативно, имплантат может содержать элементы, молекулы, соединения или композиции, атомный вес которых достаточен для придания имплантату ренгеноконтрастности. Наиболее предпочтительными рентгеноконтрастными материалами являются, например, барий, золото, платина, тантал, висмут и йод. Рентгеноконтрастные вещества можно вводить в имплантаты различными способами. Можно вводить биосовместимые неиммуногенные металлы, такие как золото и платина, в виде очень тонкой дисперсии с размером частиц менее нескольких микрометров. Другие тяжелые атомы можно вводить в форме неорганических солей, таких как сульфат бария.
Предпринимались попытки повысить эхогенность медицинского устройства путем модифицирования его поверхности. В патенте США 4869259 описано повышение эхогенности иглы посредством струйной обработки частицами размером 50 микрон для создания равномерно шероховатой поверхности. В патенте США 4977897 описаны зондирующие отверстия, выполненные посредством механической обработки в иглах в соответствии с длиной волны падающего пучка, позволяющие улучшить эхографическую видимость. В патенте США 5289831 описана модификация катетеров и других устройств путем введения стеклянных шариков или частиц металлов высокой плотности размером от 0,5 до 100 микрон или выполнения частично сферических углублений. В патенте США 5327891 описано использование микропузырьков со средой, находящихся в лопастях и/или дорожках, для повышения эхогенности катетеров. В патенте США 5759154 описано использование метода маскирования для создания углублений, содержащих чередующиеся ряды квадратов и ромбов на поверхности по окружности устройства.
Авторы исследовали эти известные внутренние модификации ВМС (заполнение полыми стеклянными микросферами, выполнение каналов, введение металлического сердечника в корпус внутриматочной системы) и обнаружили, что они не дают требуемого эффекта, а именно не обеспечивают существенного повышения видимости ВМС для обнаружения с помощью ультразвука. См. фиг.1, на которой видно различие между Т-образным корпусом с металлическим сердечником (фиг.1А, левая сторона) и Т-образным корпусом с модифицированной поверхностью (фиг.1В). Любой материал между зондом и усиливающим ультразвук материалом частично или полностью ослабляет яркую эхогенность средства повышения ультразвуковой контрастности. Однако было обнаружено, что подходящим средством улучшения видимости ВМС является модификация поверхности ВМС инертными металлами. Хотя известно, что металлы обычно повышают эхогенность при ультразвуковом обнаружении, в известных методах металлы использовались благодаря их контрацептивному действию или для усиления рентгеноконтрастности. Настоящее изобретение направлено на создание средства для улучшения ультразвукового обнаружения и выполнение некоторых частей Т-образного корпуса изделия более видимыми, чем другие его части, чтобы можно было быстро обнаружить ВМС и определить ее положение в матке в течение одного посещения врача.
Краткое изложение сущности изобретения
Предложена усовершенствованная, обнаруживаемая с помощью ультразвука внутриматочная система (ВМС) для относительно долговременного введения в полость матки. ВМС согласно изобретению содержит по меньшей мере одно средство повышения контрастности изображения для ультразвуковой визуализации системы. Это средство выбирают из группы, состоящей из
а) покрытия из инертного металла на по меньшей мере части корпуса внутриматочной системы,
(b) по меньшей мере одного выполненного из инертного металла элемента из скобы, штифта, кольца и/или гильзы, расположенного неподвижно на корпусе внутриматочной системы, и
(с) металлической петли, прикрепленной к вертикальному стержню корпуса внутриматочной системы вместо обычной петли.
Также предложен способ улучшения визуализации внутриматочной системы в полости матки при ультразвуковом исследовании. Способ заключается, помимо прочего, в том, что снабжают Т-образный корпус ВМС по меньшей мере одним выполненным из инертного металла элементом из скобы, штифта, кольца и/или гильзы, наносят покрытие из инертного металла по меньшей мере на часть корпуса ВМС или прикрепляют металлическую петлю к вертикальному стержню корпуса ВМС.
Улучшение видимости ВМС при ультразвуковом исследовании позволяет медицинскому персоналу легче определить положение устройства и тем самым обнаруживать как проблемы с размещением устройства, так и проблемы самого устройства.
Еще одно преимущество этого признака заключается в том, что размещение ВМС можно оценить без физического проникновения в область тела, в которую введено данное устройство. Трансвагинальное или абдоминальное ультразвуковое исследование в настоящее время стало рутинной амбулаторной процедурой, не требующей проникновения в тело, которая практически полностью вытеснила применение рентгеновских исследований для обнаружения ВМС и оценки правильности расположения устройства. Возможность обнаружения ВМС с помощью ультразвука имеет важное значение в различных клинических ситуациях, например, при кровотечениях, боли, предполагаемой экспульсии (т.е. смещении ВМС) или других возможных осложнениях, вызванных использованием ВМС. Правильность расположения определяется при ультразвуковом исследовании посредством измерения расстояния между верхним краем вертикального стержня системы и внешней поверхностью дна матки. Так как матка не различима при рентгеновском исследовании, применение ультразвука позволяет оценить правильность расположения ВМС более точно, чем при рентгеновском исследовании, например, в случае частичной экспульсии устройства. Кроме того, обычным пользователям ВМС, т.е. женщинам детородного возраста, следует избегать применения рентгеновских исследований, чтобы минимизировать воздействие рентгеновского излучения на репродуктивные органы. В частности, яичники очень чувствительны к потенциальным мутагенным эффектам рентгеновских лучей, в то время как ультразвук не несет никакого риска. Таким образом, настоящее изобретение позволяет использовать более безопасный и надежный метод обнаружения.
Краткое описание чертежей
Фиг.1: А) Т-образный корпус с металлическим сердечником слева и контрольная ВМС справа; В) Т-образный корпус с модифицированной металлом поверхностью. Модификация поверхности заметно повысила эхогенность Т-образного корпуса. Снимки сделаны конвексным зондом в среде in vitro.
Обычно в медицине используется двухмерное изображение. Поэтому при использовании конвексного зонда можно одновременно видеть только горизонтальные плечи (поперечный вид) или вертикальный стержень (сагиттальный вид) (фиг.2А). При использовании вагинального зонда иногда также можно видеть вертикальный стержень (фиг.2В).
Фиг.2: А) Т-образный корпус, поперечный вид при использовании конвексного зонда в воде (схематическая модель показывает, какую часть Т-образного корпуса можно видеть на изображении; В) Т-образный корпус, вид Т-образного корпуса снизу в воде при использовании вагинального зонда (виден также вертикальный стержень).
Фиг.3 изображает сравнительный сагиттальный вид вертикального стержня обычной гормональной ВМС (слева) и гормональной ВМС с Т-образным корпусом, покрытым металлом (Au) (справа). Конвексный зонд в загустителе из картофельного крахмала. Известно, что гормональная капсула ВМС снижает эхогенность материала, находящегося под нею. Покрытие Au повысило эхогенность Т-образного корпуса и он виден как яркое изображение внутри капсулы с гормоном.
Фиг.4 изображает сравнительный сагиттальный вид вертикального стержня Т-образного корпуса с металлическими (Ag) кольцами и нижнюю часть стержня (А) с обычным Т-образным корпусом (В). Металлические кольца видны как яркое эхо сзади вертикального стержня. Вагинальный зонд в загустителе из картофельного крахмала.
Фиг.5 изображает оптимальные положения средств повышения эхогенности. Эхогенность участка А или участков А-В наиболее важна для определения расстояния ВМС от дна матки. Для точного определения положения горизонтальных плеч в матке важна эхогенность положений С-D.
Фиг.6 изображает гормональный контрацептив с Т-образным корпусом, покрытым Au.
Фиг.7: А) Невнедренные кольца Ag на верхнем и нижнем концах вертикального стержня гормональной ВМС; В) Внедренные двойные кольца на верхнем и нижнем концах вертикального стержня гормональной ВМС.
Фиг.8. Акустическое затенение сзади горизонтальных стержней MIRENA®. Следует отметить три затенения от наиболее широких частей горизонтальных плеч. MIRENA® – это высвобождающая левоноргестрел внутриматочная (ВМС), которая состоит из эластомерной капсулы с гормоном, установленной на Т-образном корпусе и покрытой непрозрачной трубкой, которая регулирует высвобождение левоноргестрела.
Фиг.9. Сравнение 7-образного каркаса, модифицированного стеклянными микросферами, со стандартным Т-образным каркасом в загустителе из кукурузного крахмала при использовании вагинального зонда. Горизонтальный стержень 7-образного каркаса виден полностью, в то время как видны только три самые широкие части Т-образного каркаса и их акустическое затенение.
Фиг.10. Сферические концы (помеченные стрелками) Т-образного корпуса, покрытого Au, были обнаружены при использовании системы губки с водой.
Фиг.11. Сравнительное изображение яркости колец Ag на вертикальном стержне (поперечный вид, вагинальный зонд). А) Внедренное одинарное кольцо, В) Контроль (без кольца), С) Внедренное двойное кольцо.
Фиг.12. Конструктивное выполнение Т-образного корпуса с положениями внедренных металлических колец на концах вертикального стержня.
Фиг.13. Схематическое изображение различных конструктивных выполнений петли и Т-образного корпуса для металлических скоб на концах вертикального стержня.
Подробное описание изобретения
Ультразвуковая видимость, или эхогенность внутриматочного устройства зависит от разности плотностей смежных материалов, разности скорости распространения звука в смежных материалах, шероховатости поверхности и эхогенности окружающих материалов. Ультразвуковую видимость различных модификаций ВМС можно определить, оценив эхогенность материала по вычисленной отраженной энергии.
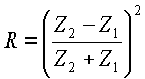
Звук проходит через материалы под влиянием давления звука. Так как молекулы или атомы эластично связаны друг с другом, избыточное давление вызывает распространение волны через твердое вещество. Акустическое сопротивление, Z (105 г/см2с), определяет передачу и отражение звука на границе смежных материалов:
Z = · V,
где – плотность (г/см2) и V – скорость распространения (мм/мкс).
Отраженную энергию R можно вычислить из акустических сопротивлений смежных материалов (Z1 и Z2):

Для переданной звуковой энергии Т=1-R. С помощью этих формул можно оценить ультразвуковую видимость различных модификаций ВМС. Чем выше отраженная энергия, тем лучше эхогенность материала.
В таблице 1 представлено сравнение отраженной и переданной энергии различных комбинаций материалов.
Таблица 1 Сравнение различных комбинаций материалов |
| Материал 1 – материал 2 |
Отраженная звуковая энергия, R |
Переданная звуковая энергия, T |
Человеческая ткань – медь Человеческая ткань – Трубка MED 4735 Человеческая ткань – Трубка PDMS 373 TW Человеческая ткань – PE-LD Человеческая ткань – Стекло (натронная известь) (PDMS = полидиметил-силоксан) (PE-LD = полиэтилен низкой плотности) |
0,860 0,032 0,020 0,004 0,625 |
0,140 0,996 0,980 0,997 0,375 |
Из таблицы 1 видно, что медная проволока медных ВМС и стекло отражают большую часть звуковой энергии обратно, обеспечивая тем самым хорошую эхогенность и яркое изображение. Эхогенность эластомеров и обычного сырья для изготовления ВМС (PE-LD и 20-24% BaSO4) хуже. Через эти материалы проходит большая часть звуковой энергии.
Внутриматочная система согласно изобретению содержит по меньшей мере одно повышающее контрастность изображения средство для улучшения ультразвуковой визуализации системы. Это средство выбирается из группы, состоящей из
а) покрытия инертным металлом по меньшей мере части корпуса внутриматочной системы,
b) по меньшей мере одного выполненного из инертного металла элемента из скобы, штифта, кольца и/или гильзы, расположенного неподвижно на корпусе внутриматочной системы, и
с) петли из инертного металла, прикрепленной к вертикальному стержню корпуса внутриматочной системы на месте обычной петли.
Металл предпочтительно выбирается таким образом, чтобы отраженная энергия на границе смежных материалов была как можно выше. Предпочтительно металл выбирают из группы, состоящей из таких инертных металлов, как серебро, золото, титан, вольфрам, барий, висмут, платина и палладий. Предпочтительными металлами являются серебро, золото, титан и платина, которые известны своей совместимостью (т.е. физической инертностью) с организмом человека. Однако можно также использовать и медь.
В предпочтительном варианте изобретения металлическое покрытие на металлических скобах, штифтах, кольцах или гильзах расположено на концах вертикального стержня(ей) ВМС, имеющей форму Т или 7. Это позволяет врачу достоверно измерять расстояние между ВМС и дном матки. Можно также выполнить покрытие на “петле” на конце вертикального стержня ВМС или зафиксировать металлическое кольцо, штифт или гильзу на ножке петли. В другом предпочтительном варианте металлическое покрытие или металлическая скоба, штифт, кольцо или гильза располагается только на “верхнем” конце вертикального стержня ВМС.
Иногда бывает важно определить положение горизонтальных плеч Т-образного корпуса. Это можно обеспечить с помощью нанесения металлического покрытия на весь Т-образный корпус или введения металлических скоб, колец или гильз также на конце горизонтального плеча (плеч) (перед сферическими концами) (фиг.5).
Обычно толщина металлического покрытия может колебаться приблизительно в пределах 0,1-500 нм, предпочтительно 1-50 нм. Однако возможны даже более толстые покрытия около 0,1 мм.
Металлические скобы, штифты, кольца или гильзы могут быть внедрены или по меньшей мере частично внедрены в корпус ВМС. Частичное внедрение колец сглаживает поверхность ВМС, не ухудшая видимость по сравнению с не внедренной частью. В случае колец предпочтительно использовать двойные кольца для повышения эхогенности. В случае скоб и гильз, чем они шире, тем лучше видимость. Ширина металлической скобы, штифта, кольца или гильзы может варьироваться, например, от 0,2 до нескольких миллиметров, предпочтительно она составляет около 1 мм, или в случае двойных колец около 0,5 мм. В следующем варианте закрепляют металлический штифт соответствующего размера через петлю, чтобы были видны концы штифта, имеющие больший диаметр, чем петля.
Внутриматочная система согласно настоящему изобретению может также содержать фиксирующее средство, обычно две фиксирующие части, между которыми установлена капсула с лекарством. Фиксирующие части удерживают капсулу в правильном положении во время введения, использования и удаления ВМС. Такие фиксирующие части могут иметь различные формы, например форму усеченного конуса. Они могут быть выполнены из полимерного материала, который может быть тем же самым, что и материал корпуса или отличаться от него, но также можно использовать другие материалы, например в данном случае можно использовать инертный металл, который улучшает видимость ВМС под ультразвуком.
Внутриматочная система согласно настоящему изобретению была разработана для относительно долговременного введения в полость матки. Однако долговременное введение может существенно варьироваться, например, от пары недель до нескольких лет, причем максимальное время использования ВМС обычно составляет до пяти лет.
Изобретение также предусматривает способ улучшения визуализации внутриматочной системы внутри полости матки при ультразвуковом исследовании, согласно которому осуществляют по меньшей мере один из следующих этапов:
наносят покрытие из инертного металла по меньшей мере на часть корпуса ВМС, или
снабжают корпус ВМС по меньшей мере одним выполненным из инертного металла элементом из скобы, штифта, кольца и/или гильзы, или
прикрепляют металлическую петлю к вертикальному стержню ВМС,
затем вводят ВМС в полость матки и изучают положение ВМС внутри полости матки при ультразвуковом исследовании в соответствующий момент времени.
Экспериментальная часть
Условия экспериментов in vitro
Полиэтиленовый контейнер, заполненный водой, загустителем из кукурузного или картофельного крахмала.
Опытные образцы размещены внутри губки и система погружена в воду.
Аппаратура
Sonosite 180PLUS с конвексным (2-4 МГц) и вагинальным (4-7 МГц) зондами, или
Aloka SSD с конвексным (3,5 МГц) и вагинальным (7,5 МГц) зондами.
Исследовавшиеся модификации
Группа 1: Полые стеклянные микросферы вводились в сырье для изготовления каркасов (корпусов). Благодаря высокой плотности и захваченного внутрь воздуха должна улучшиться эхогенность.
Группа 2: Полые стеклянные микросферы вводились в сердцевину, высвобождающую гормон.
Группа 3: Весь Т-образный корпус был покрыт Au с помощью ионного распылителя JFC-1100 (Jeol Fine Coat) (напряжение 1 кВ и ток 1 мА в течение 20 минут). Толщина полученного слоя составляла несколько нанометров. См. фиг.6.
Группа 4: Кольца или двойные кольца из серебряной проволоки толщиной 0,5 мм были размещены близко к концам вертикального стержня Т-образного корпуса. Изучалось как внедренное, так не внедренное крепление на стандартных Т-образных каркасах. Черновое внедрение выполнялось вручную путем выбирания канала глубиной около 0,25 мм. См. фиг.7.
Другие условия in vitro
Загустители из картофельного и кукурузного крахмала проявили себя в сонографии одинаково.
Рассеяние и ослабление акустических волн и присутствие воздуха в губчатой системе, которого можно избежать, были настолько высокими, что был обнаружен только NOVA T® (вертикальный стержень). (NOVA T® – это Т-образный пластиковый каркас, в котором вертикальный стержень Т окружен медной проволокой или медной проволокой с серебряным сердечником).
Вода как среда in vitro была признана худшей по сравнению с другими средами из-за слишком высокой эхогенности исследованных образцов в воде. Не было обнаружено никаких различий эхогенности между образцами. Акустические волны легко проходят через воду и не возникает никакого нарушающего эха. Акустическое затенение, типичное явление для ВМУ и ВМС, очень трудно обнаружить в воде, так как вода выглядит черной на сонограмме (на фиг.8 показан пример акустического затенения MIRENA® в загустителе из картофельного крахмала).
Сравнение различных модификаций
Стеклянные микросферы в Т-образном каркасе немного улучшили эхогенность. См. фиг.9, на которой сравниваются 7-образный, модифицированный стеклянными микросферами, и стандартный Т-образный каркас в загустителе из кукурузного крахмала.
Покрытие Au улучшило эхогенность Т-образного корпуса. Т-образный корпус визуализируется как яркое изображение под капсулой, высвобождающей гормон. См. фиг.3. Даже в губчатой системе, которая оказалась очень требовательной средой in vitro, были обнаружены сферические концы. См. фиг.10.
Проволока Ag толщиной 0,5 мм, размещенная на верхнем и нижнем концах вертикального стержня, усилила эхогенность. См. фиг.4. Металлические кольца были видны как яркие белые пятна и легко обнаруживались во время исследования. Частичное внедрение колец не ухудшило видимость по сравнению с невнедренной частью в любой проекции. Однако было заметно, что двойное кольцо ведет себя лучше, чем одинарное кольцо. Сонограмма для двух колец была больше и ярче. См. сравнительное изображение, фиг.11, где были исследованы одинарное кольцо, двойное кольцо и отсутствие кольца в оптимальной проекции.
Формула изобретения
1. Обнаруживаемая с помощью ультразвука внутриматочная система (ВМС) для долговременного введения в полость матки, содержащая по меньшей мере одно средство повышения контрастности изображения для улучшения ультразвуковой визуализации системы, причем упомянутые средства выбраны из группы, состоящей из а) по меньшей мере одного выполненного из инертного металла элемента из скобы, штифта, кольца и/или гильзы, расположенного неподвижно на корпусе внутриматочной системы и по меньшей мере частично внедренного в корпус, и (b) металлической петли или петли, имеющей металлическое покрытие, прикрепленной к вертикальному стержню корпуса внутриматочной системы на месте обычной петли.
2. Внутриматочная система по п.1, в которой металлические скобы, штифты, кольца или гильзы расположены на концах вертикального стержня или на концах вертикального стержня и горизонтального плеча (плеч) ВМС.
3. Внутриматочная система по п.1, в которой металлическая скоба, кольцо или гильза расположена на ножке петли.
4. Внутриматочная система по п.1, в которой инертный металл выбран из группы, состоящей из серебра, золота, титана, вольфрама, бария, висмута, платины и палладия.
5. Внутриматочная система по любому из предыдущих пунктов, также содержащая по меньшей мере два фиксирующих средства, удерживающих капсулу с медикаментом в правильном положении во время введения, использования и извлечения ВМС.
6. Способ улучшения визуализации внутриматочной системы (ВМС) внутри полости матки при ультразвуковом исследовании, заключающийся в том, что осуществляют по меньшей мере один из следующих этапов: наносят покрытие из инертного металла по меньшей мере на часть корпуса ВМС, снабжают корпус ВМС по меньшей мере одним выполненным из инертного металла элементом из скобы, штифта, кольца и/или гильзы и прикрепляют металлическую петлю к вертикальному стержню корпуса ВМС, затем вводят ВМС в полость матки и изучают положение ВМС внутри полости матки при ультразвуковом исследовании в соответствующий момент времени.
7. Способ по п.6, в котором металлические скобы, штифты, кольца или гильзы по меньшей мере частично внедряют в корпус ВМС.
8. Способ по п.6, в котором инертный металл выбирают из группы, состоящей из серебра, золота, титана, вольфрама, бария, висмута, платины и палладия.
РИСУНКИ
|
|