Патент на изобретение №2389393
|
||||||||||||||||||||||||||
(54) СПОСОБ ПРОИЗВОДСТВА КОНСЕРВОВ “МОРКОВЬ ГАРНИРНАЯ”
(57) Реферат:
Изобретение относится к консервной промышленности и может быть использовано при производстве консервов “Морковь гарнирная”. В способе нарезанную морковь после предварительной подготовки и расфасовки в банки заливают на 3-4 мин горячей водой с температурой не ниже 95°С. После этого воду заменяют заливкой с температурой 97-98°С, закатывают и стерилизуют в автоклаве по режиму
Предлагаемый способ на изобретение относится к консервной промышленности, а именно к способам производства консервов “Морковь гарнирная” в банках СКО 1-82-500. Источники, по которым был приведен поиск по данному способу, показали, что прототипом его является способ [1], сущность которого заключается в том, что подготовленные банки с продуктом после расфасовки, заливки и закатки подвергают тепловой стерилизации в автоклаве по режиму (для тары СКО 1-82-500):
где 25 – продолжительность нагрева воды в автоклаве до 116°С, мин; 25 – продолжительность собственно стерилизации, мин; 20 – продолжительность охлаждения, мин; 226 – противодавление в автоклаве, кПа. Основными недостатками этого способа являются: – большая продолжительность процесса тепловой обработки продукта; – неравномерность тепловой обработки продукта в банках; – относительно большой расход тепловой энергии. Целью предлагаемого способа является сокращение продолжительности процесса тепловой обработки, снижение неравномерности тепловой обработки, повышение качества готовой продукции и экономия тепловой энергии. Поставленная цель достигается за счет того, что по предлагаемому способу подготовленную нарезанную морковь закладывают в банки и на 3-4 мин заливают горячей водой температурой не ниже 95°С с последующей заменой ее заливкой температурой 97-98°С и стерилизацией в автоклаве по новому режиму, предусматривающему двухступенчатое охлаждение. Пример осуществления способа В банки закладывают нарезанную морковь, подготовленную в соответствии с технологической инструкцией включительно до процесса расфасовки. Далее по действующей технологической инструкции банки заливают заливкой температурой не ниже 90°С, закатывают и банки поступают на стерилизацию. Нами предлагается расфасованную в банки нарезанную морковь на 3-4 мин залить горячей водой температурой не ниже 95°С с последующей заменой ее заливкой температурой 97-98°С, далее банки закатываются и направляются на стерилизацию. После выдержки в течение 25 мин (допускаемая продолжительность выдержки закатанных банок до стерилизации) температура в центре банки составляет 60°С, а при консервировании по способу действующей технологической инструкции, температура продукта в центре банки составляет 42°С. Таким образом, начальная температура продукта по предлагаемому способу перед началом стерилизации составляет 60°С, т.е. на 18°С больше по сравнению со способом консервирования по действующей технологической инструкции. Так как заливку кипятят при 100°С, а температура при наполнении банок около 90°С, то имеет место неэффективные потери тепловой энергии на охлаждение заливки от 100 до 90°С; кроме того, по действующей технологической инструкции предусмотрено охлаждение консервов до температуры воды в автоклаве, равной 40°С, что также связано с большими потерями и тепловой энергии и воды. Увеличение начальной температуры продукта в банках перед стерилизацией позволяет, во-первых, увеличить начальную температуру воды в автоклаве перед загрузкой банок для стерилизации на величину до 18°С по сравнению с начальной температурой воды в автоклаве при стерилизации по режиму действующей технологической инструкции, и во-вторых, позволяет охлаждение консервов до конечной температуры проводить в два этапа, не вызывая срыва крышек с банок, так как давление, возникающее в банках при стерилизации по предлагаемому способу из-за высокой температуры продукта при герметизации, значительно ниже, чем при стерилизации по режиму действующей технологической инструкции. В связи с отмеченным выше мы предлагаем охлаждать консервы при стерилизации по предлагаемому способу в два этапа: в первом автоклаве, где осуществляется процесс нагрева до температуры стерилизации и выдержка, охлаждать консервы до температуры воды в автоклаве, равной 45°С, т.е. на 5°С больше, чем по режиму действующей технологической инструкции, с последующим продолжением охлаждения в другом автоклаве (емкости) без противодавления и температуре воды, равной 35-30°С. Такой способ охлаждения позволяет, во-первых, значительно экономить тепловую энергию на нагрев воды в автоклаве перед загрузкой очередной партии консервов, так как в данном случае нагрев воды будет осуществляться не от 40°С, как принято по режиму действующей технологической инструкции, а от 45°С, и кроме того, имеет место экономия охлаждающей воды. Режим стерилизации консервов в автоклаве по предлагаемому способу можно выразить в следующем виде:
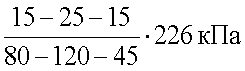
где 15 – продолжительность подогрева воды в автоклаве от 80° до 120°С, мин; 25 – продолжительность периода собственно стерилизации при 120°С воды, мин; 15 – продолжительность периода охлаждения воды в автоклаве от 120°С до 45°С, мин; 5 – продолжительность охлаждения во втором автоклаве (емкости) при 35-30° мин; 80 – начальная температура воды в автоклаве перед загрузкой консервов, °C; 120 – температура стерилизации, °C; 45 – конечная температура воды в первом автоклаве, °C; 35-30 – температура воды во втором автоклаве (емкости)°C; 226 – противодавление в первом автоклаве, кПа. Существенными отличительными признаками предлагаемого способа являются предварительный подогрев моркови в банках горячей водой температурой не ниже 95°С в течение 3-4 мин с последующей заменой ее заливкой температурой 97-98°С и стерилизация по новому режиму стерилизации, предусматривающему двухступенчатое охлаждение консервов. Режим обеспечивает промышленную стерильность консервов, уменьшает продолжительность процесса тепловой стерилизации, обеспечивает экономию тепловой энергии и охлаждающей воды. Литература 1. Сборник технологических инструкций по производству консервов, т.1. – М.: Пищевая промышленность, 1990.
Формула изобретения
Способ консервирования моркови, характеризующийся тем, что нарезанную морковь после предварительной подготовки и расфасовки в банки заливают на 3-4 мин горячей водой с температурой не ниже 95°С, после чего ее заменяют заливкой с температурой 97-98°С, закатывают и стерилизуют по режиму
|
||||||||||||||||||||||||||

в автоклаве с последующим продолжением охлаждения в другом автоклаве или емкости по режиму
. При этом обеспечивается уменьшение продолжительности процесса стерилизации, экономия тепловой энергии и воды.

в автоклаве с последующим продолжением охлаждения в другом автоклаве или емкости по режиму 