|
|
(21), (22) Заявка: 2006146180/09, 20.09.2006
(24) Дата начала отсчета срока действия патента:
20.09.2006
(30) Конвенционный приоритет:
20.09.2005 US 60/718,818 19.09.2006 US 11/532,951
(43) Дата публикации заявки: 27.10.2009
(46) Опубликовано: 10.05.2010
(56) Список документов, цитированных в отчете о поиске:
WO 2005/011206 A1, 03.02.2005. RU 2004111801 A, 27.03.2005. US 6392989 В1, 21.05.2002. EP 1443716 A1, 04.08.2004.
(85) Дата перевода заявки PCT на национальную фазу:
21.04.2008
(86) Заявка PCT:
CN 2006/002464 20060920
(87) Публикация PCT:
WO 2007/033592 20070329
Адрес для переписки:
191002, Санкт-Петербург, а/я 5, ООО “Ляпунов и партнеры”, пат.пов. Ю.В.Кузнецовой
|
(72) Автор(ы):
ДАНБЕР Линда (US), САЛТЕН Роберт (US)
(73) Патентообладатель(и):
Хуавэй Текнолоджиз Ко., Лтд. (CN)
|
(54) СИСТЕМА ДЛЯ ПАССИВНОГО РАСПРОСТРАНЕНИЯ И ПОДАВЛЕНИЯ АВАРИЙНОГО СИГНАЛА ДЛЯ СЕТЕЙ С КОММУТАЦИЕЙ ПАКЕТОВ
(57) Реферат:
Изобретение относится к сетям с коммутацией пакетов. В заявленном изобретении раскрыта система для пассивного распространения и подавления аварийного сигнала в сети связи. Система содержит сеть с коммутацией пакетов, включающую одну подгруппу сети, обеспечивающую сетевое взаимодействие с другой группой/группами сети. Данная сеть содержит первый граничный узел и второй граничный узел, первый абонентский узел, соединенный с первым граничным узлом, и второй абонентский узел, соединенный со вторым граничным узлом, а первый провайдерский граничный узел содержит таблицу подавления реплицированных аварийных сигналов (ТПРАС). Техническим решением является создание универсальной системы в сети с коммутацией пакетов, определяющей, нужно ли распространить сообщение сигнала информации аварийного состояния на абонентский узел или следует подавить его. 3 н. и 22 з.п. ф-лы, 4 ил.
Данное изобретение относится, в общем, к сетям с коммутацией пакетов, а в частности, к пассивному распространению и подавлению аварийных сигналов в сетях с коммутацией пакетов.
Уровень техники
Сигнал индикации аварийного состояния (СИАС (AIS)) является сигналом, передаваемым вместо обычного сигнала для сохранения непрерывности передачи; он показывает принимающему терминалу, что где-то на маршруте передачи имеется сбой, который может быть в узле-источнике, в промежуточных узлах или в любых каналах на маршруте. СИАС (AIS) использовался в сетях передачи для вышестоящих аварийных сигналов. Если нижестоящие узлы получают аварийные сигналы от своих вышестоящих узлов, то они могут подавить вторичные аварийные сигналы, вызванные вышестоящими сбоями.
Распространение аварийного сигнала СИАС (AIS) долгое время использовалась в традиционных сетях передачи. Однако такие подходы для распространения сведений об ошибке являются неэффективными в сетях с коммутацией пакетов, особенно в сети с коммутацией пакетов, не ориентированной на установление соединений, в которой каждый узел может быть соединен со своими одноранговыми узлами через множественные соединения. Такое распространение, применяемое в сетях с коммутацией каналов, может привести к переполнению сети с коммутацией пакетов при наличии многочисленных вышестоящих сбоев.
Документ IEEE802.1ag/D4.1 предложил другую форму СИАС (AIS) для провайдерских граничных узлов. Эта форма передает сообщение СИАС (AIS) в режиме группового вещания по всему административному домену, таким образом, что мосты могут подавлять аварийные сигналы о потере сетевого взаимодействия со своими одноранговыми узлами. Однако в предлагаемых способах существуют некоторые проблемы. Документ IEEE802.1ag/D4.1 предусматривает два возможных способа посылать СИАС (AIS) в affected пораженные узлы. Первый способ состоит в том, что провайдерскому граничному узлу разрешено посылать периодическое сообщение СИАС (AIS) во все узлы административного домена. Этот способ может породить слишком много сообщений, переполняющих административный домен. Чрезмерное количество сообщений может создать перегрузку и лишний трафик в пределах административного домена. По второму способу посылают только одно сообщения СИАС (AIS), только если провайдерский граничный узел обнаруживает сбой. Затем, когда в провайдерском граничном узле нарушение сетевого взаимодействия будет устранено, посылают сообщение СИАС (AIS) “clear” (“очистить”). В этом случае, даже если число сообщений СИАС (AIS) в административном домене может быть уменьшено, сообщение СИАС (AIS) “clear” (“очистить”) может быть не послано вновь добавленным мостам, после того как в провайдерском граничном узле нарушение сетевого взаимодействия будет устранено, или узлы, созданные после возникновения сбоя, могут не получить сообщения о сбое.
Поэтому существует потребность в системе, эффективно обеспечивающей распространение сведений об ошибке и подавление аварийного сигнала в многоузловой сети с коммутацией пакетов.
Сущность изобретения
В заявленном изобретении раскрыта универсальная система в сети с коммутацией пакетов, определяющая, нужно ли распространить сообщение СИАС (AIS) на абонентский узел или следует подавить его.
В заявленном изобретении представлена таблица подавления реплицируемых аварийных сигналов (ТПРАС), динамически устанавливаемая на провайдерском граничном узле провайдерской сети с коммутацией пакетов. Когда абонентский узел обнаруживает нарушение сетевого взаимодействия со своими одноранговыми узлами, то он может обратиться к ТПРАС, чтобы определить, вызван ли сбой доменом провайдера, обслуживающим абонентский узел, чтобы, в свою очередь, определить, нужно или нет подавлять выдачу аварийного сигнала, и чтобы определить действительную причину нарушения сетевого взаимодействия.
В одном варианте осуществления абонентский узел уведомляет провайдерский граничный узел, и тогда провайдерский граничный узел обращается к ТПРАС, чтобы определить причину сбоя. Если сбой вызван нарушением сетевого взаимодействия между его поддерживающими провайдерскими граничными узлами, то абонентский узел может подавить выдачу вторичного аварийного сигнала абонентским узлом. Если нарушения сетевого взаимодействия между поддерживающими провайдерскими граничными узлами не обнаружено, то абонентский узел может сообщить о нарушении сетевого взаимодействия своим одноранговым узлам, показывая, что причиной нарушения сетевого взаимодействия является его собственный административный домен.
В другом варианте осуществления первичное нарушение соединения провайдерского граничного узла не обязательно влияет на сетевое взаимодействие абонентского узла с его одноранговыми узлами. Если существуют несколько маршрутов через домен провайдера, то может быть найдено вторичное соединение для преодоления сбоя первичного соединения. Таким образом, для провайдерского граничного узла отсутствует необходимость распространять сведения о сбое на свой абонентский узел.
Краткое описание чертежей
Для более полного понимания настоящего изобретения и его преимуществ ниже приведено описание вместе с сопровождающими чертежами, на которых одинаковые номера позиций обозначают одинаковые элементы:
на фиг.1 показан один вариант таблицы подавления реплицированных аварийных сигналов, соответствующей сети с коммутацией пакетов, согласно данному изобретению;
на фиг.2 показан один вариант упрощенной сети с коммутацией пакетов, обеспечивающей связь между граничными узлами и абонентскими узлами согласно данному изобретению;
на фиг.3 показана блок-схема алгоритма, иллюстрирующая пассивное распространение и подавление аварийного сигнала для сети с коммутацией пакетов согласно данному изобретению;
на фиг.4 показан один вариант упрощенной сети с коммутацией пакетов, в которой имеется альтернативный маршрут через домен провайдера для установления соединений между абонентскими объектами согласно данному изобретению.
Варианты осуществления изобретения
Заявленное изобретение раскрыто ниже вместе с некоторыми примерами его реализации. Однако понятно, что приведенные ниже варианты осуществления не ограничивают раскрытое изобретение. Хотя подробно описано только несколько примеров реализации заявленного изобретения, специалистам в данной области техники понятно, что возможны многочисленные варианты примеров реализации. Подразумевается, что в приведенном далее описании предусмотрены варианты изменения и замены, и в некоторых случаях некоторые признаки изобретения будут задействованы без соответствующего применения других признаков.
Таблица согласно настоящему изобретению представляет собой таблицу подавления реплицированных аварийных сигналов, соответствующую сети с коммутацией пакетов в соответствии с фиг.1
Сеть с коммутацией пакетов, представленная на фиг.1, содержит провайдерскую сеть 110 и множество абонентских объектов, включая объект 102, объект 104, объект 106, объект 108, объект 122, объект 124,объект 126 и объект 128. Провайдерская сеть 110 содержит множество провайдерских граничных узлов, включая граничный узел U, граничный узел V, граничный узел W, граничный узел X, граничный узел Y и граничный узел Z, а также множество внутренних узлов провайдерской сети, не показанных на фиг.1. Каждый абонентский объект может содержать по меньшей мере один абонентский узел.
Специалисту в данной области техники ясно, что некоторые термины в этом изобретении могут иметь следующие толкования: домен, обеспечивающий сетевое взаимодействие с другими доменами, можно назвать «провайдерской сетью»; «провайдерская сеть» может быть, а может и не быть сетью провайдеров услуг; простая провайдерская сеть может быть физическим каналом, соединяющим два домена, или ряд узлов; граничный узел в «провайдерской сети» можно назвать провайдерским граничным узлом; домен, который получает часть своей сетевого взаимодействия от другого домена, может быть назван «абонентской сетью»; узлы в «абонентской сети» можно назвать абонентскими узлами.
Как показано на фиг.1, объект 102 содержит абонентский узел а, объект 104 содержит абонентский узел b, объект 106 содержит абонентский узел с, объект 108 содержит абонентский узел d, объект 122 содержит абонентский узел е, объект 124 содержит абонентский узел f, объект 126 содержит абонентский узел g и объект 128 содержит абонентский узел h и абонентский узел i. Провайдерская сеть 110 соединена с каждым абонентским объектом через соединения между каждым провайдерским граничным узлом и каждым абонентским узлом. На фиг.1 показаны первичные соединения между каждым провайдерским граничным узлом и каждым абонентским узлом. Граничный узел U соединен с абонентским узлом а и абонентским узлом b, граничный узел V соединен с абонентским узлом с, граничный узел W соединен с абонентским узлом d, граничный узел Х соединен с абонентским узлом е и граничный узел Z соединен с абонентским узлом f, абонентским узлом g, абонентским узлом h и абонентским узлом i.
Чтобы провайдерский граничный узел мог определить, является ли провайдерское нарушение сетевого взаимодействия причиной конкретного абонентского нарушения сетевого взаимодействия, провайдерскому граничному узлу может потребоваться таблица для отслеживания проверки абонентов с других граничных узлов. На фиг.1 показана таблица подавления реплицированных аварийных сигналов (ТПРАС) (см. табл.1). Таблица 1 соответствует сетевому взаимодействию между каждым провайдерским граничным узлом и каждым абонентским узлом в сети с коммутацией пакетов. В таблице 1 один столбец определяет связи промежуточного пункта домена обслуживания (ППДО (MIP)) согласно 1ЕЕЕ802.1аg, который содержит граничный узел U, граничный узел V, граничный узел W, граничный узел X, граничный узел Y и граничный узел Z. Другой столбец устанавливает связи конечного пункта ассоциирования обслуживания (КПАО (МЕР)) согласно 1ЕЕЕ802.1аg, содержащего абонентский узел а, абонентский узел b, абонентский узел с, абонентский узел d, абонентский узел е, абонентский узел f, абонентский узел g, абонентский узел h и абонентский узел i. Как показано в таблице 1, каждый ППДО (MIP) соответствует каждому КПАО (МЕР) согласно первичному сетевому взаимодействию между каждым провайдерским граничным узлом и каждым абонентским узлом в сети с коммутацией пакетов, т.е., граничный узел U в ППДО (MIP) связан с абонентским узлом а и абонентским узлом b в КПАО (МЕР), граничный узел V в ППДО (MIP) связан с абонентским узлом с, граничный узел W в ППДО (MIP) связан с абонентским узлом d, граничный узел Х в ППДО (MIP) связан с абонентским узлом е и граничный узел Z в ППДО (MIP) связан с абонентским узлом f, абонентским узлом g, абонентским узлом h и абонентским узлом i в КПАО (МЕР).
В одном варианте осуществления таблица 1 может быть задана путем регистрации каждого абонентского объекта в провайдерском граничном узле из числа узлов, относящихся к этому абонентскому объекту, причем эта таблица имеется в каждом провайдерском граничном узле. Каждый граничный узел посылает свою собственную ТПРАС во все остальные граничные узлы сети с коммутацией пакетов. Таблица 1 динамически задает связи для каждого ППДО (М1Р)/КПАО (МЕР) в процессе регистрации путем вставки или удаления соединений между провайдерским граничным узлом (например, граничным узлом W) и абонентским узлом (например, абонентским узлом d).
Как показано на фиг 1, при нарушении сетевого взаимодействия между граничным узлом W и граничным узлом Z граничный узел W, используя таблицу 1, может распознать, что потеря его сетевого взаимодействия с граничным узлом Z является причиной нарушения сетевого взаимодействия абонентского узла d с узлом f/g/h/j. Более того, используя таблицу 1, абонентский узел d может узнать, что граничный узел Z соединен с абонентским узлом f, абонентским узлом g, абонентским узлом h и абонентским узлом i. Тогда абонентский узел d получает право не сообщать в NMS о неисправностях вторичных соединений. Эти неисправности вторичных соединений содержат соединения между абонентским узлом d и абонентским узлом f, абонентским узлом d и абонентским узлом g, абонентским узлом d и абонентским узлом h, а также между абонентским узлом d и абонентским узлом i. Этот процесс подавляет выдачу аварийного сигнала, предотвращая возможное переполнение аварийными сигналами сети с коммутацией пакетов.
На фиг.2 показана упрощенная сеть с коммутацией пакетов, которая обеспечивает связь между провайдерскими граничными узлами и абонентскими узлами. Абонентский узел 231 представляет собой один из абонентских узлов на одной стороне упрощенной провайдерской сети с коммутацией пакетов. Абонентский узел 233 и абонентский узел 235 представляют собой два пользовательских узла на противоположной стороне упрощенной провайдерской сети с коммутацией пакетов. Провайдерский граничный узел 202 соединен с абонентским узлом 231, а провайдерский граничный узел 204 соединен с абонентским узлом 233 и абонентским узлом 235. Дополнительно провайдерский граничный узел 202 соединен с провайдерским граничным узлом 204. Если нарушено сетевое взаимодействие между провайдерским граничным узлом 202 и провайдерским граничным узлом 204, абонентский узел 231 может потерять сетевое взаимодействие с обоими абонентскими узлами 233 и 235.
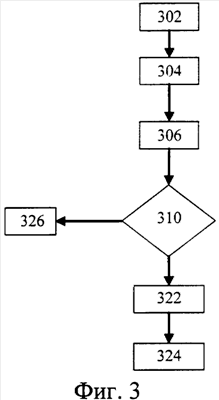
На фиг.3 показана блок-схема алгоритма процесса пассивного распространения и подавления аварийных сигналов для сети с коммутацией пакетов согласно заявленному изобретению. Процесс начинается, когда абонентский узел 231 (см. фиг.2) теряет сетевое взаимодействие с абонентским узлом 235 на шаге 302. На шаге 304 абонентский узел посылает запрос в провайдерский граничный узел 202. Когда сеть с коммутацией пакетов получает такой запрос, то на шаге 306 проверяется ТПРАС в провайдерском граничном узле 202. Потом выполняется шаг 310, чтобы определить, является ли причиной нарушения сетевого взаимодействия потеря сетевого взаимодействия между провайдерским граничным узлом 202 и провайдерским граничным узлом 204. Если результат шага 310 показывает, что между провайдерским граничным узлом 202 и провайдерским граничным узлом 204 никакого сбоя нет, то провайдерский граничный узел 202 сообщает абонентскому узлу 233, который связан с провайдерским граничным узлом 202, что в провайдерской сети сбоев нет. Если результат шага 310 показывает, что причиной нарушения сетевого взаимодействия между абонентскими узлами 231 и 233/235 является нарушение сетевого взаимодействия между провайдерским граничным узлом 202 и провайдерским граничным узлом 204, то провайдерский граничный узел 202 уведомляет абонентский узел 231 на шаге 322, и на шаге 324 абонентский узел 231 может подавить выдачу вторичного аварийного сигнала о потере сетевого взаимодействия, в данном случае, на абонентский узел 233.
На фиг.4 показана упрощенная сеть с коммутацией пакетов, в которой имеется альтернативный маршрут через провайдерскую сеть 410 для установления соединений между объектами пользователей. На фиг.4 абонентский узел 431 представляет собой один из абонентских узлов на одной стороне сети 410. Абонентский узел 433, абонентский узел 435 и абонентский узел 437 представляют собой абонентские узлы на противоположной стороне сети 410. Абонентский узел 437 соединен и с абонентским узлом 433, и с абонентским узлом 435.
Также на фиг.4 показано, что провайдерский граничный узел 402, провайдерский граничный узел 404, провайдерский граничный узел 406 и провайдерский граничный узел 408 представляют собой четыре провайдерских граничных узла в сети 410; при этом провайдерский граничный узел 402 соединен с провайдерским граничным узлом 404, а провайдерский граничный узел 406 соединен с провайдерским граничным узлом 408. Дополнительно абонентский узел 431 соединен и с провайдерским граничным узлом 402, и с провайдерским граничным узлом 406. Абонентский узел 433 соединен с провайдерским граничным узлом 408, а абонентский узел 435 соединен с провайдерским граничным узлом 404.
При нарушении сетевого взаимодействия между абонентским узлом 431 и абонентским узлом 435 из-за нарушения сетевого взаимодействия между провайдерским граничным узлом 402 и провайдерским граничным узлом 404, абонентский узел 431 может потерять первичный маршрут соединения с абонентским узлом 435 через соединение между провайдерским граничным узлом 402 и провайдерским граничным узлом 404. Однако абонентский узел 431 может быть соединен с абонентским узлом 435 через альтернативный маршрут.
Как показано на фиг.4, альтернативным маршрутом соединения между абонентским узлом 431 и абонентским узлом 435 может быть маршрут от абонентского узла 431 к граничному узлу провайдера 406, к граничному узлу провайдера 408, к абонентскому узлу 433, к абонентскому узлу 437 и к абонентскому узлу 435. В этом случае абонентскому узлу 431 не обязательно выводить аварийный сигнал в NMS, соединенную с абонентским узлом 431; тем самым уменьшается избыточная выдача аварийных сигналов в упрощенной сети с коммутацией пакетов.
Приведенное выше описание раскрытых вариантов осуществления предназначено для того, чтобы специалисты в данной области техники могли использовать это изобретение. Для специалистов в данной области техники будут совершенно очевидны различные возможные модификации этих вариантов, и определенные здесь общие принципы могут быть применены к другим вариантам, не выходя за рамки сущности или объема изобретения. Таким образом, заявленное изобретение не ограничено представленными здесь вариантами, это изобретение соответствует самому широкому объему, согласно раскрытым выше принципам и новым признакам.
Формула изобретения
1. Система для пассивного распространения и подавления аварийного сигнала в сети связи, содержащая: сеть с коммутацией пакетов, содержащую первую группу доменов, обеспечивающих сетевое взаимодействие со второй группой доменов, и множество граничных узлов; множество абонентских узлов, причем каждый узел из множества абонентских узлов соединен по меньшей мере с одним узлом из множества граничных узлов; причем каждый узел из множества граничных узлов содержит таблицу, устанавливающую соответствие множества соединений между каждым узлом из множества абонентских узлов и по меньшей мере одним узлом из множества граничных узлов; и абонентский узел выполнен с возможностью, при обнаружении нарушения сетевого взаимодействия со своими одноранговыми узлами, уведомления граничного узла, соединенного с данным абонентским узлом, а граничный узел выполнен с возможностью обращения к таблице для определения причины нарушения; при этом абонентский узел дополнительно имеет возможность определения, нужно ли распространять или подавлять аварийный сигнал в зависимости от того, вызвано ли данное нарушение провайдерским доменом, поддерживающим абонентский узел.
2. Система по п.1, в которой сеть с коммутацией пакетов содержит провайдерскую сеть с коммутацией пакетов.
3. Система по п.1, в которой множество граничных узлов содержит: первый граничный узел, соединенный с первым абонентским узлом; и второй граничный узел, соединенный со вторым абонентским узлом; причем первый граничный узел обращается к таблице для определения соединения между первым граничным узлом и вторым граничным узлом, когда первый абонентский узел посылает сообщение в первый граничный узел, сообщая о нарушении соединения между первым абонентским узлом и вторым абонентским узлом.
4. Система по п.3, в которой если первый граничный узел определит, что нарушение соединения является результатом нарушения сетевого взаимодействия между первой группой доменов и второй группой доменов, то первый граничный узел сообщает первому абонентскому узлу, что произошло нарушение сетевого взаимодействия между первой группой доменов и второй группой доменов.
5. Система по п.3, в которой если первый граничный узел определит, что нарушение соединения между первым граничным узлом и вторым граничным узлом не является результатом нарушения сетевого взаимодействия между первой группой доменов и второй группой доменов, то первый граничный узел уведомляет первый абонентский узел, а первый абонентский узел, в свою очередь, выдает в систему управления, соединенную с первым абонентским узлом, аварийный сигнал о том, что между первой группой доменов и второй группой доменов отсутствует нарушение сетевого взаимодействия.
6. Система по п.1, в которой таблица содержит: первый столбец, содержащий множество промежуточных пунктов домена обслуживания (ППДО (MIP)); второй столбец, содержащий множество конечных пунктов ассоциирования обслуживания (КПАО (МЕР)); взаимосвязь между каждым из множества ППДО (MIP) и каждым из множества КПАО (МЕР).
7. Система по п.6, в которой таблица задана динамически с использованием клиентской регистрации вставки или удаления каждого узла из множества абонентских узлов для по меньшей мере одного узла из множества граничных узлов.
8. Система по п.6, в которой таблица идентифицирует, соединен ли каждый узел из множества абонентских узлов по меньшей мере с одним из множества граничных узлов.
9. Способ пассивного распространения и подавления аварийного сигнала сети связи, содержащий следующие шаги: использование сети с коммутацией пакетов, содержащей первую группу доменов, обеспечивающих сетевое взаимодействие со второй группой доменов, и множество граничных узлов; обеспечение множества абонентских узлов, причем каждый узел из множества абонентских узлов соединен по меньшей мере с одним узлом из множества граничных узлов; обеспечение таблицы, устанавливающей соответствие множества соединений между каждым узлом из множества абонентских узлов и по меньшей мере одним узлом из множества граничных узлов; абонентский узел при обнаружении нарушения сетевого взаимодействия со своими одноранговыми узлами уведомляет граничный узел, соединенный с данным абонентским узлом, а граничный узел обращается к таблице для определения причины нарушения; и абонентский узел определяет, нужно ли передавать или подавить аварийный сигнал в зависимости от того, вызвано ли данное нарушение провайдерским доменом, поддерживающим абонентский узел.
10. Способ по п.9, в котором сеть с коммутацией пакетов содержит провайдерскую сеть с коммутацией пакетов.
11. Способ по п.9, в котором множество граничных узлов содержит: первый граничный узел, соединенный с первым абонентским узлом; и второй граничный узел, соединенный со вторым абонентским узлом; причем первый граничный узел обращается к таблице для определения соединения между первым граничным узлом и вторым граничным узлом, когда первый абонентский узел посылает сообщение в первый граничный узел, сообщая о нарушении соединения между первым абонентским узлом и вторым абонентским узлом.
12. Способ по п.9, в котором если первый граничный узел определит, что нарушение соединения является результатом нарушения сетевого взаимодействия между первой группой доменов и второй группой доменов, то первый граничный узел сообщает первому абонентскому узлу, что произошло нарушение сетевого взаимодействия между первой группой доменов и второй группой доменов.
13. Способ по п.9, в котором если первый граничный узел определит, что нарушение соединения между первым граничным узлом и вторым граничным узлом не является результатом нарушения сетевого взаимодействия между первой группой доменов и второй группой доменов, то первый граничный узел уведомляет первый абонентский узел, а первый абонентский узел, в свою очередь, выдает в систему управления, соединенную с первым абонентским узлом, аварийный сигнал о том, что между первой группой доменов и второй группой доменов отсутствует нарушение сетевого взаимодействия.
14. Способ по п.9, в котором каждый узел из множества граничных узлов содержит таблицу.
15. Способ по п.9, в котором таблица содержит: первый столбец, содержащий множество промежуточных пунктов домена обслуживания (ППДО (MIP)); второй столбец, содержащий множество граничных пунктов ассоциирования обслуживания (КПАО (МЕР)); взаимосвязь между каждым из множества ППДО (MIP) и каждым из множества КПАО (МЕР).
16. Способ по п.15, в котором таблицу задают динамически с использованием клиентской регистрации вставки или удаления каждого узла из множества абонентских узлов, по меньшей мере, для одного узла из множества граничных узлов.
17. Способ по п.15, в котором таблица идентифицирует, соединен ли каждый узел из множества абонентских узлов по меньшей мере с одним узлом из множества граничных узлов.
18. Способ пассивного распространения и подавления аварийного сигнала в сети связи, содержащий следующие шаги: использование провайдерской сети с коммутацией пакетов, содержащей первый провайдерский граничный узел и второй провайдерский граничный узел; обеспечение первого абонентского узла, соединенного с первым провайдерским граничным узлом и первым множеством одноранговых абонентских узлов, и второго абонентского узла, соединенного со вторым провайдерским граничным узлом и вторым множеством одноранговых абонентских узлов; и обеспечение таблицы, устанавливающей соответствие соединения между первым провайдерским граничным узлом и первым абонентским узлом и соединения между вторым провайдерским граничным узлом и вторым абонентским узлом; причем первый провайдерский граничный узел обращается к таблице для определения соединения между первым провайдерским граничным узлом и вторым провайдерским граничным узлом, когда первый абонентский узел посылает сообщение в первый провайдерский граничный узел, сообщая о нарушении соединения между первым абонентским узлом и вторым абонентским узлом, и первый абонентский узел определяет, нужно ли передать или подавить аварийный сигнал в зависимости от того, сообщает ли о данном нарушении первый провайдерский граничный узел.
19. Способ по п.18, в котором если первый провайдерский граничный узел определяет нарушение соединения между первым провайдерским граничным узлом и вторым провайдерским граничным узлом и это нарушение влияет на сетевое взаимодействие между первым абонентским узлом и вторым абонентским узлом, то первый провайдерский граничный узел уведомляет об этом первый абонентский узел, а первый абонентский узел, в свою очередь, подавляет выдачу аварийного сигнала для первой группы одноранговых абонентских узлов.
20. Способ по п.18, в котором если первый провайдерский граничный узел определяет отсутствие нарушения соединения между первым провайдерским граничным узлом и вторым провайдерским граничным узлом, то первый провайдерский граничный узел уведомляет об этом первый абонентский узел и первый абонентский узел, в свою очередь, выдает аварийный сигнал в первую группу одноранговых абонентских узлов.
21. Способ по п.18, в котором если первый провайдерский граничный узел определяет наличие нарушения соединения между первым провайдерским граничным узлом и вторым провайдерским граничным узлом и это нарушение не влияет на сетевое взаимодействие между первым абонентским узлом и вторым абонентским узлом, то первый провайдерский граничный узел уведомляет об этом первый абонентский узел, а первый абонентский узел, в свою очередь, выводит отчет о нарушении сетевого взаимодействия для первого множества одноранговых абонентских узлов.
22. Способ по п.18, в котором первый провайдерский граничный узел и второй провайдерский граничный узел содержат таблицу.
23. Способ по п.18, в котором таблица содержит: первый столбец, содержащий множество промежуточных пунктов домена обслуживания (ППДО (МIР)); второй столбец, содержащий множество граничных пунктов ассоциирования обслуживания (КПАО (МЕР)); взаимосвязь между каждым из множества ППДО (МIР) и каждым из множества КПАО (МЕР).
24. Способ по п.23, в котором таблицу задают динамически с использованием клиентской регистрации вставки или удаления первого абонентского узла в первом провайдерском граничном узле и клиентской регистрации вставки или удаления второго абонентского узла во втором провайдерском граничном узле.
25. Способ по п.23, в котором таблица идентифицирует, соединен ли первый абонентский узел с первым провайдерским граничным узлом и соединен ли второй абонентский узел со вторым провайдерским граничным узлом.
РИСУНКИ
|
|