|
|
(21), (22) Заявка: 2008131354/09, 29.07.2008
(24) Дата начала отсчета срока действия патента:
29.07.2008
(46) Опубликовано: 10.05.2010
(56) Список документов, цитированных в отчете о поиске:
RU 2003117826 А, 20.01.2005. US 4952193, 28.08.1990. EP 0874469 A2, 28.10.1998. EP 0521525 A2, 07.01.1993. US 6140869 A, 31.10.2000.
Адрес для переписки:
394006, г.Воронеж, Университетская пл., 1, ГОУВПО “Воронежский государственный университет”, Центр коммерциализации технологий
|
(72) Автор(ы):
Косарев Виктор Николаевич (RU), Парфенов Владимир Иванович (RU), Ужахова Тамара Султановна (RU), Яцкина Екатерина Ильинична (RU)
(73) Патентообладатель(и):
Государственное образовательное учреждение высшего профессионального образования “Воронежский государственный университет” Центр коммерциализации технологий (RU)
|
(54) УСТРОЙСТВО ВЫДЕЛЕНИЯ УЗКОПОЛОСНОГО РАДИОСИГНАЛА ИЗ АДДИТИВНОЙ СМЕСИ С УЗКОПОЛОСНЫМИ ПОМЕХАМИ
(57) Реферат:
Изобретение относится к технике связи и может быть использовано для повышения помехоустойчивости приема узкополосного сигнала за счет компенсации узкополосных помех. Достигаемый технический результат – улучшение качества компенсации помехи. Устройство содержит несколько последовательно соединенных идентичных звеньев, каждое из которых содержит два блока задержки, два сумматора, усилитель и вычитатель. 7 ил.
Предлагаемое изобретение относится к технике радиосвязи и может быть использовано для повышения помехоустойчивости приема узкополосных радиосигналов за счет компенсации аддитивных узкополосных помех в узкополосной системе радиосвязи.
Известные устройства компенсации помех требуют наличия двух приемных устройств – основного и компенсационного, причем компенсационное должно выделять помеховый сигнал, а основное – смесь полезного и помехового сигналов, что является достаточно сложно реализуемым на практике (см., например, патент SU 1807570, Н04В 1/10).
10, стр.69-88), в котором формируется дополнительный опорный помеховый сигнал, частично или полностью коррелированный с входным помеховым сигналом, который подвергается адаптивной фильтрации, после чего он вычитается из наблюдаемых данных. Недостатком этого устройства является необходимость формирования опорного помехового сигнала, полностью коррелированного с входным.
Наиболее близким по технической сущности к предлагаемому решению является устройство компенсации внутриканальных аддитивных помех по заявке 2003117826/09, Н04В 1/10 от 10.06.2003 г., принятое за прототип.
Структурная схема устройства-прототипа приведена на фиг.1, где обозначено:
1, 2 – первый и второй блоки задержки входного сигнала;
3, 4, 5 – первый, второй и третий сумматоры;
6 – усилитель;
7 – вычитатель.
Устройство-прототип содержит последовательно соединенные первый 1 и второй 2 блоки задержки входного сигнала, выход которого подключен к первому входу первого сумматора 3, выход которого соединен с первым входом третьего сумматора 5, выход которого через усилитель 6 соединен с первым входом вычитателя 7, выход которого является выходом устройства. Кроме того, выход первого блока задержки 1 соединен со вторыми входами первого 3 и второго 4 сумматоров и вычитателя 7. При этом выход второго сумматора 4 соединен со вторым входом третьего сумматора 5. Первый вход второго сумматора 4 соединен с входом первого блока задержки 1 и является входом устройства.
Анализ устройства-прототипа показывает, что у него есть, по крайней мере, один очень существенный недостаток – невозможность полной компенсации нескольких узкополосных помех. Еще одним, уже не столь существенным недостатком, является некоторая сложность конструкции самого устройства. Действительно, рассмотрим в качестве примера следующую ситуацию. Предположим, что на вход устройства-прототипа поступает аддитивная смесь x(t) полезного сигнала s(t) и помехи (t). Для простоты изложения положим, что полезный сигнал представляет собой обычный гармонический сигнал

а помеха – сумму М гармонических сигналов i(t)

Как показывают исследования, принципиальные выводы останутся неизменными, если вместо сигнала (1) и помехи (2) рассмотреть более реальные модели сигнала и помехи

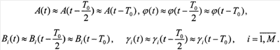
при условии сохранения их узкополосности. В этом случае функции A(t), (t), Bi(t) и i(t) должны являться медленными функциями времени, так что для них должны выполняться следующие условия:


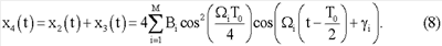
Таким образом, реализация наблюдаемых данных выглядит следующим образом:

т.е. представляет собой аддитивную смесь узкополосного сигнала s(t) и узкополосной помехи (t).
Положим М=5, т.е. количество помеховых составляющих в (2) равно 5 с частотами i, удовлетворяющими условиям:

Учтем, что устройство-прототип по своей сути – это линейный фильтр, и вычислим его частотный коэффициент передачи

– коэффициент усиления фильтра 6 (см. фиг.1). На фиг.2 изображена амплитудно-частотная характеристика (АЧХ) этого фильтра (в децибелах). Несложно заметить, что эта АЧХ достигает своего минимума только в одной точке на частотной оси, соответствующей частоте помехи 1 (точнее, таких точек, соответствующих минимуму частотного коэффициента передачи, будет две – с частотой 1 и частотой, симметричной относительно несущей частоты). Следовательно, остальные частотные составляющие (на частотах 2– 5 будут компенсированы не полностью).
Таким образом, действительно, устройство-прототип не может осуществить полного подавления всех частотных составляющих помехи (2).
Технический результат заключается в улучшении качества компенсации помехи за счет последовательного многократного подавления, позволяющего подавить все помеховые составляющие, попадающие в полосу пропускания предлагаемого устройства.
Подобная компенсация не зависит от априорных сведений об амплитудных и фазовых изменениях сигнала и помехи, достаточно лишь знания количества и самих центральных частот спектров сигнала (1) и помеховых составляющих в (2).
Технический результат достигается тем, что устройство выделения узкополосного радиосигнала из аддитивной смеси с узкополосными помехами, содержащее первый и второй блоки задержки реализации наблюдаемых данных, первый и второй сумматоры входных сигналов и сигналов, задержанных на половину периода несущей частоты полезного сигнала, усилитель и вычитатель, соединенные последовательно, выход первого блока задержки соединен с первым входом первого сумматора, а также со вторым входом вычитателя, согласно изобретению оно состоит из нескольких последовательно соединенных идентичных звеньев, содержащих все перечисленные выше блоки и различающихся только коэффициентами усиления усилителей, в каждом из звеньев, дополнительно к перечисленным связям, выход первого сумматора соединен со вторым входом второго сумматора и с входом второго блока задержки, выход которого соединен с первым входом второго сумматора, выход которого соединен со входом усилителя, вход первого блока задержки соединен со вторым входом первого сумматора и является входом соответствующего звена, выход вычитателя является выходом соответствующего звена устройства, причем входом 5 устройства является вход первого звена, а выходом – выход последнего звена.
В предложенном многозвенном устройстве каждое звено осуществляет подавление узкополосной помехи на заданной частоте, а их количество равно числу помеховых составляющих М (2). Причем каждое звено построено таким образом, чтобы выделить из наблюдаемых данных компенсирующий помеховый сигнал на данной частоте и вычесть его из входного сигнала. Все звенья последовательно соединены друг с другом, т.е. выход i-го звена является входом (i+1)-го звена, причем звенья отличаются друг от друга лишь разными коэффициентами усиления усилителей. В каждом звене устройства осуществляется суммирование входного сигнала с аналогичным сигналом, задержанным на половину периода несущей частоты полезного сигнала. Результат таких преобразований будет содержать в себе информацию только о помехе. Далее полученный сигнал складывается с сигналом, также задержанным на половину периода и усиленным до требуемого уровня. В результате получается компенсирующий сигнал, который в дальнейшем вычитается из входного.
На фиг.1 изображена структурная схема устройства-прототипа.
На фиг.2 приведена амплитудно-частотная характеристика устройства-прототипа.
На фиг.3,а представлена многозвенная структура последовательного типа предлагаемого устройства.
На фиг.3,б изображена структура i-го звена предлагаемого устройства.
На фиг.4 приведена амплитудно-частотная характеристика заявленного устройства.
На фиг.5 изображена реализация наблюдаемых данных.
На фиг.6 изображен сигнал на выходе заявленного устройства.
На фиг.3,б обозначено: 1, 3 – первый и второй блоки задержки входного сигнал; 2, 4 – первый и второй сумматоры; 5 – усилитель; 6 – вычитатель.
Таким образом, i-е звено предлагаемого устройства содержит последовательно соединенные первый блок задержки входного сигнала 1 и вычитатель 6, выход которого является выходом устройства, при этом выход первого блока задержки 1 также подключен ко второму входу вычитателя 6 через последовательно соединенные первый сумматор 2, второй блок задержки 3, второй сумматор 4 и усилитель 5, причем второй вход второго сумматора 4 соединен с выходом первого сумматора 2, второй вход которого подключен к входу первого блока задержки, являющегося входом данного звена.
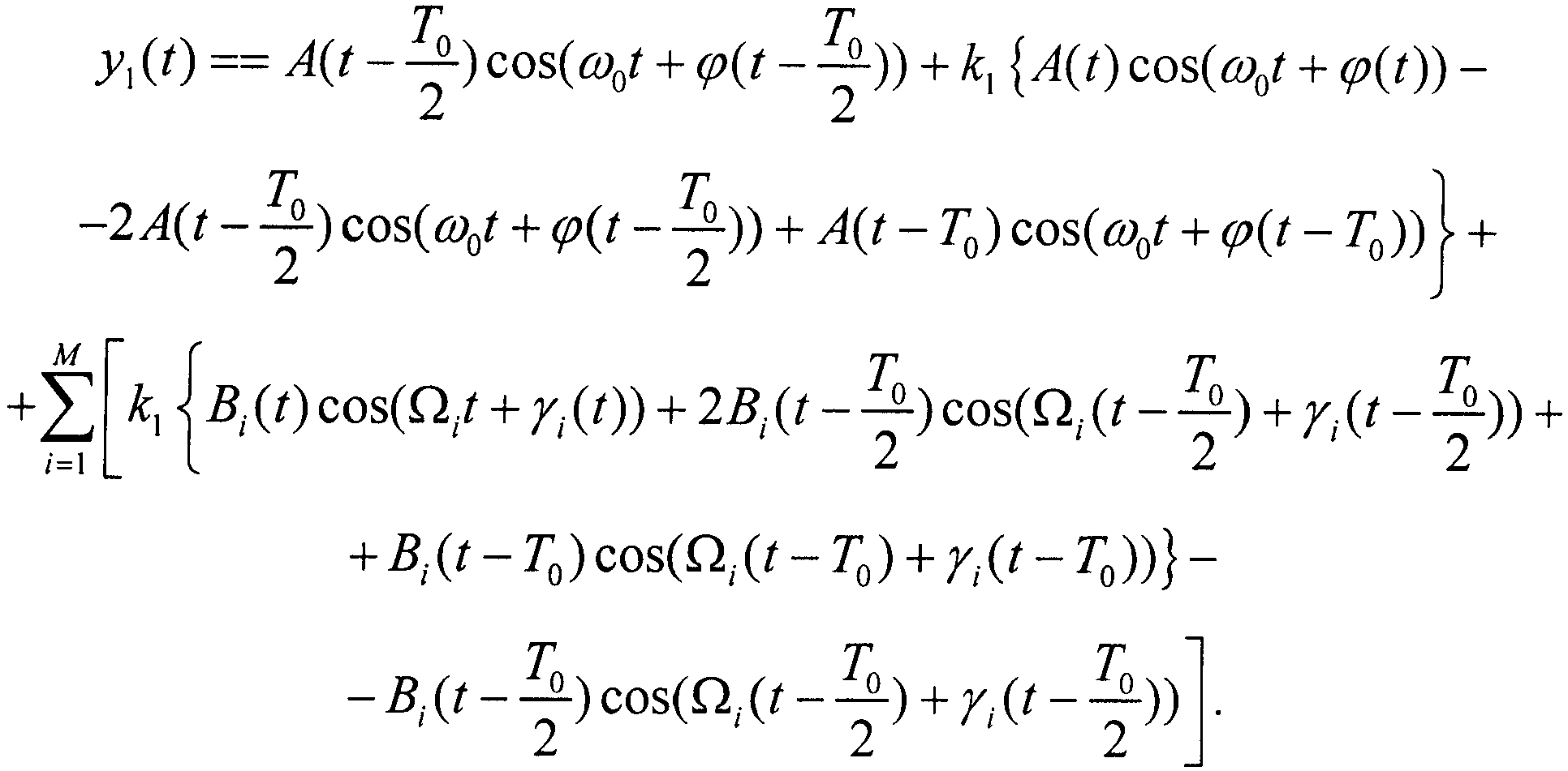
Работает предлагаемое устройство следующим образом. Рассмотрим вначале прохождение реализации наблюдаемых данных (5) через первое звено (i=1). Первый блок задержки 1 (см. фиг.3, 6) осуществляет задержку входного сигнала на время, равное половине периода несущего колебания полезного сигнала, т.е. на величину Т0/2= / 0. Следовательно, на выходе первого блока задержки получаем сигнал вида

Этот сигнал поступает на второй вход первого сумматора 2. При этом на выходе сумматора 2 получаем

Второй блок задержки 3 осуществляет задержку сигнала x2(t) на время, равное половине периода несущей частоты полезного сигнала / 2. В результате сигнал на выходе блока 3 может быть записан в виде

Далее этот сигнал x3(t) поступает на первый вход сумматора 4, где происходит его суммирование с сигналом x2(t) (7), поступающим с выхода 7 первого сумматора на второй вход сумматора 4. В результате сигнал на выходе второго сумматора 4 примет вид

Нетрудно заметить, что помеховые составляющие х4(t) и х2(t) отличаются друг от друга лишь амплитудными множителями (их частоты и фазы совпадают). Таким образом, (8) является компенсирующим помеховым сигналом, и поэтому дальнейшая обработка должна заключаться выделении полезного сигнала, частично очищенного от узкополосной помехи, путем вычитания из (6) этого компенсирующего помехового сигнала. Для реализации этого сигнал (8) необходимо усилить до уровня первой помеховой составляющей на выходе первого блока задержки 1. С этой целью сигнал x4(t) с выхода второго сумматора 4 подается на вход усилителя 5, где происходит его умножение входного сигнала на коэффициент k1, равный

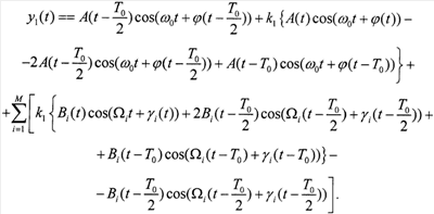
Отметим, что при таком выборе коэффициента k1 на выходе первого звена заявленного устройства будет скомпенсирована помеховая составляющая (2) на частоте 1. Остальные частотные составляющие помехи будут скомпенсированы лишь частично. Действительно, сигнал на выходе блока 5, очевидно, принимает вид x5(t)=k1x4(t). Далее этот сигнал поступает на второй вход вычитателя 6, причем на первый вход вычитателя поступает сигнал с выхода первого блока задержки 1 (6). В результате выходной сигнал первого звена заявленного устройства примет вид

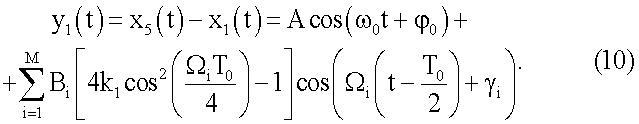
Из (10) следует, что в выходном сигнале первого звена заявленного устройства содержится неизменный входной полезный сигнал (1) и частично скомпенсированный помеховый сигнал (причем частотная составляющая этого сигнала на частоте 1 будет скомпенсирована полностью, а все остальные составляющие – лишь частично в i=4k1cos2( iT0/4)-1 раз).
Отметим, что если на входе заявленного устройства присутствует симметричная относительно несущей частоты 0 помеховая составляющая на частоте 0+ , где  =| 0– 1|, то эта составляющая также будет подавлена полностью.
Аналогично можно рассмотреть прохождение сигнала y1(t) (10) через следующее звено заявленного устройства. Достаточно не сложно показать, что, например, на выходе второго звена заявленного устройства (см.фиг.3,а) полезный сигнал (1) выделится без изменений, а в помеховом сигнале полностью подавится вторая помеховая составляющая на частоте 2 (при выборе коэффициента усиления блока 6 в виде k2=(2cos( 2T0/4))-2). Окончательно можно получить, что при прохождении сигнала (4), содержащего 5 помеховых составляющих, через заявленное устройство с 5-ю звеньями, различающимися только коэффициентами усиления (ослабления) блоков 6 (ki=(2cos( iT0/4))-2, i= , на выходе останется только полезный сигнал (1). На фиг.4 изображена АЧХ всего заявленного устройства с пятью звеньями. Несложно заметить, что в этой функции наблюдаются глубокие провалы при частотах, равных частотам помеховых составляющих.
Таким образом, в предлагаемом устройстве компенсация узкополосных аддитивных помех достигается за счет обеспечения настройки на помехи при отсутствии требований к фазовой синхронизации, причем компенсация происходит в реальном масштабе времени. Требуется лишь знание количества и самих центральных частот спектров сигнала (1) и помеховых составляющих (2). Кроме того, сравнивая фиг.1 и фиг.3,б, видим, что количество блоков в одном звене заявленного устройства уменьшилось по сравнению с количеством блоков в устройстве-прототипе.
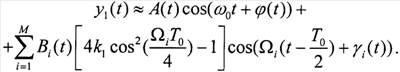
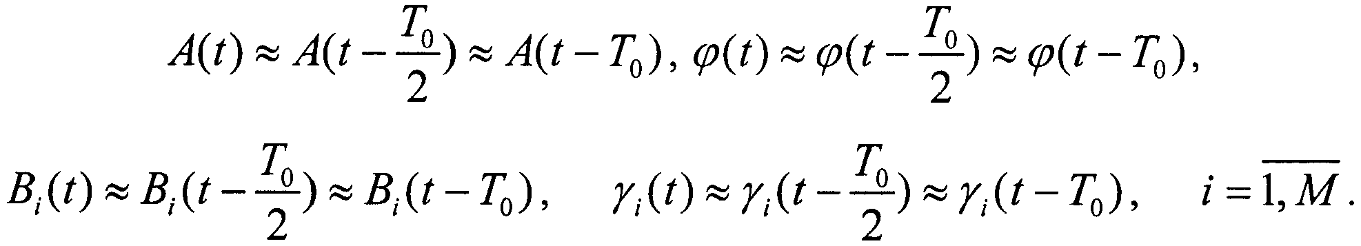
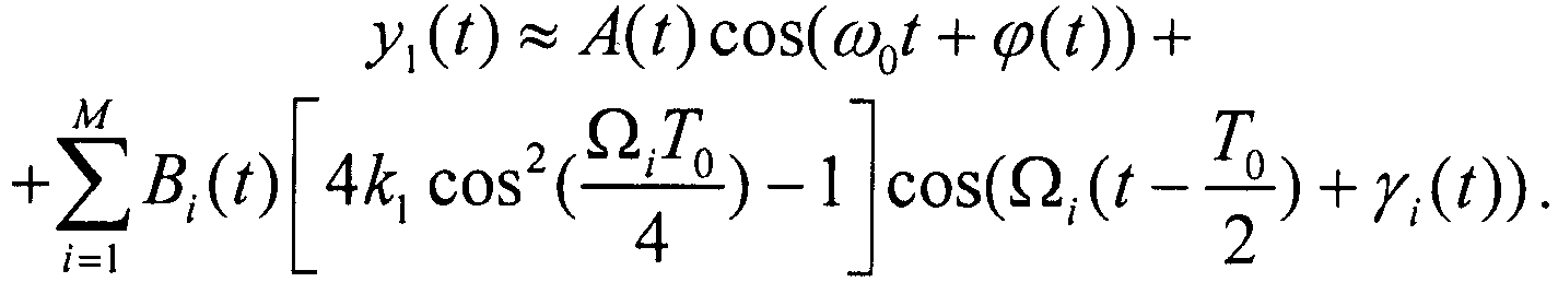
Отметим еще раз, что приведенный выше анализ рассматриваемого устройства выполнен для идеализированной ситуации, а именно при условии, что сигнал и помеха являются гармоническими функциями времени. Рассмотрим более общую модель узкополосных сигнала и помехи в виде (3) при выполнении условий узкополосности (4). Аналогичный (6)-(10) анализ приводит к следующему результату. На выходе первого звена (см.фиг.3,а) при коэффициенте усиления блока 6 (фиг.3,б), выбранном в соответствии с (9), сигнал приобретает вид

При выполнении условий (4) можно приближенно считать, что

Следовательно, сигнал на выходе первого блока задержки в этом случае будет приближенно равен

Несложно заметить, что, как и в (10), сигнал на выходе первого звена заявленного устройства состоит из двух слагаемых, первое из которых совпадает с полезным сигналом (3), а второе представляет собой частично скомпенсированный помеховый сигнал. Второе слагаемое в этом выражении будет скомпенсировано при прохождении через все звенья заявленного устройства. Конечно, данный вывод основан на некоторых приближениях, в частности требуется выполнение условий узкополосности (4). Рассмотрим, к чему приводит отклонение от этих условий. В качестве полезного сигнала и помехи возьмем бинарные фазоманипулированные сигналы. На фиг.5 изображена реализация наблюдаемых данных длиной 2 при T0/ =20, где – длительность, соответствующая одному биту передаваемой последовательности. Середина оси абцисс на этом чертеже соответствует «скачку» фазы на . На фиг.6 изображен сигнал на выходе заявленного устройства. Анализ этого чертежа свидетельствует о том, что на выходе заявленного устройства действительно происходит очищение полезного сигнала от помеховых сигналов. Отличия будут наблюдаться только в начале работы всей системы (пока не закончатся переходные процессы) и в моменты времени, соответствующие моментам изменения фазы сигнала и помех. Эти искажения сигнала занимают интервал времени, равный МТ0 (в рассматриваемом случае 5T0), что значительно меньше длительности одного сегмента сигнала , и эти искажения не оказывают влияния на изменение фазы сигнала. Более того, если в соответствующий момент времени «скачка» фазы нет, то и искажения в выходном сигнале заявленного устройства в этот момент времени также отсутствуют.
Подчеркнем еще раз, что при практической реализации данного устройства требуется лишь выполнение следующих условий: 1) необходимо точно знать центральные частоты спектров полезного сигнала и помеховых составляющих, 2) необходимо как можно более точное соблюдение условий узкополосности (4). Причем в предлагаемом устройстве выделение полезного узкополосного сигнала осуществляется за счет компенсации узкополосных аддитивных помех, причем эта компенсация происходит в реальном масштабе времени и достигается за счет обеспечения настройки на соответствующую компоненту помехи в каждом звене устройства при отсутствии требований к фазовой синхронизации. Практическая реализация заявленного устройства затруднений не вызывает, т.к. все блоки, входящие в это устройство, общеизвестны и описаны в технической литературе.
Формула изобретения
Устройство выделения узкополосного радиосигнала из аддитивной смеси с узкополосными помехами, содержащее первый и второй блоки задержки, первый и второй сумматоры, усилитель и вычитатель, соединенные последовательно, выход первого блока задержки соединен с первым входом первого сумматора, а также со вторым входом вычитателя, отличающееся тем, что оно состоит из нескольких последовательно соединенных идентичных звеньев, содержащих все перечисленные выше блоки и различающихся только коэффициентами усиления усилителей, в каждом из звеньев, дополнительно к перечисленным связям, выход первого сумматора соединен со вторым входом второго сумматора и с входом второго блока задержки, выход которого соединен с первым входом второго сумматора, выход которого соединен со входом усилителя, вход первого блока задержки соединен со вторым входом первого сумматора и является входом соответствующего звена, выход вычитателя является выходом соответствующего звена устройства, причем входом устройства является вход первого звена, а выходом – выход последнего звена, при этом в каждом из идентичных звеньев осуществляют суммирование сигнала с аналогичным сигналом, задержанным на половину периода несущей частоты полезного сигнала.
РИСУНКИ
|
|