|
|
(21), (22) Заявка: 2005127419/09, 31.08.2005
(24) Дата начала отсчета срока действия патента:
31.08.2005
(30) Конвенционный приоритет:
17.09.2004 US 10/944,235
(43) Дата публикации заявки: 10.03.2007
(46) Опубликовано: 10.05.2010
(56) Список документов, цитированных в отчете о поиске:
US 2003023430 A1, 2003.01.30. RU 2121719 C1, 1998.11.10. JP 2000250577 А, 2000.09.14. WO 97/22117 A1, 1997.06.19. JP 9284877 A, 1997.10.31.
Адрес для переписки:
129090, Москва, ул. Б.Спасская, 25, стр.3, ООО “Юридическая фирма Городисский и Партнеры”, пат.пов. Ю.Д.Кузнецову, рег. 595
|
(72) Автор(ы):
АСЕРО Алехандро (US), ДРОППО Джеймс Дж. (US), ХУАН Сюэдонг Дэвид (US), ЧЖАН Чжэню (US), ЛЮ Цзычэн (US)
(73) Патентообладатель(и):
МАЙКРОСОФТ КОРПОРЕЙШН (US)
|
(54) СПОСОБ И УСТРОЙСТВО ДЛЯ УЛУЧШЕНИЯ РЕЧИ С ПОМОЩЬЮ НЕСКОЛЬКИХ ДАТЧИКОВ
(57) Реферат:
Изобретение относится к понижению шума, в частности к удалению шума из речевых сигналов. Способ и устройство для определения оценки значения речевого сигнала определяют канальный отклик альтернативного датчика с использованием сигнала альтернативного датчика и сигнала микрофона воздушной звукопроводимости. Затем канальный отклик используется для оценивания чистого речевого значения с использованием, по меньшей мере, части сигнала альтернативного датчика. Технический результат – обеспечение оптимальной оценки значения речевых сигналов, когда шумовые условия тест-сигналов согласуются с шумовыми условиями обучающих сигналов. 3 н. и 23 з.п. ф-лы, 7 ил.
УРОВЕНЬ ТЕХНИКИ
Настоящее изобретение относится к понижению шума. В частности, настоящее изобретение относится к удалению шума из речевых сигналов.
Общей проблемой распознавания речи и передачи речи является искажение речевого сигнала аддитивным шумом. В частности, доказано, что искажение вследствие речи другого говорящего трудно обнаружить и/или исправить.
В последнее время была разработана система, которая пытается устранить шум с использованием комбинации альтернативного датчика, например, микрофона костной звукопроводимости, и микрофона воздушной звукопроводимости. Эта система обучается с использованием трех каналов обучения: зашумленного обучающего сигнала альтернативного датчика, зашумленного обучающего сигнала микрофона воздушной звукопроводимости и чистого обучающего сигнала микрофона воздушной звукопроводимости. Каждый из этих сигналов преобразуется в область признаков (компонентов речи). Признаки (характеристики) для зашумленного сигнала альтернативного датчика и зашумленного сигнала микрофона воздушной звукопроводимости комбинируются в единый вектор, представляющий зашумленный сигнал. Признаки для чистого сигнала микрофона воздушной звукопроводимости образуют единый чистый вектор. Затем эти векторы используются для обучения отображения между зашумленными векторами и чистыми векторами. После обучения отображения применяются к зашумленному вектору, образованному из комбинации зашумленного тест-сигнала альтернативного датчика и зашумленного тест-сигнала микрофона воздушной звукопроводимости. Это отображение создает вектор чистого сигнала.
Эта система недостаточно оптимальна, когда шумовые условия тест-сигналов не согласуются с шумовыми условиями обучающих сигналов, так как отображения предназначены для шумовых условий обучающих сигналов.
СУЩНОСТЬ ИЗОБРЕТЕНИЯ
Способ и устройство позволяют определять канальный отклик для альтернативного датчика с использованием сигнала альтернативного датчика и сигнала микрофона воздушной звукопроводимости. Затем канальный отклик используется для оценки чистого речевого значения с использованием, по меньшей мере, части сигнала альтернативного датчика.
КРАТКОЕ ОПИСАНИЕ ЧЕРТЕЖЕЙ
Фиг.1 – блок-схема одной вычислительной среды, в которой можно практически осуществить настоящее изобретение.
Фиг.2 – блок-схема альтернативной вычислительной среды, в которой можно практически осуществить настоящее изобретение.
Фиг.3 – блок-схема системы общей обработки речи, отвечающей настоящему изобретению.
Фиг.4 – блок-схема системы для улучшения речи согласно одному варианту осуществления настоящего изобретения.
Фиг.5 – блок-схема операций для улучшения речи согласно одному варианту осуществления настоящего изобретения.
Фиг.6 – блок-схема операций для улучшения речи согласно другому варианту осуществления настоящего изобретения.
Фиг.7 – блок-схема операций для улучшения речи согласно еще одному варианту осуществления настоящего изобретения.
ПОДРОБНОЕ ОПИСАНИЕ ИЛЛЮСТРАТИВНЫХ ВАРИАНТОВ ОСУЩЕСТВЛЕНИЯ
На фиг.1 показан пример подходящей среды 100 вычислительной системы, в которой можно реализовать изобретение. Среда 100 вычислительной системы является лишь одним примером подходящей вычислительной среды и не призвана накладывать какие-либо ограничения на объем использования или функциональные возможности изобретения. Кроме того, вычислительную среду 100 не следует рассматривать как имеющую какую-либо зависимость или требование в отношении любого компонента, проиллюстрированного в иллюстративной рабочей среде 100 или их комбинации.
Изобретение применимо ко многим другим средам или конфигурациям вычислительных систем общего назначения или специального назначения. Примеры общеизвестных вычислительных систем, сред и/или конфигураций, пригодных для применения изобретения, включают в себя, но без ограничения, персональные компьютеры, компьютеры-серверы, карманные или портативные устройства, многопроцессорные системы, системы на основе микропроцессора, телевизионные приставки, программируемую бытовую электронику, сетевые ПК, мини-компьютеры, универсальные компьютеры, телефонные системы, распределенные вычислительные среды, которые включают в себя любые из вышеперечисленных систем или устройств, и т.п.
Изобретение можно описать в общем контексте компьютерно-выполняемых команд, например, программных модулей, выполняемых компьютером. В общем случае, программные модули включают в себя процедуры, программы, объекты, компоненты, структуры данных и т.д., которые выполняют конкретные задачи или реализуют специфические абстрактные типы данных. Изобретение можно применять на практике в распределенных вычислительных средах, где задачи выполняются удаленными устройствами обработки, связанными друг с другом посредством сети передачи данных. В распределенной вычислительной среде программные модули размещаются как на локальных, так и на удаленных компьютерных носителях данных, включая запоминающие устройства.
Согласно фиг.1, иллюстративная система для реализации изобретения включает в себя вычислительное устройство общего назначения в виде компьютера 110. Компоненты компьютера 110 включают в себя, но без ограничения, процессор 120, системную память 130 и системную шину 121, которая подключает различные компоненты системы, в том числе системную память, к процессору 120. Системная шина 121 может относиться к любому из нескольких типов шинных структур, включая шину памяти или контроллер памяти, периферийную шину и локальную шину с использованием различных шинных архитектур. В порядке примера, но не ограничения, такие архитектуры включают в себя шину «архитектуры промышленного стандарта» (ISA), шину «микроканальной архитектуры» (MCA), шину расширенной ISA (EISA), локальную шину «ассоциации по стандартизации видеоэлектроники» (VESA) и шину «взаимосоединения периферийных компонентов» (PCI), также именуемую шиной расширения.
Компьютер 110 обычно включает в себя различные считываемые компьютером среды. Считываемые компьютером среды могут представлять собой любые имеющиеся среды, к которым компьютер 110 может осуществлять доступ, и включают в себя энергозависимые и энергонезависимые среды, сменные и стационарные среды. В порядке примера, но не ограничения, считываемые компьютером среды могут содержать компьютерные носители данных и среды передачи данных. Компьютерные носители данных включает в себя энергозависимые и энергонезависимые, сменные и стационарные носители, реализованные с помощью любого метода или технологии для хранения информации, например, считываемых компьютером команд, структур данных, программных модулей или других данных. Компьютерные носители данных включает в себя, но без ограничения, ОЗУ, ПЗУ, ЭСППЗУ, цифровые универсальные диски (DVD) или другие оптические диски, магнитные кассеты, магнитную ленту или другие магнитные запоминающие устройства или любой другой носитель, который можно использовать для хранения полезной информации и к которому компьютер 110 может осуществлять доступ. Среды передачи данных обычно реализуют считываемые компьютером команды, структуры данных, программные модули или другие данные в сигнале, модулированном данными, например, несущей волне или другом транспортном механизме, и включают в себя любые среды доставки информации. Термин «сигнал, модулированный данными» означает сигнал, одна или несколько характеристик которого изменяются таким образом, чтобы кодировать информацию в сигнале. В порядке примера, но не ограничения, среды передачи данных включает в себя проводные среды, например, проводную сеть или прямое проводное соединение, и беспроводные среды, например, акустические, РЧ, инфракрасные и другие беспроводные среды. Комбинации любых вышеперечисленных сред также подлежат включению в понятие считываемых компьютером сред.
Системная память 130 включает в себя компьютерные носители данных в виде энергозависимой и/или энергонезависимой памяти, например, постоянной памяти (ПЗУ) 131 и оперативной памяти (ОЗУ) 132. Базовая система ввода/вывода 133 (BIOS), содержащая основные процедуры, которые помогают переносить информацию между элементами компьютера 110, например, при запуске, обычно хранятся в ПЗУ 131. ОЗУ 132 обычно содержит данные и/или программные модули, к которым процессор 120 может непосредственно обращаться или которыми он в данный момент оперирует. В порядке примера, но не ограничения, на фиг.1 показаны операционная система 134, прикладные программы 135, другие программные модули 136 и программные данные 137.
Компьютер 110 также может включать в себя другие сменные/стационарные, энергозависимые/энергонезависимые компьютерные носители данных. Исключительно для примера, на фиг.1 показаны накопитель 141 на жестком диске, который считывает с или записывает на стационарный энергонезависимый магнитный носитель, накопитель 151 на магнитном диске, который считывает с или записывает на сменный энергонезависимый магнитный диск 152, и накопитель 155 на оптическом диске, который считывает с или записывает на сменный энергонезависимый оптический диск 156, например, CD-ROM или другой оптический носитель. Другие сменные/стационарные, энергозависимые/энергонезависимые компьютерные носители данных, которые можно использовать в иллюстративной рабочей среде, включают в себя, но без ограничения, кассеты с магнитной лентой, карты флэш-памяти, цифровые универсальные диски, цифровую видеоленту, полупроводниковое ОЗУ, полупроводниковое ПЗУ и т.д. Накопитель 141 на жестком диске обычно подключен к системной шине 121 через интерфейс стационарной памяти, например интерфейс 140, и накопитель 151 на магнитном диске и накопитель 155 на оптическом диске обычно подключены к системной шине 121 посредством интерфейса сменной памяти, например, интерфейса 150.
Накопители и соответствующие компьютерные носители данных, рассмотренные выше и показанные на фиг.1, обеспечивают хранение считываемых компьютером команд, структур данных, программных модулей и других данных для компьютера 110. Например, на фиг.1 показано, что в накопителе 141 жесткого диска хранятся операционная система 144, прикладные программы 145, другие программные модули 146 и программные данные 147. Заметим, что эти компоненты могут совпадать с или отличаться от операционной системы 134, прикладных программ 135, других программных модулей 136 и программных данных 137. Операционная система 144, прикладные программы 145, другие программные модули 146 и программные данные 147 обозначены здесь другими позициями, чтобы подчеркнуть, что они являются, как минимум, разными копиями.
Пользователь может вводить команды и информацию в компьютер 110 через устройства ввода, например, клавиатуру 162, микрофон 163 и указательное устройство 161, например, мышь, шаровой манипулятор или сенсорную панель. Другие устройства ввода (не показаны) могут включать в себя джойстик, игровую панель, спутниковую антенну, сканер и т.п. Эти и другие устройства ввода часто подключены к процессору 120 через интерфейс 160 пользовательского ввода, который подключен к системной шине, но могут подключаться посредством других интерфейсов и шинных структур, например, параллельного порта, игрового порта или универсальной последовательной шины (USB). Монитор 191 или устройство отображения другого типа также подключен к системной шине 121 через интерфейс, например, видеоинтерфейс 190. Помимо монитора, компьютеры также могут включать в себя другие периферийные устройства вывода, например громкоговорители 197 и принтер 196, которые могут подключаться через интерфейс 195 выходной периферии.
Компьютер 110 работает в сетевой среде с использованием логических соединений с одним или несколькими удаленными компьютерами, например удаленным компьютером 180. Удаленный компьютер 180 может представлять собой персональный компьютер, карманное устройство, сервер, маршрутизатор, сетевой ПК, равноправное устройство или другой общий сетевой узел, и обычно включает в себя многие или все элементы, описанные выше применительно к компьютеру 110. Логические соединения, описанные на фиг.1, включают в себя локальную сеть (ЛС) 171 и глобальную сеть (ГС) 173, но также могут включать в себя другие сети. Такие сетевые среды обычно применяются в учреждениях, компьютерных сетях в масштабе предприятия, интранетах и Интернете.
При использовании в сетевой среде ЛС, компьютер 110 подключен к ЛС 171 через сетевой интерфейс или адаптер 170. При использовании в сетевой среде ГС, компьютер 110 обычно включает в себя модем 172 или другое средство установления связи в ГС 173, например, Интернете. Модем 172, который может быть внутренним или внешним, может быть подключен к системной шине 121 через интерфейс 160 пользовательского ввода или другой пригодный механизм. В сетевой среде программные модули, описанные применительно к компьютеру 110, или часть из них могут храниться в удаленном запоминающем устройстве. В порядке примера, но не ограничения, на фиг.1 показано, что удаленные прикладные программы 185 размещены на удаленном компьютере 180. Заметим, что показанные сетевые соединения являются иллюстративными и можно использовать другие средства установления линии связи между компьютерами.
На фиг.2 показана блок-схема мобильного устройства 200, которое является иллюстративной вычислительной средой. Мобильное устройство 200 включает в себя микропроцессор 202, память 204, компоненты 206 ввода/вывода и интерфейс 208 передачи данных для связи с удаленными компьютерами или другими мобильными устройствами. В одном варианте осуществления вышеупомянутые компоненты соединены для связи друг с другом посредством подходящей шины 210.
Память 204 реализована как энергонезависимая электронная память, например, оперативная память (ОЗУ) с блоком батарейной поддержки (не показан), так что информация, хранящаяся в памяти 204, не теряется при отключении общего питания мобильного устройства 200. Часть памяти 204, предпочтительно, выделена как адресуемая память для выполнения программ, тогда как другая часть памяти 204, предпочтительно, используется для хранения, например, для имитации хранения в дисководе.
Память 204 включает в себя операционную систему 212, прикладные программы 214, а также хранилище 216 объектов. В ходе работы операционная система 212, предпочтительно, выполняется процессором 202 из памяти 204. Операционная система 212 в одном предпочтительном варианте осуществления представляет собой операционную систему WINDOWS® CE, коммерчески доступную от Microsoft Corporation. Операционная система 212, предпочтительно, предназначена для мобильных устройств и реализует особенности базы данных, которые могут использоваться приложениями 214 через набор открытых программных интерфейсов приложений и методов. Объекты в хранилище 216 объектов поддерживаются приложениями 214 и операционной системой 212, по меньшей мере, частично, в ответ на вызовы к открытым программным интерфейсам приложений и методам.
Интерфейс 208 передачи данных представляет многочисленные устройства и технологии, которые позволяют мобильному устройству 200 передавать и принимать информацию. Устройства включают в себя, помимо прочего, проводной и беспроводной модемы, спутниковые приемники и широковещательные тюнеры. Мобильное устройство 200 также может непосредственно подключаться к компьютеру для обмена данными с ним. В таких случаях интерфейс 208 передачи данных может представлять собой инфракрасный приемопередатчик или последовательное или параллельное соединение с передачей данных, любое устройство из которых способно передавать потоковую информацию.
Компоненты 206 ввода/вывода включают в себя разнообразные устройства ввода, например, сенсорный экран, кнопки, ролики и микрофон, а также разнообразные устройства вывода, включая аудиогенератор, вибрационное устройство и дисплей. Вышеперечисленные устройства носят иллюстративный характер и не обязаны присутствовать в мобильном устройстве 200. Кроме того, другие устройства ввода/вывода могут быть присоединены к мобильному устройству 200 или входить в его состав, в рамках объема настоящего изобретения.
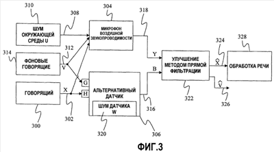
На фиг.3 изображена основная блок-схема вариантов осуществления настоящего изобретения. Согласно фиг.3 говорящий 300 генерирует речевой сигнал 302 (X), который регистрируется микрофоном 304 воздушной звукопроводимости и альтернативным датчиком 306. Примеры альтернативных датчиков включают в себя ларингофон, который измеряет горловые вибрации пользователя, датчик костной звукопроводимости, размещенный на или рядом с лицевой или черепной костью пользователя (например, челюстной костью) или в ухе пользователя, и воспринимает вибрации черепа и челюсти, которые соответствуют речи, генерируемой пользователем. Микрофон 304 воздушной звукопроводимости представляет собой микрофон такого типа, который обычно используется для преобразования акустических волн, распространяющихся в воздухе, в электрические сигналы.
Микрофон 304 воздушной звукопроводимости также принимает шум 308 окружающей среды (U), генерируемый одним или несколькими источниками 310 шума, и фоновую речь 312 (V), генерируемую фоновым(и) говорящим(и) 314. В зависимости от типа альтернативного датчика и уровня фоновой речи, фоновая речь 312 также может регистрироваться альтернативным датчиком 306. Однако, согласно вариантам осуществления настоящего изобретения, альтернативный датчик 306 обычно менее чувствителен к шуму окружающей среды и фоновой речи, чем микрофон 304 воздушной звукопроводимости. Таким образом, сигнал 316 альтернативного датчика (B), генерируемый альтернативным датчиком 306, в общем случае включает в себя меньше шума, чем сигнал 318 микрофона воздушной звукопроводимости (Y), генерируемый микрофоном 304 воздушной звукопроводимости. Хотя альтернативный датчик 306 менее чувствителен к шуму окружающей среды, он генерирует некоторый шум 320 датчика (W).
Путь от говорящего 300 к сигналу 316 альтернативного датчика можно смоделировать как канал, имеющий канальный отклик H. Путь от фонового(ых) говорящего(их) 314 к сигналу 316 альтернативного датчика можно смоделировать как канал, имеющий канальный отклик G.
Сигнал 316 альтернативного датчика (B) и сигнал 318 микрофона воздушной звукопроводимости (Y) поступают на блок 322 оценки чистого сигнала, который оценивает чистый сигнал 324 и в некоторых вариантах осуществления оценивает фоновый речевой сигнал 326. Оценка 324 чистого сигнала поступает на блок 328 обработки речи. Оценка 324 чистого сигнала может представлять собой либо сигнал, отфильтрованный во временной области, либо вектор преобразования Фурье. Если оценка 324 чистого сигнала является сигналом во временной области, то блок 328 обработки речи может представлять собой слушающего, систему кодирования речи или систему распознавания речи. Если оценка 324 чистого сигнала является вектором преобразования Фурье, то блок 328 обработки речи обычно является системой распознавания речи или содержит обратное преобразование Фурье для преобразования вектора преобразования Фурье в формы волны.
В блоке 322 улучшения методом прямой фильтрации, сигнал 316 альтернативного датчика и сигнал 318 микрофона преобразуются в частотную область для оценивания чистой речи. Как показано на фиг.4, сигнал 316 альтернативного датчика и сигнал 318 микрофона воздушной звукопроводимости поступают на аналого-цифровые преобразователи 404 и 414 соответственно для генерации последовательности цифровых значений, которые группируются в кадры значений блоками 406 и 416 построения кадров соответственно. В одном варианте осуществления АЦП 404 и 414 дискретизируют аналоговые сигналы на частоте 16 кГц и 16 битов на выборку, создавая таким образом 32 килобайта речевых данных в секунду, и блоки 406 и 416 построения кадров каждые 10 миллисекунд создают новый соответствующий кадр, который включает в себя 20 миллисекунд полезных данных.
Каждый соответствующий кадр данных, обеспеченный блоками 406 и 416 построения кадров, преобразуется в частотную область с использованием блоков 408 и 418 быстрого преобразования Фурье (БПФ) соответственно.
Значения частотной области для сигнала альтернативного датчика и сигнала микрофона воздушной звукопроводимости поступают на блок 420 оценки чистого сигнала, который использует значения частотной области для оценивания чистого речевого сигнала 324 и в некоторых вариантах осуществления – фонового речевого сигнала 326.
В некоторых вариантах осуществления чистый речевой сигнал 324 и фоновый речевой сигнал 326 преобразуются обратно в частотную область с использованием блоков 422 и 424 обратного быстрого преобразования Фурье. В результате получаются версии временной области для чистого речевого сигнала 324 и фонового речевого сигнала 326.
Настоящее изобретение предусматривает методы прямой фильтрации для оценивания чистого речевого сигнала 324. В процессе прямой фильтрации оценка максимального правдоподобия канального(ых) отклика(ов) для альтернативного датчика 306 определяется путем минимизации функции относительно канального(ых) отклика(ов). Затем эти оценки используются для определения оценки максимального правдоподобия чистого речевого сигнала путем минимизации функции относительно чистого речевого сигнала.
Согласно одному варианту осуществления настоящего изобретения, канальный отклик G, соответствующий фоновой речи, регистрируемый альтернативным датчиком, полагается равным нулю, и фоновая речь и шум окружающей среды комбинируются для формирования единого шумового члена. Это приводит к модели между чистым речевым сигналом и сигналом микрофона воздушной звукопроводимости и сигнала альтернативного датчика следующим образом:
 |
(Уравнение 1) |
 |
(Уравнение 2) |
где – сигнал микрофона воздушной звукопроводимости, – сигнал альтернативного датчика, – чистый речевой сигнал, – комбинированный шумовой сигнал, который включает в себя фоновую речь и шум окружающей среды, – шум альтернативного датчика и – канальный отклик на чистый речевой сигнал, связанный с альтернативным датчиком. Таким образом, в уравнении 2, сигнал альтернативного датчика моделируется как отфильтрованная версия чистой речи, где фильтр имеет импульсный отклик .
В частотной области, уравнения 1 и 2 можно выразить так:
 |
(Уравнение 3) |
 |
(Уравнение 4) |
где обозначение представляет k-ю частотную составляющую кадра сигнала с центром в моменте времени t. Это обозначение применяется к , , , и . В нижеследующем рассмотрении ссылка на частотную составляющую k опущена для простоты. Однако специалистам в данной области очевидно, что производимые ниже вычисления производятся для каждой частотной составляющей в отдельности.
Согласно этому варианту осуществления, действительная и мнимая части шума и моделируются как независимые гауссовы распределения с нулевым математическим ожиданием, так что:
 |
(Уравнение 5) |
 |
(Уравнение 6) |
где – дисперсия для шума , и – дисперсия для шума .
также моделируется как гауссово распределение, так что
 |
(Уравнение 7) |
где – математическое ожидание канального отклика, и – дисперсия канального отклика.
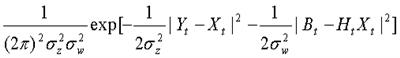
При данных параметрах модели вероятность чистого речевого значения и значения канального отклика описывается условной вероятностью:
 |
(Уравнение 8) |
которая пропорциональна
 |
(Уравнение 9) |
которая равна
 |
(Уравнение 10) |
В одном варианте осуществления априорная вероятность для канального отклика, , и априорная вероятность для чистого речевого сигнала, , игнорируются, и остальные вероятности рассматриваются как распределения Гаусса. Используя эти упрощения, преобразуем уравнение 10:
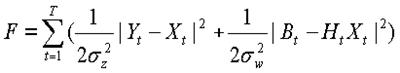
 |
(Уравнение 11) |
Таким образом, оценка максимального правдоподобия для фрагмента речи определяется путем минимизации экспоненциального члена уравнения 11 по всем временным кадрам T во фрагменте речи. Таким образом, оценка максимального правдоподобия задается минимизацией:
 |
(Уравнение 12) |
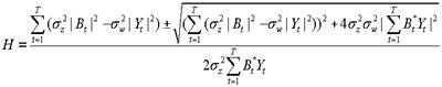
Поскольку уравнение 12 минимизируется относительно двух переменных, , для определения значения этой переменной, которое минимизирует функцию, можно взять частную производную по каждой переменной. В частности, дает:
 |
(Уравнение 13) |
где представляет комплексно сопряженную величину , и представляет модуль комплексного значения .
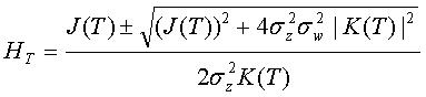
Подставляя это значение в уравнение 12, задавая частную производную , и затем предполагая, что H постоянна по всем временным кадрам Т, получаем решение для Н:
 |
(Уравнение 14) |
В уравнении 14 для оценивания Н требуется вычислить несколько сумм по последним Т кадрам в виде:
 |
(Уравнение 15) |
где st равно или .
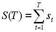
В этой формуле первый кадр (t=1) столь же важен, как и последний кадр (t=T). Однако в других вариантах осуществления предпочтительно, чтобы последние кадры вносили больший вклад в оценку Н, чем более старые кадры. Один из методов, позволяющий добиться этого, называется «экспоненциальное старение», в котором суммирование уравнения 15 заменяется на
 |
(Уравнение 16) |
где . Если с=1, то уравнение 16 эквивалентно уравнению 15, если c<1, то последний кадр взвешивается с коэффициентом 1, предпоследний кадр взвешивается с коэффициентом с (т.е. его вклад меньше, чем вклад последнего кадра), и первый кадр взвешивается с коэффициентом cT 1 (т.е. его вклад значительно меньше вклада последнего кадра). Рассмотрим пример. Пусть c=0,99 и T=100, тогда вес первого кадра составляет только 0,9999=0,37.
Согласно одному варианту осуществления уравнение 16 рекурсивно оценивается как
 |
(Уравнение 17) |
Поскольку уравнение 17 автоматически взвешивает старые данные меньше, не требуется использовать окно фиксированной длины, и данные последних Т кадров не нужно хранить в памяти. Вместо этого, нужно хранить только значение S(T-1) на предыдущем кадре.
Используя уравнение 17, преобразуем уравнение 14:
 |
(Уравнение 18) |
где
 |
(Уравнение 19) |
 |
(Уравнение 20) |
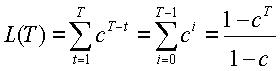
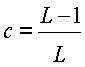
Значение с в уравнениях 19 и 20 обеспечивает эффективную длину для количества прошлых кадров, которые использовались для вычисления текущего значения J(T) и K(T). В частности, эффективная длина задается
 |
(Уравнение 21) |
Асимптотическая эффективная длина задается
 |
(Уравнение 22) |
или, эквивалентно,
 |
(Уравнение 23) |
Таким образом, используя уравнение 23, можно задать с, чтобы получить разные эффективные длины в уравнении 18. Например, чтобы получить эффективную длину в 200 кадров, с задается как:
 |
(Уравнение 24) |
Оценив Н с использованием уравнения 14, его можно использовать вместо всех из уравнения 13 для определения отдельного значения на каждом временном кадре t. Альтернативно, уравнение 18 можно использовать для оценивания на каждом временном кадре t. Значение на каждом кадре затем используется в уравнении 13 для определения .
На фиг.5 показана последовательность этапов способа, отвечающего настоящему изобретению, согласно которому используют уравнения 13 и 14, чтобы оценить чистое речевое значение для фрагмента речи.
На этапе 500 частотные составляющие кадров сигнала микрофона воздушной звукопроводимости и сигнал альтернативного датчика захватывают по всему фрагменту речи.
На этапе 502 дисперсию шума микрофона воздушной звукопроводимости и шума альтернативного датчика определяют из кадров сигнала микрофона воздушной звукопроводимости и сигнала альтернативного датчика соответственно, которые захвачены заранее во фрагменте речи, когда говорящий не говорит.
Согласно способу, определяют, когда говорящий не говорит, идентифицируя низкоэнергичные части сигнала альтернативного датчика, поскольку энергия шума альтернативного датчика гораздо меньше, чем речевой сигнал, захваченный сигналом альтернативного датчика. В других вариантах осуществления известные методы обнаружения можно применять к речевому сигналу воздушной звукопроводимости, чтобы идентифицировать, когда говорящий говорит. В течение периодов, когда не считается, что говорящий говорит, полагают равным нулю, и любой сигнал от микрофона воздушной звукопроводимости или альтернативного датчика рассматривается как шум. Выборки этих шумовых значений собирают из кадров отсутствия речевой активности и используют для оценивания дисперсии шума в сигнале воздушной звукопроводимости и сигнале альтернативного датчика.
На этапе 504 значения сигнала альтернативного датчика и сигнала микрофона воздушной звукопроводимости по всем кадрам фрагмента речи используют для определения значения Н с использованием вышеприведенного уравнения 14. На этапе 506 это значение Н используют совместно с отдельными значениями сигнала микрофона воздушной звукопроводимости и сигнала альтернативного датчика на каждом временном кадре для определения улучшенного речевого значения или речевого значения с пониженным шумом для каждого временного кадра с использованием вышеприведенного уравнения 13.
В других вариантах осуществления вместо того, чтобы использовать все кадры фрагмент речи для определения единого значения Н с использованием уравнения 14, определяют для каждого кадра с использованием уравнения 18. Затем значение используют для вычисления для кадра с использованием вышеприведенного уравнения 13.
Во втором варианте осуществления настоящего изобретения, канальный отклик альтернативного датчика на фоновую речь считают неравным нулю. В этом варианте осуществления сигнал микрофона воздушной звукопроводимости и сигнал альтернативного датчика моделируют как:
 |
(Уравнение 25) |
 |
(Уравнение 26) |
где шум делится на фоновую речь и шум окружающей среды , и канальный отклик альтернативного датчика на фоновую речь является ненулевым значением .
В этом вариант осуществления априорное знание чистой речи продолжают игнорировать. Исходя из этого предположения, максимальное правдоподобие для чистой речи можно найти, минимизировав целевую функцию:
 |
(Уравнение 27) |
В результате уравнение для чистой речи приобретает вид:
 |
(Уравнение 28) |
Чтобы решить уравнение 28, нужно знать дисперсии , и , а также значения канального отклика и . На фиг.6 изображена последовательность операций для идентификации этих значений и для определения улучшенных речевых значений для каждого кадра.
На этапе 600 идентифицируют кадры фрагмента речи, когда пользователь не говорит и отсутствует фоновая речь. Затем эти кадры используют для определения дисперсии и для альтернативного датчика и микрофона воздушной звукопроводимости соответственно.
Чтобы идентифицировать кадры, когда пользователь не говорит, можно проверять сигнал альтернативного датчика. Поскольку сигнал альтернативного датчика создает гораздо меньшие значения сигнала для фоновой речи, чем для шума, если энергия сигнал альтернативного датчика низка, можно предположить, что говорящий не говорит. В кадрах, идентифицированных на основании альтернативного сигнала, можно применять алгоритм обнаружения речи к сигналу микрофона воздушной звукопроводимости. Эта система обнаружения речи будет выявлять, присутствует ли фоновая речь в сигнале микрофона воздушной звукопроводимости, когда пользователь не говорит. Такие алгоритмы обнаружения речи широко известны в уровне техники и включают в себя, например, системы отслеживания высоты тона.
После определения дисперсий для шума, связанного с микрофоном воздушной звукопроводимости и альтернативны датчиком, способ, представленный на фиг.6, переходит к этапу 602, на котором идентифицируют кадры, когда пользователь не говорит, но присутствует фоновая речь. Эти кадры идентифицируют с использованием вышеописанного метода, но выбирают те кадры, которые включают в себя фоновую речь, когда пользователь не говорит. Для тех кадров, которые включают в себя фоновую речь, когда пользователь не говорит, предполагается, что фоновая речь гораздо больше, чем шум окружающей среды. Поэтому считается, что любая дисперсия в сигнале микрофона воздушной звукопроводимости в течение этих кадров связана с фоновой речью. В результате, дисперсию можно задать непосредственно из значений сигнал микрофона воздушной звукопроводимости в течение, когда пользователь не говорит, но присутствует фоновая речь.
На этапе 604 идентифицированные кадры, когда пользователь не говорит, но присутствует фоновая речь, используют для оценивания канального отклика G альтернативного датчика для фоновой речи. В частности, G определяют как:
 |
(Уравнение 29) |
где D – количество кадров, в которых пользователь не говорит, но присутствует фоновая речь. В уравнении 29 предполагается, что G остается постоянным на протяжение всех кадров фрагмента речи и, таким образом, уже не зависит от временного кадра t.
На этапе 606 значение канального отклика G альтернативного датчика на фоновую речь используют для определения канального отклика альтернативного датчика на чистый речевой сигнал. В частности, Н вычисляют как:
В уравнении 30 суммирование по t можно заменить рекурсивным вычислением экспоненциального спада, описанным выше в связи с уравнениями 15-24.
После определения H на этапе 606 уравнение 28 можно использовать для определения чистого речевого значения для всех кадров. При использовании уравнения 28 и заменяют независящими от времени значениями H и G соответственно. Кроме того, согласно некоторым вариантам осуществления, член в уравнении 28 заменяют , поскольку оказалось трудно точно определить разность фаз между фоновой речью и ее рассеиванием в альтернативном датчике.
Если рекурсивное вычисление экспоненциального спада использовать вместо суммирований в уравнении 30, для каждого временного кадра можно определить отдельное значение и можно использовать как в уравнении 28.
В дальнейшем расширении вышеописанного варианта осуществления можно обеспечить оценку фонового речевого сигнала в каждом временном кадре. В частности, когда значение чистой речи определено, фоновое речевое значение в каждом кадре можно определить как:
 |
(Уравнение 31) |
Этот необязательный этап показан как этап 610 на фиг.6.
В вышеописанных вариантах осуществления априорное знание канального отклика альтернативного датчика на чистый речевой сигнал игнорировалось. В другом варианте осуществления это априорное знание можно использовать, если оно обеспечено, для генерирования оценки канального отклика в каждом временном кадре и для определения чистого речевого значения .
В этом варианте осуществления канальный отклик на шум фоновой речи снова полагают равным нулю. Таким образом, модель сигнала воздушной звукопроводимости и сигнала альтернативного датчика такая же, как модель, показанная в вышеприведенных уравнениях 3 и 4.
Уравнения для оценивания чистого речевого значения и канального отклика в каждом временном кадре определяются путем минимизации целевой функции:
 |
(Уравнение 32) |
Для минимизации этой целевой функции относительно и берут частные производные по этим двум переменным независимо и приравнивают результаты нулю. Таким образом, получаются следующие уравнения для и :
 |
(Уравнение 33) |
 |
(Уравнение 34) |
где и – математическое ожидание и дисперсия соответственно априорной модели для канального отклика альтернативного датчика к чистому речевому сигналу. Поскольку уравнение для включает в себя , и уравнение для включает в себя переменную , уравнения 33 и 34 нужно решать методом итераций. На фиг.7 показана последовательность операций для осуществления такой итерации.
На этапе 700, показанном на фиг.7, определяют параметры априорной модели для канального отклика. На этапе 702 определяют оценку . Эту оценку можно определить с использованием любого из предыдущих вариантов осуществления, описанных выше, в которых априорная модель канального отклика игнорируется. На этапе 704 параметры априорной модели и начальную оценку используют для определения с помощью уравнения 34. Затем используют для обновления чистых речевых значений с помощью Уравнения 3 на этапе 706. На этапе 707 определяют, нужны ли дополнительные итерации. Если дальнейшие итерации нужны, возвращаются к этапу 704 и обновляют значение с использованием обновленных значений , определенных на этапе 706. Этапы 704 и 706 повторяют, пока на этапе 708 не будет определено, что итерации больше не нужны, и в этот момент процесс оканчивается на этапе 710.
Хотя настоящее изобретение было описано со ссылкой на конкретные варианты осуществления, специалисты в данной области должны понимать, что возможны различные изменения, касающиеся формы и деталей, не выходящие за рамки сущности и объема изобретения.
Формула изобретения
1. Способ определения оценки значения речевого сигнала, причем способ содержит этапы, на которых генерируют речевой сигнал говорящего, который регистрируют с помощью микрофона воздушной звукопроводимости и альтернативного датчика, причем сигнал альтернативного датчика соответствует речевому сигналу говорящего, генерируют электрический сигнал от микрофона воздушной звукопроводимости, используют упомянутый сигнал альтернативного датчика и сигнал микрофона воздушной звукопроводимости, чтобы оценить значение канального отклика сигнала альтернативного датчика, и используют упомянутое оцененное значение канального отклика для получения оценки речевого сигнала с пониженным шумом.
2. Способ по п.1, в котором для оценивания значения канального отклика находят экстремум целевой функции.
3. Способ по п.1, в котором для оценивания канального отклика моделируют сигнал альтернативного датчика как чистый речевой сигнал, свернутый с канальным откликом, и суммируют результат с шумовым членом.
4. Способ по п.1, в котором канальный отклик содержит канальный отклик на чистый речевой сигнал.
5. Способ по п.4, дополнительно содержащий этап, на котором определяют значение канального отклика альтернативного датчика на генерируемый фоновый речевой сигнал.
6. Способ по п.5, в котором при использовании канального отклика для оценивания значения речевого сигнала с пониженным шумом используют канальный отклик на чистый речевой сигнал и канальный отклик на фоновый речевой сигнал, чтобы оценить значение с пониженным шумом.
7. Способ по п.1, дополнительно содержащий этап, на котором используют оценку значения речевого сигнала с пониженным шумом, чтобы оценить значение фонового речевого сигнала.
8. Способ по п.1, в котором при оценивании значения канального отклика используют последовательность кадров сигнала альтернативного датчика и сигнала микрофона воздушной звукопроводимости, чтобы оценить одно значение канального отклика для кадров в последовательности кадров.
9. Способ по п.8, в котором при использовании канального отклика для оценивания значения речевого сигнала с пониженным шумом оценивают отдельное значение с пониженным шумом для каждого кадра в последовательности кадров.
10. Способ по п.1, в котором при оценивании значения канального отклика оценивают это значение для текущего кадра, придавая значениям для сигнала альтернативного датчика и сигнала микрофона воздушной звукопроводимости в текущем кадре более высокий вес, чем значениям для сигнала альтернативного датчика и сигнала микрофона воздушной звукопроводимости в предыдущем кадре.
11. Считываемый компьютером носитель, имеющий выполняемые компьютером команды для реализации способа оценки значения речевого сигнала, содержащего этапы: генерирование речевого сигнала, который регистрируют с помощью микрофона воздушной звукопроводимости и альтернативного датчика, определение канального отклика альтернативного датчика с использованием сигнала альтернативного датчика и сигнала микрофона воздушной звукопроводимости, использование определенного канального отклика для оценивания чистого речевого значения с использованием, по меньшей мере, части сигнала альтернативного датчика.
12. Считываемый компьютером носитель по п.11, в котором определение канального отклика содержит определение одного канального отклика для последовательности кадров сигнала альтернативного датчика и сигнала микрофона воздушной звукопроводимости.
13. Считываемый компьютером носитель по п.11, в котором канальный отклик содержит канальный отклик на чистый речевой сигнал.
14. Считываемый компьютером носитель по п.13, дополнительно содержащий определение канального отклика на генерируемый фоновый речевой сигнал.
15. Считываемый компьютером носитель по п.14, дополнительно содержащий использование канального отклика на упомянутый фоновый речевой сигнал совместно с канальным откликом на чистый речевой сигнал для оценивания чистого речевого значения.
16. Считываемый компьютером носитель по п.11, дополнительно содержащий использование чистого речевого значения для оценивания фонового речевого значения.
17. Способ идентификации чистого речевого сигнала, содержащий этапы, на которых генерируют речевой сигнал, который регистрируют с помощью микрофона воздушной звукопроводимости и альтернативного датчика, оценивают шумовые параметры, которые описывают шум в сигнале альтернативного датчика, используют шумовые параметры для оценивания канального отклика альтернативного датчика и используют канальный отклик для оценивания значения чистого речевого сигнала.
18. Способ по п.17, в котором при оценивании шумовых параметров используют сигнал альтернативного датчика, чтобы идентифицировать периоды, когда пользователь не говорит.
19. Способ по п.18, дополнительно содержащий этап, на котором осуществляют обнаружение речи в частях сигнала микрофона воздушной звукопроводимости, связанных с периодами, когда пользователь не говорит, чтобы идентифицировать периоды отсутствия речевой активности и периоды фоновой речи.
20. Способ по п.19, дополнительно содержащий этап, на котором используют части сигнала альтернативного датчика, связанные с периодами отсутствия речевой активности, чтобы оценить шумовые параметры.
21. Способ по п.20, дополнительно содержащий этап, на котором используют периоды отсутствия речевой активности для оценивания шумовых параметров, которые описывают шум в сигнале микрофона воздушной звукопроводимости.
22. Способ по п.20, дополнительно содержащий этап, на котором используют части сигнала альтернативного датчика, связанные с периодами фоновой речи, чтобы оценить канальный отклик на фоновую речь.
23. Способ по п.22, дополнительно содержащий этап, на котором используют канальный отклик на фоновую речь, чтобы оценить чистую речь.
24. Способ по п.17, дополнительно содержащий этап, на котором определяют оценку значения фоновой речи.
25. Способ по п.24, в котором при определении оценки фонового речевого значения используют оценку значения чистой речи, чтобы оценить значение фоновой речи.
26. Способ по п.17, дополнительно содержащий этап, на котором используют априорную модель канального отклика, чтобы оценить значение чистой речи.
РИСУНКИ
|
|