|
(21), (22) Заявка: 2007146124/09, 13.12.2007
(24) Дата начала отсчета срока действия патента:
13.12.2007
(43) Дата публикации заявки: 20.06.2009
(46) Опубликовано: 10.05.2010
(56) Список документов, цитированных в отчете о поиске:
Адрес для переписки:
121059, Москва, наб. Тараса Шевченко, 1/2, ОПС-59, а/я 47, ООО “ПАТЕНТЦЕНТР”
|
(72) Автор(ы):
Шихаев Кирилл Николаевич (RU)
(73) Патентообладатель(и):
Шихаев Кирилл Николаевич (RU)
|
(54) СПОСОБ ШИХАЕВА ОБУЧЕНИЯ РЕШЕНИЮ АЛГЕБРАИЧЕСКИХ И НЕОПРЕДЕЛЕННЫХ УРАВНЕНИЙ ЧИСЛЕННЫМ МОДЕЛИРОВАНИЕМ НА ОСНОВЕ ЕДИНОГО РЕШАТЕЛЯ
(57) Реферат:
Изобретение относится к средствам для обучения математике, в частности решения алгебраических и неопределенных уравнений. Техническим результатом является снижение вычислительной нагрузки на обучаемого за счет автоматизации обучающей системой операций вычисления числовых рядов. Способ обучения осуществляется с использованием обучающей системы, которая включает вычислитель числовых рядов, содержащий процессор с двумя накапливающими сумматорами, связанными последовательно. Обучающая система содержит техническое средство для управления работой обучающей системы, техническое средство для обработки данных, вычислитель числовых рядов, запоминающее устройство для хранения данных, техническое средство для отображения данных и техническое средство для ввода данных в обучающую систему. 2 н.п. ф-лы, 3 ил., 1 табл.
Изобретение относится к средствам для обучения математике, в частности решения алгебраических уравнений, включая квадратные, биквадратные, кубические, четвертой степени, в том числе рациональные, иррациональные и показательные, а также решения неопределенных уравнений, и к обучающим системам. Изобретение предназначено для использования в учебных заведениях и для самообразования.
Традиционная алгебра школьного курса для каждого показателя степени уравнения имеет свой метод, то есть свой решатель. Например, для квадратных уравнений это формула с дискриминантом, а для кубических уравнений это формула Кардано. Эти творения великих мыслителей 15-го века давно ждут новаций.
Известные ученые, начиная с XVI века и до нашего времени, пытаются разобраться в вопросах, возникающих к методам и способам решения алгебраических уравнений. Среди ученых, пытающихся разобраться в загадках алгебры, были великие математики Ж.Л.Лагранж (1736-1813), Н.Г.Абель (1802-1829), Э.Галуа (1811-1832). Исследования этих ученых заботят ученых-алгебраистов до нашего времени.
Так, например, Л.А.Калужнин и В.И.Сущанский в замечательной работе «Преобразования и перестановки» (М.: Наука, 1979) поднимают следующие вопросы, непосредственно касающиеся школьного и университетского курсов алгебры:
1) что делать, если дискриминант меньше нуля;
2) дает ли формула Кардано все решения кубического уравнения, а также многие другие.
Так, например, уравнение x3-19х+30=0 имеет решения: x1=-5; x2=2; x3=3.
При этом его дискриминант меньше нуля. В этом случае квадратные корни в формуле Кардано теряют смысл, а три указанных решения этого уравнения получены, минуя формулу Кардано.
Такие вопросы к решателям XV века не единичны.
Например, уравнение так называемой «золотой пропорции» или «золотого сечения» x2-x-1=0, являющееся математической моделью многих предметов, процессов и явлений, к великому сожалению не изучается в школьном курсе алгебры.
Уравнение золотой пропорции и его выражение в числах Фибоначчи наделено удивительными свойствами. Оно является математической моделью живых форм материи. Золотое сечение можно встретить в расположении листьев на ветвях деревьев, в очертаниях человеческого тела и его генетических кодах, оно проявляется в мире движения планет, в архитектуре и музыке. Не проходит года, чтобы золотое сечение, то есть уравнение x2-x-1=0, не находило все нового и нового присутствия в самых различных отраслях знаний.
Традиционная алгебра не решает это уравнение, а его решение получено не алгебраическим методом.
Кроме этого основным способом, присущим для решения различных алгебраических уравнений, является достаточно трудоемкое для учащихся деление заданного уравнения на различные многочлены, с целью их приведения к квадратным или кубическим уравнениям, для которых в арсенале алгебры имеются соответствующие решатели. Что же касается неопределенных уравнений, то они пока не заняли подобающего места в школьных и университетских курсах.
Единый решатель Шихаева справляется с отмеченными сложностями традиционной алгебры.
В данном изобретении предлагается способ обучения решению алгебраических (квадратных, биквадратных, кубических и четвертой степени рациональных, иррациональных и показательных) уравнений, а также неопределенных уравнений путем их численного моделирования на основе единого решателя, построенного на основе двух оригинальных численных моделей – квадратур и кубатур, позволяющих ввести в процесс исследования (решения) алгебраических и неопределенных уравнений специальные числовые ряды (названные одноименно с численными моделями – числовыми рядами квадратур и кубатур). В изобретении предлагается также обучающая система для численного моделирования алгебраических и неопределенных уравнений.
Для работы с числовыми рядами и их числами L2, L3 и x0, смысловое содержание которых будет раскрыто далее, в обучающей системе предусмотрен специализированный вычислитель, обеспечивающий помощь учащимся в работе с числовыми рядами, что при решении сложных уравнений позволяет экономить их время для выполнения более творческих операций.
Вопрос о том, как строить обучающую систему в настоящее время получает актуальное значение, поскольку этот предмет становится научно-практическим направлением.
Известна разработанная в МГУ им. М.В.Ломоносова обучающая система “Наставник” (см. Брусенцов Н.П., Маслов С.П., Рамиль Альварес X. Микрокомпьютерная система обучения «Наставник». М.: Наука, 1990, 224 с.), состоящая из аппаратуры и программного обеспечения. В состав аппаратуры входит центральный компьютер с подключенными к нему через блок контроллера минитерминалами. Минитерминал состоит из цифровой клавиатуры и двух- или восьмипозиционного индикатора, позволяющих осуществлять диалог обучаемого с системой в числовой форме.
Процесс обучения основан на использовании печатных дидактических материалов с контролем и управлением действиями обучаемого через минитерминалы. Используемые при этом упражнения могут иметь форму с множественным выбором ответа или с ответом в виде одного числа.
Обучающая система “Наставник” была создана для интенсификации и повышения эффективности образования.
Однако следует отметить, что это организационная обучающая система. Она не содержит решателей, что ограничивает возможности данной обучающей системы в учебном процессе.
Универсальный математический решатель (UMS) представляет собой компьютерную систему, снабженную функциональным программным обеспечением и включает в себя техническое средство хранения данных, техническое средство для отображения данных, техническое средство для обработки данных, выполненное с возможностью осуществления преобразований исходного уравнения для его решения, техническое средство для ввода данных в решатель и техническое средство для управления работой решателя.
Универсальный математический решатель (UMS) предназначен для решения заданий из учебной программы средней школы и первых курсов ВУЗов. При этом Универсальный математический решатель (UMS) позволяет получить объяснение решения задачи, в том числе в режиме «решение по шагам» или вывести сразу всю последовательность решения.
Однако Универсальный математический решатель (UMS) ограничен заданным набором известных правил для решения типовых уравнений. Не известно о реализации в нем функций для вычисления числовых рядов, что не позволяет признать его эффективным инструментом для развития математического мышления по авторской методике решения алгебраических и неопределенных уравнений численным моделированием.
Предлагаемый способ обучения решению алгебраических и неопределенных уравнений путем их численного моделирования на основе единого решателя, включающего в себя вычислитель числовых рядов, основан на оригинальной авторской методике профессора К.Н.Шихаева, причем алгоритм и математические формулы решателя и входящего в его состав вычислителя числовых рядов ранее не известны. Также из уровня техники не известны обучающие системы, предназначенные для осуществления способа обучения решению алгебраических и неопределенных уравнений путем их численного моделирования. Таким образом, не известны средства того же назначения, которые могли бы быть указаны в качестве аналогов способа обучения решению алгебраических и неопределенных уравнений численным моделированием на основе единого решателя и обучающей системы для численного моделирования алгебраических и неопределенных уравнений.
Задачей изобретения является достижение более полного раскрытия творческих способностей обучаемого человека, а следовательно, повышение качества обучения. Также задачей изобретения является создание такой обучающей системы, где новые методы решения различных уравнений, в том числе ранее не изучаемых в школьных и университетских курсах, дополняются программно-техническими средствами, в частности аппаратным вычислителем, специально предназначенным для оказания помощи учащимся при их работе с числовыми рядами, что избавляет их от достаточно объемных вычислительных операций.
Обеспечиваемый изобретением технический результат как в части способа обучения, так и обучающей системы, заключается в снижении вычислительной нагрузки на обучаемого, благодаря автоматизации обучающей системой операций вычисления числовых рядов, активно используемых в авторской методике решения алгебраических и неопределенных уравнений.
Обеспечиваемый изобретением технический результат в части способа обучения заключается также в увеличении степени взаимодействия обучаемого с обучающей системой и преподавателем, что объективно проявляется в усилении интерактивной обратной связи между обучаемым и средством обучения – обучающей системой, что ведет к развитию требуемых навыков обучаемого, усилению закрепления получаемых навыков, повышению мотивации обучаемого.
Технический результат в части обучающей системы заключается, кроме того, в расширении функциональных возможностей данной обучающей системы, что позволяет снизить трудоемкость отдельных операций при решении сложных алгебраических и неопределенных уравнений, ранее не решаемых без использования приближенных или оценочных вычислений, то есть способной применяться при обучении решению более сложных уравнений без увеличения вычислительной нагрузки на обучаемого.
Для достижения указанных технических результатов существенным является применение в учебном процессе обучающей системы, благодаря техническим средствам которой, а также математическому и алгоритмическому обеспечению, удается избавить учащихся от выполнения операций характеризующихся высокой вычислительной нагрузкой.
Введение в процесс обучения действий по выражению исходного уравнения адекватной ему численной моделью, позволяет вводить в состав исходного уравнения специальные числовые ряды, что в свою очередь обеспечивает элементарность получения его решений с использованием обучающей системы. Следует особо отметить, что при этом исходные уравнения не приводятся к более простым уравнениям пониженной степени.
При этом обучающая система помогает обучаемому выбрать вариант численной модели исходного уравнения и правила определения параметров – коэффициентов уравнений, образующих численные модели, то есть чисел из числовых рядов согласно установленным режимам работы вычислителя числовых рядов, что позволяет обучаемому оценивать целесообразность дальнейших действий и вносить в них корректировку для успешного завершения каждого из этапов моделирования, включая полное решение исходного уравнения. Так реализуется интерактивная обратная связь между обучаемым и обучающей системой в процессе моделирования исходного уравнения.
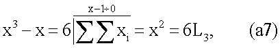
Указанные технические результаты достигаются благодаря тому, что в способе обучения решению алгебраических и неопределенных уравнений численным моделированием обучение проводят с использованием обучающей системы с вычислителем числовых рядов, содержащим процессор с первым накапливающим сумматором и вторым накапливающим сумматором, связанными последовательно, причем процессор выполнен с возможностью формирования своего выходного кода из выходного кода первого накапливающего сумматора и/или выходного кода второго накапливающего сумматора. Обучение включает действия, характеризующиеся тем, при помощи обучающей системы обучаемому объясняют и/или контролируют и/или осуществляют вместо обучаемого одно или более действий обучаемого при решении исходного уравнения. Причем действия обучаемого включают в себя выбор численной модели для исходного уравнения, запись исходного уравнения в форме выбранной численной модели, подбор коэффициентов численной модели для исходного уравнения, записанного в форме выбранной численной модели, составление на основе ранее записанного исходного уравнения в форме выбранной численной модели и полученных коэффициентов данной численной модели нового численного уравнения, являющегося упрощенным для решения по сравнению с исходным уравнением. Новое численное уравнение характеризуется тем, что его решения также являются решениями исходного уравнения. При этом обучающая система выполнена с возможностью осуществления указанных действий.
Кроме того, указанные технические результаты достигаются благодаря тому, что обучающая система для численного моделирования алгебраических или неопределенных уравнений содержит техническое средство для управления работой обучающей системы, техническое средство для обработки данных, вычислитель числовых рядов, запоминающее устройство для хранения данных, техническое средство для отображения данных и техническое средство для ввода данных в обучающую систему. Причем техническое средство для обработки данных, вычислитель числовых рядов и запоминающее устройство для хранения данных связаны своими входами-выходами с соответствующими входами-выходами технического средства для управления работой обучающей системы, выход технического средства для ввода данных в обучающую систему связан с соответствующим входом технического средства для управления работой обучающей системы, вход технического средства для отображения данных связан с соответствующим выходом технического средства для управления работой обучающей системы. При этом техническое средство для обработки данных выполнено с возможностью выбора численной модели для исходного уравнения, записи исходного уравнения в форме выбранной численной модели, подбора коэффициентов численной модели для исходного уравнения, записанного в форме выбранной численной модели, составления на основе ранее записанного исходного уравнения в форме выбранной численной модели и полученных коэффициентов данной численной модели нового численного уравнения, являющегося упрощенным для решения по сравнению с исходным уравнением, и характеризующегося тем, что решения полученного нового уравнения также являются решениями исходного уравнения, и решения упрощенного уравнения. Техническое средство для управления работой обучающей системы выполнено с возможностью формирования заданий для технического средства обработки данных и вычислителя числовых рядов, контроля правильности действий обучаемого, и с возможностью сообщения обучаемому результата выполнения одного или более указанных ранее действий через техническое средство для отображения данных. При этом вычислитель числовых рядов обучающей системы содержит устройство для управления работой вычислителя, процессор, предназначенный для работы с числовыми рядами, запоминающее устройство для хранения числовых рядов, и устройство ввода-вывода данных, связанные своими входами-выходами с возможностью обмена данными. При этом процессор содержит первый накапливающий сумматор и второй накапливающий сумматор, связанные последовательно, причем данный процессор выполнен с возможностью формирования выходного кода процессора из выходного кода первого накапливающего сумматора и/или выходного кода второго накапливающего сумматора.
Изобретение поясняется следующими фигурами:
1) фиг.1 – структурная схема обучающей системы;
2) фиг.2 – структурная схема вычислителя числовых рядов;
3) фиг.3 – обобщенный алгоритм решения алгебраических и неопределенных уравнений численным моделированием на основе единого решателя.
Изобретение в части способа обучения решению алгебраических и неопределенных уравнений численным моделированием представляет собой процесс осуществления действий в виде выдачи учебных заданий с контролем правильности ответов и/или этапов решения уравнения над материальным объектом – обучаемым человеком с помощью материальных средств, представляющих собой обучающую систему с вычислителем числовых рядов, и осуществляется следующим образом.
Предварительно подготавливают обучающую систему к работе, вводя в ее запоминающее устройство для хранения данных ряд уравнений, подлежащих решению. Перед началом первого занятия обучаемому объясняют порядок работы с обучающей системой и принципы ее функционирования. Подав управляющий сигнал, соответствующий команде начать работу, обучаемый переводит обучающую систему в рабочий режим и начинает выполнять заданные упражнения.
На техническом средстве для отображения данных, например – школьном компьютере, обучающая система выводит исходное уравнение в символьном виде, пригодном для восприятия обучаемым, то есть аналогичном тому, как уравнения представляют в обычных учебных пособиях.
Для решения исходного уравнения осуществляют с использованием обучающей системы:
1) выбор численной модели для исходного уравнения;
2) запись исходного уравнения в форме выбранной численной модели;
3) подбор коэффициентов численной модели для исходного уравнения, записанного в форме выбранной численной модели;
4) составление на основе ранее записанного исходного уравнения в форме выбранной численной модели и полученных коэффициентов данной численной модели нового численного уравнения, являющегося упрощенным для решения по сравнению с исходным уравнением, и характеризующегося тем, что решения полученного нового численного уравнения также являются решениями исходного уравнения;
5) элементарное решение нового уравнения.
Перечисленные действия соответствуют представленному на фиг.3 обобщенному алгоритму численного моделирования и решения алгебраических и неопределенных уравнений.
При этом возможны следующие режимы работы обучающей системы:
– режим объяснения действия или ряда действий обучаемого;
– режим контроля действия или ряда действий обучаемого;
– режим осуществления действия или ряда действий вместо обучаемого.
В режиме объяснения действия или ряда действий обучающая система позволяет продемонстрировать шаг за шагом обучаемому решение исходного уравнения, а в режиме контроля обучающая система позволяет проверить правильность действий обучаемого при решении исходного уравнения.
Обучаемый имеет возможность оценивать правильность своих действий при подборе параметров модели исходного уравнения и вносить в них необходимые поправки, возвращаясь на предыдущий этап решения. Таким образом реализуется интерактивная обратная связь между обучаемым и обучающей системой. Благодаря режиму осуществления действия или ряда действий вместо обучаемого, то есть режиму оказания помощи обучаемому, обучающая система позволяет снизить трудоемкость отдельных операций при решении сложных алгебраических и неопределенных уравнений.
Изобретение в части обучающей системы для моделирования алгебраических или неопределенных уравнений осуществляется следующим образом.
Обучающая система для моделирования алгебраических или неопределенных уравнений содержит техническое средство для управления работой системы, техническое средство для обработки данных, вычислитель числовых рядов, запоминающее устройство для хранения данных, техническое средство для отображения данных и техническое средство для ввода данных в систему. Частный случай выполнения обучающей системы показан на фиг.1. При этом техническое средство для управления работой системы показано как блок управления 1, техническое средство для обработки данных как блок обработки данных 2, запоминающее устройство для хранения данных как запоминающее устройство 3, техническое средство для ввода данных в обучающую систему как блок ввода данных 5, техническое средство для отображения данных как блок вывода данных 6. Представленная на фиг.1 обучающая система содержит вычислитель числовых рядов 4.
Блок управления 1, вычислитель числовых рядов 4, блок обработки данных 2 и запоминающее устройство 3 связаны своими входами-выходами для обмена управляющими и информационными сигналами. Вход блока управления 1 связан с выходом блока ввода данных 5, а выход связан с входом блока вывода данных 6 для передачи управляющих и информационных сигналов.
Обучающая система работает следующим образом.
Блок управления 1 обучающей системы записывает через блок 5 ввода данных исходное уравнение в запоминающее устройство 3 и передает данные, характеризующие исходное уравнение, в блок обработки данных 2. Одновременно с этим блок управления 1 отображает исходное уравнение на блоке вывода данных 6 для обучаемого в символьном виде и предлагает решить уравнение целиком или выполнить заданный этап процесса решения, формируя сообщение об этом на указанном блоке вывода данных. При этом блок управления 1 передает в вычислитель числовых рядов 4 задание на вычисление числового ряда, соответствующего выбранной модели исходного уравнения. Блок обработки данных 2 реализует алгоритм, представленный на фиг.3. При этом блок управления 1 записывает найденные коэффициенты численной модели в соответствующую область памяти запоминающего устройства 3. Обучаемый посредством блока ввода данных 5 вводит результаты решения уравнения или отдельного этапа/этапов процесса решения. Блок обработки данных 2 также выполнен с возможностью сравнения данных, полученных обучающей системой, с данными полученными обучаемым. Если данные введенные обучаемым признаны в блоке обработки данных 2 неудовлетворительными, то блок управления 1 формирует сообщение для обучаемого с предложением пройти предыдущий этап снова, о чем выводится сообщение на блок вывода данных 6. Аналогично реализуются режимы, когда обучаемому демонстрируется решение исходного уравнения в пошаговом режиме, или какое-либо действие осуществляется вместо обучаемого в целях облегчения рутинных вычислений.
Вычислитель 4 числовых рядов введен в состав обучающей системы из-за того, что основная нагрузка на учащихся при решении алгебраических уравнений повышенной сложности численным моделированием заключается в выборе (моделировании) коэффициентов уравнений, образующих модели исходного уравнения.
Согласно структурной схеме, представленной на фиг.2, вычислитель числовых рядов содержит устройство 7 для управления работой вычислителя, процессор 8, специально предназначенный для работы с числовыми рядами, запоминающее устройство 9 для хранения числовых рядов, устройство 10 для ввода-вывода данных, связанные своими входами-выходами через общую шину, выполненную с возможностью передачи, в частности, сигналов управления и данных. При этом процессор 8 содержит первый накапливающий сумматор 11 и второй накапливающий сумматор 12, связанные между собой последовательно. Причем процессор 8 выполнен с возможностью формирования своего выходного кода из выходного кода первого накапливающего сумматора 11 и/или выходного кода второго накапливающего сумматора 12.
Вычислитель 4 числовых рядов работает следующим образом.
Из обучающей системы, через блок 1 управления, или с устройства непосредственного ввода данных обучаемым, например клавиатуры, данные поступают в процессор 8 для работы с числовыми рядами через устройство ввода-вывода данных 10 и общую шину данных.
При этом на вход первого накапливающего сумматора 11 поступает входной код, соответствующий последовательности целых чисел 0, 1, 2, 3 При этом первый накапливающий сумматор 11 выполнен с возможностью формирования ряда чисел (первый числовой ряд), каждое из которых равно сумме предыдущего числа в данном ряду и числа, соответствующего порядковому номеру текущего входного кода. Выходной код первого накапливающего сумматора 11 поступает на общую шину данных и на вход второго накапливающего сумматора 12. Второй накапливающий сумматор 12 в свою очередь выполнен с возможностью формирования ряда чисел (второй числовой ряд), каждое из которых равно сумме предыдущего числа в данном ряду и числа, соответствующего текущему значению числа первого числового ряда. Выходной код второго накапливающего сумматора 12 поступает на общую шину данных.
Посредством устройства 7 для управления работой вычислителя 4 первый и второй числовые ряды могут быть записаны в запоминающем устройстве 9 и через устройство 10 ввода-вывода данных переданы в обучающую систему или на устройство отображения данных вычислителя числовых рядов, при его выполнении как персональное портативное устройство.
Относительно математического обеспечения единого решателя Шихаева следует привести следующие сведения.
Единый решатель построен на двух оригинальных тождествах, полученных профессором К.Н.Шихаевым и обоснованных необходимыми доказательствами:
Тождества
А: .
Б: ,
где х – любое целое число, a k – любое целое положительное число.
Единый решатель алгебраических и неопределенных уравнений включает в себя следующие математические формулы, модели и технические средства:
1. Модель квадратур
, или , где k – любое целое, положительное число.
При k=1 и k=2: (xk)2=x2k, а во всех остальных случаях: (xk)3 (x3)k.
Числа L2i есть члены числового ряда квадратур:

Числовой ряд квадратур получен на основе формулы перестановок при n=2.
Числовой ряд (3) и его предел x0 справедливы при их делении на числа 10, 100, 
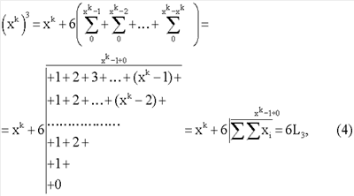
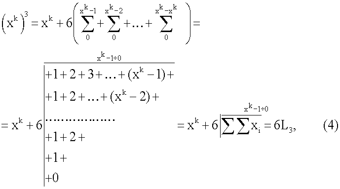
2. Модель кубатур

где k – любое целое положительное число.
Это обозначение более предпочтительно, при объяснении сути модели кубатур.
Следует отметить, что любой член числового ряда кубатур L3i есть сумма членов числового ряда L2i:
.
При k=1 и k=3: (xk)3=xk3, а во всех остальных случаях .
Это важное свойство дает возможность выражать числа L3 через числа L2 в процессе их моделирования.
Сокращенное обозначение численной модели кубатур (4) предложено выражать следующим образом:

Обозначение (7) принято вследствие того, что выражение (4) (при всей его ясности), является слишком громоздким, а выражение (7) является наиболее удобным для использования модели кубатур в преобразованиях уравнений.
3. Технические средства единого решателя включают Таблицу 1, которая содержит числовые ряды L2 и L3 в зависимости от предела их сумм x0, а также дает возможность извлекать предел x0 из любого числа, что позволяет отнести испытуемые числа к числовым рядам квадратур или кубатур. Это в свою очередь позволяет определять погрешность отклонения испытуемых чисел от чисел L2 и L3, на основе чего учащийся принимает решение об их пригодности или непригодности к сравнению с численными уравнениями квадратур или кубатур.
Таблица для работы с числовыми рядами является персональным средством учащихся. Она обеспечивает решение большинства обычных уравнений школьного курса.
Числа L2, L3 и x0 справедливы, как при целых значениях, так и при их делении на числа 10, 100, 
Для того чтобы получить число L2=13,5 и число x0=-1,6, необходимо поставить запятые в числах L2=136 и x0=16 и т.д.
Это правило аналогично и для числового ряда L3.
В технические средства единого решателя также входит упомянутый ранее вычислитель числовых рядов, обеспечивающий работу учащихся с числовыми рядами.
Основная нагрузка на учащихся при решении алгебраических и неопределенных уравнений повышенной сложности численным моделированием, заключается в выборе (моделировании) чисел L2 и L3, которые удовлетворят численным уравнениям квадратур и кубатур. Для того чтобы снять с учащихся нагрузку по вычислительным операциям с числовыми рядами предусмотрен вычислитель, специализированный для работы с числовыми рядами, в том числе для вычисления чисел L2, L3 а также для извлечения предела сумм x0 из чисел L2 и L3, а также из других чисел.
Выдаваемые вычислителем числовых рядов данные обеспечивают решение сложных алгебраических и неопределенных уравнений. Для обычных уравнений школьного курса, как правило, достаточно Таблицы 1, размерностью до x0=50, которая выдается указанным вычислителем для каждого обучаемого.
Процессор 8 для работы с числовыми рядами включает в свой состав два сумматора (см. фиг.2): сумматор 11 чисел L2, на вход которого устройство 7 управления задает число от нуля до x0, где получаются числа L2, соответствующие числу x0, a его выход включен на вход второго сумматора 12, где получаются числа ряда L3, как сумма чисел ряда L2, заданные от нуля до x0 согласно запросам поступающим с блока управления. Результаты выполнения запроса на получения чисел L2, L3, их рядов и различных комбинаций, получаемых по стандартным запросам с клавиатуры блока управления 7, передаются в запоминающее устройство 9.
На табло устройства отображения данных выводятся результаты выполнения стандартных операций, выполняемых по запросам обучаемых.
Запоминающее устройство вычислителя числовых рядов имеет объем, необходимый для выполнения стандартных операций с числовыми рядами и служебных программ.
Устройство сопряжения вычислителя числовых рядов с устройствами обучающей системы реализует обмен данными внутри обучающей системы и с компьютером класса.
Единый решатель алгебраических и неопределенных уравнений может использоваться в нескольких вариантах.
1) Как одно из устройств нашей системы обучения решению алгебраических и неопределенных уравнений численным моделированием.
“Наставник” или другой), принятой в данном учебном заведении.
3) Как автономное устройство, с выходом на школьный компьютер.
Вычислитель числовых рядов имеет фиксированные режимы работы.
1) Выдача таблицы числовых рядов квадратур и кубатур согласно запросу: «таблица до x0».
2) Выдача «кадра» из нескольких строк таблицы числовых рядов согласно запросу: (x0i÷x0j(L2)) или (x0i÷x0j(L3)).
3) Получение членов числового ряда квадратур или числового ряда кубатур согласно запросу: «x0-L2» или «x0-L3».
4) Получение числа x0 согласно запросу: (L2-x0) или (L3-x0).
5) Извлечение числа x0 из заданного числа с целью определения степени его приближения к числу L2 или к числу L3 согласно запросу: (число а÷х0(L2)) или (число а÷х0(L3)), когда неизвестна принадлежность числа x0 к ряду квадратур или ряду кубатур.
Таким образом, выдаваемые вычислителем числовых рядов данные обеспечивают решение сложных алгебраических и неопределенных уравнений.
На основе аппарата единого решателя (выражения (1)-(7), Таблица 1 и вычислитель числовых рядов) получают численные уравнения квадратур и кубатур, которые обеспечивают элементарное решение исходного уравнения.
Выражения (xk)2 и xk; (xk)3 и xk, а также числа L2, L3 и x0 единого решателя, обеспечивают преобразование исходного уравнения, записанного в виде модели квадратур или модели кубатур, в новое численное уравнение квадратур или численное уравнение кубатур.
Разнообразие выражений (xk)2±xk и (xk)3-xk с учетом того, что заданное алгебраическое уравнение всегда можно умножить на число x и ввести в него дополнительный член ±x, не нарушая его адекватности заданному уравнению, является достаточным, для того чтобы осуществить преобразование любого заданного уравнения к виду

или к виду

Выражения (8) и (9) раскрывают основную идею метода численного моделирования различных алгебраических и неопределенных уравнений. Запишем их более компактно:


Главными правилами решения алгебраических и неопределенных уравнений численным моделированием являются следующие положения.
Если в численном уравнении квадратур или кубатур (10) или (11) (решение которого значительно упрощено по сравнению с заданным) взять числа xi=1, 2, 3, , в результате которых численное уравнение примет числовые значения a, b, c, d, , то те числа xi, которые дадут те из чисел a, b, c, d, , которые входят в числовые ряды квадратур L2 или в числовые ряды кубатур L3 являются решениями заданного уравнения. Это правило (12).
Правило (12) не распространяется на неопределенные уравнения, поскольку они имеют множество решений.
Основным правилом определения (моделирования) чисел L2 и L3 является раскрытие неопределенности, которая имеет место, вследствие зависимости чисел L2 и L3 от переменной x и наоборот. Это правило (13). Для раскрытия данной неопределенности имеется ряд рабочих правил, основные из которых следующие:
1) правила, следующие из смысла главного правила 12, когда числа L2 и L3, вытекают из численных уравнений квадратур или кубатур, при изменении переменной x;
2) рекомендуется принимать числа L2 и L3 равными свободному члену заданного уравнения, если его число входит в состав чисел рядов квадратур или кубатур;
3) приведение свободного члена численных уравнений квадратур и кубатур к числам из рядов квадратур и кубатур умножением его на любое рациональное число L1.
Эти правила при некотором навыке учащихся элементарно справляются с решением уравнений, что показано в приводимых примерах.
На основе полученных значений чисел L2 и L3 (кроме ранее приведенных численных уравнений квадратур и кубатур (10) и (11)) получаем другие численные уравнения квадратур и кубатур:
,
,

На основании численных уравнений (14), (15) и (16) получаем уравнения пределов сумм этих уравнений, приводящие к элементарным решениям заданного уравнения, или являющиеся его решениями.
Для того чтобы обосновать справедливость всех формул и правил, приведенных в выражениях (1)-(16) необходимо доказать справедливость только двух тождеств, на основе которых получены все остальные формулы, выражения и правила:
1. Условное тождество квадратур
, .
Тождества (А) получены следующим образом:
Из классики теории конечных разностей известно, что первая разность есть сумма вторых разностей, взятых при определенных шагах разности h.
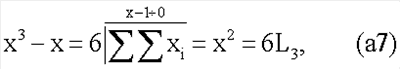
Используя вышеприведенное положение, для получения первой разности x2-x; заметим, что вторая разность от числа x2 не зависит от переменной и при шаге разности h=1 всегда равна числу 2. Для того чтобы получить первую разность x2-x, необходимо взять вторую разность при шаге h=(x-1) и просуммировать вторую разность (двойку) в интервале от нуля до (х-1), что дает первую разность . Из выражения (А) элементарно вытекает: .
Поскольку выражения (А) и (A1) являются безусловными тождествами, справедливыми для любых целых чисел x, из этого следует, что вместо числа х в выражении (А) и (A1) можно принять числа: x2, x3, x4, xk, , где k – любое целое положительное число. В результате получаем доказательство справедливости тождеств квадратур: и .
2. Тождество кубатур 
Разность второго порядка от числа x3, при шаге разности h=1, всегда равна числу 6x.
Для того чтобы получить вторую разность, суммирование которой дает первую разность: x3-x, необходимо просуммировать вторую разность 2(x3)=6х, x раз при шаге разности h, изменяющемся от нуля до (x-1), как это показано ниже:

Поскольку выражение (Б1) есть безусловное тождество, справедливое для любых целых чисел, то вместо числа x в выражении (Б1) можно принять числа x2, x3, x4, xk, , где k – любое целое, положительное число, откуда следует условное тождество: 
Полученные доказательства справедливости тождеств (А) и (Б)) достаточны для того, чтобы считать справедливыми полученные модели квадратур, а также кубатур, а также численные уравнения квадратур и кубатур, и все последующие уравнения и правила, которые получены на их основе.
Обобщенный алгоритм решения алгебраических и неопределенных уравнений численным моделированием на основе единого решателя Шихаева представлен на фиг.3. При реализации данного алгоритма осуществляют следующие действия.
На шаге S1 проводят анализ структуры исходного уравнения (с учетом имеющейся возможности повышения его степени и/или введения в его состав дополнительного члена ±x), после чего выбирают модель квадратур (1), и/или модель кубатур (4), более подходящие для получения численных уравнений квадратур, и/или численных уравнений кубатур, получаемых на шаге S3.
На шаге S2 получают модель квадратур исходного уравнения на основании формул: (1)-(3), и/или модель кубатур заданного уравнения на основании формул: (4)-(7).
В зависимости от вида модели квадратур или модели кубатур, на шаге S3 выбирают Вариант 1 или Вариант 2.
Вариант 1 выбирают, когда преобразование модели квадратур или кубатур в численные уравнения квадратур или кубатур производится согласно формулам (10) и (11). Вариант 2, когда преобразование модели квадратур или кубатур в численные уравнения квадратур и кубатур производится согласно формулам (14)-(16).
Вариант 1 характеризуется шагом S4. При этом преобразуют модель квадратур или модель кубатур исходного уравнения в численное уравнение квадратур или кубатур (10), (11), которые элементарно решаются согласно правилу (12), а решение численных уравнений квадратур и кубатур являются решениями заданного уравнения. На этом решение исходного уравнения закончено.
Вариант 2 характеризуется шагами S5 и S6. Шаг S5 применяют в случае, когда целесообразно сначала получить числа L2 и L3, а затем перейти к численному уравнению квадратур или кубатур (14)-(16). Здесь происходит работа с числовыми рядами, при которой определяют числа L2 и/или L3 согласно правилу (13), с помощью Таблицы 1 для относительно простых случаев, когда в численном уравнении квадратур или кубатур имеются три-четыре члена исходного уравнения невысокой степени (n=1÷10), или с помощью специализированного вычислителя для работы с числовыми рядами обучающей системы, когда в численных уравнениях квадратур и кубатур имеется большое количество членов, имеющих высокие степени: (n>10}.
Шаг S6 характеризуется тем, что на основе чисел L2 и L3, полученных на шаге S5, преобразуют численную модель квадратур или кубатур исходного уравнения в численное уравнение квадратур и/или кубатур (14)-(16), которые элементарно решаются на уравнениях пределов сумм этих уравнений.
На шаге S7 производят оформление результатов полученных решений.
Процесс обучения решению алгебраических и неопределенных уравнений численным моделированием на основе единого решателя строится на принципе обратной связи, когда результаты, полученные на последующих этапах обучения, оцениваются с позиции удачности ранее принятых решений на предыдущих этапах обучения.
Этапы (учебный план) обучения решению алгебраических и неопределенных уравнений в данной системе обучения строятся в соответствии с алгоритмом, показанным на фиг.3.
При этом преподаватель напоминает терминологию и основные этапы наименований обучающей системы и ее единого решателя.
Квадратуры:
– Исходное алгебраическое или неопределенное уравнение.
– Тождество квадратур А.
– Численная модель квадратур исходного уравнения (1), (2).
– Числовой ряд квадратур L2 (3).
– Численное уравнение квадратур (10), (14), (15) и правила (12), обеспечивающие его элементарные решения, которые одновременно являются решениями исходного уравнения.
Кубатуры:
– Заданное алгебраическое или неопределенное уравнение.
– Тождество кубатур Б.
– Численная модель кубатур заданного уравнения (4)-(7).
– Числовой ряд кубатур L3.
– Численное уравнение кубатур (11) или (16) и правила (13), обеспечивающие его элементарные решения, которые одновременно являются решениями исходного уравнения.
Преподаватель объясняет смысл всех этапов алгоритма численного моделирования и решения алгебраических и неопределенных уравнений, а также принципы использования обучающей системы для снижения при этом трудоемкости вычислительных операций:
1. При изучении предмета (шаг S1), проводя анализ структуры исходного уравнения, преподаватель делает акцент на различных вариантах подготовки заданного уравнения к его преобразованию в численные модели квадратур и кубатур, объясняет ученикам, что любое заданное уравнение может быть приведено как к численной модели квадратур, так и к численной модели кубатур, а также объясняет, что оценку выбора численной модели заданного уравнения следует проследить на всех блоках алгоритма до получения численных уравнений квадратур и кубатур на шаге 34 или S6. При этом преподаватель проводит проверку усвоения учениками выбора численной модели заданного уравнения, исходя из того, как это решение повлияет на действия, проводимые в последующих блоках алгоритма, приводя примеры и их оценки.
Начиная с шага S1, преподаватель объясняет те различия, которые имеют место при численном моделировании алгебраических и неопределенных уравнений.
2. Начиная со второго шага (S2) алгоритма, изучаются числовые ряды квадратур и кубатур. Этот предмет изучается на всех последующих этапах с углублением познания приемов работы с числовыми рядами. Изучение числовых рядов сопровождается изучением специализированного вычислителя, и режимов его работы. В результате учащиеся получают знания о том, как получить численную модель заданного уравнения и как обосновать введение в нее чисел из числовых рядов квадратур и кубатур.
3. Начиная с шага S3, изучение предмета сопровождается примерами решения различных уравнений, где преподаватель продолжает вести диалог с учениками о последствиях выбора численных моделей и численных уравнений квадратур и кубатур и влияние этого выбора на получение численного уравнения и его решений, которые являются решениями исходного уравнения.
4. При изучении шагов S4-S6 алгоритма некоторые вопросы следует изучать более подробно. Так, например, какой из маршрутов по шагам алгоритма следует выбрать:
1) S3 – S4 – решение;
2) S3 – S5 – S6 – решение;
3) какой из способов определения числа L2 или L3 выбрать, исходя из правил (12) и (13), и из структуры численных уравнений квадратур и кубатур.
При этом особенно важно, чтобы преподаватель подробно объяснил назначение численного уравнения квадратур или кубатур и дал примеры получения на их основе решений исходного уравнения, применяя для этого обучающую систему.
В некоторых примерах дается два варианта: модель квадратур и модель кубатур, а также соответствующие им численные уравнения и их решение. Также приведены примеры, где работают численные уравнения вида (1), (11) и вида (14)-(16).
Теперь посмотрим, как ученики восприняли советы преподавателя о выполнении задач, стоящих в блоках обобщенного алгоритма:
1. При исследовании заданного уравнения на предмет того, как лучше привести его к численным моделям квадратур и/или кубатур, учащийся использует те знания, которые он получил при изучении основных положений единого решателя. Он уже знает, что любое алгебраическое или неопределенное уравнение можно записать как в виде численной модели квадратур, так и численной модели кубатур. Он также знает, что в отдельных случаях для получения различных вариантов дальнейшего исследования заданного уравнения его можно умножить на число x, или ввести в его состав новый член ±x, не нарушая адекватности заданному уравнению.
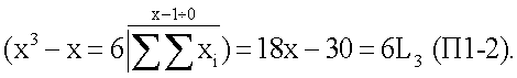
2. Переходя на шаг S2 алгоритма, один из учащихся поступает следующим образом (на примере уравнения х3-19x+30=0 (П1-1), которое не решается классическими методами, поскольку его дискриминант меньше нуля): он записывает уравнение (П1-1) в виде численной модели кубатур

В этой записи заданное уравнение не изменилось, а только получило возможность (которую дала сумма, стоящая в его левой части) приравнять его правую часть к числам L3 – членам числового ряда кубатур.
3. Далее ученик выполняет шаг S3 алгоритма, где на основе численной модели кубатур исходного уравнения он получает численное уравнение кубатур: 18x-30=6L3; 
Ученик знает, что согласно правила 12 все решения численного уравнения (П1-3) являются решениями заданного уравнения. На шаге S3 алгоритма ученик должен сделать выбор из двух вариантов. Вариант 1: решать численное уравнение (П1-3), моделируя число x, и получая при этом числа L3, удовлетворяющие уравнению (П1-3), получая при этом все решения заданного уравнения. Или Вариант 2: определить число L3 на шаге S5, а затем переходить к шагу S6 для получения численного уравнения кубатур вида (16).
Ученик выбирает первый вариант и решает численное уравнение кубатур (П1-3) минуя шаги S5 и S6 алгоритма.
Он не определяет числа L3, а поступает согласно правилу 12 – изменяет числа x, а полученные результаты сравнивает с числами L3 (взятыми из Таблицы 1 или из вычислителя числовых рядов обучающей системы). Подставляя в уравнение (П1-3) число х=2, он получает L3: L3=3·2-5=1. Поскольку число 1 входит в числовой ряд кубатур, то число х=2 есть первое решение заданного уравнения: Подставляя в уравнение (П1-3) число х=3, он получает число L3=3·3-5=4.
Поскольку число 4 входит в состав числового ряда кубатур, то число х=3 есть второе решение заданного уравнения: Число х=4 не дает числа L3, входящего в числовой ряд кубатур.
Число x=5 также не дает числа L3, но число х=-5 дает число L3: L3=-3·5-5=-20, которое является членом числового ряда кубатур, и, следовательно, число является третьим решением заданного уравнения. На основе полученных решений ученик производит оформление результатов задания (шаг S7).
Эти решения (при определенном навыке) учащийся находит за 3-5 минут. При этом он не делил заданное уравнение на многочлены, для того чтобы снизить его степень.
Второй ученик также решал уравнение (П1-1). Он решил записать исходное уравнение не в форме численной модели кубатур, как это сделал первый ученик, а записал его в форме модели квадратур.
1. Для этого он умножил заданное уравнение x3-19x-30=0 на число x и получил новое уравнение, тождественное заданному, х4-19х2-30х=0 (П1-4).
2. Ученик перевел полученное уравнение (П1-4) в модель квадратур: .
Далее он принял Вариант 1 и преобразовал модель квадратур (П1-5) в численное уравнение квадратур по формуле (10): 18x2-30x=2L2; 9x2-15x=L2 (П1-6).
4. Из численного уравнения (П1-6) следует, что при x=1, оно дает число L2=-6, которое является членом численного ряда квадратур. Это говорит о том, что число х=1 является решением заданного уравнения: 
Число также есть решение заданного уравнения, поскольку 9·4-15·2=36-30=L2=6, а число 6 является членом числового ряда квадратур. Принимая число x=-5, ученик получает третье решение заданного уравнения: 9(-5)2-15·(-5)=225+75=300.
Число 300 является членом числового ряда квадратур, следовательно, число х=-5 является решением как численного уравнения квадратур (П1-6), так и заданного уравнения.
При разборе учитель заключает, что оба ученика действовали в пределах правил. Но второй ученик перевел заданное уравнение в численную модель квадратур, что привело его к дополнительным затратам времени.
В результате оба ученика получили правильные ответы и уложились в заданное время.
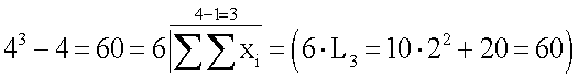
Третий ученик получил задание решить другое уравнение: x8-17х4+16=0.
1. Исследуя заданное уравнение он выбрал модель квадратур.
2. Он записал заданное уравнение в виде модели квадратур .
3. Далее он получил численное уравнение квадратур 8x4-8=L2 (П2-2).
Из численного уравнения квадратур (П2-2) явно следует, что при x=±1 число L2=0.
Поскольку число L2=0 является членом числового ряда квадратур, то число x1,2=±1 является решением как численного уравнения (П2-2), так и заданного уравнения (П2-1). Для нахождения двух других решений ученик изменил схему алгоритма и выбрал более сложный маршрут прохождения шагов алгоритма: S2-S3-S4-S7.
4. Он решил перейти ко второму варианту шага S3 обобщенного алгоритма, где необходимо получить численное уравнение квадратур типа (15). Для этого он решил привести свободный член численного уравнения квадратур (2) – число 8, которое не является членом числового ряда квадратур к числу L2. Для того чтобы число 8 стало членом численного ряда квадратур, его следует умножить на число L1=15, что дает число L2=120, являющееся членом числового ряда квадратур. Он определил число L2=120 и выполнил задачу Варианта 2 шага S3.
5. На основе числа L2=120 он получил численное уравнение квадратур вида (14): .
Решая уравнение пределов сумм данного уравнения, он получил: х4-1=x0=15; х4=16; .
Преподаватель задал ему только один вопрос: Почему Вы не воспользовались численным уравнением 8x4-8=L2. Ведь проверив на нем число x=±2, вы сразу получили бы число 8·16-8=128-8=120, избежав прохождения шагов S5 и S6 алгоритма. На что ученик ответил: «Я искал радикал».
Учитель объяснил ученикам смысл правильного решения третьего ученика: где имеется возможность получить решение заданного уравнения в радикалах, это следует считать более предпочтительным вариантом.
В заключение разбора выполнения учениками полученных заданий учитель отметил, что все трое правильно решили заданные уравнения и уложились в заданное время.
Далее приводятся примеры решения алгебраических и неопределенных уравнений численным моделированием на основе единого решателя.
Большинство алгебраических примеров взято из школьного курса алгебры, которые накопились за много столетий трудами преподавателей и ученых. Примеры решения неопределенных уравнений взяты из учебников по теории чисел и сопутствующей им литературы.
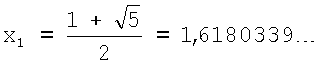
Пример 1. Численное моделирование и решение уравнения золотой пропорции x2=x+1 (a1).
Преобразование уравнения золотой пропорции в модель квадратур. Для этого следует умножить уравнение (a1) на число x2, что дает тождественное уравнение х4-х3=х2; х4-х2=х3 (а2).
Уравнение (а2), преобразованное в модель квадратур, имеет вид ; .
Из уравнения (а3) следует, что число должно быть членом числового ряда квадратур. Принимая за число L2 одно из начальных чисел ряда квадратур L2=3, получим .
Число 13,5 приближенно равно числу L2=13,6, которое принадлежит к числовому ряду квадратур. Принимая L2 13,6, строим численное уравнение квадратур:

Из числа L2=13,6 согласно Таблице 1 следует число x0=1,6.
Пояснение:
13,6=0,1+0,2+0,3+0,4+0,5+0,6+0,7+0,8+0,9+1+1,1+1,2+1,3+1,4+1,5,+1,6)=13,6
Подчеркнутое число 1,6 и есть число x0 (предел суммы правой части модели (а5)).
На основании численного уравнения (а5) строим уравнение пределов его сумм:
x2-1=x0 1,6; x2=2,6; ;
;
; .
Повторим решение уравнения (а1) с использованием модели кубатур и численного ряда L3. Для того чтобы преобразовать уравнение (а1) в модель кубатур, его следует умножить на число X.
х3=х2+x; x3-x=x2 (а6); откуда имеем .
Моделируя число L3 под уравнение (а8), получим x=9; ;
x0=1,6.
Далее все аналогично ранее полученным результатам, когда уравнение (а1) решалось с помощью модели квадратур и числового ряда L2.
Здесь следует отметить, что решение уравнения золотой пропорции (а1) ранее было получено из следующего соображения: «Из физического смысла золотой пропорции вытекает, что искомое решение уравнения x2=x+1 должно быть положительным числом, откуда вытекает, что решением задачи о делении отрезка в крайнем и среднем отношении является положительный корень уравнения x2=x+1: , которое и дает приближенное значение золотой пропорции =1,61803398874989484820 .» (см. Стахов А.П. и др. Код да Винчи и ряды Фибоначчи. «Питер», 2007, с.25 и 26).
Алгебраические решения уравнения x2=x+1 нам неизвестны.
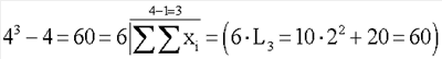
Пример 2. Численное моделирование и решение уравнения x3-19x+30=0 (б1).
Замечание. Это уравнение в традиционной алгебре (как и уравнение золотой пропорции) не имеет решений. Его дискриминант меньше нуля.
Преобразуем уравнение (б1) в модель кубатур 
Из уравнения (б2) вытекает уравнение
6L3=18x-30; L3=3x-5 (б3).
Проведем численное моделирование уравнения (б3), используя для этого числовой ряд кубатур L3=0,1,4,10,20, :
Числа x=0 и x=1 выпадают из моделирования.
x=2: L3=6-5=1. Число 1 входит в числовой ряд кубатур. Следовательно, число x=2 является решением заданного уравнения (б1) 
x=3: L3=9-5=4. Число 4 входит в числовой ряд кубатур. , число x=3 является решением заданного уравнения (б1) 
x=-5: L3=-15-5=-20. Число -20 входит в числовой ряд кубатур, а число x=-5 удовлетворяет заданному уравнению (б1)
В результате получаем x1=2; x2=3; x3=-5.
Здесь мы достаточно подробно изложили процесс численного моделирования заданного уравнения с целью показать один из способов моделирования числа L2 через вариацию числа x.
Пример 3. Численное моделирование и решение уравнения x2+2x-3=0 (в1).
Уравнение (в1) готово к преобразованию в модель квадратур, поскольку его свободный член (число -3) входит в состав чисел ряда квадратур. Уравнение (в1), преобразованное в модель квадратур, имеет вид: .
Проведем моделирование уравнения 2L2=-x+3 (в3):
x=1: 2L2=-1+3=2; L2=1. Поскольку число L2=1 входит в численный ряд квадратур. Принимаем число x=1 решением уравнения (в1).
x=-3: 2L2=-3-3=-6; L2=-3. Число L2=-3 входит в численный ряд квадратур. Принимаем число x=-3 решением уравнения (в1).
Пример 4. Численное моделирование и решение уравнения x8-17х4+16=0 (г1).
Преобразуем уравнение (г1) в модель квадратур:


Принимая в уравнении (г3) Х=±1, получим L2=0. Число 0 входит в числовой ряд квадратур, откуда следует, что число x1,2=±1 является решениями заданного уравнения.
Для нахождения следующих решений уравнения (г1) снова возьмем уравнение L2=8x4-8.
Для того чтобы число 8 стало членом ряда квадратур (как следует из Таблицы 1), его следует помножить на число L1=15, что дает число L2=120, являющееся членом числового ряда квадратур и дающее число x0=15.
На основе числа L2=120 и x0=15 получаем численное уравнение квадратур
.
На основе пределов сумм уравнения (г5) строим и решаем уравнение пределов его сумм: x4-1=x0=15; х4=16; ; 
Пример 5. Численное моделирование и решение иррационального уравнения .
Поскольку свободный член исходного уравнения входит в состав ряда квадратур, принимаем L2=3. Подставив число L2=3 в исходное уравнение вместо числа x, получим , откуда корень исходного уравнения есть число x1=3.
Пример 6. Численное моделирования и решение иррационального уравнения .
Поскольку свободный член уравнения (д1) входит в состав чисел ряда квадратур L2=1, подставим его в уравнение (д1) вместо числа x. Получим ; x1=1.
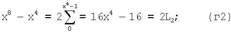
Пример 7. Численное моделирование и решение показательного уравнения 4x-10·2x-1=24 (e1).
Преобразуем исходное уравнение (е1) в модель кубатур. Для этого запишем его в следующем виде: 4x-4=10·2x-1+20 (е2);

6L3=10·4+20; 3L3=10·2+10 (е3).
Поскольку свободный член уравнения (е3) число 10 входит в числовой ряд кубатур, примем число L3=10. 3L3=30=10·2+10=30 (е4).
Поскольку выражение (е4) оказалось тождеством, то из этого следует, что решением уравнения (е1) является число x1=3.
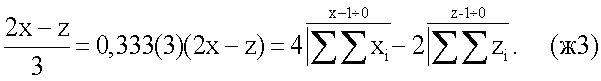
Пример 8. Численное моделирование и решение неопределенного уравнения 2x3=z3 (ж1).
Это уравнение взято не случайно. Его история насчитывает более 2500 лет. В 5 веке до нашей эры древнегреческие математики-софисты предложили задачу «удвоения куба».
Согласно преданию происхождение задачи удвоения куба связано с легендой: Апполон (устами Делосского оракула) приказал удвоить алтарь своего храма. Строители Делосса оказались перед проблемой найти такую сторону куба (алтарь имел формулу куба, сторона которого сейчас обозначается буквой x), объем которого вдвое больше имеющегося алтаря (куба, со стороной z). Это равносильно заданию решить неопределенное уравнение 2x3=z3 (ж1).
Преобразуем исходное уравнение (ж1) в модель кубатур.
Получим 
Из уравнения (ж2) следует

Правая часть уравнения (ж3) всегда есть целое и четное число. Однако его левая часть (число 0,333(3)(2x-z)) не может быть целым числом, кроме трех случаев:
1) 2x-z=0;
2) 2x-z=6n, n=1, 2, 3, 
3) если удастся показать, что периодическое число 0,333(3), после умножения на любое целое число, останется целым и четным числом. Это условия (ж4).
Как следует из условий (ж4), других решений в целых числах уравнение удвоения куба иметь не может.
В первом случае, когда 2x-z=0, имеем 
Во втором случае, когда 2x-z=3n, вернемся к уравнению (ж2), из которого получим

Из численной модели (ж6) вытекает уравнение пределов ее сумм: 3n-1=4x-2z-2, которое при n=1 дает условие: 2x=z+1 (ж7).
Уравнения (ж5) и (ж7) дают необходимые условия целочисленной разрешимости исходного уравнения (ж1): 2x=z; 23x3=z3; 2x=z+1; 23x3=(z+1)3, которые при числах 2х=z и z+1=2x имеют множество решений.
Полученные решения являются первым подмножеством решений уравнения (ж1). Если эти уравнения помножить на числа 23·23(x3)=23(z3) и 23·23(x3)=23(z3+1), то получим второе подмножество решений и т.д.
Кроме полученных результатов, целочисленной разрешимости уравнения (ж1) 23х3=z3 и 23х3=(z+1)3, исходное уравнение имеет еще одно решение: ; откуда получим z3=2х3. Это решение известно с древних времен, но не является целочисленным. Сторона удвоенного куба в этом случае равна числу , которое не является целым числом.
Уравнение (ж1) неоднократно решалось многими известными математиками и считается одним из сложных. Наше решение, полученное на основе тождества кубатур, является доступным для школьников и студентов.
Пример 9. Доказать, что при x+y+z=0 справедливо тождество x3+y3+z3=3xyz (з1). Эта задача ранее была решена с использованием теоремы о симметрических многочленах. Эти многочлены не изучаются в школах и обычных институтах.
Преобразуем уравнение (з1) в модель кубатур. Получим

Для того чтобы при условии x+y+z=0 выражение (з2) стало тождеством, необходимо, чтобы его члены, стоящие в квадратных скобках, были равны нулю.
Для этого необходимо, чтобы в пределах сумм, стоящих в скобках, соблюдались следующие равенства: x=1, y=1, z=1. При этом выражение, стоящее в квадратных скобках, примет нулевое значение, а выражение (з2) примет вид:

Выражение (з3) доказывает, что выражение (з1) является тождеством.
Пример 10. х2+y2+z2=2m·x·y·z (10), где числа x, y, z – целые положительные, а m – заданное натуральное число. Это уравнение считается высокой степени сложности.
Преобразуем уравнение (10) на основе наших тождеств: и . Получим систему двух уравнений:

Система (11) дает два необходимых условия разрешимости уравнения (10):
1) 
2) 
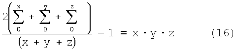
Прибавляя к условию (12) число ±2(x+y+z), получим

Выражение (14) имеет такую форму, которая как бы «подсказывает», что число 2m может быть задано в следующем виде: 2m=x+y+z (15), откуда следует .
Выражение (16) имеет вид, который подсказывает его решение: х=1, y=1, z=1. При этих числах выражение (16) принимает вид: 2-1=х·y·z (17). Условие (17) удовлетворяет уравнению (10): (1+1+1)=3=2m·x·y·z=(x+y+z)·1=3.
Второе условие разрешимости уравнения (10): (x+y+z)=0, также удовлетворяет заданному уравнению (10).
В книге «Г.Ф.Вороной» (ответственный редактор И.М.Виноградов. Киев, Издательство АН УССР, 1953), написанной в честь известного математика Г.Ф.Вороного на стр.264 отмечено: в 1885 г. юный математик ставит перед собой задачу очень большой сложности. Он исследует вопрос о решении в целых, положительных, рациональных числах x, y, z неопределенного уравнения х2+y2+z2=2m·x·y·z, где m – заданное, натуральное число. На стр.267 этой книги (в тексте, взятом из дневника Г.Ф.Вороного, где он говорит об этом уравнении) написано: «Я, собственно говоря, потерял надежду когда-нибудь решить эту задачу ».
Все элементарные действия по преобразованию исходного уравнения, построению модели исходного уравнения, нахождению параметров модели исходного уравнения, составлению упрощенного уравнения и решению упрощенного уравнения, объяснению, контролю и осуществлению вместо обучаемого одного или более действий обучаемого при решении исходного уравнения могут быть реализованы средствами известных из уровня техники обучающей системы “Наставник” и Универсального математического решателя (UMS), а также программным путем средствами обычной компьютерной техники. При помощи обучающей системы “Наставник” и Универсального математического решателя (UMS) возможна полная реализация изобретения при их адаптации к методу профессора К.Н.Шихаева решения алгебраических и неопределенных уравнений численным моделированием.
Техническая реализация решателя Шихаева в виде специализированного портативного прибора-вычислителя числовых рядов позволяет использовать его как автономно, так и в системе обучения принятой в конкретном учебном заведении, например в известной системе “Наставник”. При этом способ Шихаева обучения решению алгебраических и неопределенных уравнений численным моделированием на основе моделей квадратур и моделей кубатур, алгоритм функционирования которых описан формулами (1)-(6) и (10)-(16), совместно с техническими средствами решателя обеспечивает решение самых разнообразных алгебраических и многих неопределенных уравнений.
Формула изобретения
1. Способ обучения решению алгебраических или неопределенных уравнений численным моделированием, характеризующийся тем, что обучение проводят с использованием обучающей системы с вычислителем числовых рядов, содержащим процессор с первым накапливающим сумматором и вторым накапливающим сумматором, связанными последовательно, при этом процессор выполнен с возможностью формирования своего выходного кода из выходного кода первого накапливающего сумматора и/или выходного кода второго накапливающего сумматора, причем на вход первого накапливающего сумматора поступает входной код, соответствующий последовательности целых чисел, начиная с нуля, первый накапливающий сумматор выполнен с возможностью формирования ряда чисел, каждое из которых равно сумме предыдущего числа в данном ряду и числа, соответствующего порядковому номеру текущего входного кода, а второй накапливающий сумматор выполнен с возможностью формирования ряда чисел, каждое из которых равно сумме предыдущего числа в данном ряду и текущего числа первого числового ряда.
2. Обучающая система для численного моделирования алгебраических или неопределенных уравнений, содержащая техническое средство для управления работой обучающей системы, техническое средство для обработки данных, вычислитель числовых рядов, запоминающее устройство для хранения данных, техническое средство для отображения данных и техническое средство для ввода данных в обучающую систему, при этом техническое средство для обработки данных, вычислитель числовых рядов и запоминающее устройство для хранения данных связаны своими входами-выходами с соответствующими входами-выходами технического средства для управления работой обучающей системы, выход технического средства для ввода данных в обучающую систему связан с соответствующим входом технического средства для управления работой обучающей системы, вход технического средства для отображения данных связан с соответствующим выходом технического средства для управления работой обучающей системы, техническое средство для управления работой обучающей системы выполнено с возможностью формирования заданий для технического средства для обработки данных и вычислителя числовых рядов, контроля правильности действий обучаемого и с возможностью сообщения обучаемому результата выполнения одного или более указанных ранее действий через техническое средство для отображения данных, а вычислитель числовых рядов содержит устройство для управления работой вычислителя числовых рядов, процессор, предназначенный для работы с числовыми рядами, запоминающее устройство для хранения числовых рядов и устройство ввода-вывода данных, связанные своими входами-выходами, при этом процессор содержит первый накапливающий сумматор и второй накапливающий сумматор, связанные последовательно, причем данный процессор выполнен с возможностью формирования выходного кода процессора из выходного кода первого накапливающего сумматора и/или выходного кода второго накапливающего сумматора при поступлении на вход первого накапливающего сумматора входного кода, соответствующего последовательности целых чисел начиная с нуля.
РИСУНКИ
|