|
|
(21), (22) Заявка: 2008144756/09, 12.11.2008
(24) Дата начала отсчета срока действия патента:
12.11.2008
(46) Опубликовано: 10.05.2010
(56) Список документов, цитированных в отчете о поиске:
SU 788128 А, 15.12.1980. RU 2097829 C1, 27.11.1997. RU 2210102 C1, 10.08.2003. US 5313509 A, 17.05.1994.
Адрес для переписки:
197376, Санкт-Петербург, ул. Проф. Попова, 5, СПбГЭТУ, патентный отдел, Е.А. Ивановой
|
(72) Автор(ы):
Сафьянников Николай Михайлович (RU), Кайданович Антон Юрьевич (RU)
(73) Патентообладатель(и):
Общество с ограниченной ответственностью “Токсикон” (RU)
|
(54) МНОЖИТЕЛЬНО-ДЕЛИТЕЛЬНОЕ УСТРОЙСТВО
(57) Реферат:
Множительно-делительное устройство относится к автоматике и вычислительной технике и может найти применение при обработке сигналов, представленных в кодовой и широтно-импульсной формах при выдаче результатов вычислений в кодовой и частотно-импульсной формах. Техническим результатом является расширение функциональных возможностей устройства. Устройство содержит реверсивный счетчик, три элемента И, два двоичных умножителя частоты, два элемента ИЛИ. 2 ил.
Предлагаемое изобретение относится к автоматике и вычислительной технике и может найти применение при обработке сигналов, представленных в кодовой и широтно-импульсной формах при выдаче результатов вычислений в кодовой и частотно-импульсной формах.
Известно устройство умножитель частоты, описанное в авторском свидетельстве СССР 525969, кл. G06G 7/16, 1974, реализующее множительно-делительную функцию с представлением результата в частотно-импульсной форме
,
где Fвых и Fвх– выходная и входная частоты;
1 и 2 – входные относительные длительности прямоугольных импульсов.
Это устройство содержит реверсивный счетчик, суммирующий и вычитающий, входы которого подключены к выходам первого и второго элементов И, а кодовый выход счетчика через последовательно соединенный регистр и преобразователь код-напряжение – ко входу генератора управляемой частоты, выход которого соединен с выходом устройства и с первым входом второго элемента И, второй вход которого и первый вход первого элемента И подключены к выходам делителя и делимого датчика интервалов времени, третий выход датчика соединен с управляющим входом регистра, а входы устройства подключены к датчику интервалов времени и ко второму входу первого элемента И.
Недостатками этого устройства являются пониженная надежность, отсутствие представления результата в кодовой форме, неоднородность элементной базы и связанная с этим нетехнологичность, а также пониженная точность вычислений, обусловленная наличием аналоговых элементов.
Наиболее близким по технической сущности к заявляемому устройству является множительно-делительное устройство, описанное в авторском свидетельстве СССР 788128, кл. G06G 7/161, G06G 3/00, 1977, которое и принято в качестве прототипа.
Прототип осуществляет операции над операндами, представленными в широтно-импульсной форме, результат которых формируется в виде частотно-импульсной последовательности. Прототип отличается однородностью элементной базы, простотой реализации, а также помехоустойчивостью и более высокой точностью работы устройства. Кроме того, в прототипе результат представлен не только в частотно-импульсной, но и в кодовой форме.
Прототип содержит реверсивный счетчик, два элемента И, два двоичных умножителя частоты, вход первой и вход второй опорных частот, причем первый из этих входов подключен к частотному входу первого двоичного умножителя частоты, кодовый вход которого соединен с кодовым входом устройства, а выход соединен с первым входом первого элемента И, второй вход которого подключен к входу первого широтно-импульсного сигнала, а выход соединен с суммирующим входом реверсивного счетчика, выход которого подключен к кодовому выходу устройства и к кодовому входу второго двоичного умножителя частоты, а выход этого умножителя подключен к частотному выходу устройства и к первому входу второго элемента И, второй вход которого соединен с входом второго широтно-импульсного сигнала. Кроме того, частотный вход второго двоичного умножителя частоты соединен с входом второй опорной частоты, а выход второго элемента И подключен к вычитающему входу реверсивного счетчика.
Вследствие наличия отрицательной обратной связи в устройстве устанавливается режим динамического равновесия, характеризующийся (при пренебрежении изменениями выходного кода Nвых счетчика, имеющего достаточную разрядность) равенством количества импульсов, приходящих на суммирующий N+ и вычитающий N– входы реверсивного счетчика в течение одного периода широтно-импульсной модуляции, т.е.
или ,
где и – средние значения частот импульсных последовательностей на суммирующем и вычитающем входах реверсивного счетчика.
Последнее соотношение с учетом разрядности двоичных умножителей записывается в виде
,
где 1= 2/T и 2= 1/T – относительные длительности входных широтно-импульсных сигналов с длительностями 1 и 2 и периодом Т;
F01 и F02 – частоты первой и второй опорных импульсных последовательностей;
N – входной код, подаваемый на вход устройства;
Nвых – выходной код;
n – разрядность двоичных умножителей.
Таким образом, для установившегося состояния функциональная характеристика устройства по кодовому выходу имеет вид
,
а по частотному выходу
,
где – среднее значение выходной частоты устройства.
Недостатком прототипа являются низкие функциональные возможности вследствие ограничения количества аргументов двумя широтно-импульсными сигналами.
Техническим результатом изобретения является расширение функциональных возможностей.
Поставленный технический результат достигается тем, что в множительно-делительное устройство, в состав которого входит реверсивный счетчик, два элемента И, два двоичных умножителя частоты, вход первой и вход второй опорных частот, причем первый из этих входов подключен к частотному входу первого двоичного умножителя частоты, кодовый вход которого соединен с кодовым входом устройства, а выход соединен с первым входом первого элемента И, второй вход которого подключен к входу первого широтно-импульсного сигнала, а выход соединен с суммирующим входом реверсивного счетчика, выход которого подключен к кодовому выходу устройства и к кодовому входу второго двоичного умножителя частоты, а выход этого умножителя подключен к частотному выходу устройства и к первому входу второго элемента И, второй вход которого соединен с входом второго широтно-импульсного сигнала, введены два элемента ИЛИ и третий элемент И, первый вход которого объединен с первым входом второго элемента И, второй вход соединен с входом третьего широтно-импульсного сигнала, а выходы второго и третьего элементов И соединены соответственно с первым и вторым входами первого элемента ИЛИ, выход которого подключен к вычитающему входу реверсивного счетчика, причем вход второй опорной частоты соединен с третьим входом второго элемента И и с первым входом второго элемента ИЛИ, а вход третьей опорной частоты – с третьим входом третьего элемента И и со вторым входом второго элемента ИЛИ, выход которого соединен с частотным входом второго двоичного умножителя частоты.
Сущность предлагаемого изобретения состоит в создании функционального преобразователя трех широтно-импульсных сигналов, поступающих периодически, с использованием итерационного метода реализации оператора усреднения путем функционального обобщения двоичного умножителя частоты за счет совмещения фазирования и модуляции импульсных последовательностей и получения возможности вычисления функции трех переменных.
Сущность предлагаемого изобретения поясняется чертежами, где на фиг.1 представлена функциональная схема множительно-делительного устройства, а на фиг.2 – временная диаграмма входных импульсных последовательностей.
Предлагаемое устройство (фиг.1) содержит реверсивный счетчик 1, два элемента И 2, 3, два двоичных умножителя частоты 4, 5, вход 6 первой и вход 7 второй опорных частот, причем первый из этих входов 6 подключен к частотному входу первого двоичного умножителя частоты 4, кодовый вход которого соединен с кодовым входом 8 устройства, а выход соединен с первым входом элемента И 2, второй вход которого подключен к входу 9 первого широтно-импульсного сигнала, а выход соединен с суммирующим входом реверсивного счетчика 1, выход которого подключен к кодовому выходу 10 устройства и к кодовому входу двоичного умножителя частоты 5, а выход этого умножителя 5 подключен к частотному выходу 11 устройства и к первому входу элемента И 3, второй вход которого соединен с входом 12 второго широтно-импульсного сигнала. Кроме того, устройство содержит два элемента ИЛИ 13, 14 и третий элемент И 15, первый вход которого объединен с первым входом элемента И 3, второй вход – с входом 16 третьего широтно-импульсного сигнала, а выходы элемента И 3 и элемента И 15 соединены соответственно с первым и вторым входами элемента ИЛИ 13, выход которого подключен к вычитающему входу реверсивного счетчика 1, причем вход 7 второй опорной частоты соединен с третьим входом элемента И 3 и с первым входом элемента ИЛИ 14, а вход 17 третьей опорной частоты – с третьим входом элемента И 15 и со вторым входом элемента ИЛИ 14, выход которого соединен с частотным входом двоичного умножителя частоты 5.
Устройство работает следующим образом. Пусть в начальный момент времени реверсивный счетчик 1 обнулен, на вход 8 устройства подается двоичный код N, на входы 9, 12, 16 поступают широтно-импульсные сигналы с одним периодом повторения Т и относительными длительностями 1, 2, 3, а на входы 6, 7, 17 – опорные импульсные последовательности с частотами F01, F02, F03. Эти импульсные последовательности связаны соотношениями




При этом для обеспечения нормального функционирования устройства задаются следующие фазовые соотношения относительно первой импульсной последовательности с периодом Т0: вторая опорная импульсная последовательность сдвинута на 0,5Т0, а третья – на 1,5Т0 (фиг.2).
Под воздействием кода N на выходе двоичного умножителя частоты 4 вырабатываются импульсы, которые в течение интервала времени 1 отпирания элемента И 2 проходят через этот элемент на суммирующий вход реверсивного счетчика 1, изменяя его состояние. После первого же импульса, двоичный умножитель частоты 5 начинает вырабатывать импульсы, т.к. управляющий им код счетчика 1 становится отличным от нуля, а на его частотный вход поступает импульсная последовательность через элемент ИЛИ 14 с суммарной частотой (F02+F03), благодаря разнесению во времени поступающих на его входы сигналов. Импульсы с выхода двоичного умножителя частоты 5 подаются на первый вход элемента И 3. На выходе этого элемента импульсы появляются в соответствии с фазой опорной импульсной последовательности F02, поступающей со входа 7, на третий вход элемента И 3, причем только в течение интервала времени 2 отпирания элемента И 3. Далее через элемент ИЛИ 13 эта импульсная последовательность поступает на вычитающий вход реверсивного счетчика 1. Кроме того, через элемент ИЛИ 13 на этот вход проходят импульсы с выхода элемента И 15 в течение интервала времени его отпирания 3 в соответствии с фазой опорной импульсной последовательности, поступающей со входа 17. Эти импульсы также вырабатываются двоичным умножителем частоты 5 и поступают на первый вход элемента И 15. Выходной код Nвых формируется на реверсивном счетчике 1 и поступает на кодовый выход 10 устройства, а выходная импульсная последовательность со средней частотой Fвых вырабатывается двоичным умножителем частоты 5 и поступает на частотный выход 11 устройства. В следующие периоды процесс работы устройства повторяется.
Таким образом, в прямой цепи вырабатывается импульсная последовательность с выхода двоичного умножителя 4 и модулируется широтно-импульсным сигналом с относительной длительностью 1. Импульсный поток, в цепи обратной связи устройства, с выхода двоичного умножителя частоты 5 разделяется элементами И 3, 15 на две последовательности импульсов в соответствии с фазой сигналов, поступающих со входов 7, 17 соответственно. При этом одновременно происходит модуляция выделенных импульсных последовательностей широтно-импульсными сигналами с относительной длительностью 2, 3 с последующим суммированием посредством элемента ИЛИ 13.
В основу работы устройства положен принцип широтной модуляции частотно-импульсных последовательностей и их автоматической компенсации с помощью отрицательной обратной связи при усреднении формируемых импульсных последовательностей и наличии импульсного потока, разделяемого и объединяемого в процессе создания сигнала обратной связи, в результате чего воспроизводится дробно-рациональная функция трех переменных. Условием динамического равновесия устройства является равенство приращений кодов суммирующих и вычитающих цепей реверсивного счетчика в течение периода повторения широтно-импульсных сигналов, т.е. равенство средних частот импульсных последовательностей, поступающих на его суммирующий и вычитающий входы. Наличие в устройстве отрицательной обратной связи обеспечивает выход в режим установившегося динамического равновесия, характеризующийся равенством количества импульсов, приходящих на суммирующий N+ и на вычитающий N– входы реверсивного счетчика 1 в течение периода Т широтно-импульсной модуляции, т.е.
или ,
где и – средние значения частот импульсных последовательностей на суммирующем и вычитающем входах реверсивного счетчика 1 соответственно.
Количество импульсов, пришедших на суммирующий и вычитающий входы реверсивного счетчика 1 в течение одного периода широтно-импульсной модуляции, определяется соотношениями
,
.
Учитывая соотношения частот опорных импульсных последовательностей (1), (2) и (3), будем иметь
,
.
Обозначая , получим
,
.
После первого периода работы устройства реверсивный счетчик 1 сформирует код

где Nвых0 – начальное значение выходного кода.
После второго периода работы устройства реверсивный счетчик 1 сформирует код

Подставляя выражение (4) для Nвых1, получим

После третьего периода работы устройства реверсивный счетчик 1 сформирует код

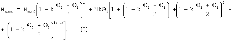
После i-го периода работы устройства реверсивный счетчик 1 сформирует код

Второе слагаемое этого выражения характеризуется геометрической прогрессией с основанием и может быть представлено суммой

Поскольку величины 2 и 3 находятся в диапазоне 0< 2<1 и 0< 3<1, то и результат находится в том же диапазоне, т.е.
.
Учитывая, что k также находится в диапазоне от 0 до 1, т.е.
0
получим и, следовательно,
.
В пределе геометрическая прогрессия второго слагаемого выражения (5) преобразуется к виду
,
а первое слагаемое выражения (5) будет равно нулю, т.к.
.
Таким образом, в установившемся режиме передаточная характеристика устройства будет иметь вид

При этом на частотный выход 11 устройства поступит импульсная последовательность со средней частотой

Таким образом, введение в знаменатели зависимостей (6), (7) третьего аргумента 3 является фактором, доказывающим расширение функциональных возможностей прототипа. Отсутствие ввода третьего широтно-импульсного сигнала с относительной длительностью 3 сохраняет вид воспроизводимых прототипом функций.
Формула изобретения
Множительно-делительное устройство, содержащее реверсивный счетчик, два элемента И, два двоичных умножителя частоты, вход первой и вход второй опорных частот, причем первый из этих входов подключен к частотному входу первого двоичного умножителя частоты, кодовый вход которого соединен с кодовым входом устройства, а выход соединен с первым входом первого элемента И, второй вход которого подключен к входу первого широтно-импульсного сигнала, а выход соединен с суммирующим входом реверсивного счетчика, выход которого подключен к кодовому выходу устройства и к кодовому входу второго двоичного умножителя частоты, а выход этого умножителя подключен к частотному выходу устройства и к первому входу второго элемента И, второй вход которого соединен с входом второго широтно-импульсного сигнала, отличающееся тем, что в устройство введены два элемента ИЛИ и третий элемент И, первый вход которого объединен с первым входом второго элемента И, второй вход соединен с входом третьего широтно-импульсного сигнала, а выходы второго и третьего элементов И соединены соответственно с первым и вторым входами первого элемента ИЛИ, выход которого подключен к вычитающему входу реверсивного счетчика, причем вход второй опорной частоты соединен с третьим входом второго элемента И и с первым входом второго элемента ИЛИ, а вход третьей опорной частоты – с третьим входом третьего элемента И и со вторым входом второго элемента ИЛИ, выход которого соединен с частотным входом второго двоичного умножителя частот.
РИСУНКИ
|
|