Патент на изобретение №2388711
|
||||||||||||||||||||||||||||||||||||||||||||||||||||||||||||
(54) СПОСОБ НЕЙТРАЛИЗАЦИИ ПРИМЕСЕЙ
(57) Реферат:
Изобретение относится к применению катионных полимеров, а именно к способу нейтрализации глин в песках. Способ нейтрализации глин в песках, предназначенных для получения гидравлических композиций, содержит этап добавления в композицию или в один из ее компонентов катионного полимера. Указанный катионный полимер имеет плотность катионных зарядов, превышающую 0,5 мэкв/г, и характеристическую вязкость менее 1 дл/г. Применение в соответствии с изобретением позволяет эффективно нейтрализовывать глины в гидравлических композициях. 23 з.п. ф-лы, 4 табл.
Настоящее изобретение относится к способу нейтрализации вредных примесей, таких как глины, в гидравлических композициях. Иногда бывает трудно постоянно контролировать свойства гидравлических композиций. Часто причиной таких колебаний является качество сырья. В частности, отмечается, что пески или, в особенности, примеси, содержащиеся в этих песках, такие как глины, могут быть причиной изменений свойств гидравлических композиций. В некоторых случаях эти изменения происходят из-за снижения эффективности пластификаторов типа полимеров с гребенчатой структурой, называемых также суперпластификаторами. Согласно документу WO 98/58887, причиной такого снижения эффективности является абсорбция этих полимеров вспучивающими глинами типа 2:1, присутствующими в песке. Известно удаление из песка глин и других примесей путем промывки водой. После этого соленую воду обрабатывают флокулянтом, который позволяет ускорить отделение жидкости от твердого вещества и получить, таким образом, чистую воду. Затем эту воду повторно используют для промывки песка. Однако такое решение является дорогим с точки зрения необходимого оборудования и требует большого количества воды. Кроме того, промытый песок, как правило, содержит остаточный флокулянт, наличие которого отрицательно сказывается на свойствах гидравлических композиций. В заявке JP 9-221346 предложено нейтрализовать отрицательный эффект остаточного флокулянта типа анионного полимера путем добавления катионного полимера. Другое решение состоит в том, чтобы не отделять глину от песка, а нейтрализовать глину в песке. В документе WO 98/58887 предлагается использовать реагенты, изменяющие активность глины, например, путем уменьшения ее абсорбционной способности или путем осуществления предабсорбции. В этом документе предлагается также использовать неорганические или органические катионы, в том числе четвертичные (поли)амины, в случае необходимости подвергнутые алкоксилированию. Однако описанные реагенты не обеспечивают необходимой эффективности. Так, требуется добавлять повышенное количество реагентов для обработки материалов с высоким содержанием примесей. Увеличение количества реагентов приводит к удорожанию способа, который поэтому не имеет промышленной применимости. Кроме того, в отличие от того, что утверждается в документе WO 98/58887, снижение качества гидравлических композиций может происходить также из-за присутствия других глин, например типа 1:1. Поэтому настоящее изобретение призвано создать способ получения гидравлических композиций, позволяющий уменьшить нежелательный эффект присутствия вредных примесей, таких как глины. В частности, такой способ должен быть простым, быстрым, надежным и недорогим, а также не требовать наличия сложного оборудования. Этот технический результат достигается за счет использования специальных катионных полимеров. Таким образом, объектом настоящего изобретения главным образом является способ нейтрализации глин в песках, предназначенных для получения гидравлических композиций, содержащий этап добавления в композицию или в один из ее компонентов катионного полимера, который имеет плотность катионных зарядов, превышающую 0,5 мэкв/г, и характеристическую вязкость менее 1 дл/г. В рамках настоящего описания под термином «полимер» следует понимать соединение, содержащее более двух мономерных единиц, одинаковых или разных, имеющее специальную упорядоченность или без нее. Под термином «катионность» следует понимать плотность положительных зарядов в соединении. Катионность можно измерять коллоидным титрованием. Под термином «характеристическая вязкость» следует понимать предельное значение приведенной вязкости Термином «гидравлическая композиция» обозначают любую композицию, способную к гидравлическому схватыванию, в частности строительные растворы и бетоны, предназначенные для строительных работ (строительство зданий, дорожное строительство или производство строительных материалов). Под термином «песок» следует понимать грануляты, имеющие средний гранулометрический размер от 0 до 6 мм, предпочтительно от 0 до 4 мм. Они могут иметь любое минеральное происхождение и могут быть известковыми, кварцевыми, кварц-известковыми т.д. Это определение охватывает также порошкообразные наполнители или другие сыпучие неорганические материалы, которые можно использовать в гидравлических композициях. Под термином «глины» следует понимать силикаты алюминия и/или магния, в частности филлосиликаты со структурой в виде листочков, в которой листочки разделены промежутками примерно от 7 до 14 Ангстрем. Вместе с тем этот термин относится и к другим типам, в частности к аморфным глинам. Среди глин, часто встречающихся в песках, можно упомянуть, в частности, монтмориллонит, иллит, каолинит, мусковит и хлорит. Глины могут быть типа 2:1, а также типа 1:1 (каолинит) или 2:1:1 (хлорит). Изобретение основано на установлении того, что катионные полимеры, имеющие специфические плотность катионного заряда и молекулярную массу, являются особенно эффективными для нейтрализации примесей в гидравлических композициях. Согласно изобретению, катионные полимеры, используемые для оптимизации нейтрализующего эффекта, характеризуются катионностью, превышающей 0,5 мэкв/г, предпочтительно превышающей 1 мэкв/г и, в частности, превышающей 2 мэкв/г. Согласно изобретению, катионный полимер имеет также молекулярную массу, выраженную характеристической вязкостью, меньшей 1 дл/г, предпочтительно меньшей 0,8 дл/г и, в частности, меньшей 0,6 дл/г. Катионные полимеры могут иметь линейную, гребенчатую или разветвленную структуру. Предпочтительно они должны иметь линейную структуру. Катионные группы могут быть, в частности, фосфониевыми группами, пиридиниевыми группами, сульфониевыми группами и группами четвертичных аминов, причем последние являются предпочтительными. Известно большое число катионных полимеров. Такие полимеры можно получать непосредственно при помощи любого из известных способов полимеризации, таких как радикальная полимеризация, поликонденсация или полимеризация присоединением. Их можно также получать при помощи следующей за синтезом модификации полимера, например, путем прививания групп с одной или несколькими катионными функциями к полимерной цепи, содержащей соответствующие реактивные группы. Полимеризацию осуществляют на основе, по меньшей мере, одного мономера, содержащего катионную группу или соответствующий предшественник. Наиболее предпочтительны катионные полимеры, полученные из мономеров, содержащих аминные группы и иминные группы. После полимеризации азот можно кватернизировать известным способом, например, путем алкилирования при помощи алкильного соединения, например, метилхлоридом, или в кислой среде путем протонирования. Наиболее предпочтительными являются катионные полимеры, содержащие катионные группы четвертичного амина. Среди мономеров, уже содержащих катионную группу четвертичного амина, можно, в частности, указать соли диаллилдиалкиламмония, кватернизированные диалкиламиноалкил(мет)акрилаты и (мет)акриламиды N-замещенные квартернизированным диалкиламиноалкилом. Полимеризацию можно осуществлять с неионными мономерами, предпочтительно с короткой цепочкой, содержащей от 2 до 6 атомов углерода. Ионные мономеры тоже могут присутствовать, если только они не влияют на катионные группы. В рамках модификации полимеров путем прививания можно упомянуть природные привитые полимеры, такие как катионные крахмалы. Предпочтительно катионный полимер содержит группы, катионность которых проявляется только в кислой среде. Наиболее предпочтительными являются третичные аминогруппы, ставшие катионными при протонировании в кислой среде. Отсутствие ионного характера в гидравлических композициях типа бетона или строительного раствора со щелочным pH позволяет еще более повысить их стойкость по сравнению с другими ионными соединениями, а частности анионными. Например, можно упомянуть катионные полимеры из семейства поливиниламинов, которые можно получить путем полимеризации N-винилформамида с последующим гидролизом. Четвертичные поливиниламины можно получать согласно способу, описанному в патенте US 5,292,441. Можно также использовать полимеры типа полиэтиленимина. Эти полимеры кватернизируют путем протонирования. Особенно предпочтительными являются катионные полимеры, полученные поликонденсацией эпихлоргидрина с моно- или диалкиламином, в частности, метиламином или диметиламином. Их получение описано, например, в патентах US 3,738,945 и US 3,725,312. Звено цепочки катионного полимера, полученного поликонденсацией диметиламина и эпихлоргидрина может выглядеть следующим образом:
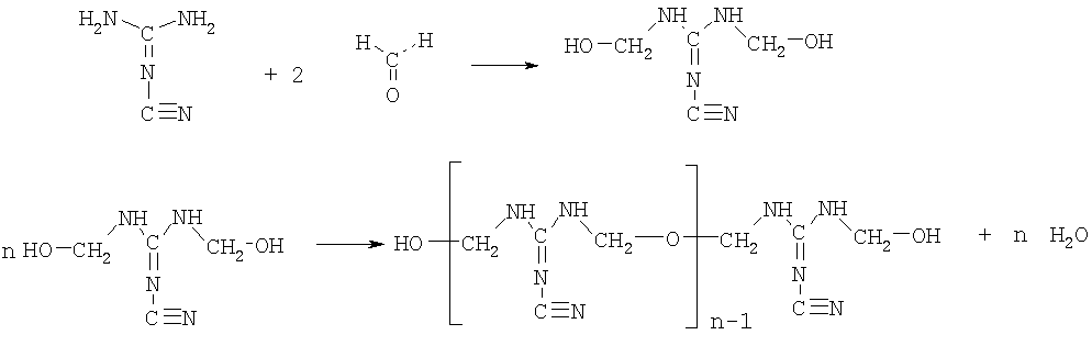
Можно также использовать полимеры типа полиакриламида, модифицированные реакцией Манниха, такие как полиакриламид N-замещенный диметиламинометиловой группой. Можно также использовать катионные полимеры, полученные поликонденсацией дициандиамида и формальдегида. Эти полимеры и способы их получения описаны в патенте FR 1042084. Таким образом, объектом настоящего изобретения является также способ нейтрализации глин в песках, предназначенных для приготовления гидравлических композиций, отличающийся тем, что во время подготовки песка его соединяют с полимером, который можно получить конденсацией дициандиамида с формальдегидом, в случае необходимости, в присутствии других соединений. Согласно предпочтительному варианту выполнения полимер можно получать конденсацией дициандиамида с формальдегидом в присутствии: A) полиалкиленгликоля; и/или B) полиалкоксилированного поликарбоксилата; и/или C) аммониевого производного. Точный химический состав полученного таким образом полимера неизвестен. Поэтому полимеры будут в дальнейшем описаны в основном способом их получения. Способ получения Полимер можно получить путем конденсации дициандиамида с формальдегидом, в случае необходимости, в присутствии других соединений, в частности полиалкиленгликоля (А), полиалкоксилированного поликарбоксилата (В) и/или агента кватернизации (С). Реакция конденсации между дициандиамидом и формальдегидом требует 2 молей формальдегида на 1 моль дициандиамида, согласно следующей схеме (I) реакции: Таким образом, молярное соотношение между формальдегидом и дициандиамидом предпочтительно находится в диапазоне от 0,8:1 до 4:1, в частности от 1:1 до 3:1. Молярный избыток, превышающий 4, не дает дополнительных преимуществ, но зато может привести к нежелательному схватыванию. Предпочтительно проводить реакцию с небольшим стехиометрическим избытком формальдегида при молярном соотношении между формальдегидом и дициандиамидом, находящемся в диапазоне от 2,2:1 до 2,8:1. Предпочтительно полимер получают путем конденсации формальдегида с дициандиамидом в присутствии дополнительных соединений. Действительно, это позволяет модулировать свойства полимера, в частности его растворимость в воде и его сродство к глинам. Полиалкиленгликоль (соединение А) предпочтительно имеет формулу (I): R2-O-[R1-O]n-R3, где: R1 – алкильная группа с C1-C4, предпочтительно этиловая группа и/или пропиловая группа; R2 и R3 являются независимо друг от друга атомом водорода или алкильной группой с C1-C4, предпочтительно метиловой группой; и n – число от 25 до 1000. Например, речь может идти о полиэтиленгликоле, о полипропиленгликоле, о сополимере этиленоксида/пропиленоксида или о смеси этих различных соединений. Предпочтительно речь идет о полиэтиленгликоле. Молекулярная масса соединения А предпочтительно составляет от 1000 до 35000. Путем замеров вязкости было установлено, что присутствие соединения А изменяет структуру образованного полимера, а также его свойства. Количество соединения А, используемого в реакции в случае необходимости, в принципе меньше количества главных реагентов – дициандиамида и формальдегида. Так, реакционная смесь обычно содержит 0-10 мас.%, предпочтительно 0,5-3 мас.% и, в частности, 0,8-1 мас.% соединения А. Полиалкоксилированный поликарбоксилат (соединение В) является гребенчатым полимером, содержащим главную водородно-углеродную цепочку, с которой связаны одновременно боковые карбоксильные группы и алкоксильные группы, в частности группы пропиленоксида (РО), группы этиленоксида (ЕО) и/или их комбинации. Боковые группы могут быть ионными или не ионными. Предпочтительно речь идет о соединении, имеющем следующую формулу (II):
в которой R1 и R2 являются независимо друг от друга атомом водорода или метиловой группой; R3 и R4 являются независимо друг от друга атомом водорода или алкиленовой группой с C1-C4, предпочтительно этиленовой группой, пропиленовой группой или одной из их комбинаций; R5 является атомом водорода или алкильной группой с C1-C4, предпочтительно метиловой группой; m – целое число от 2 до 100; p – целое число от 2 до 100; и q – целое число от 2 до 100. Содержание эфира в соединении В, выраженное соотношением p/(m+p), может составлять от 10 до 60%, в частности от 20 до 40%. Предпочтительно реакционная смесь содержит от 0,1 до 10 мас.%, предпочтительно от 0,5 до 5 мас.% и, в частности от 0,5 до 2 мас.% соединения В. Производное аммония (соединение С) главным образом предназначено для повышения степени ионности полимера путем добавления катионных групп. Ионность полимера во многом способствует его растворимости в воде и его сродству к глинам и, следовательно, представляет интерес в рассматриваемом варианте применения. Предпочтительно ион аммония аммониевого производного имеет следующую формулу (IV): NH(R6)3 в которой группы R6 являются одинаковыми или разными и обозначают Н или алкильную группу с C1-С6. Среди предпочтительных аммониевых производных можно указать, в частности, галогениды аммония, такие как хлорид аммония, бромид аммония и иодид аммония, сульфат аммония и ацетат аммония, из которых предпочтение отдается хлориду аммония. Количество используемого соединения С может меняться в самых широких пределах. Вместе с тем, молярное соотношение между соединением С и дициандиамидом предпочтительно составляет от 1 до 1,5 и, в частности от 1,1 до 1,3. Обычно реакционная среда содержит от 1 до 10 мас.%, предпочтительно от 3 до 8 мас.% и, в частности от 6 до 8 мас.% соединения С. Реакция конденсации происходит в соответствующем растворителе, при этом наиболее предпочтительным растворителем является вода. Количество растворителя в реакционной смеси выбирают таким образом, чтобы обеспечить растворение различных компонентов. Например, реакционная смесь может содержать от 10 до 80 мас.%, предпочтительно от 20 до 70 мас.% растворителя. Как правило, количество воды в реакционной среде лучше ограничивать, чтобы сместить равновесие реакции конденсации к получаемому продукту. Если требуется разбавленный продукт, воду добавляют предпочтительно после реакции. Можно также добавлять другие классические добавки для полимеризации, такие как агенты обрыва цепи. Эти соединения позволяют контролировать размер синтезированных молекул и, следовательно, их молярную массу и снижать их показатель полидисперсности. Среди агентов обрыва цепи можно указать, в частности, сульфаминовую кислоту. Реакция конденсации проходит быстро, как правило, в пределах примерно от 30 минут до 4 часов. Скорость реакции зависит от температуры, которая может находиться в пределах от комнатной температуры до точки кипения реакционной смеси. Предпочтительно она находится в пределах от 20 до 95°С, еще предпочтительнее – от 60 до 70°С. При более низкой температуре реакция будет длиться дольше. Вместе с тем, нежелательно поддерживать высокую температуру в течение длительного времени, так как это может привести к ухудшению качества продукта. Предпочтительно полимер применяют непосредственно в конце реакции без предварительной очистки. Следовательно, он может содержать другие вещества в отличие от полимера, который можно было бы ожидать согласно вышеуказанной реакционной схеме (I). Полученный полимер специально используют для нейтрализации отрицательных эффектов глин, содержащихся в некоторых песках. Кроме того, он имеет также следующие преимущества: – он позволяет уменьшить количество воды или разжижителя, необходимого для получения требуемой текучести; – он является эффективным для разных глин; – он не влияет на характеристики строительного раствора в случае передозировки; – он не ухудшает механическую прочность как в краткосрочном, так и в долгосрочном плане; – он не оказывает замедляющего действия на схватывание; и – он является устойчивым во времени и стойким к жаре и морозу. В зависимости от варианта применения полимеры можно использовать в твердом виде (гранулы, шарики), в жидком виде или в виде эмульсии. Жидкие формы особенно легко дозировать. С другой стороны, учитывая относительно низкую молекулярную массу выбранных макромолекул, можно использовать водные растворы с повышенной концентрацией полимера, не опасаясь повышения вязкости. Повышенная концентрация полимера особенно интересна с точки зрения сокращения затрат (транспортировка, хранение). Концентрация катионного полимера в растворе может меняться, но, как правило, находится в пределах от 20 мас.% до 80 мас.%. Описанный способ используют для глин, присутствующих в некоторых компонентах рассматриваемых композиций. Эти примеси могут ухудшать свойства композиций, которые могут содержать или не содержать суперпластификаторы. Содержание примесей в компоненте или компонентах может быть неограниченным, если только не вступают в силу экономические соображения. Поэтому, как правило, обработке подвергают материалы с содержанием глины от 0,5 до 5 мас.%. Обработка материалов, содержащих глины, является исключительно простой и быстрой. Действительно, полимер обладает значительным сродством к глинам, независимо от того, являются ли они вспучивающими или нет. Так, в принципе достаточно ввести полимер в контакт с материалом, чтобы обеспечить нейтрализацию содержащихся в нем глин. Как правило, достаточно контакта в течение нескольких секунд. Предпочтительно катионный полимер вводят в контакт с материалом путем распыления водного раствора полимера. В случае какого-либо особого материала во время или после обработки производят перемешивание для лучшего распределения полимера и получения однородно обработанного материала. Глины часто присутствуют в песках в виде примесей. Поэтому, в соответствии с настоящим изобретением, катионным полимером обрабатывают песок. Предпочтительно песок вводят в контакт с катионным полимером путем распыления водного раствора продукта на песок. Предпочтительно обрабатывают сухой песок. Так, предпочтительно песок должен иметь влажность ниже 10 мас.%. Действительно, установлено, что эффективность полимера снижается при повышении содержания воды в песке. Поэтому предпочтительно обработку песка производят в карьере. Чтобы обеспечить хорошее распределение полимера и получить однородно обработанный песок, песок предпочтительно перемешивают. Распыление можно производить в емкости, например в ящике со щелями, на выходе транспортерной ленты. Такой вариант выполнения к тому же снижает потери продукта. В одном из вариантов раствор полимера можно распылять в мешалке, установленной на выходе ленты. Можно также предварительно приготовить смесь небольшого количества песка с продуктом и затем добавить эту смесь в песок. Предпочтительно полимер наносят на песок в количестве, достаточном, чтобы обеспечить полную нейтрализацию присутствующих в песке глин и, следовательно, избежать передозировки суперпластификатора. Вместе с тем, можно также предусмотреть частичную обработку, причем нанесение большего количества не ухудшает требуемых свойств гидравлической композиции. Таким образом, нет необходимости предварительно определять количество глины, содержащееся в песке, чтобы определить необходимое количество полимера. Действительно, количество полимера, необходимое для нейтрализации, в основном зависит от содержания глин в песке. Оно может меняться в зависимости от природы присутствующих глин. Например, обработка является удовлетворительной при дозировке полимера от 2 до 20 мас.%, предпочтительно от 5 до 10 мас.% по отношению к массе сухой глины в песке. Катионный полимер можно добавлять в один или несколько компонентов, содержащих вредные примеси. Его можно также добавлять во время приготовления гидравлической композиции, например, в воду затворения. Таким образом, катионный полимер можно применять как в карьере, так и на бетонном заводе. Однако непосредственная обработка компонентов, например, в песчаном карьере, как правило, является более эффективной и, следовательно, более предпочтительной. Обработанные таким образом компоненты можно использовать обычным путем, в частности, для приготовления композиций гидравлического схватывания. Их можно использовать для приготовления гидравлических композиций, имеющих постоянные свойства. В частности, обработанные таким образом пески используют для приготовления гидравлических композиций, в которых глины могут снизить эффективность суперпластификаторов. Их можно применять обычным путем для приготовления композиций гидравлического схватывания. Следует отметить, что этот способ обработки является очень гибким. Действительно, он дает очень удовлетворительные результаты для самых разных цементов. Кроме того, его эффективность не ограничивается одним отдельным видом глины. Гидравлические композиции, содержащие пески с глиной, обработанные полимером, имеют реологические свойства, сравнимые со свойствами при использовании песков, не содержащих глин, не требуют большого количества суперпластификатора и соответственно являются более дешевыми. Этот способ позволяет уменьшить количество воды или разжижителя, необходимого для получения требуемой текучести. Кроме того, описанный способ не влияет на характеристики композиций даже в случае передозировки. В частности, не отмечают эффектов захватывания воздуха или замедления схватывания. Кроме того, применение описанного способа не ухудшает другие характеристики гидравлических композиций, такие как удобоукладываемость смеси и ее долговечность, краткосрочная и долгосрочная механическая прочность или время схватывания. Описанный способ позволяет обрабатывать даже сильно загрязненные компоненты. Действительно, описанный катионный полимер является эффективным в небольших количествах и поэтому обеспечивает экономически выгодную промышленную нейтрализацию глин. Кроме того, катионный полимер обладает стойкостью во времени и термо- и морозоустойчивостью. Наконец, способ не требует применения специального оборудования. Таким образом, описанный способ остается эффективным в самых разных условиях, для разных типов гидравлических композиций и глин. Далее изобретение будет более подробно описано при помощи неограничительных примеров. ПРИМЕРЫ Катионные полимеры характеризуются степенью катионности и молекулярной массой. а) Катионность Катионность или плотность катионных зарядов (в мэкв/г) характеризует количество зарядов (в ммоль), переносимых 1 г полимера. Это свойство определяют путем коллоидного титрования при помощи анионного полимера в присутствии цветного индикатора, чувствительного к ионности избыточного полимера. В нижеследующих примерах катионность определяли следующим образом. В соответствующий сосуд залили 60 мл буферного раствора фосфата натрия с 0,001 М – pH 6 и 1 мл Толуидинового Синего О с 4,1·10-4 М, затем 0,5 мл раствора катионного полимера, предназначенного для использования. Титрование этого раствора осуществляли при помощи раствора поливинилсульфата калия до изменения окраски индикатора. Катионность определяют при помощи следующего отношения: Катионность (мэкв/г)=(Vepvsk·Npvsk)(Vpc·Cpc), в котором: Vpc – объем раствора катионного полимера; Cpc – концентрация катионного полимера в растворе; Vepvsk – объем раствора поливинилсульфата калия; и Npvsk – нормальность раствора поливинилсульфата калия. б) Характеристическая вязкость (IV) Измерение характеристической вязкости катионных полимеров производили в растворе NaCl 3 M при помощи капиллярного вискозиметра типа Ubbelhode при температуре 25°С. Измеряют время протекания в капиллярной трубке между двумя метками для растворителя и растворов полимера с разными значениями концентрации. Приведенную вязкость вычисляют путем деления удельной вязкости на концентрацию раствора полимера. Удельную вязкость определяют для каждого значения концентрации путем деления разности времени протекания раствора полимера и растворителя на время протекания растворителя. Построив график приведенной вязкости в зависимости от концентрации раствора полимера, получают прямую. Пересечение этой прямой с осью ординат соответствует характеристической вязкости для концентрации, равной нулю. в) Приготовление строительного раствора В емкости смесителя Perrier готовят строительный раствор, имеющий состав, указанный в таблице 1. Загружают песок, затем воду для предварительного смачивания, вращая смеситель с небольшой скоростью (140 об/мин). Смесь оставляют на 4 минуты, затем добавляют связующие (цемент и наполнитель). Используемые пески указаны в таблице 1. Производят перемешивание в течение 1 минуты на малой скорости, затем постепенно добавляют воду затворения, содержащую суперпластификатор, в течение 30 секунд. Наконец, опять производят перемешивание в течение 2 минут на скорости 280 об/мин. Эффективность нейтрализации определяют, измеряя расплыв приготовленного строительного раствора. В песок добавляют нейтрализатор. В воду затворения добавляют пластификатор. Для разных серий испытаний водоцементное отношение В/Ц сохраняют постоянным.
в) Определение удобоукладываемости строительного раствора Подвижность строительного раствора измеряют следующим образом. Форму без дна в виде усеченного конуса, воспроизводящую в масштабе 0,5 конус Абрамса (см. стандарт NF 18-451,1981) и имеющую следующие размеры:
заполняют свежим строительным раствором в три слоя одинакового объема, затем каждый слой раствора уплотняют 15 раз при помощи стального стержня диаметром 6 мм с круглым концом. Верхнюю поверхность конуса сглаживают, затем конус снимают вертикально. Расплыв измеряют через определенные промежутки времени (5 и 60 мин) по четырем диаметрам через 45° при помощи штангенциркуля. Результатом измерения расплыва является среднее из четырех значений +/-1 мм. Примеры А, В и С и 1-18 выполнены с составом строительного раствора ПРИМЕРЫ А, В и С (сравнительные примеры) Для оценки отрицательного воздействия глин в гидравлических композициях сравнивают удобоукладываемость строительного раствора, приготовленного с песком без глины (Пример А), и раствора, содержащего в общей массе песка 1 мас.% монтмориллонита и каолинита соответственно (Примеры В и С). Результаты приведены ниже в таблице 3. Следует отметить, что глины отрицательно влияют на расплыв. Испытания показывают, что каолинит обладает отрицательным влиянием, меньшим, чем монтмориллонит. ПРИМЕР 1 Путем конденсации дициандиамида (DCDA) и формальдегида готовят катионный полимер следующим образом. В эмалированный реактор, оборудованный термостатом и мешалкой, вводят 20,3 массовых частей воды, 11,7 массовых частей хлорида аммония, 18,2 массовых частей дициандиамида, затем 48,8 массовых частей формальдегида (водный раствор 37 мас.%) при комнатной температуре. Смесь нагревают до 95°С, перемешивая ее в течение двух часов. Полученный продукт содержит сухой экстракт в количестве примерно 48%. Перед складированием продукт разбавляют до содержания 20% сухого экстракта. Полученный полимер имеет катионность 2,5 мэкв/г и характеристическую вязкость 0,06 дл/г. После этого готовят строительный раствор, как указано в разделе (с), но с песком, содержащим 1 мас.% по отношению к общей массе песка монтмориллонита, добавляя полученный полимер после воды для смачивания. После приготовления строительного раствора производят измерения за 5 и за 60 минут, как указано в разделе (в). Количество катионного полимера в 8 мас.% из расчета сухого полимера по отношению к массе глины позволяет получить подвижность строительного раствора без глины. Результаты приведены в таблице 3. ПРИМЕР 2 Повторяют пример 1, только вместо монтмориллонита в песок добавляют каолинит. Результаты приведены в таблице 3. Следует отметить, что расплыв строительного раствора без глины получают при добавлении катионного полимера из расчета 8 мас.% сухого полимера по отношению к массе глины. ПРИМЕР 3 Повторяют пример 1, только в качестве катионного полимера добавляют полиамин эпихлоргадрин – диметиламин (EPI-DMA) (FL-2250 фирмы SNF). Результаты приведены в таблице 3. Расплыв строительного раствора без глины получают при добавлении катионного полимера из расчета 5,5 мас.% сухого полимера по отношению к массе глины. По сравнению с примером 1 этот катионный полимер, имеющий более высокую степень катионности и более низкую характеристическую вязкость, является эффективным при значительно меньшей дозировке. ПРИМЕР 4 Повторяют пример 3, но вместо монтмориллонита в песок добавляют каолинит. Результаты приведены в таблице 3. Расплыв строительного раствора без глины получают при добавлении катионного полимера из расчета 5,5 мас.% сухого полимера по отношению к массе глины. Таким образом, отрицательное воздействие каолинита прекращается при добавлении катионного полимера в том же количестве, что и в случае монтмориллонита. ПРИМЕР 5 Повторяют пример 3, но монтмориллонит добавляют в количестве 2 мас.% вместо 1 мас.%. Результаты приведены в таблице 3. Дозировка из расчета 5,5 мас.% сухого полимера по отношению к массе глины позволяет нейтрализовать даже 2 мас.% монтмориллонита. ПРИМЕР 6 Повторяют пример 3, только вместо катионного полимера добавляют полиамин эпихлоргидрин – диметиламин (EPI-DMA) с большей молекулярной массой (FL-2350 фирмы SNF). Результаты приведены в таблице 3. Расплыв строительного раствора без глины получают при добавлении катионного полимера из расчета 6,5 мас.% сухого полимера по отношению к массе глины. Эта дозировка больше дозировки, применявшейся для полимера в предыдущих примерах, имевшего меньшую молекулярную массу. ПРИМЕР 7 Повторяют пример 6, но катионный полимер заменяют таким же полимером с большей молекулярной массой (полиамин эпихлоргидрин – диметиламин (EPI-DMA) (FL-2550 фирмы SNF)). Результаты приведены в таблице 3. Расплыв строительного раствора без глины получают при дозировке катионного полимера из расчета 8 мас.% сухого полимера по отношению к массе глины. Эта дозировка больше дозировки, применявшейся для полимера в предыдущем примере, имевшего меньшую молекулярную массу. ПРИМЕР 8 Повторяют пример 1, только катионный полимер заменяют поли(диаллилдиметил)хлоридом аммония (PDDC) (FL-4440 фирмы SNF). Результаты приведены в таблице 3. Получают расплыв, идентичный расплыву, полученному для песка без глины, при дозировке полимера 8 мас.%, из расчета сухого полимера относительно массы глины. ПРИМЕР 9 Повторяют пример 1, только в качестве катионного полимера добавляют подкисленный полиэтиленимин (Lupassol G35 фирмы BASF). Результаты приведены в таблице 3. Отмечается, что получают расплыв, аналогичный расплыву, полученному для песка без глины, при дозировке катионного полимера из расчета 8 мас.% сухого полимера по отношению к массе глины. По сравнению с примером 1, этот катионный полимер, имеющий более высокую катионную плотность и более высокую характеристическую вязкость, является эффективным при эквивалентной дозировке. ПРИМЕР 10 (сравнительный пример) Повторяют пример 1, но катионный полимер заменяют нитратом кальция. Результаты приведены в таблице 3. Даже дозировка в 15 мас.% от массы глины не позволяет получить расплыв, получаемый для песка без глины. ПРИМЕР 11 (сравнительный пример) Повторяют пример 10, но монтмориллонит заменяют каолинитом. Результаты приведены в таблице 3. Даже дозировка нитрата кальция в 15 мас.% от массы глины не позволяет получить расплыв, получаемый для песка без глины. ПРИМЕР 12 (сравнительный пример) Повторяют пример 1, только катионный полимер заменяют на цетилтриметиламмонийбромид (СТВ). Результаты приведены в таблице 3. Даже дозировка в 18 мас.% от массы глины не позволяет получить расплыв, получаемый для песка без глины. ПРИМЕР 13 (сравнительный пример) Повторяют пример 12, но монтмориллонит заменяют каолинитом. Результаты приведены в таблице 3. Даже дозировка СТВ в 18 мас.% от массы глины не позволяет получить расплыв, получаемый для песка без глины. ПРИМЕР 14 (сравнительный пример) Повторяют пример 1, но катионный полимер заменяют тетрабутиламмонийбромидом (ТТВ). Результаты приведены в таблице 3. Даже дозировка в 15 мас.% от массы глины не позволяет получить расплыв, получаемый для песка без глины. ПРИМЕР 15 (сравнительный пример) Повторяют пример 14, но монтмориллонит заменяют каолинитом. Результаты приведены в таблице 3. Даже дозировка в 15 мас.% от массы глины не позволяет получить расплыв, получаемый для песка без глины. ПРИМЕР 16 (сравнительный пример) Повторяют пример 1, но катионный полимер заменяют полиэтиленгликолем (PEG 1000). Результаты приведены в таблице 3. Даже дозировка в 15 мас.% от массы глины не позволяет получить расплыв, получаемый для песка без глины. ПРИМЕР 17 (сравнительный пример) Повторяют пример 16, но монтмориллонит заменяют каолинитом. Результаты приведены в таблице 3. Даже дозировка в 18 мас.% от массы глины не позволяет получить расплыв, получаемый для песка без глины. ПРИМЕР 18 (сравнительный пример) Повторяют пример 1, но катионный полимер заменяют гексаметафосфатом натрия. Результаты приведены в таблице 3. Даже дозировка в 15 мас.% от массы глины не влияет на расплыв. Примеры D, Е, F и 20-24 выполнены с составом строительного раствора ПРИМЕРЫ D, Е и F (сравнительные примеры) Повторяют примеры А, В и С соответственно, но без суперпластификатора. Результаты приведены в таблице 4 ниже. Следует отметить, что глины отрицательно влияют на расплыв даже в отсутствие суперпластификатора. Отрицательный эффект каолина несколько слабее, чем эффект монтмориллонита. ПРИМЕРЫ 20-24 Повторяют примеры 1-5, но без суперпластификатора. Результаты приведены в таблице 4 ниже. Катионные полимеры позволяют получить соответствующие значения подвижности строительного раствора без глины. При сравнении следует отметить, что для полимеров с высокой катионностью и низкой вязкостью требуется меньшая дозировка. Испытания показывают со всей очевидностью, что полимеры с высокой катионностью и низкой молекулярной массой позволяют эффективно нейтрализовать глины, присутствующие в гидравлических композициях. Кроме того, сравнительные примеры показывают, что известные соединения не могут сравниться с описанными катионными полимерами по эффективности и стойкости.
Формула изобретения
1. Способ нейтрализации глин в песках, предназначенных для получения гидравлических композиций, содержащий этап добавления в композицию или в один из ее компонентов катионного полимера, который имеет плотность катионных зарядов, превышающую 0,5 мэкв/г, и характеристическую вязкость менее 1 дл/г. 2. Способ по п.1, в котором полимер имеет плотность катионных зарядов, превышающую 2 мэкв/г. 3. Способ по п.1, в котором полимер имеет характеристическую вязкость менее 0,6 дл/г. 4. Способ по п.1, в котором катионный полимер является линейным. 5. Способ по п.1, в котором катионный полимер содержит катионные группы в главной цепи. 6. Способ по п.1, в котором катионный полимер содержит группы четвертичных аминов. 7. Способ по п.1, в котором полимер получают путем конденсации эпихлоргидрина с диалкиламином. 8. Способ по п.7, в котором диалкиламин является диметиламином. 9. Способ по одному из пп.1-6, в котором полимер получают путем конденсации дициандиамида с формальдегидом в присутствии: 10. Способ по п.1, в котором полимер получают путем конденсации дициандиамида с формальдегидом в присутствии: 11. Способ по п.1, в котором полимер получают путем конденсации дициандиамида с формальдегидом в присутствии: 12. Способ по п.9, в котором полиалкиленгликоль имеет следующую формулу (I): 13. Способ по п.9, в котором молярное соотношение между формальдегидом и дициандиамидом находится в диапазоне от 0,8:1 до 4:1. 14. Способ по п.9, в котором полиалкиленгликоль является полиэтиленгликолем. 15. Способ по п.10, в котором полиалкоксилированный поликарбоксилат имеет следующую формулу (II): 16. Способ по п.10, в котором полиалкоксилированный поликарбоксилат имеет содержание эфира от 10 до 60%. 17. Способ по п.11, в котором ион аммония производного аммония имеет следующую формулу (IV): 18. Способ по одному из пп.11-17, в котором производное аммония является хлоридом аммония, сульфатом аммония, иодидом аммония, бромидом аммония, ацетатом аммония. 19. Способ по п.11, в котором молярное соотношение между соединением С и дициандиамидом составляет от 1 до 1,5. 20. Способ по п.1, в котором гидравлическая композиция является бетоном или строительным раствором. 21. Способ по п.1, в котором гидравлическая композиция не содержит суперпластификатора. 22. Способ по п.1, в котором катионный полимер добавляют путем распыления водного раствора. 23. Способ по п.1, в котором полимер добавляют в карьере. 24. Способ по п.1, в котором полимер добавляют на бетонном заводе.
|
||||||||||||||||||||||||||||||||||||||||||||||||||||||||||||

1101
i/c с бесконечным разбавлением полимера. Это значение привязывают к средней молекулярной массе полимера.


+,

