Патент на изобретение №2388486
|
||||||||||||||||||||||||||
(54) КОМПОЗИЦИЯ СТАБИЛИЗИРОВАННОЙ ПРОТЕАЗЫ
(57) Реферат:
Изобретение относится к медицине и касается композиции, которая включает серинпротеазу, обратимый ингибитор указанной серинпротеазы и стабилизирующий агент М, имеющий формулу (I). Изобретение обеспечивает создание композиции сериновой протеазы, которая пригодна для непосредственного использования без обязательных предшествующих этапов приготовления раствора из материала, подвергшегося глубокой заморозке или лиофилизации. 10 н. и 48 з.п. ф-лы, 5 табл.
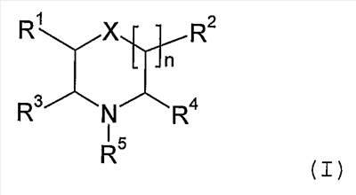
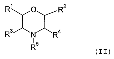
Данное изобретение относится к ферментной композиции, в которой фермент стабилизирован определенными добавками в комбинации по изобретению. Более конкретно, данное изобретение относится к композиции серинпротеазы, содержащей обратимый ингибитор серинпротеазы и дополнительный стабилизирующий агент М, такой как определен ниже. Уровень техники Серинпротеазы представляют собой группу протеолитических ферментов, характеризуемых тем, что они содержат сериновый и гистидиновый остатки в их активных центрах. Множество хорошо известных ферментов принадлежит к этой группе, например трипсин, калликреин, тромбин и плазмин. Некоторые их них имеют практическое применение. Трипсин применяют в кожевенной промышленности. Тромбин применяют в качестве кровоостанавливающего агента для остановки кровотечения из ран. Урокиназу и тканевый активатор плазминогена, две других серинпротеазы применяют клинически в качестве тромболитических агентов при лечении острого инфаркта миокарда. Множество этих ферментов широко применяют в качестве инструментов для исследований, например, для определения структуры белка. Более того, ферменты применяют в различных диагностических наборах. Общей чертой для большинства серинпротеаз является их ограниченная стабильность в растворе. В основном это обусловлено авторазложением при оставлении в растворе, вызванным их свойством как протеаз. Такая ограниченная стабильность является проблемой в случаях, когда продукт должен храниться в растворе. Коммерческие препараты серинпротеаз, доступные в настоящее время, практически всегда имеют форму замороженных растворов или лиофилизированных порошков с очевидными недостатками. Дополнительное время, необходимое для растворения порошка или оттаивания замороженного раствора до подходящей температуры, является наиболее важным моментом. Существуют, однако, и другие проблемы, связанные с этими препаратами. Для замороженных растворов существует необходимость контроля температуры (-20°С) на всех стадиях, от производства и транспортировки до хранения. Для лиофилизированных порошков существует необходимость в восстановлении раствора с приемлемой степенью чистоты и стабильности. Также часто необходимо приготовление продукта асептически (смешиванием двух частей) в окружающей среде, которая может быть неконтролируемой (например, неблагоприятные погодные условия или отсутствие чистой воды), и необходимо проверить, были ли порошки смешаны должным образом. Это все основные недостатки современных продуктов, добавляемые к сложности их применения и их стоимости. Для тромбина, который, предпочтительно, должен быть доступен сразу же для применения для остановки кровотечения, проблемы стабильности вынудили производителей применять лиофилизированный тромбин или растворы глубокой заморозки. Они требуют определенного времени для приготовления для применения. Два тромболитических агента, урокиназа и тканевый активатор плазминогена продают в виде лиофилизированных препаратов, которые необходимо растворять перед применением. Так как тромболитическое лечение острого инфаркта миокарда необходимо начинать как можно раньше после наступления инфаркта, любая задержка, вызванная приготовлением таких препаратов, является проблемой. Было сделано множество попыток найти способы стабилизации различных серинпротеаз. Для трипсина, который саморазрушается довольно быстро, простым и эффективным стабилизирующим агентом является ион кальция (Sipos T and Merkel J, Biochemistry 9:2766 (1970)). Снижение рН до уровня ниже 4 также является способом, который работает с некоторыми ферментами, такими как трипсин и плазмин, но невозможно для тромбина, так как он необратимо инактивируется при рН ниже 5. Могут применяться обратимые ингибиторы протеазы, но они менее популярны, так как они наносят вред, вмешиваясь в действие фермента, если они применяются сами по себе (см. ниже). Для стабилизации тканевого активатора плазминогена (tPA) обычно добавляют аминокислоту аргинин. Применяемый в настоящее время клинически продукт tPA содержат аргинин в качестве стабилизатора. Также множество попыток было посвящено поиску путей стабилизации растворов тромбина. В качестве примеров стабилизирующих добавок могут быть указаны следующие предложения: карбоновые кислоты в высоких концентрациях, EDTA, различные аминокислоты, альбумин, полимеры, такие как полиэтиленгликоль, поливинилпирролидон и поливиниловый спирт, глицерин, различные неорганические соли, углеводы, желатин, коллаген. В заявке на японский патент JP2004191367 описан содержащий стабилизированный тромбин аналитический реагент для тестирования способности к свертыванию крови. Аналитический реагент содержит тромбин и ингибитор тромбина, а также может содержать одно или более соединений, стабилизирующих тромбин, выбранных из иона кальция, органической кислоты, поверхностно-активного вещества и белка. В WO 02/100830, WO 02/22575, WO 00/20394, WO 99/11658, WO 02/37937 и US 5409927 описаны различные соединения, ингибирующие серинпротеазу, и их применение в фармацевтических композициях для лечения различных болезненных состояний, таких как тромбоз, при которых показано ингибирование соответствующих серинпротеаз. У Nakamura et al. (J. Chrom. A, 1009, (2003), 133-139) описано применение ингибитора иммобилизованной протеазы для аффинной хроматографии трипсиноподобных протеаз. У Turner et al. (Biochemistry, 25, (1986), 4929-4935) описаны три п-амидинофениловых эфира, которые необратимо ингибируют человеческий фактор IXa. У Tsung Fu Yang et al. (Biomacromolecules, 25, (2004), 1926-1932) описан синтез катионного полимера, N,N-диэтилэтилендиаминополиуретана для применения для трансгеноза. В заявке на патент US 2001/0033837 (соответствующей ЕР 1136084 А1) описано получение тромбина, содержащего нековалентно связанный ингибитор в качестве стабилизатора. Более того, ингибитор объединен с другими стабилизирующими добавками, такими как сахара или карбоновые кислоты, которые были ранее описаны в патентах или других публикациях. В JP 2000300250 описана стабилизация растворов тромбина добавлением поливинилового спирта, желатина или поливинилпирролидона в различных буферных растворах. В GB 1354761 протеазы и амилазы стабилизируют до различной степени с применением множества веществ, таких как алифатические спирты, карбоновые кислоты, гетероциклические соединения, содержащие гидроксильные группы, и алифатические или алициклические амины. Таким образом, стабилизация серинпротеазы с применением ингибиторов описана (например, в US 2001/0033837 и JP 2004191367, выше). Проблемой этого подхода является то, что ингибитор сильно ослабляет действие фермента, если его не удалить перед применением препарата. Если применяется мощный ингибитор, большая часть ферментной активности теряется. Лучшим подходом является применение обратимого ингибитора средней силы. Однако даже в этом случае значительная часть исходной ферментной активности будет теряться при повышении концентрации ингибитора для получения хорошего стабилизирующего действия. Раскрытие изобретения Поэтому задачей данного изобретения является получение композиции серинпротеазы, которая стабильная в растворе и сохраняет такую степень ферментной активности, которая достаточна для практического применения композиции. Другой задачей данного изобретения является создание композиции серинпротеазы, которая доступна для прямого применения без предварительных стадий приготовления из глубоко замороженного или лиофилизированного материала. Другой задачей данного изобретения является сделать возможным практическое применение обратимых ингибиторов серинпротеаз для целей стабилизации посредством добавления дополнительного стабилизирующего компонента. Эти и другие объекты, очевидные из представленного текста, достигаются через различные заявленные аспекты данного изобретения. Таким образом, в одном аспекте данного изобретения представлена композиция стабилизированной серинпротеазы, содержащая а) серинпротеазу; b) обратимый ингибитор указанной серинпротеазы; и с) стабилизирующий агент М, имеющий формулу I: где n равно 0, 1 или 2; Х является О, N или CH2; R1-R4 являются одинаковыми или различными, и выбраны из Н, -CH2-R6, -CH2-O-R6, -CH2-S-R6, -CH2-NH-R6, -CO-O-R6, -CO-NH-R6, -CH2-NH-CO-R6, -CH2-O-CO-R6, -CH2-NH-CO-NHR6, -CH2-NH-CO-OR6, -CH2-NH-CS-NHR6 и -CH2-O-CO-NHR6; R5 является таким же, как R1-R4 или P-Q; Р выбран из -(CH2)m– и -(CH2)m-Y-(CH2)m-, где m является 1-6 и Y является О, NH или S; Q выбран из Н, -SO3, -COOH, -NH2, -OH и -CONH2; каждый R6 отдельно выбран из Н, замещенного или незамещенного низшего алкила, замещенного или незамещенного циклоалкила, замещенного или незамещенного бензила, замещенного или незамещенного арила или моно-, би- или трициклического незамещенного или замещенного гетероароматического кольца (колец) с одним или более гетероатомами и неароматических гетероциклов, где заместители замещенных групп выбраны из низшего алкила, галогенов, замещенного или незамещенного арила, замещенных или незамещенных гетероароматических соединений, неароматических гетероциклов, алкилокси, алкиламино; или его фармацевтически приемлемые соли. Данное изобретение создано на основе исходных результатов исследований стабильности тромбина, в которых было неожиданно обнаружено, что комбинация по изобретению обратимого ингибитора фермента и стабилизирующего агента М, такого, как описан выше, оказывает сильное стабилизирующее действие на фермент в растворе. Ингибитор тромбина и стабилизирующий агент М по отдельности оказывают стабилизирующее действие на тромбин, но их комбинация в несколько раз лучше, чем любой из них (см. пример 1). Таким образом, если низкую концентрацию ингибитора фермента объединяют с морфолином, MOPS или родственными соединениями, получают очень сильное стабилизирующее действие на фермент. Некоторые тестируемые соединения были стабильны, что показывает менее чем 30% снижение активности, в течение более 2 месяцев при температуре 37°С. Это, согласно данным в предыдущих публикациях, подтвержденным авторами данного изобретения, соответствует 6 месяцам при комнатной температуре или 2,5 годам при температуре холодильника. Результаты из исходного исследования были расширены и включили эксперименты с другими серинпротеазами, и в этих экспериментах также было отмечено неожиданное стабилизирующее действие. Как подтверждено представленными ниже примерами, композиция в соответствии с данным изобретением демонстрирует значительно улучшенную стабильность по сравнению с ферментными композициями без комбинации ингредиентов b) и с) по изобретению. С применением подхода в соответствии с данным изобретением может применяться низкая концентрация ингибитора серинпротеазы при удовлетворительной степени стабилизации. Например, концентрация ингибитора может быть меньше, чем была предложена ранее, например, в US 2001/0033837. При такой низкой концентрации ингибитора основная часть ферментной активности остается в стабилизированном ферментном растворе. Необходимо отметить, что повышение стабилизации благодаря сочетанию обратимого ингибитора серинпротеазы и стабилизирующего агента М не должно рассматриваться как дополнительное ингибирующее действие, обеспечиваемое М. Фактически, М, как описано в иллюстративном примере А, может не обладать способностью ингибировать какую-либо серинпротеазу. Не претендуя на теорию, авторы данного изобретения полагают, что обнаруженное неожиданно повышенное стабилизирующее действие достигается благодаря благоприятной синергии между обратимыми ингибиторами серинпротеазы и стабилизирующими агентами М композиции в соответствии с данным изобретением. Данное изобретение представляет такое сочетание обратимого ингибитора серинпротеазы и стабилизирующего агента М в композиции стабилизированной серинпротеазы, и применение такого сочетания для стабилизации композиции серинпротеазы. В одном варианте данного изобретения серинпротеазу в композиции выбраны из группы, включающей трипсин, калликреин, тромбин, плазмин, урокиназу, тканевой активатор плазминогена, активную форму фактора IX, активную форму фактора Х и активную форму фактора XI. В более конкретном варианте серинпротеазой является тромбин. В другом конкретном варианте серинпротеазой является плазмин. В еще одном конкретном варианте серинпротеазой является трипсин. Обратимые ингибиторы серинпротеаз известны специалистам в данной области техники, и какой из них оптимален для применения зависит от конкретной применяемой серинпротеазы. В общем, для предполагаемого действия важно, чтобы ингибитор не имел значительной силы. Другими словами, ингибирующее действие должно быть достаточно умеренным, чтобы ферментная активность оставалась эффективно высокой. В качестве указания, было обнаружено, что ингибиторы, имеющие Ki от 0,01 мМ до 2 мМ, подходят для применения в композиции в соответствии с данным изобретением, предпочтительным интервалом является от 0,04 мМ до 0,5 мМ. В одном варианте, в котором серинпротеазой является тромбин, обратимый ингибитор может быть выбран из N-(2′-фенокси)-4-аминопиридина и его производных, бензамидина, N,N-диэтилэтилендиамина, аминобензамидина, амидинопиридина и трет-бутиламидина. В другом варианте, в котором серинпротеазой является тромбин, обратимый ингибитор выбран из N-(2′-фенокси)-4-аминопиридина и его производных, N,N-диэтилэтилендиамина, амидинопиридина и трет-бутиламидина. В более конкретном варианте, в котором серинпротеазой является тромбин, обратимым ингибитором является N-(2′-фенокси)-4-аминопиридин или его производное. В другом варианте, в котором серинпротеазой является плазмин, обратимый ингибитор выбран из N,N-диэтилэтилендиамина, аминобензамидина и бензамидина. В другом варианте, в котором серинпротеазой является трипсин, обратимый ингибитор выбран из аминобензамидина и бензамидина. Эти сочетания ферментов и ингибиторов являются иллюстративными примерами и не должны рассматриваться как ограничивающие. В одном варианте данного изобретения, значение n в формуле I равно 1 или 2. В более конкретном варианте, n в формуле I равно 1. Композиция в соответствии с данным изобретением содержит стабилизирующий агент М общей формулы I, данной выше. В определенных вариантах данного изобретения стабилизирующим агентом М является соединение формулы II: где R1-R4 являются одинаковыми или различными, и выбраны из Н, -CH2-R6; R5 является таким же, как R1-R4 или P-Q; Р выбран из -(CH2)m– и -(CH2)m-Y-(CH2)m-, где m является 1-6 и Y является О, NH или S; Q выбран из Н, -SO3, -COOH, -NH2, -OH и -CONH2; каждый R6 отдельно выбран из Н, замещенного или незамещенного низшего алкила, замещенного или незамещенного циклоалкила, замещенного или незамещенного бензила, замещенного или незамещенного арила или моно-, би- или трициклического незамещенного или замещенного гетероароматического кольца (колец) с одним или более гетероатомами, и неароматических гетероциклов, где заместители замещенных групп выбраны из низшего алкила, галогенов, замещенного или незамещенного арила, замещенных или незамещенных гетероароматических соединений, неароматических гетероциклов, алкилокси, алкиламино; или его фармацевтически приемлемые соли. Следовательно, в некоторых вариантах стабилизирующим агентом М является соединение формулы III: где R5 является -CH2-R6 или P-Q; Р выбран из -(CH2)m– и -(CH2)m-Y-(CH2)m-, где m является 1-6 и Y является О, NH или S; Q выбран из Н, -SO3, -COOH, -NH2, -OH и -CONH2; каждый R6 отдельно выбран из замещенного или незамещенного низшего алкила, замещенного или незамещенного циклоалкила, замещенного или незамещенного бензила, замещенного или незамещенного арила или моно-, заместители замещенных групп выбраны из низшего алкила, галогенов, замещенного или незамещенного арила, замещенных или незамещенных гетероароматических соединений, неароматических гетероциклов, алкилокси, алкиламино; или его фармацевтически приемлемые соли. В некоторых вариантах данного изобретения стабилизирующий агент М выбран из группы, включающей морфолин, 3-(N-морфолино)пропансульфоновую кислоту (MOPS), морфолинобутилсульфоновую кислоту, морфолинопропилкарбоновую кислоту, морфолиноэтиловый спирт и морфолиноэтилсульфоновую кислоту. Таким образом, примеры соединений М для применения в композициях этого аспекта данного изобретения, включают 3-(N-морфолино)пропансульфоновую кислоту (MOPS). В конкретном варианте данного изобретения стабилизирующим агентом М является морфолин. Композицией в соответствии с данным изобретением, которая обладает стабилизирующим действием, является такая, в которой серинпротеазой является тромбин, обратимым ингибитором является N-(2′-фенокси)-4-аминопиридин, и стабилизирующим агентом М является морфолин. Другой композицией в соответствии с данным изобретением, которая обладает стабилизирующим действием, является такая, в которой серинпротеазой является тромбин, обратимым ингибитором является N-(2′-фенокси)-4-аминопиридин, и стабилизирующим агентом М является -(N-морфолино)пропансульфоновая кислота (MOPS). Другой композицией в соответствии с данным изобретением, которая обладает стабилизирующим действием, является такая, в которой серинпротеазой является тромбин, обратимым ингибитором является аминобензамидин, и стабилизирующим агентом М является морфолин. Другой композицией в соответствии с данным изобретением, которая обладает стабилизирующим действием, является такая, в которой серинпротеазой является плазмин, обратимым ингибитором является N,N-ди-этилэтилендиамин, и стабилизирующим агентом М является морфолин. Другой композицией в соответствии с данным изобретением, которая обладает стабилизирующим действием, является такая, в которой серинпротеазой является плазмин, обратимым ингибитором является аминобензамидин и стабилизирующим агентом М является морфолин. В композициях серинпротеазы для местного введения, например, для нанесения на рану, является проблемой то, что композиция может легко вытекать или смываться из раны, на которую она нанесена. Для решения этой проблемы, возможно добавлять к ферментной композиции адгезивный полимер, который нужен для того, чтобы сделать композицию более вязкой и прилипающей к коже или ране. Как вариант данного изобретения, такое добавление адгезивного полимера к композиции в соответствии с данным изобретением может оказывать дополнительное неожиданное и благоприятное действие на ее стабильность. Добавление полимера имеет две цели: повышение вязкости и адгезивности композиции, и, в то же время, помощь в дальнейшей стабилизации фермента. В некоторых вариантах изобретения композиция дополнительно содержит вязкий и адгезивный полимер, выбранный из полисахаридов и желатина. Таким образом, полимером может быть, например, полисахарид, выбранный из крахмала, его производных, целлюлозы, ее производных, и их смесей. Конкретные неограничивающие примеры крахмалов, применяемых в качестве добавок к композиции в соответствии с данным изобретением, включают кукурузный крахмал и картофельный крахмал и из смеси, неограничивающие примеры применяемых производных целлюлозы включают карбоксиметилцеллюлозу и этилгидроксиэтилцеллюлозу и их смеси. В конкретном варианте полисахаридом является карбоксиметилхитозан. В других вариантах данного изобретения указанный полисахарид присутствует в концентрации 0,1-5%. Однако также рассматривается, что полимером является желатин, такой как желатин из холодноводных рыб. В некоторых вариантах данного изобретения указанный желатин присутствует в концентрации 0,5-20%. В одном варианте данного изобретения указанная серинпротеаза присутствует в концентрации 0,001-2 мг/мл. В более конкретном варианте, указанная серинпротеаза присутствует в концентрации 0,01-1 мг/мл. В одном варианте изобретения, в котором серинпротеазой является тромбин, концентрация тромбина составляет 5-3500 единиц активности/мл. В одном варианте изобретения, в котором серинпротеазой является тромбин, концентрация тромбина составляет от 200 до 1000 единиц активности/мл. В одном варианте изобретения, в котором серинпротеазой является тромбин, концентрация тромбина составляет от 5 до 20 единиц активности/мл. В одном варианте изобретения указанный обратимый ингибитор указанной серинпротеазы присутствует в концентрации 0,1-10 мМ. В более конкретном варианте, указанный обратимый ингибитор указанной серинпротеазы присутствует в концентрации 0,5-2 мМ. В одном варианте изобретения указанный стабилизирующий агент М присутствует в концентрации 0,02-0,5 М. В более конкретном варианте, указанный стабилизирующий агент М присутствует в концентрации 0,1-0,3 М. Согласно другому аспекту в данном изобретении представлено применение композиции, описанной выше, в качестве лекарственного средства. Другой аспект данного изобретения относится к применению указанной композиции, в которой серинпротеазой является тромбин, для приготовления лекарственного средства для осуществления гемостаза у пациента, страдающего от кровотечения. В родственном аспекте изобретения представлен способ осуществления гемостаза у пациента, страдающего кровотечением, включающий нанесение композиции в соответствии с данным изобретением, где в композиции серинпротеазой является тромбин, на место кровотечения в количестве, достаточном для уменьшения или остановки указанного кровотечения. В связи с указанным применением или способом, в котором применяется композиция тромбина в соответствии с данным изобретением в качестве лекарственного средства, стабильность композиции в соответствии с данным изобретением обладает преимуществами в условиях, в которых ее применяют. Часто композиции тромбина применяют в контексте критических ситуаций, когда критично остановить кровотечение у пациента. В тех же ситуациях применение обычных кровоостанавливающих препаратов тромбина затруднено, так как они часто требуют трудоемких и требующих времени операций оттаивания (если они заморожены) и/или растворения (если они лиофилизированы). Данное изобретение делает возможным получение, например, таких кровоостанавливающих агентов в виде растворов, стабильность которых такова, что они могут легко храниться в течение длительных периодов времени, например, в машине скорой помощи или вертолете экстренных служб, до тех пор, пока не возникнет необходимость в его применении в месте несчастного случая или подобном. В это время они могут применяться как таковые, без задержки на приготовление. Обычные препараты, применяемые для остановки кровотечения, содержат довольно высокие концентрации тромбина, от 200 до 1000 единиц активность/мл. В пластической хирургии это может вызвать риск повышенного образования шрамов. Растворы с низкой концентрацией тромбина в настоящее время готовят в клинике путем разбавления концентрированных растворов тромбина. Готовых для применения препаратов нет. Поэтому, в другом аспекте, данное изобретение представляет композицию стабилизированного тромбина со значительно более низкими концентрациями тромбина, от 5 до 20 единиц активности/мл, и их применение в пластической хирургии. В другом аспекте изобретения используются известные свойства плазмина урокиназы или tPA в качестве тромболитических агентов. Таким образом, в данном изобретении представлено применение композиции, такой как описано выше, в которой серинпротеаза выбрана из плазмина, урокиназы и тканевого активатора плазминогена, для приготовления лекарственного средства для тромболитического лечения. Родственный аспект представляет способ тромболитического лечения у пациента, нуждающегося в этом, включающий введение композиции, такой как описано выше, где в композиции серинпротеаза выбрана из плазмина, урокиназы и тканевого активатора плазминогена, пациенту в количестве, достаточном для такого лечения. В этих двух родственных аспектах рассматриваемое тромболитическое лечение, в качестве неограниченных примеров, может быть проведено с целью лечения инфаркта миокарда или с целью лечения инсульта. Как сказано в контексте аспекта данного изобретения, относящегося к композиции, повышение стабилизации благодаря сочетанию обратимого ингибитора серинпротеазы и стабилизирующего агента М не происходит за счет дополнительного ингибирующего действия, обеспеченного М. Фактически, М, как описано в иллюстративном примере А, может не обладать какой-либо способностью ингибировать серинпротеазу. Не претендуя на теорию, авторы данного изобретения полагают, что полученное неожиданно повышенное стабилизирующее действие достигается за счет благоприятной синергии между обратимыми ингибиторами серинпротеазы и стабилизирующих агентов М композиции в соответствии с данным изобретением. Поэтому, в другом аспекте данное изобретение представляет применение комбинации а) обратимого ингибитора серинпротеазы, и b) стабилизирующего агента М формулы I: где n равно 0, 1 или 2; Х является О, N или CH2; R1-R4 являются одинаковыми или различными, и выбраны из Н. -CH2-R6, -CH2-O-R6, -CH2-S-R6, -CH2-NH-R6, -CO-O-R6, -CO-NH-R6, -CH2-NH-CO-R6, -CH2-O-CO-R6, -CH2-NH-CO-NHR6, -CH2-NH-CO-OR6, -CH2-NH-CS-NHR6 и -CH2-O-CO-NHR6; R5 является таким же, как R1-R4 или P-Q; Р выбран из -(CH2)m– и -(CH2)m-Y-(CH2)m-, где m является 1-6 и Y является О, NH или S; Q выбран из Н, -SO3, -COOH, -NH2, -OH и -CONH2; каждый R6 отдельно выбран из Н, замещенного или не замещенного низшего алкила, замещенного или незамещенного циклоалкила, замещенного или незамещенного бензила, замещенного или незамещенного арила или моно-, би- или трициклического незамещенного или замещенного гетероароматического кольца (колец) с одним или более гетероатомами и неароматических гетероциклов, где заместители замещенных групп выбраны из низшего алкила, галогенов, замещенного или незамещенного арила, замещенных или незамещенных гетероароматических соединений, неароматических гетероциклов, алкилокси, алкиламино; или его фармацевтически приемлемых солей; для стабилизации композиции серинпротеазы, где обратимый ингибитор серинпротеазы и стабилизирующий агент М действуют в синергии для обеспечения стабилизирующего действия на серинпротеазу. В применении комбинации обратимого ингибитора серинпротеазы и стабилизирующего агента в соответствии с данным изобретением для стабилизации композиции серинпротеазы, выбор конкретных компонентов, которые могут применяться, и заместителей для соединений М таков, как описан выше в аспекте данного изобретения, касающемся композиции. В еще одном аспекте, в данном изобретении представлен способ стабилизации серинпротеазы, который включает смешивание серинпротеазы с а) обратимым ингибитором указанной серинпротеазы; и b) стабилизирующим агентом М формулы I: где n равно 0, 1 или 2; Х является О, N или CH2; R1-R4 являются одинаковыми или различными, и выбраны из Н. -CH2-R6, -CH2-O-R6, -CH2-S-R6, -CH2-NH-R6, -CO-O-R6, -CO-NH-R6, -CH2-NH-CO-R6, -CH2-O-CO-R6, -CH2-NH-CO-NHR6, -CH2-NH-CO-OR6, -CH2-NH-CS-NHR6 и -CH2-O-CO-NHR6; R5 является таким же, как R1-R4 или P-Q; Р выбран из -(CH2)m– и -(CH2)m-Y-(CH2)m-, где m является 1-6 и Y является О, NH или S; Q выбран из Н, -SO3, -COOH, -NH2, -OH и -CONH2; каждый R6 отдельно выбран из Н, замещенного или незамещенного низшего алкила, замещенного или незамещенного циклоалкила, замещенного или незамещенного бензила, замещенного или незамещенного арила или моно-, би- или трициклического незамещенного или замещенного гетероароматического кольца (колец) с одним или более гетероатомами и неароматических гетероциклов, заместители замещенных групп выбраны из низшего алкила, галогенов, где замещенного или незамещенного арила, замещенных или незамещенных гетероароматических соединений, неароматических гетероциклов, алкилокси, алкиламино; или его фармацевтически приемлемыми солями. В способе стабилизации композиции серинпротеазы в соответствии с данным изобретением, выбор конкретных компонентов, которые могут применяться, и заместителей для соединений М таков, как описан выше в аспекте данного изобретения, касающемся композиции. Другой аспект данного изобретения касается применения композиции, такой как описана выше, для адсорбции на твердый объект для того, чтобы указанный твердый объект мог обеспечить обсуждаемую ферментную активность. В частности во многих хирургических областях представляет интерес входить и, в частности, выходить из артерий, причиняя как можно меньше повреждений в результате кровотечения. Для остановки кровотечения из артерии ранее было предложено применение формы «артериальных тампонов» (такие объекты также известны как уплотнители сосудов, запирающие устройства входа в бедро (если бедренную артерию применяют для входа, например при ангиографии), устройства для гемостаза сосудов и запирающие устройства для пункции), полученной, например, из коллагена или другого биоразлагаемого материала. Согласно данному аспекту изобретения такой тампон преимущественно может быть покрыт композицией в соответствии с данным изобретением, в которой серинпротеазой является тромбин. Такой тампон позволяет более быстро закрыть отверстие в артерии благодаря тому, что тромбин из композиции помогает коагуляции крови вокруг тампона. Таким образом, в данном изобретении представлено, в данном аспекте, устройство для сосудистого гемостаза, содержащее некоторое количество композиции в соответствии с данным изобретением, в которой серинпротеазой является тромбин, абсорбированный на нем. Устройство для сосудистого гемостаза предпочтительно делают из биоразлагаемого твердого или полутвердого материала, такого как коллаген, хитозан или другой биологический полимер. Другой аспект данного изобретения относится к новой идентификации N,N-диэтилэтилендиамина в качестве ингибитора серинпротеазы. Таким образом, в этом аспекте, изобретение представляет применение N,N-диэтилэтилендиамина в качестве ингибитора серинпротеазы, а также способ ингибирования серинпротеазы, включающий смешивание вместе с ней ингибирующего количества N,N-диэтилэтилендиамина. В некоторых вариантах этого аспекта данного изобретения серинпротеазой является плазмин. В других вариантах этого аспекта данного изобретения серинпротеазой является тромбин. Обычно предпочтительно для реализации всех преимуществ различных аспектов изобретения, чтобы композиция в соответствии с данным изобретением была в форме, выбранной из раствора и геля. В этом отношении более предпочтительными являются водные растворы и водные гели. Определения В данном описании термин «низший алкил» означает не разветвленный или разветвленный, циклический, насыщенный или ненасыщенный (алкенил или алкинил) углеводородный радикал, который может быть замещен или не замещен. Если она является циклической, алкильная группа предпочтительно содержит С3-С12, более предпочтительно, С5-С10, наиболее предпочтительно, С5-С7. Если она является алициклической, алкильная группа предпочтительно содержит С1-С10, более предпочтительно, С1-С6, более предпочтительно, является метилом, этилом, пропилом (н-пропилом, изопропилом), бутилом (разветвленным или неразветвленным) или пентилом, наиболее предпочтительно, метилом. В данном описании термин «арил» означает ароматическую группу, такую как фенил или нафтил, или моно-, би- или трициклическую гетероароматическую группу, содержащую один или более гетероатом(ы), предпочтительно выбранные из N, O и S, такую как пиридил, пирролил, хинолинил, фуранил, тиенил, оксадиазолил, тиадиазолил, тиазолил, оксазолил, пиразолил, триазолил, тетразолил, изоксазолил, изотиазолил, имидазолил, пирмидинил, индолил, пиразинил, индазолил, пиримидинил, тиофенетил, пиранил, карбазолил, акридинил, хинолинил, бензоимидазолил, бензтиазолил, пуринил, циннолинил, птердинил. В данном описании термин «функциональная группа» означает, если она не защищена: гидрокси-, тиоло-, аминофункциональную группу, карбоновую кислоту, и если она защищена: низшую алкокси, N-, O-, S-, ацетил, сложный эфир карбоновой кислоты. В данном описании термин «гетероарил» означает ароматическую группу, содержащую один или более гетероатом(ы), предпочтительно выбранные из N, O и S, такую как пиридил, пирролил, хинолинил, фуранил, тиенил, оксадиазолил, тиадиазолил, тиазолил, оксазолил, пиразолил, триазолил, имидазолил, пиримидинил, индолил, пиразинил или индазолил. В данном описании термин «неароматический гетероцикл» означает неароматическую циклическую группу, содержащую один или более гетероатом(ы), предпочтительно выбранные из N, O и S, такую как циклическая аминогруппа, такая как пирролидинил, пиперидил, пиперазинил, морфолинил или циклический простой эфир, такой как тетрагидрофуранил, моносахарид. В данном описании термин «галоген» означает фтор, хлор, бром или йод. В данном описании термин «замещенный» означает, что указанная группа замещена функциональной группой, такой как гидроксил, амин, сульфид, силил, карбоновая кислота, галоген, арил и т.д. Примеры фармацевтически приемлемых аддитивных солей для применения в композициях в соответствии с данным изобретением включают такие, которые получены из минеральных кислот, таких как хлористоводородная, бромистоводородная, фосфорная, метафосфорная, азотная и серная кислоты, и органических кислот, таких как винная, уксусная, лимонная, яблочная, молочная, фумаровая, бензойная, гликолевая, глюконовая, янтарная и арилсульфоновая кислота. Фармацевтически приемлемые наполнители, описанные здесь, например наполнители, адъюванты, носители или разбавители, хорошо известны специалистам в данной области техники и легкодоступны. Фармацевтически приемлемым наполнителем может быть такой, который химически инертен к активным соединениям, и который не вызывает вредные побочные эффекты или токсичность в условиях применения. Фармацевтические композиции могут быть найдены, например, у The Science and Practice of Pharmacy, 19th edition, Mack Printing Company, Easton, Pennsylvania (1995). Как детализировано в описании изобретения, возможным выбором ингибитора для применения в композиции и способах в соответствии с данным изобретением, «N-(2′-фенокси)-4-аминопиридин и его производные». Под этим подразумевают соединение, имеющее формулу IV: где R1 выбран из Н, С1-С6-алкила, С3-С7-циклоалкила, фенила, бензилацетила и бензоила; Х выбран из кислорода, азота и серы; R2 и R3 каждый отдельно выбраны из Н, галогена, гидроксила, С1-С6-алкила, С3-С7-циклоалкила, С1-С6-алкилокси; и R4 выбран из Н, С1-С6-алкила, арилалкила и ацила. Предпочтительные такие ингибиторы, которые имеют формулу V: где R1 выбран из С1-С6-алкила, С3-С7-циклоалкила, фенила и бензила; R2 и R3 каждый отдельно выбраны из Н, галогена, гидроксила, С1-С6-алкила, С3-С7-циклоалкила и С1-С6-алкилокси. Примеры представленные ниже примеры иллюстрируют изобретение и не должны рассматриваться как ограничивающие. В следующем описании экспериментов, проводимых в соответствии с данным изобретением, время, необходимое для достижения 70% от исходной активности, применяют как цифровой показатель стабильности ферментного раствора. Этот показатель, обозначенный «Т 70%», выбран потому, что соответствует тому, что может быть принято за максимально разрешенную потерю активности в течение периода эксплуатации коммерческого продукта. В экспериментальных исследованиях применяют высокую температуру (37°С), а также высокие концентрации фермента. Их применяют для того, чтобы получить данные стабильности в разумно короткий период времени, и не ждать месяцы или годы. Зависимость стабильности от температуры была изучена, и результаты даны в примере 1. Это исследование показало, что процесс инактивирования в около 3 раз медленнее при комнатной температуре, и в около 20 раз медленнее при температуре холодильника, чем измеренный в действительности процесс (при температуре 37°С). Более того, процесс инактивирования зависит от концентрации и является более быстрым при более высоких концентрациях фермента. Концентрация тромбина, применяемая в примере 1, составляет 1 мг/мл (или 3300 единиц/мл), т.е. выше, чем 0,1-0,3 мг/мл, применяемая в современных коммерчески доступных препаратах и/или устройствах. Исследования зависимости от концентрации показали, что процесс инактивирования в 3-4 раза медленнее при таких концентрациях, по сравнению с концентрацией, применяемой в примере 1. Объединение этих показателей дает множитель от 10 до 12, на который умножают значение Т 70% для получения данных, которые соответствуют условиям хранения при комнатной температуре для коммерческого продукта, содержащего серинпротеазу, такого как кровоостанавливающий препарат, содержащий тромбин. В таблице 1 композиция с N-(2′-фенокси)-4-аминопиридином и MOPS имеет показатель Т 70% равный 120 дней. Это соответствует значению, для 0,1-0,3 мг/мл продукта, более чем 1200 дней при комнатной температуре, т.е. более трех лет. Это несомненно превышает любые показатели, полученные ранее, касающиеся стабилизации тромбина в растворе. Пример 1 – Стабилизация человеческого тромбина Для определения свертывающей активности растворов тромбина измеряли время свертывания раствора фибриногена (1,3 мг/мл) после добавлений различных разбавлений раствора конкретного человеческого тромбина (полученного из плазмы, 3300 единиц/мг, Biovitrum AB, Sweden). Время свертывания измеряли с применением коагулометра Amelungen Kc 1 (Amelungen, Germany). Для изучения стабильности растворов тромбина с различными добавками, образцы инкубировали в камере термостата при температуре 37°С. Аликвоты брали в различные интервалы времени и измеряли сохранившуюся активность тромбина в этих аликвотах. Из полученных значений строили кривые спада активности. Кривые спада активности 1 мг/мл растворов тромбина в 10 мМ HEPES, 0,13 М NaCl буфере, рН 7,4, показали значения Т 70% около 1,6 дня при температуре 37°С. Соответствующие эксперименты при комнатной температуре (около 21°С) показали значение Т 70% 5,4 дня, а после хранения в холодильнике (температура около 5°С) значение Т 70% составляло 36 дней. Таким образом, как ожидалось, существует сильная зависимость от температуры. Растворы, содержащие 1 мг/мл тромбина, в 10 мМ HEPES и 0,13 М NaCl при рН 7,4 с указанными стабилизирующими добавками помещали в камеру термостата и определяли их кривые спада активности. Полученные результаты показаны в таблице 1. Данные для соответствующего 1 мг/мл раствора тромбина без добавок включены для сравнения. Очевидно, что все тестируемые соединения обладают стабилизирующим действием. Однако существует синергетический эффект сочетаний ингибитора и содержащего морфолин соединения в соответствии с данным изобретением, что подтверждают превосходные результаты, полученные для таких сочетаний. Как иллюстрирует представленная выше таблица, добавление 0,20 М чистой MOPS дает увеличение стабилизации в 4,7 раза, и добавление 0,5 мМ обратимого ингибитора тромбина аминобензамидина дает увеличение стабилизации в 12,5 раза. Сочетания в соответствии с данным изобретением, однако, стабилизируют композицию тромбина намного лучше, в 42,5 раза. Изобретенное сочетание MOPS и N,N-диэтилэтилендиамина также стабилизирует фермент лучше, чем отдельные компоненты. Так же, сочетание 0,20 М MOPS и 1,9 мМ N-(2′-фенокси)-4-аминопиридина обеспечивает очень значительное повышение стабилизации, в 75 раз, в то время как отдельные компоненты увеличивают стабильность в 4,7 раза и 22 раза, соответственно. Применяемый в исследовании тромбин представляет собой человеческий тромбин, полученный из плазмы. Рекомбинантный человеческий тромбин также исследовали, и он показал практически такое же поведение. Пример 2 – Стабилизация бычьего тромбина Исследовали стабилизацию бычьего тромбина. Параметры эксперимента были такими же, как и в примере 1, но применяемая концентрация бычьего тромбина (Baxter) составляет 0,4 мг/мл. При хранении при температуре 37°С раствор тромбина в буфере HEPES показал значение Т 70% 1,3 дня. Раствор тромбина в буфере HEPES плюс 3,0 мМ N-(2′-фенокси)-4-аминопиридина и 0,20 М MOPS показал значение Т 70% 54 дня. Полученные результаты показали, что бычий тромбин в некоторой степени более нестабильный, чем исследуемые препараты человеческого тромбина, но что, тем не менее, применение композиций в соответствии с данным изобретением показало очень хорошее стабилизирующее действие. Пример 3 – Низкие концентрации тромбина Исследовали стабилизацию тромбина в композициях, содержащих низкие концентрации тромбина. Показано, что стабилизирующее действие композиций в соответствии с данным изобретением работают также для сравнительно низких концентраций тромбина. Раствор человеческого тромбина 15,0 единиц активности/мл (полученный из плазмы, 3300 единиц/мг, Biovitrum AB, Sweden) в буфере HEPES, рН 7,4, показал значение Т 70% 23 дня. Соответствующий раствор в буфере HEPES, рН 7,4 плюс 2,0 мМ N-(2′-фенокси)-4-аминопиридина и 0,20 М MOPS показал значение Т 70% 92 дня. Пример 4 – стабилизация плазмина Тестировали стабилизацию растворов плазмина в соответствии с данным изобретением. Активность плазмина определяли с применением хромогенного пептидного субстрата Chromozym TH (Pentapharm, Switzreland) и изменением изменений коэффициента поглощения при 405 нм в спектрофотометре. Растворы, содержащие 100 мкг/мл плазмина (удельная активность 3,2 единицы/мг, Sigma-Aldrich) в 10 мМ HEPES и 0,13 М NaCl, рН 7,4, а также стабилизаторы, указанные в таблице 2 ниже, инкубировали при температуре 37°С, и образцы брали в различные моменты времени для определения активности. Полученные результаты показаны в таблице 2. Из представленных результатов очевидно, что очень сильную стабилизацию получали при применении сочетания в соответствии с данным изобретением. 0,20 М морфолина увеличивают стабильность композиции плазмина в 4 раза, 0,13 М N,N-диэтилэтилендиамина в 2,7 раза и 1,3 мМ аминобензамидина в 17 раз. Однако сочетание морфолина и N,N-диэтилэтилендиамина увеличивает стабильность композиции плазмина в 7,3 раза, и сочетание морфолина и аминобензамидина увеличивает стабильность в 72 раза. Пример 5 – Стабилизация трипсина тестировали стабилизацию растворов трипсина в соответствии с данным изобретением. Активность трипсина определяли с применением метилового эфира тозиларгинина (ТАМЕ) в качестве субстрата, и измеряли изменение абсорбции при 247 нм в спектрофотометре. Растворы, содержащие 100 мкг/мл трипсина (обработанные ТРСК, Sigma-Aldrich) в 10 мМ HEPES и 0,13 М NaCl, рН 7,4, а также указанные в таблице 3 стабилизаторы инкубировали при температуре 37°С, и образцы брали в различные интервалы времени для определения активности. Полученные результаты показаны в таблице 3. Снова, стабилизирующее действие является наибольшим для композиции в соответствии с данным изобретением. Таким образом, 0,5 М чистого морфолина дает увеличение стабилизации в 13 раз, и 1 мМ чистого бензамидина дает увеличение стабилизации в 72 раза. Комбинация по изобретению, с другой стороны, дает увеличение стабилизации в 147 раз. Пример 6 – стабилизация тромбина с КМЦ Тесты растворов тромбина, содержащих от 1,0 до 2,0% карбоксиметилцеллюлозы (КМЦ), на прилипаемость (адгезивность) к коже человека показали, что добавление КМЦ сильно увеличивает как вязкость, так и прилипаемость. Однако неожиданно было обнаружено, что стабильность таких растворов тромбина увеличивается еще больше. 1 мг/мл раствор человеческого тромбина (полученного из плазмы, 3300 единиц/мг, Biovitrum AB, Sweden) в 0,5 мМ аминобензамидина, 0,20 М MOPS, 10 мМ HEPES, 0,13 М NaCl, составляющий 2,0% относительно КМЦ, инкубировали при температуре 37°С, и определяли кривые спада активности. Полученное значение Т 70% составляло 175 дней. Пример 7 – Стабилизация с другими клейкими полимерами Исследовали также четыре других полимера: этилгидроксиэтилцеллюлозу (ЭГЭЦ), картофельный крахмал, кукурузный крахмал и желатин холодноводных рыб. Все четыре полимера повышали прилипаемость и вязкость растворов тромбина. Совместимость и стабильность растворов тромбина с полимерами далее изучали путем инкубирования при температуре 37°С 1 мг/мл растворов человеческого тромбина (полученного из плазмы, 3300 единиц/мг, Biovitrum AB, Sweden) в 0,20 М MOPS, 0,5 мМ аминобензамидина, 10 мМ HEPES, 0,13 М NaCl, рН 7,4, содержащих различные полимеры. Концентрации применяемых полимеров составляли: ЭГЭЦ, 0,6%; два разных крахмала, 4,0%; и желатин, 12,8%. ЭГЭЦ была полностью совместима с тромбином, и значение Т 70%, т.е. около 65 дней, было такое же, как и для раствора без ЭГЭЦ. Содержащие крахмал растворы имели значения Т 70% 22 и 26 дней. Стабильность тромбина была очень хорошей в желатине, при значении Т 70% более 90 дней, что демонстрирует дополнительное стабилизирующее действие желатина холодноводных рыб. Пример 8 – Эксперименты с кровотечением Способность композиций в соответствии с данным изобретением останавливать кровотечение тестировали в серии экспериментов на кроликах. Выбранной моделью были надрезы на печени, которые являются часто применяемой моделью. Брюшную полость кроликов вскрывали и обнажали печень. На поверхности печени делали стандартные надрезы длиной 3 мм, и 0,10 мл тестируемого раствора наносили на рану с применением шприца. Измеряли время свертывания крови. Для каждого раствора проводили 10-12 экспериментов. Средние значения времени кровотечения рассчитывали после отбрасывания самого быстрого и самого медленного значения в каждой серии экспериментов. Для сравнения, широко применяемый кровоостанавливающий агент Tisseel (Baxter), фибриновый клей, также включали в исследование. Tisseel применяли в соответствии с рекомендациями производителя. 0,2 мл раствора наносили на каждую рану с применением двойного шприца со смесительной камерой. Полученные результаты даны в таблице 4 ниже. Из этих результатов очевидно, что раствор тромбина, стабилизированный в соответствии с данным изобретением, является наиболее эффективным для быстрого свертывания крови у пациента с кровотечением, сравнимым или лучше, чем широкоприменяемые агенты. Пример 9 – Совместимость с пористыми материалами Раствор, содержащий 0,4 мг/мл человеческого тромбина (полученного из плазмы, 3300 единиц/мг, Biovitrum AB, Sweden) в 10 мМ HEPES, 0,14 М NaCl, 0,5 мМ аминобензамидина, 0,20 М MOPS с рН 7,4 абсорбировали в кусок полиуретанового гипса (продаваемый под названием Ligasone от Hartmann Scamdicare AB, Anderstorp, Sweden). Применяли количество раствора, достаточное для насыщения куска полиуретана. Кусок переносили в пробирку, которую затем закрывали для предотвращения испарения. Пробирку хранили при температуре 37°С, и образцы раствора брали с интервалами путем слабого надавливания на кусок полиуретана. Кривые спада активности показали значение Т 70% 74 дня, что соответствует повышению стабильности в 46 раз. Пример 10 – Адсорбция фермента в твердую фазу тестировали адсорбцию тромбина в стабилизированных растворах в поверхности. Твердые хлопья хитозана (по крайней мере, на 85% деацетилированные, Sigma-Aldrich) около 3×3 мм, инкубировали в течение 10 минут в растворах 400 единиц/мл человеческого тромбина (полученного из плазмы, 3300 единиц/мг, Biovitrum AB, Sweden) в 10 мМ HEPES, 0,13 М NaCl, рН 7,4. Растворы имеют следующие добавки: 1) нет, 2) 0,10 М морфолина, 2 мМ N-(2′-фенокси)-4-аминопиридина, 3) 0,10 М морфолина, 2 мМ N-(2′-фенокси)-4-аминопиридина, 0,5% карбоксиметилцеллюлозы. Затем хлопья вынимали и сушили на фильтровальной бумаге. Для измерения свертывающего действия тромбина, хлопья помещали в тестовую пробирку и добавляли 0,4 мл 1,3 мг/мл раствора фибриногена. Для улучшения определения сгустка пробирка также содержит небольшой стальной шарик. Время свертывания, полученное первоначально для хлопьев из различных инкубационных смесей, варьировалось от 1 до 4 минут. После инкубирования в пробирках Eppendorf при температуре 37°С в течение 7 дней, время свертывания для хлопьев, инкубированных в растворе 1), было значительно длиннее. Значения составляли от 24 до 27 минут. Наоборот, время свертывания для хлопьев, инкубированных в растворах 2) и 3) было в интервале от 1 до 2,5 минут, т.е. такое же, как и исходные значения. Очевидно, сильная стабилизация активности тромбина может быть получена при применении растворов 2) и 3). Для тестирования кровоостанавливающего действия in vivo, хлопья хитозана, инкубированные в растворе 3), наносили на раны на печени кроликов согласно животной модели, описанной в примере 8. Среднее время свертывания крови составляло 27 секунд (на основе шести экспериментов). Иллюстративный пример А – Морфолин не является ингибитором тромбина Оценивали возможность того, что морфолин является ингибитором тромбина. Действие тромбина по свертыванию фибриногена обычно измеряли в тестах на свертывание, в которых время свертывания раствора фибриногена определяли с применением механических или оптических устройств. Тесты на свертывание в этих экспериментальных структурах проводили в 0,01 М HEPES, 0,13 М буфера NaCl с рН 7,4, что соответствует стандартной методике (Фармакопея США). Применяли раствор человеческого тромбина (полученного из плазмы, 3300 единиц/мг, Biovitrum AB, Sweden), содержащий 89 единиц/мл, и тестировали разбавления 1/5, 1/10 и 1/16. Растворы различных концентраций морфолина готовили в буфере HEPES добавлением концентрированного раствора морфолина, доведенного до рН 7,4. Когда морфолин растворяли в воде, рН доходил до 9-10, так что для получения рН 7,4 добавляли HCl. Это также повышало ионную силу раствора. В таблице I показаны полученные результаты. Полученное время свертывания превращали в концентрации тромбина с применением стандартной кривой. Как очевидно из этих результатов, имеется пролонгация времени свертывания при повышении концентрации морфолина вплоть до определенного уровня. Однако то же самое наблюдают, когда ионная сила увеличивается за счет NaCl и получается такой же профиль. Таким образом, эффект пролонгации был, вероятнее всего, вызван увеличением ионной силы. Далее, известно, что увеличение ионной силы от 0,15 М до 0,22 М вызывает изменения в полимеризации фибрина (B.Blombäck, Thrombosis Research, vol.83, (1996), p.1-75). Это в действительности соответствует интервалу, изучаемому в данной серии экспериментов, в которых исходная концентрация NaCl составляла 0,13 М и затем повышалась до 0,18 М и далее до 0,33 М. Это также соответствует полученному уровню плато. Вывод: морфолин сам по себе не является ингибитором тромбина.
Формула изобретения
1. Композиция стабилизированной серинпротеазы, содержащая а) серинпротеазу; b) обратимый ингибитор указанной серинпротеазы; и с) стабилизирующий агент М, имеющий формулу I 2. Композиция по п.1, в которой серинпротеаза выбрана из группы, включающей трипсин, калликреин, тромбин, плазмин, урокиназу, тканевой активатора плазминогена, активную форму фактора IX, активную форму фактора Х и активную форму фактора XI. 3. Композиция по п.2, где обратимый ингибитор имеет значение К; от 0,01 до 2 мМ, например, от 0,04 мМ до 0,5 мМ. 4. Композиция по п.3, где серинпротеазой является тромбин. 5. Композиция по п.4, где обратимый ингибитор выбран из N-(2′-фенокси)-4-аминопиридина и его производных, бензамидина, N,N-диэтилэтилендиамина, аминобензамидина, амидинопиридина и трет-бутиламидина. 6. Композиция по п.4, где обратимый ингибитор выбран из N-(2′-фенокси)-4-аминопиридина и его производных, N,N-диэтилэтилендиамина, амидинопиридина и трет-бутиламидина. 7. Композиция по п.4, где обратимым ингибитором является N-(2′-фенокси)-4-аминопиридин или его производное. 8. Композиция по п.3, где серинпротеазой является плазмин. 9. Композиция по п.8, где обратимый ингибитор выбран из N,N-диэтилэтилендиамина, аминобензамидина и бензамидина. 10. Композиция по п.3, где серинпротеазой является трипсин. 11. Композиция по п.10, где обратимый ингибитор выбран из аминобензамидина и бензамидина. 12. Композиция по п.1, где n в формуле I равно 1 или 2. 13. Композиция по п.12, где n в формуле I равно 1. 14. Композиция по п.13, где стабилизирующим агентом М является соединение формулы II 15. Композиция по п.14, где стабилизирующим агентом М является соединение формулы III 16. Композиция по п.15, где стабилизирующий агент М выбран из группы, включающей морфолин, 3-(N-морфолино)пропансульфоновую кислоту (MOPS), морфолинобутилсульфоновую кислоту, морфолинопропилкарбоновую кислоту, морфолиноэтиловый спирт и морфолиноэтилсульфоновую кислоту. 17. Композиция по п.16, где стабилизирующий агент М выбран из морфолина и 3-(N-морфолино)пропансульфоновой кислоты. 18. Композиция по п.17, где стабилизирующим агентом М является морфолин. 19. Композиция по п.1, где серинпротеазой является тромбин, обратимым ингибитором является N-(2′-фенокси)-4-аминопиридин, и стабилизирующим агентом М является морфолин. 20. Композиция по п.1, где серинпротеазой является тромбин, обратимым ингибитором является N-(2′-фенокси)-4-аминопиридин, и стабилизирующим агентом М является 3-(N-морфолино)пропансульфоновая кислота. 21. Композиция по п.1, которая дополнительно содержит вязкий и адгезивный полимер, выбранный из полисахаридов и желатина. 22. Композиция по п.21, где вязким и адгезивным полимером является полисахарид. 23. Композиция по п.22, где полисахарид выбран из крахмала, его производных, целлюлозы, ее производных, и их смесей. 24. Композиция по п.23, где полисахарид выбран из карбоксиметилцеллюлозы, этилгидроксиэтилцеллюлозы и их смесей. 25. Композиция по п.22, где полисахаридом является карбоксиметилхитозан. 26. Композиция по любому из пп.22-25, где указанный полисахарид присутствует в концентрации 0,1-5%. 27. Композиция по п.21, где вязким и адгезивным полимером является желатин. 28. Композиция по п.27, где желатином является желатин из холодноводных рыб. 29. Композиция по любому из пп.27-28, где указанный желатин присутствует в концентрации 0,5-20%. 30. Композиция по п.1, где указанная серинпротеаза присутствует в концентрации 0,001-2 мг/мл. 31. Композиция по п.1, где серинпротеазой является тромбин, и концентрация тромбина составляет 5-3500 единиц активности/мл. 32. Композиция по п.31, где серинпротеазой является тромбин, и концентрация тромбина составляет от 200 до 1000 единиц активности/мл. 33. Композиция по п.31, где серинпротеазой является тромбин, и концентрация тромбина составляет от 5 до 20 единиц активности/мл. 34. Композиция по п.1, где указанный обратимый ингибитор указанной серинпротеазы присутствует в концентрации 0,1-10 мМ. 35. Композиция по п.1, где указанный стабилизирующий агент М присутствует в концентрации 0,02-0,5 М. 36. Композиция по п.1, которая имеет форму, выбранную из раствора и геля, например, водного раствора и водного геля. 37. Применение композиции по любому из предшествующих пунктов в качестве лекарственного средства. 38. Применение композиции по любому из пп.1-36, где серинпротеазой является тромбин, для приготовления лекарственного средства для осуществления гемостаза у пациента, страдающего от кровотечения. 39. Способ осуществления гемостаза у пациента, страдающего кровотечением, включающий нанесение композиции по любому из пп.1-36, где в композиции серинпротеазой является тромбин, на место кровотечения в количестве, достаточном для уменьшения или остановки указанного кровотечения. 40. Применение композиции по п.33 в пластической хирургии. 41. Применение композиции по любому из пп.1-36, в которой серинпротеаза выбрана из плазмина, урокиназы и тканевого активатора плазминогена, для приготовления лекарственного средства для тромболитического лечения. 42. Способ тромболитического лечения у пациента, нуждающегося в этом, включающий введение композиции по любому из пп.1-36, где в композиции серинпротеаза выбрана из плазмина, урокиназы и тканевого активатора плазминогена, пациенту в количестве, достаточном для такого лечения. 43. Применение комбинации обратимого ингибитора серинпротеазы и стабилизирующего агента М, как определен в п.1, для стабилизации композиции серинпротеазы, где указанный обратимый ингибитор серинпротеазы и указанный стабилизирующий агент М действуют в синергии для обеспечения стабилизирующего действия на серинпротеазу. 44. Применение по п.43, где серинпротеаза является такой, как определена в любом из пп.2, 4, 8, 10, 30, 31, 32 и 33. 45. Применение по п.43, где обратимый ингибитор является таким, как определен в любом из пп.3, 5, 6, 7, 9, 11 и 34. 46. Применение по п.43, где стабилизирующий агент М является таким, как определен в любом из пп.12-18 и 35. 47. Применение по п.43, где указанная комбинация дополнительно включает вязкий и адгезивный полимер, выбранный из полисахаридов и желатина. 48. Применение по п.47, где вязкий и адгезивный полимер является таким, как определен в любом из пп.22-29. 49. Применение по п.43, где указанным обратимым ингибитором серинпротеазы является N-(2′-фенокси)-4-аминопиридин, и указанным стабилизирующим агентом М является 3-(N-морфолино)пропансульфоновая кислота. 50. Способ стабилизации серинпротеазы, который включает смешивание серинпротеазы с а) обратимо действующим ингибитором указанной серинпротеазы; и b) стабилизирующим агентом М формулы I 51. Способ по п.5 0, где серинпротеаза является такой, как определена в любом из пп.2, 4, 8, 10, 30, 31, 32 и 33. 52. Способ по п.50, где обратимый ингибитор является таким, как определен в любом из пп.3, 5, 6, 7, 9, 11 и 34. 53. Способ по п.50, где стабилизирующий агент М является таким, как определен в любом из пп.12-18 и 35. 54. Способ по п.50, который дополнительно включает смешивание серинпротеазы с вязким и адгезивным полимером, выбранным из полисахаридов и желатина. 55. Способ по п.54, где вязкий и адгезивный полимер является таким, как определен в любом из пп.22-29. 56. Способ по любому из пп.50-55, где указанным обратимым ингибитором серинпротеазы является N-(2′-фенокси)-4-аминопиридин, и указанным стабилизирующим агентом М является 3-(N-морфолино)пропансульфоновая кислота. 57. Устройство для гемостаза сосудов, на котором адсорбирована композиция по любому из пп.1-36, где серинпротеазой в композиции является тромбин. 58. Устройство для гемостаза сосудов по п.57, которое содержит биоразлагаемый материал, выбранный, в частности, из хитозана и коллагена.
|
||||||||||||||||||||||||||















