|
|
(21), (22) Заявка: 2006141647/14, 27.04.2005
(24) Дата начала отсчета срока действия патента:
27.04.2005
(30) Конвенционный приоритет:
27.04.2004 US 60/565,527
(43) Дата публикации заявки: 10.06.2008
(46) Опубликовано: 10.05.2010
(56) Список документов, цитированных в отчете о поиске:
ЗАЙЦЕВ А.В. и др. Современный подход к медикаментозному лечению интерстициального цистита: многоплановая терапия. – Фарматека, 2002, 10 (61), реферат, с.34. US 4985585, 15.01.1991. US 5920812, 01.02.1994. CZ 9702574 A3, 14.01.1998. ТАРАСОВА Г.Н. Представления врачей и пациентов о синдроме раздраженного кишечника и реальная практика еголечения в общетерапевтической системе. – Медицинский реферативный журнал, 2003, 19, 10. [Найдено 2009-03-26] Найдено из Интернет:
(85) Дата перевода заявки PCT на национальную фазу:
27.11.2006
(86) Заявка PCT:
US 2005/014545 20050427
(87) Публикация PCT:
WO 2005/105073 20051110
Адрес для переписки:
103735, Москва, ул. Ильинка, 5/2, ООО “Союзпатент”, пат.пов. А.Ю.Соболеву
|
(72) Автор(ы):
СМИТ Чарльз (US), ЛОК Кеннет Уолтер (US), КИЁИЗУМИ Така (US)
(73) Патентообладатель(и):
МЕДИСИНОВА, ИНК. (US)
|
(54) ПРОИЗВОДНЫЕ ФЕНОКСИАЛКИЛКАРБОНОВЫХ КИСЛОТ ПРИ ЛЕЧЕНИИ ВОСПАЛИТЕЛЬНЫХ ЗАБОЛЕВАНИЙ
(57) Реферат:
Группа изобретений относится к медицине, в частности к урологии и гастроэнтерологии, и касается лечения интерстициального цистита, или синдрома повышенной раздражимости толстой кишки (слизистого колита), или язвенного колита производными феноксиалкилкарбоновых кислот. Осуществляют введение нуждающемуся в этом пациенту эффективного количества соединения 1:

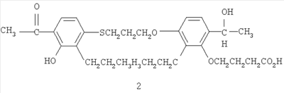
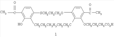
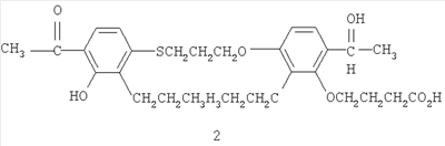
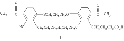
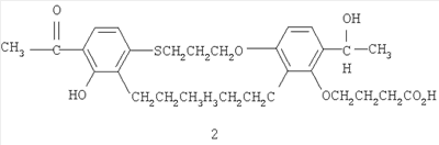
или его метаболита – соединения 2:

или их фармацевтически приемлемых солей, или пролекарственных форм. За счет одновременного воздействия указанных соединений на несколько химических медиаторов воспаления изобретение обеспечивает высокую терапевтическую эффективность лечения указанных заболеваний. 3 н. и 20 з.п. ф-лы, 4 табл., 5 ил.
Область техники, к которой относится изобретение
Способ лечения интерстициального цистита, синдрома повышенной раздражимости толстой кишки (слизистого колита), язвенного колита и других заболеваний, связанных с воспалением.
Уровень техники
Интерстициальный цистит (ИЦ) – это хроническое воспаление или раздражение стенки мочевого пузыря, которое по оценкам поражает 700000 человек (приблизительно 90% составляют женщины) в Соединенных Штатах. Первичными симптомами ИЦ являются настоятельные и частые позывы на мочеиспускание и зачастую сильные боли в области таза и промежности. Сходство симптомов ИЦ с другими заболеваниями мочевого пузыря, такими как инфекции мочевыводящих путей (ИМП), уретрит, уретральный синдром, тригонит, простатит, дизурия и никтурия, вызывает затруднения при диагностике этого заболевания. Диагноз ИЦ обычно устанавливается после того, как будут исключены другие сходные заболевания мочевого пузыря, а при цитоскопическом исследовании стенки пузыря выявляются характерные признаки ИЦ, в том числе небольшие петехиальные кровоизлияния или более крупные язвы Хуннера.
Этиология и патогенез трансмурального воспаления при ИЦ не выяснены. Диагноз ставится методом исключения, а лечение обычно является эмпирическим. Симптомы ИЦ возникают вследствие дефекта гликозаминогликанового (ГАГ) компонента муцинового слоя, покрывающего и защищающего уротелий мочевого пузыря. Недостаточность этого слоя, как полагают, вызывает ИЦ.
Гипотеза ГАГ лежит в основе лечения интерстициального цистита с помощью “заменителей” гликозаминогликана типа пентозанполисульфата натрия и гепарина или гиалуроновой кислоты при внутрипузырном введении. Раздражающие вещества в моче могут проникать через уротелий, вызывая воспаление, раздражение и повреждение ткани, дегрануляцию тучных клеток и деполяризацию чувствительных нервов, что ведет к настоятельным и частым позывам на мочеиспускание и боли при интерстициальном цистите. Гликозаминогликаны сильно гидрофильны и оказывают защитное действие. Они обеспечивают устойчивый слой воды между уротелием и просветом мочевого пузыря и предотвращают прикрепление к уротелию и проникновение в него бактерий, микрокристаллов, ионов, белков и других веществ, находящихся в моче.
В настоящее время не существует стойкого выздоровления от ИЦ у большинства пациентов. Лечение ИЦ при помощи лекарственной терапии оказалось наиболее эффективным способом облегчения симптомов. К принимаемым внутрь лекарствам от ИЦ относятся средства, обволакивающие мочевой пузырь, антидепрессанты, антигистамины, антиспазматические средства и анестетики. Эффективность принимаемых внутрь лекарств ограничена концентрацией препарата в кровотоке. Чтобы обойти это ограничение, многие больные ИЦ предпочитают подвергаться процедуре, называемой инсталляцией в мочевой пузырь, при которой лекарственный раствор по каплям закачивают в пузырь через уретральный катетер.
Предложенные способы лечения охватывают пентозанполисульфат, противовоспалительную или иммунодепрессивную терапию, мышечные релаксанты, антигистамины и анальгетики. Из них только пентозанполисульфат (Elmiron) был специально разрешен FDA к применению при ИЦ. Ни одна из предложенных терапий, включая пентозанполисульфат, для действия которых может потребоваться до 6 месяцев, не являются общепринятыми или вообще эффективными. Не существует лекарства и эффективного лечения, которое бы действовало на всех; способы лечения предназначаются для снятия симптомов. Растяжение мочевого пузыря, которое зачастую является составной частью диагностики, стоит на первом месте, так как оно может облегчить симптомы. Хирургия рассматривается только в качестве последнего средства и не дает существенного долговременного улучшения.
Родственные заболевания повышенной раздражимости толстой кишки (слизистого колита) и язвенного колита также представляют трудности для лечения с помощью существующих терапевтических средств. Они представляют собой неспецифические воспалительные заболевания толстой кишки неизвестного происхождения, которые отличаются поносом с выделением слизи и крови, схваткообразными болями в животе и воспалением и отеком слизистой оболочки с участками изъязвления.
Без намерения быть ограниченными теорией, мы полагаем, что соединениями настоящего изобретения можно блокировать уникальный спектр рецепторных сайтов. Мало какие из известных ингибиторов воспалительных заболеваний воплощают в одной молекуле все из следующих сайтов активности: ингибирование 1) синтеза лейкотриенов, 2) рецепторов лейкотриенов D-4, 3) рецепторов лейкотриенов Е-4, 4) цАМФ PDE III, 5) цАМФ PDE IV, 6) синтеза тромбоксана А-2, 7) миграции эозинофилов и 8) миграции лимфоцитов. Вышеприведенные механизмы участвуют и взаимодействуют в различной степени и с разной специфичностью среди целого ряда клеток, взаимодействующих в так называемом “воспалительном каскаде”, давая результат типа цепной реакции. Блокируя целый ряд сайтов действия, соединения 1 и 2 должны быть эффективными при целом ряде заболеваний, попадающих в категорию “воспалительных заболеваний”.
Поскольку биохимические медиаторы воспаления вызывают в тканях “взрывной” тип реакции, мы предполагаем, что аддитивные эффекты широкого спектра сайтов действия данных соединений приведет к “множественным” эффектам при облегчении заболевания мочевых путей интерстициального цистита, а также воспалительных заболеваний желудочно-кишечного тракта, в особенности синдрома повышенной раздражимости толстой кишки (слизистого колита) (IBS) и язвенного колита.
Раскрытие изобретения
Целью изобретения является обеспечение способа лечения интерстициального цистита, включающего введение нуждающемуся в лечении интерстициального цистита пациенту эффективного количества соединения 1:

или его фармацевтически приемлемой соли.
Следующей целью изобретения является обеспечение способа лечения интерстициального цистита, включающего введение эффективного количества соединения 2, метаболита соединения 1:

Следующей целью изобретения является обеспечение способа лечения интерстициального цистита с помощью эффективного количества соединения 1, находящегося в виде полиморфной формы А.
Следующей целью изобретения является обеспечение способа лечения IBS/язвенного колита введением эффективного количества соединения 1 или 2.
Краткое описание чертежей
Фиг.1А-1Е. Репрезентативные цистометрограммы (CMG) мочевого пузыря при (А) инфузии физраствора; (В) инфузии ОА; (С) инфузии ОА после соединения 1 (10 мг/кг); (D) инфузии ОА после соединения 1 (30 мг/кг); (Е) инфузии ОА после соединения 1 (50 мг/кг).
Фиг.2A-2D. Частота опорожнения (А) у контрольных и обработанных ОА крыс; (В) до и после применения соединения 1 (10 мг/кг); (С) до и после применения соединения 1 (30 мг/кг); (D) до и после применения соединения 1 (50 мг/кг).
Фиг.3A-3D. Непродуктивные (без мочеиспускания) сокращения мочевого пузыря (А) у контрольных и обработанных ОА крыс; (В) до и после применения соединения 1 (10 мг/кг); (С) до и после применения соединения 1 (30 мг/кг); (D) до и после применения соединения 1 (50 мг/кг). Значок * означает значимость отличий по сравнению с группой 1. Значок ± означает значимость отличий по сравнению с группой 2.
Фиг.4. Интервал между сокращениями в контроле и различных опытных группах. Значок * означает значимость отличий по сравнению с группой 1. Значок ± означает значимость отличий по сравнению с группой 2.
Фиг.5. Непродуктивные (без мочеиспускания) сокращения мочевого пузыря в контроле и различных опытных группах. Значок * означает значимость отличий по сравнению с группой 1. Значок ± означает значимость отличий по сравнению с группой 2.
Осуществление изобретения
Соединение 4-[6-ацетил-3-[3-(4-ацетил-3-гидрокси-2-пропилфенилтио)пропокси]-2-пропилфенокси]масляная кислота (1) (MN-001) и его фармацевтически приемлемые соли и защищенные пролекарственные формы при приеме внутрь активны при лечении интерстициального цистита.

Соединение формулы 2 (MN-002), метаболит соединения 1, является преобладающей формой в плазме крови человека. Оно тоже является активным при лечении интерстициального цистита и может существовать в виде двух стереоизомеров. Активность in vitro разделенных оптических изомеров соединения 2 почти одинакова в отношении лейкотриенов. Также и острая токсичность (LD50) обеих оптических изомеров почти одинакова. Изомеры можно выделить методами хиральной хроматографии. Рацемат тестировали в опытах по долгосрочной безопасности на грызунах и собаках. В отношении фармакологии активности in vitro (-)-изомера и рацемата совпадают. В отношении фармакокинетики изомеры ведут себя одинаковым образом на крысах и собаках, без всяких признаков взаимопревращения.

Синтез и биологическая активность многих производных феноксиалкилкарбоновых кислот, в том числе соединений 1 и 2, описаны Ohashi et al. в патентах US 4985585 и 5290812, которые включены в настоящее изобретение путем отсылки.
Соединение 1 может быть получено при реакции между фенолом формулы 3:

где R означает защитную группу кислоты типа метила или этила, и бромированным соединением формулы 4 с образованием соединения 5:

в органическом растворителе, например ацетоне, метилэтилкетоне, диэтилкетоне или диметилформамиде. Реакция нуклеофильного замещения может проводиться при температуре от ниже комнатной до температуры кипения растворителя, в присутствии неорганического основания, например карбоната калия или карбоната натрия. Также рекомендуется добавление иодида калия. Для выполнения этой реакции сочетания можно использовать аналоги соединения 4 с другими уходящими группами, такими как хлор и тозилат.

Удаление защитной группы в соединении 5 путем щелочного гидролиза эфира и экстрактивной обработки дает соединение 1 в виде белого вещества.
Перекристаллизация белого вещества в контролируемых условиях дает практически чистую полиморфную форму, обозначаемую как кристаллы формы А (например, 90% или больше, предпочтительно не менее 95% формы А). Полиморфная форма А и способы ее получения описаны в патентных заявках US 10/601861 и 10/601862, поданных 24 июня 2003 г., которые включены в настоящее изобретение путем отсылки. Все полиморфные формы соединения 1 являются активными, но форма А предпочтительна. По растворимости и биодоступности этот полиморф, отличающийся орторомбическими кристаллами, превосходит остальные полиморфы, поэтому форма А дает лучшие твердые лекарственные формы.
Кристаллы формы А могут быть получены при растворении соединения 1 в 5-10 весовых частях этанола при 25-40°С, получая желто-оранжевый раствор. В этанольный раствор вносят 1-10 частей воды и перемешивают при 20-25°С в течение 15-60 мин, а затем при 5-10°С еще в течение 1-4 ч, предпочтительно 2,0-3,0 ч, получая беловатую суспензию. В эту суспензию добавляют 5-15 частей воды и перемешивают смесь при 5-10°С еще в течение 1-4 ч, предпочтительно 1,5-2,0 ч. Твердый, белый или беловатый продукт выделяют вакуумным фильтрованием, промывают осадок на фильтре водой и сушат под вакуумом при 25-40°С в течение 12-24 ч.
Дополнительные методы синтеза приведены ниже, при этом DHPA означает 2,4-дигидрокси-3-пропилацетофенон, а СНРА означает 4-(3-хлорпропокси)-2-гидроксил-3-пропилацетофенон.


 



Лекарственные формы и способы введения
Введение соединений 1 и 2, их смесей и/или фармацевтически приемлемых солей или пролекарственных форм может осуществляться перорально или путем внутривенной, внутримышечной и подкожной инъекции, либо трансдермальными способами. Эффективный уровень дозы может сильно варьировать, например, от 100 до 2500 мг в день. Предпочтительно ежедневная дозировка составляет от 250 до 2000 мг, принимаемых за один, два или три приема. Предпочтительная доза при ИЦ составляет 1000 мг два раза в день. Подходящие дозы для лечения IBS/язвенного колита составляют 1000 мг за один раз, 1000 мг два раза в день и 750 мг три раза в день. Конкретные дозы зависят от обстоятельств подлежащего лечению пациента. Как известно специалистам в этой области, лечащий врач должен учитывать многие факторы, корректирующие действие активного вещества, такие как возраст, вес, пол, режим питания и состояние пациента, время приема, частота и способ применения. Специалист в этой области может установить оптимальные дозировки для данного набора условий с помощью стандартных тестов определения дозировки.
Подходящими солями являются соли натрия, калия, кальция и магния, при этом предпочтителен натрий. Подходящими пролекарственными формами являются эфиры карбоновых кислот, которые легко гидролизуются in vivo и высвобождают активную кислоту in vivo. Пример такой защитной группы приведен в US 4428935, включенном в настоящее изобретение путем отсылки.
Соединения настоящего изобретения могут быть заключены в любую фармацевтически приемлемую форму, включая жидкости, порошки, эмульсии, пилюли, таблетки, свечи, суспензии, растворы и т.п. Терапевтические композиции, содержащие соединения 1 и 2, их смеси и/или фармацевтически приемлемые соли, обычно составляются с одним или несколькими фармацевтически приемлемыми ингредиентами в соответствии с установившейся практикой. В общем, таблетки формируют с использованием такого носителя, как модифицированный крахмал, одного или в сочетании с 10% мас. карбоксиметилцеллюлозы (Avicel). В процессе таблетирования составы подвергают прессованию при давлении от 1000 до 3000 фунтов. Таблетки предпочтительно проявляют среднюю твердость от 1,5 до 8,0 кгс/см2 (kp/cm2), предпочтительно от 5,0 до 7,5 кгс/см2 (kp/cm2). Время распада колеблется от 30 с до 15 или 20 мин. Следующие примеры составляют конкретные воплощения изобретения, но не должны рассматриваться как ограничивающие его область действия.
Лекарственные формы для приема внутрь могут быть получены в виде твердых желатиновых капсул, в которых феноксиалкилкарбоновая кислота, ее смеси или фармацевтически приемлемые соли смешивают с инертным твердым разбавителем типа карбоната кальция, фосфата кальция или каолина, либо в виде мягких желатиновых капсул, в которых соединения смешивают с масляной средой, например вазелиновым маслом или оливковым маслом. К подходящим носителям относятся карбонат магния, стеарат магния, тальк, сахар, лактоза, пектин, декстрин, крахмал, желатин, трагакант, метилцеллюлоза, натриевая карбоксиметилцеллюлоза, легкоплавкий воск, масло какао и др.
Водные суспензии могут содержать соединения, их смеси и/или фармацевтически приемлемые соли вместе с фармацевтически приемлемыми наполнителями типа суспендирующих веществ, например натриевой карбоксиметилцеллюлозой, метилцеллюлозой, гидроксипропилметилцеллюлозой, альгинатом натрия, поливинилпирролидоном, камедью трагаканта и гуммиарабиком; диспергирующими или увлажняющими веществами типа природных фосфатидов, например лецитином или продуктами конденсации щелочного оксида с жирными кислотами, например полиоксиэтиленстеаратом, либо продуктами конденсации этиленоксида с длинноцепочечными алифатическими спиртами, например гептадекаэтиленоксицетанолом, либо продуктами конденсации этиленоксида с частичными эфирами жирной кислоты и гекситола, например полиоксиэтиленсорбитолмоноолеатом, либо продуктами конденсации этиленоксида с частичными эфирами жирной кислоты и ангидрида гекситола, например полиоксиэтиленсорбитанмоноолеатом. Такие водные суспензии также могут содержать один или несколько консервантов, например этил- или н-пропил-п-гидроксибензоат, одно или несколько окрашивающих веществ, одно или несколько ароматизирующих веществ и одно или несколько подслащивающих веществ типа сахарозы, сахарина или цикламата натрия или кальция.
Диспергируемые порошки и гранулы, пригодные для получения водной суспензии при добавлении воды, включают соединения формул 1 и 2, их смеси и/или фармацевтически приемлемые соли вместе с диспергирующим или смачивающим веществом, суспендирующим веществом и одним или несколькими консервантами. Подходящие диспергирующие или увлажняющие вещества и суспендирующие вещества представлены теми примерами, которые уже приведены выше. Могут присутствовать и другие наполнители, например подслащивающие, ароматизирующие и окрашивающие вещества. Сиропы и эликсиры могут быть приготовлены с подслащивающими веществами, например глицерином, сорбитолом или сахарозой. Такие составы могут также содержать мягчительное средство, консервант и ароматизирующие и окрашивающие вещества.
Настоящее изобретение может применяться в виде формы для замедленного выделения, из которых известно много разновидностей, например, как описано в US Pat. Nos. 4788055; 4816264; 4828836; 4834965; 4834985; 4996047; 5071646 и 5133974, содержание которых включено в настоящее изобретение путем отсылки.
Данное изобретение также охватывает введение рассматриваемых соединений одновременно с или после введения любых других известных фармакологически активных веществ, применяемых для лечения недержания мочи. К таким веществам относятся антихолинергические средства, такие как оксибутинин, атропин, пропантелин, теродилин и дицикломин; симпатомиметики, такие как эфедрин, псевдоэфедрин, адреналин и фенилпропаноламин; трициклические антидепрессанты, такие как имипрамин, доксепин и амитриптилин; эстрогены и родственные им соединения, обладающие эстрогеноподобной активностью, такие как эстрадиол и эстрон; и антиспазматические средства либо действующие непосредственно на мочевой пузырь мышечные релаксанты, такие как флавоксат. Подробное обсуждение этих фармакологически активных веществ см. в “Goodman and Gillman’s Pharmacological Basis of Therapeutics”, Goodman et al., eds. 7 th ed., 1985, Macmillan and Company, New York.
Другие формы, пригодные для приема внутрь, включают препараты в жидком виде, в том числе эмульсии, сиропы, эликсиры, водные растворы, водные суспензии, или препараты в твердом виде, которые незадолго до применения должны быть превращены в препараты в жидком виде. Эмульсии могут быть получены в виде раствора, к примеру раствора в водном пропиленгликоле, или могут содержать эмульгирующие вещества, такие, к примеру, как лецитин, сорбитанмоноолеат или гуммиарабик. Водные растворы могут быть получены растворением активного компонента в воде и добавлением подходящих красителей, ароматизаторов, стабилизаторов и загустителей. Водные суспензии могут быть получены диспергированием хорошо измельченного активного компонента в воде с вязкостным материалом типа природных или синтетических камедей, смол, метилцеллюлозы, натриевой карбоксиметилцеллюлозы и других хорошо известных суспендирующих веществ. Препараты в твердом виде включают растворы, суспензии и эмульсии и могут содержать, наряду с активным компонентом, красители, ароматизаторы, стабилизаторы, буферы, искусственные и природные подсластители, диспергирующие вещества, загустители, солюбилизирующие вещества и др.
Соединения настоящего изобретения могут быть заключены в формы для парентерального введения (например, для инъекции, к примеру болюсной инъекции, или непрерывной инфузии) и могут быть представлены в виде единичных лекарственных форм в ампулах, заполненных шприцах, небольших объемах для инфузии или в мультидозовых контейнерах с добавлением консерванта. Композиции могут принимать вид суспензий, растворов или эмульсий в масляных или водных носителях, например растворов в водном полиэтиленгликоле. Примеры масляных или неводных носителей, разбавителей, растворителей или носителей включают пропиленгликоль, полиэтиленгликоль, растительные масла (например, оливковое масло) и органические эфиры для инъекций (например, этилолеат), которые могут содержать такие рецептурные вещества, как консервирующие, увлажняющие, эмульгирующие или суспендирующие, стабилизирующие и/или диспергирующие вещества. С другой стороны, активный ингредиент может находиться в виде порошка, полученного путем асептического выделения стерильного вещества или лиофилизации из раствора для восстановления перед применением с помощью подходящего носителя, например, стерильной, свободной апирогенной воды.
Соединения настоящего изобретения могут быть заключены в формы для местного применения – нанесения на эпидерму в виде мазей, кремов или лосьонов либо в виде трансдермального пластыря. Мази и кремы, к примеру, могут быть приготовлены на водной или масляной основе с добавлением подходящих загустителей и/или гелеобразующих веществ. Лосьоны могут быть приготовлены на водной или масляной основе и обычно также содержат одно или несколько эмульгирующих, стабилизирующих, диспергирующих, суспендирующих веществ, загустителей или красителей. К формам, пригодным для местного применения во рту, относятся леденцы, содержащие активные вещества в ароматизированной основе, обычно в сахарозе и гуммиарабике или трагаканте; пастилки, содержащие активный ингредиент в инертной основе типа желатина и глицерина или сахарозы и гуммиарабика; и полоскания для рта, содержащие активный ингредиент в подходящем жидком носителе.
Соединения настоящего изобретения могут быть заключены в формы для применения в виде свечей. Сначала расплавляют легкоплавкий воск, к примеру, смесь из глицеридов жирных кислот или масло какао, и равномерно диспергируют активный компонент, к примеру, путем перемешивания. Затем расплавленную гомогенную смесь заливают в формочки стандартного размера, охлаждают и дают затвердеть.
Соединения настоящего изобретения могут быть заключены в формы для вагинального применения. Приемлемы маточные кольца, тампоны, кремы, гели, пасты, пенистые материалы или аэрозоли, содержащие, наряду с активным ингредиентом, такие носители, которые известны в этой области.
Соединения настоящего изобретения могут быть заключены в формы для назального применения. Растворы или суспензии вносятся прямо в носовую полость традиционными способами, например с помощью капельницы, пипетки или распылителя. Эти формы могут находиться в однодозовом или мультидозовом виде. В последнем случае капельницы или пипетки это достигается введением надлежащего заданного объема раствора или суспензии. В случае распыления этого можно добиться, к примеру, с помощью дозирующего аэрозольного распылителя.
Соединения настоящего изобретения могут быть заключены в формы для аэрозольного применения, особенно в дыхательные пути, включая интраназальное введение. Соединение, в общем, должно иметь небольшой размер частиц, например, порядка пяти (5) микрон или меньше. Такой размер частиц может быть достигнут способом, известным в этой области, например тонким измельчением. Активный ингредиент находится под избыточным давлением в сосуде с подходящим сжатым газом, к примеру хлорфторуглеродом (CFC) (например, дихлордифторметаном, трихлорфторметаном или дихлортетрафторэтаном), двуокисью углерода или другим подходящим газом. Для удобства аэрозоль может содержать и поверхностно-активное вещество типа лецитина. Дозировка препарата может контролироваться дозирующим клапаном. С другой стороны, активный ингредиент может находиться в виде сухого порошка, например, смеси из соединения в соответствующей порошкообразной основе типа лактозы, крахмала, таких производных крахмала, как гидроксипропилметилцеллюлоза и поливинилпирролидон (PVP). Порошкообразный носитель образует гель в носовой полости. Порошковая композиция может быть представлена в виде дозовых единиц, к примеру, в капсулах или патронах, например, из желатина, или в блистерных упаковках, из которых порошок может вводиться при помощи ингалятора.
При желании могут быть получены лекарственные формы с энтеросолюбильным покрытием, приспособленным для замедленного или контролируемого высвобождения активного ингредиента. Распространенный тип формы для контролируемого высвобождения, который может применяться в целях настоящего изобретения, включает инертную сердцевину типа сахарного шарика, покрытого внутренним слоем, содержащим препарат, и наружной оболочкой, контролирующей высвобождение препарата из внутреннего слоя.
Сердцевины предпочтительно состоят из водорастворимого или набухающего материала, которым может быть любой такой материал, который обычно используется в качестве сердцевины, или любой другой фармацевтически приемлемый водорастворимый или набухающий в воде материал в виде шариков или гранул. Сердцевины могут представлять собой сферы из таких материалов, как сахароза/крахмал (Sugar Spheres NF), кристаллы сахарозы или прессованные и высушенные сферы, обычно состоящие из таких наполнителей, как микрокристаллическая целлюлоза и лактоза.
В первом слое, по существу, нерастворимый в воде материал обычно представляет собой пленкообразующий полимер марки “GI insoluble” или “GI partially insoluble” (диспергированный или растворенный в растворителе). В качестве примера можно привести этилцеллюлозу, ацетат целлюлозы, ацетат-бутират целлюлозы, такие полиметакрилаты, как сополимер этилакрилата/метилакрилата (Eudragit NE-30-D) и сополимер аммонийметакрилата типа А и В (Eudragit RL30D и RS30D), и эластомеры силикона. Обычно вместе с полимером используется и пластификатор. Примеры пластификаторов включают дибутилсебацинат, пропиленгликоль, триэтилцитрат, трибутилцитрат, касторовое масло, ацетилированные моноглицериды, ацетилтриэтилцитрат, ацетилбутилцитрат, диэтилфталат, дибутилфталат, триацетин, фракционированное кокосовое масло (среднецепочечные триглицериды).
Второй слой, содержащий активный ингредиент, может состоять из активного ингредиента (препарата) с полимером в качестве связующего вещества или без него. Связующее вещество, если оно применяется, обычно гидрофильное, но может быть водорастворимым или нерастворимым в воде. Примерами полимеров, используемых во втором слое, содержащем активный препарат, являются такие гидрофильные полимеры, как поливинилпирролидон (PVP), полиалкиленгликоль типа полиэтиленгликоля, желатин, поливиниловый спирт, крахмал и его производные, такие производные целлюлозы, как гидроксипропилметилцеллюлоза (НРМС), гидроксипропилцеллюлоза, карбоксиметилцеллюлоза, метилцеллюлоза, этилцеллюлоза, гидроксиэтилцеллюлоза, карбоксиэтилцеллюлоза, карбоксиметилгидроксиэтилцеллюлоза, полимеры акриловой кислоты, полиметакрилаты или любой другой фармацевтически приемлемый полимер. Отношение препарата к гидрофильному полимеру во втором слое обычно находится в пределах от 1:100 до 100:1 (мас.).
Подходящие полимеры для третьего слоя или оболочки, контролирующей выделение препарата, могут быть выбраны из нерастворимых в воде полимеров или полимеров с рН-зависимой растворимостью, таких, к примеру, как этилцеллюлоза, фталат гидроксипропилметилцеллюлозы, ацетат-фталат целлюлозы, ацетат-тримеллитат целлюлозы, полиметакрилаты или их смеси, необязательно в сочетании с пластификаторами типа тех, что отмечены выше.
Необязательно слой для контролируемого высвобождения включает, наряду с вышеприведенными полимерами, другие вещества с различными характеристиками растворимости для того, чтобы регулировать проницаемость слоя для контролируемого выделения, а тем самым и скорость высвобождения. Примеры полимеров, которые могут использоваться в качестве регуляторов, к примеру, вместе с этилцеллюлозой, включают НРМС, гидроксиэтилцеллюлозу, гидроксипропилцеллюлозу, метилцеллюлозу, карбоксиметилцеллюлозу, полиэтиленгликоль, поливинилпирролидон (PVP), поливиниловый спирт, такие полимеры с рН-зависимой растворимостью, как ацетат-фталат целлюлозы или сополимеры аммонийметакрилата и сополимеры метакриловой кислоты или их смеси. При желании в слой для контролируемого высвобождения могут быть включены и такие добавки, как сахароза, лактоза и поверхностно-активные вещества фармацевтической степени чистоты.
Фармацевтические препараты предпочтительно находятся в единичных лекарственных формах. В таком виде препарат разделен на единичные дозы, содержащие соответствующее количество активного компонента. Единичная лекарственная форма может представлять собой упаковку, содержащую дискретные количества препарата, например расфасованные таблетки, капсулы, порошки во флаконах или ампулах. Кроме того, единичная лекарственная форма может представлять собой сами капсулы, таблетки, облатки или леденцы, либо она может представлять собой соответствующее количество их в упаковке.
Другие подходящие фармацевтические носители и их рецептуры описаны в Remington: The Science and Practice of Pharmacy 1995, edited by E.W.Martin, Mack Publishing Company, 19th edition, Easton, Pa. Репрезентативные фармацевтические композиции, содержащие соединения настоящего изобретения, описаны в примерах.
В нижеследующей таблице приведены данные из всестороннего биохимического исследования соединений 1 и 2, показывающие, что эти препараты могут поражать несколько химических медиаторов воспаления одновременно, что и лежит в основе их уникальных терапевтических активностей. Предполагается, что TNF является вероятной причиной заболеваний при артрите, сердечных заболеваниях, IBD и кахексии. Аналогичным образом предполагается, что система цАМФ/цГМФ вовлечена в целый ряд заболеваний или нарушений и должна реагировать на применение соединений 1 и 2, включая простатит, IBS/IBD, множественный склероз и др.
| Биохимический анализ |
Биологический вид |
IC50 (Ki) (мкМ) MN-001 |
IC50 (Ki) (мкМ) MN-002 |
| LТС4-синтетаза |
Gp |
24,7 |
18,3 |
| 5-LO |
человек |
1,11 |
1,61 |
| PDE1 |
бык |
0,741 |
3,08 |
| PDE2 |
человек |
3,43 |
3,38 |
| PDE3 |
человек |
0,567 |
1,68 |
| PDE4 |
человек |
0,639 |
0,303 |
| PDE5 |
человек |
12,7 |
8,47 |
| PDE6 |
бык |
2,05 |
1,73 |
| PLA2-I |
свинья |
142 |
248 |
| PLC |
Ва |
0,59 |
5,13 |
Адренергический, 2 В |
человек |
2,81 (1,28) |
1,6 (0,732) |
Адренергический, 3 |
человек |
4,63 (3,47) |
1,1 (0,821) |
| Адренергический, переносчик НА |
человек |
3,5 (3,47) |
2,05 (2,03) |
| LTB4 |
человек |
9,02 (2,29) |
– |
| LTD4 |
Gp |
6,36 (3,18) |
5,35 (2,67) |
| Меланокортин МС5 |
человек |
2,58 (2,42) |
1,82 (1,71) |
Опиатный,  |
человек |
1,04 (0,365) |
3,03 (1,07) |
| Тромбоксан А2 |
человек |
3,37 (2,2) |
3,89 (2,54) |
| Ba = Bacillus cereus; – = определение не проводилось |
ПРИМЕРЫ
Следующие примеры раскрывают настоящее изобретение и не должны рассматриваться как ограничивающие его.
Пример 1. Синтез этил-4-[6-ацетил-3-[3-(4-ацетил-3-гидрокси-2-пропилфенилтио)пропокси]-2-пропилфенокси]бутирата
С перемешиванием в смесь из 4-(6-ацетил-3-гидрокси-2-пропилфенокси)бутирата (1,6 г), иодида калия (0,5 г) и карбоната калия (1,45 г) в ацетоне (30 мл) по каплям добавляли раствор 4-(3-бромпропилтио)-2-гидрокси-3-пропилфенилэтанона (1,9 г) в ацетоне (10 мл) с нагреванием до кипения. После кипячения в течение 6 часов смесь охлаждали до комнатной температуры и отделяли неорганические вещества фильтрованием. Фильтрат концентрировали, а осадок отделяли и очищали хроматографией на колонке силикагеля (элюировали смесью бензол:этилацетат = 9:1), получая указанное в заголовке соединение в виде неочищенных кристаллов (2,1 г, 72,4%), которые подвергали перекристаллизации из этанола, получая бесцветные кристаллы, т.пл. 65-66°С.
Пример 2. Синтез 4-[6-ацетил-3-[3-(4-ацетил-3-гидрокси-2-пропилфенилтио)-пропокси]-2-пропилфенокси] масляной кислоты
В смесь из этил-4-[6-ацетил-3-[3-(4-ацетил-3-гидрокси-2-пропилфенилтио)-пропокси]-2-пропилфенокси]бутирата (2,1 г) в этаноле (10 мл) добавляли раствор гидроокиси натрия (0,26 г), растворенной в воде (10 мл). После нагревания на горячей водяной бане в течение 5 мин смесь охлаждали, добавляя ледяную воду, и подкисляли добавлением соляной кислоты, а затем экстрагировали этилацетатом. Органический слой промывали водой, сушили над сульфатом натрия и концентрировали. Полученный остаток отделяли и очищали хроматографией на колонке силикагеля (элюировали смесью этанол:метиленхлорид = 3:100), получая указанное в заголовке соединение (1,3 г, 65,2%) в виде бесцветных кристаллов, т.пл. 79-81°С.
Пример 3. Процедура объемной кристаллизации для получения кристаллов орторомбической полиморфной формы типа V (формы А)
Беловатое твердое соединение 1 (34 г) растворяли в 204 мл (6 частей относительно массы сухого осадка на фильтре) этанола (40°С), получая желто-оранжевый раствор. С умеренным перемешиванием в этанольный раствор вносили 43 мл (1,3 части) воды. Реакционную смесь охлаждали до 20-25°С и перемешивали при 20-25°С в течение 15 мин, а затем при 10-15°С еще в течение 1-2 ч, получая беловатую суспензию.
В полученную суспензию вносили 364 мл (10,7 частей) воды и перемешивали смесь при 5-10°С еще в течение 1-2 ч. Твердый, белый или беловатый продукт выделяли вакуумным фильтрованием. Осадок на фильтре промывали 2×30 мл воды. Беловатое вещество сушили под вакуумом при 35-40°С в течение 24 ч.
Пример 4
В общем, таблетки получали методом сухой грануляции с использованием связующего раствора, состоящего из водного раствора гидроксипропилцеллюлозы. Грануляцию проводили в сильнорежущем грануляторе, полученную сырую массу сушили в псевдоожиженном слое, измельчали, смешивали с внешними наполнителями, способствующими распаду, текучести и сжимаемости, а затем подвергали прессованию на таблетировочном прессе. Эти сердцевины таблеток покрывали оболочкой, чтобы унифицировать внешний вид и улучшить комплектность (т.е. легкость проглатывания). Наполнители включали, не ограничиваясь этим, кроскармеллозу натриевую, стеарат магния, гидроксипропилцеллюлозу, гидроксипропилметилцеллюлозу, лактозу, глицерил-бегенат, поливинилпирролидон, маннитол, двуокись титана и микрокристаллическую целлюлозу.
Пример 5
В общем, композиции методом сухой грануляции получали смешиванием насухо (в барабанном смесителе или с высоким срезывающим усилием) порции из порошков связующего, дезинтегрирующего и смазывающего веществ. Из этой сухой порошковой смеси получали гранулы с применением роликового компактора, снабженного качающимся (режущим) гранулятором. Сито из нержавеющей стали, ширину зазора, усилие, скорость роликов и скорость гранулятора устанавливали таким образом, чтобы оптимизировать физические параметры композиции, как это известно специалистам в области фармацевтической технологии. Наполнители включали, не ограничиваясь этим, кроскармеллозу натриевую, стеарат магния, гидроксипропилцеллюлозу, гидроксипропилметилцеллюлозу, лактозу, глицерилбегенат, поливинилпирролидон, маннитол, двуокись титана и микрокристаллическую целлюлозу.
| Пример 6 |
| Конкретный состав для сухой грануляции |
 |
Ингредиент |
Прототип 1 (мг на 1 таблетку) |
Прототип 2 (мг на 1 таблетку) |
| 1 |
Соединение 1 (форма А) |
250 |
250 |
| 2 |
Лактоза обычная/fast flow |
7,5 |
– |
| 3 |
Целлюлоза микрокристаллическая PH101 |
31 |
31 |
| 4 |
Кроскармеллоза натриевая |
20 |
20 |
| 5 |
Гидроксипропилцеллюлоза |
80 |
– |
| 6 |
Стеарат магния |
2,0 |
– |
| 7 |
Гидроксипропилметилцеллюлоза 2910 |
8,0 |
– |
| 8 |
Двуокись титана |
1,0 |
– |
| 9 |
Карнаубский воск |
0,5 |
0,5 |
| 10 |
Поливинилпирролидон |
– |
85 |
| 11 |
Маннитол |
– |
3,5 |
| 12 |
Глицерилбегенат |
– |
2,0 |
| 13 |
Opadry II (белый) |
– |
8,0 |
 |
Всего: |
400 мг |
400 мг |
| Пример 7 |
| Конкретные составы для влажной грануляции |
 |
Ингредиент |
Прототип 3 (мг на 1 таблетку) |
Прототип 4 (мг на 1 таблетку) |
| 1 |
Соединение 1 (форма А) |
250 |
250 |
| 2 |
Лактоза обычная/fast flow |
7,5 |
– |
| 3 |
Целлюлоза микрокристаллическая PH101 |
32 |
32 |
| 4 |
Кроскармеллоза натриевая |
25 |
25 |
| 5 |
Гидроксипропилцеллюлоза |
25 |
– |
| 6 |
Стеарат магния |
2,0 |
– |
| 7 |
Гидроксипропилметилцеллюлоза 2910 |
7,0 |
– |
| 8 |
Двуокись титана |
1,0 |
– |
| 9 |
Карнаубский воск |
0,5 |
0,5 |
| 10 |
Поливинилпирролидон |
– |
30 |
| 11 |
Маннитол |
– |
3,5 |
| 12 |
Глицерилбегенат |
– |
2,0 |
| 13 |
Opadry II (белый) |
– |
7,0 |
 |
Всего: |
350 мг |
350 мг |
Пример 8
Женщина 35 лет жалуется на симптомы, связанные с интерстициальным циститом (ИЦ), включая желудочно-кишечные симптомы поноса, вздутия живота и боли. Стремясь снять эти симптомы, этой женщине давали перорально принимать таблетки, содержащие 1000 мг соединения 1 (форма А), два раза в день на протяжении по меньшей мере 2 месяцев. По прошествии этого времени эта пациентка сообщает о положительных эффектах, включая уменьшение тех симптомов, на которые она жаловалась. Аналогичные положительные результаты наблюдаются и у других пациентов, жалующихся на те же или близкие симптомы, относящиеся к ИЦ.
Пример 9
Мужчина 35 лет жалуется на симптомы, связанные с IBS/язвенным колитом, включая понос с выделением слизи и крови, схваткообразными болями в животе и воспалением и отеком слизистой оболочки с участками изъязвления. Пациент получает таблетки, содержащие 750 мг соединения 1, три раза в день на протяжении по меньшей мере 2 месяцев. По прошествии этого времени он сообщает о положительных эффектах, включая уменьшение тех симптомов, на которые он жаловался. Аналогичные положительные результаты наблюдаются и у других пациентов, жалующихся на те же или близкие симптомы, относящиеся к IBS или язвенному колиту.
Пример 10
Ранее было показано, что внутрипузырная инсталляция овальбумина у сенсибилизированных морских свинок усиливает сокращения мочевого пузыря, см. Ahluwalia A., Giuliani S., Scotland R. and Maggi C.A.: Ovalbumin-induced neurogenic inflammation in the bladder of sensitized rats. Br.J.Pharmacol. (1998) 124: 190-6. Было показано, что соединение 1 (1), проявляющее противовоспалительную активность с потенциалом стабилизации тучных клеток, оказывает благоприятное действие, подавляя вызванные овальбумином сокращения мочевого пузыря. Защитный потенциал соединения 1 на модели, вызванной воспалением гиперактивности мочевого пузыря у крыс, оценивали как описано ниже. Эта модель на крысах служит животной моделью интерстициального цистита, синдрома повышенной раздражимости толстой кишки (слизистого колита), язвенного колита, а также, возможно, и других воспалительных заболеваний.
Методы
А. Сенсибилизация крыс
Для этого исследования использовали крыс Sprague-Dawley (n=50; 200±250 г). Животных разбивали на 5 групп (n=10). Первая группа служила в качестве контроля, а вторая группа была сенсибилизирована овальбумином (ОА). Третья, четвертая и пятая группы также были сенсибилизированы, как описано, но подвергались скармливанию через рот соединения 1 перед выполнением провоцирующей пробы на ОА.
Сенсибилизацию животных осуществляли внутрибрюшинной инъекцией смеси из 1 мг ОА и 100 мг гидроокиси алюминия, суспендированных в 1 мл физраствора. Через 14 дней этих сенсибилизированных крыс анестезировали подкожной инъекцией уретана (1,2 г/кг) для внутрипузырного введения ОА (10 мг/мл) и оценки гиперактивности мочевого пузыря. Животные в группе 1 получали физраствор (контроль), животные в группе 2 получали около 2 мл ОА (10 мг/мл в стерильном физрастворе), а животные в группах 3-5 получали перорально соединение 1 (10, 30, 50 мг/кг в суспензии гуммиарабика) за 60 мин до выполнения провоцирующей пробы на ОА (2 мл при 10 мг/мл ОА).
В. Оценка гиперактивности мочевого пузыря
Всех животных подвергали оценке гиперактивности мочевого пузыря. Вкратце, делали надрез в 1 см по средней линии нижней вентральной части брюшка. Вскрывали мочевой пузырь и вставляли катетер в виде полиэтиленовой трубочки (РЕ 50, Clay Adams), вставленной в верхушку пузыря, которую фиксировали на месте с помощью нити из плетеного шелка 2-0. Пузырь вправляли в брюшко, при этом отвод катетера выходил через надрез. Затем катетер подсоединяли к датчику давления (UFI, Morro Bay, CA), в свою очередь подсоединенному к инфузионному насосу (Harvard Apparatus, MA). Во время цистометрии с непрерывным заполнением мочевого пузыря давление с датчика регистрировали с помощью программы LabVIEW (National Instruments, TX).
Для цистометрии (см. Chuang YC, Chancellor MB, Seki S, Yoshimura N, Tyagi P, Huang L, Lavelle JP, De Groat WC and Fraser МО: Intravesicular protamine sulfate and potassium chloride as a model for bladder hyperactivity. Urology (2003) 61: 664-70) сначала проводили инфузию в мочевой пузырь теплого 0,9% физраствора (37°С) при 40 мкл/мин (2,4 мл/ч) и во время инфузии регистрировали стабильные циклы мочеиспускания по меньшей мере 20 мин. За этим следовала внутрипузырная инфузия ОА (10 мг/мл) и запись сокращений мочевого пузыря. Из этих записей рассчитывали частоту сокращений (опорожнений), интервал между сокращениями (ICI) и непродуктивные сокращения (без мочеиспускания, NVC).
Результаты
Репрезентативные записи цистометрограмм (CMG) мочевого пузыря в опытных группах представлены на фиг.1А-1Е. Инфузия 0,9% физраствора в мочевой пузырь интактных крыс приводила к нормальному и сравнимому числу опорожнений и NVC (фиг.1; табл.1). У сенсибилизированных к ОА крыс внутрипузырная инфузия ОА (10 мг/мл) приводила к значительному повышению NVC относительно значений при инфузии физраствора несенсибилизированным крысам (фиг.1, 3 и 5; табл.1). Предварительная обработка соединением 1 приводила к дозозависимому ингибированию вызванных ОА изменений NVC и ICI (фиг.3, 4 и 5; табл.1). Не наблюдалось значительных отличий по частоте опорожнения (фиг.2) между контролем (группа 1) и различными опытными группами (2-5).
Выводы
Эти опыты четко указывают на то, что повторное внутрипузырное введение ОА сенсибилизированным к ОА крысам вызывает сокращения гладких мышц мочевого пузыря, что ведет к значительному повышению NVC и снижению ICI. Предварительная обработка соединением 1, предпочтительно в дозах 30 и 50 мг/кг, оказывала существенное защитное действие против этих изменений, вызванных ОА. Аналогичные результаты ожидаются при предварительной обработке соединением 2, метаболитом соединения 1.
| Таблица 1 |
| Влияние внутрипузырного овальбумина на мочевой пузырь крыс до и после применения соединения 1 |
| Вещество, вводимое в мочевой пузырь крыс |
NVC/мин |
Статистическая значимость* |
| Группа 1: NaCl (контроль) (n=10) |
0,2400±0,07483 |
 |
| Группа 2: ОА (10 мг/мл) (n=10) |
0,9400±0,2473 |
p<0,05 по сравн. с группой 1 |
| Группа 3: ОА (10 мг/мл) после соединения 1 (10 мг/кг) (n=10) |
0,4700±0,1221 |
NS по сравн. с группой 2 |
| Группа 4: ОА (10 мг/мл) после соединения 1 (30 мг/кг) (n=9) |
0,3444±0,06894 |
p<0,05 по сравн. с группой 2 |
| Группа 5: ОА (10 мг/мл) после соединения 1 (50 мг/кг) (n=9) |
0,1778±0,08296 |
p<0,05 по сравн. с группой 2 |
| * NS = нет значимых отличий |
Все документы, цитированные в настоящем изобретении, включены в него путем отсылки во всей полноте. Хотя изобретение было описано подробно и с привлечением конкретных воплощений, средние специалисты в этой области должны понимать, что в нем можно производить различные изменения и модификации, не отходящие от духа и не выходящие за рамки изобретения.
Формула изобретения
1. Способ лечения интерстициального цистита, включающий введение пациенту, нуждающемуся в лечении интерстициального цистита, эффективного количества соединения 1
 или его фармацевтически приемлемой соли или пролекарственной формы.
2. Способ по п.1, в котором соединение вводят перорально.
3. Способ по п.2, в котором лекарственная форма представляет собой таблетки или капсулы.
4. Способ по п.1, в котором соединение находится в виде полиморфной формы А и по существу свободно от других полиморфных форм.
5. Способ по п.1, в котором соединение вводят в жидкости.
6. Способ по п.1, в котором доза составляет от 250 до 2500 мг/день, разделенных на одну, две или три порции.
7. Способ по п.1, где соединение формулы 1 находится в виде орторомбических кристаллов.
8. Способ по п.1, дополнительно включающий введение соединения формулы 2

9. Способ лечения интерстициального цистита, включающий введение пациенту, нуждающемуся в лечении интерстициального цистита, эффективного количества соединения 2
 или его фармацевтически приемлемой соли или пролекарственной формы.
10. Способ по п.9, в котором соединение вводят перорально.
11. Способ по п.9, в котором лекарственная форма представляет собой таблетки или капсулы.
12. Способ по п.9, в котором соединение представляет собой очищенный оптический изомер, по существу, свободный от другого оптического изомера.
13. Способ по п.9, в котором соединение вводят в жидкости.
14. Способ по п.9, в котором доза составляет от 250 до 2500 мг/день, разделенных на одну, две или три порции.
15. Способ по п.9, дополнительно включающий введение соединения формулы 1

16. Способ лечения синдрома повышенной раздражимости толстой кишки (слизистого колита) или язвенного колита, включающий введение пациенту, нуждающемуся в лечении слизистого колита или язвенного колита, эффективного количества соединения 1
 или его фармацевтически приемлемой соли или пролекарственной формы.
17. Способ по п.16, в котором соединение вводят перорально.
18. Способ по п.17, в котором лекарственная форма представляет собой таблетки или капсулы.
19. Способ по п.16, в котором соединение находится в виде полиморфной формы А и по существу свободно от других полиморфных форм.
20. Способ по п.16, в котором соединение вводят в жидкости.
21. Способ по п.16, в котором доза составляет от 250 до 2500 мг/день, разделенных на одну, две или три порции.
22. Способ по п.16, где соединение формулы 1 находится в виде орторомбических кристаллов.
23. Способ по п.16, дополнительно включающий введение соединения формулы 2

РИСУНКИ
|
|