|
|
(21), (22) Заявка: 2006127443/15, 31.12.2004
(24) Дата начала отсчета срока действия патента:
31.12.2004
(30) Конвенционный приоритет:
31.12.2003 US 60/533,628
(43) Дата публикации заявки: 10.02.2008
(46) Опубликовано: 10.05.2010
(56) Список документов, цитированных в отчете о поиске:
WO 03/070194 A2, 23.08.2003. WO 98/50077 A1, 12.11.1998. RU 2202340 C2, 20.04.2003. US 5192528 A, 09.03.1993.
(85) Дата перевода заявки PCT на национальную фазу:
31.07.2006
(86) Заявка PCT:
US 2005/000082 20041231
(87) Публикация PCT:
WO 2005/065435 20050721
Адрес для переписки:
129090, Москва, ул. Б.Спасская, 25, стр.3, ООО “Юридическая фирма Городисский и Партнеры”, пат.пов. Е.Е.Назиной, рег. 517
|
(72) Автор(ы):
ПИПКИН Джеймс Д. (US), ЦИММЕРЕР Руперт О. (US), ТОМПСОН Дайан О. (US), МОШЕР Джерольд Л. (US)
(73) Патентообладатель(и):
САЙДЕКС, ИНК. (US)
|
(54) ИНГАЛЯЦИОННАЯ КОМПОЗИЦИЯ, СОДЕРЖАЩАЯ СУЛЬФОАЛКИЛОВЫЙ ЭФИР ЦИКЛОДЕКСТРИНА И КОРТИКОСТЕРОИД
(57) Реферат:
Настоящее изобретение относится к химико-фармацевтической промышленности и касается ингаляционной композиции, содержащей SAE- -CD и кортикостероид. Указанная композиция адаптирована для введения субъекту распылением при помощи распылителя. Данная композиция может быть предоставлена в наборе. Указанную композицию вводят в виде водного раствора, однако ее можно хранить в виде сухого порошка, готового к применению раствора или концентрированной композиции. Указанную композицию используют в усовершенствованной системе распыления для введения кортикостероида ингаляцией. SAE- -CD, присутствующий в композиции, значительно усиливает химическую устойчивость будесонида. Настоящее изобретение относится также к способу введения указанной композиции ингаляцией. Данную композицию можно также вводить при помощи обычного устройства для доставки лекарственного средства через нос. Композиция обладает высокой стабильностью, и биодоступностью. 7 н. и 30 з.п. ф-лы, 16 ил, 17 табл.
Область техники, к которой относится изобретение
Настоящее изобретение относится к ингаляционной композиции, содержащей сульфоалкиловый эфир циклодекстрина и кортикостероид, такой как будесонид, и к способу введения указанной композиции посредством ингаляции. Данное изобретение относится также к способам лечения легочных заболеваний и нарушений.
Уровень техники
Введение лекарственного средства ингаляцией делает возможным осаждение такого лекарственного средства в разных отделах дыхательных путей, таких как горло, трахея, бронхи и альвеолы. Как правило, чем меньше размер частицы, тем дольше частица остается взвешенной в воздухе и тем глубже в дыхательные пути может быть введено лекарственное средство. Кортикостероиды вводят путем ингаляции при помощи распылителей (небулайзеров), дозирующих ингаляторов или ингаляторов сухого порошка. Принципиальным преимуществом распылителей по сравнению с другими методами доставки лекарственного средства в легкие является то, что субъект не прилагает никаких усилий, что позволяет легче ввести более высокие дозы. Основными недостатками распылителей, однако, являются их высокая стоимость, недостаточная портативность, неудобство, связанное с необходимостью предварительного приготовления лекарственного средства, и более продолжительное время введения. Поэтому желателен способ, улучшающий введение распылением таких лекарственных средств как кортикостероиды.
Будесонид ((R,S)-11 ,16 ,17,21-тетрагидроксипрегна-1,4-диен-3,20-дион-цикло-16,17-ацеталь масляного альдегида; С25Н34О6; молекулярная масса 430,5) является хорошо известным лекарственным средством. Указанное лекарственное средство промышленно производится в виде смеси двух изомеров (22R и 22S). Будесонид является противовоспалительным кортикостероидом, обладающим сильной глюкокортикоидной активностью. Введение будесонида назначают при лечении астмы и в качестве профилактической терапии детей.
Коммерческие композиции будесонида компания AstraZeneca LP (Wilmington, DE) продает под товарными знаками ENTOCORT EC, PULMICORT RESPULES®, Rhinocort Aqua®, Rhinocort® Nasal Inhaler и Pulmicort Turbuhaler® и под родовым названием. PULMICORT RESPULES®, который представляет собой стерильную водную суспензию тонкоизмельченного будесонида, вводят ингаляцией при помощи распылителя, в частности при помощи пневматического струйного распылителя, который обеспечивает доставку 2-18% массы лекарственного средства от общего объема. RHINOCORT® NASAL INHALER представляет собой находящийся под давлением дозируемый аэрозоль, содержащий суспензию тонкоизмельченного будесонида в смеси с пропеллентами. RHINOCORT® AQUA представляет собой непахучую дозируемую композицию, распыляемую при помощи ручного насоса, который содержит суспензию тонкоизмельченного будесонида в водной среде. Указанные суспензии нельзя вводить при помощи ультразвукового распылителя.
Жидкость, предназначенная для распыления, желательно должна обладать нижеследующими свойствами: 1) низкая вязкость; 2) стерильная среда; 3) низкое поверхностное натяжение; 4) устойчивость к воздействию механизма распылителя; 5) среднее значение рН около 4-10; 6) способность образовывать капли с MMAD <5 мкм или предпочтительно <3 мкм; 7) отсутствие раздражающих консервантов и стабилизаторов; 8) приемлемый тонус. Причем суспензии обладают одними преимуществами, а растворы обладают другими преимуществами.
Смалдон и др. (Smaldone et al., J. Aerosol Med. (1998), 11, 113-125) представили результаты исследования по определению in vitro ингалируемой массы и распределения частиц в суспензии будесонида. Авторы вышеуказанной статьи пришли к выводу, что при использовании суспензии будесонида происходит доставка 2%-18% содержимого распылителя, из чего следует, что доставка будесонида является неполной, вызывая значительный расход лекарственного средства. В тринадцати наиболее эффективных системах суспензию можно распылять в достаточной степени для доставки в нижние отделы дыхательных путей.
В другом исследовании была продемонстрирована разная эффективность распыления в зависимости от типа распылителя. Барри и др. (Barry et al., J. Allergy Clin. Immunol. (1998), 320-321) отметили, что подобный разброс необходимо принимать во внимание при лечении субъектов распыляемым будесонидом. Берг и др. (Berg et al., J. Aerosol Sci. (1998), 19(7), 1101-1104) также сообщали о весьма различной эффективности распыления суспензии PULMICORT в зависимости от типа распылителя. Кроме того, средний аэродинамический диаметр массы (MMAD) распыляемых капель существенно изменяется в зависимости от типа распылителя. Как правило, суспензии распыляются менее эффективно, чем растворы (см. O’Riordan, Respiratory Care, (2002), 1305-1313). Ингалируемые кортикостероиды используют для лечения астмы, причем указанные лекарственные средства обладают значительным преимуществом благодаря доставке непосредственно к месту действия, то есть в легкие. Целью применения ингалируемого кортикостероида является проведение локальной терапии с достижением немедленной активности лекарственного средства в легких. Ингалируемые кортикостероиды хорошо абсорбируются из легких. Действительно можно предположить, что происходит системная абсорбция всего лекарственного средства, доставляемого к рецепторам в легких. Однако хорошо известно, что при использовании современных методов и композиций большая часть дозы ингалируемого кортикостероида проглатывается и становится доступной для пероральной абсорбции, вызывая нежелательные системные эффекты. Для ингалируемых кортикостероидов высокая легочная доступность имеет более важное значение по сравнению с высокой пероральной биологической доступностью, так как органом-мишенью являются легкие. Продукт с высокой легочной доступностью обладает более сильным действием, оказывающим положительное воздействие на легкие. Идеальная ингалируемая кортикостероидная композиция должна характеризоваться минимальным пероральным введением, уменьшая, таким образом, вероятность вредных системных эффектов.
Большая часть дозы кортикостероида, доставляемого в легкие, абсорбируется и оказывает системное действие. Биологическая доступность части ингалируемой дозы кортикостероида, вводимой перорально, зависит от абсорбции из желудочно-кишечного тракта и степени метаболизации при первом прохождении через печень. Так как пероральный компонент введения кортикостероида не оказывает благоприятного терапевтического действия, но может усилить системные побочные эффекты, желательно, чтобы пероральная биологическая доступность ингалируемого кортикостероида была относительно низкой.
На эффективность ингалируемого кортикостероида влияет как размер частиц, так и состав композиции. Состав лекарственного средства оказывает значительное влияние на доставку указанного лекарственного средства в легкие и, следовательно, на его эффективность. Особенно важное значение в процессе доставки лекарственного средства в легкие имеет аэрозольный носитель и размер доставляемых частиц. Кроме того, меньшая степень осаждения лекарственного средства в легких предполагает большую степень осаждения в ротовой части глотки. Из-за определенного состава некоторые кортикостероиды в большей степени осаждаются во рту и горле и могут вызывать вредные локальные эффекты.
Хотя распределение рецепторов является главной составляющей бронхорасширяющего действия, размер частиц, по-видимому, имеет более важное значение для определения эффективности ингалируемого кортикостероида. Внутренний периметр наиболее узких дыхательных путей равен 2 микрометрам (мкм) или меньше. Таким образом, ингалятор, содержащий частицы со средним аэродинамическим диаметром 1 мкм, характеризуется большей вдыхаемой фракцией, чем ингалятор, содержащий частицы со средним диаметром 3,5-4 мкм. Все частицы, предназначенные для введения субъектам, страдающим обтурирующим заболеванием легких, в идеале должны быть не более 2-3 мкм. Частица меньшего размера (менее 5 мкм) с большей долей вероятности будет ингалирована в более узкие дыхательные пути легких, что должно способствовать повышению эффективности. В отличие от этого частицы размером более 5 мкм могут осаждаться во рту и горле, уменьшая долю частиц, достигающих легких, и потенциально вызывая вредные локальные эффекты, такие как пероральный кандидоз и хрипота (дисфония). Считается, что частицы со средним аэродинамическим диаметром массы (MMAD), близким к 1 мкм, содержат большую вдыхаемую фракцию в одной дозе по сравнению с частицами, имеющими диаметр 3,5 мкм или больше.
Другим недостатком распыления суспензий будесонида является необходимость образования очень мелких капель с MMAD примерно <3 мкм. Так как распыляемые капли являются такими мелкими, частицы тонкоизмельченного будесонида должны быть еще меньше или находиться в диапазоне 0,5-2,0 мкм, при этом частицы должны характеризоваться распределением по размерам в узком диапазоне. Создание таких частиц вызывает большие трудности.
Поэтому были предприняты усилия для улучшения распыления суспензий будесонида при помощи ультразвуковых распылителей с использованием частиц в субмикронном диапазоне (Keller et al., in Respiratory Drug Delivery VIII (2002), 197-206). Суспензию наночастиц (0,1-1,0 мкм) кортикостероида можно использовать для увеличения доли вдыхаемых частиц по сравнению с суспензией более крупных частиц, имеющих место в суспензии PULMICORT . Не было отмечено улучшений по сравнению с суспензией PULMICORT (размер частиц будесонида в суспензии равен примерно 4,4 мкм). Кроме того, суспензии наночастиц вызывают озабоченность, связанную с тем, что мелкие частицы (<0,05 мкм) могут индуцировать аллергическую реакцию у субъекта. Компания Sheffield Pharmaceuticals, Inc. (St. Louis, MO; The Pharmacokinetics of Nebulized Nanocrystal Budesonide Suspension in Healthy Volunteers , Kraft, et al., in J. Clin. Pharmacol., (2004), 44:67-72) представила данные о получении и оценке стандартного дозированного будесонида (UDB), который представляет собой композицию в виде суспензии, содержащей наночастицы будесонида, диспергированные в жидкой среде. Вышеуказанный продукт создан компанией MAP Pharmaceuticals, Inc. (Mountain View, California).
Известно, что ингаляция частиц лекарственного средства в отличие от растворенного лекарственного средства оказывает неблагоприятное действие. Брейн и др. (Bronchial Asthma, 2nd Ed. (Ed. E.B. Weis et al., Little Brown & Co. (1985), pp.594-603) сообщили, что менее растворимые частицы, которые осаждаются на слизистой оболочке дыхательных путей и носового хода, выводятся в глотку ресничками. Такими частицами являются более крупные частицы лекарственного средства, осажденные в верхнем отделе дыхательных путей. Слизь, клетки и инородные вещества, выводимые из полостей носа и легких, соединяются в глотке, смешиваются со слюной и поступают в желудочно-кишечный тракт при проглатывании. С помощью указанного механизма частицы удаляются из легких в течение периодов времени от нескольких минут до часов. Поэтому для растворения медленно растворяющихся лекарственных средств, таких как будесонид, остается мало времени. В отличие от этого частицы, осажденные в отделах, не имеющих ресничек, таких как альвеолы, располагают гораздо большим временем. Поскольку трудно получить очень мелкие частицы будесонида для глубокого осаждения в легких, большая часть ингалируемой суспензии осаждается в верхних и средних отделах дыхательных путей. Однако гораздо легче получить мелкие капли из раствора, чем из суспензии твердых частиц. По этой причине распыление раствора, содержащего будесонид, должно быть более предпочтительным по сравнению с распылением суспензии.
О’Риордан (O’Riordan, Respiratory Care (2002 Nov), 47(11), 1305-1313) заявил, что лекарственные средства могут доставляться распылением растворов или суспензий, но, как правило, распыление раствора предпочтительнее распыления суспензии. Вышеуказанный автор отметил, что ультразвуковые распылители непригодны для распыления суспензий, и их можно использовать только для распыления растворов.
О’Каллаган (O’Callaghan, Thorax, (1990), 45, 109-111), Сторр и др. (Storr et al., Arch. Dis. Child (1986), 61, 270-273) и Вебб и др. (Webb et al., Arch. Dis. Child (1986), 61, 1108-1110) заявили, что распыление растворов кортикостероида (в частности, беклометазона) может быть предпочтительнее распыления суспензий, так как суспензии могут оказаться неэффективными, если распыляемые частицы являются слишком крупными для проникновения в легкие в терапевтически эффективных количествах. Однако данные, представленные О’Каллаганом (O’Callaghan, J. Pharm. Pharmacol. (2002), 54, 565-569) для распыления раствора и суспензии флунизолида, показывают, что эффективность распыления обоих веществ является одинаковой. Поэтому нельзя сделать обобщение, из которого будет следовать, что распыление раствора является более предпочтительным по сравнению с распылением суспензии.
Таким образом, существует общепризнанная потребность в несуспензионных композициях, содержащих кортикостероид, предназначенный для введения распылением. Однако в ингаляционной терапии широкое применение находит стандартная дозированная суспензионная композиция PULMICORT®. Большим достижением в данной области терапии было бы создание способа, улучшающего введение суспензии PULMICORT или в более широком смысле стандартной дозированной суспензионной композиции, содержащей кортикостероид.
Однако в настоящее время основное внимание в распылительной терапии уделяется введению лекарственного средства в более высоких концентрациях, использованию растворов, предпочтительно в основном водных растворов в отличие от неводных, спиртовых или неводных спиртовых растворов или по возможности суспензий, сокращению времени процедуры, синхронизации распыления с ингаляцией и введению более мелких капель для более глубокого осаждения лекарственного средства в легких.
Известны кортикостероид-содержащие распыляемые растворы. Существует ряд способов получения распыляемых растворов. Указанные растворы обычно получают, добавляя сорастворитель, поверхностно-активное вещество или буфер. Однако использование сорастворителей, таких как этанол, полиэтиленгликоль и пропиленгликоль, допустимо лишь в малых количествах при введении ингаляцией из-за раздражения дыхательных путей. Существуют ограничения относительно приемлемых уровней указанных сорастворителей в ингалируемых продуктах. Сорастворители обычно могут составлять менее примерно 35 мас.% распыляемой композиции, хотя указанные пределы определяются общей дозой сорастворителя и его концентрацией. Пределы устанавливаются в зависимости от способности указанных растворителей вызывать местное раздражение тканей легких, образовывать гиперосмотические растворы, направляющие текучую среду в легкие, и/или вызывать интоксикацию субъекта. Кроме того, самые сильнодействующие гидрофобные лечебные средства являются недостаточно растворимыми в смесях указанных сорастворителей.
Саиди и др. (патент США 6241969) описали получение кортикостероид-содержащих растворов для доставки в нос и легкие. Растворенные кортикостероиды находятся в концентрированной, по существу неводной форме, используемой для хранения, или в разведенной водной форме, используемой для введения.
Линц и др. (AAPS Annual Meeting and Exposition, 2004) описали получение жидких композиций, содержащих будесонид, воду, соль лимонной кислоты, хлорид натрия и спирт, пропиленгликоль и/или поверхностно-активное вещество, такое как твин, плюроник, или фосфолипиды со значениями HLB в пределах от 10 до 20.
Альтернативным подходом к введению суспензии PULMICORT является введение липосомной композиции. Волдреп и др. (Waldrep et al., J. Aerosol Med. (1994), 7(2), 135-145) сообщили об успешном получении липосомной композиции будесонида и производных фосфатидилхолина.
Ни одна из вышеуказанных композиций не была предназначена для улучшения введения стандартной дозированной суспензионной композиции, содержащей кортикостероид. Наоборот, общее внимание в данной области было сфокусировано на получении суспензии из предварительно полученной жидкой композиции, которую затем делят на несколько стандартных доз, упаковывают и продают для последующего применения.
Хорошо известно растворение лекарственных средств циклодекстринами и их производными. Циклодекстрины являются циклическими углеводами, получаемыми из крахмала. Немодифицированные циклодекстрины отличаются рядом звеньев глюкопиранозы, соединенных друг с другом с образованием цилиндрической структуры. Исходные циклодекстрины содержат 6, 7 или 8 звеньев глюкопиранозы и определяются соответственно как -, – и -циклодекстрины. Каждое субзвено циклодекстрина содержит вторичные гидроксильные группы в положениях 2 и 3 и первичные гидроксильные группы в положении 6. Циклодекстрины можно изобразить в виде полых усеченных конусов с гидрофильными наружными поверхностями и гидрофобными внутренними полостями. Указанные гидрофобные полости образуют в водных растворах убежище для гидрофобных органических соединений, которое может соответствовать всей или части структуры таких соединений. Данный процесс, известный как образование комплексов включения, может привести к увеличению кажущейся растворимости в воде и устойчивости комплексного лекарственного средства. Указанный комплекс стабилизируется гидрофобными взаимодействиями и не участвует в образовании любых ковалентных связей.
Вышеуказанный динамический и обратимый равновесный процесс может быть описан уравнениями 1 и 2, в которых количество комплекса находится в зависимости от концентраций лекарственного средства и циклодекстрина и константы равновесия или связывания Кb. При введении композиций, содержащих циклодекстрин, путем инъекции в кровоток комплекс быстро распадается вследствие растворения и неспецифического связывания лекарственного средства с компонентами крови и тканей.


Константы связывания циклодекстрина и активного агента можно определить методом равновесной растворимости (T. Higuchi et al., in Advances in Analytical Chemistry and Instrumentation Vol.4 ; C.N. Reilly ed.; John Wiley & Sons, Inc. 1965, pp. 117-212). Как правило, чем выше концентрация циклодекстрина, тем больше равновесный процесс, определяемый уравнениями 1 и 2, смещается к образованию большего количества комплекса, из чего следует, что концентрация свободного лекарственного средства обычно уменьшается при увеличении концентрации циклодекстрина в растворе.
Известно, что непроизводные исходные циклодекстрины взаимодействуют с тканями человека и экстрагируют холестерин и другие компоненты оболочки, в частности, при накоплении в клетках почечных канальцев, оказывая токсическое и иногда смертельное воздействие на почки.
Исходные циклодекстрины часто обладают отличающимся сродством к любому данному субстрату. Например, -циклодекстрин часто образует комплексы с ограниченной растворимостью, которые соответствуют кривым растворимости типа Bs. Такое поведение характерно для большого числа стероидов, что создает серьезные ограничения для использования -CD в жидких препаратах. Однако -CD плохо образует комплексы с соединениями разных классов. Для -CD и -CD установлено, что получение производных соединений, например, путем алкилирования, не только улучшает растворимость в воде производных соединений по сравнению с исходным CD, но и изменяет тип кривых растворимости с ограничивающего Bs-типа на более линейную кривую А-типа (Bernd W. Muller and Ulrich Brauns, Change of Phase-Solubility Behavior by Gamma-Cyclodextrin Derivatization , Pharmaceutical Research (1985), p.309-310).
Химическая модификация исходных циклодекстринов (обычно в положении гидроксильных групп) позволила получить более безопасные производные при сохранении или улучшении комплексообразующей способности. Из многочисленных производных циклодекстринов, полученных до настоящего времени, только два соединения являются, по-видимому, коммерчески приемлемыми: 2-гидроксипропильные производные (НР-CD; нейтральные циклодекстрины, создаваемые на коммерческой основе «Янссен» и другими) и производные, образованные сульфоалкиловым эфиром, таким как сульфобутиловый эфир (SBE-CD; анионные циклодекстрины, создаваемые компанией CyDex, Inc.). Однако НР- -CD по-прежнему является токсичным, в то время как у SBE-CD токсичность отсутствует.

В патентах США  5376645 и 5134127, выданных Стелла и др., в патенте США 3426011, выданном Пармертеру и др., в статьях Lammers et al. (Recl. Trav. Chim. Pays-Bas (1972), 91(6), 733-742); Staerke (1971), 23(5), 167-171) и Qu et al. (J. Inclusion Phenom. Macro. Chem., (2002), 43, 213-221) описаны производные циклодекстрина, образованные сульфоалкиловым эфиром. Вышеуказанные ссылки позволяют предположить, что SAE-CD пригодны для растворения целого ряда разных соединений.
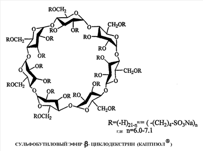
Производное бета-циклодекстрина, образованное сульфобутиловым эфиром (SBE- -CD), в частности, производное, имеющее в среднем примерно 7 заместителей в молекуле циклодекстрина (SBE7- -CD), создано на коммерческой основе компанией CyDex, Inc. под товарным знаком CAPTISOL®. Сульфобутиловый эфир, являющийся анионным заместителем, существенно улучшает растворимость в воде исходного циклодекстрина. Кроме того, присутствие зарядов уменьшает способность молекулы образовывать комплекс с холестерином по сравнению с гидроксипропильным производным. Образование обратимого нековалентного комплекса лекарственных средств с циклодекстрином CAPTISOL® обычно способствует лучшей растворимости и устойчивости лекарственных средств в водных растворах. Хотя CAPTISOL® является относительно новым, но известным циклодекстрином, ранее не было исследована возможность его применения при получении кортикостероид-содержащих распыляемых растворов.
Композиции для парентерального введения обычно исследуют при помощи гемолитических анализов для определения пригодности конкретной композиции для инъекции в кровоток субъекта. Испытуемая композиция, вызывающая значительный гемолиз, обычно считается непригодной для введения субъекту. Обычно предполагается, что более высокая осмотическая концентрация раствора ассоциирована с более высоким гемолитическим потенциалом. Как показано на фиг.1 (Thompson, D.O., Critical Reviews in Therapeutic Drug Carrier Systems, (1997), 14(1), 1-104), гемолитическое поведение циклодекстрина CAPTISOL® сравнимо с аналогичным показателем исходного -циклодекстрина, коммерчески доступных гидроксипропильных производных, циклодекстрина ENCAPSIN (степень замещения ~3-4), циклодекстрина MOLECUSOL® (степень замещения ~7-8) и двух других производных, образованных сульфобутиловым эфиром, SBE1- -CD и SBE4- -CD. В отличие от других производных циклодекстрина производные, образованные сульфоалкиловым эфиром (SAE-CD), в частности, такие как CAPTISOL® (степень замещения ~7) и SBE4- -CD (степень замещения ~4), отличаются отсутствием гемолитического действия и обладают значительно меньшим потенциалом разрушения оболочки по сравнению с коммерчески доступными гидроксипропильными производными в концентрациях, обычно используемых для растворения фармацевтических композиций. Диапазон концентраций, показанных на фигуре, включает концентрации, обычно используемые для растворения фармацевтических композиций после первоначального растворения в кровотоке после инъекции. При пероральном введении SAE-CD не подвергается значительной системной абсорбции.
Осмотическая концентрация композиции обычно ассоциирована с ее гемолитическим потенциалом: чем выше осмотическая концентрация раствора (или в большей степени повышающая осмотическое давление), тем больше гемолитический потенциал. Занноу и др. (Zannou et al., Osmotic properties of sulfobutyl ether and hydroxypropyl cyclodextrins , Pharma. Res. (2001), 18(8), 1226-1231) сравнили осмотическую концентрацию растворов, содержащих SBE-CD и НР-CD. Как показано на фиг.2, растворы, содержащие SBE-CD, характеризуются более высокой осмотической концентрацией, чем растворы, содержащие НР-CD, при аналогичных концентрациях производного циклодекстрина. Таким образом, весьма удивительным является то, что SAE-CD вызывает меньший гемолиз по сравнению с НР-CD при эквивалентных концентрациях несмотря на то, что НР-CD имеет более низкую осмотическую концентрацию.
Были получены метилированные циклодекстрины и исследовано их гемолитическое действие на эритроциты человека. Установлено, что указанные циклодекстрины вызывают гемолиз от умеренного до сильного (Jodal et al., Proc. 4th Int. Symp. Cyclodextrins, (1988), 421-425; Yoshida et al., Int. J. Pharm., (1988), 46(3) 217-222).
Введение циклодекстринов в легкие млекопитающего может быть неприемлемым. Действительно, в научной литературе описана потенциальная или наблюдаемая токсичность природных циклодекстринов и производных циклодекстринов. Данные химического хранилища NTP свидетельствуют о том, что -циклодекстрин может оказывать вредное воздействие при ингаляции. Нимбалкар и др. (Nimbalkar et al., Biotechnol. Appl. Biochem. (2001), 33, 123-125) предупреждают об опасности применения в легких комплекса НР- -CD/диацетилдапсона из-за вызываемого данной композицией замедления роста клеток легкого.
Несмотря на это в научной литературе было сообщено о проведении ряда исследований по использованию циклодекстринов для ингаляции, хотя ни одно из них не стало источником коммерческой выгоды. Результаты вышеуказанных исследований показывают, что необходимы разные комбинации лекарственного средства и циклодекстрина для получения конкретных оптимальных или даже полезных композиций для ингаляции или введения в нос. Были сделаны попытки создать циклодекстрин-содержащие порошки и растворы для трансбуккальной, легочной и/или назальной доставки.
В патенте США 5914122, выданном Оттербеку и др., описано получение устойчивых будесонид-содержащих распыляемых растворов. Авторы изобретения продемонстрировали использование циклодекстрина, такого как -CD, -CD или НР- -CD и/или EDTA, в качестве стабилизатора. Циклодекстрин предложено также использовать в качестве растворителя для увеличения концентрации будесонида в растворе. Наибольший срок хранения для всех композиций с точки зрения приемлемого сохранения активного ингредиента равен только трем-шести месяцам.
В предварительной публикации патента США 20020055496, выданного Маккою и др., описаны по существу неводные композиции для перорального введения, содержащие НР- -CD. Указанные композиции можно вводить с помощью аэрозоля, распыляющего насоса или пропеллента.
В патенте России 2180217, выданном Чучалину, описан устойчивый будесонид-содержащий раствор для ингаляции. Указанный раствор содержит будесонид, пропиленгликоль, полиэтиленоксид, янтарную кислоту, трилон В, нипазол, тиомочевину, воду и необязательно НР- -CD.
Мюллер и др. (Muller et al., Proceed. Int’l. Symp. Control. Rel. Bioact. Mater. (1997), 24, 69-70) представили результаты исследования по получению микрочастиц будесонида, предназначенных для применения в ингаляторе сухого порошка, при помощи сверхкритического процесса на основе диоксида углерода с использованием ASES (аэрозольная система экстракции растворителя). НР- -CD предложено использовать в качестве носителя для порошка.
Мюллер и др. (патент США 6407079) представили фармацевтические композиции, содержащие НР- -CD. Авторы вышеуказанного изобретения отметили возможность введения в нос раствора, содержащего циклодекстрин.
В данной области известно о необходимости выполнения структурной оценки родственных вариантов производного циклодекстрина определенного типа для оптимизации связывания конкретного соединения с производным циклодекстрина данного типа. Однако существенные различия в связывании определенного соединения с первым вариантом производного декстрина по сравнению с его вторым вариантом часто отсутствуют. Например, очень редко встречаются существенные различия в связывании определенного лечебного средства с первым производным циклодекстрина и структурно родственным вторым производным циклодекстрина. Когда такие ситуации возникают, они оказываются неожиданными. Ворт и др. (Worth et al., 24th International Symposium on Controlled Release of Bioactive Materials (1997)) представили результаты исследования по оценке пригодности комплексов стероид/циклодекстрин для доставки лекарственного средства в легкие. Было произведено сравнение -CD, SBE- -CD и НР- -CD в отношении их способности образовывать комплексы включения с дипропионатом беклометазона (BDP) и его активным метаболитом монопропионатом беклометазона (ВМР). ВМР легче растворялся циклодекстрином, при этом был выявлен нижеследующий порядок растворяющей способности: НР- -CD (самая высокая) > -CD > SBE7- -CD. Таким образом, следует ожидать, что производные SAE-CD окажутся непригодными для растворения кортикостероидов, таких как ВМР или BDP. Хотя не были приведены результаты, касающиеся действительной пригодности применения в ингаляционных композициях, авторы статьи предположили, что ВМР будет лучшей альтернативой BDP для создания распыляемого раствора.
Киннаринен и др. (Kinnarinen et al., 11th International Cyclodextrin Symposium CD, (2002)) представили результаты исследования in vitro по введению в легкие комплекса включения будесонида/ -CD путем ингаляции сухого порошка. Не было обнаружено преимуществ при образовании комплекса с -CD. Возон и др. (Vozone et al., 11th International Cyclodextrin Symposium CD, (2002)) представили результаты исследования по образованию комплекса будесонида с -циклодекстрином для ингаляции сухого порошка. Не было обнаружено различий при введении доз комплекса с циклодекстрином или физической смеси будесонида и CD. Но различие между фракциями тонкоизмельченных частиц в обоих композициях позволило предположить, что использование комплекса с циклодекстрином для доставки лекарственного средства в легкие может увеличить вдыхаемую фракцию сухого порошка.
Пинто и др. (Pinto et al., S.T.P. Pharma. Sciences (1999), 9(3), 253-256) представили результаты исследования по использованию НР- -CD в ингалируемой композиции в виде сухого порошка для беклометазона. НР- -CD оценивали в виде комплекса или физической смеси с лекарственным средством при исследовании осаждения in vitro дозы, доставляемой из устройства для ингаляции MICRO-HALER . Количество вдыхаемой фракции лекарственного средства было наибольшим при использовании комплекса и самым низким при отдельном использовании тонкоизмельченного лекарственного средства.
Раджевски и др. (Rajewski et al., J. Pharm. Sci. (1996), 85(11), 1142-1169) сделали обзор фармацевтических применений циклодекстринов. В своем обзоре авторы привели исследования, в которых была произведена оценка использования комплексов с циклодекстрином в системах для ингаляции сухого порошка.
Шао и др. (Shao et al., Eur. J. Pharm. Biopharm. (1994), 40, 283-288) сообщили об эффективности циклодекстринов в качестве стимуляторов абсорбции лекарственного средства в легких. Показатели относительной эффективности циклодекстринов в усилении абсорбции инсулина в легких, измеренной путем определения фармакодинамики, и относительной действенности расположились в следующем порядке: диметил- -циклодекстрин > -циклодекстрин > -циклодекстрин > -циклодекстрин > гидроксипропил- -циклодекстрин. С учетом результатов данного отчета следует ожидать, что водорастворимое производное -CD будет менее пригодно для доставки соединений путем ингаляции, чем соответствующее производное -CD, так как непроизводный -CD является более пригодным, чем непроизводный -CD.
Вильямс и др. (Williams et al., Eur. J. Pharm. Biopharm. (1999 Mar), 47(2), 145-52) сообщили о результатах исследования по определению влияния метода получения 2-гидроксипропил-бета-циклодекстрина (НР- -CD) на устойчивость аспирина в суспензионной композиции для использования в пневматическом дозирующем ингаляторе (pMDI), содержащем гидрофторалкановый (HFA) пропеллент. НР- -CD был использован в pMDI в виде лиофилизованного комплекса включения или физической смеси с аспирином. Аспирин в лиофилизованном комплексе включения характеризовался наибольшей степенью разложения в течение 6 месяцев хранения, в то время как отдельно использованный аспирин в pMDI разлагался в умеренной степени. Аспирин в составе физической смеси отличался наименьшей степенью разложения. Таким образом, НР- -CD может быть использован для повышения устойчивости химически неустойчивого лекарственного средства, но на устойчивость лекарственного средства может влиять метод получения композиции.
Гудмундсдоттир и др. (Gudmundsdottir et al., Pharmazie (2001 Dec), 56(12), 963-6) представили результаты исследования, в котором мидазолам получали в водном растворе буфера, содержащего (сульфобутиловый эфир)-бета-циклодекстрин. Раствор, распыляемый в нос, испытывали с участием здоровых добровольцев и сравнивали с мидазоламом для внутривенного введения при выполнении открытого перекрестного исследования. Композиция для введения в нос приближалась к внутривенной форме по скорости абсорбции, концентрации в сыворотке и клиническому седативному эффекту. Не было обнаружено серьезных побочных эффектов.
Сричана и др. (Srichana et al., Respir. Med. (2001 Jun), 95(6), 513-9) представили результаты исследования по созданию нового носителя в аэрозолях сухих порошков. Для исследования в качестве носителей в композициях в виде сухих порошков были выбраны циклодекстрины двух типов: гамма-циклодекстрин ( -CD) и диметил-бета-циклодекстрин (DMCD). В исследовании был использован салбутамол в качестве модели лекарственного средства и контрольная композиция, содержащая лактозу и лекарственное средство. Для оценки эффективности доставки композиций в виде сухих порошков использовали двойной импинджер (TSI). С учетом полученных результатов было установлено, что доставка композиции, содержащей лекарственное средство, усиленное -CD, в нижний отдел TSI (осаждение = 65%) превышала доставку обеих композиций, содержащих DMCD (50%), и контрольной композиции (40%) (Р<0,05). Гемолиз эритроцитов, инкубированных с комплексом DMCD, был выше показателей, полученных для комплекса с -CD. Высвобождение лекарственного средства в обеих композициях, содержащих -CD и DMCD, происходило быстро (более 70% в течение 5 минут), и почти все лекарственное средство выделилось в течение 30 минут.
Ван дер Куй и др. (Van der Kuy et al., Eur. J. Clin. Pharmacol. (1999 Nov), 55(9), 677-80) представили результаты исследования фармакокинетических свойств двух композиций для введения в нос, содержащих мезилат дигидроэрготамина (DHEM), с использованием коммерчески доступной композиции для введения в нос. Указанные композиции содержали также произвольно метилированный -циклодекстрин (RAMEB). Не было обнаружено статистически значимых различий в максимальной концентрации в плазме (Cmax), времени достижения Cmax (tmax), площади под кривой зависимости концентрации в плазме от времени (AUC 0-8 часов), Frel (t = 8 часов) и Cmax/AUC (t = 8 часов) для трех композиций для введения в нос. Полученные результаты показывают, что фармакокинетические свойства препаратов для введения в нос не имеют существенных отличий от коммерчески доступного раствора для распыления в нос.
В патентах США  5942251 и 5756483, выданных Меркусу, рассмотрены фармацевтические композиции для введения в нос дигидроэрготамина, апоморфина и морфина, содержащие один из вышеуказанных фармкологически активных ингредиентов в комбинации с циклодекстрином, дисахаридом, полисахаридом и/или спиртом, полученным из сахара.
В патенте США 5955454 описан фармацевтический препарат для введения в нос, содержащий прогестаген и метилированный -циклодекстрин со степенью замещения 0,5-3,0.
В патенте США 5977070, выданном Пьяцца и др., описана фармацевтическая композиция для введения в нос соединений, пригодных для лечения остеопороза, которая содержит эффективное количество физиологически активного аналога РТН или PTHrp с усеченной цепью или его соли и усилитель абсорбции, выбираемый из группы, включающей диметил- -циклодекстрин.
В патенте США 6436902, выданном Бекстрому и др., описаны композиции и способы введения в легкие паратиреоидного гормона в виде сухого порошка, пригодного для ингаляции, причем по крайней мере 50% сухого порошка состоит из (а) частиц с диаметром до 10 микрон или (b) агломератов таких частиц. Ингалятор сухого порошка содержит препарат, состоящий из сухого порошка, включающего (i) паратиреоидный гормон (PTH) и (ii) вещество, усиливающее абсорбцию РТН в нижних отделах дыхательных путей, в котором по крайней мере 50% компонентов (i) и (ii) представляют собой частицы диаметром до 10 микрон и которое выбирают из группы, включающей соль жирной кислоты, соль желчной кислоты или ее производное, фосфолипид, циклодекстрин или его производное.
В патенте США 6518239, выданном Куо и др., описана диспергируемая аэрозольная композиция, содержащая активный агент и дипептид или трипептид, для аэрозольного введения в легкие. Указанные композиции могут также включать полимерные наполнители/добавки, например поливинилпирролидоны, производные целлюлозы, такие как гидроксиметилцеллюлоза, гидроксиэтилцеллюлоза и гидроксипропилметилцеллюлоза, фиколл (полимерный сахар), гидроксиэтиловый крахмал, декстраты (например, циклодекстрины, такие как 2-гидроксипропил- -циклодекстрин и (сульфобутиловый эфир)- -циклодекстрин), полиэтиленгликоли и пектин.
Накате и др. (Nakate et al., Eur. J. Pharm. Biopharm. (2003 Mar), 55(2), 147-54) представили результаты исследования по улучшению абсорбции циклопептида FK224 (плохая растворимость в воде) в легких крыс благодаря объединению с бета-циклодекстрином. Целью данного исследования было изучение влияния доставки в легкие на системную абсорбцию FK224 по сравнению с другими способами введения и определение биологической доступности (ВА) FK224 после введения в легкие крыс с использованием разных лекарственных форм. При введении водной суспензии биологическая доступность уменьшалась до 2,7% по сравнению с 16,8% для раствора. Однако было установлено, что -циклодекстрин ( -CD) является эффективной добавкой с точки зрения улучшения растворимости FK224. Биологическая доступность водной суспензии, содержащей -CD, увеличивалась до 19,2%. Было обнаружено, что С(max) и площадь под кривой (AUC) FK224 увеличивались с увеличением количества -CD. Профили распределения в плазме свидетельствовали о пролонгированной абсорбции. Авторы статьи предположили, что -CD является исключительно эффективной добавкой с точки зрения улучшения абсорбции FK224 в легких. Авторы статьи также отметили, что -CD и производные с разными степенями растворимости в воде являются потенциальными носителями лекарственного средства, позволяющими контролировать абсорбцию в легких.
Кобаяши и др. (Kobayashi et al., Pharm. Res. (1996 Jan), 13(1), 80-3) представили результаты исследования по доставке в легкие крыс сухих порошков кальцитонина лосося (sCT), содержащих усилители абсорбции. После внутритрахеального введения крысам сухого порошка и жидких препаратов (раствора) sCT измеряли уровни sCT и кальция в плазме. Было установлено, что sCT в сухом порошке и в жидкости абсорбировался почти одинаково. Усилители абсорбции (олеиновая кислота, лецитин, лимонная кислота, таурохолевая кислота, диметил- -циклодекстрин, октил- -D-глюкозид) были гораздо более эффективными в сухом порошке, чем в растворе.
Аджей и др. (Adjei et al., Pharm. Res. (1992 Feb), 9(2), 244-9) представили результаты исследования биологической доступности ацетата лейпролида при введении в нос и ингаляции крысам и здоровым людям. Системную доставку ацетата лейпролида, агониста рилизинг-фактора лютеинизирующего гормона (LHRH), сравнивали после ингаляции (i.h.) и введения в нос (i.n.). Биологическая доступность при введении в нос крысам значительно повышалась при использовании -циклодекстрина (CD), EDTA и увеличении объема раствора. Абсорбция составляла 8-46% по сравнению с внутривенным введением контрольных препаратов. Исследования с участием здоровых мужчин выполняли при введении ацетата лейпролида в нос в виде распыляемого раствора, аэрозоля для ингаляции (i.h.), подкожной (s.c.) и внутривенной (i.v.) инъекции. Биологическая доступность подкожной инъекции составляла 94% по сравнению с внутривенной инъекцией. Биологическая доступность при введении в нос составляла в среднем 2,4% при значительном расхождении у разных субъектов. При ингаляции расхождения у субъектов были несколько ниже. Среднее значение Cmax при введении 1 мг дозы аэрозоля в виде раствора было равно 0,97 нг/мл по сравнению с 4,4 и 11,4 нг/мл для аэрозолей в виде суспензий, которые вводили ударными дозами, равными 1 и 2 мг. Средняя биологическая доступность аэрозолей в виде суспензий (28% по сравнению с подкожным введением) была в четыре раза выше аналогичного показателя для аэрозоля в виде раствора (6,6%).
Компания CyDex (Cyclopedia (2002), 5(1), 3) установила, что SBE-CD не токсичен для крыс при отдельном использовании в аэрозольной композиии для ингаляции без каких-либо других веществ. В вышеуказанной статье не была рассмотрена распыляемая композиция, содержащая лекарственное средство, в частности, кортикостероид, и SBE-CD.
Решая вопрос о введении суспензии или раствора, необходимо также учитывать тип применяемого распылителя. Двумя наиболее распространенными типами распылителей являются ультразвуковой распылитель и пневматический струйный распылитель. Существуют значительные различия между распылителями двух вышеуказанных типов. Например, струйные распылители охлаждают, а не нагревают жидкость в баллоне, в то время как ультразвуковые распылители нагревают жидкость. При нагревании раствора в баллоне уменьшается вязкость раствора и усиливается образование капель, при этом чрезмерный нагрев может привести к разложению лекарственного средства. Ультразвуковой распылитель является менее шумным и осуществляет более быструю доставку лекарственного средства по сравнению со струйным распылителем, но ультразвуковые распылители являются более дорогими, и их не рекомендуется применять для введения распылением известных в настоящее время стероидов. Однако наиболее важным фактором является то, что ультразвуковые распылители характеризуются более высокой скоростью введения, чем струйные распылители.
Пациентам, страдающим астмой, часто назначают ингалируемые 2-агонисты кратковременного или длительного действия, ингалируемые антихолинергические средства и ингалируемые кортикостероиды, которые вводят отдельно, последовательно или в комбинации. Известны комбинации ингалируемых кортикостероидов и 2-агонистов длительного действия, например в ингаляторе сухого порошка могут вместе находиться будесонид и формотерол или флутиказон и салметерол. Однако нельзя найти примера таких комбинаций, используемых в виде распыляемого раствора. Объединение лекарственных средств в одном растворе должно сократить время, необходимое для раздельного введения таких лекарственных средств.
Таким образом, в данной области существует мнение, что в некоторых случаях распыление растворов может быть более предпочтительным по сравнению с распылением суспензий и что в некоторых случаях применение ультразвукового распылителя, вибрирующего сита, электронного или другого механизма аэрозолизации может быть более предпочтительным по сравнению с пневматическим струйным распылителем в зависимости от сравниваемых жидких распыляемых композиций. Несмотря на то что в данной области описаны лекарственные ингаляционные композиции в виде растворов, содержащих кортикостероид и циклодекстрин, результаты их применения являются непредсказуемыми. Другими словами, комбинация одного циклодекстрина с одним лекарственным средством не позволяет предположить, что другой циклодекстрин также окажется приемлемым. Кроме того, нельзя быть уверенным в том, что одна ингаляционная композиция, содержащая циклодекстрин и кортикостероид, будет обладать преимуществом по сравнению с другой ингаляционной композицией, содержащей циклодекстрин и кортикостероид.
В данной области существует потребность в будесонид-содержащей ингаляционной композиции в виде устойчивого водного раствора, который не требует добавления консервантов и обладает значительными преимуществами по сравнению с другими будесонид-содержащими ингаляционными композициями в виде устойчивого водного раствора. Существует также потребность в способе, улучшающем введение распылением будесонид-содержащих суспензионных композиций путем превращения суспензии в раствор.
Кроме того, существует потребность в создании усовершенствованных систем, способных растворять не растворимые в воде лекарственные средства, предназначенные для распыления, и минимизировать количество необходимого для этого сорастворителя. Идеальная система должна включать нетоксичные ингредиенты и быть устойчивой в течение длительного хранения при комнатной температуре. При распылении такая система должна образовывать вдыхаемые капли размером менее 10 микрон, менее 5 микрон или менее 3 микрон, при этом значительная часть сверхмелкого аэрозоля должна находиться в диапазоне менее примерно 1 микрона.
Сохраняется потребность в способе, улучшающем введение распылением стандартной дозированной композиции на основе суспензии. Такой способ должен сократить общее время введения, увеличить общее количество вводимого лекарственного средства, уменьшить количество лекарственного средства, остающееся в баллоне распылителя, увеличить осаждение лекарственного средства в легких по сравнению с осаждением кортикостероида в ротовой части глотки и/или усилить глубокое проникновение кортикостероида в легкие по сравнению с обычным способом введения стандартной дозированной композиции на основе суспензии.
Сущность изобретения
Задачей настоящего изобретения является устранение недостатков, присущих известным композициям. Для решения указанной задачи создана ингаляционная композиция на основе производного циклодекстрина, например на основе циклодекстрина, замещенного сульфоалкиловым эфиром (SAE-CD). Композиция по настоящему изобретению содержит кортикостероид в качестве основного активного агента. Композиция по настоящему изобретению характеризуется лучшей растворимостью и/или повышенной химической, термохимической, гидролитической и/или фотохимической устойчивостью активного агента или других ингредиентов, входящих в состав данной композиции. Кроме того, композиция по настоящему изобретению может обладать другими преимуществами, например более эффективной доставкой лекарственного средства, более высокой скоростью введения лекарственного средства, меньшим временем процедуры, более низкой токсичностью, простотой приготовления, гарантией стерильности, лучшей устойчивостью, повышенной биоабсорбцией, не требующим контроля размером частиц, более высокой скоростью подачи, большим общим количеством подаваемой композиции, отсутствием роста твердых частиц и/или необязательностью подтверждения образования суспензии по сравнению с другими композициями для ингаляции в виде раствора или суспензии, содержащими кортикостероид, такой как будесонид.
Авторы настоящего изобретения весьма неожиданно обнаружили, что происходит системная абсорбция SAE-CD после введения данного вещества ингаляцией. Кроме того, указанное вещество выводится из легких. SAE-CD образует также комплексы с кортикостероидами в водных жидких композициях для ингаляции. Совместное введение кортикостероида с SAE-CD может обеспечить более высокую скорость подачи и доставки лекарственного средства по сравнению с контрольной композицией, не содержащей SAE-CD.
Композиция, содержащая SAE-CD, может характеризоваться достаточной растворимостью активного агента и устойчивостью коммерческого продукта. При необходимости композицию, содержащую SAE-CD, можно получить в виде прозрачного водного раствора, который может быть стерильно отфильтрован через фильтр с размером пор 0,45 мкм или меньше, при этом данная композиция остается устойчивой в разных условиях хранения.
Одним объектом настоящего изобретения является жидкая композиция, содержащая эффективное количество кортикостероида, такого как будесонид, и SAE-CD, в которой SAE-CD присутствует в количестве, достаточном для растворения и стабилизации кортикостероида во время хранения.
Другим объектом настоящего изобретения является способ, улучшающий введение кортикостероида субъекту путем распыления, который включает нижеследующие стадии:
получение стандартной дозы водной суспензионной композиции, содержащей суспендированный в воде кортикостероид;
объединение указанной суспензии с достаточным количеством SAE-CD в течение периода времени, достаточного для растворения кортикостероида и образования раствора; и
введение полученного раствора субъекту, при этом время, необходимое для введения терапевтической дозы кортикостероида в растворе, меньше времени, необходимого для введения такой же терапевтической дозы кортикостероида в суспензии при одинаковых или сравнимых условиях распыления.
При введении суспензии с помощью распылителя скорость подачи кортикостероида определяется совокупностью условий распыления суспензии. Однако при добавлении SAE-CD и смешивании его с суспензией значительное количество кортикостероида растворяется с образованием жидкой распыляемой композиции, что позволяет увеличить скорость подачи кортикостероида по сравнению с композицией, не содержащей SAE-CD, при введении по существу в одинаковых условиях. В одном варианте осуществления изобретения скорость подачи лекарственного средства увеличивается по сравнению с введением суспензии, несмотря на то что общий объем распыляемой композиции, то есть общий объем раствора, распыляемого распылителем, не увеличивается. В другом варианте осуществления изобретения SAE-CD присутствует в количестве, достаточном для растворения по меньшей мере 50%, по меньшей мере 75%, по меньшей мере 90%, по меньшей мере 95% или по существу всего кортикостероида. В другом варианте осуществления изобретения SAE-CD присутствует в количестве, достаточном для уменьшения количества нерастворенного кортикостероида в суспензионной композиции и для улучшения введения суспензионной композиции распылением. В другом варианте осуществления изобретения SAE-CD присутствует в количестве, достаточном для растворения такого количества кортикостероида, при котором суспензионная композиция, в которую был добавлен SAE-CD, превращается в раствор, по существу в прозрачный раствор (содержащий менее 5% осажденных твердых веществ) или в прозрачный раствор. Другие компоненты суспензионной композиции могут не полностью раствориться или могут выделиться из раствора, содержащего SAE-CD.
В соответствии с другим вариантом осуществления изобретения распылитель, который заполнен раствором, содержащим кортикостероид/SAE-CD, образует более мелкие капли по сравнению с таким же распылителем, который заполнен раствором, содержащим кортикостероид/HP- -CD, при прочих одинаковых условиях. В результате образования более мелких капель система, содержащая SAE-CD, является более совершенной по сравнению с аналогичной системой, содержащей НР- -CD, так как система на основе SAE-CD образует большую часть вдыхаемых капель и обеспечивает более глубокое проникновение в легкие.
Одним объектом настоящего изобретения является использование SAE-CD в стандартной дозе жидкой распыляемой композиции. Один вариант осуществления изобретения относится к использованию SAE-CD для превращения стандартной дозы распыляемой суспензионной композиции, содержащей кортикостероид, в стандартную дозу распыляемой жидкой композиции, содержащей кортикостероид.
Конкретные варианты осуществления настоящего изобретения включают варианты, в которых: 1) молярное отношение будесонида к SAE-CD равно 0,5:0,0001 (от 1:2 до 1:10000), от 1:1 до 1:100, от 1:1 до 1:10000 или 0,1:0,03; 2) SAE-CD представляет собой (сульфобутиловый эфир)-4- -CD, (сульфобутиловый эфир)-7- -CD, (сульфобутиловый эфир)-6- -CD, (сульфобутиловый эфир)-4- -CD, (сульфобутиловый эфир)-3-8- -CD или (сульфобутиловый эфир)-5- -CD; 3) SAE-CD является соединением формулы 1 или смесью указанных соединений; 4) распыляемая композиция дополнительно содержит обычный консервант, антиоксидант, буфер, подкислитель, растворитель, усилитель комплексообразования, электролит, другое лечебное средство, подщелачиватель, модификатор тонуса, модификатор поверхностного натяжения, модификатор вязкости, модификатор плотности, модификатор летучести или их комбинацию; 5) SAE-CD присутствует в количестве, достаточном для образования прозрачного раствора; 6) распыляемая композиция содержит по меньшей мере 4,8±0,5% мас./об. SAE-CD для получения самоконсервируемой композиции в течение заранее определенного периода времени; 7) распыляемую композицию продувают инертным газом до хранения для удаления по существу всего кислорода, содержащегося в данной композиции; 8) кортикостероид, такой как будесонид, характеризуется большим связыванием с SAE-CD по сравнению с обычным консервантом, присутствующим в композиции; 9) срок хранения композиции равен по меньшей мере 6 месяцам; 10) распыляемая композиция дополнительно содержит жидкий носитель, не являющийся водой; 11) композицию получают при температуре, равной 5°С или выше, 25°С или выше, 35°С или выше, 45°С или выше или 50°С или выше; 12) распыляемая композиция содержит менее или около 21,5±2% мас./мас. SAE-CD; и/или 13) распыляемая композиция кажется прозрачной при рассмотрении невооруженным глазом.
Конкретные варианты способов получения жидкой композиции включают нижеследующие варианты: 1) указанный способ далее включает стадию стерилизации фильтрованием композиции через фильтрующую среду с размером пор 0,1 микрона или больше; 2) жидкую композицию стерилизуют облучением или автоклавированием; 3) распыляемый раствор продувают азотом, аргоном или другим инертным фармацевтически приемлемым газом до хранения, благодаря чему удаляется значительная часть кислорода, растворенного в композиции и/или контактирующего с поверхностью раствора.
Настоящее изобретение относится к способу стабилизации кортикостероида в водной кортикостероид-содержащей композиции, который включает стадию добавления SAE-CD к водной кортикостероид-содержащей композиции в виде суспензии или раствора в количестве, достаточном для уменьшения скорости разложения кортикостероида по сравнению с контрольным образцом без SAE-CD.
Настоящее изобретение относится также к способу, улучшающему введение ингаляцией водной кортикостероид-содержащей суспензионной дозированной композиции в виде стандартной дозы, который включает стадию добавления SAE-CD к водной кортикостероид-содержащей суспензионной композиции в виде стандартной дозы, в количестве, достаточном для растворения кортикостероида с образованием водной кортикостероид-содержащей композиции в виде стандартной дозы для ингаляции в виде раствора, причем указанное улучшение означает увеличение скорости подачи и/или количества распыляемого кортикостероида.
Настоящее изобретение относится к способу сокращения времени, необходимого для доставки терапевтически эффективного количества кортикостероида субъекту ингаляцией кортикостероид-содержащей композиции при помощи распылителя, который включает стадии добавления SAE-CD в композицию в количестве, достаточном для растворения кортикостероида с образованием водного кортикостероид-содержащего раствора для ингаляции, и введения полученного раствора субъекту ингаляцией при помощи распылителя, при этом время, необходимое для доставки субъекту терапевтически эффективного количества кортикостероида в виде раствора, сокращается по сравнению со временем, необходимым для доставки субъекту терапевтически эффективного количества кортикостероида в виде суспензии, содержащей кортикостероид в таком же количестве или концентрации, при прочих одинаковых условиях распыления суспензии и раствора.
Настоящее изобретение относится также к композиции для ингаляции, содержащей водорастворимое производное -CD, кортикостероид (этерифицированный или неэтерифицированный) и водную жидкую среду. Другой вариант осуществления изобретения относится также к композиции для ингаляции, содержащей водорастворимое производное -CD, кортикостероид (неэтерифицированный) и водную жидкую среду.
Кроме того, настоящее изобретение относится к усовершенствованной системе введения ингаляционной кортикостероид-содержащей композиции посредством ингаляции, причем вышеуказанное усовершенствование заключается в том, что SAE-CD вводят в ингаляционную композицию в количестве, достаточном для увеличения скорости подачи ингалируемого кортикостероида по сравнению с введением контрольной ингаляционной композиции без SAE-CD при прочих по существу одинаковых условиях введения.
Настоящее изобретение может быть использовано для создания системы введения кортикостероида ингаляцией, которая включает устройство для ингаляции, такое как распылитель, и лекарственную композицию, содержащую терапевтически эффективное количество кортикостероида, жидкий носитель и SAE-CD в количестве, достаточном для растворения кортикостероида, присутствующего в водной среде, при этом молярное отношение кортикостероида к SAE-CD находится в диапазоне около 0,072:0,0001 или 0,063:0,003. В действующем состоянии указанная система образует капли с MMAD в пределах около 1-8 мк или 3-8 мк. Кортикостероид доставляется со скоростью, равной по крайней мере 20-50 мкг/мин, причем указанный диапазон может увеличиваться или уменьшаться в зависимости от концентрации кортикостероида в распыляемом растворе, находящемся в баллоне распылителя.
Возможные преимущества применения кортикостероидной терапии с SAE-CD при использовании распыляемого раствора для ингаляции включают более эффективную доставку лекарственного средства, большую доставку в периферические или узкие отделы дыхательных путей, облегчаемую образованием более мелких капель аэрозоля, потенциально лучшее лечение бессимптомной астмы, возникающей при засыпании, и восстановление после острых приступов астмы, более высокую скорость введения лекарственного средства, меньшее время процедуры, лучшую устойчивость композиции и/или лучшее соблюдение больным режима и схемы лечения по сравнению с кортикостероидной терапией с использованием распыляемой суспензии для ингаляции или дозирующего ингалятора (pMDI) для распыления суспензии под давлением хлорфторуглерода (CFC) или гидрофторалканов (HFA).
Настоящее изобретение может быть использовано в наборе, включающем SAE-CD, водный носитель и кортикостероид, который адаптирован для получения распыляемого раствора. Варианты получения такого набора подробно описаны ниже. Настоящее изобретение позволяет использовать комбинированные продукты, устраняя проблемы, связанные с несовместимостью с суспензией других дозированных лекарственных форм в виде раствора.
Вышеуказанные и другие объекты настоящего изобретения будут очевидны при обращении к нижеследующему подробному описанию изобретения, примерам, формуле изобретения и прилагаемым чертежам.
Краткое описание чертежей
Нижеследующие чертежи приведены только для иллюстрации и не ограничивают объем настоящего изобретения.
На фигуре 1 изображен график гемолитического поведения циклодекстрина CAPTISOL® по сравнению с аналогичным показателем исходного -циклодекстрина, коммерчески доступных гидроксипропильных производных, ENCAPSIN (степень замещения ~3-4) и MOLECUSOL® (степень замещения ~7-8) и двух других производных, образованных сульфобутиловым эфиром, SBE1- -CD и SBE4- -CD.
На фигуре 2 изображен график осмотической концентрации растворов, содержащих SBE-CD с разными степенями замещения, и растворов, содержащих НР- -CD и характеризующихся аналогичными концентрациями производного циклодекстрина.
На фигуре 3 изображен график фазовой растворимости для концентрации (молярной) циклодекстрина в зависимости от концентрации (молярной) будесонида для -CD, НР- -CD и SBE7- -CD.
На фигуре 4 изображена диаграмма процентного значения распыляемой композиции, подаваемой из трех разных распылителей (PARI LC PLUS, HUDSON UPDRAFT II NEB-U-MIST и MYSTIQUE), для каждой из четырех разных распыляемых композиций (суспензия PULMICORT RESPULES, 5% мас./об. раствора SBE7- -CD, 10% мас./об. раствора SBE7- -CD и 20% мас./об. раствора SBE7- -CD).
На фигурах 5а-5b приведены данные о размере капель при распылении растворов распылителем PARI LC PLUS.
На фигуре 6 приведены данные о размере капель при распылении растворов распылителем HUDSON UPDRAFT II NEBUMIST.
На фигуре 7 приведены данные о размере капель при распылении растворов ультразвуковым распылителем MYSTIQUE.
На фигуре 8 приведены сравнительные данные о размере капель Dv50 при распылении композиции тремя распылителями: PARI LC PLUS, HUDSON UPDRAFT II NEBUMIST и MYSTIQUE.
На фигуре 9 изображен график, показывающий взаимосвязь между концентрацией SAE-CD и скоростью подачи SAE-CD в разных распылителях.
На фигурах 10а-10b приведены сравнительные данные о размере капель при распылении растворов распылителями PARI LC PLUS и MYSTIQUE, предназначенными для распыления суспензии PULMICORT RESPULES, и модифицированного раствора SAE-CD на основе PULMICORT RESPULES.
На фигуре 11 изображен полулогарифмический график % исходной концентрации R- и S-изомеров будесонида в растворах с циклодекстрином CAPTISOL и без него в зависимости от времени при 60°С в растворе.
На фигуре 12 изображен полулогарифмический график % исходной концентрации будесонида в зависимости от облучения образцов флуоресцентными лампами в люкс/час.
На фигуре 13 изображен график фазовой растворимости для пропионата флутиказона в присутствии нескольких разных циклодекстринов.
На фигуре 14 изображен график фазовой растворимости для фуроата мометазона в присутствии нескольких разных циклодекстринов.
На фигуре 15 изображен график фазовой растворимости для этерифицированного и неэтерифицированного флутиказона в присутствии SAE(5-6)- -CD.
На фигуре 16 изображена столбчатая диаграмма, суммирующая растворимость в воде дипропионата беклометазона в присутствии разных производных SAE-CD.
Подробное описание изобретения
Композиция по настоящему изобретению позволяет устранить многие нежелательные свойства других известных водных кортикостероид-содержащих композиций для ингаляции в виде растворов или суспензий. Благодаря введению SAE-CD в ингаляционную жидкую композицию, содержащую кортикостероид, происходит растворение кортикостероида. При этом распыление кортикостероида улучшается как в пневматическом струйном распылителе, так и в ультразвуковом распылителе. Кроме того, кортикостероид характеризуется большей устойчивостью в присутствии SAE-CD по сравнению с его отсутствием.
Кортикостероид должен присутствовать в количестве, достаточном для введения однократной дозы или нескольких доз. SAE-CD должен присутствовать в количестве, достаточном для растворения кортикостероида при введении обоих веществ в водный носитель. Водный носитель должен присутствовать в количестве, достаточном для растворения кортикостероида и образования распыляемого раствора необходимого объема и с достаточной низкой вязкостью для введения однократной дозы или нескольких доз с помощью распылителя. SAE-CD может присутствовать в водном носителе в твердой форме или в растворе. Кортикостероид должен присутствовать в водном носителе в виде сухого порошка/частиц или в виде суспензии.
Коммерчески доступные пневматические струйные распылители, ультразвуковые распылители или распылители с пульсирующей мембраной включают AERONEB (Aerogen, San Francisco, CA), PARI LC PLUS , PARI BOY N и PARI DURANEB (PARI Respiratory Equipment, Inc., Monterey, CA), MICROAIR (Omron Healthcare, Inc, Vernon Hills, Illinois), HALOLITE (Profile Therapeutics Inc, Boston, MA), RESPIMAT (Boehringer Ingelheim Ingelheim, Germany) AERODOSE (Aerogen, Inc, Mountain View, CA), OMRON ELITE (Omron Healthcare, Inc, Vernon Hills, Illinois), OMRON MICROAIR (Omron Healthcare, Inc, Vernon Hills, Illinois), MABISMIST II (Mabis Healthcare, Inc, Lake Forest, Illinois), LUMISCOPE 6610, (The Lumiscope Company, Inc, East Brunswick, New Jersey), AIRSEP MYSTIQUE , (AirSep Corporation, Buffalo, NY), ACORN-1 и ACORN-II (Vital Signs, Inc, Totowa, New Jersey), AQUATOWER (Medical Industries America, Adel, Iowa), AVA-NEB (Hudson Respiratory Care Incorporated, Temecula, California), CIRRUS (Intersurgical Incorporated, Liverpool, New York), DART (Professional Medical Products, Greenwood, South Carolina), DEVILBISS PULMO AIDE (DeVilbiss Corp; Someset, Pennsylvania), DOWNDRAFT (Marquest, Englewood, Colorado), FAN JET (Marquest, Englewood, Colorado), MB-5 (Mefar, Bovezzo, Italy), MISTY NEB (Baxter, Valencia, California), SALTER 8900 (Salter Labs, Arvin, California), SIDESTREAM (Medic-Aid, Sussex, UK), UPDRAFT-II (Hudson Respiratory Care, Temecula, California), WHISPER JET (Marquest Medical Products, Englewood, Colorado), AIOLOS (Aiolos Medicnnsk Teknik, Karlstad, Sweden), INSPIRON (Intertech Resources, Inc., Bannockburn, Illinois), OPTIMIST (Unomedical Inc., McAllen, Texas), PRODOMO , SPIRA (Respiratory Care Center, Hameenlinna, Finland), AERx (Aradigm Corporation, Hayward, California), SONIK LDI Nebulizer (Evit Labs, Sacramento, California), и SWIRLER Radioaerosol System (AMICI, Inc., Spring City, PA). Для доставки композиции по настоящему изобретению можно использовать любые вышеуказанные и другие известные распылители, которые включают, не ограничиваясь ими, нижеследующие распылители: для распыления композиций по настоящему изобретению пригодны распылители, распыляющие жидкие композиции и не содержащие пропеллент. Указанные распылители производят, например, такие компании как Pari GmbH (Starnberg, Germany), DeVilbiss Healthcare (Heston, Middlesex, UK), Healthdyne, Vital Signs, Baxter, Allied Health Care, Invacare, Hudson, Omron, Bremed, AirSep, Luminscope, Medisana, Siemens, Aerogen, Mountain Medical, Aerosol Medical Ltd. (Colchester, Essex, UK), AFP Medical (Rugby, Warwickshire, UK), Bard Ltd. (Sunderland, UK), Carri-Med Ltd. (Dorking, UK), Plaem Nuiva (Brescia, Italy), Henleys Medical Supplies (London, UK), Intersurgical (Berkshire, UK), Lifecare Hospital Supplies (Leies, UK), Medic-Aid Ltd. (West Sussex, UK), Medix Ltd. (Essex, UK), Sinclair Medical Ltd. (Surrey, UK), и многие другие.
Распылители, пригодные для использования в настоящем изобретении, включают, не ограничиваясь ими, струйные распылители (необязательно продаваемые вместе с компрессорами), ультразвуковые распылители и другие. Типичные струйные распылители, пригодные для использования в настоящем изобретении, включают Pari LC plus/ProNeb, Pari LC plus/ProNeb Turbo, Pari LC Plus/Dura Neb 1000 & 2000, Pari LC plus/Walkhaler, Pari LC plus/Pari Master, Pari LC star, портативную распылительную систему Omron CompAir XL (NE-C18 и струйный пневматический распылитель одноразового применения), компрессорную распылительную систему Omron CompAir Elite (NE-C21 и пневматический распылитель многократного применения Elite, распылитель Pari LC Plus или Pari LC Star с компрессором Proneb Ultra, Pulomoaide, Pulmo-aide LT, Pulmo-aide treveler, Invacare Passport, Inspiration Healthdyne 626, Pulmo-Neb Traveler, DeVilbiss 646, Whisper Jet, Acorn II, Misty-Neb, Allied Aerosol, Schuco Home Care, Lexan Plasic Pocet Neb, SideStream Hand Held Neb, Mobil Mist, Up-Draft, Up-Draft II, T Up-Draft, ISO-NEB, Ava-Neb, Micro Mist и PulmoMate. Типичные ультразвуковые распылители, пригодные для использования в настоящем изобретении, включают MicroAir, UltraAir, Siemens Ultra Nebulizer 145, CompAir, Pulmosonic, Scout, 5003 Ultrasonic Neb, 5110 Ultrasonic Neb, настольный ультразвуковой распылитель 5004, ультразвуковой распылитель Lumiscope, ультразвуковой распылитель Medisana, ультразвуковой распылитель Microstat и ручной ультразвуковой распылитель Mabismist. Другие распылители, пригодные для использования в настоящем изобретении, включают электромагнитный распылитель 5000, электромагнитный распылитель 5001, распылитель с вращающимся поршнем 5002, поршневой распылитель Lumineb I 5500, портативную распылительную систему Aeroneb, ингалятор Aerodose и распылитель AeroEclipse, приводимый в действие дыханием.
Настоящее изобретение относится к композициям на основе SAE-CD, в которых SAE-CD является соединением формулы 1:

где:
n означает 4, 5 или 6;
R1, R2, R3, R4, R5, R6, R7, R8 и R9 независимо означают -О- или группу -О(С2-С6 алкилен)-SO3 –, причем по крайней мере один из элементов R1-R9 независимо означает группу -О-(С2-С6 алкилен)-SO3 –, предпочтительно группу -О-(СН2)mSO3 –, где m равно 2-6, предпочтительно 2-4, (например, -OCH2CH2CH2SO3 – или -OCH2CH2CH2CH2SO3 –); и
S1, S2, S3, S4, S5, S6, S7, S8 и S9 независимо означают фармацевтически приемлемый катион, который включает, например, Н+, щелочные металлы (например, Li+, Na+, K+), щелочно-земельные металлы (например, Са+2, Mg+2), ионы аммония и катионы амина, такие как катионы (С1-С6)алкиламинов, пиперидина, пиразина, (С1-С6)алканоламина и (С4-С8)циклоалканоламина.
Типичные варианты производных SAE-CD по настоящему изобретению включают производные формулы II (SAEx- -CD), где x равно 1-18; формулы III (SAEy- -CD), где y равно 1-21; и формулы IV (SAEz- -CD), где z равно 1-24, такие как:
SAE означает заместитель, являющийся сульфоалкиловым эфиром, связанный с циклодекстрином. Величины x , y и z означают среднюю степень замещения, выраженную в данном описании изобретения в виде числа групп сульфоалкилового эфира в одной молекуле CD.
Используемый в настоящем описании изобретения термин SAE-CD описан в патентах США  5376645 и 5134127, выданных Стелла и др., которые полностью включены в данное описание изобретения в качестве ссылки. В патенте США 3426011, выданном Пармертеру и др., описаны анионные производные циклодекстрина, содержащие в качестве заместителей сульфоалкиловый эфир. Ламмерс и др. (Lammers et al., Recl. Trav. Chim. Pays-Bas (1972), 91(6), 733-742); Staerke (1971), 23(5), 167-171) и Ку и др. (Qu et al., J. Inclusion Phenom. Macro. Chem., (2002), 43, 213-221) описали производные циклодекстринов, образованные сульфоалкиловым эфиром. В патенте США 6153746, выданном Шаху и др., описан способ получения производных циклодекстрина, образованных сульфоалкиловым эфиром. SAE-CD можно получить в соответствии с описаниями изобретения Стелла и др., Пармертера и др., Ламмерса и др. или Ку и др., и в результате обработки, позволяющей удалить основную часть (>50%) непроизводного исходного циклодекстрина, используемого в соответствии с настоящим изобретением. SAE-CD может содержать от 0 мас.% до менее 50 мас.% непроизводного исходного циклодекстрина.
Термины алкилен и алкил в используемом здесь значении (например, в группе -О-(С2-С6 алкилен)-SO3 – или в алкиламинах) означает соответственно циклические, с линейной и разветвленной цепью, насыщенные и ненасыщенные (то есть содержащие одну двойную связь) двухвалентные алкиленовые группы и одновалентные алкильные группы. Термин алканол в данном описании изобретения означает циклические, с линейной и разветвленной цепью, насыщенные и ненасыщенные алкильные компоненты алканольных групп, в которых гидроксильные группы могут быть расположены в любом положении алкильной части. Термин циклоалканол означает незамещенные или замещенные (например, метилом или этилом) циклические спирты.
Один вариант осуществления настоящего изобретения относится к композициям, содержащим смесь производных циклодекстринов формулы (I), которые в среднем имеют по крайней мере 1 и до 3n+6 частей алкилсульфоновой кислоты в одной молекуле циклодекстрина. Настоящее изобретение относится также к композициям, содержащим производное циклодекстрина одного типа или по крайней мере 50% производного циклодекстрина одного типа. Настоящее изобретение относится также к композициям, содержащим производные циклодекстринов с узкой или широкой и высокой или низкой степенью замещения. Указанные комбинации при необходимости могут быть оптимизированы с получением циклодекстринов, обладающих определенными свойствами.
Настоящее изобретение относится также к композициям, содержащим смесь производных циклодекстринов, которые включают производные циклодекстринов двух или более разных типов. Под разными типами подразумеваются производные циклодекстринов, полученные с использованием функциональных групп разных типов, например гидроксиалкильных и сульфоалкильных, а не гетерогенный характер производных циклодекстринов вследствие разных степеней замещения. Каждый другой независимый тип может содержать одну или несколько функциональных групп, например SBE-CD, где циклодекстриновое кольцо имеет только сульфобутильные функциональные группы, и (гидроксипропиловый эфир)- -CD, где циклодекстриновое кольцо имеют как гидроксипропильные функциональные группы, так и этильные функциональные группы. Количество производного циклодекстрина каждого типа может при желании изменяться с образованием смеси, обладающей требуемыми свойствами.
Типичные производные SAE-CD включают SBE4- -CD, SBE7- -CD, SBE11- -CD, SBE3,4- -CD, SBE4,2- -CD, SBE4,9- -CD, SBE5,2- -CD, SBE6,1- -CD, SBE7,5- -CD, SBE7,8- -CD и SBE5- -CD, которые соответствуют производным SAE-CD формулы I, где n = 5, 5, 5 и 6; m равно 4; и в среднем присутствует 4, 7, 11 и 5 заместителей в виде сульфоалкилового эфира. Указанные производные SAE-CD в разной степени повышают растворимость плохо растворимых в воде активных агентов.
Так как SAE-CD является полианионным циклодекстрином, он может находиться в форме разных солей. Приемлемые противоионы включают катионные органические атомы или молекулы и катионные неорганические атомы или молекулы. SAE-CD может включать противоион одного типа или смесь разных противоионов. Свойства SAE-CD можно модифицировать, изменяя присутствующий противоион. Например, одна соль SAE-CD может обладать более сильной способностью стабилизировать и/или растворять кортикостероид по сравнению с другой солью SAE-CD. Аналогичным образом SAE-CD с одной степенью замещения может обладать более сильной способностью стабилизировать и/или растворять кортикостероид по сравнению с SAE-CD с другой степенью замещения. Лучшее растворение кортикостероида одним SAE-CD по сравнению с другим продемонстрировано данными, приведенными в нижеследующих таблицах, в которых показана молярная растворимость пропионата флутиказона разными SAE-CD в концентрациях около 0,03-0,12 М, причем растворяющая способность соответствует концентрации SAE-CD в указанном порядке: SBE5,2- -CD > SPE5,4- -CD > SBE6,1- -CD > SBE9,7- -CD >> SBE7- -CD > SBE6,7- -CD > SPE7- -CD. Для фуроата мометазона растворяющая способность соответствует концентрации SAE-CD в указанном порядке: SBE9,7- -CD > SBE6,1- -CD > SBE5,2- -CD >> SPE5,4- -CD > SBE7- -CD > SBE6,7- -CD > SPE7- -CD.
Кроме того, были обнаружены различия в связывании будесонида и триамцинолона с конкретными вариантами SAE-CD. В соответствии с настоящим изобретением SAE- -CD связывает кортикостероид лучше, чем SAE- -CD. SAE- -CD связывает будесонид лучше, чем SAE- -CD. Указанные данные суммированы на фигурах 13-14.
Растворимость выбранных стероидов, усиленная бета-циклодекстринами

Растворимость выбранных стероидов, усиленная альфа-циклодекстринами

Растворимость выбранных стероидов, усиленная гамма-циклодекстринами

Авторы настоящего изобретения обнаружили, что SAE- -CD особенно пригоден для образования комплексов с этерифицированными и неэтерифицированными кортикостероидами по сравнению с образованием комплексов тех же кортикостероидов с SAE- -CD или SAE- -CD. В приведенной выше таблице суммированы также данные фазовой растворимости, представленные на фиг. 15 для флутиказона и пропионата флутиказона с разными видами SAE- -CD со степенью замещения, равной 5-10.
Авторы настоящего изобретения обнаружили, что SAE- -CD также гораздо эффективнее связывается с определенным региоизомером этерифицированных кортикостероидов по сравнению с SAE- -CD или SAE- -CD. В способе, описанном в примере 18, дана подробная сравнительная оценка связывания SAE- -CD и SAE- -CD с рядом структурно родственных производных кортикостероидов. В приведенной ниже таблице суммированы результаты исследования по сравнению связывания производных SBEx- -CD, где х означает среднюю степень замещения, и производного SBE- -CD с разными формами беклометазона.
| CD |
Дипропионат беклометазона (мкг/мл) |
17-монопропионат беклометазона (мкг/мл) |
21-монопропионат беклометазона (мкг/мл) |
Беклометазон (неэтерифици-рованный) (мкг/мл) |
SBE3,4 -CD |
0,04М 336,8 |
0,04М 10621,6 |
0,04М 172,6 |
0,04М 11360,2 |
SBE5,24 -CD |
0,04М 267,0 |
0,04М 9500,8 |
0,04М 139,8 |
0,04М 10949,9 |
SBE6,1 -CD |
0,04М 243,8 |
0,04М 11666,9 |
0,04М 153,8 |
0,04М 11007,0 |
SBE7,5 -CD |
0,04М 168,5 |
0,04М 8539,1 |
0,04М 122,4 |
0,04М 9635,2 |
SBE6,7 -CD |
0,04М 60,4 |
0,04М 6799,6 |
0,04М 50,6 |
0,04М 6927,0 |
-CD |
0,04М 105,8 |
0,04М 136,9 |
0,04М 9,4 |
0,04М 114,8 |
Результаты обзорного исследования показывают, что в присутствии SBE(3,4)- -CD (0,04 М) все формы беклометазона характеризуются наибольшей или близкой к наибольшей растворимостью. В17Р, активный метаболит BDP, обладает наибольшей растворимостью этерифицированных форм беклометазона в любом производном CD. Полученные результаты показывают, что SBE- -CD образует комплекс с дипропионатом беклометазона лучше, чем отдельно используемый каптизол или -CD. У всех исследованных производных SAE-CD оптимальная степень замещения SBE- -CD, которая в наибольшей степени усиливает растворимость BDP, равна 3,4, причем растворимость уменьшается почти линейно с увеличением степени замещения. Данное положение является верным для времени уравновешивания, равного 24 часам и 5 дням. Таким образом, SAE-CD усиливают растворимость BDP в следующем порядке: SBE(3,4)- -CD > SBE(5,2)- -CD > SBE(6,1)- -CD > SBE(7,5)- -CD > -CD > каптизол (SBE7- -CD). Полученные данные суммированы на фиг. 16. Авторы настоящего изобретения обнаружили, что производные циклодекстрина SAE- -CD лучше растворяют кортикостероиды, чем производные SAE- -CD. Кроме того, композиции на основе SAE- -CD пригодны для ингаляции, что противоречит выводу, сделанному Вортом и др. (см. выше), которые предположили, что производные SAE-CD не могут использоваться для этой цели.
Термин комплексный означает часть клатрата или комплекса включения , то есть комплексное лечебное средство является частью клатрата или комплекса включения с производным циклодекстрина. Термин основная часть означает по крайней мере примерно 50 мас.%. Таким образом, композиция по настоящему изобретению может содержать активный агент, который более чем примерно на 50 мас.% образует комплекс с циклодекстрином. Действительное процентное значение активного агента, образующего комплекс, может изменяться в соответствии с константой равновесия комплексообразования, которая характеризует образование комплекса конкретного циклодекстрина с конкретным активным агентом. В объем настоящего изобретения входят также варианты осуществления, в которых активный агент не образует комплекс с циклодекстрином и в которых незначительная часть активного агента образует комплекс с производным циклодекстрином. Следует отметить, что SAE-CD или любой другой анионный производный циклодекстрин может образовывать одну или несколько ионных связей с положительно заряженным соединением. Подобная ионная ассоциация может возникать независимо от образования комплекса положительно заряженного соединения с циклодекстрином путем включения в полость или образования солевого мостика.
Связывание лекарственного средства с производным циклодекстрином можно улучшить, используя вместе с лекарственным средством и циклодектрином кислоту или основание. Например, связывание основного лекарственного средства с циклодекстрином можно улучшить, используя кислоту вместе с основным лекарственным средством и циклодекстрином. Аналогичным образом связывание кислотного лекарственного средства с циклодекстрином можно улучшить, используя основание (щелочь) вместе с кислотным лекарственным средством и циклодекстрином. Связывание нейтрального лекарственного средства можно улучшить, используя основное, кислотное или другое нейтральное соединение вместе с нейтральным лекарственным средством и циклодекстрином. Приемлемые кислотные соединения включают неорганические и органические кислоты. Примерами неорганических кислот являются минеральные кислоты, такие как хлористоводородная и бромистоводородная кислоты. Другие приемлемые кислоты включают серную кислоту, сульфоновую кислоту, сульфеновую кислоту и фосфорную кислоту. Примерами органических кислот являются алифатические карбоновые кислоты, такие как уксусная кислота, аскорбиновая кислота, угольная кислота, лимонная кислота, масляная кислота, фумаровая кислота, глутаровая кислота, гликолевая кислота, -кетоглутаровая кислота, молочная кислота, яблочная кислота, мевалоновая кислота, малеиновая кислота, малоновая кислота, щавелевая кислота, пимелиновая кислота, пропионовая кислота, янтарная кислота, винная кислота или тартроновая кислота. Кроме того, могут быть использованы алифатические карбоновые кислоты, содержащие один или несколько окисленных заместителей в алифатической цепи. Может быть использована комбинация кислот.
Приемлемые основные соединения включают неорганические и органические основания. Приемлемые неорганические основания включают аммиак, оксид металла и гидроксид металла. Приемлемые органические основания включают первичный амин, вторичный амин, третичный амин, имидазол, триазол, тетразол, пиразол, индол, диэтаноламин, триэтаноламин, диэтиламин, метиламин, трометамин (TRIS), ароматический амин, ненасыщенный амин, первичный тиол и вторичный тиол. Может быть использована комбинация оснований.
Анионный производный циклодекстрин может образовывать комплекс или каким-либо другим образом связываться с агентом, ионизируемым кислотой. В используемом здесь значении термин агент, ионизируемый кислотой означает любое соединение, которое ионизируется в присутствии кислоты. Агент, ионизируемый кислотой, содержит по крайней мере одну ионизируемую кислотой функциональную группу, которая ионизируется под воздействием кислоты или при введении в кислотную среду. Типичные ионизируемые кислотой функциональные группы включают первичный амин, вторичный амин, третичный амин, четвертичный амин, ароматический амин, ненасыщенный амин, первичный тиол, вторичный тиол, сульфоний, гидроксил, енол и другие вещества, известные специалистам в области химии.
Степень связывания агента, ионизируемого кислотой, при помощи нековалентной ионной связи по сравнению с образованием комплекса включения можно определить спектрофотометрическими методами, такими как, например, 1Н-ЯМР, 13С-ЯМР или круговой дихроизм, и путем анализа данных фазовой растворимости для агента, ионизируемого кислотой, и анионного производного циклодекстрина. Специалист в данной области может использовать указанные методы для примерного определения силы связи каждого типа в растворе, чтобы установить преобладающий тип связи между молекулами, которым может быть нековалентная ионная связь или образование комплекса включения. Агент, ионизируемый кислотой, который связывается с производным циклодекстрином обоими способами, обычно образует бифазную кривую фазовой растворимости. В условиях преобладания нековаленной ионной связи над образованием комплекса включения, величина образования комплекса включения, измеренная при помощи ЯМР или кругового дихроизма, будет меньше, даже если данные фазовой растворимости указывают на значительное связывание между молекулами в данных условиях; кроме того, растворимость, присущая агенту, ионизируемому кислотой, определяемая на основании данных фазовой растворимости, обычно оказывается выше ожидаемой в указанной условиях.
В используемом здесь значении термин нековалентная ионная связь означает связь, образуемую между анионной молекулой и катионной молекулой. Связь является нековалентной, если две молекулы вместе образуют соль или ионную пару. Анионный производный циклодекстрин является анионной молекулой ионной пары, и агент, ионизируемый кислотой, является катионной молекулой ионной пары. Так как анионный производный циклодекстрин является многовалентным соединением, SAE-CD может образовывать ионную пару с одним или несколькими агентами, ионизируемыми кислотой.
Исходные циклодекстрины характеризуются ограниченной растворимостью в воде по сравнению с SAE-CD и HPCD. Растворимость в воде непроизводного -CD равна примерно 14,5% мас./об. при насыщении. Растворимость в воде непроизводного -CD равна примерно 1,85% мас./об. при насыщении. Растворимость в воде непроизводного -CD равна примерно 23,2% мас./об. при насыщении. Диметил-бета-циклодекстрин (DMCD) образует 43% мас./мас. водный раствор при насыщении. SAE-CD может быть объединен в растворе для ингаляции с одним или несколькими другими циклодекстринами или производными циклодекстринов для растворения кортикостероида.
Другие водорастворимые производные циклодекстринов, которые могут быть использованы в соответствии с настоящим изобретением, включают гидроксиэтиловые, гидроксипропиловые (в том числе 2- и 3-гидроксипропиловые) и дигидроксипропиловые эфиры, их соответствующие смешанные эфиры и другие смешанные эфиры с метильными или этильными группами, такие как метилгидроксиэтиловые, этилгидроксиэтиловые и этилгидроксипропиловые эфиры альфа-, бета- и гамма-циклодекстрина; и мальтозильные, глюкозильные и мальтотриозильные производные альфа-, бета- и гамма-циклодекстрина, которые могут содержать один или несколько остатков сахара, например глюкозил или диглюкозил, мальтозил или димальтозил, а также их разные смеси, например смесь мальтозильных и димальтозильных производных. Конкретные производные циклодекстринов, пригодные для использования в настоящем изобретении, включают гидроксипропил-бета-циклодекстрин, гидроксиэтил-бета-циклодекстрин, гидроксипропил-гамма-циклодекстрин, гидроксиэтил-гамма-циклодекстрин, дигидроксипропил-бета-циклодекстрин, глюкозил-альфа-циклодекстрин, глюкозил-бета-циклодекстрин, диглюкозил-бета-циклодекстрин, мальтозил-альфа-циклодекстрин, мальтозил-бета-циклодекстрин, мальтозил-гамма-циклодекстрин, мальтотриозил-бета-циклодекстрин, мальтотриозил-гамма-циклодекстрин, димальтозил-бета-циклодекстрин и их смеси, такие как мальтозил-бета-циклодекстрин/димальтозил-бета-циклодекстрин, а также метил-бета-циклодекстрин. Способы получения таких производных циклодекстринов хорошо известны, например, такие способы описаны в патенте США 5024998, выданном Бодору 18 июня 1991 г., и в приведенных в нем ссылках. Другие циклодекстрины, пригодные для использования в настоящем изобретении, включают производные, образованные карбоксиалкиловым тиоэфиром, такие как ORG 26054 и ORG 25969 компании ORGANON (AKZO-NOBEL), производные, образованные гидроксибутениловым эфиром, компании EASTMAN, производные, образованные сульфоалкилгидроксиалкиловым эфиром, производные, образованные сульфоалкилалкиловым эфиром, и другие производные, описанные в предварительных публикациях заявок на патент США  2002/0128468, 2004/0106575, 2004/ 0109888 и 2004/0063663 или в патентах США  6610671, 6479467, 6660804 или 6509323.
НР- -CD можно приобрести в компании Research Diagnostics Inc. (Flanders, NJ). Компания производит НР- -CD с разными степенями замещения. Типичные продукты включают ENCAPSIN (степень замещения ~4; НР4- -CD) и MOLECUSOL (степень замещения ~8; НР8- -CD); однако существуют варианты указанного продукта с другими степенями замещения. Так как HPCD является неионным веществом, он не может быть получен в форме соли.
Диметилциклодекстрин производится компанией FLUCA Chemie (Buchs, CH) или Wacker (Iowa). Другие производные циклодекстрины, пригодные для использования в настоящем изобретении, включают водорастворимые производные циклодекстрины. Типичные водорастворимые производные циклодекстрины включают карбоксилированные производные, сульфатированные производные, алкилированные производные, гидроксиалкилированные производные, метилированные производные и карбокси- -циклодекстрины, например сукцинил- -циклодекстрин (SCD) и 6А-амино-6А-дезокси-N-(3-карбоксипропил)- -циклодекстрин. Все вышеуказанные вещества могут быть получены способами, известными в данной области. Приемлемые производные циклодекстрины описаны в публикациях Modified Cyclodextrins: Scaffolds and Templates for Supramolecular Chemistry (Eds. Christopher J. Easton, Stephen F. Lincoln, Imperial College Press, London, UK, 1999) и New Trends in Cyclodextrins and Derivatives (Ed. Dominique, Editions de Sante, Paris, France, 1991).
Растворы в % мас./мас. (сульфобутиловый эфир)- -циклодекстрина (CAPTISOL, CyDex Inc., степень замещения = 6,6), 2-гидроксипропил- -циклодекстрина (НР- -CD, CERESTAR, степень замещения = 5,5), сукцинилированного -циклодекстрина (S-CD, Cyclolab) и 2,6-ди-о-метил- -циклодекстрина (DN-CD, Fluka) были получены при исходном значении рН или при необходимости с использованием буфера. Производные циклодекстрина, в частности (сульфоалкиловый эфир)- -CD и (сульфоалкиловый эфир)- -CD, были приобретены в компании CyDex Inc. (Lenexa, KS) и в Канзасском университеле (Lawrence, KS).
Количество производного циклодекстрина, необходимого для оказания требуемого действия, будет изменяться в зависимости от веществ, входящих в состав композиции.
Разные циклодекстрины могут растворять кортикостероид в разной степени. На фиг.3 изображена кривая молярной фазовой растворимости для будесонида с НР- -CD, SBE7- -CD и -CD по сравнению с водой. Авторы настоящего изобретения обнаружили, что SAE-CD лучше растворяет будесонид, чем другие циклодекстрины и производные циклодекстринов. SBE- -CD является лучшим растворителем будесонида на молярной основе, чем НР- -CD. Кроме того, растворяющая способность производных SAE-CD в отношении будесонида располагается примерно в нижеследующем порядке при концентрации SAE-CD в пределах 0,04-0,1 М: SBE5,2- -CD ~ SPE5,4- -CD > SBE6,1- -CD > SBE7- -CD > SBE9,7- -CD ~ SBE6,7- -CD > SPE7- -CD. Например, SBE7- -CD в концентрации 0,1 М может растворять большее количество будесонида, чем -CD или НР- -CD. Кроме того, распыляемые композиции, содержащие SAE-CD, характеризуются более высокой скоростью подачи кортикостероида распылением по сравнению с -CD или НР- -CD, вводимом в прочих одинаковых условиях.
Совершенно неожиданно было установлено, что распыление растворов каптизола характеризуется несколькими преимуществами в отношении других циклодекстринов. Капли, поступающие из распылителя, имеют лучший размер, и растворы каптизола распыляются быстрее, чем аналогичные растворы других циклодекстринов. В приведенной ниже таблице показано, что средний размер частиц (Dv50) растворов каптизола меньше среднего размера частиц НР- -CD или -CD. Как видно из нижеследующей таблицы, более важным фактором является наличие значения Dv90, указывающее на то, что другие циклодекстрины имеют значительное число очень крупных капель. Данные (размер частиц по данным компании Malvern) были получены для каждой композиции, распыляемой из распылителя PARI LC PLUS, оснащенной воздушным компрессором PARI PRONEB ULTRA. Меньший размер капель является благоприятным фактором для ингалируемой композиции, так как такие капли обеспечивают более глубокую доставку в легкие активных агентов, таких как кортикостероид.
| Композиция |
Dv10 (мкм) |
Dv50 (мкм) |
Dv90 (мкм) |
| 5% каптизола |
1,9±0,04 |
3,84±0,08 |
10,52±0,2 |
| 10% каптизола |
1,82±0,05 |
3,61±0,25 |
11,18±1,92 |
| 20% каптизола |
1,78±0,04 |
3,12±0,11 |
10,02±0,23 |
5% гидроксипропил- -циклодекстрина |
1,89±0,04 |
3,99±0,13 |
14,89±2,45 |
10% гидроксипропил- -циклодекстрина |
1,95±0,03 |
4,62±0,34 |
120,1±172,67 |
20% гидроксипропил- -циклодекстрина |
1,91±0,02 |
4,26±0,16 |
13,77±1,00 |
5% -циклодекстрина |
1,94±0,05 |
3,99±0,36 |
205,62±222,10 |
10% -циклодекстрина |
2,03±0,05 |
4,84±0,49 |
451,55±25,92 |
20% -циклодекстрина |
1,96±0,04 |
4,97±0,12 |
286,46±235,13 |
Данное преимущество далее продемонстрировано скоростью подачи вышеуказанных растворов. В приведенной ниже таблице показано, что каптизол распыляется из распылителя быстрее и в большей степени по сравнению с другими циклодекстринами, таким образом, скорость подачи данного распылителя выше при распылении каптизола.
| Композиция |
Процент выведения |
Время распыления (мин) |
Скороть подачи (мг/мин) |
| 5% каптизола |
56,42 |
3,81 |
296 |
| 10% каптизола |
55,13 |
3,84 |
287 |
| 20% каптизола |
50,56 |
4,06 |
249 |
5% гидроксипропил- -циклодекстрина |
43,32 |
4,14 |
209 |
10% гидроксипропил- -циклодекстрина |
46,22 |
4,27 |
216 |
20% гидроксипропил- -циклодекстрина |
46,90 |
4,01 |
234 |
5% -циклодекстрина |
52,74 |
5,41 |
195 |
10% -циклодекстрина |
53,75 |
4,98 |
216 |
20% -циклодекстрина |
51,91 |
4,81 |
216 |
Распыление прекращают при отсутствии существенных изменений (время распыления) или видимых частиц.
Преимущество каптизола было далее продемонстрировано путем получения растворов, содержащих будесонид, растворенный в разных циклодекстринах, и сравнения их характеристик распыления с коммерческой дозированной композицией PULMICORT® RESPULES® на основе суспензии. Суспензию, полученную из нескольких стандартных дозированных ампул PULMICORT , объединяли с образованием стандартной дозированной композиции на основе суспензии для многократного применения и добавляли порошок SAE-CD (в частности, CAPTISOL), НР- – или -циклодекстрина, получая при этом раствор будесонида с концентрацией 0,25 мг/мл. Будесонид-содержащие растворы включали 5% мас./об. каптизола (Р5С), 1% мас./об. гамма-CD (Р1 CD) и 5% мас./об. гидроксипропил-бета-циклодекстрина (Р5НР CD). Все растворы получали по крайней мере за 30 минут до испытаний. Все три композиции представляли собой прозрачные, бесцветные растворы. (Примечание: раствор будесонида с концентрацией 250 мг/мл нельзя получить в 5% мас./об. растворе -циклодекстрина, так как он характеризуется растворимостью типа B ). 2 мл аликвоту суспензии или раствора вводили в распылитель Pari LC Plus и определяли количество будесонида в выводимых каплях, собирая их на фильтре и измеряя будесонид методом ВЭЖХ. Как показано в приведенной ниже таблице, была измерена общая скорость подачи (мкг собранного будесонида/время распыления) для каждой суспензии или раствора.
| Идентификация образца |
Общая скорость подачи (мкг/мин) |
Стандартное отклонение (мкг/мин) |
| Pulmicort |
33,85 |
3,85 |
| Pulmicort + 5% каптизола |
44,04 |
1,42 |
Pulmicort + 5% НР- 0CD |
21,37 |
2,44 |
Pulmicort + 1% -CD |
40,36 |
5,73 |
Скорость подачи является самой высокой для раствора каптизола, указывая на то, что эквивалентное количество лекарственного средства может быть доставлено за более короткий период времени. В созданных условиях -CD не способен растворять эквивалентное количество кортикостероида из-за ограниченной растворимости -CD в воде.
Настоящее изобретение можно использовать с другими водными композициями на основе суспензии, которые могут быть адаптированы для доставки в нос или в легкие. Типичные водные композиции на основе суспензии включают композицию UDB (Sheffield Pharmaceuticals, Inc.), VANCENASE AQ (водная суспензия дипропионата беклометазона; Schering Corporation, Kenilworth, NJ), ATOMASE (водная суспензия дипропионата беклометазона; Douglas Pharmaceuticals Ltd., Aukland, Australia), BECONASE (водная суспензия дипропионата беклометазона; Glaxo Wellcome), NASACORT AQ (распыляемый в нос раствор ацетонида триамцинолона, Aventis Pharmaceuticals), TRI-NASAL (водная суспензия ацетонида триамцинолона; Muro Pharmaceuticals Inc.) и AEROBID-M (аэрозоль для ингаляции флунизолида, Forest Pharmaceuticals), NASALIDE и NASAREL (распыляемый в нос раствор флунизолида, Ivax Corporation), FLONASE (пропионат флутиказона, GlaxoSmithKline) и NASONEX (фуроат мометазона, Schering-Plough Corporation).
Суспензионная композиция может включать кортикостероид в виде частиц, микрочастиц, наночастиц или в нанокристаллической форме. Поэтому SAE-CD можно использовать для улучшения введения стандартной дозированной кортикостероидной композиции на основе суспензии. Кроме того, SAE-CD обладает лучшими характеристиками по сравнению с другими производными циклодекстринов.
В соответствии с одним вариантом осуществления изобретения смешивают SAE-CD (в твердой или жидкой форме) и стандартную дозированную композицию на основе суспензии, содержащую кортикостероид. SAE-CD присутствует в количестве, достаточном для увеличения количества растворенного кортикостероида, то есть для уменьшения количества нерастворенного кортикостероида. До введения жидкость может быть необязательно подвергнута асептической фильтрации или конечной стерилизации. Затем указанную жидкость вводят субъекту ингаляцией при помощи распылителя. В результате этого количество лекарственного средства, получаемого субъектом, оказывается выше, чем то количество, которое указанный субъект мог получить при введении немодифицированной суспензионной композиции.
В соответствии с другим вариантом осуществления изобретения SAE-CD (в жидкой форме, в виде готовой к применению жидкости или концентрата) и твердую стандартную дозированную композицию, содержащую кортикостероид, смешивают с образованием жидкой композиции. SAE-CD присутствует в количестве, достаточном для растворения значительной части кортикостероида. Затем жидкость вводят ингаляцией при помощи распылителя.
В соответствии с другим вариантом осуществления изобретения SAE-CD (в твердой форме) и твердую стандартную дозированную композицию, содержащую кортикостероид, смешивают с образованием твердой смеси, к которой добавляют водный жидкий носитель в количестве, достаточном для образования распыляемой композиции. При добавлении жидкого носителя необязательно производят смешивание и/или нагрев для образования композиции. SAE-CD присутствует в количестве, достаточном для растворения значительной части кортикостероида. Затем композицию вводят ингаляцией при помощи распылителя.
Размер баллона изменяется в зависимости от типа используемого распылителя. Объем жидкой композиции при необходимости можно довести до требуемого объема, вводимого в баллон определенного типа или распылителя определенной компании. Объем можно отрегулировать, добавляя дополнительный жидкий носитель или дополнительный раствор, содержащий SAE-CD.
Как правило, стандартная дозированная композиция кортикостероида на основе суспензии для однократного применения содержит примерно 0,125, 0,25, 0,5, 1, 2 или около 0,125-2 мг кортикостероида, суспендированного примерно в 50 мкл-10 мл жидкого носителя. Альтернативно кортикостероид присутствует в концентрации от около 20 мкг до около 30 мг на один мл суспензии. Таким образом, на каждый мл суспензии добавляют примерно 10-500 мг SAE-CD, 10-250 мг SAE-CD или 10-300 мг SAE-CD в твердой форме или растворенным в жидком носителе, чтобы растворить значительную часть кортикостероида и получить распыляемую стандартную дозированную жидкую композицию, которую затем вводят нуждающемуся субъекту.
Как правило, стандартная дозированная композиция кортикостероида на основе суспензии для многократного применения содержит примерно 0,125-2 мг кортикостероида, суспендированного в 1-100 мл жидкого носителя. Композиция для многократного применения фактически содержит две или более стандартные дозы кортикостероида. Из стандартной дозированной композиции для многократного применения отбирают аликвоты, соответствующие однократной стандартной дозе, и по одной вводят субъекту. Таким образом, на каждый мл суспензии добавляют примерно 10-500 мг SAE-CD в твердой форме или растворенным в жидком носителе, чтобы растворить значительную часть кортикостероида и получить стандартную дозированную жидкую композицию для многократного применения, которую затем вводят субъекту в виде аликвот однократной стандартной дозы.
Главным объектом настоящего изобретения является превращение стандартной дозированной композиции на основе суспензии в жидкую стандартную дозированную композицию до введения в легкие субъекта путем ингаляции (распыляемый аэрозоль). Превращение может осуществляться в том же баллоне, в котором находится суспензия, в другом баллоне или в баллоне распылителя. Для получения жидкой композиции необходимо растворить значительную часть кортикостероида. Применительно к количеству растворенного кортикостероида термин значительная часть означает по крайней мере 20 мас.%, по крайней мере 30 мас.%, по крайней мере 40 мас.% или по крайней мере 20 мас.% и менее 50 мас.% кортикостероида. Применительно к количеству растворенного кортикостероида термин большая часть означает по крайней мере 50 мас.% кортикостероида.
Хорошо известно, что фармацевты, работающие в области приготовления лекарственных средств, знакомы с методами получения стандартной дозированной композиции на основе суспензии, содержащей кортикостероид. Поэтому фармацевты смогут получить жидкую стандартную дозированную композицию для однократного или многократного применения способом, рассмотренным в настоящем описании изобретения. Альтернативно субъект (больной), проходящий курс лечения кортикостероидом, может превратить суспензионную композицию в жидкую композицию по настоящему изобретению способом, рассмотренным в настоящем описании изобретения. Вместо получения жидкой композиции из суспензии в аптеке можно приготовить набор, содержащий суспензионную композицию и SAE-CD.
Концентрация SAE-CD в растворе может быть выражена в массовом отношении или в отношении массы к объему; однако две вышеуказанные единицы измерения являются взаимопревращаемыми. Когда известную массу циклодекстрина растворяют в известной массе воды, для определения концентрации циклодекстрина в % мас./мас. массу циклодекстрина в граммах делят на общую массу (масса циклодекстрина + воды) в подобных единицах измерения и умножают на 100. Когда известную массу циклодектрина растворяют в известном общем объеме, для определения концентрации циклодекстрина в % мас./об. массу циклодекстрина в граммах делят на общий объем в миллилитрах и умножают на 100. Корреляция между двумя процентными значениями концентрации циклодекстрина была определена экспериментально путем получения разных растворов циклодекстрина с концентрацией в % мас./мас. и измерения плотности каждого раствора пикнометром при 25°С. В приведенной ниже таблице указана плотность (г/мл) каждого раствора каптизола (CAPTISOL) в % мас./мас.
| Каптизол (% мас./мас.) |
Плотность (г/мл) |
Вязкость (Сп, 25°С) |
| 59,4 |
1,320 |
527,0 |
| 49,4 |
1,259 |
51,9 |
| 39,7 |
1,202 |
17,0 |
| 29,8 |
1,149 |
5,91 |
| 19,7 |
1,095 |
2,78 |
| 8,5 |
1,041 |
1,75 |
| 0,0 |
1,002 |
1 |
| наклон = 0,0053 |
 |
| пересечение с координатной осью у = 0,995 |
 |
| корреляция = 0,9989 |
 |
Полученная линейная взаимосвязь позволяет легко превратить концентрации каптизола, выраженные в % мас./мас., в % мас./об. при помощи нижеследующего уравнения:
% мас./об. = [(% мас./мас. · наклон) + пересечение с координатной осью у]· % мас./мас.
где значения наклона и пересечения с координатной осью у определяют из линейной регрессии данных плотности в таблице. Например, из приведенного выше уравнения следует, что 40% мас./мас. раствора каптизола эквивалентны ~48,3% мас./об. раствора каптизола.
Характеристики ингалируемого раствора по настоящему изобретению в распылителе могут зависеть от вязкости распыляемого раствора в баллоне. Вязкость водного раствора SBE7- -CD изменяется в зависимости от концентрации примерно так, как показано в приведенной выше таблице. Вязкость ингалируемой композиции может влиять на процентное количество композиции, подаваемой из распылителя, скорость подачи распыляемого кортикостероида и распределение капель по размерам.
Количество распыляемой композиции для ингаляции, оставшейся в баллоне распылителя, может быть больше для растворов, содержащих SAE-CD, по сравнению с будесонид-содержащей суспензией. Например, на фигуре 4 изображена диаграмма процентного количества четырех разных композиций (суспензия PULMICORT RESPULES, 5% мас./мас. раствор SBE7- -CD, 10% мас./мас. раствор SBE7- -CD и 20% мас./мас. раствор SBE7- -CD), распыленных из трех разных распылителей (PARI LC PLUS, HUDSON UPDRAFT II NEB-U-MIST и MYSTIQUE). Суспензию PULMICORT RESPULES использовали в качестве контрольного образца. Распылители PARI LC PLUS, MYSTIQUE и HUDSON использовали для сравнения. Распылитель MYSTIQUE не обеспечивал эффективного распыления суспензии и концентрированного раствора SAE-CD (20% мас./мас.), поэтому оценка указанных веществ в данном распылителе не производилась. Полученные результаты позволяют предположить, что в условиях испытания при распылении суспензии PULMICORT RESPULES было распылено большее процентное количество композиции, из чего следует, что при использовании данной суспензии после окончания распыления в баллоне распылителя оставалось меньше распыляемой композиции по сравнению с раствором. В некоторых случаях при распылении суспензии распылитель обеспечивал выведение наибольшего количества всей композиции в процентном выражении. Другими словами, в одинаковых условиях распыления распылители PARI LC PLUS и HUDSON более эффективно уменьшали объем распыляемой суспензии, чем распыляемого раствора; однако выведенное количество распыляемой композиции не соответствовало общему количеству лекарственного средства, выведенного из распылителя.
Было проведено сравнение скорости подачи распыляемого раствора, содержащего SAE-CD, со скоростью подачи суспензии с учетом того, что раствор и суспензия содержали будесонид. Скорость подачи определяли при помощи модифицированного варианта способа, описанного в примере 20. Полученные данные суммированы в приведенной ниже таблице.
Данные, полученные с использованием распылителя PARI LC PLUS, оснащенного воздушным компрессором PARI PRONEB ULTRA.
| Идентификация образца |
Будесонид, выведенный через 2 минуты (мкг) |
Общее количество выведенного будесонида (мкг) |
Общее время распыления (мин:сек) |
Общее время распыления (мин) |
Скорость подачи через 2 минуты (мкг/мин) |
Общая скорость подачи (мкг/мин) |
| 1-PUL-1 |
84,021 |
164,199 |
5:34 |
5,57 |
42,01 |
29,48 |
| 1-PUL-2 |
90,395 |
175,63 |
4:58 |
4,97 |
45,20 |
35,34 |
| 1-PUL-3 |
82,046 |
174,546 |
4:45 |
4,75 |
41,02 |
36,75 |
 |
среднее значение |
171,458 |
 |
среднее значение |
42,74 |
33,85 |
 |
SD |
6,310 |
 |
SD |
2,18 |
3,85 |
 |
CV |
3,680 |
 |
CV |
5,10 |
11,38 |
| 2-P5C-1 |
131,412 |
258,894 |
5:42 |
5,7 |
65,71 |
45,42 |
| 2-P5C-2 |
126,945 |
246,987 |
5:36 |
5,6 |
63,47 |
44,10 |
| 2-P5C-3 |
128,464 |
236,371 |
5:33 |
5,55 |
64,23 |
42,59 |
 |
среднее значение |
247,417 |
 |
среднее значение |
64,47 |
44,04 |
 |
SD |
11,268 |
 |
SD |
1,14 |
1,42 |
 |
CV |
4,554 |
 |
CV |
1,76 |
3,22 |
Данные, полученные с использованием ультразвукового распылителя MYSTIQUE.
| Идентификация образца |
Будесонид, выведенный через 2 минуты (мкг) |
Общее количество выведенного будесонида (мкг) |
Общее время распыления (мин:сек) |
Общее время распыле-ния (мин) |
Скорость подачи через 2 минуты (мкг/мин) |
Общая скорость подачи (мкг/мин) |
| 10-PUL-1 |
11,200 |
27,926 |
5:20 |
5,33 |
5,60 |
5,24 |
| 10-PUL-2 |
29,015 |
40,11 |
4:15 |
4,25 |
14,51 |
9,44 |
| 10-PUL-3 |
25,363 |
30,516 |
4:17 |
4,28 |
12,68 |
7,13 |
 |
среднее значение |
32,851 |
 |
среднее значение |
10,93 |
7,27 |
 |
SD |
6,419 |
 |
SD |
4,71 |
2,10 |
 |
CV |
19,539 |
 |
CV |
43,05 |
28,93 |
| 11-P5C-1 |
41,049 |
98,155 |
5:47 |
5,78 |
20,52 |
16,98 |
| 11-P5C-2 |
44,495 |
131,8 |
6:00 |
6 |
22,25 |
21,97 |
| 11-P5C-3 |
53,374 |
132,31 |
5:55 |
5,92 |
26,69 |
22,35 |
 |
среднее значение |
120,755 |
 |
среднее значение |
23,15 |
20,43 |
 |
SD |
19,574 |
 |
SD |
3,18 |
2,99 |
 |
CV |
16,210 |
 |
CV |
13,73 |
14,66 |
Все вышеуказанные композиции содержат примерно 250 мкг/мл будесонида. Образцы, идентифицированные как P5C , содержат 50 мкг/мл (или примерно 5%) SBE7- -CD.
В нижеследующей таблице приведены данные скорости подачи распылителем растворов, содержащих разные количества SAE-CD.
| Идентификация образца |
Вязкость (сП) |
Объем распылителя (мл) |
% подачи (разность массы) |
Время распыления (минуты: секунды) |
Скорость подачи |
21,5% мас./мас. SBE7- -CD |
3,06 |
3 |
47,47 |
10:51 |
4,52 |
10,75% мас./мас. SBE7- -CD |
1,84 |
3 |
51,36 |
8:53 |
6,02 |
5,15% мас./мас. SBE7- -CD |
1,23 |
3 |
55,47 |
9:59 |
5,78 |
| Н2О |
 |
3 |
50,36 |
9:21 |
5,47 |
Весьма удивительным является то, что распыление раствора, содержащего SAE-CD, характеризовалось более высокой скоростью подачи будесонида, чем распыление суспензии PULMICORT RESPULES, несмотря на то что распылитель выводил большее общее количество суспензии. Не ограничиваясь каким-либо конкретным механизмом, можно отметить, что распылитель в большей степени распыляет воду из суспензии, чем частицы суспензии, в результате чего происходит увеличение молярной концентрации будесонида в суспензии, оставшейся в баллоне. Более высокие концентрации SAE-CD, превышающие 25% мас./об., вызывали некоторое увеличение времени распыления и более низкие скорости подачи, если вязкость превышала примерный верхний предел.
На основании приведенных выше данных концентрация SBE7- -CD, равная 21,5±5% мас./мас., была признана примерным верхним приемлемым пределом для испытуемого распылителя, при этом термин приемлемый означает наибольшую возможную концентрацию SBE7- -CD, не вызывающую чрезмерной вязкости, которая может вредно влиять на время распыления и скорость подачи. Практический верхний предел для концентрации SAE-CD может изменяться в зависимости от типов распылителей. Верхняя приемлемая концентрация SAE-CD в жидкой композиции, предназначенной для использования в распылителе, может изменяться в зависимости от степени замещения (DS) производного, длины алкильной цепи сульфоалкильной функциональной группы и/или величины кольца циклодекстрина в SAE-CD.
При введении лекарственного средства в дыхательные пути, в частности в легкие, распылитель используют для получения капель соответствующего размера. Размер капель, образуемых распылителем для ингаляции, обычно находится в пределах от около 0,5 до около 5 микрон. Если желательно, чтобы капли достигли нижних отделов дыхательного пути, то есть альвеол и терминальных отделов бронхов, предпочтительный размер частиц должен быть равен от около 0,5 до около 2,5 микрона. Если желательно, чтобы капли достигли верхних отделов дыхательных путей, предпочтительный размер частиц должен быть равен от 2,5 микрона до 5 микрон.
Как было указано выше, вязкость распыляемой композиции может влиять на размер капель и распределение капель по размерам. Например, композиции по настоящему изобретению образуют более крупные капли по результатам измерения Dv50 при более низких концентрациях и, следовательно, при более низкой вязкости SAE-CD без будесонида. На фигурах 5а-5b приведены данные о размере капель при распылении композиций для ингаляции распылителем PARI LC PLUS. При получении данных, представленных на обеих фигурах, для измерения MMAD использовали лазерное устройство рассеяния света компании MALVERN (Mastersizer S, Malvern Instruments Ltd. Malvern, Worcs, U.K.). На фиг. 5а приведены результаты, полученные при использовании растворов -CD с разной концентрацией (5% мас./об., 10% мас./об. и 20% мас./об.) при отсутствии будесонида. Полученные результаты показывают, что -CD сам по себе не обладает приемлемыми характеристиками для использования в распылителе, так как почти вся масса раствора образует капли в неприемлемом диапазоне размеров. Даже при длительной рециркуляции и селекции размера капель распылителем распыляемый раствор на основе -CD, содержащий кортикостероид, требует чрезвычайно много времени для выведения требуемой дозы из-за низкого процентного значения массы, соответствующей размеру капель в требуемом диапазоне, в частности потому, что -CD не является эффективным растворителем будесонида в испытанных концентрациях.
Для сравнения на фиг. 5b приведены результаты, полученные для распыления тем же распылителем суспензии PULMICORT RESPULES или модифицированного раствора PULMICORT RESPULES, содержащего SAE-CD в разных концентрациях (5% мас./об., 10% мас./об. и 20% мас./об.). Значительная часть распыляемой массы каждого из указанных образцов находится в диапазоне вдыхаемых капель. Кроме того, растворы, содержащие SAE-CD, по-видимому, образуют капли, сравнимые по размеру с каплями распыляемой суспензии.
На фигуре 6 представлены данные о размере капель при распылении композиций для ингаляции распылителем HUDSON UPDRAFT II NEBUMIST, который заполнен суспензией PULMICORT RESPULES или раствором, содержащим SAE-CD в разных концентрациях (5% мас./об., 10% мас./об. и 20% мас./об.). По сравнению с распылителем PARI LC PLUS распылитель NEB-U-MIST образует более крупные частицы, хотя значительная часть распыляемой массы все же находится в приемлемом диапазоне размеров капель. Поэтому распыляемый раствор, полученный из суспензии и содержащий SAE-CD, пригоден для использования в целом ряде разных пневматических струйных распылителей.
В инструкции, прилагаемой к упаковке суспензии PULMICORT RESPULES, указано, что данную суспензию нельзя распылять ультразвуковым распылителем. На фигуре 7 приведены данные о размере капель при распылении композиций для ингаляции ультразвуковым распылителем MYSTIQUE. Испытуемые композиции включают три разных раствора, содержащих SAE-CD. В отличие от суспензии раствор, содержащий SAE-CD, можно распылять ультразвуковым распылителем. Таким образом, настоящее изобретение относится к способу улучшения доставки кортикостероида в легкие в стандартной дозированной композиции на основе суспензии при помощи ультразвукового распылителя, который включает стадию введения SAE-CD в композицию в количестве, достаточном для уменьшения количества нерастворенного кортикостероида в стандартной дозированной композиции на основе суспензии.
Характеристики распыляемых композиций в ряде распылителей обычно определяют, сравнивая Dv50 для распределения капель по размерам в соответствующих композициях. На фигуре 8 приведены сравнительные данные о размере капель Dv50 при распылении композиции для ингаляции при помощи трех вышеуказанных распылителей. Во всех случаях растворы, содержащие SAE-CD, были пригодны для введения распылением в целом ряде концентраций. Кроме того, распределение капель по размерам можно частично контролировать путем изменения концентрации SAE-CD.
На фигуре 9 изображен график, показывающий взаимосвязь между концентрацией SAE-CD и скоростью подачи SAE-CD в разных распылителях при использовании разных источников сжатого воздуха, необходимого для конкретного режима работы: пневматические струйные распылители RAINDROP-Rat, RAINDROP-Dog, PARI LC STAR-UNC, PARI LC STAR-Rat, PARI LC PLUS и DEVILBISS PULMO AIDE. Указанные распылители использовали в разных режимах, включая свободное распыление, камеры для животных и/или индивидуальные маски. Как правило, полученные данные показывают, что подача SAE-CD увеличивается с увеличением концентрации SAE-CD. В зависимости от используемого распылителя, условий работы распылителя и концентрации SAE-CD в растворе могут быть достигнуты разные максимальные скорости подачи. Например, максимальная скорость подачи в режиме работы Raindrop-Dog составляет 250 мг/мл концентрации каптизола.
Суспензию PULMICORT RESPULES можно распылять ультразвуковым распылителем, даже если такое распыление не рекомендуется. На фигурах 10а-10b приведены сравнительные данные о размере капель для растворов, распыляемых распылителями PARI LC PLUS и MYSTIQUE, предназначенными для распыления суспензии PULMICORT RESPULES и модифицированного раствора SAE-CD на основе PULMICORT RESPULES. В качестве испытуемых образцов использовали суспензию PULMICORT RESPULES с 5% мас./об. SBE7- -CD и без указанного циклодекстрина. Выполняли способ, описанный в примере 12. На фиг. 10а приведены данные Dv10 и Dv50 для растворов, распыляемых пневматическим струйным распылителем PARI LC PLUS, и на фиг. 10b приведены данные Dv10 и Dv50 для растворов, распыляемых ультразвуковым распылителем MYSTIQUE. Во всех случаях данные о размере капель для двух разных растворов являются сравнимыми. Однако скорость подачи будесонида для двух растворов значительно отличается. Использование SAE-CD в распыляемой композиции вызывает увеличение скорости подачи будесонида независимо от типа распылителя. Таким образом, настоящее изобретение относится к способу увеличения скорости подачи стандартной дозированной композиции на основе кортикостероид-содержащей суспензии, при доставке распылителем, который включает стадию введения SAE-CD в композицию в количестве, достаточном для увеличения количества растворенного кортикостероида в композиции, с образованием альтернативной композиции, в которой скорость подачи кортикостероида превышает скорость подачи кортикостероида в суспензионной композиции.
Кортикостероиды, пригодные для использования в настоящем изобретении, обычно включают любые стероиды, продуцируемые корой надпочечников, в том числе глюкокортикоиды и минералокортикоиды, синтетические аналоги и производные природных кортикостероидов, обладающих противовоспалительной активностью. Приемлемые синтетические аналоги включают пролекарства, сложноэфирные производные. Примеры кортикостероидов, которые могут быть использованы в композициях по настоящему изобретению, включают альдостерон, беклометазон, бетаметазон, будесонид, циклезонид (Altana Pharma AG), клопреднол, кортизон, кортивазол, дезоксикортон, дезонид, дезоксиметазон, дексаметазон, дифторкортолон, флуклоролон, флуметазон, флунизолид, флуоцинолон, флуоцинонид, флуокортинбутил, фторкортизон, фторкортолон, фторметолон, флурандренолон, флутиказон, галцинонид, гидрокортизон, икометазон, мепреднизон, метилпреднизолон, мометазон, параметазон, преднизолон, преднизон, рофлепонид, RPR 106541, тиксокортол, триамцинолон и их фармацевтически приемлемые производные, такие как дипропионат беклометазона (безводный или моногидрат), монопропионат беклометазона, 21-изоникотинат дексаметазона, пропионат флутиказона, энбутат икометазона, 21-пивалат тиксокортола и ацетонид триамцинолона. Особенно предпочтительными являются такие соединения, как дипропионат беклометазона, будесонид, флунизолид, пропионат флутиказона, фуроат мометазона и ацетонид триамцинолона. Другие кортикостероиды, которые еще не являются коммерчески производимыми продуктами, но станут такими продуктами после подачи данной заявки на патент, считаются пригодными для использования в настоящем изобретении, если не будет экспериментально установлена их непригодность.
Кортикостероидное соединение присутствует в конечной, разведенной, кортикостероидной композиции, предназначенной для ингаляции, в количестве от около 1 мкг/мл до около 10 мг/мл, от около 10 мкг/мл до около 1 мг/мл или от около 20 мкг/мл до около 500 мкг/мл. Например, концентрация лекарственного средства может составлять около 30-1000 мкг/мл для ацетонида триамцинолона и около 50-2000 мкг/мл для будесонида в зависимости от вводимого объема. В соответствии с предпочтительными способами по настоящему изобретению в композиции на водной основе могут быть достигнуты относительно высокие концентрации кортикостероида.
Аналогичным образом кортикостероидное соединение присутствует в конечной, разведенной, кортикостероидной композиции, предназначенной для введения в нос, в количестве от около 50 мкг/мл до около 10 мг/мл, от около 100 мкг/мл до около 2 мг/мл или от около 300 мкг/мл до около 1 мг/мл. Например, в зависимости от вводимого объема концентрация лекарственного средства может составлять от около 250 мкг/мл до 1 мг/мл для ацетонида триамцинолона и от около 400 мкг/мл до 1,6 мг/мл для будесонида.
Разведенную кортикостероидную композицию для лечения бронхита получают способом по настоящему изобретению. Кортикостероидом, используемым для такого лечения, предпочтительно является дипропионат беклометазона, бетаметазон, будесонид, дексаметазон, флунизолид, пропионат флутиказона, фуроат мометазона или ацетонид триамцинолона, который вводят в композицию в вышеуказанных концентрациях. Суточная доза кортикостероида обычно составляет около 0,05-10 мг в зависимости от лекарственного средства и заболевания согласно настольному справочнику врача.
Кортикостероид может присутствовать в нейтральной, ионной, солевой, основной, кислотной, природной, синтетической, диастереомерной, изомерной, энантиомерно чистой, рацемической, сольватированной, безводной, гидратной, хелатной, производной, аналоговой, этерифицированной, неэтерифицированной или другой форме. В объем изобретения входят все существующие формы любого активного агента, указанного в настоящем описании изобретения. Например, в объем изобретения входят все известные формы будесонида.
Композицию по настоящему изобретению можно использовать для доставки двух или более разных активных агентов. В состав композиции по настоящему изобретению могут входить определенные комбинации активных агентов. Некоторые комбинации активных агентов включают: 1) одно лекарственное средство из первого терапевтического класса и другое отличное лекарственное средство из того же терапевтического класса; 2) одно лекарственное средство из первого терапевтического класса и другое отличное лекарственное средство из другого терапевтического класса; 3) одно лекарственное средства, обладающее биологической активностью первого типа, и другое отличное лекарственное средство, обладающее примерно такой же биологической активностью; 4) одно лекарственное средство, обладающее биологической активностью первого типа, и другое отличное лекарственное средство, обладающее биологической активностью второго типа. В настоящем описании изобретения приведены типичные комбинации активных агентов.
Кортикостероид, такой как будесонид, можно вводить в комбинации с одним или несколькими другими лекарственными средствами. Такими лекарственными средствами являются агонист В2-адренорецепторов, местный анестетик, агонист D2-рецепторов, антихолинергическое средство.
Агонисты В2-адренорецепторов, пригодные для использования в комбинации с композициями по настоящему изобретению, включают, не ограничиваясь ими, альбутерол (альфа1-(((1,1-диметилэтил)амино)-метил)-4-гидрокси-1,3-бензолдиметанол);
бамбутерол (5-(2-((1,1-диметилэтил)амино)-1-гидроксиэтил)-1,3-фениленовый эфир диметилкарбаминовой кислоты);
битолтерол (4-(2-((1,1-диметилэтил)амино)-1-гидроксиэтил)-1,2-фениленовый эфир 4-метилбензойной кислоты);
броксатерол (3-бром-альфа-(((1,1-диметилэтил)амино)метил)-5-изоксазолметанол);
изопротеренол (4-(1-гидрокси-2-((1-метилэтил)-амино)этил)-1,2-бензолдиол);
триметохинол (1,2,3,4-тетрагидро-1-((3,4,5-триметоксифенил)метил)-6,7-изохинолиндиол);
кленбутерол (4-амино-3,5-дихлор-альфа-((1,1-диметилэтил)амино)метил)бензол-метанол);
фенотерол (5-(1-гидрокси-2-((2-(4-гидроксифенил)-1-метилэтил)амино)этил)-1,3-бензолдиол);
формотерол (2-гидрокси-5-((1RS)-1-гидрокси-2-(((1RS)-2-(п-метоксифенил)-1-метилэтил)амино)-этил)форманилид); (R,R)-формотерол;
десформотерол ((R,R) или (S,S)-3-амино-4-гидрокси-альфа-(((2-(4-метоксифенил)-1-метилэтил)-амино)метил)бензолметанол); гексопреналин (4,4′-(1,6-гександиил)-бис(имино(1-гидрокси-2,1-этандиил)))бис-1,2-бензолдиол);
изоэтарин (4-(1-гидрокси-2-((1-метилэтил)амино)бутил)-1,2-бензолдиол); изопреналин (4-(1-гидрокси-2-((1-метилэтил)амино)этил)-1,2-бензолдиол); мета-протеренол (5-(1-гидрокси-2-((1-метилэтил)амино)-этил)-1,3-бензолдиол);
пикуметерол (4-амино-3,5-дихлор-альфа-(((6-(2-(2-пиридинил)этокси)гексил)амино)метил)бензолметанол; пирбутерол (альфа6-(((1,1-диметилэтил)амино)метил)-3-гидрокси-2,6-пиридинметанол);
прокатерол (((R*,S*)-(±)-8-гидрокси-5-(1-гидрокси-2-((1-метилэтил)амино)бутил)-2(1Н)-хинолинон);
репротерол ((7-(3-((2-(3,5-дигидроксифенил)-2-гидроксиэтил)амино)пропил)-3,7-дигидро-1,3-диметил-1Н-пурин-2,6-дион);
римитерол (4-(гидрокси-2-пиперидинилметил)-1,2-бензолдиол); салбутамол ((±)-альфа1-(((1,1-диметилэтил)амино)метил)-4-гидрокси-1,3-бензолдиметанол);
(R)-салбутамол;
салметерол ((±)-4-гидрокси-альфа1-(((6-(4-фенил-бутокси)гексил)амино)метил)-1,3-бензолдиметанол);
(R)-салметерол; тербуталин (5-(2-((1,1-диметилэтил)амино)-1-гидроксиэтил)-1,3-бензолдиол);
тулобутерол (2-хлор-альфа-(((1,1-диметилэтил)амино)-метил)бензолметанол) и ТА-2005 (8-гидрокси-5-((1R)-1-гидрокси-2-(N-((1R)-2-(4-метоксифенил)-1-метилэтил)амино)этил)карбостирил-гидрохлорид).
Агонисты рецепторов допамина (D2) включают, не ограничиваясь ими, апоморфин ((R)-5,6,6а,7-тетрагидро-6-метил-4Н-дибензо[de,g]-хинолин-10,11-диол);
бромкриптин ((5′-альфа)-2-бром-12′-гидрокси-2′-(1-метилэтил)-5′-(2-метилпропил)эрготаман-3′,6′,18-трион);
каберголин ((8-бета)-N-(3-(диметиламино)пропил)-N-((этиламино)-карбонил)-6-(2-пропенил)эрголин-8-карбоксамид);
лизурид (N’-((8-альфа)-9,10-дидегидро-6-метилэрголин-8-ил)-N,N-диэтилмочевина);
перголид ((8-бета)-8-((метилтио)метил)-6-пропилэрголин);
леводопа (3-гидрокси-L-трирозин);
прамипексол ((S)-4,5,6,7-тетрагидро-N6-пропил-2,6-бензотиазолдиамин);
гидрохлорид хинпирола (гидрохлорид транс-(-)-4aR-4,4а,5,6,7,8,8а,9-октагидро-5-пропил-1Н-пиразоло-[3,4-g]хинолина);
ропинирол (4-(2-(дипропиламино)этил-1,3-дигидро-2Н-индол-2-он) и
талипексол (5,6,7,8-тетрагидро-6-(2-пропенил)-4Н-тиазоло[4,5-d]азепин-2-амин). Другие агонисты рецепторов допамина (D2), пригодные для использования в настоящем изобретении, описаны в публикации международной заявки на патент WO 99/36095, которая включена в настоящее описание изобретения в качестве ссылки.
Антихолинергические средства, пригодные для использования в настоящем изобретении, включают, не ограничиваясь ими, бромид ипратропия, бромид окситропия, метилнитрат атропина, сульфат атропина, ипратропий, экстракт белладонны, скополамин, метобромид скополамина, метобромид гоматропина, гиосциамин, изоприопрамид, орфенадрин, хлорид бензалкония, бромид тиотропия и бромид гликопиррония. В некоторых вариантах осуществления изобретения композиции содержат антихолинергическое средство, такое как бромид ипратропия или бромид тиотропия, в концентрации от около 5 мкг/мл до около 5 мг/мл или от около 50 мкг/мл до около 200 мкг/мл. В других вариантах осуществления изобретения композиции, используемые в способах по настоящему изобретению, содержат антихолинергическое средство, включая бромид ипратропия и бромид тиотропия, в концентрации около 83 мкг/мл или около 167 мкг/мл.
Другие активные ингредиенты, пригодные для использования в комбинированной терапии, включают, не ограничиваясь ими, ингибиторы IL-5, описанные в патентах США  5668110, 5683983, 5677280, 6071910 и 5654276, которые включены в настоящее описание изобретения в качестве ссылки; антисмысловые модуляторы IL-5, описанные в патенте США 6136603, который включен в настоящее описание изобретения в качестве ссылки; милринон (1,6-дигидро-2-метил-6-оксо[3,4′-бипиридин]-5-карбонитрил); лактат милринона; ингибиторы триптазы, описанные в патенте США 5525623, который включен в настоящее описание изобретения в качестве ссылки; антагонисты рецепторов тахикинина, описанные в патентах США  5691336, 5877191, 5929094, 5750549 и 5780467, которые включены в настоящее описание изобретения в качестве ссылки; антагонисты рецепторов лейкотриена, такие как монтелукаст-натрий (Singular , мононатриевая соль R-(E)-1[[[1-[3-[2-(7-хлор-2-хинолинил)этенил]фенил]-3-[2-(1-гидрокси-1-метилэтил)фенил]пропил]тио]метил]циклопропан-уксусной кислоты), ингибиторы 5-липоксигеназы, такие как зилейтон (Zyflo , Abbott Laboratories, Abbott Park, Ill.) и антитела против IgE, такие как ксолаир (рекомбинантное гуманизированное моноклональное антитело против IgE (CGP 51901; IGE 025A; rhuMAb-E25), Genentech, Inc., South San Francisco, Calif.) и местные анестетики, такие как лидокаин, N-ариламид, аминоалкилбензоат, прилокаин, этидокаин (патенты США  5510339, 5631267 и 5837713, которые включены в настоящее описание изобретения в качестве ссылки).
Настоящее изобретение относится к способам лечения, профилактики или уменьшения интенсивности одного или нескольких симптомов бронхоконстриктивных нарушений. Указанный способ далее включает введение одного или нескольких лекарственных средств (а), (b), (c) или (d): (а) агонист В2-адренорецепторов; (b) агонист рецепторов допамина (D2); (c) профилактическое лекарственное средство, такое как стероид, или (d) антихолинергическое средство, которые вводят одновременно, до или после введения композиции по настоящему изобретению.
В соответствии с разными вариантами осуществления настоящего изобретения комбинации могут быть получены разными способами:
1) смешивание готовых к применению растворов 2-агониста, такого как левалбутерол, или антихолинергического средства, такого как бромид ипатропия, с готовым к применению раствором кортикостероида в SAE-CD;
2) смешивание готовых к применению растворов 2-агониста или антихолинергического средства с концентрированным раствором кортикостероида, растворенного с использованием SAE-CD;
3) смешивание готового к применению раствора 2-агониста или антихолинергического средства по существу с сухим SAE-CD и по существу с сухим кортикостероидом;
4) смешивание готового к применению раствора 2-агониста или антихолинергического средства по существу с сухой смесью SAE-CD и кортикостероида или, что удобнее, с предварительно отмеренным количеством смеси в стандартной емкости, такой как капсула (введение содержимого капсулы в готовый к применению раствор);
5) смешивание готового к применению раствора кортикостероида, такого как будесонид, по существу с сухим 2-агонистом длительного или кратковременного действия и/или по существу с сухим антихолинергическим средством, таким как бромид ипатропия или бромид тиотропия;
6) растворение по существу сухого 2-агониста и/или по существу сухого антихолинергического средства и по существу сухого SAE-CD вместе по существу с сухим кортикостероидом.
Специалистам в данной области должно быть хорошо понятно, что вышеуказанные растворы или порошки могут необязательно содержать другие ингредиенты, такие как буферы, регуляторы тонуса, антимикробные средства, добавки или другие наполнители, описанные в настоящем изобретении или применяемые в настоящее время в жидких ингаляционных композициях для улучшения подачи распылителем лекарственного средства.
Дозирование и введение терапевтических средств, описанных в настоящем изобретении, обычно выполняют в соответствии с указаниями, приведенными в настольном справочнике врача, 55-е издание (Thompson Healthcare, Montvale, NJ, 2005), который включен в настоящее описание изобретения в качесте ссылки.
Бронхоконстриктивное нарушение, подлежащее лечению или профилактике, или его симптомы, интенсивность которых должна быть уменьшена, ассоциированы с астмой, которая включает, не ограничиваясь ими, бронхиальную астму, аллергическую астму и наследственную астму, например позднюю астму и повышенную чувствительность дыхательных путей; и в вариантах осуществления изобретения, относящихся к использованию антихолинергического средства, с другими хроническими обструктивными заболеваниями легких (COPD), которые включают, не ограничиваясь ими, хронический бронхит, эмфизему и cor pulmonale (заболевание сердца, которое является вторичным по отношению к заболеванию легких и органов дыхания), обусловленное легочной гипертензией, гипертрофией правого желудочка и правожелудочковой недостаточностью. COPD часто бывает обусловлено курением, инфекциями, загрязнением окружающей среды и бытовой пылью.
Срок хранения композиции по настоящему изобретению равен не менее чем 6 месяцам. В данном случае срок хранения определяется только с точки зрения увеличения образования побочных продуктов разрушения будесонида или уменьшения количества будесонида в композиции. Например, композиция со сроком хранения, равным по крайней мере шести месяцам, не будет характеризоваться неприемлемым и значительным увеличением количества продуктов разложения в течение всего срока хранения, равного по крайней мере шести месяцам. Критерии для приемлемого срока хранения определяются в соответствии с требованиями, предъявляемыми к данному продукту и его устойчивости во время хранения. Другими словами, количество продуктов разрушения в композиции с приемлемым сроком хранения не будет превышать заранее определенное значение на протяжении всего предполагаемого срока хранения. С другой стороны, количество продуктов разрушения в композиции с неприемлемым сроком хранения будет превышать заранее определенное значение в течение предполагаемого срока хранения.
Устойчивость будесонида в растворе определяли способом по примеру 3. Срок хранения был определен как время потери 10% активности. В условиях испытания утрата активности представляла величину первого порядка. Срок хранения раствора для ингаляции будесонида Captisol-Enabled® (раствор, содержащий будесонид и SBE7- -CD) превышает примерно 3 года при рН 4-5, то есть составляет примерно 90 месяцев при рН 4,0 и примерно 108 месяцев при рН 5,0 без необходимости добавления любых других стабилизаторов, таких как EDTA, в воде в присутствии примерно 5% мас./об. SAE-CD. Установленный срок хранения больше срока, указанного Оттербеком (патент США 5914122; до шести недель при рН 4,0-6,0 в воде в присутствии EDTA, НР- -CD и других добавок).
Авторы настоящего изобретения также обнаружили, что SAE-CD может стабилизировать изомеры будесонида в разной степени. Исследование по выявлению способности SBE7- -CD стабилизировать растворы будесонида и предпочтительно один изомер было выполнено в соответствии с примером 13. На фигуре 11 изображен полулогарифмический график процентного значения исходной концентрации в каждый период времени для образцов, хранившихся при 60°С. Утрата будесонида представляла величину первого порядка при каждой температуре. В приведенной ниже таблице показаны константы скорости разложения псевдопервого порядка, вычисленные для каждого изомера при 60°С и 80°С.
| Константа скорости разложения псевдопервого порядка (ч-1) |
| Температура 60°С |
| рН |
Константа скорости для R-изомера |
Соотношение для R-изомеров с/без каптизола |
Константа скорости для S-изомера |
Соотношение для S-изомеров с/без каптизола |
Соотношение констант скорости для R/S |
| 4 с каптизолом |
0,000597 |
0,547 |
0,00012 |
0,323 |
5,06 |
| 4 без каптизола |
0,00109 |
0,0037 |
2,99 |
| 6 с каптизолом |
0,001661 |
0,385 |
0,000361 |
0,193 |
4,60 |
| 6 без каптизола |
0,00432 |
0,001872 |
2,31 |
| Константа скорости разложения псевдопервого порядка (ч-1) |
| Температура 80°С |
| рН |
Константа скорости для R-изомера |
Соотношение для R-изомеров с/без каптизола |
Константа скорости для S-изомера |
Соотношение для S-изомеров с/без каптизола |
Соотношение констант скорости для R/S |
| 4 с каптизолом |
0,002250 |
0,607 |
0,000644 |
0,491 |
3,49 |
| 4 без каптизола |
0,003704 |
0,00131 |
2,83 |
| 6 с каптизолом |
0,00732 |
0,529 |
0,00254 |
0,384 |
2,88 |
| 6 без каптизола |
0,0138 |
0,00661 |
2,09 |
SBE7- -CD стабилизировал R- и S-изомеры будесонида в растворах при рН 4 и 6. Соотношение констант скорости разложения с/без каптизола было гораздо меньше 1 при всех температурах. SBE7- -CD оказывал большее влияние на устойчивость R- и S-изомеров при рН 6, чем при рН 4. При данной температуре соотношение констант скорости разложения с/без SBE7- -CD было меньше при рН 6, чем при рН 4. Хотя SBE7- -CD стабилизировал оба изомера, S-изомер, по-видимому, был стабилизирован в большей степени, чем R-изомер. При всех испытанных температурах и значениях рН соотношение констант скорости разложения с/без SBE7- -CD было меньше для S-изомера. Степень стабилизации, обеспечиваемая SBE7- -CD, при 60°С была выше, чем при 80°С. Еще большую степень стабилизации следует ожидать при 40°С и/или при комнатной температуре (20-30°С).
Образцы вышеуказанных растворов также помещали в камеру с люминесцентными лампами. Пробирки периодически удаляли и анализировали содержание будесонида. На фигуре 12 изображен полулогарифмический график процентного содержания будесонида по сравнению с исходным значением в зависимости от воздействия света (интенсивность света × время). Как показано в приведенной ниже таблице, SBE7- -CD значительно уменьшал фоторазложение будесонида. Утрата будесонида представляла величину первого порядка и не зависела от значения рН.
| Светостойкость будесонида |
| Константа скорости разложения псевдопервого порядка (часы-1) |
 |
рН 4 |
рН 6 |
| С каптизолом |
0,0585 |
0,0562 |
| Без каптизола |
0,0812 |
0,0822 |
Композиция по настоящему изобретению может быть получена в виде набора, предназначенного для создания ингалируемого раствора для распыления. Указанный набор должен включать кортикостероид, SAE-CD, водный носитель и необязательно один или несколько других компонентов. Кортикостероид и SAE-CD могут находиться вместе или отдельно в твердой, суспендированной или растворенной форме. После смешивания SAE-CD с кортикостероидом в присутствии водного носителя твердые вещества растворяются с образованием ингалируемого раствора для распыления вместо суспензии. Каждый компонент может находиться в отдельной емкости или вместе с другим компонентом. Например, SAE-CD может находиться в водном растворе, в то время как будесонид может представлять собой сухое твердое вещество или суспензию. Альтернативно SAE-CD может быть в сухой форме, и будесонид может представлять собой водную суспензию, например, PULMICORT RESPULES . Указанный набор может включать смесь твердого производного циклодекстрина и твердого кортикостероида и необязательно по крайней мере одного твердого фармацевтического наполнителя, в которой основная часть активного агента не образует комплекс с производным циклодекстрином до восстановления смеси в водном носителе. Альтернативно указанная композиция может включать твердую смесь, содержащую комплекс включения производного циклодекстрина и активного агента, в которой основная часть активного агента образует комплекс с производным циклодекстрином до восстановления твердой смеси в водном носителе. В зависимости от температуры хранения набора водный носитель может представлять собой жидкость или замороженное твердое вещество. В одном варианте осуществления изобретения в наборе отсутствует водный носитель во время хранения, при этом водный носитель добавляют к SAE-CD и кортикостероиду до применения с образованием раствора для распыления. Кортикостероид и SAE-CD могут образовывать комплекс и присутствовать в водной концентрированной форме до добавления водного носителя, который добавляют позже для доведения раствора до требуемого объема, вязкости и концентрации, необходимых для распыления. Восстанавливаемая композиция может быть получена любым из нижеследующих способов. Сначала получают жидкую композицию по настоящему изобретению, которую затем превращают в твердое вещество лиофилизацией (сушкой вымораживанием), распылительной сушкой, распылительной сушкой вымораживанием, осаждением веществом, защищающим от растворения, разными способами с использованием сверхкритических или почти сверхкритических жидкостей или другими методами, известными специалистам в данной области, с образованием твердого вещества, предназначенного для восстановления.
Жидкий носитель, входящий в состав композиции по настоящему изобретению, включает водный жидкий носитель, такой как вода, водный раствор спирта или водный раствор органического растворителя.
Композиция по настоящему изобретению может необязательно включать обычный консервант, антиоксидант, буфер, подкислитель, подщелачиватель, краситель, усилитель растворимости, усилитель комплексообразования, электролит, глюкозу, стабилизатор, модификатор тонуса, наполнитель, противовспениватель, масло, эмульгатор, криопротектор, пластификатор, ароматизаторы, подсластители, модификатор поверхностного натяжения, модификатор вязкости, модификатор плотности, модификатор летучести и другие наполнители, которые, как известно специалистам в данной области, применяются в консервированных композициях или в их комбинации.
В используемом здесь значении термин подщелачиватель означает соединение, используемое для создания щелочной среды, необходимой для стабилизации продукта. Такие соединения включают в качестве примера, не ограничиваясь ими, раствор аммиака, карбонат аммония, диэтаноламин, моноэтаноламин, гидроксид калия, борат натрия, карбонат натрия, бикарбонат натрия, гидроксид натрия, триэтаноламин, диэтаноламин, органическое основание амина, щелочные аминокислоты, троламин и другие соединения, известные специалистам в данной области.
В используемом здесь значении термин подкислитель означает соединение, используемое для создания кислотной среды, необходимой для стабилизации продукта. Такие соединения включают в качестве примера, не ограничиваясь ими, уксусную кислоту, кислые аминокислоты, лимонную кислоту, фумаровую кислоту и другие альфа-оксикислоты, хлористоводородную кислоту, аскорбиновую кислоту, фосфорную кислоту, серную кислоту, винную кислоту, азотную кислоту и другие соединения, известные специалистам в данной области.
Введение обычного консерванта в ингаляционную композицию в виде раствора является необязательным, так как указанная композиция самосохраняется благодаря SAE-CD в зависимости от его концентрации в растворе. Тем не менее, при желании в композицию может быть введен обычный консервант. Консерванты могут быть использованы для подавления роста микробов в композициях. Количество консерванта должно быть достаточным для предотвращения роста микробов в композиции при хранении в течение по крайней мере шести месяцев. В используемом здесь значении термин обычный консервант означает соединение, используемое по крайней мере для уменьшения скорости роста микробов, которое предпочтительно сохраняет их число на постоянном уровне или сокращает после загрязнения. Такие соединения включают в качестве примера, не ограничиваясь ими, хлорид бензалкония, хдорид бензетония, бензойную кислоту, бензиловый спирт, хлорид цетилпиридиния, хлорбутанол, фенол, фенилэтиловый спирт, нитрат фенилртути, ацетат фенилртути, тимерозал, метакрезол, хлорид миристилгамма-пиколиния, бензоат калия, сорбат калия, бензоат натрия, пропионат натрия, сорбиновую кислоту, тимол, метил-, этил-, пропил- или бутилпарабены и другие соединения, известные специалистам в данной области.
В используемом здесь значении термин антиоксидант означает агент, который ингибирует окисление и, таким образом, используется для предотвращения ухудшения качества препаратов вследствие окисления. Такие соединения включают в качестве примера, не ограничиваясь ими, ацетон, метабисульфит калия, сульфит калия, аскорбиновую кислоту, аскорбилпальмитат, лимонную кислоту, бутилированный гидроксианизол, бутилированный гидрокситолуол, гипофосфористую кислоту, монотиоглицерин, пропилгаллат, аскорбат натрия, цитрат натрия, сульфид натрия, сульфит натрия, бисульфит натрия, формальдегидсульфоксилат натрия, тиогликолевую кислоту, EDTA, пентетат, метабисульфит натрия и другие соединения, известные специалистам в данной области.
В используемом здесь значении термин буфер означает соединение, препятствующее изменению значения рН при разведении или добавлении кислоты или щелочи. Буферы используются в композициях по настоящему изобретению для доведения рН до около 2-8, до около 3-7 или до около 4-5. Такие соединения включают в качестве примера, не ограничиваясь ими, уксусную кислоту, ацетат натрия, адипиновую кислоту, бензойную кислоту, бензоат натрия, борную кислоту, борат натрия, лимонную кислоту, глицин, малеиновую кислоту, фосфат одноосновного натрия, фосфат двухосновного натрия, HEPES, молочную кислоту, винную кислоту, метафосфат калия, фосфат калия, ацетат одноосновного натрия, бикарбонат натрия, трис, тартрат натрия, безводный цитрат натрия, дигидрат цитрата натрия и другие соединения, известные специалистам в данной области. Другие буферы включают смесь лимонной кислоты/фосфата, ацетат, барбитал, борат, буфер Бриттона-Рорбинсона, какодилат, цитрат, коллидин, формиат, малеат, моллваин, фосфат, буфер Придекса-Варда, сукцинат, цитрат-фосфат-борат (буфер Теорелла-Стангагена), ацетат веронала,
MES (2-(N-морфолино)этансульфоновая кислота),
BIS-TRIS (бис(2-гидроксиэтил)имино-трис(гидроксиметил)метан),
ADA (N-(2-ацетамидо)-2-иминодиуксусная кислота),
ACES (N-(карбамоил-метил)-2-аминоэтансульфоновая кислота),
PIPES (пиперазин-N,N’-бис-(2-этансульфоновая кислота)),
MOPSO (3-(N-морфолино)-2-гидрокси-пропансульфоновая кислота),
BIS-TRIS PROPANE (1,3-бис(трис-(гидроксиметил)метиламино)пропан),
BES (N,N-бис(2-гидроксиэтил)-2-аминоэтансульфоновая кислота),
MOPS (3-(N-морфолино(пропан-сульфоновая кислота),
TES (N-трис(гидроксиметил)метил)-2-амино-этансульфоновая кислота),
HEPES (N-(2-гидроксиэтил)пиперазин-N’-(2-этансульфоновая кислота),
DIPSO (3-(N,N-бис(2-гидроксиэтил)-амино)-2-гидроксипропансульфоновая кислота),
MOBS (4-(N-морфолино)-бутансульфоновая кислота),
TAPSO (3-(N-трис(гидроксиметил)метил-амино)-2-гидроксипропансульфоновая кислота),
TRIZMA (трис(гидрокси-метиламинометан), HEPPSO (N-(2-гидроксиэтил)пиперазин-N’-(2-гидроксипропансульфоновая кислота),
POPSO (пиперазин-N,N’-бис(2-гидроксипропансульфоновая кислота)),
ТЕА (триэтаноламин),
EPPS (N-(2-гидроксиэтил)пиперазин-N’-(3-пропансульфоновая кислота),
TRICINE (N-трис(гидроксиметил)метилглицин),
GLY-GLY (глицилглицин),
BICINE (N,N-бис(2-гидроксиэтил)глицин),
HEPBS (N-(2-гидроксиэтил)-пиперазин-N’-(4-бутансульфоновая кислота)),
TAPS (N-трис-(гидроксиметил)метил-3-аминопропансульфоновая кислота),
AMPD (2-амино-2-метил-1,3-пропандиол) и/или любые другие буферы, известные специалистам в данной области.
В композицию по настоящему изобретению может быть добавлен усилитель комплексообразования. При наличии такого агента может измениться соотношение циклодекстрина/активного агента. Усилителем комплексообразования является одно или несколько соединений, которые усиливают образование комплекса активного агента с циклодекстрином. Приемлемые усилители комплексообразования включают один или несколько фармакологически инертных водорастворимых полимеров, оксикислоты и другие органические соединения, обычно используемые в жидких композициях для усиления образования комплекса определенного агента с циклодекстринами.
Для улучшения характеристик композиций, содержащих циклодекстрин, в качестве усилителей комплексообразования, усилителей растворимости и/или агентов, уменьшающих активность воды, могут быть использованы гидрофильные полимеры. Лофтссон описал ряд полимеров, пригодных для совместного использования с циклодекстрином (непроизводным или производным) для улучшения его характеристик и/или свойств. Приемлемые полимеры описаны в публикациях Pharmazie (2001), 56(9), 746-747; International Journal of Pharmaceutics (2001), 212(1), 29-40; Ciclodextrin: From Basic Research to Market, International Ciclodextrin Symposium, 10th, Ann Arbor, MI, United States, May 21-24, 2000(2000), 10-15 (Wacker Biochem Corp.: Adrian, Mich.); PCT International Publication WO 9942111; Pharmazie, 53(11), 733-740 (1998); Pharm. Technol. Eur., 9(5), 26-34 (1997); J. Pharm. Sci 85(10), 1017-1025 (1996); European Patent Application EP0579435; Proceedings of the International Symposium on Ciclodextrins, 9th, Santiago de Comostela, Spain, May 31 -June 3, 1998 (1999), 261-264 (Editor(s): Labandeira, J.J. Torres; Vila-Jato, J.L. Kluwer Academic Publishers, Dordrecht, Neth); S.T.P. Pharma Sciences (1999), 9(3), 237-242; ACS Symposium Series (1999), 737 (Polysaccharide Applications), 24-45; Pharmaceutical Research (1998), 15(11), 1696-1701; Drug Development and Industrial Pharmacy (1998), 24(4), 365-370; International Journal of Pharmaceutics (1998), 163(1-2), 115-121; Book of Abstracts, 216th ACS National Meeting, Boston, August 23-27 (1998), CELL-016, American Chemical Society; Journal of Controlled Release, (1997), 44/1 (95-99); Pharm. Res. (1997) 14(11), S203; Investigative Ophthalmology & Visual Science, (1996), 37(6), 1199-1203; Proceedings of the International Symposium on Controlled Release of Bioactive Materials (1996), 23rd, 453-454; Drug Development and Industrial Pharmacy (1996), 22(5), 401-405; Proceedings of the International Symposium on Ciclodextrins, 8th, Budapest, Mar. 31-Apr. 2, (1996), 373-376. (Editor(s): Szejtli, J.; Szente, L. Kluwer: Dordrecht, Neth.); Pharmaceutical Sciences (1996), 2(6) 277-279; European Journal of Pharmaceutical Sciences, (1996) 4(SUPPL.), S144; Third European Congress of Pharmaceutical Sciences Edinburgh, Scotland, UK September 15-17, 1996; Pharmazie, (1996), 51(1), 39-42; Eur. J. Pharm. Sci. (1996), 4(Suppl.), S143; U.S. Patents 5472954 and 5324718; International Journal of Pharmaceutics (Netherlands), (Dec. 29, 1995) 126, 73-78; Abstracts of Papers of the American Chemical Society, (02 APR 1995) 209(1), 33-CELL; European Journal of Pharmaceutical Sciences, (1994) 2, 297-301; Pharmaceutical Research (New York), (1994) 11(10), S225; International Journal of Pharmaceutics (Netherlands), (Apr. 11, 1994) 104, 181-184; and International Journal of Pharmaceutics (1994) 110(2), 169-77, которые полностью включены в настоящее описание изобретения в качестве ссылки.
Другие приемлемые полимеры являются хорошо известными наполнителями, обычно используемыми в области фармацевтических композиций, и описаны, например, в публикациях Remington’s Pharmaceutical Sciences, 18th Edition, Alfonso R. Gennaro (editor), Mack Publishing Company, Easton, PA, 1990, pp. 291-294; Alfred Martin, James Swarbrick and Arthur Commarata, Physical Pharmacy. Physical Chemical Principles in Pharmaceutical Sciences, 3rd edition (Lea & Febinger, Philadelphia, PA, 1983, pp. 592-638); A.T. Florence and D. Altwood, (Physicochemical Principles of Pharmacy, 2nd Edition, MacMillan Press, London, 1988, pp. 281-334. Вышеуказанные публикации полностью включены в настоящее описание изобретения в качестве ссылки. Другие приемлемые полимеры включают водорастворимые природные полимеры, водорастворимые полусинтетические полимеры (такие как водорастворимые производные целлюлозы) и водорастворимые синтетические полимеры. Природные полимеры включают полисахариды, такие как инулин, пектин, производные альгина (например, альгинат натрия), агар и полипептиды, такие как казеин и желатин. Полусинтетические полимеры включают производные целлюлозы, такие как метилцеллюлоза, гидроксиэтилцеллюлоза, гидроксипропилцеллюлоза, их смешанные простые эфиры, такие как гидроксипропилметилцеллюлоза, и другие смешанные простые эфиры, такие как гидроксиэтилэтилцеллюлоза и гидроксипропилэтилцеллюлоза, фталат гидроксипропилметилцеллюлозы, карбоксиметилцеллюлоза и ее соли, в частности натрий-карбоксиметилцеллюлоза. Синтетические полимеры включают полиоксиэтиленовые производные (полиэтиленгликоли), поливинильные производные (поливиниловый спирт, поливинилпирролидон и полистиролсульфонат) и разные сополимеры акриловой кислоты (например, карбомер). В объем настоящего изобретения входят также другие природные, полусинтетические и синтетические полимеры, не указанные в настоящем описании изобретения, которые удовлетворяют критериям растворимости в воде, фармацевтической приемлемости и фармакологической инертности.
Термин эмульгатор означает соединение, которое способствует образованию эмульсии. Эмульгатор может быть использован для смачивания кортикостероида и улучшения его растворения. Эмульгаторы, пригодные для использования в настоящем изобретении, включают, не ограничиваясь ими, сложные эфиры жирных кислот полиоксиэтиленсорбита или полисорбаты, которые включают, не ограничиваясь ими, моноолеат полиэтиленсорбита (полисорбат 80), полисорбат 20 (монолаурат полиоксиэтилен(20)сорбита, полисорбат 65 (тристеарат полиоксиэтилен(20)сорбита), моноолеат полиоксиэтилен(20)сорбита, монопальмитат полиоксиэтилен(20)сорбита, моностеарат полиоксиэтилен(20)сорбита; лецитины; альгиновую кислоту; альгинат натрия; альгинат калия; альгинат аммония; альгинат кальция; альгинат пропан-1,2-диола; агар; каррагинан; фасолевую камедь; гуаровую камедь, трагант; аравийскую камедь; ксантановую камедь; камедь карайя; пектин; амидированный пектин; фосфатиды аммония; микрокристаллическую целлюлозу; метилцеллюлозу; гидроксипропилцеллюлозу; гидроксипропилметилцеллюлозу; этилметилцеллюлозу; карбоксиметилцеллюлозу; натриевые, калиевые и кальциевые соли жирных кислот; моно- и диглицериды жирных кислот; сложные эфиры уксусной кислоты моно- и диглицеридов жирных кислот; сложные эфиры молочной кислоты моно- и диглицеридов жирных кислот; сложные эфиры лимонной кислоты моно- и диглицеридов жирных кислот; сложные эфиры винной кислоты моно- и диглицеридов жирных кислот; сложные эфиры моно- и диацетилвинной кислоты моно- и диглицеридов жирных кислот; смеси сложных эфиров уксусной и винной кислоты моно- и диглицеридов жирных кислот; сложные эфиры сахарозы жирных кислот; сукроглицериды; сложные эфиры полиглицерина жирных кислот; сложные эфиры полиглицерина поликонденсированных жирных кислот касторового масла; сложные эфиры пропан-1,2-диола жирных кислот; стеароил-2-лактилат натрия; стеароил-2-лактилат кальция; стеароилтартрат; моностеарат сорбита; тристеарат сорбита; монолаурат сорбита; моноолеат сорбита; монопальмитат сорбита; экстракт хиллайя; сложные эфиры полиглицерина димеризованных жирных кислот соевого масла; окислительно полимеризованное соевое масло и экстракт пектина.
В используемом здесь значении термин стабилизатор означает соединение, используемое для стабилизации лечебного средства в отношении физического, химического или биохимического процесса, который может уменьшить терапевтическую активность указанного средства. Приемлемые стабилизаторы включают в качестве примера, не ограничиваясь ими, альбумин, сиаловую кислоту, креатинин, глицин и другие аминокислоты, ниацинамид, ацетилтриптофонат натрия, оксид цинка, сахарозу, глюкозу, лактозу, сорбит, маннит, глицерин, полиэтиленгликоли, каприлат натрия, натриевый сахарин и другие соединения, известные специалистам в данной области.
В используемом здесь значении термин модификатор тонуса означает одно или несколько соединений, способных регулировать тонус жидкой композиции. Приемлемые модификаторы тонуса включают глицерин, лактозу, маннит, декстрозу, хлорид натрия, сульфат натрия, сорбит, трегалозу и другие соединения, известные специалистам в данной области. Другие модификаторы тонуса включают как неорганические, так и органические регуляторы тонуса. Модификаторы тонуса включают, не ограничиваясь ими, карбонат аммония, хлорид аммония, лактат аммония, нитрат аммония, фосфат аммония, сульфат аммония, аскорбиновую кислоту, натриевый тартрат висмута, борную кислоту, хлорид кальция, динатрийэдетат кальция, глюконат кальция, лактат кальция, лимонную кислоту, декстрозу, диэтаноламин, диметилсульфоксид, динатрийэдетат, моногидрат тринатрийэдетата, флуоресцеин-натрий, фруктозу, галактозу, глицерин, молочную кислоту, лактозу, хлорид магния, сульфат магния, маннит, полиэтиленгликоль, ацетат калия, хлорат калия, хлорид калия, иодид калия, нитрат калия, фосфат калия, сульфат калия, пропиленгликоль, нитрат серебра, ацетат натрия, бикарбонат натрия, бифосфат натрия, бисульфит натрия, борат натрия, бромид натрия, какодилат натрия, карбонат натрия, хлорид натрия, цитрат натрия, иодид натрия, лактат натрия, метабисульфит натрия, нитрат натрия, нитрит натрия, фосфат натрия, пропионат натрия, сукцинат натрия, сульфат натрия, сульфит натрия, тартрат натрия, тиосульфат натрия, сорбит, сахарозу, винную кислоту, триэтаноламин, мочевину, уретан, уридин и сульфат цинка. В одном варианте осуществления изобретения тонус жидкой композиции приближается к тонусу тканей дыхательных путей.
В указанных композициях может быть использован осмотический агент для более комфортной доставки субъекту кортикостероидной композиции. Осмотические агенты можно добавлять для регулирования тонуса растворов, содержащих SAE-CD. Осмотическая концентрация раствора относится к концентрации SAE-CD в воде. При концентрациях SBE7- -CD ниже примерно 11-13% мас./об. растворы являются гипотоническими или гипоосмотическими по отношению к крови, и при концентрациях SBE7- -CD выше примерно 11-13% мас./об. растворы, содержащие SBE7- -CD, являются гипертоническими или гиперосмотическими по отношению к крови. Под воздействием гипотонических или гипертонических растворов эритроциты могут сжиматься или расширяться, что может привести к гемолизу. Как было отмечено выше и показано на фигуре 1, SBE-CD в меньшей стемени индуцирует гемолиз по сравнению с другими производными циклодекстринами. Приемлемые осмотические агенты включают любые низкомолекулярные водорастворимые вещества, признанные фармацевтически пригодными для доставки в легкие и нос, такие как хлорид натрия, лактоза и глюкоза. Композиция по настоящему изобретению может также содержать биологические соли, хлорид калия или другие электролиты.
В используемом здесь значении термин противовспениватель означает одно или несколько соединений, которые предотвращают или уменьшают образование пены на поверхности жидкой композиции. Приемлемые противовспениватели включают диметикон, симетикон, октоксинол, этанол и другие соединения, известные специалистам в данной области.
В используемом здесь значении термин наполнитель означает соединение, используемое для увеличения объема лиофилизованного продукта и/или регулирования свойств композиции во время лиофилизации. Такие соединения включают в качестве примера, не ограничиваясь ими, декстран, трегалозу, сахарозу, поливинилпирролидон, лактозу, инозит, сорбит, диметилсульфоксид, глицерин, альбумин, лактобионат кальция и другие соединения, известные специалистам в данной области.
В используемом здесь значении термин криопротектор означает соединение, используемое для защиты активного лечебного средства от физического или химического разрушения во время лиофилизации. Такие соединения включают в качестве примера, не ограничиваясь ими, диметилсульфоксид, глицерин, трегалозу, пропиленгликоль, полиэтиленгликоль и другие соединения, известные специалистам в данной области.
К композиции по настоящему изобретению может быть добавлен усилитель растворимости. Усилитель растворимости представляет собой одно или несколько соединений, которые повышают растворимость активного агента в жидкой композиции. При наличии такого агента может изменяться соотношение циклодекстрина/активного агента. Приемлемые усилители растворимости включают органические растворители, детергенты, мыла, поверхностно-активные вещества и другие органические соединения, обычно используемые в композициях для парентерального введения для повышения растворимости определенного агента.
Приемлемые органические растворители, которые могут быть использованы в композиции по настоящему изобретению, включают, например, этанол, глицерин, полиэтиленгликоли, пропиленгликоль, полоксомеры и другие соединения, известные специалистам в данной области.
Совершенно очевидно, что соединения, используемые в области получения фармацевтических композиций, служат для выполнения разных функций или достижения разных целей. Таким образом, если соединение, указанное в настоящем описании изобретения, названо только один раз или использовано в определении нескольких терминов, назначение или функция данного соединения не должны ограничиваться только упомянутыми целями или функциями.
Активный агент, входящий в состав композиции по настоящему изобретению, может присутствовать в виде его фармацевтически приемлемой соли. В используемом здесь значении термин фармацевтически приемлемая соль означает производные описанных соединений, в которых активный агент модифицирован в результате взаимодействия с кислотой или основанием, необходимым для образования пары, связанной ионной связью. Примеры фармацевтически приемлемых солей включают обычные нетоксичные соли или соли четвертичного аммония исходного соединения, образованные, например, из нетоксичных неорганических или органических кислот. Приемлемыми нетоксичными солями являются соли, полученные из неорганических кислот, таких как хлористоводородная, бромистоводородная, серная, сульфоновая, сульфаминовая, фосфорная, азотная и другие кислоты, известные специалистам в данной области, и соли, полученные из органических кислот, таких как аминокислоты, уксусная, пропионовая, янтарная, гликолевая, стеариновая, молочная, яблочная, винная, лимонная, аскорбиновая, памовая, малеиновая, гидроксималеиновая, фенилуксусная, глутаминовая, бензойная, салициловая, сульфаниловая, 2-ацетоксибензойная, фумаровая, толуолсульфоновая, метансульфоновая, этандисульфоновая, щавелевая, изэтионовая и другие кислоты, известные специалистам в данной области. Фармацевтически приемлемые соли по настоящему изобретению можно синтезировать из исходного активного агента, содержащего основную или кислотную часть, известными химическими методами. Перечни других приемлемых солей приведены в публикации Remington’s Pharmaceutical Sciences, 17th ed., Mack Publishing Company, Easton, PA, 1985, которая включена в настоящее описание изобретения в качестве ссылки.
Фраза фармацевтически приемлемый использована в настоящем описании изобретения для обозначения соединений, веществ, композиций и/или лекарственных форм, которые с медицинской точки зрения пригодны для использования в соприкосновении с тканями человека и животных, не вызывая при этом чрезмерной токсичности, раздражения, аллергической реакции и других проблем или осложнений при обоснованном соотношении пользы/риска.
В используемом здесь значении термин больной или субъект означает теплокровных животных, таких как млекопитающие, например кошки, собаки, мыши, морские свинки, лошади, крупный рогатый скот, овцы и человек.
Композиция по настоящему изобретению содержит активный агент в эффективном количестве. Термин эффективное количество означает такое количество активного агента, которое является достаточным для возбуждения требуемой или желаемой реакции, или, другими словами, количество, достаточное для возбуждения требуемой биологической реакции при введении субъекту.
С учетом приведенного выше описания и нижеследующих примеров специалист в данной области может осуществить данное изобретение на практике без ненужного экспериментирования. Приведенное выше описание станет более понятным при обращении к нижеследующим примерам, в которых подробно описаны некоторые способы получения композиций по настоящему изобретению. Все ссылки на указанные примеры сделаны только в целях иллюстрации. Нижеследующие примеры не ограничивают объем изобретение, а лишь иллюстрируют некоторые из многочисленных вариантов осуществления настоящего изобретения.
Пример 1
Типичные композиции по настоящему изобретению были получены нижеследующими общими способами.
Способ А
Циклодекстрин растворяют в воде (или буфере) с образованием раствора, содержащего циклодекстрин в известной концентрации. Полученный раствор смешивают с активным агентом в виде твердого вещества, суспензии, геля, жидкости, пасты, порошка или в другой форме при перемешивании необязательно в условиях нагревания, получая при этом раствор для ингаляции.
Способ В
Известное количество по существу сухого циклодекстрина смешивают с известным количеством по существу сухого активного агента. К полученной смеси при перемешивании добавляют жидкость с образованием суспензии, геля, раствора, сиропа или пасты необязательно в условиях нагревания и необязательно в присутствии одного или нескольких других наполнителей, получая при этом раствор для ингаляции.
Способ С
Известное количество по существу сухого циклодекстрина при перемешивании добавляют к суспензии, гелю, раствору, сиропу или пасте, содержащей известное количество активного агента, необязательно в условиях нагревания и необязательно в присутствии одного или нескольких наполнителей, получая при этом раствор для ингаляции.
Способы, описанные в данном примере, могут быть модифицированы путем введения в композицию смачивающего вещества для облегчения растворения и последующего образования комплекса включения кортикостероида. В качестве смачивающего вещества можно использовать поверхностно-активное вещество, мыло, детергент или эмульгатор.
Пример 2
MMD распыляемых растворов, содержащих SBE7- -CD и будесонид, определяли следующим образом.
Получали индифферентные растворы трех разных циклодекстринов в разных концентрациях. Два мл полученных растворов добавляли в чашку распылителя Pari LC Plus, в который подавали воздух с помощью компрессора Pari Proneb Ultra. Размер образующихся капель определяли с помощью лазерного устройства рассеяния света компании Malvern Mastersizer S.
Пример 3
Устойчивость жидких композиций, содержащих SAE-CD, определяли при помощи ВЭЖХ аликвот, которые периодически отбирали из хранящейся жидкости.
Растворы цитратно-фосфатного буфера (McIlvaines) с рН 4, 5, 6, 7 или 8 получали, смешивая в разных пропорциях 0,01 М лимонной кислоты с 0,02 М Na2HPO4. Указанные исходные растворы содержали 5% мас./мас. каптизола. В каждом буферном растворе растворяли примерно 250 мкг/мл будесонида. Аликвоты растворов хранили при 40°С, 50°С и 60°С. Контрольные образцы хранили при 5°С, но результаты исследования контрольных образцов не приведены в настоящем описании изобретения. Анализ образцов методом ВЭЖХ выполняли в начале хранения и через 1, 2 и 3 месяца хранения.
ВЭЖХ выполняли в нижеследующих условиях:
| Устройство: |
РЕ серии 200 |
| Колонка: |
Phenomenex Luna C18(2) 4,6×150 мм 3 мкм |
| Подвижная фаза: |
58% фосфатного буфера, рН 3,4, 39,5% ACN и 2,5% МеОН |
| Программа подвижной фазы: |
100% А (изократическая) |
| Длина волны: |
240 |
| Скорость потока: |
0,6 мл/мин |
| Диапазон эталонов: |
Семь эталонов – от 1 до 500 мкг/мл |
Пример 4
Вязкость водных растворов, содержащих SAE-CD, измеряли плоскоконическим вискозиметром.
Программируемый реометр DV-III+ компании Brookfield, конический СРЕ-40 и плоский СРЕ 40Y (Brookfield Engineering Laboratories, Middleboro, MA), использовали для измерения 0,5 мл образцов со скоростью вращения 1, 2, 3, 5 и 10 оборотов/мин. Образцы подвергали воздействию сдвигающего усилия на протяжении примерно 5 вращений до выполнения каждого измерения. Благодаря этому было произведено точное реологическое исследование образцов. Температура всех образцов была уравновешена в пределах 25±1°С с использованием двухстенного конического вискозиметра, в который подавали воду из термостатической водяной бани с циркуляцией воды и электронным контролем (модель 8001, Ficher Scientific, Pittsburg, PA). Указанный вискозиметр был калиброван на уровне 5 и 50 сантипауз с использованием калибровочных эталонов в виде силиконового масла. Измерения вязкости производили при скоростях вращения, равных 5 или более оборотам/мин, для выявления разжижения под воздействием сдвигающего усилия (величины вязкости, которые уменьшаются при увеличении скорости сдвига). Более высокие скорости вращения вызывают увеличение скоростей сдвига.
Пример 5
Скорость подачи распылителя в зависимости от концентрации SAE-CD измеряли нижеследующим общим способом.
Скорость подачи распылителя измеряли в распылителе Pari LC Plus, оснащенном воздушным компрессором Pari ProNeb Ultra (минимальный объем распылителя = 2 мл, максимальный объем распылителя = 8 мл), для растворов, содержащих 43%, 21,5%, 10,75% и 5,15% мас./мас. SBE7- -CD. Процентное значение распыленного образца определяли гравиметрическим методом. Чашку распылителя взвешивали до и после распыления. Время распыления определяли начиная с момента включения распылителя и кончая первым распылением. Скорость подачи распылителя высчитывали путем деления % распыленного раствора на время распыления.
Пример 6
Получение раствора для ингаляции, содержащего будесонид.
Получали буферный раствор, содержащий 3 мМ цитратного буфера и 82 мМ NaCl при рН 4,45. В 250 мл мерную колбу вводили ~12,5 грамма каптизола (CAPTISOL). В ту же колбу вводили ~62,5 мг будесонида. Содержимое колбы доводили до требуемого объема, добавляя 3 мМ цитратного буфера/82 мМ раствора NaCl. Содержимое колбы хорошо перемешивали в вихревом смесителе в течение 10 минут и обрабатывали ультразвуком в течение 10 минут. Содержимое колбы перемешивали магнитной мешалкой на протяжении выходных дней в конце недели. Перемешивание прекращали через ~62 часа и содержимое колбы вторично подвергали вихревому перемешиванию и ультразвуковой обработке, выполняя каждую операцию в течение 10 минут. Раствор фильтровали через 0,22 мкм фильтр-насадку для шприца Durapore Millex-GV Millipore. Несколько первых капель удаляли и остальную часть раствора фильтровали в сосуд из желтого стекла с завинчивающейся крышкой с тефлоновой прокладкой. Концентрация образца была равна ~237 мкг/мл.
Пример 7
Получение раствора для ингаляции, содержащего будесонид.
Примерно 5 граммов каптизола (CAPTISOL) вводили в 100 мл мерную колбу. В ту же колбу вводили ~26,3 мг будесонида. Содержимое колбы доводили до требуемого объема, добавляя 3 мМ цитратного буфера/82 мМ раствора NaCl. Смесь хорошо перемешивали в вихревом смесителе в течение 10 минут и обрабатывали ультразвуком в течение 10 минут. Смесь перемешивали магнитной мешалкой в течение ночи. Перемешивание прекращали через ~16 часов и содержимое колбы снова подвергали вихревому перемешиванию и ультразвуковой обработке, выполняя каждую операцию в течение 10 минут. Раствор фильтровали через 0,22 мкм фильтр-насадку для шприца Durapore Millex-GV Millipore. Первые 5 капель удаляли и остальную часть раствора фильтровали в сосуд из желтого стекла с завинчивающейся крышкой с тефлоновой прокладкой. По результатам анализа образец содержал 233 мкг будесонида/мл.
Пример 8
Получение раствора для ингаляции, содержащего будесонид.
Выполняли способ по примеру 7 за исключением того, что было использовано 12,5 г каптизола, 62,5 мг будесонида и около 250 мл буфера. Добавляли достаточное количество динатрий-EDTA для получения раствора с концентрацией EDTA, равной примерно 0,01 или 0,05% мас./об. EDTA.
Пример 9
Получение раствора, содержащего SAE-CD и будесонид, из суспензии PULMICORT RESPULES.
Способ А
К содержимому одного или нескольких баллонов Pulmicort Respules (номинально 2 мл суспензии) добавляли 50 мг (с поправкой на содержание воды) каптизола на 1 мл Respule и хорошо смешивали или встряхивали в течение нескольких минут. После выстаивания в течение периода времени от около 30 минут до нескольких часов раствор использовали, как есть, для исследования in vitro. Помимо будесонида и воды PULMICORT RESPULE (суспензия) содержит согласно маркировке также нижеследующие неактивные ингредиенты: лимонную кислоту, цитрат натрия, хлорид натрия, динатрий-EDTA и полисорбат 80.
Способ В
В 2 г желтые пробирки отвешивали примерно 200 мг каптизола (CAPTISOL) (с поправкой на содержание воды). В каждую пробирку, содержащую взвешенное количество каптизола, вводили все содержимое двух баллонов Pulmicort Respules (0,5 мг/2 мл, партия 308016, февраль 2005 г.), осторожно сдавливая деформируемый пластиковый баллон. Баллоны Respules предварительно встряхивали для суспендирования частиц будесонида. Пробирки закрывали завинчивающимися крышками, подвергали вихревому перемешиванию и заворачивали в фольгу. Полученное вещество можно хранить в холодильнике до использования.
Жидкую композицию для ингаляции, полученную любым из описанных выше способов, можно использовать в любом известном распылителе. Превращение суспензии в жидкость обеспечивает лучшую доставку будесонида (кортикостероида).
Пример 10
В соответствии с приведенным ниже подробным описанием можно получить другие растворы по настоящему изобретению.
| Компонент |
мг на мл |
мг на мл |
 |
(получено) |
(контрольный результат) |
 |
Концентрат А |
Концентрат В |
Конечный раствор |
| Будесонид ЕР |
1 |
~1,6 (насыщенный) |
0,250 |
| Каптизол (CAPTISOL) |
200 |
200 |
50 |
| Дигидрат цитрата трехосновного натрия |
0 |
0 |
0,44 |
| Лимонная кислота |
0 |
0 |
0,32 |
| Хлорид натрия |
0 |
0 |
4,8 |
| Динатрий-EDTA |
0 |
0 |
0-0,5 |
| Полисорбат 80 (твин 80) |
0 |
0 |
0-1 |
| Вода |
по потребности |
по потребности |
Разводят буфером, содержащим каптизол |
Концентрат А разводят в отношении 1:4 подсоленным цитратным буфером с рН 4,5 (4 мМ содержат 109 мМ хлорида натрия) до получения 5% мас./об. каптизола на безводной основе. Разведенный концентрат фильтруют через 0,22 мкм фильтр-насадку для шприца Millipore Durapore Millex-GV. Фильтрованный раствор анализируют ВЭЖХ, затем при необходимости добавляют дополнительное количество будесонида с образованием раствора с конечной концентрацией около 250 мкг/мл (± <5%).
Концентрат В разводят в отношении 1:4 подсоленным цитратным буфером с рН 4,5 (4 мМ содержат 109 мМ хлорида натрия) до получения 5% мас./об. каптизола на безводной основе. Разведенный концентрат фильтруют через 0,22 мкм фильтр-насадку для шприца Millipore Durapore Millex-GV. Фильтрованный раствор анализируют ВЭЖХ, затем снова разводят подсоленным цитратным буфером с рН 4,5 (3 мМ содержат 82 мМ хлорида натрия) до получения 5% мас./об. каптизола, что необходимо для достижения конечной концентрации раствора около 250 мкг/мл (± <5%). Преимуществом данного способа является использование избытка твердого будесонида для насыщения раствора.
Пример 11
Прозрачность растворов определяли визуально или инструментально. Прозрачный раствор выглядит прозрачным по крайней мере при рассмотрении невооруженным взглядом.
Пример 12
Нижеследующий способ был использован для определения характеристик композиций для распыления, подаваемых из распылителя, в соответствии с фиг. 10а-10b.
До начала каждого эксперимента в чашку чистого распылителя при помощи градуированных пипеток отмеряли точно два мл испытуемого раствора CD или суспензии Pulmicort. В собранный испытательный распылитель вводили испытуемый раствор или суспензию для ингаляции в соответствии с инструкциями изготовителя. Конец наконечника располагали на высоте примерно 18 см от основания MALVERN MASTERSIZER до середины верхней части наконечника распылителя. Вакуум-насос располагали с противоположной стороны от наконечника на расстоянии примерно 6 см для удаления аэрозоля после измерения. Расстояние между наконечником и детектором было равно примерно 8 см. Центр наконечника находился на одном уровне с лазерным лучом (или устанавливался в зависимости от конкретной конструкции каждого распылителя). Лазерный луч проходил через центр распыляемого облака во время действия распылителя. Измерения выполняли вручную через 15 секунд после распыления. Сбор данных начинали после того, как затемнение лазерного луча достигало 10% и в среднем превышало 15000 точек развертки (30 секунд). Данные об интенсивности рассеянного света на кольцах детектора моделировали при помощи модели Standard-Wet . Каналы 1 и 2 были отключены из-за низкой относительной влажности во время измерения для предотвращения смещения луча. Был определен объемный диаметр капель, соответствующий 10, 50 (средний объем) и 90% от общего объема. (Dv10 означает размер капель, которому соответствует 10% объема вещества, Dv50 означает размер капель, которому соответствует 50% объема вещества и Dv90 означает размер капель, которому соответствует 90% объема вещества).
Пример 13
Растворы будесонида с SBE7- -CD и без него готовили при двух разных значениях рН (4 и 6) и хранили при 2 разных температурах (60°С и 80°С). Цитратный буферы (50 мМ) при каждом значении рН получали, смешивая в разных частях растворы 50 мМ лимонной кислоты и 50 мМ цитрата натрия (трехосновный натрий, дигидрат). Для достижения в буферах без SBE7- -CD концентрации будесонида, достаточной для точного измерения, будесонид сначала растворяли в 100% этиловом спирте. Аликвоту раствора будесонида в этаноле затем при перемешивании по каплям добавляли в каждый буферный раствор. Теоретическая концентрация будесонида была равна 100 мкг/мл при конечном содержании этанола в каждом буфере, равном 5%. Все растворы с использованием будесонида получали в темном помещении при освещении красным светом. Растворы встряхивали в течение 24 часов, оба буферных раствора фильтровали через 0,22 мкм фильтры-насадки для шприцов Millipore Millex-GV для удаления из растворов всех осажденных твердых веществ (не наблюдалось значительных количеств таких веществ). Конечная концентрация будесонида была равна примерно 50 мкг/мл. Растворы с рН 4 и 6 делили на две порции, и к одной из порций добавляли твердый SBE7- -CD для получения растворов с 1% мас./об. SBE7- -CD и без него при каждом значении рН. Аликвоты каждого раствора вводили в отдельные желтые пробирки. Указанные пробирки затем помещали в термостаты при 60°С и 80°С. Пробирки с образцами удаляли из термостатов и анализировали при помощи ВЭЖХ через 0, 96, 164 и 288 часов. Условия анализа методом ВЭЖХ суммированы ниже.
Условия выполнения хроматографии
(Условия адаптированы на основании метода, описанного в публикации Hou, S., Hindle, M., and Byron, P.R.A. Stability-Indicating HPLC Assay Method for Budesonide. Journal of Pharmaceutical and Biomedical Analysis, 2001; 24: 371-380).
| Устройство: |
РЕ серии 200 |
| Колонка: |
Phenomenex Luna C18(2) 4,6×150 мм 3 мкм |
| Подвижная фаза: |
58% фосфатного буфера рН 3,4/39,5% ACN / 2,5% МеОН |
| Программа подвижной фазы: |
100% А (изократическая) |
| Длина волны: |
240 нм |
| Скорость потока: |
0,6 мл/мин |
| Диапазон эталонов: |
Семь эталонов – от 1 до 500 мкг/мл |
Пример 14
Получение и применение комбинированного раствора, содержащего SAE-CD, будесонид и сульфат альбутерола.
Раствор будесонида получали аналогично примеру 9 (смешивая SAE-CD с суспензией PULMICORT RESPULES) и добавляли к 3 мл раствора, содержащего 2,5 мг альбутерола (названием, рекомендованным Всемирной организацией здравоохранения для основания альбутерола, является салбутамол) в виде сульфата альбутерола. Предварительно разведенный раствор альбутерола можно приобрести коммерческим путем под названием раствора для ингаляции PROVENTIL®, 0,083%, или получить из коммерчески доступного 0,5% концентрата (продаваемого под названиями: раствор для ингаляции PROVENTIL® и раствор для ингаляции VENTOLIN®).
Начальную дозу для детей в возрасте от 2 до 12 лет определяют с учетом массы тела (0,1-0,15 мг/кг в одной дозе) и последующую дозу титруют для достижения желаемого клинического действия. Доза не должна превышать 2,5 мг при введении распылением три-четыре раза в день. Соответствующий объем 0,5% раствора для ингаляции необходимо развести в стерильном нормальном физиологическом растворе до достижения общего объема, равного 3 мл, до введения распылением. Для получения дозы, равной 2,5 мг, 0,5 мл концентрата разводят до 3 мл стерильным нормальным физиологическим раствором. Водные растворы альбутерола содержат также хлорид бензалкония, поэтому для регулирования значения рН в пределах от 3 до 5 используют серную кислоту. Альтернативно водный раствор альбутерола соответствующей концентрации можно получить из сульфата альбутерола, USP с добавлением или без добавления консерванта хлорида бензалкония, при этом может быть не нужно регулировать рН с помощью серной кислоты при объединении с раствором кортикостероида. Кроме того, объем, содержащий необходимую дозу кортикостероида, можно уменьшить в четыре раза, как это описано в нижеследующем примере, благодаря чему общий объем становится меньше и соответствующим образом сокращается время введения.
Пример 15
Получение и применение комбинированного раствора, содержащего SAE-CD, будесонид и сульфат альбутерола или гидрохлорид левалбутерола (Xopenex).
Цитратный буфер (3 мМ, рН 4,5) получали следующим образом. В буфере растворяли примерно 62,5 мг лимонной кислоты и доводили объем до требуемого значения, добавляя воду, в одной 100 мл мерной колбе. В другой 100 мл мерной колбе растворяли примерно 87,7 мг цитрата натрия и доводили объем до требуемого значения, добавляя воду. В химическом стакане раствор цитрата натрия добавляли к раствору лимонной кислоты до достижения рН около 4,5.
Примерно 10,4 мг будесонида и 1247,4 мг каптизола измельчали вместе в ступке с пестиком и переносили в 10 мл колбу. Добавляли буферный раствор, смесь подвергали вихревому перемешиванию, обрабатывали ультразвуком и добавляли еще 1,4 мг будесонида. Раствор встряхивали в течение ночи, фильтровали через 0,22 мкм фильтр-насадку для шприца Durapore Millex-GV Millipore. Концентрация будесонида была равна ~1 мг/мл. Примерно 0,5 мл раствора будесонида добавляли к стандартной дозе Proventil (2,5 мг/3 мл) или Xopenex (1,25 мг/3 мл), в результате чего была получена комбинированная прозрачная жидкая лекарственная форма по настоящему изобретению. Полученная смесь оставалась по существу прозрачной в течение по крайней мере 17 дней при комнатной температуре в защищенном от света месте.
Пример 16
Получение и применение комбинированного раствора, содержащего SAE-CD, будесонид и формотерол (FORAFIL® (фумарат формотерола в виде порошка для ингаляции)).
Содержимое одной капсулы, содержащей 12 мкг фумарата формотерола, смешанного с 25 мг лактозы, вводили в пробирку, в которую добавляли 3 мл 3 мМ цитратного буфера (рН 4,5), полученного в соответствии с предыдущим примером. Содержимое пробирки подвергали вихревому перемешиванию для растворения твердых веществ. Концентрат будесонида получали аналогично предыдущему примеру с концентрацией, равной ~1 мг/мл. К буферному раствору фумарата формотерола добавляли примерно 1 мл раствора будесонида. Полученный раствор оставался по существу прозрачным в течение по крайней мере одного месяца при комнатной температуре в защищенном от света месте.
Пример 17
Клиническое исследование лекарственной формы по настоящему изобретению проводили, выполняя гамма-сцинтиграфические анализы с участками субъектов до и после введения лекарственной формы распылением.
Было выполнено четырехстороннее перекрестное гамма-сцинтиграфическое исследование доставки в легкие будесонида по сравнению с композициями на основе будесонида Pulmicort Respules® и Captisol-Enabled® с использованием пневматического струйного распылителя Pari LC. Целью данного исследования было определение при помощи гамма-сцинтиграфии осаждения внутри легких меченного радиоактивным изотопом будесонида после распыления суспензии будесонида (эталонная композиция Pulmicort Respules®, Astra Zeneca) и раствора будесонида Captisol®-Enabled (испытуемая композиция) у здоровых добровольцев-мужчин. Дозирование производили с использованием пневматического струйного распылителя Pari LC Plus. Использование гамма-сцинтиграфии в сочетании с меченным радиоактивным изотопом лекарственным средством и/или носителем является стандартным методом количественного определения осаждения в легких и выведения ингалированных лекарственных средств и/или носителя.
Исследуемые лекарственные формы содержали: 1) 1 мг будесонида в виде 2 мл × 0,5 мг/мл Pulmicort Respules® или 2) 1 мг будесонида в виде 2 мл × 0,5 мг/мл Pulmicort Respules, к которому было добавлено 7,5% мас./об. каптизола®.
Каждому субъекту производили четыре нерандомизированных введения меченного радиоактивным изотопом будесонида. Схема нерандомизированнго введения была использована в данном исследовании потому, что сначала всем субъектам необходимо вводить эталонную композицию (Pulmicort Respule®) для определения времени распыления (TTS). У разных субъектов значения TTS были различными. При последующих введениях вводимую дозу контролировали по продолжительности введения, выраженной в виде части времени распыления, определенного после введения эталонной композиции (то есть 25% TTS, 50% TTS и 75% TTS). Предполагалось, что, даже если будесонид в такой же концентрации будет распылен в течение более короткого времени, количество лекарственного средства, достигшего легких добровольцев, должно быть по существу аналогично эталонной суспензии для одного из этапов исследования. Сцинтиграфические изображения были получены при помощи гамма-камеры сразу же после окончания введения лекарственных композиций добровольцам.
Сравнение изображения, полученного для эталонного продукта и 25% TTS, показало, что большее количество будесонида в процентном выражении из композиции Respule сразу же после введения находилось в желудке и горле. Таким образом, большее количество будесонида в процентном выражении достигало ткани-мишени в легких при использовании каптизола для растворения будесонида. Каптизол уменьшал нежелательные побочные эффекты, вызываемые лекарственным средством. Один вариант осуществления способа по настоящему изобретению относится к усовершенствованному способу введения стандартной дозы на основе суспензии кортикостерода, который включает стадию добавления достаточного количества SAE-CD для превращения суспензии в прозрачный раствор и последующее введение субъекту указанного прозрачного раствора. Таким образом, способ по настоящему изобретению обеспечивает более высокую скорость введения, а также более полную доставку в легкие кортикостероида по сравнению с исходной дозированной суспензионнной композицией.
Пример 18
Сравнительная оценка разных форм SAE-CD при растворении производных кортикостероидов.
Определяли растворимость дипропионата беклометазона (BDP), 17-монопропионата беклометазона (В17Р), 21-монопропионата беклометазона (В21Р) и беклометазона (неэтерифицированного) в растворах, содержащих каптизол (CAPTISOL) и разные SBEn -CD. BDP, В17Р и В21Р были приобретены в компании Hovione. Беклометазон был приобретен в компании Spectrum Chemicals. CAPTISOL, SBE(3,4) -CD, SBE(5,23) -CD и SBE(6,1) -CD были приобретены в компании CyDex, Inc. (Lenexa, KS). -CD был приобретен в компании Wacker Chemical Co. SBE(5,24) -CD и SBE(7,5) -CD были приобретены в Канзасском университете.
Получали 0,04 М раствор каждого выбранного CD. Все формы беклометазона требовали добавления 2 мл раствора CD, поэтому 0,04 М растворы получали в 20 или 25 мл мерных колбах в виде двух одинаковых образцов (N=2). В приведенной ниже таблице показано количество каждого использованного CD после вычисления количества воды в каждом CD.
| CD |
Молекулярная масса (г/моль) |
мг CD (объем) |
SBE(6,7) -CD |
2194,6 |
2297,0 (25 мл) |
-CD |
1297 |
1433,0 (25 мл) |
SBE(3,4) -CD |
1834,9 |
1891,6 (25 мл) |
SBE(5,24) -CD |
2119,5 |
1745,7 (20 мл) |
SBE(6,1) -CD |
2261,9 |
1866,8 (20 мл) |
SBE(7,5) -CD |
2483,3 |
2560,0 (25 мл) |
Формы беклометазона взвешивали в количествах, превышающих предполагаемую растворимость, и вводили в тефлоновые пробирки с завинчивающимися крышками емкостью 3,6 г (2 драхмы). Указанные количества обычно содержали примерно 6 мг/мл твердых веществ. Затем в каждую пробирку вводили 2 мл соответствующего раствора CD. Пробирки подвергали вихревому перемешиванию и ультразвуковой обработке в течение примерно 10 минут для смачивания твердых веществ жидкостью. Затем пробирки заворачивали в алюминиевую фольгу для защиты от света и помещали в лабораторный шейкер для уравновешивания. Пробирки периодически осматривали, чтобы убедиться в соответствующем смачивании твердых веществ и их контактировании с жидкостью. Пробы отбирали через 24 часа для всех образцов и через 72 часа только для BDP.
Были получены 0,04, 0,08 и 0,1 М растворы SBE(6,1) -CD и только 0,04 и 0,08 М растворы SBE(5,23) -CD. Дипропионат беклометазона взвешивали в количествах, превышающих предполагаемую растворимость, и вводили непосредственно в тефлоновые пробирки с завинчивающимися крышками емкостью 3,6 г (2 драхмы). Указанные количества обычно содержали примерно 2 мг/мл твердых веществ. В каждую пробирку вводили 2 мл раствора соответствующего CD (N=1). Пробирки подвергали вихревому перемешиванию и ультразвуковой обработке в течение примерно 10 минут для смачивания твердых веществ жидкостью. Затем пробирки заворачивали в алюминиевую фольгу для защиты от света и помещали в лабораторный шейкер для уравновешивания в течение пяти дней.
Были получены 0,01 и 0,02 М растворы -CD. Дипропионат беклометазона взвешивали в количествах, превышающий предполагаемую растворимость, и вводили непосредственно в тефлоновые пробирки с завинчивающимися крышками емкостью 3,6 г (2 драхмы). Указанные количества обычно содержали примерно 2 мг/мл твердых веществ. В каждую пробирку вводили 2 мл раствора -CD (N=2). Кроме того, был получен раствор для измерения истинной растворимости BDP с использованием воды, пригодной для выполнения ВЭЖХ, вместо CD. Образцы заворачивали в фольгу и помещали в лабораторный шейкер на пять дней.
В конце времени уравновешивания на каждой стадии пробирки центрифугировали и удаляли 1 мл супернатанта. Удаленный супернатант фильтровали через 0,22 мкм фильтр-насадку для шприца PVDF Durapore (несколько первых капель удаляли) и разводили подвижной фазой до соответствующей концентрации в пределах стандартной кривой. Затем образцы анализировали при помощи ВЭЖХ для определения концентрации растворенного кортикостероида.
Пример 19
Получение и применение комбинированного раствора, содержащего SAE-CD, будесонид и фумарат формотерола.
Сухой порошок фумарата формотерола смешивали с сухим порошком каптизола, которые имели соответствующий размер частиц для достижения однородности при массовом соотношении 12 мкг фумарата формотерола/100 мг каптизола. Количество порошкообразной смеси, соответствующее стандартной дозе фумарата формотерола, вводили в приемлемую емкость для стандартной дозы, такую как капсула НРМС, для последующего использования или добавляли непосредственно к стандартной дозе суспензии для ингаляции будесонида Pulmicort Respules (200 мкг/2 мл), затем смешивали для растворения всех твердых веществ (прозрачный раствор) и помещали в баллон распылителя для введения.
Пример 20
Получение и применение комбинированного раствора, содержащего SAE-CD, будесонид и бромид ипратропия.
Раствор будесонида получали аналогично примеру 9 и добавляли к раствору бромида ипратропия, который является коммерчески доступным в виде стандартной дозы раствора для ингаляции под названием ATROVENT®. Раствор для ингаляции ATROVENT® (бромид ипратропия) вводили в количестве 500 мкг (пробирка с 1 стандартной дозой) три-четыре раза в день путем перорального распыления с интервалами в 6-8 часов. Пробирки со стандартной дозой раствора для ингаляции ATROVENT® содержат 500 мкг безводного бромида ипратропия в 2,5 мл стерильного изотонического физиологического раствора без консерванта с рН, доведенным до 3,4 (3-4) хлористоводородной кислотой. Кроме того, объем, содержащий соответствующую дозу кортикостероида, может быть уменьшен в четыре раза, как было описано в приведенном выше примере (концентрат будесонида ~1 мг/мл), благодаря чему уменьшается общий объем и соответственно сокращается время введения.
Выше было дано подробное описание конкретных вариантов осуществления изобретения. Очевидно, что несмотря на описание определенных вариантов осуществления изобретения, приведенных в целях иллюстрации, могут иметь место разные модификации, не выходящие за пределы объема и духа настоящего изобретения. Таким образом, настоящее изобретение ограничено только прилагаемой формулой изобретения. Все варианты осуществления изобретения, рассмотренные в настоящем описании изобретения, могут быть реализованы на практике и осуществлены без ненужного экспериментирования с учетом настоящего описания изобретения.
Формула изобретения
1. Фармацевтическая композиция для растворения кортикостероида, содержащая кортикостероид, сульфоалкиловый эфир -циклодекстрина (SAE- -CD) и водную жидкую среду, где молярное соотношение кортикостероида и SAE- -CD находится в пределах от 0,072:1 до 0,0001:1, где композиция содержит менее 5% осажденных твердых веществ, и где SAE- -CD присутствует в композиции в концентрации от 10 до 500 мг/мл.
2. Композиция по п.1, в которой кортикостероид выбран из группы, включающей альдостерон, беклометазон, бетаметазон, будесонид, циклесонид, клопреднол, кортизон, кортивазол, дезоксикортон, десонид, дезоксиметазон, дексаметазон, дифторкортолон, флуклоролон, флуметазон, флунизолид, флуоцинолон, флуоцинонид, флуокортинбутил, фторкортизон, фторкортолон, фторметолон, флурандренолон, флутиказон, галцинонид, гидрокортизон, икометазон, мепреднизон, метилпреднизолон, мометазон, параметазон, преднизолон, преднизон, рофлепонид, RPR 106541, тиксокортол, триамцинолон и их фармацевтически приемлемые производные.
3. Композиция по п.1, в которой кортикостероид представляет собой производное кортикостероида, которое выбрано из группы, включающей дипропионат беклометазона, монопропионат беклометазона, 21-изоникотинат дексаметазона, пропионат флутиказона, энбутат икометазона, 21-пивалат тиксокортола и ацетонид триамцинолона.
4. Композиция по п.1, в которой кортикостероид выбран из группы, включающей дипропионат беклометазона, будесонид, флунизолид, пропионат флутиказона, фуроат мометазона и ацетонид триамцинолона.
5. Композиция по п.1, в которой кортикостероид представляет собой будесонид.
6. Композиция по любому из пп.1-5, дополнительно содержащая одно или несколько лечебных средств, независимо выбранных в каждом отдельном случае из группы, включающей агонист 2-адренорецепторов, агонист рецепторов допамина (D2), местный анестетик, антихолинергическое средство, ингибитор IL-5, антисмысловой модулятор IL-5, милринон (1,6-дигидро-2-метил-6-оксо-[3,4′-бипиридин]-5-карбонитрил), лактат милринона, ингибитор триптазы, антагонист рецепторов тахикинина, антагонист рецепторов лейкотриена, ингибитор 5-липоксигеназы и антитело против IgE.
7. Композиция по любому из пп.1-5, дополнительно содержащая местный анестетик.
8. Композиция по п.6, в которой агонист 2-адренорецепторов выбран из группы, включающей альбутерол (альфа1((1,1-диметилэтил)амино)метил)-4-гидрокси-1,3-бензолдиметанол); бамбутерол (5-(2-((1,1-диметилэтил)амино)-1-гидроксиэтил)-1,3-фениленовый эфир диметилкарбаминовой кислоты); битолтерол (4-(2-((1,1-диметилэтил) амино)-1-гидроксиэтил)-1,2-фениленовый эфир 4-метилбензойной кислоты); броксатерол (3-бром-альфа-(((1,1-диметилэтил)амино)метил)-5-изоксазолметанол); изопротеренол (4-(1-гидрокси-2-((1-метилэтил)амино)этил)-1,2-бензолдиол); триметохинол (1,2,3,4-тетрагидро-1-((3,4,5-триметоксифенил)метил)-6,7-изохинолиндиол); кленбутерол (4-амино-3,5-дихлор-альфа-(((1,1-диметилэтил)амино)метил)бензол-метанол); фенотерол (5-(1-гидрокси-2-((2-(4-гидроксифенил)-1-метилэтил)амино)этил)-1,3-бензолдиол); формотерол (2-гидрокси-5-((1RS)-1-гидрокси-2-(((1RS)-2-(п-метоксифенил)-1-метилэтил)амино)-этил)форманилид); (R,R)-формотерол; десформотерол((R,R) или (S,S)-3-амино-4-гидрокси-альфа-(((2-(4-метоксифенил)-1-метилэтил)-амино)метил)бензолметанол); гексопреналин (4,4′-(1,6-гександиил)-бис(имино(1-гидрокси-2,1-этандиил)))бис-1,2-бензолдиол); изоэтарин (4-(1-гидрокси-2-((1-метилэтил)амино)бутил)-1,2-бензолдиол); изопреналин (4-(1-гидрокси-2-((1-метилэтил)амино)этил)-1,2-бензолдиол); мета-протеренол (5-(1-гидрокси-2-((1-метилэтил)амино)-этил)-1,3-бензолдиол); пикуметерол (4-амино-3,5-дихлор-альфа-(((6-(2-(2-пиридинил)этокси)гексил)амино)метил)бензолметанол; пирбутерол (альфа6-(((1,1-диметилэтил)амино)метил)-3-гидрокси-2,6-пиридинметанол); прокатерол (((R*,S*)-(±)-8-гидрокси-5-(1-гидрокси-2-((1-метилэтил)амино)бутил)-2(1Н)-хинолинон); репротерол ((7-(3-((2-(3,5-дигидроксифенил)-2-гидроксиэтил) амино) пропил)-3,7-дигидро-1,3-диметил-1Н-пурин-2,6-дион); римитерол (4-(гидрокси-2-пиперидинилметил)-1,2-бензолдиол); салбутамол ((±)-альфа1-(((1,1-диметилэтил)амино)метил)-4-гидрокси-1,3-бензолдиметанол); (R)-салбутамол; салметерол ((±)-4-гидрокси-альфаl-(((6-(4-фенил-бутокси)гексил)амино)метил)-1,3-бензолдиметанол); (R)-салметерол; тербуталин (5-(2-((1,1-диметилэтил)амино)-1-гидроксиэтил)-1,3-бензолдиол); тулобутерол (2-хлор-альфа-(((1,1-диметилэтил)амино)-метил)бензолметанол) и ТА-2005 (8-гидрокси-5-((1R)-1-гидрокси-2-(N-((1R)-2-(4-метоксифенил)-1-метилэтил)амино)этил)карбостирил-гидрохлорид).
9. Композиция по п.6, в которой агонист рецепторов допамина (D2) выбран из группы, включающей апоморфин ((R)-5,6,6а,7-тетрагидро-6-метил-4Н-дибензо [de,g] хинолин-10,11-диол); бромкриптин ((5′-альфа)-2-бром-12′-гидрокси-2′-(1-метилэтил)-5′-(2-метилпропил)-эрготаман-3′,6′,18-трион); каберголин ((8-бета)-N-(3-(диметиламино)-пропил)-N-((этиламино) карбонил)-6-(2-пропенил)эрголин-8-карбоксамид); лизурид (N’-((8-альфа)-9,10-дидегидро-6-метилэрголин-8-ил)-N,N-диэтилмочевина); перголид ((8-бета) -8-((метилтио) метил) -6-пропилэрголин); леводопа (3-гидрокси-L-тирозин); прамипексол ((S)-4,5,6,7-тетрагидро-N6-пропил-2,6-бензотиазолдиамин); гидрохлорид хинпирола (гидрохлорид транс-(-)-4аR-4,4а,5,6,7,8,8а,9-октагидро-5-пропил-1Н-пиразоло[3,4-g]хинолина); ропинирол (4-(2-(дипропиламино)этил-1,3-дигидро-2Н-индол-2-он) и талипексол (5,6,7,8-тетрагидро-6-(2-пропенил)-4Н-тиазоло[4,5-d]азепин-2-амин).
10. Композиция по п.6, в которой антихолинергическое средство выбрано из группы, включающей бромид ипратропия, бромид окситропия, метилнитрат атропина, сульфат атропина, ипратропий, экстракт белладонны, скополамин, метобромид скополамина, метобромид гоматропина, гиосциамин, изоприопрамид, орфенадрин, хлорид бензалкония, бромид тиотропия и бромид гликопиррония.
11. Композиция по п.7, в которой местный анестетик выбран из группы, включающей лидокаин, N-ариламид, аминоалкилбензоат, прилокаин, этидокаин.
12. Композиция по любому из пп.1-5, в которой молярное соотношение кортикостероида и SAE- -CD находится в пределах от 0,063:1 до 0,003:1.
13. Композиция по любому из пп.1-5, где композиция дополнительно содержит обычный консервант, антиоксидант, буфер, подкислитель, растворитель, краситель, усилитель комплексообразования, физиологический раствор, электролит, другое лечебное средство, подщелачиватель, модификатор тонуса, модификатор поверхностного натяжения, модификатор вязкости, модификатор плотности, модификатор летучести, противовспениватель, ароматизатор, подсластитель, гидрофильный полимер или их комбинацию.
14. Композиция по любому пп.1-5, где срок хранения композиции в виде раствора равен по меньшей мере 6 месяцам.
15. Композиция по любому пп.1-5, которая дополнительно содержит жидкий носитель, не являющийся водой.
16. Композиция по любому пп.1-5, которая содержит около 21,5%±5% мас./мас. SAE- -CD или менее, около 21,5%±2% мас./мас. SAE- -CD или менее, 10% мас./об. SAE- -CD или 5% мас./об. SAE- -CD.
17. Композиция по любому пп.1-5, содержащая от 1 мкг/мл до 10 мг/мл, от 50 мкг/мл до 10 мг/мл, от 100 мкг/мл до 2 мг/мл, от 10 мкг/мл до 1 мг/мл, от 20 мкг/мл до 500 мкг/мл, или дневную дозу от 0,05 до 10 мг кортикостероида.
18. Композиция по любому пп.1-5, содержащая 0,125 мг, 0,25 мг, 0,5 мг, 1 мг или 2 мг кортикостероида.
19. Композиция по любому пп.1-5, которая приготовлена для ингаляции, для использования с распылителем или для назального введения.
20. Композиция по любому пп.1-5, которая приготовлена для местного введения.
21. Композиция по любому из пп.1-5, в которой SAE- -CD является соединением формулы 1
 где n означает 5; R1, R2, R3, R4, R5, R6, R7, R8 и R9 независимо означают -О- или группу -O(С2-С6алкилен)-SO3 –, причем по меньшей мере один из элементов R1-R9 независимо означает группу -O-(С2-С6алкилен)-SO3 –, группу -O-(CH2)mSO3 –, где m равно 2-6, -OCH2CH2CH2SO3 – или -OCH2CH2CH2CH2SO3 –; и S1, S2, S3, S4, S5, S6, S7, S8 и S9 независимо означают фармацевтически приемлемый катион.
22. Композиция по п.21, в которой SAE- -CD представляет собой
 сульфобутиловый эфир- -циклодекстрин (каптизол®)
23. Фармацевтическая композиция в виде распыляемых капель, содержащая композицию по любому из пп.1-5, где капли имеют размер частиц в пределах от 0,5 до 5 мкм, от 2,5 до 5 мкм, или от 0,5 до 2,5 мкм.
24. Дозированная форма в виде стандартной дозы, содержащая композицию по любому из пп.1-5, где стандартная доза содержит от 0,125 до 2 мг, 0,125 мг, 0,25 мг, 0,5 мг, 1 мг или 2 мг кортикостероида.
25. Применение композиции по любому из пп.1-5 для приготовления лекарственного средства для лечения бронхоконстриктивных нарушений у нуждающегося в этом субъекта.
26. Применение по п.25, в котором бронхоконстриктивным нарушением является астма.
27. Применение по п.25, в котором субъектом является ребенок.
28. Применение по п.25, в котором лекарственное средство вводится при помощи распылителя.
29. Набор для приготовления композиции по любому из пп.1-5, содержащий кортикостероид и SAE- -CD, в котором кортикостероид и SAE-P-CD находятся отдельно или вместе, и где SAE-J3-CD находится в сухом виде или в водном носителе, и где кортикостероид представлен в виде сухого твердого вещества или в виде жидкой суспензии.
30. Набор по п.29, в котором кортикостероид выбран из группы, включающей альдостерон, беклометазон, бетаметазон, будесонид, циклесонид, клопреднол, кортизон, кортивазол, дезоксикортон, десонид, дезоксиметазон, дексаметазон, дифторкортолон, флуклоролон, флуметазон, флунизолид, флуоцинолон, флуоцинонид, флуокортинбутил, фторкортизон, фторкортолон, фторметолон, флурандренолон, флутиказон, галцинонид, гидрокортизон, икометазон, мепреднизон, метилпреднизолон, мометазон, параметазон, преднизолон, преднизон, рофлепонид, RPR 106541, тиксокортол, триамцинолон и их фармацевтически приемлемые производные.
31. Набор по п.29, в котором кортикостероид представляет собой производное кортикостероида, которое выбрано из группы, включающей дипропионат беклометазона, монопропионат беклометазона, 21-изоникотинат дексаметазона, пропионат флутиказона, энбутат икометазона, 21-пивалат тиксокортола и ацетонид триамцинолона.
32. Набор по п.29, в которой кортикостероид выбран из группы, включающей дипропионат беклометазона, будесонид, флунизолид, пропионат флутиказона, фуроат мометазона и ацетонид триамцинолона.
33. Набор по п.29, в котором кортикостероид представляет собой будесонид.
34. Набор по п.29, содержащий смесь кортикостероида в твердом виде и SAE- -CD в твердом виде.
35. Набор по п.34, в котором кортикостероид не находится в комплексе с SAE- -CD до восстановления смеси в водном носителе.
36. Способ модификации рабочих характеристик распылителя, заключающихся в образовании капель меньшего размера по сравнению с каплями, образуемыми тем же распылителем, действующим в аналогичных условиях, при использовании раствора, содержащего кортикостероид/HP- -CD, который включает стадию замены HP- -CD соединением SAE- -CD и приведение в действие указанного распылителя, благодаря чему образуется большее количество вдыхаемых капель и достигается более глубокое проникновение в легкие, чем при использовании HP- -CD.
37. Способ сокращения времени, необходимого для введения субъекту терапевтически эффективного количества кортикостероида путем ингаляции кортикостероид-содержащей композиции при помощи распылителя, который включает стадии: добавление SAE- -CD в композицию в количестве, достаточном для растворения кортикостероида с образованием водного кортикостероид-содержащего раствора для ингаляции; и введение субъекту полученного раствора путем ингаляции распылителем, при этом время, необходимое для доставки субъекту терапевтически эффективного количества кортикостероида в растворе, сокращается по сравнению со временем, необходимым для доставки субъекту терапевтически эффективного количества кортикостероида в суспензии, содержащей кортикостероид в таком же количестве или концентрации, при прочих одинаковых условиях распыления суспензии и раствора.
РИСУНКИ
|
|