Патент на изобретение №2388223
|
|||||||||||||||||||||||||||||||||||||
(54) СРЕДСТВО ДЛЯ ПРОТРАВЛИВАНИЯ СЕМЯН СОИ
(57) Реферат:
Описывается применение одного или нескольких ингибиторов деметилирования (ДМИ-фунгицидов), выбранных из группы, включающей а) триазолы: а.1. азаконазол, а.2. битертанол, а.3. бромуконазол, а.4. ципроконазол, а.5. дифеноконазол, а.6. диниконазол, а.7. эпоксиконазол, а.8. фенбуконазол, а.9. флуквинконазол, а.10. флусилазол, а.11. флутриафол, а.12. гексаконазол, а.13. имибенконазол, а.14. ипконазол, а.15. метконазол, а.16. миклобутанил, а.17. паклобутразол, а.18. пенконазол, а.19. пропиконазол, а.20. протиоконазол, а.21. симеконазол, а.22. тебуконазол, а.23. тетраконазол, а.24, тридименол, а.25. тритиконазол; в качестве протравливателей семенного материала сои для подавления ржавчины соевых бобов. Описывается также семенной материал сои, обработанный и/или покрытый ДМИ-фунгицидом-протиоконазолом. 3 н. и 1 з.п. ф-лы.
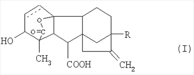
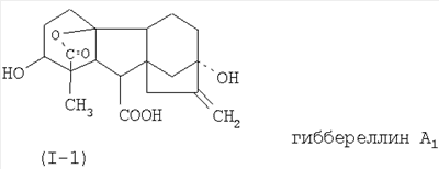
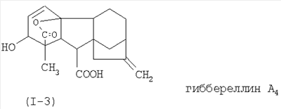
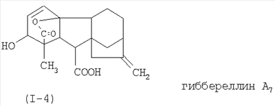
Изобретение относится к применению фунгицидов, ингибирующих биосинтез стерина, в качестве средств протравливания семян, к способу борьбы с фитопатогенными грибками обработкой семенного материала этими фунгицидами, а также к подвергнутому обработке подобными фунгицидами семенному материалу. Ингибиторы биосинтеза стерина в грибках, которые в процессе биосинтеза эргостероида блокируют деметилирование в положении 14 (ингибиторы деметилирования, ДМИ), нашли широкое практическое применение в качестве фунгицидов (см., например, C.D.S.Tomlin (Hrg.), The Pesticide Manual, 13-е издание, The British Crop Protection Council, Farnham, 2003). Некоторые из подобных фунгицидов уже приобрели известность в качестве протравливателей семенных материалов, в том числе также семян сои (см., например, международную заявку WO-A 03/099010, Fitopatologia Brasileira (1998) 23(2) 127-131). В некоторых случаях отмечали также действие подобных протравливателей семян против ржавчины соевых бобов (Fitopatologia Brasileira (1984) 9(1), 13 и 119). В патентной заявке США US 2003/0060371 с целью повышения урожайности и укрепления соевых растений предлагается протравливать семенной материал сои в том числе и с помощью ДМИ-фунгицидов. Информация о действии против ржавчины соевых бобов в данной публикации отсутствует. Однако в связи с постоянно возрастающими экологическими и экономическими требованиями к современным фунгицидам, касающимися, например, спектра их действия, токсичности, селективности, дозировок, образования остатков, возможности оптимального приготовления, и, кроме того, обусловленными возможным возникновением, например, проблем резистентности, существует постоянная потребность в разработке новых фунгицидов, которые обладали бы преимуществами по сравнению с известными препаратами, по крайней мере, в отдельных сферах применения. Неожиданно было обнаружено, что фунгициды из группы ДМИ при использовании в качестве протравливателей семенного материала сои характеризуются особенно активным действием против ржавчины соевых бобов (микроорганизмов Phakopsora, прежде всего Phakopsora pachyrhizi и Phakopsora meibomiae). С учетом вышеизложенного объектом настоящего изобретения является применение одного или нескольких ДМИ-фунгицидов, выбранных из группы, включающей a) триазолы: а.1. азаконазол, а.2. битертанол, а.3. бромуконазол, а.4. ципроконазол, а.5. дифеноконазол, а.6. диниконазол, а.7. эпоксиконазол, а.8. фенбуконазол, а.9. флуквиноконазол, а.10. флусилазол, а.11. флутриафол, а.12. гексаконазол, а.13. имибенконазол, а.14. ипконазол, а.15. метконазол, а.16. миклобутанил, а.17. паклобутразол, а.18. пенконазол, а.19. пропиконазол, а.20. протиоконазол, а.21. симеконазол, а.22. тебуконазол, а.23. тетраконазол, а.24. тридименол, а.25. тритиконазол, b) пиримидины: b.1. фенаримол, b.2. нуаримол, c) пиридины: с.1. пирифенокс, и d) имидазолы: d.1. имазалил, d.2. окспоконазол фумарата, d.3. пефоразоат, d.4. прохлораз, d.5. трифлумизол, в качестве протравливателей семенного материала сои против ржавчины соевых бобов. Другим объектом изобретения является способ защиты соевых растений против ржавчины соевых бобов, причем семена растений обрабатывают одним или несколькими ДМИ-фунгицидами из группы a – d. Известные ДМИ-фунгициды частично еще не применялись для протравливания семенного материала сои. Объектом изобретения также являются применение одного или нескольких ДМИ-фунгицидов из группы a – d для протравливания семяного материала сои, способ защиты соевых растений от фитопатогенных грибков, в соответствии с которым семена соевых растений обрабатывают одним или несколькими ДМИ-фунгицидами из групп a – d, а также семенной материал сои, обработанный и/или покрытый одним или несколькими ДМИ-фунгицидами из групп a – d. Объектом изобретения, прежде всего, является также применение одного или нескольких ДМИ-фунгицидов, выбранных из группы, включающей a) триазолы: а.20. протиоконазол, b) пиримидины: b.1. фенаримол, b.2. нуаримол, и с) пиридины: с.1. пирифенокс, для протравливания семенного материала сои. Кроме того, объектом настоящего изобретения, прежде всего, является способ защиты соевых растений от фитопатогенных грибков, в соответствии с которым семенной материал растений обрабатывают одним или несколькими ДМИ-фунгицидами, выбранными из группы, включающей a) триазолы: а.20. протиоконазол, b) пиримидины: b.1. фенаримол, b.2. нуаримол, и c) пиридины: с.1. пирифенокс. Объектом изобретения является также семенной материал сои, обработанный и/или покрытый одним или несколькими ДМИ-фунгицидами, выбранными из группы, включающей a) триазолы: а.20. протиоконазол, b) пиримидины: b.1. фенаримол, b.2. нуаримол, и c) пиридины: с.1. пирифенокс. Предлагаемое в изобретении протравливание против ржавчины соевых бобов неожиданно оказывается особенно эффективным, несмотря на то, что подобная, характеризующаяся особой агрессивностью болезнь соевых растений имеет не почвенное происхождение, а разносится ветром. Кроме того, предлагаемое в изобретении протравливание позволяет обеспечить экономические и экологические преимущества при борьбе с грибными болезнями сои, а также улучшить фитосанитарное состояние и жизнеспособность соевых растений. ДМИ-фунгициды групп а – е являются известными и коммерчески доступными продуктами. Информация об отдельных продуктах и их приобретении содержится в «Справочнике по пестицидам» (13-е издание). Предпочтительными являются ДМИ-фунгициды, входящие в состав группы а, а также прохлораз из группы е. Особенно предпочтительными являются флуквиноконазол, флутриафол, ипконазол, протиоконазол, тебуконазол, тритиконазол, метконазол, ципроконазол, битертанол, тридимефон и тридименол. Предпочтительными, прежде всего, являются флуквиноконазол, флутриафол, ипконазол, протиоконазол и тритиконазол. Кроме того, предпочтительным является применение смесей двух или нескольких ДМИ-фунгицидов, прежде всего содержащих один из указанных выше продуктов. Особенно предпочтительными являются смеси флуквиноконазола и протиоконазола. Массовое соотношение соответствующих ДМИ-фунгицидов в указанных смесях двух действующих веществ в общем случае составляет от 1:0,01 до 1:100, предпочтительно от 1:0,2 до 1:20, особенно предпочтительно от 1:0,1 до 1:10. Используемые согласно изобретению ДМИ-фунгициды можно применять как таковые или в виде соответствующих препаратов также в смеси с другими известными фунгицидами, бактерицидами, акарицидами, нематицидами или инсектицидами, чтобы, например, расширить спектр действия или предотвратить развитие резистентности. При этом во многих случаях наблюдаются синергические эффекты, которые состоят в том, что эффективность смеси превышает эффективность ее индивидуальных компонентов. Возможными партнерами предлагаемых в изобретении ДМИ-фунгицидов в смесях являются, например, следующие соединения. Фунгициды 2-Фенилфенол, 8-гидроксиквинолин сульфат, ацибензолар-S-метил, актиноват, алдиморф, амидофлумет, ампропилфос, ампропилфос-калий, андоприм, анилазин, азоксистробин, беналаксил, беноданил, беномил, бентиаваликарб-изопропил, бензамакрил, бензамакрил-изобутил, биланафос, бинапакрил, бифенил, бластицидин-S, боскалид, бупиримат, бутиобат, бутиламин, полисульфид кальция, капсимицин, каптафол, каптан, карбендазим, карбоксин, капропамид, карвон, хинометионат, хлобентиазон, хлорфеназол, хлоронеб, хлороталонил, хлозолинат, цис-1-(4-хлорфенил)-2-(1Н-1,2,4-триазол-1-ил)-циклогептанол, хлоцилакон, циазофамид, цифлуфенамид, цимоксанил, ципродинил, ципрофурам, даггер G, дебакарб, дихлофлуанид, дихлон, дихлорофен, диклоцимет, дикломецин, диклоран, диэтофенкарб, дифлуметорим, диметиримол, диметоморф, димоксистробин, динокап, дифениламин, дипиритион, диталимфос, дитианон, додин, дразоксолон, эдифенфос, этабоксам, этиримол, этридиазол, фамоксадон, фенамидон, фенапанил, фенфурам, фенгексамид, фенитропан, феноксанил, фенпиклонил, фенпропидин, фенпропиморф, фербам, флуазинам, флубензимин, флудиоксонил, флуметовер, флуморф, флуоромид, флуоксастробин, флурпримидол, флузулфамид, флутоланил, фолпет, фозетил-алюминий, фозетил-натрий, фуберидазол, фуралаксил, фураметпир, фуркарбанил, фурмециклокс, гуазатин, гексахлорбензол, гимексазол, иминоктадин триацетат, иминоктадин трис(албезилат), йодокарб, ипробенфос, ипродион, ипроваликарб, ирумамицин, изопротиолан, изоваледион, казугамицин, крезоксим-метил, манкозеб, манеб, меферимзон, мепанипирим, мепронил, металаксил, металаксил-М, метасульфокарб, метфуроксам, метил-1-(2,3-дигидро-2,2-диметил-1Н-инден-1-ил)-1Н-имидазол-5-карбокси-лат, метил-2-[[[циклопропил[4-метоксифенил)имино]метил]тио]-метил]-.альфа.-(метоксиметилен)-бензолацетат, метил-2-[2-[3-(4-хлор-фенил)-1-метилаллилиденаминооксиметил]фенил]-3-метоксиакрилат, метирам, метоминостробин, метрафенон, метсульфовакс, мильдиомицин, карбонат монокалия, миклозолин, N-(3-этил-3,5,5-триметилциклогексил)-3-формиламино-2-гидроксибензамид, N-(6-метокси-3-пиридинил)циклопропанкарбоксамид, N-бутил-8-(1,1-диметилэтил)-1-оксаспиро[4.5]декан-3-амин, натамицин, нитротал-изопропил, новифлумурон, офурак, оризастробин, оксадиксил, оксолиновая кислота, оксикарбоксин, оксифентиин, пенцикурон, пентиопирад, фосдифен, фталид, пикобензамид, пикоксистробин, пипералин, полиоксины, полиоксорим, процимидон, пропамокарб, пропанозин-натрий, пропинеб, проквиназид, пираклостробин, пиразофос, пириметанил, пироквилон, пироксифур, пирролнитрин, квинконазол, квиноксифен, квинтозен, силтиофам, тетратиокарбонат натрия, спироксамн, сера, теклофталам, текназен, тетциклацис, тициофен, тифлузамид, тиофанат-метил, тирам, тиадинил, тиоксимид, толклофос-метил, толилфлуанид, триазбутил, триазоксид, трицикламид, трициклазол, тридеморф, трифлок-систробин, валидамицин А, винклозолин, цинеб, цирам, цоксамид, (2S)-N-[2-[4-[[3-(4-хлорфенил)-2-пропинил]окси]-3-метоксифенил]этил]-3-метил-2-[(метилсульфонил)амино]бутанамид, 1-(1-нафталенил)-1Н-пиррол-2,5-ди-он, 2,3,5,6-тетрахлор-4-(метилсульфонил)пиридин, 2,4-дигидро-5-метокси-2-метил-4-[[[[1-[3-(трифторметил)фенил]этилиден]амино]окси]-метил]-фенил]-3Н-1,2,3-триазол-3-он, 2-амино-4-метил-N-фенил-5-тиазол-карбокса-мид, 2-хлор-N-(2,3-дигидро-1,1,3-триметил-1Н-инден-4-ил)-3-пиридинкар-боксамид, 3,4,5-трихлор-2,6-пиридиндикарбонитрил, 3-[(3-бром-6-фтор-2-метил-1Н-индол-1-ил)сульфонил]-N,N-диметил-1Н-1,2,4-триазол-1-сульфамид, а также соли меди и содержащие их препараты, такие как бордоская жидкость, гидроксид меди, нафтенат меди, оксихлорид меди, сульфат меди, куфранеб, оксид меди, манкупер и оксин-купер. Бактерициды Бронопол, дихлорофен, нитрапирин, диметилдитиокарбамат никеля, казугамицин, октилинон, фуранкарбоновая кислота, окситетрациклин, пробеназол, стрептомицин, теклофталам, сульфат меди и другие препараты меди. Инсектициды/акарициды/нематициды Ингибиторы ацетилхолинэстеразы: 1.1 карбаматы, например, аланикарб, алдикарб, алдоксикарб, алликсикарб, аминокарб, бендиокарб, бенфуракарб, буфенкарб, бутакарб, бутокарбоксим, бутоксикарбоксим, карбарил, карбофуран, карбосульфан, клоэтокарб, диметилан, этиофенкарб, фенобукарб, фенотиокарб, форметанат, фуратиокарб, изопрокарб, метам-натрий, метиокарб, метомил, метолкарб, оксамил, пиримикарб, промекарб, пропоксур, тиодикарб, тиофанокс, триметакарб, ХМС, ксилилкарб, триазамат; 1.2 органофосфаты, например, ацефат, азаметифос, азинфос (-метил, -этил), бромофосэтил, бромфенвинфос (-метил), бутатиофос, кадузафос, карбофенотион, хлорэтоксифос, хлорфенвинфос, хлормефос, хлорпирифос (-метил/-этил), коумафос, цианофенфос, цианофос, деметон-S-метил, деметон-S-метилсульфон, диалифос, диазинон, дихлофентион, дихлорвоз/DDVP, дикротофос, диметоат, диметилвинфос, диоксабензофос, дисульфотон, EPN, этион, этопрофос, этримфос, фамфур, фенамифос, фенитротион, фенсульфотион, фентион, флупиразофос, фонофос, формотион, фосметилан, фостиазат, гептенофос, йодофенфос, ипробенфос, изазофос, изофенпрос, изопропил O-салицилат, изоксатион, малатион, мекарбам, метакрифос, метамидофос, метидатион, мевинфос, монокротофос, налед, ометоат, оксидеметон-метил, паратион (-метил/-этил), фентоат, форат, фозалон, фосмет, фосфамидон, фосфокарб, фоксим, пиримифос (-метил/этил), профенофос, пропафос, пропетамфос, протиофос, протоат, пираклофос, пиридафентион, пиридатион, квиналфос, себуфос, сульфотер, сульпрофос, тебупиримфос, темефос, тербуфос, тетрахлорвинфос, тиометон, триазофос, трихлоращт, вамидотион. Модуляторы натриевых каналов/ блокатор зависимых от напряжения натриевых каналов 2.1 Пиретроиды например, акринатрин, аллетрин (d-цис-транс, d-транс), бета-цифлутрин, бифентрин, биоаллетрин-S-циклопентил-изомер, биоэтанометрин, биоперметрин, биоресметрин, кловапортрин, цис-циперметрин, цис-ресметрин, цис-перметрин, клоцитрин, циклопротрин, цифлутрин, цигалотрин, циперметрин (альфа-, бета-, тета-, дзета-), цифенотрин, дельтаметрин, эмпентрин (1R-изомер), эсфенвалерат, этофенопрокс, фенфлутрин, фенопропатрин, фенпиритрин, фенвалерат, флуброцитринат, флуцитринат, флуфенпрокс, флуметрин, флувалинат, фубфенпрокс, гамма-цихалотрин, имипротрин, кадетрин, лямбда-цихалотрин, метофлутрин, перметрин (цис-, транс-), фенотрин (1R-транс-изомер), праллетрин, профлутрин, протрифенбут, пирезметрин, резметрин, RU 15525, силафлуофен, тау-флувалинат, тефлутрин, тераллетрин, тетраметрин (-1R-изомер), тралометрин, трансфлутрин, ZXI 8901, пиретрины (пиретрум), ДДТ; 2.2 оксадиазины, например индоксакарб. Агонисты/антагонисты рецептора ацетилхолина: 3.1 хлороникотинилы, например, ацетамиприд, клотианидин, динотефуран, имидаклоприд, нитенпирам, нитразин, тиаклоприд, тиаметоксам; 3.2 никотин, бенсултап, картап. Модуляторы рецептора ацетилхолина: 4.1 спинозины, например, спинозад. Антагонисты хлоридного канала, регулируемого гамма-аминомасляной кислотой: 5.1 органохлорины, например, камфехлор, хлордан, эндосулфан, гамма- гексахлорциклогексан, гексахлорциклогексан, гептахлор, линдан, метоксихлор; 5.2 фипролы, например, ацетопрол, этипрол, фипронил, пирафлупрол, пирипрол, ванилипрол. Активаторы хлоридного канала: 6.1 мектины, например, авермектин, эмамектин, эмамектин-бензоат, ивермектин, мильбемицин, миметический ювенильный гормон, например, диофенолан, эпофенонан, феноксикарб, гидропрен, кино- прен, метопрен, пирипроксифен,трипрен. Агонисты/дезинтеграторы экдизона: 8.1 диацилгидразины, например, хромафенозид, галофенозид, метоксифенозид, тебуфенозид. Ингибиторы биосинтеза хитина: 9.1 бензоилкарбамиды, например, бистрифлурон, хлофлуазурон, дифлубензурон, флуазурон, флуциклоксурон, флуфеноксурон, гексафлумурон, луфенурон, новалурон, новифлумурон, пенфлурон, тефлубензурон, трифлумурон; 9.2 бупрофезин; 9.3 циромазин. Ингибиторы окислительного фосфорилирования, дезинтеграторы аденозинтрифосфата (АТФ): 10.1 диафентиурон; 10.2 оловоорганические соединения, например, азоциклотин, цигексатин, фенбутатин-оксид. Прерыватели окислительного фосфорилирования (прерывание Н-градиента протонов): 11.1 пирролы, например, хлорфенапир; 11.2 динитрофенолы, например, бинапацирл, динобутон, динокап, DNOC. Ингибиторы стороны I переноса электронов: 12.1 METI’s, например, фенаквин, фенпироксимат, пиримидифен, пиридабен, тебуфенпирад, толфенпирад; 12.2 гидраметилнон; 12.3 дикофол. Ингибиторы стороны II переноса электронов: ротенон. Ингибиторы стороны III переноса электронов: ацеквиноцил, флуакрипирим. Микробные дезинтеграторы кишечной мембраны насекомых: штаммы Bacillus thuhngiensis. Ингибиторы синтеза жиров: тетроновые кислоты, например, спиродиклофен, спиромезифен; тетрамовые кислоты, например, спиротетрамат (номер в системе кодирования реферативного журнала Chemical Abstracts System CAS- карбоксамиды, например, флоникамид; агонисты октопамина, например, амитраз. Ингибиторы магний-стимулирующей аденозинтрифосфатазы: пропаргит; дикарбоксамиды бензойной кислоты, например, флубендиамид; аналоги нереистоксина, например, тиоциклам гидроген оксалат, тиосултап-натрий. Биопрепараты, гормоны или феромоны: азадирахтин, Bacillus spec., Beauveria spec., кодлемон, Metarrhizium spec., Paecilomyces spec., Thuringiensin, Verticillium spec. Действующие вещества с неизвестным или неспецифическим механизмом действия: 23.1 фумиганты, например, фосфид алюминия, метилбромид, сульфурилфторид; 23.2 ингибиторы поедания, например, криолит, флонкамид, пиметрозин; 23.3 ингибиторы роста клещей, например, клофентезин, этоксазол, гекситазокс; 23.4 амидофлумет, бенклотиаз, бензоксимат, бифеназат, бромопропилат, бупрофезин, хинометионат, хлордимеформ, хлорбензилат, хлорпикрин, хлортиазобен, циклопрен, цифлуметофен, дицикланил, феноксакрим, фентрифанил, флубензимин, флуфенерим, флутензин, госсиплур, гидраметилнон, японилур, метоксадиазон, керосин, пиперонилбутоксид, олеат натрия, пиридалил, сульфурамид, тетрадифон, тетрасул, триаратен, вербутин. Возможно также смешивание с другими известными действующими веществами, такими как гербициды, или с удобрениями и регуляторами роста, защитными средствами, соответственно полухимикатами. Предпочтительными являются смеси указанных триазолов, прежде всего, флуквиноконазола, флутриафола, ипконазола, тритиконазола и протиоконазола, с толилфлуанидом или стробилуринами, прежде всего, с флуоксастробином, трифлоксистробином, азоксилстробином и пираклостробином. Особенно предпочтительными являются смеси флуквиноконазол/толилфлуанид, флуквиноконазол/флуоксастробин, флуквиноконазол/трифлоксистробин, флуквиноконазол/азоксилстробин, флуквиноконазол/пираклостробин, протиоконазол/толилфлуанид, протиоконазол/флуоксастробин, протиоконазол/трифлоксистробин, протиоконазол/азоксистробин и протиоконазол/пираклостробин. Предпочтительными являются указанные выше массовые соотношения фунгицидов. ДМИ-фунгициды согласно изобретению переводят в обычные протравливающие препараты, такие как растворы, эмульсии, суспензии, порошки, пены, шламы или другие обволакивающие семенной материал вязкие материалы, а также препараты с ультранизкой вязкостью. Используют протравливание сухими препаратами (предпочтительно с добавлением веществ, повышающих прочность сцепления, например, таких как парафиновое масло или тальк, и, при необходимости, красящих веществ), протравливание суспензиями (предпочтительно с добавлением смачивающих агентов, диспергаторов, эмульгаторов, клеящих веществ, инертных наполнителей и красящих веществ), жидкостное протравливание водными препаратами (предпочтительно с добавлением эмульгаторов, диспергаторов, загустителей, средств защиты от замерзания, полимеров, клеящих веществ и красящих веществ), жидкостное протравливание препаратами, содержащими растворители (с добавлением растворителей и красящих веществ), протравливание эмульсиями (с добавлением эмульгаторов, растворителей и красящих веществ). Указанные препараты готовят известными методами, в соответствии с которыми действующие вещества или комбинации действующих веществ смешивают с обычными добавками, например, такими как обычные нейтральные наполнители, а также растворителями или разбавителями, красящими веществами, смачивающими агентами, диспергаторами, эмульгаторами, пеногасителями, консервантами, вторичными загустителями, клеящими веществами, гиббереллинами, а также водой. В качестве красящих веществ, которые могут содержаться в пригодных согласно изобретению протравливающих препаратах, используют обычные, применяемые для подобных целей красящие вещества. При этом пригодными являются как мало растворимые в воде пигменты, так и растворимые в воде красители. Примерами могут служить красящие вещества, известные под названием родамин В, C.I. пигмент красный 112 и C.I. разбавленный красный 1 (C.I. означает индекс цвета). В качестве смачивающих агентов, которые могут содержаться в пригодных согласно изобретению протравливающих препаратах, используют любые способствующие смачиванию вещества, обычные для препаратов агрохимических действующих веществ. Предпочтительно пригодными смачивающими агентами являются алкилнафталинсульфонаты, такие как диизопропилнафталинсульфонаты или диизобутилнафталинсульфонаты. В качестве диспергаторов и/или эмульгаторов, которые могут содержаться в пригодных согласно изобретению протравливающих препаратах, используют любые неионные, анионные и катионные диспергаторы, обычные для препаратов агрохимических действующих веществ. Предпочтительно пригодными являются неионные или анионные диспергаторы или смеси неионных или анионных диспергаторов. Пригодными неионными диспергаторами прежде всего являются блок-сополимеры этиленоксида с пропиленоксидом, алкилфенополигликоли, а также тристирилфенолполигликоли и их фосфатированные или замещенные производные. Пригодными анионными диспергаторами, прежде всего, являются лигнинсульфонаты, соли полиакриловой кислоты и продукты конденсации арилсульфоната с формальдегидом. В качестве пеногасителей, которые могут содержаться в пригодных согласно изобретению протравливающих препаратах, используют любые подавляющие пенообразование вещества, обычные для препаратов агрохимических действующих веществ. Предпочтительно пригодными являются силиконовые пеногасители и стеарат магния. В качестве консервантов в пригодных согласно изобретению протравливающих препаратах могут присутствовать любые вещества, используемые для подобной цели в агрохимических средствах. Примером пригодных консервантов могут служить дихлорофен и полуформаль бензилового спирта. В качестве вторичных загустителей, которые могут содержаться в пригодных согласно изобретению протравливающих препаратах, используют любые вещества, применяемые для подобной цели в агрохимических средствах. Предпочтительными являются производные целлюлозы, производные акриловой кислоты, ксантан, модифицированные глины и высокодисперсная кремниевая кислота. Пригодными растворителями, которые можно комбинировать с ДМИ-фунгицидами, являются любые используемые в агрохимических средствах органические растворители. Предпочтительными растворителями являются кетоны, такие как метилизобутилкетон и циклогексанон, амиды, такие как диметилформамид, циклические соединения, такие как N-метил-пирролидон, N-октилпирролидон, N-додецилпирролидон, N-октилкапролактам, N-додецилкапролактам и Примешиваемыми полимерными компонентами являются обычные биологически деструктируемые природные и синтетические вещества. Предпочтительно используют сложные полиэфиры, смешанные простые и сложные полиэфиры, сложные сополиэфиры, полиангидриды, полиэфируретаны, термопластичные полисахариды или производные полисахаридов, а также сложные полиэфиры, смешанные простые и сложные полиэфиры и полиэфирамиды, которые содержат алифатические и ароматические сложноэфирные группы. В качестве клеящих веществ, которые могут содержаться в пригодных согласно изобретению протравливающих препаратах, используют любые связующие, обычно применяемые в протравливающих средствах. Примерами предпочтительно используемых клеящих веществ являются поливинилпирролидон, поливинилацетат, поливиниловый спирт и тилоза. В качестве гиббереллинов, которые могут содержаться в пригодных согласно изобретению протравливающих препаратах, предпочтительно используют вещества формулы (I) в которой R означает атом водорода или гидроксильную группу, пунктирная линия означает, что этому месту в кольце соответствует либо С-С – одинарная связь либо С=С – двойная связь. Примерами гиббереллинов формулы (I) являются следующие соединения: и Особенно предпочтительной является гиббереллиновая кислота формулы (I-2). Гиббереллины формулы (I) являются известными соединениями (смотри R. Wegler “Chemie Pflanzenschutz- und Schädlingsbekämpfungsmittel”, том 2, издательство Springer, Berlin-Heidelberg-New York, 1970, страницы 401-412). Пригодные согласно изобретению протравливающие препараты используют для обработки семян сои непосредственно или после предварительного разбавления водой. Пригодные согласно изобретению протравливающие препараты или соответствующие разбавленные рабочие композиции можно использовать также для протравливания семян трансгенных соевых растений. При этом благодаря взаимодействию с веществами, образующимися в результате экспрессии, возможно также возникновение дополнительных синергических эффектов. Для обработки семенного материала сои пригодными согласно изобретению протравливающими препаратами или полученными из них при добавлении воды рабочими композициями можно воспользоваться любым смесительным устройством, обычно применяемым для протравливания семенных материалов. Техника протравливания семян заключается, в частности, в том, что в смеситель вводят семенной материал, к которому добавляют необходимое количество протравливающего препарата как такового или предварительно разбавленного водой, и осуществляют их перемешивание до равномерного распределения препарата на поверхности семян. При необходимости, в заключение реализуют процесс сушки. Дозировку пригодных согласно изобретению протравливающих препаратов можно варьировать в широких пределах. Дозировка определяется соответствующим содержанием действующих веществ в препаратах и видом семенного материала. Дозировка ДМИ-фунгицидов или их комбинаций в общем случае составляет от 0,001 до 50 г на килограмм семенного материала, предпочтительно от 0,01 до 15 г на килограмм семенного материала. Применяемые согласно изобретению протравливатели семян кроме борьбы с возбудителями ржавчины вида Phakopsora, прежде всего с Phakopsora pachyrhizi и Phakopsora meibomiae, можно использовать также, например, для борьбы с плазмодиофоромицетами, оомицетами, хитридиомицетами, зигомицетами, аскомицетами, базидиомицетами, дейтеромицетами и микроорганизмами видов Pseudomonadaceae, Rhizobiaceae, Enterobacteriaceae, Corynebacteriaceae и Streptomycetaceae. Ниже приведены примеры некоторых представителей указанных выше общих групп возбудителей грибковых и бактериальных заболеваний, не ограничивающиеся этим перечнем: виды Xanthomonas, например, такие как Xanthomonas campestris pv. oryzae, виды Pseudomonas, например, такие как Pseudomonas syringae pv. lachrymans, виды Erwinia, например, такие как Erwinia amylovora, виды Phytophthora, например, такие как Phytophthora sojae, виды Pseudoperonospora, например, такие как Pseudoperonospora humuli или Pseudoperonospora cubensis, виды Peronospora, например, такие как Peronospora brassicae или Peronospora manshurica, виды Erysiphe, например, такие как Erysiphe polygoni, виды Podosphaera, например, такие как Podosphaera leucotricha, виды Puccinia, например, такие как Puccinia recondita, виды Sclerotinia, например, такие как Sclerotinia sclerotiorum, виды Ustilago, например, такие как Ustilago nuda или Ustilago avenae, виды Pellicularia, например, такие как Pellicularia sasakii, виды Fusarium, например, такие как Fusarium culmorum, виды Septoria, например, такие как Septoria nodorum или Septoria glycines, виды Leptosphaeria, например, такие как Leptosphaeria nodorum, виды Cercospora, например, такие как Cercospora kikuchii, виды Alternaria, например, такие как Alternaria brassicae, виды Phomopsis, например, такие как Phomopsis longicola, виды Colletotrichum, например, такие как Celletotrichum truncatum, виды Rhizoctoinia, например, такие как Rhicoctoinia solani, и прежде всего виды Microsphera, такие как Microsphera manshurica. Используемые согласно изобретению протравливатели, прежде всего, пригодны для борьбы с ржавчиной соевых бобов. Предлагаемые в изобретении протравливатели семян оказывают также чрезвычайно благоприятное укрепляющее воздействие на растения. В связи с этим они пригодны для мобилизации собственных защитных сил растений, позволяющей им сопротивляться поражению нежелательными микроорганизмами. Под укрепляющими растения (вызывающими их сопротивляемость) веществами в рассматриваемом случае подразумеваются вещества, способные таким образом стимулировать защитную систему обработанных ими растений, чтобы при последующем заражении нежелательными микроорганизмами растения проявляли по отношению к ним максимальную устойчивость. Под нежелательными микроорганизмами в рассматриваемом случае подразумевают фитопатогенные грибки и бактерии. Таким образом, предлагаемые в изобретении вещества можно использовать для того, чтобы растения в пределах определенного промежутка времени после обработки были защищены от поражения указанными возбудителями болезней. Промежуток времени, в пределах которого обеспечивается защита растений, в общем случае составляет от 1 до 70 дней, предпочтительно от 1 до 35 дней после высева. Изобретение более подробно поясняется с помощью приведенных ниже примеров, не ограничивающих его объема. Пример 1. Действие флуквиноконазола на Phakopsora pachyrhizi Протравливатель: флуквиноконазол 25 WPC (смачиваемый порошок). Для протравливания семенной материал в течение одной минуты встряхивали вместе с протравливателем в закрытом пластиковом мешке. Обработанные семена высевали на опытном участке (4 делянки площадью 10 м2 каждая, 40 семян на один квадратный метр) и на следующий день после высева подвергали искусственному дождеванию. Естественное поражение в контрольном опыте в среднем составляло 75%. Эффективность выражают в процентах. При этом 0% соответствует эффективности в контрольном опыте, в то время как эффективность 100% означает полное отсутствие поражения.
Пример 2 Действие протиоконазола на Phakopsora pachyrhizi Протравливатель: протиоконазол. Для протравливания семенной материал в течение одной минуты встряхивали вместе с протравливателем в закрытом пластиковом мешке. Обработанные семена высевали на опытном участке (4 делянки площадью 10 м2 каждая, 40 семян на один квадратный метр) и на следующий день после высева подвергали искусственному дождеванию. Естественное поражение в контрольном опыте в среднем составляло 75%. Эффективность выражают в процентах. При этом 0% соответствует эффективности в контрольном опыте, в то время как эффективность 100% означает полное отсутствие поражения.
Пример 3. Действие флутриафола на Phakopsora pachyrhizi Протравливатели: флутриафол/карбендазим/имидаклоприд. Для протравливания семенной материал в течение одной минуты встряхивали вместе с протравливателем в закрытом пластиковом мешке. Обработанные семена высевали на опытном участке (4 делянки площадью 10 м2 каждая, 40 семян на один квадратный метр) и на следующий день после высева подвергали искусственному дождеванию. Для контроля использовали растения сои, семена которых протравливали смесью фунгицида карбендазим (100 г на 100 кг семян) и инсектицида имидаклоприд (120 г на 100 кг семян). Поражение в контрольных опытах по истечении 19 и 25 дней составляло 33%, соответственно 68%. Эффективность вычисляют по формуле Аббота ([(действие в контрольном опыте – действие в примере согласно изобретению)/действие в контрольном опыте] ×100) и выражают в процентах. При этом 0% соответствует эффективности в контрольном опыте, в то время как эффективность 100% означает полное отсутствие поражения.
Формула изобретения
1. Применение одного или нескольких ингибиторов деметилирования (ДМИ)- фунгицидов, выбранных из группы, включающей а) триазолы: 2. Применение по п.1 с ДМИ-фунгицидом, выбранным из группы, включающей флуквинконазол, флутриафол, ипконазол, протиоконазол и тритиконазол. 3. Применение ДМИ-фунгицида – протиоконазола в качестве протравливателей семенного материала сои. 4. Семенной материал сои, обработанный и/или покрытый ДМИ-фунгицидом – протиоконазолом.
|
|||||||||||||||||||||||||||||||||||||

4
-бутиролактон, сильно полярные растворители, такие как диметилсульфоксид, ароматические углеводороды, такие как ксилол, сложные эфиры, такие как ацетат монометилового эфира пропиленгликоля, дибутиловый эфир адипиновой кислоты, гексиловый эфир уксусной кислоты, гептиловый эфир уксусной кислоты, три-н-бутиловый эфир лимонной кислоты, диэтиловый эфир фталевой кислоты и ди-н-бутиловый эфир фталевой кислоты, а также спирты, такие как этанол, н-пропанол, изопропанол, н-бутанол, изобутанол, н-амиловый спирт, изоамиловый спирт, бензиловый спирт и 1-метокси-2-пропанол.



