|
(21), (22) Заявка: 2008135859/09, 04.09.2008
(24) Дата начала отсчета срока действия патента:
04.09.2008
(46) Опубликовано: 27.04.2010
(56) Список документов, цитированных в отчете о поиске:
US 3863171 А, 28.01.1975. SU 1748227 A1, 15.07.1992. RU 2031537 C1, 20.03.1995. US 4621238 A, 04.11.1986.
Адрес для переписки:
346500, Ростовская обл., г. Шахты, ул. Шевченко, 147, ЮРГУЭС, патентная служба
|
(72) Автор(ы):
Прокопенко Николай Николаевич (RU), Конев Даниил Николаевич (RU), Серебряков Александр Игоревич (RU)
(73) Патентообладатель(и):
Государственное образовательное учреждение высшего профессионального образования “Южно-Российский государственный университет экономики и сервиса” (ГОУ ВПО “ЮРГУЭС”) (RU)
|
(54) ДИФФЕРЕНЦИАЛЬНЫЙ УСИЛИТЕЛЬ С УПРАВЛЯЕМЫМ УСИЛЕНИЕМ
(57) Реферат:
Изобретение относится к области радиотехники и связи и может быть использовано в устройствах автоматической регулировки усиления, фазовых детекторах и модуляторах, в системах фазовой автоподстройки и умножения частоты или в качестве усилителя, коэффициент передачи по напряжению которого зависит от уровня сигнала управления. Управляемый усилитель является базовым узлом современных систем приема и обработки сигналов ВЧ и СВЧ-диапазонов, аналоговой вычислительной и измерительной техники. Технический результат: повышение коэффициента подавления сигнала управления. Дифференциальный усилитель (ДУ) содержит первый (1) и второй (2) входные транзисторы (Т), эмиттеры которых связаны друг с другом через встречно включенные первый (3) и второй (4) p-n переходы и подключены к первому (5) и второму (6) источникам опорного тока (ИОТ), цепь нагрузки (7), связанную с коллекторами первого (1) и второго (2) входных Т, третий ИОТ (8), подключенный к общей точке встречно включенных первого (3) и второго (4) p-n переходов. В схему введены первый (11) и второй (12) управляющие Т, базы которых подключены к управляющему входу (13) ДУ, объединенные коллекторы связаны с третьим ИОТ (8), эмиттер первого (11) управляющего Т соединен с эмиттером первого (1) входного Т, а эмиттер второго (12) управляющего Т соединен с эмиттером второго (2) входного Т. 2 з.п. ф-лы, 11 ил.
Предлагаемое изобретение относится к области радиотехники и связи и может быть использовано в устройствах автоматической регулировки усиления, фазовых детекторах и модуляторах, в системах фазовой автоподстройки и умножения частоты или в качестве усилителя, коэффициент передачи по напряжению которого зависит от уровня сигнала управления. Управляемый усилитель является базовым узлом современных систем приема и обработки сигналов ВЧ и СВЧ-диапазонов, аналоговой вычислительной и измерительной техники.
В настоящее время в аналоговой микросхемотехнике в составе систем электронной регулировки усиления, смешения или перемножения сигналов широкое применение находят схемы управляемых усилителей на основе дифференциальных каскадов с изменяющимся статическим режимом. Такая структура стала основой построения практически всех известных в настоящее время прецизионных управляемых усилителей и аналоговых перемножителей сигналов. В этой связи задача улучшения параметров этого функционального узла для РЭА нового поколения относится к числу достаточно актуальных задач современной микроэлектроники.
Известны схемы дифференциальных усилителей (ДУ), содержащие встречно включенные p-n переходы в общей эмиттерной [1-8] или базовой [9-13] цепи ДУ, которые используются для защиты и входных транзисторов от пробоя эмиттерно-базовых переходов. Первая структура ДУ относится к числу классических и широко применяется в аналоговой микросхемотехнике в связи с тем, что при использовании только резисторов может иметь низковольтное питание (±1,5 В). Это связано с тем, что в ней отсутствует «двухъярусное» включение p-n переходов.
Ближайшим прототипом (фиг.1) заявляемого устройства является дифференциальный усилитель, описанный в патенте США 3863171, фиг.2, содержащий первый 1 и второй 2 входные транзисторы, эмиттеры которых связаны друг с другом через встречно включенные первый 3 и второй 4 p-n переходы и подключены к первому 5 и второму 6 источникам опорного тока, цепь нагрузки 7, связанную с коллекторами первого 1 и второго 2 входных транзисторов, третий источник опорного тока 8, подключенный к общей точке встречно включенных первого 3 и второго 4 p-n переходов.
Существенный недостаток известного ДУ состоит в том, что он не имеет специального входа «У» для электронного управления коэффициентом усиления по напряжению, «привязанному» к общей шине источников питания. Это существенно сужает область его использования, не позволяет реализовывать на его основе адаптивные функциональные узлы систем на кристалле, например СВЧ-операционные усилители, смесители и аналоговые перемножители.
Основная цель предлагаемого изобретения состоит в создании условий для электронного управления коэффициентом усиления по напряжению ДУ. При этом управляющее напряжение Uy должно подаваться относительно общей шины источников питания. Реализация этой цели позволяет выполнять на базе заявляемого устройства не только широкополосные ВЧ и СВЧ-усилители с регулируемыми параметрами, но создавать на его основе более сложные функциональные узлы, например аналоговые перемножители сигналов.
Поставленная цель достигается тем, что в дифференциальном усилителе фиг.1, содержащем первый 1 и второй 2 входные транзисторы, эмиттеры которых связаны друг с другом через встречно включенные первый 3 и второй 4 p-n переходы и подключены к первому 5 и второму 6 источникам опорного тока, цепь нагрузки 7, связанную с коллекторами первого 1 и второго 2 входных транзисторов, третий источник опорного тока 8, подключенный к общей точке встречно включенных первого 3 и второго 4 p-n переходов, предусмотрены новые элементы и связи – в схему введены первый 11 и второй 12 управляющие транзисторы, базы которых подключены к управляющему входу 13 дифференциального усилителя, объединенные коллекторы связаны с третьим источником опорного тока 8, эмиттер первого 11 управляющего транзистора соединен с эмиттером первого 1 входного транзистора, а эмиттер второго 12 управляющего транзистора соединен с эмиттером второго 2 входного транзистора.
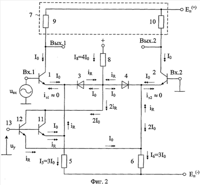
Схема усилителя-прототипа представлена на чертеже фиг.1. На чертеже фиг.2 показано заявляемое устройство в соответствии с п.1 формулы изобретения.
На чертеже фиг.3 представлена схема ДУ, соответствующая п.2, а на чертеже фиг.4 – п.3 формулы изобретения.
На чертеже фиг.5 показан аналоговый смеситель (перемножитель) сигналов uвх и uу на основе заявляемого ДУ (фиг.2).
На чертеже фиг.6 приведена схема заявляемого ДУ в среде компьютерного моделирования PSpice на моделях интегральных транзисторов ФГУП НПП «Пульсар», а на чертежах фиг.7, фиг.8, фиг.9 – результаты ее компьютерного моделирования:
– зависимость коэффициента усиления по напряжению Ku от частоты при разных значениях напряжения управления Uy (фиг.7);
– зависимость коэффициента усиления по напряжению Ku от напряжения управления Uy (фиг.8);
– зависимость коэффициента усиления по напряжению Ku от частоты сигнала с управляющего входа (фиг.9).
На чертеже фиг.10 приведена схема аналогового перемножителя напряжений фиг.5 в среде Pspice на моделях интегральных транзисторов ФГУП НПП «Пульсар», а на чертеже фиг.11 – зависимость ее выходного напряжения от напряжений uх и uу.
Дифференциальный усилитель фиг.2 содержит первый 1 и второй 2 входные транзисторы, эмиттеры которых связаны друг с другом через встречно включенные первый 3 и второй 4 p-n переходы и подключены к первому 5 и второму 6 источникам опорного тока, цепь нагрузки 7, связанную с коллекторами первого 1 и второго 2 входных транзисторов, третий источник опорного тока 8, подключенный к общей точке встречно включенных первого 3 и второго 4 p-n переходов. В частном случае цепь нагрузки 7 содержит резисторы 9 и 10. В схему введены первый 11 и второй 12 управляющие транзисторы, базы которых подключены к управляющему входу 13 дифференциального усилителя, объединенные коллекторы связаны с третьим источником опорного тока 8, эмиттер первого 11 управляющего транзистора соединен с эмиттером первого 1 входного транзистора, а эмиттер второго 12 управляющего транзистора соединен с эмиттером второго 2 входного транзистора.
В схеме фиг.3 в соответствии с п.2 формулы изобретения эмиттеры первого 11 и второго 12 управляющих транзисторов связаны с эмиттерами первого 1 и второго 2 входных транзисторов через первый 13 и второй 14 дополнительные резисторы и подключены соответственно к первому 15 и второму 16 дополнительным источникам опорного тока
В схеме фиг.4 в соответствии с п.3 формулы изобретения эмиттеры первого 11 и второго 12 дополнительных транзисторов связаны друг с другом.
В схеме фиг.5, которая является аналоговым перемножителем сигналов uy и uвх, используется два идентичных дифференциальных усилителя (фиг.2).
Рассмотрим работу заявляемого ДУ фиг.2. В статическом режиме при напряжении на управляющем входе 13, равном нулю (uу=0), в схеме фиг.2 устанавливаются следующие токи

I8= 4I0,
где I0 – величина опорного тока, определяющего функциональную связь токов других элементов схемы (например, I0=0,5 мА);
Iэi – эмиттерный ток i-го транзистора;
Im – ток через m-й элемент схемы.
В частном случае, когда в качестве двухполюсников 5, 6, 8 используется резистор
,
где , – напряжения источников питания.
В схемах с напряжением питания в качестве двухполюсников 5, 6 и 8 могут применяться традиционные транзисторные источники опорного тока.
Максимальный коэффициент усиления по напряжению схемы фиг.2 определяется формулой

где R9=R10=Rн – сопротивление резисторов 9 и 10;
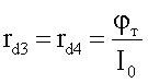
– дифференциальное сопротивление эмиттерного перехода транзисторов 1 и 2;
– дифференциальное сопротивление первого 3 и второго 4 p-n переходов;
т 26 мВ – температурный потенциал.
Таким образом, при uу=0

Если uy получает положительное приращение (uу>0), то это приводит к изменению токов эмиттера транзисторов 11 и 12, поступающих в цепь p-n переходов 3 и 4 на некоторую величину iR, зависящую от rэ1, rэ2, rd3, l3rd4. При этом суммарный ток коллектора транзисторов 11 и 12
С другой стороны, токи эмиттеров транзисторов 11 и 12 передаются в эмиттерные цепи транзисторов 1 и 2 и компенсируют приращения токов iR через p-n переходы 3 и 4. Как следствие, эмиттерные и коллекторные токи транзисторов 1 и 2 и токи в нагрузке 7 не изменяются при малых изменениях uy. В то же время токи через p-n переходы 3 и 4 и, следовательно, их дифференциальные сопротивления rd3=rd4 уменьшаются, что уменьшает Ку (1).
При выбранных параметрах элементов нагрузки 7 коэффициент усиления ДУ фиг.6 изменяется более чем на 20 дБ (фиг.7, фиг.8). При этом заявляемый ДУ имеет высокий коэффициент подавления сигнала управления (фиг.9).

На базе предлагаемого ДУ реализуются аналоговые перемножители и смесители сигналов с низковольтным питанием Еп ±(1÷1,5)В. Это существенное достоинство заявляемого устройства.
БИБЛИОГРАФИЧЕСКИЙ СПИСОК
1. Патент США 3541464.
2. Патент США 4180780.
3. Патентная заявка США 2005/0225389, фиг.3.
4. Патент США 5206605.
5. Патент США 5184089.
6. Патент США 3863171.
7. Патент WO 00/65711.
8. Патент США 6531919.
9. Патент США 6693780.
10. Патент США 6400541.
11. Патент США 5414388.
12. Ав. свид. СССР 970638.
Формула изобретения
1. Дифференциальный усилитель с управляемым усилением, содержащий первый (1) и второй (2) входные транзисторы, эмиттеры которых связаны друг с другом через встречно включенные первый (3) и второй (4) p-n переходы и подключены к первому (5) и второму (6) источникам опорного тока, цепь нагрузки (7), связанную с коллекторами первого (1) и второго (2) входных транзисторов, третий источник опорного тока (8), подключенный к общей точке встречно включенных первого (3) и второго (4) p-n переходов, отличающийся тем, что в схему введены первый (11) и второй (12) управляющие транзисторы, базы которых подключены к управляющему входу (13) дифференциального усилителя, объединенные коллекторы связаны с третьим источником опорного тока (8), эмиттер первого (11) управляющего транзистора соединен с эмиттером первого (1) входного транзистора, а эмиттер второго (12) управляющего транзистора соединен с эмиттером второго (2) входного транзистора.
2. Устройство по п.1, отличающееся тем, что эмиттеры первого (11) и второго (12) управляющих транзисторов связаны с эмиттерами первого (1) и второго (2) входных транзисторов через первый (13) и второй (14) дополнительные резисторы и подключены соответственно к первому (15) и второму (16) дополнительным источникам опорного тока.
3. Устройство по п.2, отличающееся тем, что эмиттеры первого (11) и второго (12) дополнительных транзисторов связаны друг с другом.
РИСУНКИ
|